Валютное регулирование и валютный контроль

  • Вид работы:
    Дипломная (ВКР)
  • Предмет:
    Финансы, деньги, кредит
  • Язык:
    Русский
    ,
    Формат файла:
    MS Word
    887,43 Кб
  • Опубликовано:
    2013-05-27
Вы можете узнать стоимость помощи в написании студенческой работы.
Помощь в написании работы, которую точно примут!

Валютное регулирование и валютный контроль

Министерство образования и науки Российской Федерации

ФГБОУ ВПО Тульский государственный университет

Кафедра "Финансы и менеджмент"








Курсовая работа

по дисциплине "Финансовые и денежно-кредитные методы регулирования экономики"

на тему "Валютное регулирование и валютный контроль"


Выполнил:

студент гр. 740771/20

Урганов Т.В.

Проверил:

д.э.н., проф. Федорова Е.А.



Тула - 2013

Оглавление

Введение

1. Анализ процесса валютного регулирования и контроля

. Обзор форм и методов валютного регулирования и контроля

. Исследование и систематизация факторов, влияющих на развитие валютных отношений в РФ и на воздействие государственного валютного контроля на экономику России

4. Моделирование процесса валютных операций

Заключение

Список литературы

Введение

Валютное регулирование представляет собой законодательную форму осуществления валютной политики государства. В свою очередь, валютная политика - это составная часть общеэкономической, в том числе денежно-кредитной, политики государства, направленная на укрепление валютно-финансового положения страны, поддержание на высоком уровне ее платежеспособности и кредитоспособности, обеспечение поступления валюты из-за рубежа по внешнеэкономическому обороту, приостановку бегства капитала за границу, привлечение иностранного капитала, укрепление российского рубля и т.д.

С упразднением государственной монополии на внешнюю торговлю и началом либерализации внешнеторговой деятельности резко увеличилось количество физических и юридических лиц, сталкивающихся в своих повседневных нуждах с валютным законодательством. Создание же внутреннего валютного рынка в России придало валютно-правовому регулированию постоянный характер.

Созданный в России механизм валютного контроля имеет своей основной целью обеспечение полного и своевременного поступления экспортной валютной выручки в РФ в интересах оздоровления федерального бюджета, укрепления финансовой дисциплины, развития внутреннего валютного рынка и формирования государственных валютных резервов.

Цель написания курсовой работы заключается в анализе процесса валютного регулирования и контроля, обзоре методов валютного регулирования и контроля, исследовании и систематизации факторов и механизмов, влияющих на процесс валютного регулирования и контроля и составлении модели.

.        Анализ процесса валютного регулирования и контроля

Валютное регулирование - деятельность государственных органов по управлению обращением валюты, контролю за валютными операциями, воздействию на валютный курс национальной валюты, ограничению использования иностранной валюты.

Валютный контроль - контроль со стороны государства за порядком приобретения юридическими и физическими лицами иностранной валюты и проведения валютных операций, за перемещением валюты через таможенную границу.

Создание действенного финансово-правового механизма валютного контроля является необходимым условием обеспечения государственных экономических интересов. Механизм валютного контроля за экспортными и импортными операциями позволяет также осуществлять их учет и выявлять нарушения валютного законодательства, допущенные в процессе исполнения внешнеэкономических сделок. Вместе с тем финансово-правовой механизм валютного контроля не должен ущемлять права подконтрольных субъектов. В этих целях валютным законодательством установлено, что резиденты и нерезиденты, осуществляющие в Российской Федерации валютные операции, имеют право:

а) знакомиться с актами проверок, проведенными органами и агентами валютного контроля;

б) обжаловать решения и действия (бездействие) органов и агентов валютного контроля и их должностных лиц в административном и судебном порядке;

в) на возмещение в установленном законодательством порядке реального ущерба, причиненного неправомерными действиями (бездействием) органов и агентов валютного контроля и их должностных лиц.

При осуществлении валютных операций на территории Российской Федерации резиденты и нерезиденты обязаны:

а) представлять органам и агентам валютного контроля документы и информацию, связанные с проведением валютных операций, открытием и ведением счетов;

б) вести в установленном порядке учет и составлять отчетность по проводимым ими валютным операциям, обеспечивая сохранность соответствующих документов и материалов в течение не менее трех лет со дня совершения соответствующей валютной операции, но не ранее срока исполнения договора;

в) выполнять предписания органов валютного контроля об устранении выявленных нарушений актов валютного законодательства и актов органов валютного регулирования.

Осуществление контрольных мероприятий в любой сфере финансовой деятельности, а в валютной особенно, должно основываться на адекватном законодательстве. Несовершенство валютного законодательства, просчеты и недостаток опыта в работе контролирующих и правоохранительных органов используются в криминальных целях посредством совершения сделок, наносящих ущерб экономической безопасности государства.

Как показывает мировой опыт, только страны с мощным экономическим и финансовым потенциалом могут справиться с серьезными финансовыми проблемами без установления жесткого валютного контроля за международным движением платежей и капиталов. Несмотря на усиление в мире тенденции к отмене валютных ограничений, современное состояние экономики и финансов России, в значительной мере подорванное бесконтрольным вывозом национальных ресурсов, не позволяет в настоящее время полностью отказаться от применения государством мер валютного регулирования и контроля.

Одной из важнейших задач проводимых контрольных мероприятий должно стать своевременное выявление, пресечение и предотвращение нарушений установленных законодательством правил валютного регулирования, призванных обеспечить устойчивость национальной валюты РФ.

