Статистический расчет по двум цехам
Министерство
образования и науки РФ
Государственное
образовательное учреждение высшего профессионального образования Московский
государственный технологический университет "Станкин"
Егорьевский
технологический институт (филиал)
Курсовая
работа
по
дисциплине: Статистика
На
тему: "Статистический расчет по двум цехам"
Егорьевск
2011
Введение
Стати́стика
- отрасль знаний, в которой излагаются общие вопросы сбора, измерения и анализа
массовых статистических (количественных или качественных) данных.
Слово "статистика" происходит от
латинского status - состояние дел. В науку термин "статистика" ввел
немецкий ученый Готфрид Ахенваль в 1746 году, предложив заменить название курса
"Государствоведение", преподававшегося в университетах Германии, на
"Статистику", положив тем самым начало развитию статистики как науки
и учебной дисциплины. Несмотря на это, статистический учет вёлся намного
раньше: проводились переписи населения в Древнем Китае, осуществлялось
сравнение военного потенциала государств, велся учет имущества граждан в
Древнем Риме и т. п.
Статистика разрабатывает специальную методологию
исследования и обработки материалов: массовые статистические наблюдения, метод
группировок, средних величин, индексов, балансовый метод, метод графических
изображений и другие методы анализа статистических данных.
Статисти́ческие
ме́тоды
- методы анализа статистических данных. Выделяют методы прикладной статистики,
которые могут применяться во всех областях научных исследований и любых
отраслях народного хозяйства, и другие статистические методы, применимость
которых ограничена той или иной сферой. Имеются в виду такие методы, как
статистический приемочный контроль, статистическое регулирование
технологических процессов, надежность и испытания, планирование экспериментов.
1. Классификация статистических методов
Статистические методы анализа данных применяются
практически во всех областях деятельности человека. Их используют всегда, когда
необходимо получить и обосновать какие-либо суждения о группе (объектов или
субъектов) с некоторой внутренней неоднородностью.
Целесообразно выделить три вида научной и
прикладной деятельности в области статистических методов анализа данных (по
степени специфичности методов, сопряженной с погруженностью в конкретные проблемы):
а) разработка и исследование методов общего
назначения, без учета специфики области применения;
б) разработка и исследование статистических
моделей реальных явлений и процессов в соответствии с потребностями той или
иной области деятельности;
в) применение статистических методов и моделей
для статистического анализа конкретных данных.
Цель работы состоит в изучении следующих
вопросов:
выборочное наблюдение и его применение в
правовой статистике;
исследовать на основе имеющихся статистических
данных стаж работы, тарифные разряды и заработную плату рабочих двух цехов
различными методами. А именно, построить различные ряды распределения,
рассчитать относительные величины (относительные показатели структуры) или
средние величины (среднюю арифметическую и структурные средние - моду и
медиану), рассчитать абсолютные показатели вариации (размах вариации, среднее
линейное и квадратическое отклонение, дисперсия) и относительные показатели
вариации (коэффициента вариации), определить показатели выборочного наблюдения
(среднюю и предельную ошибки выборки), объем выборочной совокупности,
вероятность, с которой можно гарантировать точность среднего значения того или
иного показателя в генеральной совокупности на основе средней выборочной,
показать взаимосвязь между изучаемыми признаками (результативным и
факториальным) в количественном выражении (определить форму и вид связи между
признаками, рассчитать параметры уравнения связи, а также коэффициенты степени
тесноты связи).
статистический выборочный
распределение вариация
2. Теоретические основы статистики
Теоретическую основу любой науки, в том числе и
статистики, составляют понятия и категории, в совокупности которых выражаются
основные принципы данной науки. В статистике к важнейшим категориям и понятиям
относятся: совокупность, вариация, признак, закономерность.
Статистическая совокупность - это множество
(масса) однокачественных (однородных) хотя бы по одному какому-либо признаку
явлений, существование которых ограничено в пространстве и времени. Однако
статистическая совокупность (множество) совсем не обязательно представляет
большую численность единиц, в принципе она может быть и очень маленькой;
например, объем совокупности малой выборки может составлять иногда 8-10 единиц.
От реально существующих статистических совокупностей следует отличать
стохастические совокупности или гипотетические множества, т. е. совокупности,
предполагаемые мысленно, нереальные, например совокупность бесконечно большого
числа бросаний монеты, падающей либо "орлом", либо "решкой".
Самостоятельное значение имеют совокупности социально-экономических явлений.
Они представляют собой отдельные грани общественных процессов, которые более
сложны и разнородны, чем природные явления, и менее многочисленны, т. е.
объединяют значительно меньшее число единиц.
Важнейшим свойством статистической совокупности
является ее неразложимость. Это означает, что дальнейшее дробление
индивидуальных явлений не вызывает потери их качественной основы. Исчезновение
или ликвидация одного или ряда явлений не разрушает качественной основы
статистической совокупности, так как все характеристики относятся к
совокупности в целом. Так, население страны или города останется населением,
несмотря на постоянно происходящие процессы механического и естественного
движения населения. Существует понятие однородности статистической
совокупности. Оно относительно и вовсе не означает полного соответствия всех
единиц совокупности, а лишь подразумевает наличие для всех единиц совокупности
основного свойства, качества, типичности. Одна и та же совокупность единиц, к
примеру, может быть однородна по одному признаку и неоднородна по другому.
