Совершенствование маркетинговой деятельности ООО 'Реактор'

  • Вид работы:
    Дипломная (ВКР)
  • Предмет:
    Маркетинг
  • Язык:
    Русский
    ,
    Формат файла:
    MS Word
    190,03 Кб
  • Опубликовано:
    2013-11-29
Вы можете узнать стоимость помощи в написании студенческой работы.
Помощь в написании работы, которую точно примут!

Совершенствование маркетинговой деятельности ООО 'Реактор'















ДИПЛОМНАЯ РАБОТА

Совершенствование маркетинговой деятельности ООО «Реактор»


Введение

Автомобили во всем мире перевозят самое большое количество пассажиров и объемов грузов, выполняют различные производственные функции, обслуживают наш быт, культуру, отдых, словом они стали неотъемлемой частью современной цивилизации.

Автомобили в свою очередь систематически нуждаются в специальных обслуживаниях: уборке-мойке, очистке, заправки топливом, маслом и другими эксплуатационными материалами, контроле их технического состояния, проведения ряда профилактических и ремонтно-восстановительных работ, имеющих целью предупредить появления преждевременных отказов и неисправностей, а также восстановить утраченную работоспособность их агрегатов, узлов, деталей и систем.

Отдельные простейшие работы по обслуживанию автомобилей, такие как уборка, очистка кузова, кабины, мойка автомобиля и его заправка топливом и другими материалами, а также внешний технический контроль могут быть выполнены самими владельцами - водителями автомобилей. Однако ряд серьезных работ по обслуживанию автомобилей и восстановление утраченной работоспособности их агрегатов, узлов, деталей и систем требующих использования средств технического контроля, специальных оборудований и инструментов, выполняются в специальных автообслуживающих предприятиях и мастерских, силами специально подготовленных работников.

Предпринимательская система главным назначением которой, является оказания всевозможных, комплексных услуг автомобилям в общедоступной форме, есть и автомобильный сервис. Именно в этой сфере предоставления услуг автомобильного сервиса работает ООО «Реактор».

Иркутский рынок услуг автомобильного сервиса отличается жесткой конкуренцией, поэтому перед предприятием ООО «Реактор» все острее встает проблема выживания в условиях конкуренции. В каких направлениях развивать свою деятельность, что для этого надо сделать сейчас и к чему готовиться в будущем?

На рынке услуг по обслуживанию и ремонту автомобилей, а также автомобильного «after market» оборудования в настоящий момент наблюдается смешение самых разных хозяйственных субъектов. Здесь и крупные, финансово мощные, разносторонние по профилю деятельности, юридические лица, небольшие специализированные предприятия (к которым относится и рассматриваемое предприятие), предприниматели без образования юридического лица и просто частные лица, которые без всякой регистрации как субъекта хозяйственной деятельности, промышляющие в частных гаражах. Последние, стремясь отобрать работу у других, занимаются демпингом, назначая за свои работы такие цены, какие не может назначить ни одно официально работающее предприятие.

Исходя из этого, разработаны предложения по продвижению услуг, расширению производства и развитию предприятия в среде с высокими темпами изменения и неопределенности, а также предложены меры по противодействию негативным изменениям.

Считается, что предпочтительнее создавать предприятие, состоящее из нескольких направлений услуг автосервиса. Дело в том, что каждое из направлений подвержено колебаниям конъюнктуры, но если общая экономическая ситуация спокойная, то пики и провалы каждого из направлений приходятся на разные сезоны. Благодаря этому прибыль предприятия в целом получается стабильной.

Подробно описать все направления деятельности предприятия «Реактор» в данной работе не представляется возможным. В связи с этим будут выбраны наиболее важные и требующие первоочередного развития группы услуг.


1. Теоретические основы анализа маркетинговой деятельности

.1 Сущность, цели, основные принципы и функции маркетинга

По определению американского ученого Ф. Котлера маркетинг - вид человеческой деятельности, направленный на удовлетворение нужд и потребностей посредством обмена.

Исходной идеей, лежащей в основе маркетинга, является идея удовлетворения человеческих нужд и потребностей (физические нужды и потребности в пище, одежде, тепле, безопасности, социальные нужды и потребности, потребность в знаниях и самовыражении и т.п.). Потребности людей безграничны, а вот ресурсы для их удовлетворения ограничены. Так что человек будет выбирать те товары, которые доставляют ему наибольшее удовлетворение в рамках его возможностей.

Спрос - это потребность, подкрепленная покупательской способностью. Нетрудно перечислить спрос конкретного общества в конкретный момент времени. Однако спрос - показатель недостаточно надежный, так как он меняется. На смену выбора влияют и изменения цен, и уровень доходов. Человек выбирает товар, совокупность свойств которого обеспечивает ему наибольшее удовлетворение за данную цену, с учетом своих специфических потребностей и ресурсов.

Человеческие нужды, потребности и запросы удовлетворяются товарами. Под товаром в широком смысле можно понимать все, что может удовлетворить потребность или нужду и предлагается рынку с целью привлечения внимания, приобретения, использования или потребления.

Обмен - это акт получения от кого-либо желаемого объекта с предложением чего-либо взамен.

Рынок в маркетинге понимается как совокупность существующих и потенциальных потребителей товара (рынок сбыта).

Ключевым аспектом маркетинга является образ мышления. Он предполагает, что при принятии маркетинговых решений менеджер должен смотреть на все глазами потребителя. Следовательно, эти решения должны быть такими, в которых потребитель нуждается и которых он хочет.

Американская ассоциация маркетинга (AMA) определяет маркетинг следующим образом:

Маркетинг - это процесс планирования и воплощения замысла, ценообразования, продвижения и реализации идей, товаров и услуг посредством обмена, удовлетворяющего цели отдельных лиц и организаций.

Можно выделить в этом определении четыре составляющих:

•        действие менеджмента (предвидение, определение целей и планирование, удовлетворение спроса);

•        совокупность управляемых элементов маркетинговой деятельности (продукт (замысел), цена, распределение (реализация) и продвижение);

•        объекты, при помощи которых удовлетворяется спрос и достигаются цели (товары, услуги, идеи, организации, люди, территории);

•        метод удовлетворения спроса (обмен).

Таким образом, кратко можно выразить предыдущее определение так: «Маркетинг - управление удовлетворением спроса путем торговли».

Маркетинг основывается на следующих принципах:

•        нацеленность на достижение конечного практического результата производственно-сбытовой деятельности, реализацию товара на рынке в намеченных количествах и овладение определенной долей рынка в соответствии с долговременной целью, намеченной предприятием, фирмой, компанией. Этот принцип предусматривает изучение состояния и динамики потребительского спроса и использование полученных данных в процессе разработки и принятия хозяйственных решений. Необходимо максимально приблизить, приспособить производство к требованиям рынка с целью повышения эффективности функционирования предприятия» Критериями эффективности выступают норма и масса прибыли;

•        применение в единстве и взаимосвязи тактики и стратегии активного приспособления к требованиям потенциальных покупателей с одновременным целенаправленным воздействием на них. Фирмы осуществляют воздействие на рынок, на потребительский спрос исходя из своих внутренних ресурсов, с помощью всех доступных средств (в частности, с помощью рекламы в целях его формирования в необходимом для нее направлении);

•        направленность деятельности не на сиюминутный, а на долговременный результат маркетинговой работы на основе прогнозных разработок, моделирования товаров, рыночной квоты.

Принципы маркетинга, таким образом, направлены на достижение наилучших конечных результатов деятельности предприятий, обеспечение долговременной успешной работы предприятия, активное приспособление к требованиям потенциальных покупателей и формирование потребностей и спроса.

Можно выделить следующие функции маркетинга:

•        комплексное исследование рынков сбыта, проблем, связанных с осуществлением маркетинга, изучение спроса потребителей, их требований к качеству, технико-экономическим параметрам производимой продукции (услуг);

•        определение оптимального ассортимента выпускаемой продукции на основе его экономического обоснования;

•        принятие обоснованных решений по эффективной организации производства продукции;

•        разработка сбытовой политики на основе определения экономически выгодных каналов сбыта, системы товародвижения, организации послепродажного обслуживания системы стимулирования сбыта и формирования спроса потребителей;

•        формирование взаимовыгодной внутрифирменной политики ценообразования на производимую продукцию (услуги) в системе «производитель-потребитель;

•        информационное обеспечение маркетинговых исследований;

•        управление маркетинговой деятельностью и контроль ее осуществления.

В структуре маркетинга выделяют маркетинг потребительских товаров, маркетинг товаров производственно-технического назначения, маркетинг услуг. Хотя общие принципы и функции для каждого вида маркетинга являются общими, каждый вид имеет свои отличительные характеристики.

В современных условиях в маркетинге товаров народного потребления необходимо постоянное изучение состояния и степени удовлетворения потребительского спроса, формирование предложения товаров в соответствии с его изменением, изучение и изменение механизма взаимосвязи промышленных и торговых организаций, повышение значения изучения конъюнктуры рынка, усиление адресности производства и форм реализации продукции.

Маркетинг сферы услуг требует изучения структуры потребления населения, значительного возрастания доли услуг и сокращения удельного веса материального потребления, улучшения культуры и качества обслуживания, внедрения новых форм и видов услуг.

Специфические особенности производства и реализации продукции производственно-технического назначения предъявляют требования к содержанию промышленного маркетинга. В этой ситуации основными задачами маркетинга являются не только изучение спроса и формирование предложения на виды оборудования, а, даже в большей степени, изучение спроса на те виды продукции, которые производятся на данном оборудовании с целью обеспечения эффективной сбытовой политики промышленной продукции. Кроме того, задачами маркетинга являются поиск резервов роста производительности средств производства, обеспечение высокого качества выпускаемой продукции, улучшение условий труда, снижения материалоемкости, энергоемкости и прочее.

Особое значение приобретает маркетинг во внешнеэкономической деятельности, или экспортный маркетинг. В условиях конкурентной борьбы на мировом рынке недостаточно поддерживать высокие качественные параметры продукции. Необходимо постоянно изучать и тщательно учитывать специфику потребительских требований в различных странах, анализировать деятельность основных фирм-конкурентов, вести широкую рекламную компанию и т.д. и если при функционировании на внутреннем рынке возможно использование отдельных элементов маркетинга, то при выходе фирмы на внешний рынок необходимо применение всего арсенала элементов, методов, принципов и функций маркетинга для достижения стабильных положительных результатов в экспортной деятельности.

Таким образом, диапазон маркетинговой деятельности достаточно широк. Он включает проблемы из области экономики, организации и планировании товарооборота, анализа хозяйственной деятельности предприятий, исследования рынка, а также некоторые вопросы управления и организации деятельности предприятий производственной и непроизводственной сфер.

Целями маркетинга могут быть:

•        максимально высокое потребление;

•        достижение максимальной потребительской удовлетворенности;

•        предоставление максимально широкого выбора;

•        максимальное повышение качества жизни.

С точки зрения управления предприятием можно выделить такие цели маркетинга:

•        увеличение дохода;

•        рост объемов продаж;

•        увеличение доли рынка;

•        создание и улучшение имиджа, известности предприятия и его продукции.

Под управлением маркетингом понимают анализ, планирование, претворение в жизнь и контроль за проведением мероприятий, рассчитанных на установление и поддержание обменов с целевыми покупателями ради достижения определенных целей предприятия.

