Комплексная оценка денежных потоков организации
Содержание
Введение
. Основные
модели и виды денежных потоков
.1
Полный и бездолговой денежный поток
.2
Реальный и номинальный денежный поток
.3
Дисконтированный денежный поток
. Практическая
часть
Заключение
Список
литературы
Введение
Денежные потоки являются важнейшим показателем в
оценке финансовой устойчивости организации. В работе под финансовой
устойчивостью понимается способность организации систематически и в полном
объеме отвечать по своим обязательствам за счет рентабельности ее деятельности.
Отсутствие качественных глубоких теоретических исследований в области оценки
денежных потоков и реальных практических методик их оценки является одной из
основных проблем финансовой устойчивости организации. В результате организации
оказываются не способны достоверно и своевременно управлять денежными потоками
и оказывать на них необходимое воздействие. Кроме того, информационная база
оценки денежных потоков и ее методологическая основа в настоящие время не
позволяют решать теоретические и практические задачи в этой области. В системе
международных стандартов финансовой отчетности информационная база для оценки
денежных потоков введена относительно недавно и имеет значительные недостатки.
В России формирование финансовой отчетности по
движению денежных средств также находится на стадии развития и в основном при
ее составлении доминирует формальный подход, что значительно снижает ее роль в
процессе качественного информационного обеспечения оценки денежных потоков. Это
ведет не только к снижению управляемости денежными потоками, контроля над ними,
но и создает условия неопределенности принятия управленческих решений, повышает
уровень предпринимательского риска, и соответственно, оказывает отрицательное
влияние на финансовую устойчивость организации, то есть на ее
платежеспособность и рентабельность. Кроме того, это также препятствует
достижению информационной прозрачности, необходимой как для внутренних, так и
для внешних пользователей управленческой информации о денежных потоках. Поэтому
на современном этапе развития рыночной экономики большое значение приобретает
разработка комплексной оценки денежных потоков организации. Это необходимо для
выявления степени достоверности формирования информации о движении денежных
средств, эффективности их использования, сбалансированности положительных и
отрицательных денежных потоков по объему и по времени для оценки
платежеспособности и финансово-экономической деятельности организации. Все это
определяет теоретическую и практическую значимость темы контрольной работы.
Актуальность темы обуславливается также возрастанием роли оценки информационной
базы денежных потоков как фактора международного сближения стран с различными
финансово-экономическими стандартами рыночной экономики.
1. Основные модели и виды денежных
потоков
Денежный поток - это денежные средства,
получаемые предприятием от всех видов деятельности и расходуемые на обеспечение
дальнейшей деятельности. Главным фактором формирования денежного потока
является оплата покупателями стоимости проданной предприятием продукции. В
конечном счете, именно наличие или отсутствие денежных средств определяет
возможности и направления развития предприятия, в том числе возможности
вложения денежных средств в целях получения дополнительных доходов.
Эффективное управление денежными потоками - это
обеспечение финансового равновесия и финансового профицита (излишка) в процессе
развития предприятия путем сбалансирования объемов поступления и расходования
денежных средств и их синхронизации во времени.
Поэтому важная роль рационального управления
денежными потоками предприятия определяется основными положениями (6,8):
. Денежные потоки обслуживают всю
финансовую деятельность предприятия и предоставляют систему «финансового
кровообращения» его хозяйствующего организма для обеспечения финансового
здоровья с целью достижения высоких конечных результатов своей деятельности.
. Денежные потоки обеспечивают финансовое
равновесие предприятия в процессе его стратегического развития. Темпы этого
развития, финансовая устойчивость предприятия в значительно мере определяется
тем, насколько различные виды потоков денежных средств синхронизированы между
собой по объемам и во времени. Высокий уровень такой синхронизации обеспечивает
существенное ускорение реализации стратегических целей развития предприятия.
. Денежные потоки способствуют повышению
ритмичности осуществления операционного процесса предприятия. Любой сбой в
осуществлении платежей отрицательно сказывается на формировании
производственных запасов сырья и материалов, уровне производительности труда,
реализации готовой продукции и т.п. В то же время, эффективно организованные
денежные потоки предприятия, повышая ритмичность осуществления операционного
процесса, обеспечивают рост объема производства и реализации его продукции.
. Денежные потоки позволяют сократить
потребность предприятия в заемном капитале. Активно управляя денежными
потоками, можно обеспечить более рациональное и экономное использование
собственных финансовых ресурсов, формируемых из внутренних источников, снизить
зависимость темпов развития предприятия от привлекаемых кредитов.
. Денежные потоки - это важный финансовый
рычаг обеспечения ускорения оборота капитала предприятия, который способствует
сокращению продолжительности производственного и финансового циклов,
достигаемому в процессе результативности управления денежными потоками, а также
снижает потребности в капитале, обслуживающем хозяйственную деятельность
предприятия. Это обеспечивает предприятию рост суммы прибыли.
. Денежные потоки обеспечивают снижение
риска неплатежеспособности предприятия, достигаемого при синхронизации
поступления и выплат денежных средств.
Денежные потоки позволяют предприятию получать
дополнительную прибыль, генерируемую непосредственно его денежными активами:
(например, эффективное использование временно свободных остатков денежных
средств в составе оборотных активов, а также накапливаемых инвестиционных
ресурсов в осуществлении финансовых инвестиций).
Факторы, влияющие на формирование денежных
потоков предприятия.
В системе внешних факторов основную роль играют
следующие:
. Конъюнктура товарного рынка. Изменение
конъюнктуры этого рынка определяется изменением объема поступления денежных
средств от реализации продукции, то есть повышение конъюнктуры товарного рынка
приводит к росту объема положительного денежного потока по этому виду
хозяйственной деятельности, и наоборот - спад конъюнктуры вызывает временную
нехватку денежных средств при скоплении на предприятии значительных запасов
готовой продукции, которая не может быть реализована;
. Конъюнктура фондового рынка. Характер этой
конъюнктуры влияет, прежде всего, на возможности формирования денежных потоков
за счет эмиссии акций и облигаций предприятия. Кроме того, конъюнктура
фондового рынка определяет возможность эффективного использования временно свободного
остатка денежных средств, вызванного несостыкованностью денежных потоков
предприятия во времени;
. Система налогообложения предприятий. Налоговые
платежи составляют значительную часть объема отрицательного денежного потока
предприятия, а установленный график их осуществления определяет характер этого
потока во времени. Поэтому любые изменения в налоговой системе - появление
новых видов налогов, изменение ставок налогообложения, отмена или
предоставление налоговых льгот, изменение графика внесения налоговых платежей и
т.п. - определяют соответствующие изменения в объеме и характере отрицательного
денежного потока предприятия;
. Сложившаяся практика кредитования поставщиков
и покупателей продукции. Эта практика определяет сложившийся порядок приобретения
продукции на условиях ее предоплаты; на условиях наличного платежа; на условиях
отсрочки платежа. Влияние этого фактора проявляется в формировании как
положительного (при реализации продукции), так и отрицательного (при закупке
сырья, материалов, комплектующих изделий и т.п.) денежного потока во времени;
. Система осуществления расчетных операций
хозяйствующих субъектов. Характер расчетных операций влияет на формирование
денежных потоков во времени: если расчет наличными деньгами ускоряет
осуществление этих потоков, то расчеты чеками, аккредитивами и другими
платежными документами соответственно замедляют;
. Доступность финансового кредита. Эта
доступность во многом определяется сложившейся конъюнктурой кредитного рынка. В
зависимости от конъюнктуры этого рынка растет или снижается объем предложения
«коротких» или «длинных», «дорогих» или «дешевых» денег, а соответственно и
возможность формирования денежных потоков предприятия за счет этого источника.
В системе внутренних факторов основную роль
играют следующие:
. Жизненный цикл предприятия. На разных стадиях
этого жизненного цикла формируются не только разные объемы денежных потоков, но
и их виды. Характер поступательного развития предприятия по стадиям жизненного
цикла играет большую роль в прогнозировании объемов и видов его денежных
потоков;
. Продолжительность операционного цикла. Чем
короче продолжительность этого цикла, тем больше оборотов совершают денежные
средства, инвестированные в оборотные активы, и соответственно тем больше объем
и выше интенсивность как положительного, так и отрицательного денежных потоков
предприятия. Увеличение объемов денежных потоков при ускорении операционного
цикла не только не приводит к росту потребности в денежных средствах,
инвестированных в оборотные активы, но даже снижает размер этой потребности;
. Сезонность производства и реализации
продукции. По источникам своего возникновения (сезонные условия производства,
сезонные особенности спроса) этот фактор можно отнести к числу внешних. Этот
фактор оказывает существенное влияние на формирование денежных потоков
предприятия во времени, определяя ликвидность этих потоков в разрезе отдельных
временных интервалов;
. Неотложность инвестиционных программ. Степень
этой неотложности формирует потребность в объеме соответствующего
отрицательного денежного потока, увеличивая одновременно необходимость
формирования положительного денежного потока. Этот фактор оказывает
существенное влияние не только на объемы денежных потоков предприятия, но и на
характер их протекания во времени;
. Амортизационная политика предприятия.
Избранные предприятием методы амортизации основных средств, а также сроки
амортизации нематериальных активов создают различную интенсивность
амортизационных потоков, которые денежными средствами непосредственно не обслуживаются,
но оказывают существенное влияние на объем положительного денежного потока
предприятия в составе поступления денежных средств от реализации продукции.
Влияние амортизационной политики предприятия проявляется в особенностях
формирования его чистого денежного потока. При осуществлении ускоренной
амортизации активов в составе чистого денежного потока возрастает доля
амортизационных отчислений и соответственно снижается доля чистой прибыли.
. Коэффициент операционного левериджа. Этот
показатель оказывает существенное воздействие на пропорции темпов изменения
объема чистого денежного потока и объема реализации продукции;
. Финансовый менталитет владельцев и менеджеров
предприятии. Выбор консервативных, умеренных или агрессивных принципов
финансирования активов и осуществления других финансовых операций определяет
структуру видов денежных потоков предприятия (объемы привлечения денежных
средств из различных источников, а соответственно и структуру направлений
возвратных денежных потоков), объемы страховых запасов отдельных видов активов
(а соответственно и денежные потоки связанные с их формированием), уровень
доходности финансовых инвестиций (а соответственно и объем денежного потока по
полученным процентам и дивидендам).
1.1 Полный и бездолговой денежный
поток
В оценке бизнеса используются следующие виды
денежных потоков: денежный поток для инвестированного капитала (бездолговой) и
денежный поток для собственного капитала (полный).
Полный денежный поток -
это денежный поток для собственного капитала, в котором учитываются изменения
заемных и собственных средств. По каждому в отдельности будущему периоду (после
даты оценки) определяются ожидаемые чистый доход, прирост задолженности
предприятия, уменьшение обязательств предприятия вследствие планируемого на
рассматриваемый будущий период погашения части основного долга по ранее взятым
кредитам, капитальные вложения, а также денежные суммы для выплаты процентов по
кредитам в рамках их текущего обслуживания.
Таким образом, стоимость заемных средств и их доля
в общей совокупности инвестиций (т. е. интересы кредитора) учитываются уже в
начальной стадии формирования данного вида денежного потока - денежного потока
для собственного капитала. Поэтому дисконтирование данного вида денежного
потока осуществляется по ставке дохода для собственного капитала, в которой
учитывается интерес лишь инвестора. Денежный поток для собственного капитала
формируется в рамках разработки бизнес-плана, исходя, во-первых, из анализа
сроков, размеров и условий платежей и поступлений, предусмотренных уже
заключенными предприятием закупочными, сбытовыми, трудовыми, строительными,
арендными и кредитными договорами и контрактами; во-вторых, из будущей
прогнозной доходности предприятия и будущей потребности в инвестициях.
Бездолговой денежный поток
не учитывает суммы выплаты процентов по кредиту и увеличение или уменьшение
задолженности. Данный вид потока рассматривается с целью определения
эффективности вложения капитала в целом. Полученные суммарные величины
сопоставляются с полными инвестициями в проект, независимо от их происхождения.
И поэтому, чтобы отразить в таком будущем
денежном потоке долю и стоимость заемных средств, дисконтирование данного
бездолгового денежного потока осуществляется по ставке дохода, равной
средневзвешенной стоимости заемного и собственного капитала оцениваемого
предприятия, т.е. интересы кредитора учитываются в процессе формирования не
денежного потока, а ставки дисконта. Определенная таким образом текущая
стоимость дисконтированного денежного потока (т.е. стоимость оцениваемого
предприятия на дату оценки) характеризует текущую стоимость всего
инвестируемого капитала - и собственного, и заемного.
Расчет бездолгового денежного потока
производится аналогично определению денежного потока для собственного капитала,
за исключением следующих операций:
· не учитывается прирост
задолженности;
· не учитывается уменьшение
задолженности;
· не учитываются (не вычитаются из
прибыли) денежные выплаты по процентам за обслуживание задолженности.
Схема расчета бездолгового денежного потока:
Бездолговой денежный поток равен = Чистая
прибыль (издержки по выплате процентов по кредитам сверх учетной ставки ЦБ не
вычитаются из прибыли, а вычитается лишь налог на прибыль) + Амортизация
(полная) + Уменьшение собственного оборотного капитала - Прирост собственного
оборотного капитала- Капитальные вложения.