Валютный контроль и регулирование в Российской Федерации осуществляется Правительством Российской Федерации, органами и агентами валютного контроля в соответствии с Федеральным законом и иными федеральными законами.

Органами валютного контроля и регулирования в Российской Федерации являются Центральный банк Российской Федерации, федеральный орган (федеральные органы) исполнительной власти, уполномоченный (уполномоченные) Правительством Российской Федерации.

Правительство Российской Федерации обеспечивает координацию деятельности в области валютного контроля федеральных органов исполнительной власти, являющихся органами валютного контроля, а также их взаимодействие с Центральным банком Российской Федерации.

Рис. 1. Органы, осуществляющие валютный контроль

Основными принципами валютного регулирования и валютного контроля в Российской Федерации являются:

) приоритет экономических мер в реализации государственной политики в области валютного регулирования;

) исключение неоправданного вмешательства государства и его органов в валютные операции резидентов и нерезидентов;

) единство внешней и внутренней валютной политики Российской Федерации;

) единство системы валютного регулирования и валютного контроля;

) обеспечение государством защиты прав и экономических интересов резидентов и нерезидентов при осуществлении валютных операций.

Валютный контроль является разновидностью финансового контроля, поэтому ему присущи все общие черты финансового контроля. В то же время он имеет некоторые специфические черты. Его основными направлениями являются:

а) определение соответствия проводимых валютных операций действующему законодательству и наличия необходимых для них лицензий и разрешений;

б) проверка выполнения резидентами обязательств в иностранной валюте перед государством, а также обязательств по продаже иностранной валюты на внутреннем валютном рынке России;

в) проверка обоснованности платежей в иностранной валюте;

г) проверка полноты и объективности учета и отчетности по валютным операциям.

На таможенные органы как агентов валютного контроля возложен контроль за соблюдением валютных ограничений в сфере внешнеэкономической деятельности, связанной с перемещением товаров через таможенную границу Российской Федерации.

В соответствии с приказом ФТС России от 08.05.2008 № 557 осуществляется реализация аналитической программы ФТС России "Разработка и внедрение прогрессивных методов осуществления таможенными органами валютного контроля, основанных на использовании современных информационных технологий".

Совместно с Банком России с июля 2010 года ведется работа по внесению изменений в Соглашение об информационном обмене от 26.11.2006 в части расширения состава представляемой Банком России в ФТС России информации за счет включения в нее сведений о расчетах по контрактам на экспорт и импорт работ и услуг, связанных с перемещением товаров и транспортных средств через таможенную границу Российской Федерации (в настоящее время в ФТС России поступают сведения только по договорам купли - продажи) и значительного сокращения сроков передачи информации - до технологически необходимого срока формирования банковской отчетности (1 - 1,5 месяца), а также расширения состава представляемой ФТС России Банку России информации за счет включения в нее сведений о расхождениях данных об оформленных паспортах сделок и ГТД.

ФТС России совместно с Банком России в результате применения автоматизированной технологии валютного контроля (основанной на применении паспортов сделок), осуществляемого таможенными органами, выявлены схемы проведения незаконных валютных операций по переводу денежных средств за рубеж (на основании представляемых в банки поддельных таможенных деклараций). По данным фактам в 2011 году возбуждено 32 уголовных дела.

В 200 году при осуществлении валютного контроля таможенными органами достигнуты следующие результаты.

Рис. 2. Объем экспортно-импортных операций с расчетами денежными и иными платежными средствами, средствами, охваченных технологиями валютного контроля, в 2010 - 2011 годах

Объем экспортных операций с расчетами денежными и иными платежными средствами, охваченных технологиями валютного контроля, за 2011 год составил 462,2 млрд. долларов США и по сравнению с 2010 годом увеличился на 30%.

Объем импортных операций с расчетами денежными и иными платежными средствами, охваченных технологиями валютного контроля, за 2011 год составил 240,5 млрд. долларов США, что на 27% превышает объем импортных операций за 2010 год.

За 2011 год таможенными органами проведено более 23 тыс. проверок соблюдения участниками ВЭД валютного законодательства Российской Федерации, в ходе которых выявлено более 37 тыс. нарушений на сумму 105,6 млрд. рублей. По сравнению с прошлым годом количество проверок сократилось на 30%, административная нагрузка на участников ВЭД снизилась, однако количество выявленных нарушений выросло на 34%, а их сумма - в 2,8 раза, что говорит о значительном росте эффективности проверочной работы подразделений валютного контроля.

По нарушениям валютного законодательства, выявленным в 2011 году, таможенными органами возбуждено 9,3 тыс. дел об АП, предусмотренных статьей 15.25 КоАП РФ, что на 28% превышает показатель 2010 года. Рассмотрение дел данной категории осуществляет орган валютного контроля - Росфиннадзор.

Рис. 3. Сведения о перемещении наличной иностранной валюты физическими лицами и юридическими лицами в 2010 - 2011 годах

За 2011 год по делам о нарушениях валютного законодательства, возбужденным таможенными органами, Росфиннадзором наложены штрафы на сумму 4 млрд. рублей, что на 28% больше, чем за 2010 год.

В соответствии с постановлением Правительства Российской Федерации № 80 между ФТС России и Росфиннадзом централизованно осуществляется обмен информацией и документами о нарушениях валютного законодательства. За 2010 год ФТС России передала в Росфиннадзор 37,5 тыс. сообщений о выявленных таможенными органами нарушениях валютного законодательства на сумму 105,6 млрд. рублей, а также направила 13,3 тыс. документов, подтверждающих данные нарушения.

Истощающая валютные резервы страны спекулятивная атака на рубль требует серьезной инвентаризации мер валютного контроля.