Могут быть выделены следующие задачи маркетинговой деятельности на предприятии:

•        исследование, анализ и оценка нужд реальных и потенциальных потребителей продукции фирмы в областях, интересующих фирму;

•        маркетинговое обеспечение разработки новых товаров и услуг фирмы;

•        анализ, оценка и прогнозирование состояния и развития рынков, на которых действует или будет действовать предприятие, включая исследование деятельности конкурентов;

•        участие в формировании стратегии и тактики рыночного поведения

предприятия;

•        формирование ассортиментной политики предприятия;

•        разработка ценовой политики предприятия;

•        разработка политики распределения товаров предприятия;

•        коммуникации маркетинга;

•        сервисное обслуживание.

.2 Определение маркетинговой деятельности предприятия

маркетинг финансовый экономический

Маркетинговая деятельность предприятия представляет собой деятельность по решению подразделением маркетинга стоящих перед ним практических задач.

Главной целью маркетинговой деятельности предприятия является обеспечение его коммерческого успеха и выпускаемой им продукции на рынке, что чаще всего достигается путем увеличения объемов продаж в натуральном и денежном выражении. Однако в зависимости от конкретной ситуации цели маркетинговой деятельности предприятия могут быть и другими.

Содержание маркетинговой деятельности предприятия заключается в поиске взаимовыгодного компромисса между потребностями потенциальных потребителей и производственными возможностями (а также ключевыми компетенциями) компании с учетом возможных действий конкурентов. Традиционно считается, что в маркетинговой деятельности необходимо отталкиваться именно от потребностей рынка, однако это не всегда справедливо. Маркетинговая деятельность может быть направлена как на изменение продуктов и бизнес-процессов данного предприятия для соответствия существующему спросу (повышение итоговой потребительной ценности), так и на создание, развитие либо изменение рыночного спроса (потребностей потенциальных потребителей).

Но поскольку прямое управление спросом, в отличие от прямого управления продуктами и бизнес-процессами, чаще всего технически невозможно, поскольку подразумевает манипулирование сознанием и мотивацией конечных потребителей, то считается более разумным ориентироваться на существующий спрос (потребности) и подстраивать под него предложения компании. С другой стороны, практически невозможно создать инновационный для отрасли успешный продукт, ориентируясь на существующий рыночный спрос.

Требование выпуска конкурентоспособной продукции фактически связано с быстрым реагированием на изменения, происходящие на рынке. На это и нацелена деятельность производственных и управленческих структур. И тут практически невозможно различить маркетинг и управление, маркетинг и производство - они все более и более соединяются. Таким образом, маркетинг становится одной из важнейших концепций управления фирмами, предприятиями, компаниями.

Маркетинговую деятельность можно условно разделить на 4 направления:

•        сбор маркетинговой информации о внешней и внутренней среде компании - маркетинговые исследования, конкурентная разведка и т.п.;

•        анализ маркетинговой информации и принятие маркетинговых решений (сегментирование и выбор целевых сегментов, оценка конкурентоспособности, позиционирование и т.п.);

•        планирование маркетинговых мероприятий (разработка маркетинговой стратегии и плана маркетинга);

•        формирование и реализация комплекса маркетинга.

Целевая область маркетинга - это совокупность объектов, на которую направлена маркетинговая деятельность предприятия, и ради которой, собственно, и формируется маркетинг-микс. Она находится вне сферы самого предприятия и принадлежит к так называемой внешней маркетинговой среде (окружающей среде).

К целевым группам маркетинг-микса относятся, прежде всего, конечные потребители (пользователи) продукта или покупатели (торговля), организации, оказывающие влияние на предпочтения и конечный выбор потребителя и торговли, к которым можно отнести предприятия конкуренты, общества потребителей, средства массовой информации и т.п. Кроме того, как на само предприятие, так и на целевые группы маркетинг-микса оказывают существенное влияние, так называемые, факторы глобальной среды: экономическая конъюнктура, социально-политическая, демографическая, правовая и экологическая ситуации, научно-технический прогресс. Если на целевые группы предприятие может воздействовать, добиваясь своих целей, с помощью оптимально разработанного маркетинг-микса, то на глобальные факторы окружающей среды оно не может оказывать никакого воздействия, а должно прогнозировать их возможное развитие и учитывать в своей маркетинговой деятельности.

Организационная структура маркетинга представляет собой совокупность стоящих перед предприятием маркетинговых задач и определяет организационную структуру его службы маркетинга.

.3 Подходы к методам оценки эффективности маркетинговой деятельности

Эффективность маркетинга во многом зависит от того, как построена служба маркетинга в организации, какие задачи и на каком уровне она решает. При этом маркетинговая информация играет решающую роль, а специальные функции маркетинга должны быть интегрированы со специальными функциями других блоков и подсистем организации. Содержание процесса маркетинговой деятельности является определяющей составной части процесса менеджмента. Тем не менее, существуют множество разных подходов относительно решения данной проблемы (таблица 1.1.). Это позволило выделить следующую классификацию методов оценки эффективности маркетинга.

Таблица 1.1. Подходы различных авторов к методам оценки эффективности маркетинга

Автор

Метод оценки

Сущность метода

1. Хруцкий В.Е., Корнеева В.И.

Качественный, маркетинговый аудит

Использование маркетингового аудита, в ходе которого осуществляется всесторонний анализ внешней хозяйственной среды предприятия.

2. Хёршген Х.

Качественный, количественный, маркетинговый аудит

Маркетинговый контроль, направленный на результаты. Анализ качественных сторон деятельности предприятия (маркетинг-аудит). Оценка эффективности маркетинга через показатели сбыта.

3. Котлер Ф., Армстронг Г., Сондерс Дж., Вонг В.

Количественный

Анализ прибыльности, анализ издержек. Состоит из трех разделов: 1) описание рынка и позиций фирмы на нем; 2) описание конкурентов; 3) продвижение товара

4. Голубков Е.

Социологический

Использование инструментов прикладной социологии. Разработка программы социологического исследования и его проведение.

5. Фатхутдинов Р.А.

Балльный

Анализ эффективности маркетинга осуществляется экспертной группой, состоящей из 5-7 высококвалифицированных специалистов. Эффективность маркетинга определяется по каждому мероприятию на соблюдение перечня критериев соответствия структур и процессов концепции маркетинга. По каждому критерию выставляются определенные баллы.


Качественные методы предполагают использование маркетингового аудита, в ходе которого осуществляется всесторонний анализ внешней среды организации, а также всех угроз и возможностей. При этом можно выделить две области маркетингового контроля: маркетинговый контроль, ориентированный на результаты, и маркетинг-аудит, т.е. анализ качественных сторон деятельности организации. Эта концепция включает в себя следующие моменты:

•        Контроль основных гипотез и прогнозов о закономерностях и структурах развития маркетинговой макро- и микросреды;

•        Контроль целей и стратегических направлений деятельности фирмы, их адекватности требованиям рынка и маркетинговой среды, с одной стороны, и возможностям и особенностям самой фирмы, с другой стороны;

•        Контроль маркетинговой эффективности самой фирмы, маркетинг-микса, маркетингового бюджета;

•        Контроль организации (организационных структур фирм и правил их построения), а также систем и эффективности методов получения маркетинговой информации.

Количественные методы оценки эффективности маркетинга требует сравнения затрат на маркетинг с полученной валовой прибылью и затрат на рекламу к объему продаж; они характеризуют конечные финансовые результаты деятельности организации. Анализ маркетинговых затрат может осуществляться в три этапа:

•        изучение обычной бухгалтерской отчетности, сравнение поступлений от продаж и валовой прибыли с текущими статьями расходов (зарплатой, арендной платой, рекламой, транспортировкой, страхованием и т.д.);

•        пересчет расходов по функциям маркетинга (расходы на маркетинговые исследования, маркетинговое планирование и контроль, рекламу и персональные продажи, хранение и транспортировку). Составляется сложная таблица расчетов, включающая в себя текущие статьи расходов, их разбивку по целям затрат на маркетинг. Такой анализ позволяет связать текущие затраты с конкретной маркетинговой деятельностью;

•        Разбивка функциональных расходов маркетинга по отдельным товарам, методам и формам реализации, сбытовым территориям и рыночным сегментам, каналам сбыта, потребителям и т.д. Составляется таблица, включающая в себя все функциональные статьи расходов на цели маркетинга и отдельные товары, рынки и прочее.

Социологические методы оценки эффективности маркетинга нацелены на использование инструментов прикладной социологии - разработку программу социологического исследования и, в соответствии с ней, проведение самого исследования.

Балльные методы оценки эффективности маркетинга «вычленяют» его эффективность по каждому мероприятию на соблюдение перечня критериев соответствия структур и процессов концепции маркетинга с выставлением определенных баллов по каждому критерию.

Экспертную группу рекомендуется формировать из нескольких высококвалифицированных специалистов, знающих менеджмент, маркетинг, экономику, технику. Желательно, чтобы в эту группу входили 1-2 специалиста со стороны и менеджеры высшего звена (главные специалисты) своей организации. В условиях рыночных отношений не может быть унифицированной системы показателей, позволяющих оценить эффективность маркетинга. Поэтому каждое предприятие может самостоятельно разрабатывать такую систему.

В настоящее время появляется все большее число информационных методов оценки эффективности маркетинга, которые наиболее широко распространены в сети Internet. Суть данных методов заключается в том, что для оценки эффективности маркетинга используются программы Sales Expert 2, Success и др. Так, например, система Sales Expert 2 вобрала в себя пожелания свыше 600 российских пользователей первой версии Sales Expert и является в настоящее время самой распространенной в России и СНГ. Она предлагает пользователям значительно больше возможностей для сбора маркетинговой информации и оценки маркетинга, управления процессами маркетинговой информации и оценки маркетинга, управления процессами работы с клиентами и автоматизации работы сотрудников. При этом система позволяет гибко настраивать справочники - списки регионов, городов, отраслей, сегментов, причин покупки и отказа и любых других - для сбора маркетинговой информации.

Выделяют 4 типа контроля маркетинговой деятельности: контроль ежегодных планов, прибыльности, эффективности и стратегический (таблица 1.2).

Контроль ежегодных планов.

Цель данного контроля удостовериться в том, что компания достигла своих целей по сбыту, прибыли и другим показателям, установленным в годовом плане. Главное в контроле ежегодных планов - управление по целям, в котором выделяют четыре этапа:

•        Постановка целей (чего мы хотим достичь?);

•        Измерение показателей деятельности (что происходит?);

•        Анализ деятельности (почему это происходит?);

•        Корректирующие действия (что с этим делать?).

Прежде всего, руководство устанавливает цели на месяц или квартал. Затем осуществляется контроль над рыночной деятельностью фирмы. Если возникают серьезные отклонения, менеджмент обязан идентифицировать их причины. На завершающем этапе предпринимаются корректирующие шаги, направленные на сокращение разрывов между реальными и намеченными показателями.

Контроль над выполнением плана осуществляется посредством анализа показателей продаж, доли рынка товаров и компании, соотношения маркетинговых затрат и объемов сбыта, финансов и достижений.

Контроль прибыльности

Компании должны измерять прибыльность своих продуктов; территорий, на которых осуществляется сбыт; группы покупателей; сегменты рынка; маркетинговые каналы и размеры партий заказов. Такая информация позволяет руководству фирмы определить целесообразность расширения производства, сокращения или прекращения поддержки конкретных товаров и различных маркетинговых действий.

Этапы анализа маркетинговой прибыльности:

•        Определение функциональных затрат;

•        назначение функциональных затрат маркетинговым объектам;

•        составление отчета о прибылях и убытках для каждого маркетингового объекта.