Основными аргументами для использования того или
иного вида денежного потока являются следующие суждения. Если прибыль (или
денежный поток) предприятия формируется в основном за счет собственных средств
без значительных заимствований, то для оценки предприятия используется денежный
поток для собственного капитала. При реализации данного алгоритма оценки
предприятия для определения стоимости собственных средств предприятия
необходимо из стоимости всего инвестированного капитала вычесть стоимость
заемного капитала, т. е. величину задолженности.
Если же прибыль формируется в значительной части
за счет привлечения для производства заемных средств, то предприятие
целесообразнее оценивать по бездолговому денежному потоку (т. е. без учета
платы по процентам и изменений по обязательствам).
.2 Реальный и номинальный денежный
поток
При классификации по критерию учета в денежных
потоках инфляционных ожиданий, денежные потоки подразделяются на два вида:
· реальный денежный поток, в котором
учитываются будущие инфляционные ожидания;
· номинальный денежный поток, в
котором инфляционные ожидания не учитываются.
Реальный денежный поток выражен в ценах будущих
периодов; номинальный - в ценах базисного периода (в ценах на дату оценки).
Разработка реальных денежных потоков
предполагает прогнозирование уровня цен на сырье и продукцию предприятия. При
этом учитываются различные инфляционные ожидания для разных товаров, сырья и
услуг. Уровни инфляции для различных видов сырья, горючего, электроэнергии
различны.
Оценка стоимости предприятий на основе реальных
денежных потоков, естественно, дает более точные результаты. Однако
формирование реального денежного потока должно осуществляться в рамках
разработки бизнес-плана (его финансового раздела) при соответствующих
маркетинговых исследованиях рынка. Это требует усилий соответствующих
специалистов, повышает трудоемкость и увеличивает стоимость проведения оценки
предприятия. Поэтому данная методика расчета стоимости предприятий - методика
дисконтированного денежного потока (тем более реального денежного потока) -
наиболее трудоемкая и дорогостоящая, но и самая достоверная и точная. В
зависимости от применяемого дисконтируемого денежного потока (номинального или
реального) используют соответствующие, адекватные им, ставки дисконта:
номинальные или реальные. Для дисконтирования номинального денежного потока
используется номинальная ставка дохода, т.е. ставка дохода, не учитывающая
инфляцию. Для дисконтирования реального денежного потока - реальная ставка,
т.е. ставка дохода, учитывающая будущие инфляционные ожидания (поэтому при
«росте инфляции» реальная ставка дохода больше номинальной).
1.3 Дисконтированный денежный поток
Дисконтированный поток денежных средств (discounted
cash flow, DCF) - метод оценки будущих потоков чистых денежных средств путем их
приведения к текущей стоимости. Для расчета используется коэффициент
дисконтирования, равный уровню инфляции, процентной ставки депозита и т.п.
При расчете стоимости компании доходным подходом
важнейшей составляющей расчетов является процесс определения размера ставки
дисконта. Имея определенную сумму средств, рациональный инвестор будет
стремиться использовать ее так, чтобы из всех возможных направлений вложений с
одинаковым уровнем риска было выбрано такое, которое максимизирует его доход.
Инвестор будет готов заплатить за бизнес столько, сколько в будущем он
возместит за счет дохода, но это не просто будущая сумма, а ежегодные доходы с
учетом риска, присущего данному бизнесу.
Помимо учета рисков, позволяющих выбрать
наиболее подходящий проект среди альтернативных, в ставке дисконта должна быть
учтена вероятность и последствия от наступления того или иного события.
Ставка дисконтирования - это
процентная ставка, используемая для перерасчёта будущих потоков доходов в
единую величину текущей стоимости. Ставка дисконтирования применяется при
расчёте дисконтированной стоимости
<#"658627.files/image001.gif">
Ставка дисконтирования - это та
норма доходности (в %), которую необходимо получить инвестору на вложенный
капитал. Т.е. проект является привлекательным для инвестора, если его норма
доходности превышает ставку дисконтирования для любого другого способа вложения
капитала с аналогичным риском.
С другой стороны ставка
дисконтирования отражает стоимость денег с учетом временного фактора и рисков,
так как деньги, полученные в настоящий момент, более предпочтительны, чем деньги,
которые будут получены в будущем.
Ставка дисконтирования включает в
себя:
· минимальный гарантированный уровень
доходности;
· темп инфляции;
· коэффициент, учитывающий степень
риска конкретного инвестирования.
Основой для расчета ставки дисконтирования может
служить кредитная ставка для конкретного заемщика или уровень доходности
облигаций имеющихся на рынке. Эти показатели нуждаются в существенной
корректировке на риски инвестиций в аналогичный бизнес. На практике часто
используют определение ставки дисконтирования экспертным путем с учетом
требований инвестора и инвестиционного банка, который привлекает средства для
реализации проекта.
Осуществление инвестиционной деятельности в
Российских условиях всегда сопряжено с постоянно меняющимся уровнем риска, а
значит с уровнем доходов и расходов. Поэтому расчет доходности проекта методом
прямой капитализации (без учета ставки дисконтирования) на практике
используется редко.
Метод дисконтирования денежного потока (с учетом
ставки дисконтирования) более точно отражает текущую стоимость доходов. Ставка
дисконтирования отражает риски, связанные с вложением денег в бизнес, норму
доходности инвестора при данном уровне риска.
Ставка дисконтирования нужна:
· для более точного расчета доходности
проекта;
· для сравнения полученных показателей
проекта с минимальной нормой доходности при инвестициях в аналогичный бизнес.
2. Практическая
часть
Задача 1
Рассчитайте величину денежного потока.
|
Показатель
|
Значение
|
|
Чистая
прибыль, д. ед
|
300
|
|
Износ,
д.ед.
|
+75
|
|
Прирост
собственного оборотного капитала, д.ед.
|
-25
|
|
Уменьшение
долгосрочной задолженности, д.ед.
|
-60
|
|
Капитальные
вложения, д.ед.
|
-20
|
|
Итого
денежный поток, д.ед
|
270
|
Модель формирования чистого свободного денежного
потока
Чистая
прибыль (после уплаты налогов)
Амортизация
(+)
Капиталовложения
Чистые
изменения в постоянных и других долгосрочных активах(-)
Уменьшение/прирост
собственного капитала(+/-)
Прирост/уменьшение
долгосрочной задолженности (чистые изменения в долгосрочном долге) (+/-)
Чистый
свободный денежный поток
Денежный поток =300+75-25-60-20=270
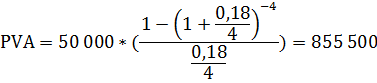
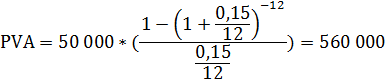
Задача 2
Вариант 8. Рассчитайте текущую стоимость
четырехлетнего денежного потока от сдачи в аренду офисного помещения площадью
100 кв. м., если известно, что денежные потоки от аренды будут поступать
ежеквартально. Их величина в течение трех лет составит 500 д. ед. за 1 кв. м. в
квартал при ставке дисконта 15%. Затем в результате ухудшения ситуации на рынке
ставка дисконта будет увеличена до 18%, а арендная плата останется
прежней.=100*500=50 000 д.ед.
= 560 000+855 500=
1 415 500 д.ед.
Задача 3
Рассчитайте стоимость предприятия методом
дисконтирования денежных потоков.
|
Показатели
|
№ 8
|
|
1
|
Выручка
от реализации, д. ед.
|
1
900
|
|
2
|
себестоимость
реализуемой продукции, д. ед. в том числе:
|
640
|
|
-постоянные
издержки, д. ед.
|
280
|
|
-переменные
издержки, д. ед.
|
150
|
|
-
износ, д. ед.
|
210
|
|
3
|
Валовая
прибыль, д. ед.
|
?
|
|
4
|
Расходы
на продажу, общие и административные (переменные), д. ед.
|
30
|
|
5
|
Прибыль
до выплаты процентов и налогообложения, д. ед.
|
?
|
|
6
|
Ставка
процентов по долгосрочной задолженности, %
|
10
|
|
7
|
Процент
по долгосрочной задолженности, д. ед.
|
123
|
|
8
|
Прибыль
до налогообложения, д. ед.
|
?
|
|
9
|
Ставка
налогообложения
|
20
|
|
10
|
Налоги,
д. ед.
|
?
|
|
11
|
чистый
доход, д. ед.
|
?
|
|
12
|
Рентабельность
продаж, д. ед.
|
?
|
|
13
|
Стоимость
основных активов на дату оценки, д. ед.
|
1
300
|
|
14
|
Норма
амортизации. %
|
15
|
|
15
|
Дебиторская
задолженность, д. ед.
|
200
|
|
16
|
Товарно-материальные
запасы, д. ед.
|
110
|
|
17
|
Текущие
активы, д. ед.
|
2
510
|
|
18
|
Текущие
обязательства, д. ед.
|
145
|
|
19
|
Свободная
земля ( оценочная стоимость), д. ед.
|
135
|
|
20
|
Долгосрочные
обязательства, д. ед.
|
160
|
|
21
|
Требуемый
оборотные капитал (рассчитывается от показателя выручка), %
|
0,13
|
|
Показатель
|
Год
1
|
Год
2
|
Год
3
|
Год
4
|
Год
5
|
Остаточный
период
|
|
Ожидаемые
темпы роста (g), %
|
9
|
9
|
8
|
8
|
7
|
6
|
|
Темпы
инфляции (i),%
|
7
|
7
|
6
|
6
|
6
|
5
|
|
Планируемые
капитальные вложения, д.ед.
|
200
|
350
|
150
|
150
|
150
|
|
|
Износ
существующих активов, д.ед.
|
125
|
100
|
75
|
50
|
50
|
50
|
|
Чистый
прирост задолженности (новые долгосрочные обязательства минус платежи по
обслуживанию), д.ед.
|
50
|
200
|
-
|
-
|
-
|
-
|
|
Остатки
по долговым обязательствам (кредит получен 1 января),д.ед
|
250
|
450
|
450
|
450
|
450
|
450
|
|
Инфляция
(i)
|
6,0%
|
|
Безрисковая
ставка Rf
|
6,5%
|
|
Коэффициент
Бета
|
1,25
|
|
Рыночная
премия (Rm-Rf)
|
6,0%
|
|
Риск
для отдельной компании S
|
5,0%
|
|
Страновой
риск С
|
6,0%
|
|
Расчет ставки дисконта r
|
?
|
. Выручка от реализации:
Год 1. 1 900*109/100=2 071
Год 2. 2 071*109/100=2 257,39
Год 3. 2257,39*108/100=2 437,98
Год 4. 2 437,98*108/100=2 633,02
Год 5. 2 633,02*107/100=2 817,33
Ост. Период. 2 817,33*106/100=2 986,37
. Постоянные издержки (без износа):
Год 1. 280*107/100= 299,60
Год 2. 299,60*107/100= 320,57
Год 3. 320,57*106/100= 339,81
Год 4. 339,81*106/100= 360,19
Год 5. 360,19*106/100= 381,81
Ост. Период. 381,81*105/100= 400,90
. Переменные издержки
Год 1. 150*109/100= 163,50
Год 2. 163,50*109/100= 178,22
Год 3. 178,22*108/100= 192,47
Год 4. 192,47*108/100= 207,87
Год 5. 207,87*107/100= 222,42
Ост. Период. 222,42*106/100= 235,77
. Износ:
|
Показатели
|
Прогнозный
период
|
Остаточный
период
|
|
Год
1
|
Год
2
|
Год
3
|
Год
4
|
Год
5
|
|
|
Начисление
износа по существующему оборудованию, д.ед.
|
125
|
100
|
75
|
50
|
50
|
50
|
|
Планируемые
капитальные вложения, д. ед.
|
|
|
|
|
|
|
|
Добавление
при сроке службы оборудования 10 лет
|
Год
1
|
200
|
20
|
20
|
20
|
20
|
20
|
20
|
|
Год
2
|
350
|
|
35
|
35
|
35
|
35
|
35
|
|
Год
3
|
150
|
|
|
15
|
15
|
15
|
15
|
|
Год
4
|
150
|
|
|
|
15
|
15
|
15
|
|
Год
5
|
150
|
|
|
|
|
15
|
15
|
|
ВСЕГО
|
145
|
155
|
145
|
135
|
150
|
150
|
Себестоимость:
Год 1. 299,60+163,50+145,00= 608,10
Год 2. 320,57+178,22+155,00= 653,79
Год 3. 339,81+192,47+145,00= 677,28
Год 4. 360,19+207,87+135,00= 703,06
Год 5. 381,81+222,42+150,00= 754,23
Ост. Период. 400,90+235,77+150,00= 786,66
. Валовая прибыль:
Год 1. 2 071,00-608,10=1 462,90
Год 2. 2 257,39-653,79=1 603,60
Год 3. 2 437,98-677,28=1 760,70
Год 4. 2 633,02-703,06=1 929,96
Год 5. 2 817,33-754,23=2 063,10
Ост. Период. 2 986,37-786,66=2 199,71
. Расходы на продажу общие и
административные:
Год 1. 30*109/100= 32,70
Год 2. 32,70*109/100= 35,64
Год 3. 35,64*108/100= 38,49
Год 4. 38,49*108/100= 41,57
Год 5. 41,57*107/100= 44,48
Ост. Период. 44,48*106/100= 47,15
. Прибыль до выплаты процентов и
налогообложения:
Год 1. 1 462,90- 32,70=1 430,20
Год 2. 1 603,60-35,64= 1 567,96
Год 3. 1 760,70-38,49= 1 722,21
Год 4. 1 929,96-41,57=1 888,38
Год 5. 2 063,10-44,48=2 018,62
Ост. Период. 2 199,71-47,15=2 152,55
. Процент по долгосрочным обязательствам:
Год 2. 450*10/100=45
Год 3. 450*10/100=45
Год 4. 450*10/100=45
Год 5. 450*10/100=45
Ост. Период. 450*10/100=45
. Прибыль до налогообложения:
Год 1. 1 430,20-25=1 405,20
Год 2. 1 567,96-45=1 522,96
Год 3. 1 722,21-45=1 677,21
Год 4. 1 888,38-45=1 843,38
Год 5. 2 018,62-45=1 973,62
Ост. Период. 2 152,55-45=2 107,55
. Налоги:
Год 1. 1 405,20*20/100= 281,04
Год 2. 1 522,96*20/100=304,59
Год 3. 1 677,21*20/100=335,44
Год 4. 1 843,38*20/100=368,68
Год 5. 1 973,62*20/100=394,72
Ост. Период. 2 107,55*20/100=421,51
. Чистый доход:
Год 1. 1 405,20-281,04=1 124,16
Год 2. 1 522,96-304,59=1 218,37
Год 3. 1 677,21-335,44=1 341,77
Год 4. 1 843,38-368,68=1 474,70
Год 5. 1 973,62-394,72=1 578,90
Ост. Период. 2 107,55-421,51=1 686,04
. Прирост долгосрочной задолженности:
Остаток по долговым обязательствам n+1
- Остаток по долговым обязательствам n
Год 1. 250-200=50
Год 2. 450-250=200
Год 3. 450-450=0
Год 4. 450-450=0
Год 5. 450-450=0
Ост. Период. 450-450=0
. Изменение собственного капитала:
|
Показатели
|
Предпрог.
период
|
Год
1
|
Год
2
|
Год
3
|
Год
4
|
Год
5
|
Остат.
период
|
|
Выручка
|
1
900,00
|
2
071,00
|
2
257,39
|
2
437,98
|
2
633,02
|
2
817,33
|
2
986,37
|
|
Требуемый
оборотный капитал
|
247,00
|
269,23
|
293,46
|
316,94
|
342,29
|
366,25
|
388,23
|
|
Прирост
оборотного капитала
|
|
22,23
|
24,23
|
23,48
|
25,36
|
23,96
|
21,98
|
Требуемый оборотный капитал:
Предп. период. 1900*13%=247,00
Год 1. 2071,00*13%=269,23
Год 2. 2 257,39*13%=293,46
Год 3. 2 437,98*13%=316,94
Год 4. 2 633,02*13%=342,29
Год 5. 2 817,33*13%=366,25
Ост. Период = 2 986,37*13%=388,23
Прирост оборотного капитала:
Год 1. 269,23-247=22,23
Год 2. 293,46-269,23=24,23
Год 3. 316,94-293,46=23,48
Год 4. 342,29-316,94=25,36
Год 5. 366,25-342,29=23,96
Ост. Период 388,23-366,25=21,98
. Итого денежный поток:
Год 1. 1 124,16+ 145,00+ 50,00- 22,23- 200,00= 1
096,93
Год 2. 1 218,37+ 155,00+ 200,00- 24,23- 350,00=1
199,14
Год 3. 1 341,77+ 145,00+ 0,00- 23,48- 150,00=1
313,29
Год 4. 1 474,70+ 135,00+ 0,00- 25,36- 150,00=1
434,35
Год 5. 1 578,90+ 150,00+ 0,00- 23,96- 150,00=1
554,94
Ост. Период 1 686,04+ 150,00+ 0,00- 21,98-
150,00=1 664,07
Таблица
|
Расчет
стоимости предприятия методом дисконтирования денежных потоков
|
|
Показатели
|
Предпрог
период
|
Год
1
|
Год
2
|
Год
3
|
Год
4
|
Год
5
|
Ост.
Пер
|
|
1
|
Выручка
от реализации, д. ед.
|
1900
|
2
071,00
|
2
257,39
|
2
437,98
|
2
633,02
|
2
817,33
|
2
986,37
|
|
2
|
Постоянные
издержки (без износа), д. ед.
|
280
|
299,60
|
320,57
|
339,81
|
360,19
|
381,81
|
400,90
|
|
3
|
Переменные
издержки, д. ед.
|
150
|
163,50
|
178,22
|
192,47
|
207,87
|
222,42
|
235,77
|
|
4
|
Износ,
д. ед.
|
210
|
145,00
|
155,00
|
145,00
|
135,00
|
150,00
|
150,00
|
|
5
|
Себестоимость
(С/с) реализованной продукции, д. ед.
|
640
|
608,10
|
653,79
|
677,28
|
703,06
|
754,23
|
786,66
|
|
6
|
Валовая
прибыль, д. ед.
|
1260
|
1
462,90
|
1
603,60
|
1
760,70
|
1
929,96
|
2
063,10
|
2
199,71
|
|
7
|
Расходы
на продажу, общие и административные (переменные), д. ед.
|
30
|
32,70
|
35,64
|
38,49
|
41,57
|
44,48
|
47,15
|
|
8
|
Прибыль
до выплаты процентов и налогообложения, д. ед. ( п. 6- п. 7)
|
1230
|
1
430,20
|
1
567,96
|
1
722,21
|
1
888,38
|
2
018,62
|
2
152,55
|
|
9
|
Остаток
по долговым обязательствам, д. ед.
|
200
|
250,00
|
450,00
|
450,00
|
450,00
|
450,00
|
450,00
|
|
10
|
Процент
по долгосрочным обязательствам, д. ед.( при процентной ставке 10 %)
|
20
|
25,00
|
45,00
|
45,00
|
45,00
|
45,00
|
45,00
|
|
11
|
Прибыль
до налогообложения, д. ед. ( п.8 - п.10)
|
1210
|
1
405,20
|
1
522,96
|
1
677,21
|
1
843,38
|
1
973,62
|
2
107,55
|
|
12
|
Налоги,
д. ед. 20%
|
242
|
281,04
|
304,59
|
335,44
|
368,68
|
394,72
|
421,51
|
|
13
|
Чистый
доход ( п. 11 - п.12), д. ед.
|
968
|
1
124,16
|
1
218,37
|
1
341,77
|
1
474,70
|
1
578,90
|
1
686,04
|
|
Расчет
величины денежного потока CF
|
|
14
|
Чистый
доход, д. ед.
|
|
1
124,16
|
1
218,37
|
1
341,77
|
1
474,70
|
1
578,90
|
1
686,04
|
|
15
|
Износ,
д. ед.(+)
|
|
145,00
|
155,00
|
145,00
|
135,00
|
150,00
|
150,00
|
|
16
|
Прирост
долгосрочной задолженности, д. ед.(+)
|
|
50,00
|
200,00
|
0,00
|
0,00
|
0,00
|
0,00
|
|
17
|
Изменение
собственного оборотного капитала, д. ед.(-)
|
|
22,23
|
24,23
|
23,48
|
25,36
|
23,96
|
21,98
|
|
18
|
Капитальные
вложения, д. ед.(-)
|
|
200,00
|
350,00
|
150,00
|
150,00
|
150,00
|
150,00
|
|
19
|
Итого
денежный поток CFterm, д. ед.
|
|
1
096,93
|
1
199,14
|
1
313,29
|
1
434,35
|
1
554,94
|
1
664,07
|
|
20
|
Коэффициент
текущей стоимости
|
1/(1+r)n-0,5
|
0,8944
|
0,7155
|
0,5724
|
0,4580
|
0,3664
|
|
|
Коэффициент
текущей стоимости для ост. периода
|
1/(1+r)4
|
|
|
|
|
|
0,3277
|
|
21
|
Текущая
стоимость денежных потоков, PVn, д.ед
|
PVCFn
|
981,09
|
857,98
|
751,73
|
656,93
|
569,73
|
|
|
22
|
Сумма
текущих стоимостей денежных потоков прогнозного периода, д. ед.
|
PVCF1+
PVCF2+ PVCF3+ PVCF4+ PVCF5
|
3
817,46
|
|
|
23
|
Стоимость
предприятия в остаточный период, д. ед.
|
|
8
758,26
|
|
24
|
Текущая
стоимость в остаточный период, д. ед.
|
|
2
870,08
|
|
25
|
Обоснованная
рыночная стоимость собственного капитала до внесения поправок, д. ед.
|
|
6
687,55
|
|
26
|
Фактический
обортный капитал (ТА-ТО), д. ед.
|
250-145
|
105,00
|
|
27
|
Требуемый
обортоный капитал, д. ед.
|
|
247,00
|
|
28
|
Дефицит
или избыток обортного капитала, д. ед.
|
105-247
|
-142,00
|
|
29
|
Избыточные
активы, д. ед.
|
135
|
135,00
|
|
30
|
Обоснованная
рыночная стоимость собственного капитала с учетом вносимых поправок, д. ед.
|
|
6
680,55
|
Задача 4
Определить стоимость контрольного пакета акций
открытой компании на основе финансовой информации о компаниях-аналогах, акции
которых обращаются на фондовом рынке. Определить метод, при помощи которого
будет проведена оценка. Обосновать свой выбор метода определения рыночной
стоимости оцениваемой компании и ценовых мультипликаторов по аналогам,
принимаемых в основу для определения стоимости оцениваемой компании. По
результатам расчетов сделать вывод об итоговой величине стоимости объекта
оценки.
|
Название
компании
|
Страна
|
Дополнительная
информация
|
|
|
уровень
странового риска
|
премия
за контроль,%
|
скидка
за недостаток ликвидности.%
|
Оборотный
капитал
|
|
|
|
|
|
дефицит
|
|
Premio
|
Италия
|
3,1
|
20
|
20
|
563
000
|
|
Данные
балансового отчета, д.ед.
|
Данные
отчета о доходах, д.ед.
|
подоходный
налог,д.ед.
|
Чистый
доход. Д.ед.
|
Данные
об акциях
|
|
краткосрочная
и текущая часть долгосрочной задолженности
|
долгосрочная
задолженность
|
собственный
капитал (балансовая стоимость
|
чистая
выручка от реализации
|
Износ
и амортизация
|
расходы
на выплату процентов
|
доход
до налогов
|
|
|
текущая
рыночная цена
|
число
акций, шт.
|
|
0
|
481
271
|
2
532 445
|
4
762 471
|
292
540
|
31
617
|
65
763
|
4
390 587
|
2
300
|
6
790
|
|
№
|
Название
компании
|
Страна
|
Дополнительная
информация
|
|
|
|
уровень
странового риска
|
премия
за контроль,%
|
скидка
за недостаток ликвидности.%
|
Оборотный
капитал
|
|
|
|
|
|
|
дефицит
|
избыток
|
|
1
|
2
|
3
|
4
|
5
|
6
|
7
|
8
|
|
1
|
Дельта
ДВ
|
Россия
|
9,1
|
30
|
25
|
500
000
|
-
|
|
2
|
Итиоку
|
Япония
|
4,2
|
35
|
20
|
-
|
280
000
|
|
3
|
Mega
Trade
|
Англия
|
0,6
|
25
|
15
|
11
100
|
-
|
|
4
|
Espiranto
|
Италия
|
3,1
|
20
|
30
|
-
|
46
000
|
|
5
|
Delair
|
Франция
|
1,3
|
15
|
20
|
480
000
|
-
|
|
6
|
Weihai
|
Китай
|
10,4
|
40
|
25
|
-
|
89
010
|
|
7
|
МегаФуд
|
Россия
|
9,1
|
25
|
25
|
-
|
671
000
|
|
8
|
Миури
|
Япония
|
4,2
|
35
|
30
|
350
000
|
-
|
|
9
|
Dream
|
Англия
|
1
|
25
|
35
|
-
|
135
000
|
|
№
|
Данные
балансового отчета.л.ед.
|
Данные
отчета о доходах, д.ед.
|
подоходный
налог,д.ед.
|
Чистый
доход. Д.ед.
|
Данные
об акциях
|
|
краткосрочная
и текущая часть долгосрочной задолженности
|
долгосрочная
задолженность
|
собственный
капитал (балансовая стоимость
|
чистая
выручка от реализации
|
Износ
и амортизация
|
расходы
на выплату процентов
|
доход
до налогов
|
|
|
текущая
рыночная цена
|
число
акций, шт.