Российские экономисты спорят, что более оправданно: проводить обесценение рубля в несколько этапов или обвалить курс разом, а потом, если не будет противопоказаний, начать постепенный разворот? Другими словами, предлагается выбор между "плохим" и "очень плохим" сценариями, которые рассматриваются как вынужденная мера ввиду отсутствия разумных альтернатив.

При этом продолжают по инерции повторяться мысли о необходимости диверсификации экономики, об уменьшении ее экспортной и сырьевой направленности, о погашении внешнего долга, о превращении рубля в полноценную мировую валюту, о снижении инфляции - хотя решение всех этих системных задач серьезно усложняется в условиях интенсивного ослабления курса национальной валюты.

В последние годы (до нынешних кризисных событий) население и бизнес стали более охотно работать с рублями и сберегать в рублях. Эта тенденция была крайне важна, ведь доверие и предпочтения в валютной сфере - вещи очень инерционные, они формируются в течение длительного времени, и их весьма трудно переломить. И вот с начала острой фазы финансового кризиса за какие-то неполные шесть месяцев доля валютных депозитов предприятий и граждан вновь возросла до уровня восьмилетней давности, и этот показатель продолжает быстро расти. Как же можно рассчитывать на оживление внутреннего спроса, необходимое для оживления всей экономики, когда обесценение национальной валюты ведет к прямо обратному - обесценению рублевых активов и депозитов населения и бизнеса и, следовательно, сжатию спроса?

Конечно, роль валюты определяется в первую очередь положением внутри самой экономики, но с помощью целенаправленной курсовой политики можно ситуацию как улучшить, так и ухудшить, причем существенно.

В условиях кризиса весь мир переходит на принципиально иную идеологию и иные подходы в регулировании.

В российской ситуации проблемы должны решаться с учетом глобальных изменений качественного плана. Если снижение резервов и связанное с этим обесценение рубля приближаются к границам, создающим угрозу платежеспособности компаний и страны в целом, необходимо, чтобы участники рынка знали, какие рычаги могут быть применены для нормализации положения.

В первую очередь важны не запретительные меры, а экономические стимулы, делающие операции с рублями более оправданными.

Акцент может быть сделан на нормативно-регулирующие механизмы, которые должны установить более привлекательный режим работы с национальной валютой. Балансовые и иные нормативы (норматив достаточности капитала, нормы резервирования и др.) в этом случае должны будут трактовать операции с рублями как предпочтительные по сравнению с размещением средств в валюте, делая рублевые инвестиции экономически более целесообразными.

В российских условиях при расчете действующих нормативов, таких как достаточность капитала, риск на одного заемщика и т. п., целесообразно принимать во внимание фактор риска с учетом страновых критериев, специфики контрагентов (резидентов, нерезидентов и др.), отдельных финансовых инструментов, с тем чтобы стимулировать рублевые операции. При этом важно, чтобы переход в рублевые активы подкреплялся соответствующими изменениями в пассивах, чтобы избежать нарушений в валютной позиции.

Одним из стимулов, способствовавших использованию трансграничных операций и наращиванию внешнего корпоративного долга в России в 2000-е годы, был более льготный режим резервирования по обязательствам перед банками-нерезидентами по сравнению с ресурсами, привлеченными с внутреннего рынка (нормы составляли 2 и 3,5% соответственно).

Эти преференции в пользу валюты и банков-нерезидентов действовали с августа 2004-го по сентябрь 2006 года, когда формировались новые опоры внешних связей в условиях валютной либерализации, и на том этапе в комплексе с другими факторами дали импульс увеличению иностранных заимствований. Лишь когда рост внешних заимствований стал чрезмерно быстрым, в течение примерно одного года (с середины 2010-го до октября 2011 года) Банк России начал применять более высокие нормы резервирования по внешним ресурсам. Затем, в разгар кризиса, ставки были резко снижены и выровнены по всем источникам привлечения. Возможно, в настоящий момент, для того чтобы переломить курсовую тенденцию и дать рублю дополнительные точки опоры, стоило бы вновь рассмотреть дифференцированное резервирование, создав преимущество для рублевых операций? А запланированное на май повышение нормы резервирования по рублям осуществить не в полном размере? Естественно, этот шаг должен дополняться комплексом других мер по увеличению привлекательности операций в рублях.

Для недопущения неоправданного сокращения резервов можно рассмотреть и те рычаги, которые применялись в разгар валютно-финансового кризиса в конце 1998 года, когда ЦБ сделал для банков обязательным поддержание нулевой валютной позиции по конверсионным операциям. По существу, действовавший тогда порядок строго ограничивал нетранзакционный (отличный от обеспечения внешнеторговой деятельности клиентов, бесперебойной работы обменных пунктов и операций с банковскими картами) спрос банков на валюту. Эта мера была достаточно жесткой, но в условиях кризиса помогла восстановить стабильность на валютном рынке.

Кроме того, для пополнения резервов можно вновь обратиться к практике частичной продажи валютной выручки. Для начала эти нормативы могут быть достаточно низкими и выполнять скорее сигнальную функцию для участников внешнеэкономической деятельности, и лишь при ухудшении положения они могут затем повышаться.

Возможно, эти шаги не потребуются и будут применены совсем иные меры. Но в любом случае не нужно бояться использовать те механизмы, которые диктуются новыми условиями.

Так же в области совершенствования валютного контроля Министерство финансов РФ подготовило законопроект "О внесении изменения в статью 15.25 Кодекса Российской Федерации об административных правонарушениях", которым уточняется перечень нарушений норм валютного законодательства РФ и актов органов валютного регулирования, предусматривающих административную ответственность.

В частности, предлагается предусмотреть административную ответственность за несоблюдение установленных порядка и (или) сроков представления отчётов о движении средств по счетам (вкладам) в банках за пределами территории РФ с подтверждающими банковскими документами, подтверждающих документов и информации при осуществлении валютных операций, а также за нарушение установленных сроков хранения учётных и отчётных документов по валютным операциям. Предполагается, что закон вступит в силу по истечении 90 дней со дня его официального опубликования.

2.      Обзор форм и методов валютного регулирования и контроля

Валютное регулирование является неотъемлемой частью экономической политики стран с неконвертируемой и частично конвертируемой валютой.

Валютная политика реализуется посредством механизма валютного регулирования. В экономической литературе нет единого мнения по вопросу о том, что представляет собой валютное регулирование. Так, Б. Райзберг рассматривает валютное регулирование как деятельность государственных органов по управлению обращением валюты, контролю за валютными операциями, воздействию на валютный курс национальной валюты, ограничению использования иностранной валюты.

По мнению М. Пебро, регулирование валютных отношений - регулирование отношений между субъектами валютных отношений по поводу проводимых ими операций. Мы за основу возьмем определение, данное И. Платоновой. Валютное регулирование - комплекс мер (законодательных, административных, экономических и организационных), представляющих часть валютной политики страны, направленной на установление порядка проведения операций с валютными ценностями и включения страны в мировой валютный рынок.

Рис. 4. Общее определение валютного регулирования

Законодательство Российской Федерации не декларирует задач валютного регулирования в связи с их оперативными изменениями.

Финогенов Алексей Викторович, к.э.н., доцент РГТЭУ считает, что роль государства в вопросах валютного регулирования должна возрастать и быть под полным контролем. Н.М. Артемов же считает, что полное ужесточение и жесткие рамки не имеют необходимости.

Цели и задачи валютного регулирования определяются текущим состоянием и перспективами развития российской экономики, проводимой денежно-кредитной политикой и направлены на защиту российской экономики от противоправных действий в сфере валютно-финансовых отношений.

Содержание понятия "валютное регулирование" многообразно.

Рис. 5. Цели валютного регулирования

Это по существу совокупность таких процессов, как:

         Воздействие на курс национальной валюты;

         Деятельность государственных органов по управлению обращением валюты;

         Ограничение использования иностранной валюты на территории страны;

         Совокупность законодательных, административных, экономических и организационных мероприятий, определяющих порядок проведения операций с валютными ценностями;

         Контроль государства за валютными операциями.

Политика валютного регулирования реализуется на различных уровнях с применением разнообразных методов и инструментов, взаимодействие и взаимосвязи которых представлены на рисунке.

Валютное регулирование реализуется через механизм валютного контроля

Механизмы валютного регулирования рассматривают многие российские экономисты. В частности Артемов Н.М., Тосунян Г.А., Дорофеев Б.Ю., Ерпылева Н.Ю. Все они утверждают, что методы валютного регулирования можно структурировать следующим образом:

Рис. 6. Структура процесса валютного регулирования

.        Исследование и систематизация факторов, влияющих на развитие валютных отношений в РФ и на воздействие государственного валютного контроля на экономику России

Основные направления воздействия механизма государственного валютного контроля, как:

1)  воздействие на макроэкономическую ситуацию;

2)  влияние на поведение хозяйствующих субъектов;

3)  социальные последствия применения государственного валютного контроля.

Механизм воздействия системы государственного валютного контроля на макроэкономическую ситуацию является близкой аналогией воздействию на последнюю количественных ограничений импорта (квотирования). Последствия для национальной экономики в целом валютного контроля можно представить как последствия введения импортных квот, которые распространены также и на предоставление кредитов за границу. Говорить о том, что импортная квота также негативна, как и импортный тариф не приходится, то же самое и с валютным контролем: валютные ограничения имеют отрицательный эффект, похожий на действие единого налога на все международные сделки.

Что касается влияния использования государством валютного контроля на поведение отдельных хозяйствующих субъектов, то можно отметить то, что в условиях жесткого государственного валютного контроля предприятия и организации, осуществляющие внешнеэкономическую деятельность, либо прекращают развивать данное направление, либо идут на нарушения государственного валютного законодательства. Это происходит вследствие снижения нормы прибыли из-за роста издержек обращения, снижения конкурентоспособности импортных товаров из-за повышения цен, отказа иностранных партнеров сотрудничать с отечественными фирмами из-за задержки платежей, вызванных прохождением административных процедурами государственного валютного контроля.

Относительно социальных последствий можно отметить, что на практике различные режимы валютного контроля сопровождается большими социальными издержками. Чтобы получить право покупать иностранную валюту, хозяйствующие субъекты должны пройти процедуру подачи заявки и тем самым доказать, что покупка валюты попадает в статью разрешенных категорий сделок. Так, импорт необходимых материалов для предприятий, без которых они работали бы не в полную мощность, относится к разряду приоритетных при получении права на покупку иностранной валюты в отличие от импорта дополнительных предметов потребления или вкладов на депозиты в иностранных частных банках.

Столкновение интересов государства и предприятий, осуществляющих внешнеэкономическую деятельность, ведет к возникновению следующих конфликтных ситуаций:

а) увеличение сроков оплаты и, соответственно, сроков поставки товаров и услуг, оплата за которые производится в валюте, из-за необходимости обязательного прохождения достаточно большого количества процедур оформления валютных сделок. Это ведет к увеличению сроков оборота финансовых и материальных средств, что, в свою очередь, ведет к снижению общего уровня экономической рентабельности внешнеэкономической деятельности;

б)      так как отечественные производители заинтересованы в привлечении иностранных инвестиций, то правительства не желают упускать возможности пополнения госбюджета посредством не только налогового обложения иностранных инвестиций и процентов по ним, но и за счет сборов при прохождении валютного контроля;

в)      крупный частный бизнес, желая перевести достаточно большие суммы в валюте за рубеж, часто обходит валютное законодательство, что не только негативно влияет на макроэкономическую ситуацию в стране (падение курса национальной валюты), но и вынуждает государство постоянно повышать расходы из госбюджета на корректировку нормативно-правовой базы и на обеспечение соблюдения последней резидентами.

Несмотря на возросшую эффективность таможенно-банковского валютного контроля сложной остается тема утечки капитала. Из-за снижения поступления экспортной валютной выручки произошло значительное снижение предложения валюты на внутреннем валютном рынке, повлекшее за собой резкие биржевые колебания курса рубля к доллару, дезорганизацию механизма курсообразования и нарушения всей платежно-расчетной системы в сфере внешней торговли.

При дефиците валютных средств, необходимых для обслуживания внешних обязательств и оплаты инвестиционного импорта, утечка капитала из страны может стать основным фактором, генерирующим ухудшение состояния платежного баланса и подрывающим усилия властей по укреплению российской валюты.

Наиболее значительная часть капитала уходит за рубеж по внешнеторговым операциям в виде не репатриации экспортной валютной выручки, не поступления товаров и услуг в счет погашения авансовых платежей по импорту, занижения цен по экспорту и завышения цен по импорту. Поэтому необходимо обеспечить полноту и своевременность поступления на счета в уполномоченных банках экспортной валютной выручки и одновременно создать такой механизм регулирования валютного рынка, который отсекал бы возможность спекулятивного давления на курс национальной валюты. Обеспечить это важно, учитывая переход к политике плавающего курса рубля, определяемого исключительно параметрами предложения и спроса на биржевом валютном рынке.

Точная оценка масштабов вывоза капитала из России крайне сложна из-за того, что многие его составляющие нигде не учитываются. По приблизительным оценкам, чистый отток капитала из России с начала проведения экономических реформ вплоть до начала нынешнего столетия составлял в среднем не менее 18-24 млрд. долл. ежегодно. Эти оценки следует признать весьма консервативными, поскольку они фактически учитывают лишь данные ЦБ РФ по официальному вывозу капитала. Согласно этим данным, в 2002г. объемы вывоза капитала составили 8,1 млрд. долл. По итогам 2004г. этот показатель сократился до 2,3 млрд. долл. Однако в 2007г. темпы вывоза капитала снова стали расти и, по данным ЦБ РФ, составили 8 млрд. долл. В 2010г., по данным ЦБ РФ, чистый отток капитала из России составил примерно 3 млрд. долл.²

Однако если учесть, что за рамками официальной статистики остаются весьма значительные суммы от нелегальных схем вывоза капитала, то картина представляется совсем иная.

По мнению большинства российских экономистов, общий отток капитала из нашей страны с начала 90-х гг. по настоящее время превысил 250 млрд. долл. Эта величина представляется наиболее обоснованной. В ней учитываются:

·   в рамках статьи "Чистые ошибки и пропуски" вывоз составил 50-70 млрд. долл.;

·   непоступление экспортной выручки и непогашение импортных авансов привело к утечке 60-70 млрд. долл.;

·   вложения в наличную иностранную валюту (сбережения российских граждан в иностранной валюте) составили 40 - 80 млрд. долл.;

·   около 70 млрд. долл. было вывезено в рамках каналов, неконтролируемых официальной статистикой

В последнее время наблюдается тенденция к некоторому снижению величины вывозимого капитала. Пик вывоза пришелся на 1991-1994 гг., причем он не отражен в официальной статистике в связи с отсутствием на тот период эффективных механизмов валютного контроля. За это время по оценкам экспертов было вывезено не менее 100 млрд. долл., по 20-40 млрд. ежегодно. В 1995-1997 гг. объемы вывоза снизились до 20-30 млрд. долл., а в 1998-2000 гг. - до 10-25 млрд. долл. В 2003г. объем вывоза составил 17,2-21,7 млрд. долл.

Наиболее опасные для экономики страны нарушения валютного законодательства связанны с оттоком валютных средств за рубеж. Поэтому ЦБ РФ создал систему валютного контроля за совершением внешнеторговых сделок и обеспечением взаимодействия участвующих в нем органов и агентов валютного контроля.

На сегодняшний день таможенно-банковским валютным контролем охвачено до 85% экспортных операций и большинство импортных (в том числе с 1996 года внешнеторговые бартерные сделки). Это единственная в стране система сплошного автоматизированного контроля, включающая 11 тыс. банков, 196 таможен, 850 постов. Действенность существующих технологий подтверждается снижением процента не поступления экспортно-валютной выручки.

С 1 января 1996 года таможенно-банковский контроль был распространен на операции, связанные с импортом товара. Это позволило минимизировать возможность использования участниками внешнеэкономической деятельности такого канала утечки капитала, как авансовые платежи, не подтвержденные поставками товаров в сроки, установленные законодательством. По данным ЦБ РФ сумма импортных операций, охваченных 2002 году системой контроля, составила 30, 5 млрд. долларов или 67% от общего объема импорта. При этом резидентами был авансирован импорт товаров на сумму 12, 4 млрд. долларов.

Таможенно-банковским контролем охвачены операции экспортеров на сумму 49, 1 млрд. долларов, импортеров - 34, 5 млрд. долларов. Достигнутый уровень валютного контроля по экспортно-импортным сделками с товарами снижает возможность утечки капитала через этот канал, но остаются иные каналы ухода капитала за рубеж, в частности валютные операции при сделках, реализуемых с участием компании, зарегистрированных в оффшорных зонах.

Валютный контроль уменьшает экономическую нестабильность посредством поддержания постоянной стоимости национальной валюты.

Таким образом, можно говорить о том, что инструменты валютного регулирования и валютного контроля по обеспечению стабильности внутреннего валютного рынка и противодействие утечки капитала за границу в РФ довольно эффективны. Однако, несмотря на позитивные сдвиги, положение дел с утечкой капитала за границу остается сложной. Противодействия государства такому явлению, как утечка капитала, зависит от совершенствования существующей законодательной базы.

4. Моделирование процесса валютных операций

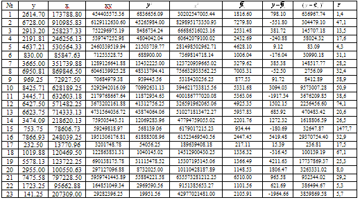
Выборка исходных данных

Данные о числе организаций в сфере валютных отношений, их обороте и валовом региональном продукте возьмем из интернета с сайта #"657857.files/image007.gif">

Строим ранжированный ряд в порядке возрастания у:


Следовательно, выборка случайна, на ее основе можно проводить корреляционно-регрессионный анализ.

3. Характеристики рядов распределения

Проведем качественный анализ данных. На его основе выберем для У(ВРП) более значимые значения из Х1 и Х2. Сделаем это с помощью анализа данных с использованием корреляции. (Табл.2)

Таблица 2. Анализ данных с помощью корреляции.


В результате анализа приходим к выводу, что для У(врп) более значимым будет являться параметр Х1.

1)   Средняя арифметическая :

 3296 млн. руб.

2)   Оценка вариации (изменения) фактора в его ряду распределения:

8425,71 - 141,25 = 8284,5 млн. руб.

3)   Дисперсия:

 6781949.94

4)   Среднее квадратическое отклонение:

2604,22

5)   Коэффициент вариации по среднему квадратическому отклонению:

79,01%

Нормальным уровнем колеблемости данных считается интервал 2-33%. Как видим, колеблемость данных превышает нормальный уровень.

6)   Стандартная ошибка средней арифметической:

 475.46

7)   Точность проведения исследования:

14,4%

Следовательно, точность проведения исследования по размеру ВРП выходит за допустимые пределы.

1)   Средняя арифметическая :

= 302784.73 млн. руб.

2)   Оценка вариации (изменения) фактора в его ряду распределения:

 910 985.83 - 13 770.96 = 897214,87 млн. руб.

3)   Дисперсия:

72541370280

4)   Среднее квадратическое отклонение:

 269335.0521

валютный регулирование контроль российский

5)   Коэффициент вариации по среднему квадратическому отклонению:

88,95%

Нормальным уровнем колеблемости данных считается интервал 2-33%. Как видим, колеблемость данных превышает нормальный уровень.

6)   Стандартная ошибка средней арифметической:

49173.63

7)   Точность проведения исследования:

16,24%

Следовательно, точность проведения исследования по размерам оборотов малых и средних предприятий выходит за допустимые пределы.

Данные сведем в таблицу.

Таблица 3 - Характеристики рядов распределения


среднее арифметическое

 М

х

302784.73

897214,87

72541370280

269335.0521

88,95

49173.63

16,24

у

3296

8284,5

6781949.94

2604,22

79,01

475.46

14,4


4. Качественный анализ факторов для отбора в экономико-математическую модель

Построение рядов распределения и расчет их характеристик дают возможность провести предварительный качественный анализ связи каждого фактора-аргумента исходной экономико-математической модели с фактором-функцией.

Переход от исходного дискретного ряда к интервальному, т.е. процесс группировки, осуществляется на основе расчета оптимальной величины интервала по формуле:

152 070

Построим интервальный ряд х в таблице 4.

Таблица 4 - Группировки данных размеров нетто-активов

152 070


1

0 - 152 070

13

18617.51

1432.12

2

152 070 - 304 140

7

21318.24

3045.46

3

304 140 - 456 210

2

8231

4115.5

4

456 210 - 608 280

2

11064,71

5532.36

5

608 280 - 760 350

3

18495,17

6165.06

6

760 350 - 912 420

3

21154,39

7051.46

Итого…

30

98881

-


Наиболее часто для установления корреляционной зависимости используют корреляционную таблицу. Она систематизирует результаты статистической выборки по двум варьирующим признакам и охватывает два зависимых ряда распределения: один ряд распределения представляет фактор-аргумент, а другой - фактор-функцию. Составим корреляционную таблицу (таблица 5). Число интервалов по  равно 6, тогда число интервалов по у должно быть тоже примерно равно 6. Определим оптимальную величину интервала для у:

1 404,2

Если взять 1 404,2 то количество интервалов у составит 6.