Таблица 1.2. Типы маркетингового контроля

Тип контроля

Кто отвечает

Цель контроля

Подходы

Контроль ежегодных планов

Высшее руководство Менеджеры среднего звена

Узнать, достигаются ли запланированные результаты

• Анализ сбыта • Анализ доли рынка • Сравнение затрат и продаж • Финансовый анализ • Маркетинговый оценочный анализ

Контроль прибыльности

Маркетинговый контролер (инспектор)

Определить, куда идут и где теряются деньги компании

Оценить прибыльность по: • Продуктам • Территориям • Покупателям • Сегментам рынка • Каналам сбыта • Размерам заказов

Контроль эффективности

Линейные и функциональные менеджеры Маркетинговый контролер (инспектор)

Оценить и улучшить эффективность расходования средств и влияние маркетинговых расходов

Оценить эффективность: • Торгового персонала • Рекламы • Стимулирования сбыта • Распределения

Стратегический контроль

Высшее руководство Маркетинговый аудитор

Выяснить, использует ли компания свои максимальные возможности в смысле рынков, товаров и каналов распределения

Инструменты оценки эффективности маркетинга: • Маркетинговый аудит • Пересмотр качества маркетинга • Пересмотр этической и социальной ответственности компании


После проведения анализа определяется наилучшее корректирующее воздействие. Анализ маркетинговой прибыльности, впрочем, как и любой другой источник информации, может направить маркетологов как по верному, так и по ошибочному пути. Все зависит от того, осознают ли менеджеры достоинства и недостатки предлагаемых методов анализа.

Контроль над эффективностью.

В некоторых компаниях введена должность маркетингового контролера, или инспектора, который помогает маркетологам повысить эффективность работы. Контролеры не работают в офисах, но тем не менее специализируются именно на маркетинговой стороне бизнеса. Они следят за выполнением планов по прибыли, консультируют менеджеров по маркам в составлении бюджетов, измеряют эффективность продвижения, анализируют затраты на рекламу и публикации в различных средствах массовой информации, оценивают прибыльность различных групп покупателей и географических регионов, обучают маркетинговых работников использованию в процессе принятия решений финансовых показателей.

Эффективность торгового персонала. Менеджеры службы сбыта должны отслеживать следующие показатели деятельности торговых работников:

•        среднее число телефонных звонков (с предложением заключить сделку) на одного работника в день;

•        среднее время одного телефонного контакта;

•        средние затраты и средний доход на один звонок;

•        процент заказов на 100 звонков;

•        число новых покупателей за период, число потерянных покупателей за период;

•        затраты на содержание торгового персонала в процентах от объема продаж.

Когда компания начинает изучать эффективность торгового персонала, она всегда находит области, нуждающиеся в усовершенствованиях.

Эффективность рекламы. Многие считают, что измерить действенность проведенной рекламной кампании практически невозможно. Однако необходимо контролировать динамику следующих показателей:

•        процент аудитории, заметившей, просмотревшей или прочитавшей большую часть рекламного обращения;

•        мнения потребителей о содержании и эффективности рекламы;

•        отношение к продукту после рекламы;

•        число запросов товара, вызванное рекламным обращением;

•        расходы на один запрос (покупку).

Для повышения эффективности рекламы может быть принят ряд мер, включая улучшенное позиционирование продукта, четкое определение целей рекламы, предварительное тестирование сообщений, компьютерный отбор средств рекламы, поиск наиболее выгодных средств рекламы, проведение тестов и опросов после подачи рекламы.

Эффективность стимулирования сбыта. Стимулирование сбыта включает в себя десятки методов повышения интереса покупателей к товару. Для повышения эффективности этих мероприятий необходимо фиксировать затраты на каждое подобное мероприятие, а также его влияние на сбыт и постоянно отслеживать динамику следующих показателей:

•        доля продаж, совершенных в рамках мероприятия по стимулированию, в общем объеме сбыта;

•        сумма затрат на представление товара на каждый рубль от продаж;

•        процент возмещенных купонов;

•        число запросов (покупок), вызванных демонстрацией продукта.

Если в компании есть менеджер по стимулированию сбыта, он может проанализировать результаты различных мероприятий и выдать рекомендации менеджерам по продуктам о том, какие из товаров являются наиболее эффективными.

Эффективность распределения. Компания должна стремиться к снижению затрат на распределение своей продукции. Существует несколько способов улучшения контроля над запасами, расположением складов, способами транспортировки. Одна из наиболее типичных проблем заключается в том, что когда сбыт компании резко возрастет, показатели эффективности распределения снижаются. П. Сенге, например, описывает ситуацию, когда значительное увеличение объема продаж привело к тому, что компания оказалась не в состоянии соблюдать намеченные сроки поставок. Такая ситуация провоцирует распространение негативной информации о компании, и в итоге объем продаж уменьшается. Чтобы избежать подобных проблем, менеджменту необходимо идентифицировать узкие места и увеличить инвестиции в производство и распределение.

Стратегический контроль.

Время от времени менеджмент должен проводить анализ маркетинговой деятельности и полностью пересматривать маркетинговые цели. Кроме того, периодически следует переоценивать стратегический подход к рынку. Для этого применяют два инструмента: оценку эффективности маркетинга и маркетинговый аудит.

Оценка эффективности маркетинга. Эффективность маркетинга компании или подразделения характеризуется пятью составляющими маркетинговой ориентации: направленностью на покупателя, маркетинговой интеграцией, адекватностью информации, стратегической ориентацией и операционной эффективностью.

Контроль доли рынка сбыта. Доля рынка - это отношение сбыта предприятия к сбыту продукта в целом, к сбыту отраслевого лидера или нескольких важнейших конкурентов. Доля рынка отражает позицию предприятия на рынке. Однако рост сбыта еще не говорит об усилении позиции, поскольку рынок может расти еще быстрее. Было доказано, что высокая доля рынка дает предприятию преимущества по отношению к конкурентам с точки зрения возможности снижения затрат. Падение доли рынка означает, что в концепции маркетинга есть слабые места, за исключением следующих ситуаций:

•        в отрасли появилось новое предприятие;

•        сбыт был уменьшен намеренно с целью увеличения прибыли;

•        падение доли рынка явилось результатом случайных событий, например, в результате поступления большого заказа не в конце года, а в начале следующего.

Для расчета доли рынка необходимо иметь точные данные о собственном сбыте и объеме рынка. Точность показателя зависит от совпадения частей формулы с точки зрения продукта, пространства и времени (возникают особые проблемы с определением объемов рынка).

Маркетинговый контроль предполагает подсчет полных издержек на производство и сбыт товара, затем измеряются затраты на продажу в разбивке по отдельным составляющим (сбыт, реклама, транспортировка и т.д.), далее исчисляются издержки отдельно по каждому сбытовому каналу и определяются прибыли и убытки, чтобы выявить наиболее перспективные из них и скорректировать сбытовую политику фирмы.

Анализ соотношения между затратами на маркетинг и сбытом позволяет определить эффективность маркетинговых мер и соразмерно затрачиваемые средства и не дает расходовать необоснованно большие суммы на достижение маркетинговых целей.

Обычно анализ результатов деятельности службы сбыта осуществляется в три этапа. Затраты на сбыт включают все расходы, связанные с продажей товара, в том числе и те, что были произведены в других сферах деятельности предприятия.

•        Расчет результатов сбыта по сегментам рынка. В ходе анализа по сегментам проводится сопоставление расходов и доходов по отдельным целевым группам. В этой связи возникает необходимость правильного распределения затрат по сегментам. При распределении затрат возможен расчет по методу полных и методу частичных затрат.

•        Расчет по методу полных затрат учитывает и единичные, и общие затраты на сбыт. Каждый сегмент имеет свою долю в общих затратах. Возможно сравнение нетто-прибыли по сегменту с результатами других сегментов, с планом и прошлыми периодами.

По крупным сегментам групп продуктов, регионам сбыта метод приносит более точные результаты. Порядок расчета обычен: вначале определяются прямые затраты на сбыт по сегменту, затем общие затраты распределяются с помощью процентов, добавок и т.д. Правомерность распределения почти всегда проблематична, поэтому лучше дополнять результаты расчетами по методу частичных затрат.

•        Расчет по методу частичных затрат. Применяя данный метод, в итоге получают сумму, которую сегмент приносит для покрытия общих затрат и прибыли. Точность метода повышается, если расчет ведется на основе предельных затрат (тех затрат, которые исчезают при удалении сегмента). Анализ носит прежде всего тактический характер, поскольку общие затраты на сбыт нельзя устранить за короткий промежуток времени.

Маркетинговый аудит. Компании, обнаруживающие, что эффективность их маркетинга невелика, должны предпринять более глубокое исследование, проведя маркетинговый аудит.

Маркетинговый аудит - это независимое периодическое всестороннее исследование компанией (или ее подразделениями) маркетинговой среды, целей, стратегий и деятельности с точки зрения выявления проблем и скрытого потенциала, а также разработки плана действий по улучшению маркетинга.

Основные черты маркетингового аудита:

•        широта охвата. В маркетинговом аудите рассматриваются все основные направления маркетинга компании, а не только «проблемные места». Если проводится только исследование торгового персонала, ценообразования или других направлений маркетинговой деятельности, такой аудит называется функциональным. Обширный маркетинговый аудит, как правило, оказывается более действенным в плане обнаружения истинных источников проблем компании.

•        Системность. Аудит подразумевает упорядоченное изучение макро- и микромаркетинговой среды компании, ее маркетинговых целей и стратегий, систем маркетинга и отдельных мероприятий. В ходе этого исследования определяются направления, работа по которым нуждается в немедленных изменениях. Впоследствии на основе проверок составляется план корректирующих действий, включающий в себя как краткосрочные, так и долгосрочные цели, направленные на повышение общей эффективности маркетинга компании.

•        Независимость. Выделяют шесть способов проведения маркетингового аудита: самоаудит, поперечный аудит, аудит сверху, аудит, проводимый аудиторским отделом компании, аудит, проводимый специальной группой работников, внешний аудит. Лучший аудит, как правило, - это аудит, проводимый внешними специалистами-консультантами, отличающимися объективностью и большим опытом работы в различных отраслях и целиком посвящающими свое время только аудиту.

•        Периодичность. Обычно к маркетинговому аудиту обращаются только после снижения объема продаж, падения «боевого духа» торгового персонала или возникновения других проблем. Однако компании попадают в кризисные ситуации отчасти потому, что не смогли вовремя проанализировать достоинства и ошибки маркетинга. Периодически проводимый аудит весьма полезен как «здоровым», так и «захворавшим» компаниям.

Маркетинговый аудит начинается со встречи руководителя компании с аудитором и выработки соглашения о целях исследования, охвате, глубине, источниках данных, форме отчетности и времени проведения. Составляется детальный план: кого опросить, какие вопросы задать, когда и где встретиться и т.д. Основное правило маркетингового аудита: нельзя полагаться на данные и мнения одних лишь менеджеров компании. Опросить следует и клиентов, и поставщиков. Ведь многие компании даже не знают, как их оценивают деловые партнеры, не полностью понимают их потребности.

Таким образом, ввиду отсутствия единой методики вопрос об оценке эффективности маркетинга в каждой организации решается самостоятельно. Определение лишь показателей сбыта в качестве показателей эффективности маркетинга представляется весьма узким подходом: для наиболее полной оценки эффективности маркетинговой деятельности необходимо применять сочетание нескольких методов оценки, позволяющих проанализировать ошибки и просчеты в управлении бизнесом, возможные угрозы и потенциальные возможности организации для дальнейшего роста.

Вышеизложенное позволяет предложить следующую схему проведения анализа маркетинга в организации.

На первом этапе целесообразно проанализировать маркетинговую информационную систему, поскольку способность организации получать своевременную, полную и достоверную информацию в первую очередь определяет возможность разработки обоснованных долговременных и текущих стратегий программы. На рисунке 1.2 представлена концепция маркетинговой информационной системы.

Управляющий по маркетингу оценивает потребность в информации. Для сбора информации используется внутрифирменная отчетность, внешние данные, маркетинговые исследования.

Маркетинговая информация - это знания, сведения, данные о каком-либо объекте, событии, процессе или явлении, необходимые для подготовки и принятия маркетинговых решений.

Маркетинговая информация может быть классифицирована:

•        по источнику и способу получения: вторичная и первичная информация;

•        по характеру информации: количественная и качественная информация;

•        по информационным потокам относительно отдела маркетинга: входящая, анализируемая, хранимая, выходящая.

Первичная информация - это информация об объекте исследования, полученная непосредственно от источника (в момент возникновения) в результате специально проведенных для решения конкретных проблем так называемых полевых маркетинговых исследований.

Под вторичной информацией, применяемой при проведении, так называемых, кабинетных маркетинговых исследований, понимают информацию об объекте исследования, собранную ранее из внешних и внутренних источников для целей, отличных от целей конкретного маркетингового исследования. Источники вторичной информации делятся по отношению к предприятию на внутренние и внешние.

К основным недостаткам вторичной информации по сравнению с первичной можно отнести трудность оценки полноты, достоверности и возможности использования информации, а также ее доступность для конкурентов. Достоинствами вторичной информации, как правило, являются: быстрота получения и меньшая стоимость по сравнению с первичной информацией и возможность сопоставления нескольких источников.

Система маркетинговой информации - это совокупность персонала, оборудования, процедур и методов, предназначенная для сбора, обработки, анализа и распределения своевременной и достоверной информации, необходимой для подготовки и принятия маркетинговых решений.

Концептуальная модель системы маркетинговой информации (маркетинговой информационной системы) представлена на рис.

Маркетинговая информационная система (МИС)

Подсистема внутренней отчетности является основой МИС. Она отвечает за сбор, обработку анализ внутренних данных. В распоряжении любого предприятия всегда находится очень ценная информация о запасах продукции, объемах продаж, затратах на рекламу, выручке. Даже эти данные, которые так легко собрать, которые могут стать незаменимым инструментом для наблюдения за состоянием предприятия, снижения издержек, повышения эффективности деятельности, зачастую не сохраняются и не используются. Система внутренней отчетности позволяет сохранить эти данные и преобразовать в удобную для работы форму, в результате чего можно анализировать прибыльность конкретных товаров / услуг, каналов распределения, потребителей, динамику объемов продаж и т.п. Анализ внутренней информации позволяет менеджеру по маркетингу выявить перспективные возможности и насущные проблемы предприятия.

В то время как подсистема внутренней отчетности содержит и предоставляет данные о том, что уже произошло, подсистема системы маркетингового наблюдения предоставляет сведения о ситуации на рынке в данный момент. Маркетинговое наблюдение определяется как постоянная деятельность по сбору текущей информации об изменении внешней среды маркетинга, необходимой как для разработки, так и для корректировки маркетинговых планов. Включает в себя отслеживание изменений в законодательстве, экономическом состоянии страны / региона и уровне доходов граждан, изменений в технологии производства товаров компании, появлении новых технологий и новых конкурентных товаров, и т.п. Все эти параметры могут повлиять на бизнес компании, поэтому необходимо своевременно их распознавать и корректировать деятельность предприятия в соответствии с их изменением.

Маркетинговые исследования в отличие от маркетингового наблюдения предполагают подготовку и проведение различных обследований, анализ полученных данных по конкретной маркетинговой задаче, стоящей перед предприятием. Включает маркетинговые исследования, заказываемые у исследовательской фирмы либо проводимые самостоятельно, по результатам которых будет решаться конкретная проблема (определена целесообразность разработки нового товара, выбрано место открытия нового магазина, произведен запуск рекламной кампании). Основное отличие системы маркетинговых исследований от системы наблюдения за внешней средой заключается в том, что в системе наблюдения мониторинг ведется постоянно и по его результатам не предусмотрены какие-либо оперативные действия (за исключением резкого непредвиденного изменения ситуации, требующего от предприятия принятия ответных мер). Система маркетинговых исследований, напротив, собирает информацию разово, для решения конкретной проблемы.

В МИС также входит подсистема обеспечения маркетинговых решений, которая представляет собой взаимосвязанный набор систем данных, инструментов и методик, с помощью которого предприятие анализирует и интерпретирует внутреннюю и внешнюю информацию.

Первый этап анализа тесно связан со вторым этапом - анализом организации маркетинговой деятельности, поскольку эффективность функционирования маркетинговой информационной системы непосредственно определяется уровнем организации процесса маркетинговой деятельности.

Третий и четвертый этапы анализа, посвященные оценке тактических стратегических возможностей организации соответственно, также тесно взаимосвязаны и представляют собой итеративный процесс. Как третий, так и четвертый этап тесно связан с анализом потребителей и конкурентов той или иной степени глубины.


2. Анализ маркетинговой и финансово-экономической деятельности ООО «Реактор»

Под анализом в широком плане понимается способ познания предметов и явлений окружающей среды, основанный на расчленении целого на составные части и изучении их во всем многообразии связей и зависимостей.

Комплексный анализ представляет собой совокупность определенных принципов, методов и приемов всестороннего изучения деятельности предприятия.

Комплексный анализ должен стать тем инструментом, с помощью которого анализ деятельности предприятия должен выполнять свою многоцелевую функцию в современном управлении организацией.

В дипломном проекте для проведения комплексного анализа использовались экономический, финансовый и маркетинговый анализ деятельности фирмы.

.1 Краткая характеристика компании

Предприятие «Реактор» учреждено на основании решения участников от 23 марта 2009 года в форме общества с ограниченной ответственностью в соответствии с Законом «Об обществах с ограниченной ответственностью» и Гражданским Кодексом РФ. Учредитель ООО «Реактор» - Воробьев Алексей Юрьевич.

Зарегистрировано Администрацией г. Иркутск. Регистрационный №158 от 9 апреля 2009 года.

Общество является юридическим лицом и имеет в собственности обособленное имущество, может от своего имени приобретать и осуществлять имущественные и личные неимущественные права, нести обязанности, быть истцом и ответчиком в суде, арбитражном суде, третейском суде.

Общество имеет самостоятельный баланс, вправе в установленном порядке открывать расчетные и иные счета в банках на территории Российской Федерации и за ее пределами.

Общество имеет круглую печать, бланки со своим наименованием, торговый знак, иные средства индивидуализации.

Контактная информация:

адрес: г. Иркутск, ул. Зверева, 52;

е-mail: ast.int.38@mail.ru;

телефон: 64-91-00.

Целью деятельности общества является получение прибыли его участниками на основе удовлетворения потребностей граждан, хозяйственных обществ и любых других законных образований в товарах, работах и услугах, предлагаемых обществом.

Основные виды деятельности общества в соответствии с Уставом:

•        реализация запасных частей к автомототранспортной технике;

•        доработка и доукомплектование автомототранспортной техники;

•        изготовление, приобретение, монтаж и наладка дополнительного и специального оборудования для автомототранспортной техники;

•        услуги по предпродажной подготовке автомототранспортной техники;

•        торгово-закупочная и посредническая деятельность;

•        компьютерная диагностика электрооборудования автомобиля;

•        ремонт и техническое обслуживание автомототранспортных средств;

•        аэрография;

•        проектирование, курирование, воплощение, настройка проектов для автоспорта;

•        доработка деталей подвески и кузовных элементов, установка ламбо-дверей, раскатка арок;

•        другие виды деятельности, не противоречащие законодательству, при получении, в случае необходимости, соответствующей лицензии.

В настоящий момент предприятие работает на рынке дооборудования автотранспортных средств системами безопасности и комфорта и оказывает услуги по обслуживанию и ремонту различных систем и узлов автомобилей. Так же, выполняет работы тонированию стекол, установке люков, стеклоподъемников и многое другое. Таким образом, товаром предприятия является услуга потребителю по дооборудованию его автомобиля. Эта деятельность осуществляется предприятием на основании Сертификата соответствия №РОСС RU.У087.У00177 от 07.06.2009 г.

При формировании и осуществлении технической политики предприятия основной упор делается на высокое качество выполняемых работ и разнообразие в предлагаемом оборудовании.

Численность работающих на данный момент составляет 7 человек. Предприятие имеет в собственности 3 гаражных бокса, которые являются производственными площадями для проведения различных работ с автомототранспортной техникой и арендуемый офис в бизнес-центре Europlaza.

Работы выполняются по индивидуальному заказу конкретного потребителя. Работа предприятия подвержена воздействию цикличности сезонного спроса, когда наибольшая загруженность весной и летом, наименьшая загруженность - зимой.

Предприятие работает и с физическими, и с юридическими лицами. Территориально подавляющее большинство потребителей проживает (расположено) в городе Иркутске и Иркутской области, незначительное количество потребителей приезжает из Республики Бурятия.

Предприятие является малым и платит налог на вмененный доход на основании пп. 3 п. 2 ст. 346.26 гл. 26.3 НК.

Все предприятие подчиняется общему режиму внутреннего распорядка. Режим работы: по будням с 10:00 до 19:00, по субботам с 10:00 до 18:00. Обеденный перерыв: с 12.00 до 13.00. При наличии срочного заказа сервис работает круглосуточно и без выходных.

Цели предприятия.

Обобщённая цель организации:

•        предоставлять своим клиентам так же, как и ранее, только высококачественные услуги по дооборудованию и ремонту автомобилей;

•        удержание постоянных клиентов и поиск новых.

Рыночная цель:

•        добиться ежедневной интенсивной загрузки производственного персонала без вынужденных простоев, не прибегая к обвалу цен на наши услуги;

•        увеличить своё присутствие на рынке, как за счёт увеличения объемов оказываемых сегодня услуг, так и за счет разработки новых направлений деятельности;

Инновационная цель:

•        внедрение дополнительных видов услуг;

•        открытие новых направлений деятельности с дополнительным набором персонала.

Ресурсная цель:

•        привлечение на работу только квалифицированных специалистов;

•        поиск возможностей по расширению текущих запасов популярных комплектующих и расходных материалов;

•        поиск возможностей приобретения новых основных средств производства.

Цель повышения эффективности:

•        радикальное улучшение менеджмента и работы с клиентами;

•        внедрение современных компьютерных систем обработки информации;

•        поиск и привлечение к сотрудничеству новых поставщиков комплектующих и расходных материалов.

Социальная цель:

•        поддержание в коллективе атмосферы дружбы, товарищества, взаимопомощи и уважения;

•        развитие корпоративной культуры;

•        развитие социальных связей с населением города путем участия в различных общегородских мероприятиях;

•        открытие новых рабочих мест.

•        Миссия предприятия звучит следующим образом: мы работаем, чтобы дать автомобилисту услуги высшего качества по повышению комфорта и безопасности его автомобиля и доставить удовольствие от результатов нашей работы. Наша главная цель - быть лидером и примером на иркутском рынке оснащения автомобилей системами безопасности и комфорта.

•        Девиз предприятия: «к автомобилю по-человечески».

.2 Анализ финансовой деятельности

Для оценки финансового состояния предприятия необходимо провести финансовый анализ, который даст возможность подведения определенных итогов работы предприятия, сформировать выводы по комплексному анализу деятельности фирмы.

Финансовый анализ - изучение основных параметров, коэффициентов и мультипликаторов, дающих объективную оценку финансового состояния предприятия.

Анализ состава и структуры имущества предприятия

Каждое предприятие начиная свою деятельность формирует имущество при помощи которого, оно сможет производить услуги, работы, продукции для получения прибыли. Имущество предприятия отражено в активе бухгалтерского баланса и все статьи расположены в нем по степени возрастания ликвидности. Имущество предприятия разделено на 2 группы:

внеоборотные активы - основной капитал;

оборотные активы - оборотный капитал.