Однородность единиц статистической совокупности формируется под воздействием
определенных внутренних причин и условий. Одинаковые для всех единиц данной совокупности
причины и условия существования создают то общее, что объединяет единицы
совокупности, но эти же причины и условия формируют то, что отличает одну
единицу совокупности от другой. В статистической совокупности эти отличия чаще
имеют количественную природу. Количественные изменения значений признака при
переходе от одной единицы совокупности к другой называются вариацией. Вариация
возникает под воздействием случайных, прежде всего внешних, причин.
Социально-экономические явления, как правило,
обладают большой вариацией. Например, вариация городов страны по численности
населения складывается под влиянием большого числа факторов: исторических,
этногеографических, экономических, социальных и множества других.
В большинстве теоретических и практических
статистических исследований широко используются показатели вариации, которые
показывают, как группируются значения признака вокруг средней величины
совокупности. Показатели вариации выступают одновременно и мерами однородности
совокупностей.
Статистические совокупности имеют определенные
свойства, носителями которых выступают единицы (отдельные элементы)
совокупности (явления), обладающие определенными признаками. По форме внешнего
выражения признаки делятся на:
· атрибутивные (описательные,
качественные);
· количественные.
Атрибутивные (качественные) признаки не
поддаются прямому количественному (числовому) выражению.
Отличие количественных признаков от качественных
состоит в том, что первые можно выразить итоговыми значениями, например общий
объем добычи нефти в стране, выплавка стали; вторые - только числом единиц в
совокупности (табл. 1.6). Количественные признаки делятся на дискретные
(прерывные) и непрерывные. Важнейшей категорией статистики является
статистическая закономерность. Под закономерностью вообще принято называть
повторяемость, последовательность и порядок изменений в явлениях.
Статистическая же закономерность в статистике рассматривается как
количественная закономерность изменения в пространстве и времени массовых
явлений и процессов общественной жизни, состоящих из множества элементов
(единиц совокупности). Она свойственна не отдельным единицам совокупности, а
всей их массе, или совокупности в целом. В силу этого закономерность, присущая
данному явлению (процессу), проявляется только при достаточно большом числе
наблюдений и только в среднем. Таким образом, это закономерность усредненных
параметров некоторого основного свойства (качества или типичности).
Первые предположения, что статистика познает
закономерности общественной жизни, были высказаны в середине XVII в. Д.
Граунтом и В. Петти при исследовании бюллетеней о естественном движении
населения Лондона. Статистическая закономерность - это форма проявления
причинной связи, выражающаяся в последовательности, регулярности, повторяемости
событий с достаточно высокой степенью вероятности, если причины (условия),
порождающие события, не изменяются или изменяются незначительно. Статистические
закономерности устанавливаются на основе анализа массовых данных. Они
неприложимы к отдельным явлениям, как это возможно в естественных науках
(биологии, механике, физике). Данные закономерности возникают как результат
воздействия большого числа постоянно действующих причин и причин случайных,
действующих временами. Постоянно действующие причины придают изменениям в
явлениях регулярность, повторяемость; случайные - вызывают отклонения в этой
регулярности. Статистические закономерности, представляющие собой не что иное,
как статистические факты, будучи выраженные в виде обобщающих статистических
показателей, дают исследователю неоценимые типизированные величины, которые
чаще всего лишены конкретности. Но известно, что любое общее понятие является
абстрактным и поэтому лишено конкретности: оно содержит в себе существенные
признаки класса предметов и не включает их несущественные, единичные,
индивидуальные свойства.
Таким образом, статистическая закономерность
предопределяет типичное распределение единиц статистического множества на
определенный момент времени под воздействием всей совокупности факторов.
Статистическая закономерность, не определяя положение каждого случая,
устанавливает общее распределение в данных условиях времени и места. Сила
статистики в том, что она дает нам общую картину, тенденцию развития, исключая,
"нивелируя" случайные, индивидуальные отклонения и колебания. Без
статистики мы бы "утонули" в море единичных, случайных колебаний и
отклонений, в "неразберихе" отдельных процессов. Статистическая
закономерность - объективная количественная закономерность массового процесса.
Она возникает в результате действия объективных законов, выражая каузальные
отношения.
Статистическая закономерность практически
гарантирует сравнительно малую вероятность больших отклонений фактических
частот от теоретических. Например, в магазинах имеется ассортимент продуктов
или товаров, соответствующий среднему спросу, с резервным запасом,
обеспечивающим его возможные колебания в нормальных условиях. Относительный
размер резервного запаса уменьшается с ростом числа покупателей. Статистическая
закономерность гарантирует устойчивость средних величин при сохранении
постоянного комплекса условий, порождающих данное явление.
. Задание
Произвести 26% выборку рабочих по
двум цехам предприятия и по предприятию в целом.
. На основании выборки построить ряд
распределения рабочих каждого цеха ипредприятиявцелом по размеру заработной платы, выделив 7групп сравными интервалами.
Определить в целом по предприятиюмоду имедиану
заработной платы рабочих.
. Рассчитать средний тарифный
разряд, средний производственный стаж
рабочих завода, коэффициент вариации этих показателей. Сделать выводы.
. Рассчитать среднюю заработную
плату идисперсию заработной платы рабочих завода
обычным способом испособом условных моментов.
