|
Вариант
|
           
|
|
|
|
|
|
|
|
|
|
|
|
|
|
53
|
-9
|
6
|
6
|
-12
|
2
|
2
|
6
|
0
|
0
|
0
|
3
|
15
|
8
|
10
|
13
|
6
|
12
|
15
|
0
|
|
|
|
|
|
|
|
|
|
|
|
|
|
|
|
|
|
|
|
|
|
|
Решение
Восстановить математическую модель ЗНП,
воспользовавшись данными таблицы 1.
Поставим задачу нелинейного программирования
max(f(x)), воспользовавшись данными таблицы.
Восстановим заданную квадратичную функцию по
формуле:
, где Q=
, r =
, p = 6.=
;
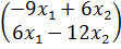
(Qx,x) =
;
(r,x) =
.
Значит, f(x) =
;(x) -
непрерывная, нелинейная, по крайней мере один раз непрерывно дифференцируема.
Наша задача будет выглядеть так:
max(
);
E2
Соединим данные точки на
координатной плоскости так, чтобы получился выпуклый многоугольник.
Рис. 1
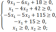
Для того, чтобы восстановить математическую
модель ