Трехфазные системы передачи
Контрольная работа
Трехфазные
системы передачи
Ведение
Трехфазная цепь является
совокупностью трех электрических цепей, в которых действуют синусоидальные ЭДС
одинаковой частоты, сдвинутые относительно друг друга по фазе на 120o,
создаваемые общим источником. Участок трехфазной системы, по которому протекает
одинаковый ток, называется фазой.
Трехфазная цепь состоит из
трехфазного генератора, соединительных проводов и приемников или нагрузки,
которые могут быть однофазными или трехфазными.
Трехфазный генератор представляет
собой синхронную машину. На статоре генератора размещена обмотка, состоящая из
трех частей или фаз, пространственно смещенных относительно друг друга на 120o.
В фазах генератора индуктируется симметричная трехфазная система ЭДС, в которой
электродвижущие силы одинаковы по амплитуде и различаются по фазе на 120o.
Запишем мгновенные значения и комплексы действующих значений ЭДС.
1. Расчет симметричных
режимов работы в трехфазных системах
Многофазный приемник и вообще многофазная
цепь называются симметричными, если в них комплексные сопротивления
соответствующих фаз одинаковы, т.е. если
Так для симметричного режима работы
цепи на рис. 2, а при известных линейном напряжении и сопротивлениях фаз
можно записать
,
где
определяется характером нагрузки.
Тогда на основании вышесказанного
;
.
Комплексы линейных токов можно найти
с использованием векторной диаграммы на рис. 2, б, из которой вытекает:
При анализе сложных схем, работающих
в симметричном режиме, расчет осуществляется с помощью двух основных приемов:
Все треугольники заменяются
эквивалентными звездами. Поскольку треугольники симметричны, то в соответствии
с формулами преобразования «треугольник-звезда»
.
Так как все исходные и вновь
полученные звезды нагрузки симметричны, то потенциалы их нейтральных точек
одинаковы. Следовательно, без изменения режима работы цепи их можно (мысленно)
соединить нейтральным проводом. После этого из схемы выделяется базовая фаза
(обычно фаза А), для которой и осуществляется расчет, по результатам которого
определяются соответствующие величины в других фазах.
В соответствии с указанной методикой
выделим расчетную фазу А, которая представлена на рис. 4. Здесь
,
.
Тогда для тока
можно записать
,
и соответственно
.
2. Расчет несимметричных
режимов работы трехфазных систем
трехфазный
генератор электрический цепь
Если хотя бы одно из условий
симметрии не выполняется, в трехфазной цепи имеет место несимметричный режим
работы. Такие режимы при наличии в цепи только статической нагрузки и
пренебрежении падением напряжения в генераторе рассчитываются для всей цепи в
целом любым из рассмотренных ранее методов расчета. При этом фазные напряжения
генератора заменяются соответствующими источниками ЭДС. Можно отметить, что,
поскольку в многофазных цепях, помимо токов, обычно представляют интерес также
потенциалы узлов, чаще других для расчета сложных схем применяется метод
узловых потенциалов. Для анализа несимметричных режимов работы трехфазных цепей
с электрическими машинами в основном применяется метод симметричных
составляющих, который будет рассмотрен далее.
При заданных линейных напряжениях
наиболее просто рассчитываются трехфазные цепи при соединении в треугольник.
Пусть в схеме на рис. 2, а
. Тогда
при известных комплексах линейных напряжений в соответствии с законом Ома
;
;
.
По найденным фазным токам приемника
на основании первого закона Кирхгофа определяются линейные токи:
.
Обычно на практике известны не
комплексы линейных напряжений, а их модули. В этом случае необходимо
предварительное определение начальных фаз этих напряжений, что можно
осуществить, например, графически. Для этого, приняв
, по заданным модулям напряжений, строим треугольник (см. рис. 5),
из которого (путем замера) определяем значения углов a и b.
Тогда
Искомые углы a и b могут быть также
найдены аналитически на основании теоремы косинусов:
При соединении фаз генератора и
нагрузки в звезду и наличии нейтрального провода с нулевым сопротивлением
фазные напряжения нагрузки равны соответствующим напряжениям на фазах
источника. В этом случае фазные токи легко определяются по закону Ома, т.е.
путем деления известных напряжений на фазах потребителя на соответствующие
сопротивления. Однако, если сопротивление нейтрального провода велико или он
отсутствует, требуется более сложный расчет.
Рассмотрим трехфазную цепь на рис.
6, а. При симметричном питании и несимметричной нагрузке
ей в общем случае будет соответствовать векторная диаграмма
напряжений (см. рис. 6, б), на которой нейтральные точки источника и приемника
занимают разные положения, т.е.
.
Разность потенциалов нейтральных
точек генератора и нагрузки называется напряжением смещения нейтральной точки
(обычно принимается, что
) или
просто напряжением смещения нейтрали. Чем оно больше, тем сильнее
несимметрия фазных напряжений на нагрузке, что наглядно иллюстрирует векторная
диаграмма на рис. 6, б.
.
Тогда для искомых токов можно
записать:
.
Соотношение для напряжения смещения
нейтрали, записанное на основании метода узловых потенциалов, имеет вид
.
При наличии нейтрального провода с
нулевым сопротивлением
, и из
(1)
. В случае отсутствия нейтрального провода
. При симметричной нагрузке
с учетом того, что
, из (1) вытекает
.
В качестве примера анализа
несимметричного режима работы цепи с использованием соотношения (1) определим,
какая из ламп в схеме на рис. 7 с прямым чередованием фаз источника будет
гореть ярче, если
.
Запишем выражения комплексных
сопротивлений фаз нагрузки:
Тогда для напряжения смещения
нейтрали будем иметь
Напряжения на фазах нагрузки (здесь
и далее индекс N у фазных напряжений источника опускается)
Таким образом, наиболее ярко будет
гореть лампочка в фазе С.
В заключение отметим, что если при
соединении в звезду задаются линейные напряжения (что обычно имеет место на
практике), то с учетом того, что сумма последних равна нулю, их можно
однозначно задать с помощью двух источников ЭДС, например,
и
.
Тогда, поскольку при этом
,
соотношение (1) трансформируется в формулу
.
3. Расчет симметричной
трехфазной системы

ЕА = 80 В
Т = 0,02 с
L = 24,39 мГн
С1 = 796,2 мкФ
С2 = 183,8 мкФ
R1 = 17.32 Ом
Решение
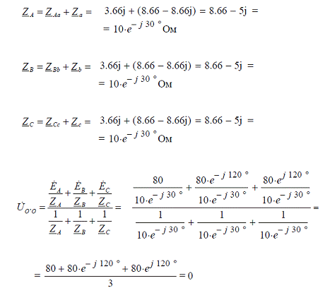
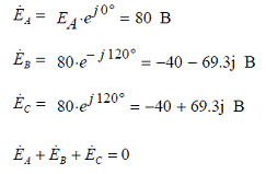
. Рассчитаем токи в цепи
Комплексы действующих значений ЭДС
генератора трехфазной симметричной системы
Реактивное сопротивление
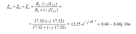
Комплексы сопротивлений линейных
проводов
Комплексы сопротивлений фаз нагрузки
Преобразуем исходную цепь

Заключение
трехфазный
генератор электрический цепь
В заключение отметим, что если при
соединении в звезду задаются линейные напряжения (что обычно имеет место на
практике), то с учетом того, что сумма последних равна нулю, их можно
однозначно задать с помощью двух источников ЭДС, например,
и
.
Тогда, поскольку при этом
,
соотношение (1) трансформируется в формулу
.
Литература
1. Основы теории цепей: Учеб. для вузов /Г.В. Зевеке, П.А. Ионкин,
А.В. Нетушил, С.В. Страхов. -5-е изд., перераб. - М.: Энергоатомиздат, 2009.
-528 с.
. Бессонов Л.А. Теоретические основы электротехники: Электрические
цепи. Учеб. для студентов электротехнических, энергетических и
приборостроительных специальностей вузов. -7-е изд., перераб. и доп. - М.:
Высш. шк., 2008. -528 с.