. Свероятностью 0,954
определить ошибку выборки средней заработной
платы рабочих цеха №1идля доли рабочих цеха №1, имеющих заработную плату менее 15000 руб. Указать пределы возможных значений
этих показателей в генеральной совокупности.
Какая вероятность того, что доля рабочих, имеющих
заработную плату до 15000руб., вгенеральной совокупности не превысит 30%?
. Определить количественную
взаимосвязь между признаками:
.1. С помощью графического
метода определить форму связи между производственным
стажем изаработной платой рабочих цеха №1с№40по №
59включительно (n=20).
.2. Вычислить параметры
уравнения регрессии, характеризующие зависимость
между производственным стажем изаработной платой рабочих.
Построить на графике теоретическую
иэмпирическую линии регрессии. Объяснить смысл
полученных параметров уравнения.
.3.Определить степень тесноты
связи между рассматриваемыми признаками.
4. Исходные
данные
В результате выборочного обследования 10%
рабочих машиностроительного предприятия (по состоянию на 01 января текущего
года) получены следующие данные:
|
№
п/п
|
Разряд
|
Производственный
стаж, полных лет
|
Заработная
плата, руб.
|
|
Цех
№ 1
|
|
1
|
4
|
7
|
16170
|
|
2
|
1
|
2
|
14610
|
|
3
|
4
|
9
|
16620
|
|
4
|
2
|
3
|
15210
|
|
5
|
1
|
1
|
14700
|
|
6
|
2
|
6
|
15570
|
|
7
|
3
|
9
|
16080
|
|
8
|
5
|
12
|
17220
|
|
9
|
2
|
0
|
14430
|
|
10
|
3
|
9
|
15990
|
|
11
|
2
|
3
|
15450
|
|
12
|
2
|
4
|
15720
|
|
13
|
5
|
6
|
16590
|
|
14
|
1
|
2
|
14370
|
|
15
|
3
|
6
|
15270
|
|
16
|
3
|
10
|
16560
|
|
17
|
2
|
2
|
15780
|
|
18
|
2
|
1
|
14850
|
|
19
|
1
|
0
|
14760
|
|
20
|
4
|
8
|
16860
|
|
21
|
2
|
4
|
15480
|
|
22
|
1
|
0
|
14490
|
|
23
|
4
|
10
|
15930
|
|
24
|
4
|
14
|
16440
|
|
25
|
2
|
6
|
15630
|
|
26
|
3
|
9
|
15870
|
|
27
|
3
|
8
|
15600
|
|
28
|
2
|
2
|
14250
|
|
29
|
3
|
10
|
15750
|
|
30
|
1
|
0
|
14160
|
|
31
|
4
|
5
|
16590
|
|
32
|
2
|
3
|
15540
|
|
33
|
1
|
0
|
14550
|
|
34
|
2
|
4
|
15240
|
|
35
|
3
|
10
|
15210
|
|
36
|
5
|
19
|
17340
|
|
37
|
2
|
1
|
15150
|
|
38
|
6
|
25
|
18000
|
|
39
|
3
|
4
|
15840
|
|
40
|
3
|
13
|
16140
|
|
41
|
4
|
5
|
16170
|
|
42
|
1
|
1
|
14610
|
|
43
|
4
|
7
|
16620
|
|
44
|
2
|
2
|
15210
|
|
45
|
1
|
1
|
14700
|
|
46
|
2
|
5
|
15570
|
|
47
|
3
|
8
|
16080
|
|
48
|
5
|
10
|
17220
|
|
49
|
2
|
0
|
14430
|
|
50
|
3
|
7
|
15990
|
|
51
|
2
|
2
|
15450
|
|
52
|
2
|
5
|
15720
|
|
53
|
5
|
6
|
16590
|
|
54
|
1
|
1
|
14370
|
|
55
|
6
|
21
|
18000
|
|
56
|
3
|
4
|
15840
|
|
57
|
3
|
13
|
16200
|
|
58
|
4
|
8
|
15900
|
|
59
|
4
|
12
|
16500
|
|
60
|
2
|
4
|
15600
|
|
61
|
3
|
9
|
15750
|
|
62
|
1
|
0
|
14160
|
|
63
|
4
|
6
|
16590
|
|
64
|
2
|
5
|
15540
|
|
65
|
1
|
0
|
14550
|
|
66
|
2
|
4
|
15240
|
|
67
|
3
|
18
|
15210
|
|
68
|
5
|
13
|
17340
|
|
69
|
2
|
1
|
15150
|
|
70
|
6
|
27
|
18000
|
|
71
|
3
|
4
|
15840
|
|
72
|
3
|
9
|
16140
|
|
73
|
4
|
7
|
16170
|
|
74
|
1
|
1
|
|
75
|
4
|
9
|
16620
|
|
76
|
2
|
2
|
15210
|
|
77
|
1
|
1
|
14700
|
|
78
|
2
|
4
|
15570
|
|
79
|
3
|
10
|
16080
|
|
80
|
5
|
13
|
17220
|
|
Цех
№2
|
|
1
|
3
|
5
|
16080
|
|
2
|
2
|
1
|
15030
|
|
3
|
3
|
4
|
15510
|
|
4
|
4
|
17
|
17130
|
|
5
|
2
|
1
|
14760
|
|
6
|
4
|
20
|
16860
|
|
7
|
1
|
0
|
14400
|
|
8
|
3
|
6
|
16230
|
|
9
|
3
|
8
|
16050
|
|
10
|
2
|
1
|
15060
|
|
11
|
3
|
3
|
15840
|
|
12
|
4
|
13
|
16950
|
|
13
|
4
|
2
|
15750
|
|
14
|
5
|
8
|
16080
|
|
15
|
5
|
10
|
17220
|
|
16
|
3
|
3
|
15690
|
|
17
|
6
|
29
|
17130
|
|
18
|
2
|
3
|
14940
|
|
19
|
4
|
15
|
16110
|
|
20
|
3
|
9
|
15900
|
|
21
|
1
|
1
|
14820
|
|
22
|
2
|
0
|
14040
|
|
23
|
4
|
3
|
15390
|
|
24
|
3
|
10
|
16410
|
|
25
|
6
|
11
|
17820
|
|
26
|
5
|
12
|
17640
|
|
27
|
1
|
2
|
15120
|
|
28
|
3
|
6
|
15690
|
|
29
|
1
|
0
|
13800
|
|
30
|
4
|
14
|
16080
|
|
31
|
2
|
4
|
15510
|
|
32
|
3
|
5
|
16050
|
|
33
|
3
|
0
|
14760
|
|
34
|
4
|
17
|
16590
|
|
35
|
5
|
8
|
17190
|
|
36
|
2
|
1
|
14580
|
|
37
|
4
|
2
|
16290
|
|
38
|
3
|
4
|
15660
|
|
39
|
3
|
8
|
16020
|
|
40
|
4
|
11
|
16740
|
|
41
|
2
|
4
|
15180
|
|
42
|
2
|
4
|
15360
|
|
43
|
3
|
11
|
16560
|
|
44
|
4
|
5
|
15810
|
|
45
|
4
|
7
|
16410
|
|
46
|
5
|
16
|
17850
|
|
47
|
3
|
4
|
15420
|
|
48
|
3
|
8
|
16650
|
|
49
|
3
|
9
|
15720
|
|
50
|
2
|
4
|
15150
|
|
51
|
4
|
11
|
16770
|
|
52
|
1
|
1
|
14730
|
|
53
|
3
|
11
|
16020
|
|
54
|
4
|
12
|
16560
|
|
55
|
3
|
3
|
15780
|
|
56
|
5
|
19
|
17910
|
|
57
|
3
|
7
|
15630
|
|
58
|
2
|
0
|
14490
|
|
59
|
5
|
15
|
17250
|
|
60
|
2
|
2
|
15240
|
|
61
|
6
|
31
|
17130
|
|
62
|
2
|
4
|
14940
|
|
63
|
4
|
12
|
16110
|
|
64
|
3
|
9
|
15900
|
|
65
|
1
|
1
|
14820
|
|
66
|
2
|
0
|
14040
|
|
67
|
4
|
4
|
15390
|
|
68
|
3
|
8
|
16410
|
|
69
|
6
|
10
|
17820
|
|
70
|
5
|
12
|
17640
|
|
71
|
1
|
2
|
15120
|
|
72
|
3
|
7
|
15690
|
|
73
|
1
|
0
|
13800
|
|
74
|
4
|
13
|
16080
|
|
75
|
2
|
5
|
15510
|
|
76
|
3
|
5
|
16050
|
|
77
|
3
|
0
|
14760
|
|
78
|
4
|
15
|
16590
|
|
79
|
5
|
8
|
17190
|
|
80
|
2
|
1
|
14580
|
|
81
|
3
|
6
|
16080
|
|
82
|
2
|
15030
|
|
83
|
3
|
3
|
15510
|
|
84
|
4
|
13
|
17130
|
|
85
|
2
|
1
|
14760
|
|
86
|
4
|
15
|
16860
|
|
87
|
1
|
0
|
14400
|
|
88
|
3
|
6
|
16230
|
|
89
|
3
|
8
|
16050
|
|
90
|
2
|
1
|
15060
|
|
91
|
3
|
3
|
15840
|
|
92
|
4
|
15
|
16950
|
|
93
|
4
|
2
|
15750
|
|
94
|
5
|
9
|
16080
|
|
95
|
5
|
12
|
17220
|
|
96
|
3
|
3
|
15690
|
|
97
|
6
|
27
|
17130
|
|
98
|
2
|
3
|
14940
|
|
99
|
4
|
16
|
16110
|
|
100
|
3
|
8
|
15900
|
|
101
|
1
|
1
|
14820
|
|
102
|
2
|
0
|
14040
|
|
103
|
4
|
2
|
15390
|
|
104
|
3
|
10
|
16410
|
|
105
|
6
|
13
|
17820
|
|
106
|
5
|
14
|
17640
|
|
107
|
1
|
2
|
15120
|
|
108
|
3
|
6
|
15690
|
|
109
|
4
|
19
|
16590
|
|
110
|
5
|
8
|
17190
|
% выборка рабочих по двум цехам предприятия:
|
№
п/пРазрядПроизводственный стаж, полных летЗаработная плата, руб.