В основном капитале сосредоточены средства труда, которые многократно участвуют в процессе производства продукции.

В оборотном капитале сосредоточены предметы труда, которые однократно используются в процессе производства продукции и полностью переносят свою стоимость на вновь созданный продукт. Имущество предприятия анализируется в разрезе его состава и структуры (таблица 2.1.)

Таблица 2.1. Анализ состава и структуры имущества предприятия

Показатель

2010 год

2011 год


Сумма

Доля

Сумма

Доля

∆±

Темп

Доля


руб.

%

руб.

%




1. Нематериальные активы

24 691

5,5

13 086

2,1

-11 605

-47

-3,4

2. Основные средства

123 456

27,7

65 432

10,3

-58 024

-46,9

-17,4

3. Долгосрочные финансовые вложения

61 728

13,9

39 259

6,2

-22 469

-99

-7,7

4. Прочие внеоборотные активы

235 807

52,9

515 865

81,4

280 058

118,7

28,5

Основной капитал

445 682

53

633 642

66,7

187 960

42,2

13,7

164 388

41,6

136 407

14,4

-27 981

-17,02

-27,2

-сырье материалы

3 817

2,3

3 973

2,9

156

4,08

0,6

- незавершенное производство

51 007

31

64 651

47,4

13 644

26,7

16,4

-готовая продукция

70 321

42,8

7 327

5,4

-62 994

-89,5

-37,4

Окончание таблицы 2.1

- расходы будущих периодов

8 524

5,2

54 203

39,7

45 679

104,7

34,5

2. Налог на добавленную стоимость

32 897

8,3

67 356

7,1

34 459

-33,7

-1,2

3. Просроченная дебиторская задолжен.

741

0,2

818

0,1

77

5 373,2

-0,1

4. Дебиторская задолженность

24 691

6,3

16 358

1,7

-8 333

300,42

-4,6

5. Краткосрочные финансовые вложения

22 403

5,7

131 571

13,8

106 880

5373,2

8,1

6. Денежные средства

149 354

37,9

598 049

62,9

448 695

300,42

25

Оборотный капитал

394 474

47

950 559

33,3

556 085

140,9

-13,7

Имущество

840 156

100

1584 201

100

744 045

88,6

-

∆ - изменение;

∆± - абсолютное изменение;

Темп ∆ - темп изменения;

Доля ∆ - доля изменения;

Проводя анализ по составу и структуре имущества предприятия можно сделать следующий вывод:

В отчетном периоде имущество предприятия увеличилось на 744 045 руб., т.е. на 88,6%, в том числе основной капитал увеличился на 187 960 руб., т.е. на 42,2% и оборотный капитал увеличился на 556 085 руб., т.е. на 140,9%. Рассматривая состав основного капитала, мы видим, что большое увеличение имеется в статье прочие внеоборотные активы на 280 058 руб. Наибольшее уменьшение наблюдается в статье основные средства на -58 024 руб.

Рассматривая состав оборотного капитала, мы видим, что наибольшее снижение наблюдается в статье готовая продукция на 62 994 руб. А наибольшее увеличение наблюдается в статье денежные средства на 448 695 руб.

Доля денежных средств на 2010 год составляет 37,9%, а на 2011 год 62,9% - это говорит о том, что предприятие нерационально использует денежные средства. Показатель дебиторской задолженности на 2010 год составляет 6,3%, а на 2011 год 1,7%. В обоих случаях предприятие в будущем не получит выручки для расчета по своим обязательствам. ПДЗ на 2010 год составляет 3%, в этой статье говориться об отсутствии контроля на предприятие за системой расчетов, ПДЗ на 2011 год 5% - показатель в норме. Доля запасов на 2010 год составляет 41,6 - это говорит о наращивание объемов производства или о наличие залежалых и неликвидных остатков на складах. На 2011 год доля запасов составляет 14,4%. - этот показатель в пределах нормального уровня.

Рассмотрим в структуре запасов долю НП: на 2010 год составляет 31,0%, а на 2011 год 47,4%. Доля ГП на 2011 год 42,8%. Эти показатели говорят о том, что продукция предприятия не пользуется спросом и происходит ее затоваривание. А на 2011 год доля ГП 5,4% - это говорит о том, что показатель находиться в пределах нормального уровня.

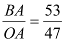
Далее проводим анализ структуры имущества. На 2010 год  соотношение нормальное. На 2011 год  это говорит о том, что структура имущества неудовлетворительная, т.к. у предприятия не хватает ОС для расширения производства или на предприятие большой удельный вес устарелого оборудования.

Таблица 2.2. Анализ капитала предприятия

Показатель

2010 год

2011 год


Сумма

Доля

Сумма

Доля

∆±

Темп

Доля


руб.

%

руб.

%


Собственный капитал

655 860

100

1 299 952

100

644 092

-

-

Нераспределенная прибыль(убыток)

-336 178

-51,3

286 952

22,1

623 130

-

-

Собственный капитал

655 860

78,1

1 299 952

82,1

644 092

98,2

4

Заемный капитал

184 296

21,9

284 249

17,9

99 953

54,2

-4

Окончание таблицы 2.2

Показатель

2010 год

2011 год


Сумма

Доля

Сумма

Доля

∆±

Темп

Доля


руб.

%

руб.

%


1. Долгосрочные обязательства

5 426

2,9

22 255

7,8

16 829

-

-

2. Краткосрочные обязательства

178 870

97,1

261 994

92,2

83 124

-

-

- краткосрочные займы и кредиты

18 992

10,6

77 891

29,7

58 899

-

-

- кредиторская задолженность

29 232

16,4

34 513

13,2

5 281

-

-

- резервы предстоящих расходов

130 646

73

149 590

57,1

-14 103

-

-

Капитал

840 156

3,3

1 584 201

-

744 045

88,6

-


Проводя анализ по составу и структуре капитала предприятия можно сделать следующий вывод:

В отчетном периоде капитал предприятия увеличился на 744 045 руб., т.е. на 88,6%, в том числе собственный капитал увеличился на 644 092 руб., т.е. 98,2% и заемный капитал увеличился на 99 953 руб., т.е. на 54,2%. Рассматривая состав заемного капитала, мы видим, что наибольшее увеличение имеется краткосрочных обязательств на 83 124 руб. Снижение наблюдается в резервах предстоящих расходов на 14 103 руб.

Далее проводим анализ структуры капитала. На 2010 год  это говорит о том, что структура предприятия очень устойчивая, но предприятие практически не развивается, т.е. не расширяет связей и довольствуется умеренными темпами роста. На 2011 год , то же самое что и за 2010 год. Далее рассмотрим структуру ЗК, в котором соотношение на 2010 год , а на 2011 год  то говорит о финансовой устойчивости предприятия. Доля кредиторской задолженности показывает нормальные данные - 16,4% на 2010 год и 13,2% на 2011 год. Доля ФиР составляет 73% на 2008 год и 57,1% на 2011 год, доля в структуре КО не возрастает.

Анализ ликвидности баланса

Ликвидность - это способность активов превращаться в деньги.

Для анализа ликвидности баланса предприятия нужно сгруппировать активы по степени ликвидности, а пассивы по степени срочности платежи.

Для группировки активов и пассивов используют следующие показатели:

А1 - абсолютно ликвидные активы (денежные средства + краткосрочные финансовые вложения);

А2 - быстро ликвидные активы (дебиторская задолженность + прочие оборотные активы);

А3 - медленно реализуемые активы (запасы - расходы будущих периодов + НДС + долгосрочные финансовые вложения);

А4 - трудно реализуемые активы (внеоборотные активы - долгосрочные финансовые вложения + расходы будущих периодов + просроченная дебиторская задолженность);

П1 - наиболее срочные обязательства (кредиторская задолженность);

П2 - срочные обязательства (займы и кредиты);

П3 - долгосрочные обязательства;

П4 - собственный капитал.

Сгруппировать активы следующим образом:

А1 = ДС + КФВ,

где А1 - абсолютно ликвидные активы;

ДС - денежные средства;

КФВ - краткосрочные финансовые вложения.

А1(2010) = 149 354 + 22 403 = 171 757

А1(2011) = 598 049 + 131 571 = 729 620

А2 = ДЗ + ПОА,

где А2 - быстро ликвидные активы;

ДЗ - дебиторская задолженность;

ПОА - прочие оборотные активы.

А2(2010) = 24 691

А2(2011) = 16 358

А3 = (З - РБП) + НДС + ДФВ,

где А3 - медленно реализуемые активы;

З - запасы;

РБП - расходы будущих периодов;

НДС - налог на добавленную стоимость;

ДФВ - долгосрочные финансовые вложения.

А3(2010) = (164 388 - 8 524) + 32 897 + 61 728 = 250 489

А3(2011) = (136 407 - 54 203) + 67 356 + 39 259 = 188 819

А4 = (ВА - ДФВ) + РБП + ПДЗ,

где А4 - трудно реализуемые активы;

ВА - внеоборотные активы;

ПДЗ - просроченная дебиторская задолженность.

А4(2010) = (445 682 - 61 728) + 8 524 + 741 = 393 219

А4(2011) = (633 642 - 39 259) + 54 203 + 818 = 649 404

П1 = КЗ + ПКП,

где П1 - наиболее срочные обязательства;

КЗ - кредиторская задолженность;

ПКП - прочие краткосрочные обязательства.

П1(2010) = 29 232

П1(2011) = 34 513

П2 = КЗС,

где П2 - срочные обязательства;

П2(2010) = 18 992

П2(2011) = 77 891

П3 = ДО,

где П3 - долгосрочные обязательства;

ДО - долгосрочные обязательства.

П3(2010) = 5 426

П3(2011) = 22 255

П4 = СК + ФиР,

где П4 - постоянные пассивы;

ФиР - резервы предстоящих расходов.

П4(2010) = 655 860 + 87 321 + 27 325 + 16 000 = 786 506

П4(2011) = 1 299 952 + 73 218 + 52 372 + 24 000 = 1 449 542

Таблица 2.3. Анализ ликвидности баланса предприятия







А - П

Актив (А)

2010 год

2011 год

Пассив (П)

2010 год

2011 год

2010 год

2011 год

∆±

А1

171 757

729 620

П1

29 232

34 513

142 525

695 107

552 582

А2

24 691

16 358

П2

18 992

77 891

5 699

-61 533

-67 232

А3

250 489

188 819

П3

5 426

22 255

245 063

166 564

-78 499

А4

393 219

649 404

П4

786 506

1 449 542

-393 287

-800 138

-406 851

ВБ

840 156

1 584 201

ВБ

840 156

1 584 201

-

-

-



Проводя анализ ликвидности баланса предприятия можно прийти к следующим выводам:

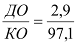
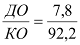
Сравнивая абсолютно ликвидные активы и наиболее срочные обязательства на 2010 и на 2011 год, можно сделать вывод о текущей ликвидности предприятия, т.к. А1 больше П1 на 552 582 и еще увеличивается. Сравнивая быстро ликвидные активы и срочные обязательства на 2010 год, данные говорят о текущей ликвидности предприятия, а на 2011 год показатели говорят о том, что предприятие не обладает быстрой ликвидностью, т.к. П2 меньше А2 на 61 533 и уменьшение произошло на 67 232. Сравнение медленно реализуемых активов и долгосрочных обязательств на 2010 и 2011 год показывает, что предприятие обладает перспективной ликвидностью в будущем, т.к. А3 больше чем П3 на 78 499.