Таблица 5 - Корреляционная таблица размера ВРП и активов

Интервалы по

Интервалы по

Итого


0 - 152070

152070 - 304140

304140 - 456210

456210 - 608280

608280 - 760350

760350 - 912420


8425.2 - 9829.4

-

-

-

-

1

-

1

7021 - 8425.2

-

-

-

-

-

3

3

5616.8 - 7021

-

-

-

1

1

-

2

4212.6 - 5616.8

1

-

1

1

-

-

3

2808.4 - 4212.6

1

3

1

-

1

-

6

1404.2 - 2808.4

1

3

-

-

-

-

4

0 - 1404.2

10

1

-

-

-

-

11

Итого…

13

7

2

2

3

3

30


Корреляционная таблица делает возможной оценку интенсивности связи. Концентрация частот около диагонали указывает на существование тесной связи между факторами.

На основании корреляционной таблицы построим графическое изображение связи в виде поля корреляции (рисунок 1).

 

Рисунок 1 - Поле корреляции размера ВРП и оборота активов предприятия

. Проверка исходных данных на нормальность распределения

Ме = 2763,95 < 3296. Имеет место левосторонняя асимметрия. Оценим ее умеренность, т.е. проверим исходные данные этого ряда распределения на нормальность.

Определим критерий согласия Пирсона или критерий (таблица 5).

Таблица 6 - Расчет

Интервалы по у

Частота интервала  

Середина интервала

0 - 1404.2

11

702

-0.99

3,99≈4

1404.2 - 2808.4

4

2106

-0.46

0.3589

5,98≈6

2808.4 - 4212.6

6

3511

0.08

0.3977

6,74≈7

4212.6 - 5616.8

3

4915

0.62

0.3292

5,58≈6

5616.8 - 7021

2

6319

1.16

0.2036

3,45≈4

7021 - 8425.2

3

7723

1.70

0.0940

1,59≈2

8425.2 - 9829.4

1

9127.3

2.24

0.0325

0,55≈1

Итого…

30

-

-

-

30


Следует заметить, что сумма теоретических частот должна с принятой точностью совпадать с суммой фактических частот. В данном случае

Определим :

16,06

Левая часть критерия Романовского:


Поскольку данное отношение меньше 3, то можно применять параметрические методы корреляционного анализа.

6.Составление и решение уравнения регрессии

Следующим этапом корреляционно-регрессионного анализа является выбор математической формы связи фактора-функции с каждым фактором-аргументом, включенным в экономико-математическую модель, и решение соответствующего уравнения связи, называемого иначе уравнением регрессии.

Так как <0,1, то связь линейная.

Построим уравнение регрессии методом наименьших квадратов.

Линейная регрессия: . Коэффициенты a и b:


Следовательно, уравнение регрессии имеет вид - у = 955,43+0,00773х

Рисунок 2 - Уравнение линейной регрессии

По рисунку 2 невозможно определенно сказать линейная связь между переменными или степенная. Поэтому для сравнения построим и уравнение степенной функции.


Следовательно, уравнение регрессии имеет вид -

Рисунок 3 - Уравнение степенной функции

7. Экономико-статистический анализ уравнения регрессии

Анализ полученного линейного уравнения у = 955,43+0,00773х произведем в таблице 7

Таблица 7 - Анализ уравнения регрессии


Анализ полученного степенного уравнения  произведем в таблице 8

Таблица 8 - Анализ степенного уравнения регрессии


Проверка целесообразности включения выбранных факторов в линейную модель:

119362105.07


(3,35), то влияние включенного в уравнение регрессии фактора на функцию весьма достоверно.

Средний коэффициент (ошибка) аппроксимации: .

Значение коэффициента аппроксимации превышает допустимые, что связано с недостаточным объемом выборки.

Выполним теперь проверку правомерности распространения найденного уравнения регрессии на генеральную совокупность, т.е. проверку правомерности его практического использования.

В качестве такого критерия можно использовать проверку значимости коэффициентов полученного уравнения регрессии по Т-значению.

Определим стандартные ошибки:

0,00096

388.93

0,11

=8,05

=2,46

=7,04

=2,05

Значит, все коэффициенты являются статистически значимыми.

Определим предельные ошибки:

0,001968

797.3

0,09

Коэффициент эластичности для линейной функции:

Э=0,72

Коэффициент эластичности показывает, что изменение размера оборота активов валютных организаций на 1 % от их среднего значения приведет к изменению ВРП на 0,72%.

Показатели корреляции и детерминации для нелинейных моделей:

Индекс корреляции -

=0,78

==42

(m- число коэффициентов при х, для степенной функции m=1)

(3,35), то влияние включенного в уравнение регрессии фактора на функцию весьма достоверно.

Средний коэффициент (ошибка) аппроксимации: .

Значение коэффициента аппроксимации превышает допустимые, что связано с недостаточным объемом выборки.

Коэффициентом эластичности для степенной функции является коэффициент b,т.е. Э=0,8379

Коэффициент эластичности показывает, что изменение размера оборота активов валютных организаций на 1 % от их среднего значения приведет к изменению ВРП на 0,8379%.

Для выбора функции необходимо сравнить коэффициенты детерминации для линейной и степенной функции.


Из этого следует, что целесообразнее выбрать линейную функцию (>).

Заключение

Валютное регулирование - деятельность государственных органов по управлению обращением валюты, контролю за валютными операциями, воздействию на валютный курс национальной валюты, ограничению использования иностранной валюты. Валютный контроль - контроль со стороны государства за порядком приобретения юридическими и физическими лицами иностранной валюты и проведения валютных операций, за перемещением валюты через таможенную границу.

При осуществлении валютных операций на территории Российской Федерации резиденты и нерезиденты обязаны: а) представлять органам и агентам валютного контроля документы и информацию, связанные с проведением валютных операций, открытием и ведением счетов; б) вести в установленном порядке учет и составлять отчетность по проводимым ими валютным операциям, обеспечивая сохранность соответствующих документов и материалов в течение не менее трех лет со дня совершения соответствующей валютной операции, но не ранее срока исполнения договора; в) выполнять предписания органов валютного контроля об устранении выявленных нарушений актов валютного законодательства и актов органов валютного регулирования.