|
|
|
|
|
Цех
№ 1
|
|
1
|
4
|
7
|
16170
|
|
2
|
1
|
1
|
14700
|
|
3
|
2
|
0
|
14430
|
|
4
|
5
|
6
|
16590
|
|
5
|
2
|
2
|
15780
|
|
6
|
2
|
4
|
15480
|
|
7
|
2
|
6
|
15630
|
|
8
|
3
|
10
|
15750
|
|
9
|
1
|
0
|
14550
|
|
10
|
2
|
1
|
15150
|
|
11
|
4
|
5
|
16170
|
|
12
|
1
|
1
|
14700
|
|
13
|
2
|
0
|
14430
|
|
14
|
5
|
6
|
16590
|
|
15
|
3
|
13
|
16200
|
|
16
|
3
|
9
|
15750
|
|
17
|
1
|
0
|
14550
|
|
18
|
2
|
1
|
15150
|
|
19
|
4
|
7
|
16170
|
|
20
|
1
|
1
|
14700
|
|
Цех
№2
|
|
1
|
3
|
5
|
16080
|
|
2
|
2
|
1
|
14760
|
|
3
|
3
|
8
|
16050
|
|
4
|
4
|
2
|
15750
|
|
5
|
6
|
29
|
17130
|
|
6
|
1
|
1
|
14820
|
|
7
|
6
|
11
|
17820
|
|
8
|
1
|
0
|
13800
|
|
9
|
3
|
0
|
14760
|
|
10
|
4
|
2
|
16290
|
|
11
|
2
|
4
|
15180
|
|
12
|
4
|
7
|
16410
|
|
13
|
3
|
9
|
15720
|
|
14
|
3
|
11
|
16020
|
|
15
|
3
|
7
|
15630
|
|
16
|
6
|
31
|
17130
|
|
17
|
1
|
1
|
14820
|
|
18
|
6
|
10
|
17820
|
|
19
|
1
|
0
|
13800
|
|
20
|
3
|
0
|
14760
|
|
21
|
3
|
6
|
16080
|
|
22
|
2
|
1
|
14760
|
|
23
|
3
|
8
|
16050
|
|
24
|
4
|
2
|
15750
|
|
25
|
6
|
27
|
17130
|
|
26
|
1
|
1
|
14820
|
|
27
|
6
|
13
|
17820
|
|
28
|
4
|
19
|
16590
|
по предприятию в целом:
|
№
п/пРазрядПроизводственный стаж, полных летЗаработная плата, руб.
|
|
|
|
|
1
|
4
|
7
|
16170
|
|
2
|
1
|
1
|
14700
|
|
3
|
2
|
0
|
14430
|
|
4
|
5
|
6
|
16590
|
|
5
|
2
|
2
|
15780
|
|
6
|
2
|
4
|
15480
|
|
7
|
2
|
6
|
15630
|
|
8
|
3
|
10
|
15750
|
|
9
|
1
|
0
|
14550
|
|
10
|
2
|
15150
|
|
11
|
4
|
5
|
16170
|
|
12
|
1
|
1
|
14700
|
|
13
|
2
|
0
|
14430
|
|
14
|
5
|
6
|
16590
|
|
15
|
3
|
13
|
16200
|
|
16
|
3
|
9
|
15750
|
|
17
|
1
|
0
|
14550
|
|
18
|
2
|
1
|
15150
|
|
19
|
4
|
7
|
16170
|
|
20
|
1
|
1
|
14700
|
|
21
|
3
|
5
|
16080
|
|
22
|
2
|
1
|
14760
|
|
23
|
3
|
8
|
16050
|
|
24
|
4
|
2
|
15750
|
|
25
|
6
|
29
|
17130
|
|
26
|
1
|
1
|
14820
|
|
27
|
6
|
11
|
17820
|
|
28
|
1
|
0
|
13800
|
|
29
|
3
|
0
|
14760
|
|
30
|
4
|
2
|
16290
|
|
31
|
2
|
4
|
15180
|
|
32
|
4
|
7
|
16410
|
|
33
|
3
|
9
|
15720
|
|
34
|
3
|
11
|
16020
|
|
35
|
3
|
7
|
15630
|
|
36
|
6
|
31
|
17130
|
|
37
|
1
|
1
|
14820
|
|
38
|
6
|
10
|
17820
|
|
39
|
1
|
0
|
13800
|
|
40
|
3
|
0
|
14760
|
|
41
|
3
|
6
|
16080
|
|
42
|
2
|
1
|
14760
|
|
43
|
3
|
8
|
16050
|
|
44
|
4
|
2
|
15750
|
|
45
|
6
|
27
|
17130
|
|
46
|
1
|
1
|
14820
|
|
47
|
6
|
13
|
17820
|
|
48
|
4
|
19
|
16590
|
5. Расчетная
часть
Задание №1. Построим ряд распределения рабочих
завода по размеру заработной платы, выделив 7 групп:
Разобьем
заданную совокупность данных на равные интервалы. Величина интервала
определяется по формуле:
i = (xmax - xmin)/
n = (17820 - 13800) / 7 = 574руб.
max-максимальное
значение признака в совокупности
xmin-минимальное
значение признака в совокупности
n - количество
принятых групп
Таблица 1.
|
Размер
з/п, руб (х)
|
Количество
рабочих,
чел. (f)
|
Накопленная
частота,
S
|
|
13800 - 14374
|
2
|
2
|
|
14374 - 14948
|
14
|
16
|
|
14948 - 15552
|
4
|
20
|
|
15552 - 16096
|
13
|
33
|
|
16096 - 16670
|
9
|
42
|
|
16670 - 17244
|
3
|
45
|
|
17244 - 17820
|
3
|
48
|
|
Итого
|
48
|
|
. Определим моду (Мо) и медиану (Ме)
з/прабочих всего завода.