Неравенство на 2010 год соблюдается и это говорит о том, что предприятие считается абсолютно ликвидным, а на 2011 год этого сказать нельзя, так как неравенство не соблюдается. Сравнение трудно реализуемых активов и постоянного пассива, как на 2010 г. так и на 2011 г. имеет отрицательное значение - это говорит о том, что все внеоборотные активы и часть оборотных активов сформирована за счет собственного и условно собственного капитала, т.е. предприятие финансово устойчивое, а его активы ликвидны.

Анализ платежеспособности предприятия

Платежеспособность предприятия - это его возможность оплачивать свои краткосрочные обязательства за счет различных элементов оборотных активов, обладающих различной ликвидностью. Платежеспособность оценивается при помощи системы показателей ликвидности.

1. Коэффициент ликвидного денежного потока (Клдп) - он показывает на сколько предприятие может покрыть свои краткосрочные обязательства (КО) за счет чистых денежных средств (ДС).

Клдп =,

КО = КЗС + КЗ + ПКП,

где КЗС - краткосрочные займы и кредиты;

КЗ - кредиторская задолженность;

Клдп(2010) =

Клдп(2011) =

2. Коэффициент абсолютной ликвидности (Кал) - он показывает какую часть краткосрочных обязательств предприятие может погасить за счет абсолютно-ликвидных активов (АЛА).

Кал = ,                      

АЛА = (ДС + КФВ),

где КФВ - краткосрочные финансовые вложения.

Кал(2010) =

Кал(2011) =

. Коэффициент быстрой (промежуточной) ликвидности (Кбл) - показывает какую часть краткосрочных обязательств предприятие может погасить за счет быстро ликвидных активов (БЛА).

Кбл = ,

БЛА = (ДС + КФВ + ДЗ),

где ДЗ - дебиторская задолженность, платежи по которой ожидаются более чем через 12 месяцев после отчетной даты.

Кбл(2010) =

Кбл(2011) =

4. Коэффициент текущей (общей) ликвидности (Ктл) - он показывает сможет ли рассчитаться предприятие по своим краткосрочным обязательствам за счет всех оборотных активов, скорректированных на статьи не имеющие ликвидности, в данном периоде в течение 1 года.

Ктл = ,

где РБП - расходы будущих периодов;

НДС - налог на добавленную стоимость по приобретенным ценностям.

Ктл(2010) =

Ктл(2011) =

Таблица 2.4. Анализ платежеспособности предприятия

Коэффициент



Изменение


Снижение или увеличение нормального уровня


2010 год

2011 год

∆±

Темп ∆

Норма

2010 год

2011 год

∆±

1. Коэффициент ликвидности денежного потока

3,09

5,32

2,23

72,16

0,1-0,2

2,89

5,12

2,23

2. Коэффициент абсолютной ликвидности

3,56

6,49

2,93

82,3

0,2-0,5

3,06

5,99

2,93

3. Коэффициент быстрой ликвидности

4,07

6,63

2,56

62,89

0,6-0,8

3,27

5,83

2,56

4. Коэффициент текущей (общей) ликвидности

7,3

7,36

0,06

0,82

1,0-2,0

5,3

5,36

0,06


Проводя анализ платежеспособности предприятия можно прийти к следующим выводам:

Рассматривая коэффициент денежного потока, 2011 год по сравнению с 2010 годом увеличился в 72,16 раза, по сравнению с нормальным уровнем на 2010 год коэффициент увеличился в 2,89 раза, а на 2011 год в 5,12 раза, т.е. в общем в 2,23 раза. Так как значение коэффициента выше верхнего предела, то это говорит о нерациональном хранение свободных денежных средств на расчетном счете.

Анализируя коэффициент абсолютной ликвидности, с 2010 года по 2011 год произошло увеличение в 82,3 раза, по сравнению с нормальным уровнем, который на 2010 год превысил в 3,06 раза, а на 2011 год в 5,99 раз, т.е. в целом в 2,93 раза. Так как значение коэффициента намного превышает верхний предел, то это говорит о большой доле вложений в ценные бумаги своих свободных денежных средств, может быть они не очень доходные.

Что касается коэффициента быстрой (промежуточной) ликвидности, 2011 год по сравнению с 2010 годом увеличился в 62,89 раза, по сравнению с нормальным уровнем на 2010 год коэффициент увеличился в 3,27 раза, а на конец 2011 года увеличение возросло в 5,83 раза, т.е. в общем в 2,56 раза. Превышение нормы верхней границы говорит о нерациональной политики выдачи коммерческого кредита.

Рассмотрев коэффициент текущей (общей) ликвидности, мы видим, что 2011 год по сравнению с 2010 годом увеличился на 0,82 раза, по сравнению с нормальным уровнем на 2010 год коэффициент увеличился в 5,3 раза, а на 2011 год увеличился в 5,36 раза, т.е. на 6%. Уровень коэффициента больше нормы - данное обстоятельство говорит о том, что на предприятие чрезмерный уровень запасов.

Подводя итоги по системе показателей ликвидности, наблюдая то, что все они превышают нормы верхней границы, мы можем сделать вывод, что предприятие платежеспособное и оно сможет оплатить свои краткосрочные обязательства за счет различных элементов оборотных активов, обладающих различной ликвидностью.

Анализ экономической эффективности и рентабельности

Любое предприятие создается для получения прибыли, то есть прибыли от основной деятельности. Проанализируем в таблице 2.5 основные виды доходов и изобразим на рисунке.

Проводя анализ состава и структуры доходов предприятия можно сделать следующий вывод:

Валовая прибыль на 2010 год составляет 85,3% от выручки, т.е. себестоимость выпускаемой продукции равна 14,7%. прибыль от продажи равна 67,5% от выручки, т.е. 32,5% приходящихся на затраты, 16,25% - расходы от продажи и управления. В 2011 году валовая прибыль составляет 72,4% от выручки, т.е. себестоимость выпускаемой продукции равна 27,6%. Прибыль от продажи составляет 46,9%, т.е. 53,1% приходящихся на затраты 26,55% из них ВП и 26,55% расходы по продаже и управлению.

Таблица 2.5. Анализ состава и структуры доходов предприятия

Показатели

2010 г.

2011 г.


Сумма, руб.

Доля, %

Сумма, руб.

Доля, %

∆±

Темп

∆Д

1. В.Р.

278,565

100

106,880

100

-111,685

-40,09

-

2. В.П.

237,895

85,3

120,880

72,4

-117,015

-40,19

-12,9

3. Пр/пр

187,970

67,5

78,280

46,9

-109,69

-58,35

-20,6

4.% к пол-ю

23,630

8,5

43

25,8

19,37

82,1

17,3

5. Доходы в др. предприятия

64,148

23,03

63,730

38,2

0,418

-0,65

15,17

6. Прочие операционные доходы

1 084,020

389,14

187,900

112,6

896,12

-82,7

-276,54


Таблица 2.6. Расходы предприятия от обычных и прочих видов деятельности

Показатели

2010 г.

2011 г.


Сумма, руб.

Доля, %

Сумма, руб.

Доля, %

∆±

Темп

∆Д

1. С/С

40,67

100

4,6

100

5,33

13,1

-

2. Коммерческие расходы

8,134

20

9,200

20

1,07

13,1

-

3. Управленческие расходы

41,785

102,7

33,400

72,6

-8,4

-20,07

-30,1

4.% к уплате

36,040

88,6

19,700

42,8

-16,37

-45,3

-45,8

5. Прочие расходы

174,328

428,6

170,120

34,6

-34,2

-19,6

-124


Проводя анализ расходов предприятия от обычных и прочих видов деятельности можно сделать следующий вывод:

В 2010 и в 2011 гг. анализируя доходы и расходы видно, что преобладают статьи прочие доходы (в 2010 г. - 389,14%, в 2011 г. - 112,6%) и расходы (в 2010 г. - 102,7%, в 2011 г. - 42,8%). Это говорит о том, что предприятие возможно перепрофилирует свою деятельность.

Для оценки эффективности деятельности предприятия используют показатели рентабельности.

Рассмотрим формирование уровня рентабельности на основании показателей прибыли, отраженных финансовой отчетности предприятия:

0 = ,

где N - выручка;

Ппр - прибыль от продаж;0 1

.3 Анализ маркетинговой деятельности

Для того чтобы дать характеристику маркетинговой деятельности предприятия рассмотрим комплекс маркетинга состоящий из 5P-это: товар (product), цена (prize), место (place), продвижение (promotion), персонал (people).

. Товар.

В соответствии с миссией и целями предприятия в автосервисе предоставляются услуги высокого качества и используются только надежные детали комплектующие. Поэтому при формировании товарного ассортимента предприятие придерживается следующих принципов:

•        заключение дистрибуторских соглашений непосредственно с производителями оборудования и комплектующих или их официальными представительствами в России. На данный момент мы представляем в Иркутске следующие бренды:

•        тонировочные пленки LLUMAR;

•        на складе не созздаются большие товарные запасы. Предприятие придерживается плановой системы поставок небольшими партиями точно вовремя. Это позволяет экономить финансовые ресурсы и быстро отслеживать появление новинок;

•        создаются новые деловые связи с поставщиками различного оборудования и комплектующих, что расширяет ассортимент предлагаемой продукции;

•        всеми возможными способами поддерживается высокое качество услуг;

•        осуществляются мероприятия по расширению спектра предоставляемых услуг (закупка нового оборудования, найм на работу новых специалистов);

•        прикладываются усилия по активному продвижению отдельных услуг по установке дополнительного оборудования на рынок;

•        руководство предприятия постоянно отслеживает последние тенденции в автомобильном мире.

. Цены.

Цены на услуги автосервиса «Реактор» считаются средними для уровня цен по Иркутской области в данном сегменте рынка. В автосервисе нет системы скидок и бонусов для постоянных клиентов. Так же не существует сезонных скидок на услуги. Предоставляется возможность наличного и безналичного расчетов.

3. Место.

Местоположение сто удачное, оно находится практически в центре города. Вокруг находятся жилые домов и гаражный кооператив, соответственно при поломке машины они могут обратиться к нам за срочным ремонтом или другими видами услуг.

В распоряжении предприятия находится 3 оборудованых гаражных бокса общей площадью 2490 кв м.

Площадь земельного участка -6200 кв м

Площадь стоянки для клиентов - 80 кв м

Общая площадь зданий -3300 кв м

В данный момент используются следующие мероприятия по продвижению предприятия:

. распространение рекламы на автомобильных интернет форумах и в электронных справочниках таких как: 2Гис, www.rusprofile.ru, querycom.ru и т.д.

. размещение рекламной информации на сайте re-styler.ru;

. реклама на машинах (наклейки на машины с логотипом и телефоном предприятия).

Данных мер недостаточно для качественного продвижения автосервиса на иркутский рынок.

. Персонал.

На данный момент на предприятии работают 4 мастера. Все они являются специалистами высокого класса и способны решать достаточно трудные задачи. Все мастера взаимозаменяемы, так как этого требует специфика сто.

.3.1 Анализ услуг автосервиса

ООО «Реактор» предоставляет широкий спектр услуг по авторемонту и техническому обслуживанию легковых гражданских и спортивных автомобилей. Каждый месяц в автосервисе обслуживаются около 100-120 машин. Это как постоянные так и новые клиенты. Продолжительность обслуживания зависит от видов предоставляемых услуг. Для выполнения услуг используются 3 производственных бокса, каждый из них оборудован для решения нескольких задач, что позволяет не простаивать помещению если бокс с оборудованием занят. Так, например, покраска и сушка автомобиля могут происходить в любом из свободных боксов.

Перечень и описание всех услуг автосервиса приведены в таблице 2.7.

Таблица 2.7. Анализ услуг автосервиса

Вид услуг

Перечень выполняемых работ

Количество рабочих мест, шт.