Валютный контроль в Российской Федерации осуществляется Правительством Российской Федерации, органами и агентами валютного контроля в соответствии с Федеральным законом и иными федеральными законами.

С институциональной точки зрения валютные рынки - это совокупность бирж, брокерских фирм, банков, разного рода фондов, корпораций.

За 1 квартал 2008 года подразделениями валютного контроля и должностными лицами, исполняющими функцию валютного контроля осуществлено 1812 проверок соблюдения участниками ВЭД требований актов валютного законодательства Российской Федерации и актов органов валютного регулирования. Основная доля правонарушений приходится на правонарушения, ответственность за которые установлена частью 6 статьи 15.25 КоАП РФ. Эти правонарушения составляют около 66,5% от выявленных. В стоимостном выражении - на долю этих правонарушений приходится 96,3% общей суммы выявленных правонарушений.

Истощающая валютные резервы страны спекулятивная атака на рубль требует серьезной инвентаризации мер валютного контроля.

В российской ситуации проблемы должны решаться с учетом глобальных изменений качественного плана. Если снижение резервов и связанное с этим обесценение рубля приближаются к границам, создающим угрозу платежеспособности компаний и страны в целом, необходимо, чтобы участники рынка знали, какие рычаги могут быть применены для нормализации положения. В первую очередь важны не запретительные меры, а экономические стимулы, делающие операции с рублями более оправданными. Кроме того, для пополнения резервов можно вновь обратиться к практике частичной продажи валютной выручки.

На основе проведенного корреляционно-регрессионного анализа установлено, что между Валовым региональным продуктом и размерами оборотов активов валютных организаций существует линейная сильная прямая связь ().

Было получено линейное уравнение зависимости ВРП и оборота активов предприятий (у = 955.43+0,00773х). Все коэффициенты уравнения являются статистически значимыми.

Полученный коэффициент эластичности показывает, изменение размера оборота активов предприятий на 1 % от их среднего значения приведет к изменению ВРП на 0,72%.

Таким образом, проведенное исследование подтверждает выдвинутую гипотезу о наличии связи между размерами ВРП и активами предприятий.

Список литературы

1. ФЗ от 10.12.2003 N 173-ФЗ "О валютном регулировании и валютном контроле" (с изм. и доп.)

.   Бурлак Г.Н., Кузнецова О.И. Техника валютных операций. - М.: ЮНИТИ, 2005.

3. Ионова А.Ф., Тарасова Н.А. Учет, налогообложение и анализ внешнеэкономической деятельности организации. - М.: Логос, 2009.

4. Истощающая валютные резервы страны спекулятивная атака на рубль требует серьезной инвентаризации мер валютного контроля.// Михаил Ершов. "Эксперт" №7 (646)/23 февраля 2009

5. 2006. Прокушев Е.Ф. Внешнеэкономическая деятельность.

6.      Свинухов В.Г., Оканова Т.Н. Налогообложение участников внешнеэкономической деятельности. - М.: Магистр, 2008.

7. Шувалова Е.Б., Шепелева П.М. Налогообложение участников внешнеэкономической деятельности. - М.: Дашков, 2010.

8. http://www.customs.ru - ФТС.

9. Указ Президента Российской Федерации "О внесении изменений в статью 6 закона Российской Федерации " О валютном регулировании и валютном контроле" от 26 июня 2003года.

10.    Балабанов И.Т. Валютные операции.- М.: Финансы и статистика,2004.-254с.

11.    Суэтин А.А. Международные валютно-кредитные отношения.- М.: КНОРУС, 2005.-288с.

.        Валютное регулирование в системе государственного управления экономикой: Учебник/ Под общ.ред. Крашенинникова В.М.-М.: ЗАО "издательство "Экономика", 2003.-299с.

.        Международные валютно-кредитные отношения: конспект лекций/ автор-составитель Бендина Н.; М.: "Издательство "ПРИОР", 2001.-144с.

.        Архипов Н.К. О валютном регулировании// Банковское дело.-2003.-№8.-с.39-43.

.        Емелин А.В. О порядке совершения валютных операций в соответствии с Федеральным Законом "О валютном регулировании и валютном контроле"// Валютное регулирование и валютный контроль.-2005.-№1.-с.21-26.

.        Игнатьев С.С. Либерализация валютного регулирования в Российской Федерации// Банковское право.-2004.-№3.-с.21-23.

.        Шалашов В.П. Новые правила обязательной продажи валютной выручки// Внешнеэкономический бюллетень.-2004.-№7.-с.68-71.

.        Шалашов В.П. Новый валютный закон Российской Федерации// Внешнеэкономический бюллетень.-2004.-№2.-с.58-62.

.        Шепелев С.В. О законопроекте "О валютном регулировании и валютном контроле"// Внешнеэкономический бюллетень.-2003.-№9.-с.56-58.

.        Официальный сайт Центрального банка российской Федерации.-www. cbr. Ru.

.        официальный сайт Министерства экономики и развития Российской Федерации.-www. economy. com.

.        Официальный сайт Министерства финансов Российской Федерации.-www. minfin. Ru.

.        СПС Консультант Плюс.

Похожие работы на - Валютное регулирование и валютный контроль

 

Не нашли материал для своей работы?
Поможем написать уникальную работу
Без плагиата!
Без нейросетей!