|
|
9
|
10
|
11
|
12
|
13
|
14
|
15
|
16
|
17
|
18
|
19
|
20
|
|
1
|
97
458
|
370
601
|
4
763 410
|
64
707 543
|
786
467
|
13
300
|
48
024 095
|
535
120
|
43
874 612
|
500
|
5
580
|
|
2
|
97
458
|
1
200 867
|
94
287 015
|
51
308 772
|
2
815 327
|
1
287 664
|
15
222 956
|
4
369 321
|
10
671 476
|
1
170
|
46
227
|
|
3
|
82
198
|
85
915
|
400
710
|
1
592 175
|
147
026
|
19
668
|
98
458
|
42
374
|
48
198
|
423
|
2
316
|
|
4
|
0
|
381
371
|
1
532 675
|
3
962 476
|
292
760
|
36
517
|
384
047
|
65
563
|
3
127 712
|
1
100
|
4
840
|
|
5
|
2
653 000
|
46
109 000
|
140
107 000
|
85
244 000
|
9
226 000
|
3
799 000
|
24
991 000
|
17
103 000
|
17
861 000
|
4
510
|
13
778
|
|
6
|
0
|
0
|
67
644
|
149
769
|
13
054
|
121
|
28
550
|
15
732
|
12
818
|
365
|
799
|
|
7
|
77
551
|
210
604
|
4
213 455
|
53
107 354
|
867
187
|
14
150
|
68
025 098
|
435
908
|
53
874 123
|
908
|
10
000
|
|
8
|
1
000 653
|
65
000 109
|
410
207 107
|
89
000 104
|
7
426 000
|
3
704 000
|
33
000 100
|
19
303 000
|
17
657 000
|
3
780
|
15
903
|
|
9
|
109
786
|
2
100 678
|
97
321 000
|
71
803 257
|
3
158 732
|
4
983 430
|
13
398 209
|
5
933 209
|
11
176 765
|
970
|
38
500
|
Таблица
|
№
|
Название
компании
|
Страна
|
(P/E)
|
Цена/Прибыль
до налогообложения (P/EBT)
|
Цена/Чистый
денежный поток (P/ED)
|
Цена/Денежный
поток до налогообложения (P/EBDT)
|
Собственный
капитал+Долгосрочный капитал/Прибыль до налогообложения и процентов (IC/EBIT)
|
Цена/Балансовая
стоимость (P/BV)
|
|
1
|
Дельта
ДВ
|
Россия
|
0,064
|
0,058
|
0,062
|
0,057
|
0,066
|
0,586
|
|
|
2
|
Итиоку
|
Япония
|
5,068
|
3,553
|
4,010
|
2,998
|
3,349
|
0,574
|
|
|
3
|
Mega
Trade
|
Англия
|
20,326
|
9,950
|
5,018
|
3,991
|
9,021
|
2,445
|
|
|
4
|
Espiranto
|
Италия
|
1,702
|
13,863
|
1,557
|
7,866
|
13,566
|
3,474
|
|
|
5
|
Delair
|
Франция
|
3,479
|
2,486
|
2,294
|
1,816
|
3,760
|
0,444
|
|
|
6
|
Weihai
|
Китай
|
22,752
|
10,215
|
11,272
|
7,010
|
10,172
|
4,311
|
|
|
7
|
МегаФуд
|
Россия
|
0,169
|
0,133
|
0,166
|
0,132
|
0,137
|
2,155
|
|
|
8
|
Миури
|
Япония
|
3,405
|
1,822
|
2,397
|
1,487
|
3,409
|
0,147
|
|
|
9
|
Dream
|
Англия
|
3,341
|
2,787
|
2,605
|
2,256
|
2,146
|
0,384
|
|
|
Среднеарифметическое
значение
|
6,701
|
4,985
|
3,265
|
3,068
|
5,069
|
1,613
|
|
|
Медианное
значение
|
3,405
|
2,787
|
2,397
|
2,256
|
3,409
|
2,155
|
|
/E = CАp*KA/E,
Где CАp- рыночная стоимость акций компании
аналога; KA- количество акций; Е- чистая прибыль (чистый доход).
P/EBT= CАp*KA/EBT,
Где EBT- прибыль(доход) до налогообложения.
P/ED= CАp*KA/
ED,
Где ED- чистый денежный поток (сумма чистой
прибыли (дохода) и амортизационных отчислений D).
P/EBDT= CАp*KA/EBDT,
Где EBDT-
денежный поток до налогообложения (сумма прибыли до налогообложения и
амортизационных отчислений).
/EBIT= Ксоб+Зд/ EBIT,
Где IC- инвестированный в компанию капитал; Ксоб
- собственный капитал (CАp*KA);
Зд- долгосрочная задолженность; EBIT - прибыль (доход) до выплаты процентов и
налогообложения.
/EBIT= Ксоб+Зд/ EBDIT,
Где EBDIT
- денежный поток на основе прибыли (доход) до налогообложения и выплаты
процентов.
P/BV= CАp*KA/
BV,
Где BV-
балансовая стоимость собственного капитала.
|
№
п/п
|
Показатели
|
|
1
|
Исходные
данные по оцениваемой компании, тыс. д. ед.
|
Прибыль
до налогообложения
|
Балансовая
стоимость
|
Инвестируемый
капитал и прибыль операционная
|
|
|
284045
|
2532445
|
796933
|
|
2
|
Название
и значение мультипликатора (среднеарифметическое или медианное)
|
Цена/Прибыль
до налогообложения (P/EBT)
|
Цена/Балансовая
стоимость (P/BV)
|
Собственный
капитал(Рыночная стоимость компании)+долгосрочная задолженность/Прибыль до
налогообложения (IC/EBIT)
|
|
|
4,985
|
1,613
|
5,069
|
|
3
|
Фактор
странового риска
|
3,1
|
|
4
|
Мультипликатор,
скорректированный на фактор странового риска Мультипликатор/(1+Страновой риск
(0,031))
|
4,835
|
1,565
|
4,917
|
|
5
|
Предварительная
стоимость на уровне неконтрольного (миноритарного) пакета акций, тыс. д.
ед.(стр.1*стр4)
|
1
373 389,258
|
3
962 011,431
|
3
918 189,502
|
|
6
|
-премия
за контроль 35%
|
1
854 075,498
|
5
348 715,431
|
5
289 555,828
|
|
7
|
-
скидка за недостаточную ликвидность ( 25%)
|
1
390 556,624
|
4
011 536,574
|
2
938 642,127
|
|
8
|
-
стоимость неоперационных (непроизводственных) активов
|
-
|
-
|
-
|
|
9
|
-
избыток/дефицит оборотного капитала, тыс. д. ед.
|
-563
000
|
-563
000
|
-563
000
|
|
10
|
Итоговая
стоимость на уровне не контрольного пакета акций, тыс. д. ед.
|
827
556,624
|
3
448 536,574
|
2
375 642,127
|
|
11
|
Удельный
вес мультипликатора
|
0,20
|
0,30
|
0,50
|
|
12
|
Величина
стоимости с учетом коэффициентов доверия ( стр. 10* стр. 11)
|
165
511,325
|
1
034 560,972
|
1
187 821,063
|
|
13
|
Итого
величина стоимости с учетом коэффициентов доверия, тыс. д. ед.
|
2
387 893,360
|
Таким образом, стоимость компании методом
компаний-аналогов составляет 2 387 893 д. ед.
