Дисперсия тарифного разряда. Вероятность ошибки выборки
СТАТИСТИКА
Курсовая
работа
Выполнил студент
ФМОК ОП-3-1
Тюлькин Максим
Вариант 0
Москва-2013
Задание 3.
Рассчитать дисперсию тарифного разряда в цехах и
по заводу, среднюю из цеховых дисперсий, межцеховую дисперсию. Объяснить смысл дисперсий.
С их помощью проверить правило сложения дисперсий
Составим ряды распределения данных по двум
цехам. Тарифный разряд - количественный признак, ряд будет вариационным,
дисперсным. Данные уже были представлены в таблицах 4-6 задания 2.
среднее значение, определяется:
Таблица 8. Группировка рабочих по
разряду в цехе № 1.
|
Разряд
(х)
|
Количество
рабочих (f)
|
x*f
|
|
|
(x
-  )2(x
-  )2 * f
|
|
|
1
|
7
|
7
|
1,7
|
11,9
|
2,89
|
20,23
|
|
2
|
13
|
26
|
0,7
|
9,1
|
0,49
|
6,37
|
|
3
|
10
|
30
|
0,3
|
3
|
0,09
|
0,9
|
|
4
|
6
|
24
|
1,3
|
7,8
|
1,69
|
10,14
|
|
5
|
3
|
15
|
2,3
|
6,9
|
5,29
|
15,87
|
|
6
|
1
|
6
|
3,3
|
3,3
|
10,89
|
10,89
|
|
Итого:
|
40
|
108
|
|
42
|
|
64,4
|
Таблица 9 Группировка рабочих по разряду в цехе
№ 2
|
Разряд
(х)
|
Количество
рабочих (f)
|
|
|
(x
-  )2(x
-  )2 * f
|
|
|
1
|
5
|
5
|
2,20
|
11
|
4,84
|
24,2
|
|
2
|
12
|
24
|
1,20
|
14,4
|
1,44
|
17,28
|
|
3
|
20
|
60
|
0,20
|
4
|
0,04
|
0,8
|
|
4
|
14
|
56
|
0,80
|
11,2
|
0,64
|
8,96
|
|
5
|
7
|
35
|
1,80
|
12,6
|
3,24
|
22,68
|
|
6
|
2
|
12
|
2,80
|
5,6
|
7,84
|
15,68
|
|
Итого:
|
60
|
192
|
|
58,80
|
|
89,6
|
Таблица 10 Группировка рабочих по разряду по
заводу в целом
|
Разряд
(х)
|
Количество
рабочих (f)
|
x*f
|
|
|
(x
-  )2(x
-  )2 * f
|
|
|
1
|
12
|
12
|
2
|
24
|
4
|
48
|
|
2
|
25
|
50
|
1
|
25
|
1
|
|
3
|
30
|
90
|
0
|
0
|
0
|
0
|
|
4
|
20
|
80
|
1
|
20
|
1
|
20
|
|
5
|
10
|
50
|
2
|
20
|
2
|
40
|
|
6
|
3
|
18
|
3
|
9
|
3
|
27
|
|
Итого:
|
100
|
300
|
|
98
|
|
160
|
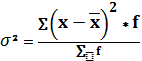
Общая дисперсия 
) представляет собой среднюю
арифметическую из квадратов отклонений вариант от их средней арифметической.
Она характеризует вариацию признака за счёт всех других признаков
действующих внутри совокупности. Дисперсия (взвешенная) определяется
следующим образом:
Групповая дисперсия ( 
)отражает вариацию признака за счет
условий и причин, действующих внутри группы.
Средняя из групповых дисперсий (
) считается (данная формула
используется, так как частоты для групп не даны):