Мода (Мо) - значение признака наиболее часто
встречающееся в используемой совокупности, т.е. это одна из вариант признака,
которая в ряду распределения имеет наибольшую частоту (частость).
где
и
-
соответственно нижняя граница и величина модального интервала;
,
,
-
частоты (частости) модального, предмодального и послемодального интервалов.
Мо=14374+574* (14 - 2) = 14374 + 574*0,55 =
14689,7 руб.
(14 - 2) + (14 - 4)
Таким образом, наибольшая з/п работников завода
14689,7 руб.
Медиана (Ме) - значение признака (варианта),
приходящееся на середину ранжированной (упорядоченной) совокупности, т.е. это
вариант. Который делит ряд распределения на две равные по объему части.
Таким образом, половина (24 человек) рабочих
завода имеют з/пдо 15724 руб., другая половина рабочих - более 15724 руб.
Задание №2.Рассчитаемсредний тарифный разряд, средний
производственный стаж рабочих завода, коэффициент
вариации этих показателей.
Для определения среднего тарифного разряда,
заработной платы и производственного стажа воспользуемся формулой:
1) средний тарифный разряд:
Коэффициент вариации - это отношение среднего
квадратического отклонения к средней арифметической, выраженное в процентах. Он
применяется для сравнений колеблемости одного и того же признака в нескольких
совокупностях с различным средним арифметическим, а также для характеристики
однородности совокупности. Вычисляется по формуле:
где
σ - среднее
квадратическое отклонение
х - средняя величина
= 1,6/3 =53%
высокаяколеблемость тарифных разрядов,
следовательно, средняя недостаточно надежна.
2) средний производственный стаж:
коэффициент вариации:
=7,33/6,2 = 118%
очень высокаяколеблемость производственного
стажа, следовательно, средняя недостаточно надежна.
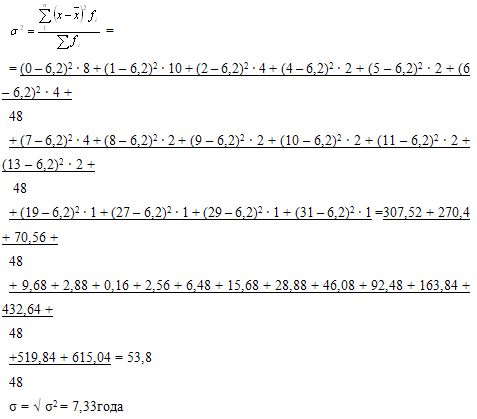
Задание №3.Рассчитаемсреднюю заработную
плату идисперсию заработной платы рабочих завода
обычным способом испособом условных моментов.
1) обычным способом:
Дисперсия (σ2)-
это средний квадрат отклонений индивидуальных значений признака от средней
величины.
Каждое конкретное значение заработной платы
отклоняется от среднего на 915 р.
2) способом условных моментов:
Таблица 2.
|
Группы
рабочих по размеру з/п
|
Число
рабочих
|
Середина
интервала
|
|
( )
К
|
( )
*
К
|
(( )
/ К)2
|
(( )
/К)2*
|
|
13800 - 14374
|
2
|
14087
|
-574
|
-1
|
-2
|
1
|
2
|
|
14374 - 14948
|
14
|
14661
|
0
|
0
|
0
|
0
|
0
|
|
14948 - 15552
|
4
|
15235
|
574
|
1
|
4
|
1
|
4
|
|
15552 - 16096
|
13
|
15809
|
1148
|
2
|
26
|
4
|
52
|
|
16096 - 16670
|
9
|
16383
|
1722
|
3
|
27
|
9
|
81
|
|
16670 - 17244
|
3
|
16957
|
2296
|
4
|
12
|
16
|
48
|
|
17244 - 17820
|
3
|
17531
|
2870
|
5
|
15
|
25
|
75
|
|
Итого:
|
48
|
-
|
-
|
-
|
82
|
-
|
262
|
А = 14661; К = 574
Рассчитаем среднюю з/п способом условных
моментов:
Каждое конкретное значение заработной платы
отклоняется от среднего на 936 руб.
Задание №4.Свероятностью 0,954 определимошибку выборки
средней заработной платы рабочих цеха №1идля
доли рабочих цеха №1, имеющих заработную плату
менее 15000 руб. Укажемпределы возможных значений этих показателей в генеральной совокупности. Определим, какая вероятность
того, что доля рабочих, имеющих заработную плату
до 15000руб., вгенеральной совокупности не превысит
30%.
Таблица 3.
|
Размер
з/п, руб (х)
|
Количество
рабочих, чел. (f)
|
Середина
интервала, x'
|
x'f
|
x'2f
|
|
13800
- 14374
|
0
|
14087
|
0
|
0
|
|
14374
- 14948
|
7
|
14661
|
102627
|
1504614447
|
|
14948 - 15552
|
3
|
15235
|
45705
|
696315675
|
|
15552 - 16096
|
4
|
15809
|
63236
|
999697924
|
|
16096 - 16670
|
6
|
16383
|
98298
|
1610416134
|
|
16670 - 17244
|
0
|
16957
|
0
|
0
|
|
17244 - 17820
|
0
|
17531
|
0
|
0
|
|
Итого
|
20
|
-
|
309866
|
4811044180
|
Средняя ошибка выборки составит:
Определим с вероятностью 0,954 (t=
2) предельную ошибку выборки:
Установим границы генеральной средней:
15493,3 - 317,4 ≤
≤
15493,3 + 317,4
,9 ≤
≤
15810,7
Таким образом, на основании проведенного
выборочного обследования с вероятностью 0,954 можно заключить, что средняя
заработная плата рабочих 1-го цеха лежит в пределах от 15175 до 15810 руб.