Задача 5
Проведите оценку стоимости предприятия на
01.01.2010 г. методом балансовой стоимости и методом чистых активов, используя
данные таблицы 29.
|
Сумма
по баланс и корректировка оценщика
|
Статьи
баланса на 01.01.2010 г.
|
|
Актив
|
Пассив
|
|
Основные
средства
|
Запасы
|
Дебиторская
задолженность
|
Денежные
средства
|
Всего
активов
|
Обязательства,
срок погашения 01.07.2011 г. при r=20%
|
|
Сумма,
тыс. д. ед.
|
5000
|
1200
|
1000
|
700
|
9200
|
3300
|
|
%
корректировки оценщика
|
+30
|
-15
|
-
|
-
|
-
|
-
|
. Метод балансовой стоимости.
С = 7 900-3 300= 4 600 д.ед.
. Метод чистых активов.
Основные средства: 5 000*1,30= 6 500 д.ед.
Запасы: 1 200*0,85= 1 020 д.ед.
Дебиторская задолженность: 1 000 д.ед.
Денежные средства: 700 д. ед.
200-7 900 = 1300 д. ед. - величина активов,
принятая по балансовой стоимости
Всего: 6 500+ 1 020+ 1 000+700+1 300= 10 520 д.
ед.
Пассивы:
Обязательства дисконтируются
С=10 520-3 203,42=7 316,58 д. ед.
денежный поток дисконтированный аренда
Заключение
Осуществление практически всех
видов финансовых операций предприятия генерирует определенное движение денежных
средств в форме их поступления или расходования. Это движение денежных средств
функционирующего предприятия во времени представляет собой непрерывный процесс
и определяется понятием "денежный поток".
Денежный поток предприятия
представляет собой совокупность распределенных во времени поступлений и выплат
денежных средств, генерируемых его хозяйственной деятельностью.
Рациональное формирование
денежных потоков способствует ритмичности операционного цикла предприятия и
обеспечивает рост объемов производства и реализации продукции. При этом любое
нарушение платежной дисциплины отрицательно сказывается на формировании
производственных запасов сырья и материалов, уровне производительности труда,
реализации готовой продукции, положении предприятия на рынке и т.п.
Управление денежными потоками
является важным фактором ускорения оборота капитала предприятия. Это происходит
за счет сокращения продолжительности операционного цикла, более экономного
использования собственных и уменьшения потребности в заемных источниках
денежных средств. Следовательно, эффективность работы предприятия полностью
зависит от организации системы управления денежными потоками. Данная система
создается для обеспечения выполнения краткосрочных и стратегических планов
предприятия, сохранения платежеспособности и финансовой устойчивости, более
рационального использования его активов и источников финансирования, а также
минимизации затрат на финансирование хозяйственной деятельности. В оценке
бизнеса используются следующие виды денежных потоков: денежный поток для инвестированного
капитала (бездолговой) и денежный поток для собственного капитала (полный).
Полный денежный поток - это денежный поток для собственного капитала, в
котором учитываются изменения заемных и собственных средств.
Бездолговой денежный поток
не учитывает суммы выплаты процентов по кредиту и увеличение или уменьшение
задолженности.
При классификации по критерию учета в денежных
потоках инфляционных ожиданий, денежные потоки подразделяются на два вида:
реальный и номинальный денежный поток.
Реальный денежный поток - поток,
в котором учитываются будущие инфляционные ожидания;
Номинальный денежный поток - поток,
в котором инфляционные ожидания не учитываются.
Дисконтированный поток денежных
средств (discounted cash flow, DCF) - метод оценки
будущих потоков чистых денежных средств путем их приведения к текущей
стоимости. Для расчета используется коэффициент дисконтирования.
Ставка дисконтирования - это
процентная ставка, используемая для перерасчёта будущих потоков доходов в
единую величину текущей стоимости. Ставка дисконтирования применяется при
расчёте дисконтированной стоимости
<http://ru.wikipedia.org/wiki/%D0%94%D0%B8%D1%81%D0%BA%D0%BE%D0%BD%D1%82%D0%B8%D1%80%D0%BE%D0%B2%D0%B0%D0%BD%D0%BD%D0%B0%D1%8F_%D1%81%D1%82%D0%BE%D0%B8%D0%BC%D0%BE%D1%81%D1%82%D1%8C>
будущих денежных потоков NPV <http://ru.wikipedia.org/wiki/NPV>.
Список литературы
1. Приказ
Министерства экономического развития и торговли Российской Федерации
(Минэкономразвития России) от 20 июля 2007 г. N 256 г. Москва. "Об
утверждении федерального стандарта оценки "Общие понятия оценки, подходы к
оценке и требования к проведению оценки (ФСО N 1)".
. Приказ
Министерства экономического развития и торговли Российской Федерации
(Минэкономразвития России) от 20 июля 2007 г. N 255 г. Москва. "Об утверждении
федерального стандарта оценки "Цель оценки и виды стоимости (ФСО N
2)"
. Приказ
Министерства экономического развития и торговли Российской Федерации
(Минэкономразвития России) от 20 июля 2007 г. N 254 г. Москва. "Об
утверждении федерального стандарта оценки "Требования к отчету об оценке
(ФСО N 3)"
. Бочаров
В. В. «финансовый менеджмент. - СПб.: Питер, 2007.
. Есипов
В. Е., Маховикова Г. А. , Мирзажанов С. К. «Оценка бизнеса. Полное практическое
руководство» - Эксмо, 2008.
. Оккель
С. А. «Оценка объектов недвижимости»: учебное пособие - Хабаровск:Изд-во
ДВГУПС,2009.
. Смоляк
С. А. «Метод дисконтированного денежного потока для оценки инвестиционных
проектов, имущества и бизнеса» - ЦЭМИ РАН: Москва.
. Царев
В. В.Оценка стоимости бизнеса. Теория и методолгоия:Учебное пособие для вузов-
М.: ЮНИТИ-Дана,2007.
. Чеботарев
Н. Ф. «Оценка стоимости предприятия (бизнеса)» - М.: Издательско-торговая
корпорация «Дашков и К», 2009.
. Щербаков
В. А., Щербакова Н. А. «Оценка стоимости предприятия (бизнеса)»- М.: Омега-Л,
2006.
. Портал
для специалистов в области оценки - Режим доступа: http://
profiocenka.ru