Межгрупповая дисперсия 
) характеризует вариацию
результативного признака за счет признака группировки.
Правило сложения дисперсий:
Подставим полученные значения:
,6=1,55+0,06
,6≈1,61
Незначительная разница вызвана
округлением. Правило действует.
Задание 4.
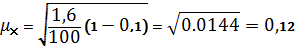
С вероятностью 0,954 определить ошибку выборки
для среднего тарифного разряда рабочих завода и для доли рабочих, имеющих пятый
разряд. Указать пределы возможных значений этих показателей в генеральной
совокупности. Какая должна быть численность выборки, чтобы ошибка выборки с этой
вероятностью для среднего третьего разряда не превысила 0,2?
. Для расчета ошибки выборки используют теорему
Чебышева- Ляпунова:
где 
- предельная ошибка, μ - средняя
ошибка t -
коэффициент кратности ошибки. Значения вероятностей ρ от t
устанавливаются математической статистикой. Согласно таблице значений функции
Лапласа, при ρ = 0,954 t = 2.0.
Таблица 6Группировка рабочих по
разряду на заводе
|
Группировка
рабочих по разряду (х)
|
Количество
рабочих (f)
|
x*f
|
|
(x
-  ) * f(x
-  )2 * f
|
|
|
1
|
12
|
12
|
2
|
24
|
48
|
|
2
|
25
|
50
|
25
|
25
|
|
3
|
30
|
90
|
0
|
0
|
0
|
|
4
|
20
|
80
|
1
|
20
|
20
|
|
5
|
10
|
50
|
2
|
20
|
40
|
|
6
|
3
|
18
|
3
|
9
|
27
|
|
Итого:
|
100
|
300
|
|
98
|
160
|
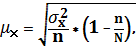
Тарифный разряд - количественный признак,
значит, используем следующую формулу:
где N - объем
генеральной совокупности, по условию выборка - 10%-ная, значит n/N=0.1; n - объем
выборки (=40+60=100), n/N и (1-n/N) -
обследованная и необследованная части совокупности соответственно, 
- дисперсия (взвешенная)
определяется следующим образом:
Тогда
2. По заданию необходимо определить
ошибку для доли рабочих завода, имеющих пятый разряд. Если рассматривать
признак как альтернативный («является работником 5 разряда» и «не является
им»), то частота его появления в выборке

= 9/100 = 9%=0,09
используем следующую формулу:
где 
- средняя ошибка, 
- доля признака в выборке, n - объем
выборки, N - объем
генеральной совокупности, n/N и (1-n/N) -
обследованная и необследованная части совокупности,
Тогда
. Следует найти пределы возможных
значений этих показателей в генеральной совокупности.
. Учитывая условие 
≤ 0,2
Для вычисления необходимого объема
выборки выразим его из формулы
получается, что минимальный
необходимый объем выборки для получения результата с заданной вероятностью
0,954 - 30 измерений.
дисперсия тарифный разряд
Задание 5.
Определить количественную взаимосвязь между
признаками:
1. С помощью графического метода определить
форму связи между разрядом и заработной платой рабочих цеха №1 с № 1 по № 20
включительно (n=20).
2. Вычислить параметры уравнения регрессии,
характеризующие зависимость между разрядом и заработной платой рабочих.
Построить на графике теоретическую и эмпирическую линии регрессии. Объяснить
смысл полученных параметров уравнения.
. Определить степень тесноты связи между рассматриваемыми
признаками.
. Суть графического метода заключается в
построении поля корреляции. График представлен на рисунке 1. Виден прямой
линейный характер связи: с увеличением разряда заработная плата возрастает.
Рис. 1. Поле корреляции
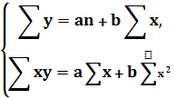
2. Для определения параметров уравнений прямой
решается система нормальных уравнений на основе метода наименьших квадратов:

;
Из таблицы исходных данных:

=52, 
=166,
=10427,
=5451783,
=27727.
Решим систему:
Запишем уравнение связи:
y=469.3+20.0*x.
Рис. 2. Данные, линия регрессии.
3. При наличии линейной зависимости
степень тесноты связи определяется с помощью коэффициента парной корреляции или
эмпирического корреляционного отношения. Определим коэффициент корреляции:
Положительный знак коэффициента
говорит о наличии прямой, а не обратной связи, а его величина близка к 1, так
что связь между признаками тесная, существенная.
Оценка существенности коэффициента
корреляции определяется на основании критерия его надежности:
t > 2.56,
причем намного, что говорит о существенности связи, то есть факториальный
признак (разряд) оказывает большое влияние на результативный признак (зарплату)
Литература
1. Н.И. Степанова Пособие по
выполнению курсовой работы / Степанова Н.И., М.: МГТУ ГА, 2011
2. Н.И.Степанова Пособие по
проведению практических занятий/Статистика (общая теория) / Степанова Н.И. М.:
МГТУ ГА, 2008