Время на выполнение операции

Цена, руб.

Диагностические работы

Диагностика высоковольтной части двигателя, неисправностей в системе кондиционирования, подвески автомобиля, тормозной системы, комплексная диагностика автомобиля, диагностика двигателя, проверка давления масла в двигателе.

1

Около 30 минут

От 350

тонирование стекол

обклеивание стекол автомобиля тонировочной пленкой разных производителей

1

от 4 часв до 24 часов

От 200 руб. кв. м.

Техническое обслуживание автомобиля (1)

Проверка масла в АКПП, при необходимости доливка, проверка уровня тормозной жидкости уровня рабочей жидкости ГУР, проверка уровня электролита АКБ, уровня масла в коробке переключения передач МКПП, тормозных колодок и дисков, проверка / регулировка стояночного тормоза, проверка наружного / внутреннего освещения, проверка отопителя / системы кондиционирования воздуха, проверка омывателя / стеклоочистителей переднего и заднего стекол, проверка и регулировка приводных ремней, осмотр / проверка электрооборудования, электропроводки, звукового сигнала. Проверка передней и задней подвески, рулевого управления, люфтов / состояния ШРУСов. Проверка/регулировка давления в шинах, проверка колесных гаек.

1

5 часов

3750

Техническое обслуживание автомобиля (2)

Выполнить работы, предусмотренные ТО-1., замена масла и масляного фильтра, свечей зажигания (со снятием впускного коллектора), замена воздушного фильтра, фильтра салона, топливного фильтра, тормозных колодок, диагностика двигателя.

1

6 часов

7240

Доработка внешних деталей и установка новых

Установка ламбо-дверей, люков, покраска автомобиля, подготовка поверхности и подбор краски, рихтовочные работы, снятие, установка съемной детали (бампер, крыло, капот, двери, стапельные работы, аэрография, винилы.

1

От 30 минут до 7 суток

От 900

Установка дополнительного оборудования для изменения характеристик автомобиля

Свап, чип-тюнинг двигателя, тюнинг МКПП, так же установка другого дополнительного оборудовния

1

От 4 до 8 суток

От 10000

Шиномонтаж

Монтаж, демонтаж, балансировка, снятие - установка колеса.

1

От 15 минут до 4 часов

От 80

Анализ уровня цен и метода ценообразования

На размер цены оказывает влияние множество факторов. В автосервисе «Реактор» подход к рыночному ценообразованию - установление индивидуальных цен. Набор оказываемых услуг чаще всего сугубо индивидуален для каждого клиента, каждый раз оговариваются комплектующие, отделочные и другие расходные материалы для ремонта и тюнинга, площадь работ, каждый из этих факторов имеет существенное влияние на итоговую цену услуги.

Из внешних факторов, влияющих на ценообразование предприятия, большое значение оказывает тип рынка. Рынок автосервисов Иркутска относится к рынку чистой конкуренции. Он состоит из множества продавцов и покупателей схожего товара. Ни отдельный покупатель или продавец не оказывает здесь особого влияния на текущий уровень цен. В большинстве своем предприятия при установлении цены руководствуются издержками на производство и заложенной нормой прибыли.

Исследование отраслевой конкурентной среды

Анализ рынка автосервисов города Иркутска необходимо начать с рассмотрения отрасли. Следует рассмотреть среды, в которых работает предприятие.

Демографическая среда: население Иркутска 598 000 человек. Плотность населения 50 человек на 1 км кв. Население города относительно не велико, обеспеченность граждан средняя. На данный момент в городе насчитывается около 205 тысяч единиц автомобилей, 25% из них - грузовые, 75% - легковые.

Культурная среда: по наличию и внешнему виду автомобиля можно судить о социальном статусе человека, или об уровне компании.

Конкурентное окружение: на данный момент на территории Иркутской области существует 152 официально зарегистрированных организации имеющих право заниматься деятельностью по предоставлению услуг по ремонту и обслуживанию автомобилей, что характеризует рынок как рынок жесткой конкуренции. Среди этих организаций серьезными конкурентами по предоставлению данного вида услуг являются такие предприятия как:

ООО «PowerТech»

ИП «Веп-гарант»

ООО «Плеяда»

ООО «Вариант-авто»

ООО «PowerТech»

Автоцентр «PowerТech» работает на рынке с 2010 г. в данный момент имеет собственный сайт с описанием предоставляемых услуг. Так же на сайте имеется интернет магазином комплектующих и дополнительного оборудования для легковых иномарок, запчастей для отечественных легковых авто. Автоцентр специализируется на ремонте и сервисном обслуживании отечественных авто, и легковых иномарок, внешней и внутренней доработке деталей автомобиля, ремонте ходовой части, бензиновых двигателей. ООО «PowerТech» является официальном диллером TEIN в Иркутской Области.

Автоцентр расположен по адресу г. Иркутск, ул. Донская, д. 5/а.

Режим работы: Понедельник-Пятница 10:00-19:00

Основной оборот ООО «PowerТech» делает на продаже деталей и комплектующих через интерне магазин, расположений на сайте (около 60%).

ИП «Веп-гарант»

ИП «Веп-гарант» на рынке предоставления услуг по авторемонту и техническому обслуживанию Иркутской области существует с 2010 года. Автосервис расположен по адресу ул. Ширямова, д. 28. Режим работы: пн. - вс. с 10.00 до 20.00, без перерыва.

Услуги, предоставляемые автосервисом: компьютерная диагностика автомобиля, ремонт и регулировка дизельной аппаратуры и форсунок, промывка топливных систем, ремонт двигателя, замена ГРМ, диагностика подвески, ремонт рулевых реек, компьютерный стенд развал-схождение, установка электроподогревателей. Основным видом деятельности является техническое обслуживание, именно этот вид услуг приносит наибольший доход. В автосервисе имеется возможность наличного и безналичного расчета для юридических лиц.

Предприятие имеет сложившийся круг постоянных клиентов, которые довольны работой мастеров. Их количество на данный момент составляет 40 автовладельцев. ИП «Веп-гарант» не имеет собственного сайта, информация об услугах автомастерской распространяется через электронные справочники и автомобильные интернет форумы.

ООО «Плеяда»

ООО «Плеяда» на Иркутском рынке ведет свое существование с 2005 года. Автосервис расположен по адресу ул. Ширямова 32/2. Режим работы: пн.-пт. с 9.00 до 22.00. Сферы деятельности компании:

продажа контрактных запчастей, продажа оригинальных запчастей, продажа неоригинальных запчастей, комплексный ремонт и обслуживание автомобиля, замена технических жидкостей.

Предприятие не имеет собственного сайта поэтому заказ деталей и комплектующих происходит только при помощи телефонных переговоров или личного присутствия клиента.

За время своего существование предприятие приобрело большое количество постоянных клиентов (около 120 автовладельцев), которые пользуются различными услугами.

ООО «Вариант-авто»

Автосервис существует на рынке с 2007 года. Расположен по адресу ул. Ширямова 32а/1. Режим работы: пн.-пт. с 9.00 до 19.00, сб. с 9.00 до 13.00. Основные сферы деятельности: ремонт двигателей, ремонт ходовой части автомобиля, шиномонтаж, авторемонт и техобслуживание.

Предприятие не имеет собственного сайта, продвижение услуг автосервиса ведется по средствам манерной рекламы и рекламы в электронных каталогах и справочниках.

У автосервиса имеется наработанная клиентская база в размере 70 автовладельцев. Имеется возможность расчета наличными и безналичными средствами.

SWOT-анализ

Таблица 2.8. SWOT-анализ ООО «Реактор»


Возможности

Угрозы

Сильные стороны

1. Расширение производственных помещений, спектора услуг и рабочего штата.  2. Установка стендов с предлагаемой продукцией (позволит наглядно показать потребителям имеющееся в наличии оборудование для автомобиля) 3. Создание собственного сайта  4. Расширение количества поставщиков оборудования.

1. Появление новых конкурентов. 2. Сбои в работе имеющегося оборудования. 3. Ухудшение экономической ситуации и уменьшение целевой аудитории. 4. Сбои в поставке комплектующих.

1. Четырехлетний опыт работы на рынке города Иркутск. Что означает сложившиеся деловые связи с поставщиками и постоянными клиентами. 2. Высококвалифицированный слаженный коллектив мастеров. 3. Широкий спектр услуг. 4. Достаточно известный и узнаваемый логотип.

1. Наращивать темпы развития предприятия. 2. Расширять ассортимент оказываемых услуг. 3. Привлекать заемные средства для осуществления разнообразных проектов 4. Повышать расценки на отдельные виды услуг.

1. В идеале - выполнять любые работы с автомобилями, привязывая тем самым клиента к себе. 2. Приобрести и запустить в эксплуатацию новое оборудование, позволяющее работать с самыми современными автомобилями. 3. Организовывать рекламные кампании и акции. 4. Минимизировать налоги и другие платежи, но только законными способами.

Слабые стороны



1. Отсутствие собственного сайта 2. Отсутствие стендов с продукцией комплектующими для автомобилей. 3. Недостаточное количество производственной площади. 4. Отсутствие поста регулировки развал-схождения.

1. Более эффективная организация деятельности предприятия (посменно, в выходные дни).  2. Разработка и внедрение плана по привлечению инвестиций для модернизации предприятия и расширения ассортимента услуг. 3. Организация обучения персонала как по повышению квалификации, так и по новым видам деятельности. 4. Заключение договоров об эксклюзивном представительстве в Иркутске различных марок автомобильного оборудования.

1. Отток клиентов. 2. Невозможность выполнения работ в срок. 3. Потеря квалифицированного персонала из-за невозможности обеспечить ему предприятием интересную работу и достойную заработную плату. 4. Возможные штрафные санкции могут нанести ощутимый удар по финансам предприятия.


Анализ положения предприятия «Реактор» на рынке оснащения автотранспортных средств системами безопасности и комфорта показал, что предприятие работоспособно, но у него есть нерешенные проблемы.

Анализ внешней среды предприятия показывает, что предприятие, работая в весьма специфической области деятельности, предоставляя услуги, не относящиеся к первой необходимости, чрезвычайно чувствительно к возмущениям и колебаниям внешней среды. Резкий рост числа конкурентов побуждает искать нетрадиционные методы выживания. Анализ внутренней среды предприятия выявил как слабые, так и сильные стороны предприятия. К сильным сторонам относятся: квалификация и возраст персонала, расположение предприятия, сложившаяся положительная репутация. К слабым сторонам относятся, прежде всего, в плохом состоянии помещения, отсутствие собственно сайта, недостаточное количество производственных площадей. Анализ рынка показал, что у предприятия есть резервы рыночных мероприятий, которые позволят наращивать производство. Особое внимание нужно уделить методам продвижения услуг сто на иркутском рынке. У предприятия хороший потенциал, но из за недостаточного количества аудитории информированной о деятельности предприятия происходит простой производственных площадей и оборудования.

3. Мероприятия по совершенствованию маркетинговой деятельности ООО «Реактор»

.1 Изменение и расширение автосервисных услуг

Ассортимент услуг автосервиса должен соответствовать представлениям целевых покупателей. Все чаще ассортимент услуг становится ключевым элементом конкурентной борьбы между схожими компаниями. Необходимо принять решение о широте товарного ассортимента и его глубине.