Определим долю рабочих, имеющихзаработную плату
менее 15000 руб. и рассчитаем дисперсию доли:
7 / 20 = 0,35 = 35%
= 0,35(1 - 0,35) = 0,35 ∙ 0,65 = 0,2275
Рассчитаем среднюю ошибку выборки:
0,1
Предельная ошибка выборки с заданной вероятностью
составит:
2 ∙ 0,1 = 0,2
Определим границы генеральной доли: 0,35 - 0,2 ≤
р ≤ 0,35 + 0,2
0,15 ≤ р ≤ 0,55
Следовательно, с вероятностью 0,954 можно
утверждать, что доля рабочих, имеющих заработную плату до 15000 руб. в общей
численности рабочих 1-го цеха находятся в пределах от 15 % до 55 %.
Определим, какая
вероятность того, что доля рабочих, имеющих заработную плату до 15000руб., в
генеральной совокупности не превысит 30%.
35%
= 0,35(1 - 0,35) = 0,35 ∙ 0,65 = 0,2275
Рассчитаем среднюю ошибку выборки:
0,1
Предельная ошибка выборки с заданной
вероятностью составит:
Предельная ошибка выборки с заданной
вероятностью составит:
0,3
Отсюда найдём t.
t = 0,3 / 0,1 = 3
t
- коэффициент доверия, зависящий от вероятности (ρ),
с которой можно утверждать, что предельная ошибка не превысит t
- кратное значение средней ошибки.
Значения вероятности ρ
от t устанавливаются
математической статистикой. Их краткая выдержка из таблицы значений функции
Лапласа при разных значениях t
представлена ниже:
|
t
|
Ф(t)=
ρ
|
t
|
Ф(t)=
ρ
|
|
1.0
|
0.683
|
2.2
|
()S11
|
|
1.2
|
0.770
|
2.5
|
0.987
|
|
1.5
|
0.866
|
2.7
|
0.993
|
|
1.7
|
0.911
|
2.9
|
0.996
|
|
1.8
|
0.928
|
3.0
|
0.997
|
|
2.0
|
0.954
|
3.6
|
0.999
|
Для t
= 3 вероятность того, что доля рабочих, имеющих заработную плату до 15000руб.,
в генеральной совокупности не превысит 30%составит0,997.
Задание №5. Определить количественную
взаимосвязь между признаками:
С помощью графического метода определимформу связи
между производственным стажем изаработной платой
рабочих цеха №1с№40по № 59включительно
(n=20).
Рис. 1. Зависимость зар.платы от стажа работы
рабочих.
На оси абсцисс отложили значения факторного
признака (стаж работы), на оси ординат - результативного (зар. плату).
Анализ рис.1 показывает, что существует близкая
и линейная зависимость рассмотренных показателей. Связь прямая, т.е. чем выше
стаж, тем выше заработная плата.
Вычислимпараметры уравнения регрессии, характеризующие
зависимость между производственным стажем изаработной
платой рабочих.
Построимна графике теоретическую
иэмпирическую линии регрессии. Объяснимсмысл
полученных параметров уравнения.
Для получения эмпирической линии связи построим
групповую таблицу.
Таблица 4.
|
Производственный
стаж, лет
|
Число
человек в группе по данному стажу работы
|
Средняя
заработная плата, у.е
|
|
0
|
1
|
14430
|
|
1
|
3
|
14560
|
|
2
|
2
|
15330
|
|
4
|
1
|
15840
|
|
5
|
3
|
15820
|
|
6
|
1
|
16590
|
|
7
|
2
|
16305
|
|
8
|
2
|
15990
|
|
10
|
1
|
17220
|
|
12
|
1
|
16500
|
|
13
|
2
|
16170
|
|
21
|
1
|
18000
|
Средняя заработная плата рассчитывается
следующим образом:
Вычислим параметры уравнения регрессии для
построения теоретической линии регрессии.
;
а и b
- параметры управления связи.
Для расчета значений построим таблицу.
- теоретическая
линия регрессии.
Таблица 5.
|
Стаж,
x
|
Зар.
плата, y
|
x2
|
x∙y
|
y2
|
|
13
|
16140
|
169
|
209820
|
260499600
|
|
5
|
16170
|
25
|
80850
|
261468900
|
|
1
|
14610
|
1
|
14610
|
213452100
|
|
7
|
16620
|
49
|
116340
|
276224400
|
|
2
|
15210
|
4
|
30420
|
231344100
|
|
1
|
14700
|
1
|
14700
|
216090000
|
|
5
|
15570
|
25
|
77850
|
242424900
|
|
8
|
16080
|
64
|
128640
|
258566400
|
|
10
|
17220
|
100
|
172200
|
296528400
|
|
0
|
14430
|
0
|
0
|
208224900
|
|
7
|
15990
|
49
|
111930
|
255680100
|
|
2
|
15450
|
4
|
30900
|
238702500
|
|
5
|
15720
|
25
|
78600
|
247118400
|
|
6
|
16590
|
36
|
99540
|
275228100
|
|
1
|
14370
|
1
|
14370
|
206496900
|
|
21
|
18000
|
441
|
378000
|
324000000
|
|
4
|
15840
|
16
|
63360
|
250905600
|
|
13
|
16200
|
169
|
210600
|
262440000
|
|
8
|
15900
|
64
|
127200
|
252810000
|
|
12
|
16500
|
144
|
198000
|
272250000
|
|
∑ =131
|
317310
|
1387
|
2157930
|
5050455300
|
a + 131b = 317310
a + 1387b = 2157930
С помощью матрицы решим эту систему:
20 131 317310 x-13120 131
131 1387 2157930 x20
10579
Рис. 2. Построение теоретической и эмпирической
линии связи.
Эмпирическая линия по своему виду приближается к
прямой линии, предполагаем наличие прямолинейной корреляционной связи между
признаками.
Параметр уравнения b
=
показывает, что с увеличением стажа работы на 1 год заработная плата
увеличивается на
Параметр "а" характеризует
изменение заработной платы под воздействием прочих факторов, которые здесь не
учтены (например, отпуск работника за свой счет (неоплачиваемый отпуск)).
Наличие линейной зависимости степени тесноты
связи рассчитаем с помощью коэффициента парной корреляции (r):
.
r
= 0,9 - связь прямая, тесная.
Оценим существенность коэффициента корреляции на
основании критерия его надежности t
по формуле:
.
В математической статистике
доказано, что если t<
2,56, то связь между признаками признается несущественной. В этом случае
считается, что факториальный признак не оказывает существенного влияния на
результативный признак. Если t>2,56,
то связь признается существенной, т.е. факториальный признак оказывает
существенное влияние на признак результативный.
, т.е. 20,65 >
2,56, т.е. связь существенная - стаж работы оказывает существенное влияние на
заработную плату.
Заключение
В ряде случаев относительные и средние величины
совокупности рассчитываются на основе данных выборочного наблюдения,
получившего в настоящее время широкое применение в работе органов
государственной статистики, научно-исследовательских институтов и предприятий.
При строгом соблюдении условий случайности и
достаточно большой численности отобранных единиц выборочное наблюдение
репрезентативно (представительно). По результатам изучения определенной части
единиц с достаточной для практики степенью точности можно судить о всей
совокупности. Однако вычисленные по материалам выборочного наблюдения
статистические показатели не будут точно совпадать с соответствующими
характеристиками для всей совокупности (генеральной совокупности). Величина
этих отклонений называется ошибкой наблюдения, которая складывается из ошибок
двоякого рода: ошибки регистрации (точности) и ошибки репрезентативности.
Ошибки регистрации свойственны любому наблюдению
(сплошному и несплошному). Они вызываются несовершенством измерительных
приборов, недостаточной квалификацией работников, неточностью подсчетов и т. п.
Однако при выборочном наблюдении они значительно меньше, так как в этом случае
используются более подготовленные кадры.
В данной работе мы, изучив основные приемы
исследования и практики применения выборочного наблюдения, а также методику
вычисления наиболее важных статистических величин, мы построили различные ряды
распределения, рассчитали относительные величины и средние величины, рассчитали
абсолютные и относительные показатели вариации, определили показатели
выборочного наблюдения, объем выборочной совокупности, вероятность, с которой
можно гарантировать точность среднего значения того или иного показателя в
генеральной совокупности на основе средней выборочной,и, наконец, показали
взаимосвязь между изучаемыми признаками в количественном выражении. Рассчитав
моду и медиану, мы получили, что Мо = 14689,7 руб., а Ме= 15522 руб. Таким
образом, мы определили наибольшую заработанную плату работников завода и
середину совокупности заработной платы. Также мы выяснили, что значения
коэффициента вариации, которые равны 53% и 118%, свидетельствуют
обольшойколеблемости тарифного разряда и стажа работы рабочих цехов.
Совокупности получились неоднородны, поскольку коэффициенты вариации в обоих
цехах превысили 33%. Проанализировав зависимость заработной платы от тарифного
разряда, мы определили, что существует близкая и линейная зависимость
рассмотренных показателей, г=0,9. Связь получилась прямая.
Список использованных
источников
1.
Ефремова
М.Р. Практикум по общей теории статистики. Учебное пособие. М.: Финансы и
статистика, 2000.
2.
Петрова
Е.В. и др. Статистика транспорта. Учебник для вузов. М.: Финансы и статистика,
2001.
3.
Степанова
Н.И. Статистика часть I (общая теория статистики) М.: МГТУГА, 1998.
4.
Степанова
Н.И. Методические указания по изучению дисциплины "Статистика".
М.:МГТУ ГА, 1998
5.
Громыко
Г.Л. Теория статистики. Учебник. М.: ИНФРА-М, 2010
6.
Переяслова
И.Г. и др. Статистика для студентов вузов. - Ростов н/Д:
Феникс, 2007.219 с.
7.
Сергеева
И.И., Чекулина Т.А., Тимофеева С.А. Статистика. Учебник. -М.: ИД
"ФОРУМ": ИНФРА-М., 2006. 272 с.