Главная трудность заключается в построении дифференцированной товарной стратегии. При разработке и формировании ассортиментной политики ООО «Реактор» важно отметить, что важным критерием повышения эффективности увеличения спроса на услуги непосредственно являются широта ассортимента предоставляемых услуг, а также сама структура ассортимента. Ассортимент предлагаемых услуг предлагается составить из набора наиболее популярных у клиентов. Это позволит автосервису постоянно обслуживать автомобили, а не простаивать в ожидании специфического заказа. Так как цены на услуги сто имеют тенденцию к постоянному снижению вследствие большой конкуренции и появления нового оборудования, позволяющего выполнить заказ быстрее и технологически проще, формирование ассортимента из популярных и пользующихся широким спросом услуг позволит сэкономить значительные денежные суммы.

Так, руководству рекомендуется отслеживать и выявлять услуги, которые пользуются высоким спросом. Так же должен проводиться мониторинг иркутского рынка автосервисов с целью определения набора недостающих услуг, популярных среди потребителей. Так, в настоящее время рекомендуется увеличить количество постов предоставляющих услуги:

•   шиномонтажа (ремонт проколов, порезов, грыжи шины, снятие и установка колеса автомобиля, мойка колёса, демонтаж и монтаж шины, замена вентиля (соска), обработка борта шины герметиком, накачка шин азотом, балансировка колеса, финишная балансировка), сезонная замена шин и дисков;

•        диагностики: компьютерная диагностика автомобиля для выявления поломок и неисправностей;

•        пост корректировки развал-схождения (на данный момент отсутствует)

Как видно из предлагаемых для расширения ассортимента видов услуг, в текущей продуктовой линейке недостает, услуг требующих моментального исполнения. На данный момент производственных площадей для осуществления таких услуг достаточно, но они простаивают, так как многие клиенты не имеют достаточной информированности об услугах предприятия.

Так же очень важна установка поста корректировки развал-схождения. Отсутствие эго поста существенно сокращает количество потенциальных клиентов сто. Эта процедура очень востребована среди автомобилистов и ее часто используют в комплексе с другими услугами такими как шиномонтаж и др.

Рекомендации по изменению ассортиментной политики всех услуг предоставляемых автосервисом находятся в таблице 3.1.

Таблица 3.1. Рекомендации по изменению товарной политики

Услуга

Рекомендации по изменению

Тонирование стекол

Рекомендуется расширить ассортимент материала для выполнения данной услуги

Доработка и установка дополнительных внешних деталей автомобиля

Покраска

Расширить ассортимент закупаемых эмалей, добавить эмали разных ценовых категорий

Аэрография

Нанять художника для создания авторских макетов проектов

Установка люков

Установить прочные отношения с одним из постовщиков для постоянного сотрудничества

Установка ламбо-дверей


Шиномонтаж

Монтаж

Расширение производственных площадей для предоставления услуг этой группы

Демонтаж


Балансировка


Снятие - установка колеса


компьютерная диагностика

Комплексная диагностика автомобиля (двигатель, подвеска, тормоза)

Закупка дополнительного оборудования для предоставления данных услуг позволит увеличить количество постов по их предоставлению

Опрессовка системы охлаждения и поиск течи


Техническое обслуживание

Первое техническое обслуживание

Второе техническое обслуживание


Третье техническое обслуживание


Установка дополнительного оборудования для изменения характеристик автомобиля

Свап

Создание прочных деловых связей с поставщиками для обеспечения гарантии качества комплектующих

Чип-тюнинг двигателя


Тюнинг МКПП


Реализация комплектующих к автомобилям

Заключение диллерских и дистрибъюторских соглашений

.2 Разработка и изменение ценовой политики

Цены - это ключевой фактор в позиционировании. Определение цен должно проводиться в соответствии с характеристиками целевого рынка, набором предлагаемых товаров и услуг и уровнем конкуренции.

Тактике ценообразования необходимо уделять самое пристальное внимание. При разработке ценовой политики рекомендуется специально занизить цены на определенные услуги, чтобы привлечь автовладельцев именно в наш автосервис. Необходимо устраивать сезонные скидки на определенные виды работ (например: скидки на шиномонтаж летом). Для услуг, пользующихся небольшим спросом, необходимо заранее планировать снижение торговых наценок. Политика «низких цен» поможет добиться снижения затрат на рекламу, получения больших прибылей, способствует стабилизации цен, укреплению имиджа сто как честного и надежного и качественного поставщика услуг по ремонту и доработке автомобилей.

Разработка эффективной ценовой политики, в свою очередь, так же является важным критерием не только повышения эффективности продаж, но и повышения конкурентоспособности автосервиса. Так, в совокупности с повышением эффективности средств рекламы, правильная ценовая политика в отношении различных ассортиментных групп в состоянии значительно увеличить объем предоставляемых услуг и повысить суммарный объем прибыли розничного отдела компании.

Руководству необходимо вести постоянный мониторинг цен основных компаний - конкурентов на различные группы услуг. Так как анализ влияния изменения цен на услуги автосервиса показал, что незначительное понижение цены на большинство видов предоставляемых услуг ведет к аналогичному повышению числа клиентов, то уровень цен на основные услуги предлагается устанавливать на уровне средних цен основных компаний - конкурентов. Т.е. средними, как правило, должны быть цены на дополнительные услуги, такие, как тонирование стекол, технический осмотр.

Необходимо также отметить, что чем выше стоимость единицы предоставляемой услуги, тем ниже должна быть рентабельность продаж этой услуги, так как при незначительном повышении рентабельности продаж на дорогие услуги и комплектующие значительно повышается отпускная цена на эту услугу, создавая, тем самым, предпосылки для понижения конкурентного преимущества по цене и залеживанию данных комплектующих на складе.

На наиболее популярные группы услуг цены рекомендуется устанавливать ниже средних цен основных компаний-конкурентов на аналогичные услуги. Именно низкие цены на самые популярные услуги являются для большинства клиентов фактором, позволяющим им судить об уровне общих цен на услуги автосервиса. Таким образом, низкие цены на популярные услуги являются приманкой для большинства клиентов. Так как низкие цены, в основном, рекомендуется устанавливать именно на популярные услуги, то основной акцент данной ценовой политики делается на то, что помимо услуг и комплектующих с низкой ценой потребитель приобретет дополнительные услуги, продаваемые с нормальной рентабельностью. Тем самым, за счет дополнительного приобретения услуг и комплектующих по средним и высоким ценам, суммарная рентабельность продаж выходит на среднерозничный уровень.

То есть низкими, как правило, должны быть цены на основные и популярные группы услуг, определяющие, в общем, уровень цен ООО «Реактор». Примером таких товаров должны служить стандартный набор услуг сто, например:

компьютерная диагностика;

шиномонтаж;

ремонт элементов подвески;

замена масла;

Также, минимальные цены необходимо устанавливать и на те комплектующие, которые пользуются малым спросом, но находятся на складе компании.

На некоторые модели комплектующих, (например: рассчитанные на редкие модели машин, либо рассчитанные на старые машины), цены рекомендуется устанавливать ниже себестоимости, т.е. с отрицательной рентабельностью. Это позволить вернуть часть затраченных на приобретение финансовых средств компании и предотвратить возможные потери от дальнейшего удешевления комплектующих.

Цены выше среднерыночных рекомендуется устанавливать на дополнительные услуги по увеличению характеристик мощности автомобиля, такие как установка турбины, работы по установке чип-тюнинга, свап, тюнинг МКПП и т.д.

Конкретнее рассмотреть ценовую политику можно при помощи таблицы 3.2, в которой представлены рекомендации по изменению цена на услуги ООО «Реактор».

Таблица 3.2. Рекомендации по изменению цен на услуги

Услуга

Существующая цена, руб.

Рекомендуе-мая цена, руб.

Обоснование

Тонирование стекол

От 200 руб./кв. м. до 2 200 руб./кв. м.

От 200 руб./кв. м  до 2 200 руб./кв. м

Данные услуги являются для сто основными, соответственно цены устанавливаются средние. На данный момент уровень цен на услугу соответствует рекомендуемому.

Доработка и установка дополнительных внешних деталей автомобиля

Покраска

От 4000 в зависимости от площади детали до 60000 за полную покраску.

От 4000 до 60000

Данная услуга является основной и имеет среднюю цену.

Аэрография

от 7000 в зависимости от рисунка и площади

От 10000

Цену на данную услугу рекомендуется установить выше рыночной, так как заказы сложны в испонении и занимают большое количество производственной прощади.

Установка люков

От 5 000 за работу

От 7000 за работу

Данная услуга является дополнительной и цену на нее рекомендуется установить чуть выше среднерыночной

Установка ламбо-дверей

От 13000 за работу

От 15000

Цену на услугу рекомендуется установить выше среднерыночной так как услуга является дополнительной.

Установка других дополнительных деталей

От 2000 за работу

От 3000 за работу

Услуги дополнительные

Шиномонтаж

Монтаж

От 80

От 50

Цены на услуги по шиномонтажу рекомендуется занизить, так как они являются самыми популярными и привлекают много клиентов

Демонтаж

От 90

От 60


Балансировка

От 170

От 60


Снятие - установка колеса

От 110

От 50


компьютерная диагностика

комплексная диагностика автомобиля (двигатель, подвеска, тормоза)

2000

1700

Цены на диагностику так же стоит установить чуть ниже рыночных так как эта услуга пользуется большим спросом

Опрессовка системы охлаждения и поиск течи

350-770

250-550


Техническое обслуживание

Первое техническое обслуживание

3740

3740

Цены на техническое обслуживание рекомендуется оставить прежними, так как они находятся в среднем ценовом диапозоне

Второе техническое обслуживание

7240

7240


Третье техническое обслуживание

9440

9440


Установка дополнительного оборудования для изменения характеристик автомобиля

Свап

от 15000 за работу

от 17000

Цены на донную категорию услуг рекомендуется установить чуть выше средних, так как работы по выполнению таких услуг требуют высокой квалификации мастеров и их пристального внимания.

Чип-тюнинг двигателя

от 10000

от 13000


Тюнинг МКПП

от 15000

от 18000



Следующим принципиальным нововведением в ценовую политику ООО «Реактор» является введение системы скидок.

Во-первых, скидки необходимо предоставлять всем постоянным клиентам, что непременно скажется на повышении частоты их обслуживания на сто.

Во-вторых, организовать программы накопительных бонусов. Данные программы повышают вероятность повторного обслуживания и увеличивают потребительскую лояльность.

В-третьих, предоставлять скидку от 3 до 5% для тех автовладельцев, которые согласятся разместить наклейку с информацией о предприятии на своей машине.

При соблюдении рекомендаций, связанных с ценовой политикой, количество потенциальных клиентов сто должно увеличиться примерно на 6%-8%, Вместе с тем, примерно на 6-7% должна увеличиться валовая прибыль предприятия.

.3 Предложения по повышению эффективности использования средств рекламы

Повышение эффективности рекламы является важным критерием в разработке эффективной программы стимулирования сбыта. Реклама помогает компании повысить конкурентоспособность путем увеличения числа потенциальных и реальных клиентов сто.

Таким образом, для повышения эффективности рекламы, воздействующей на потребителей, необходимо рассмотреть все виды рекламы, имеющей непосредственное воздействие на принятие решения об обслуживании на том или ином сто.

Необходимо изготовить макеты рекламы и разместить на щитах на крупных автостоянках города. В данный момент баннерная реклама компании практически отсутствует, что негативно сказывается на привлечении новых клиентов в сто.

К рекламе которая распространяется на автомобильных интернет-форумах, для повышения ее эффективности, рекомендуется прикреплять фотографии с образцами выполненных работ.

Для повышения эффективности рекламы размещенной на сайтеstyler.ru рекомендуется добавить прайс лист на услуги ООО «Реактор».

Похожие работы на - Совершенствование маркетинговой деятельности ООО 'Реактор'

 

Не нашли материал для своей работы?
Поможем написать уникальную работу
Без плагиата!
Без нейросетей!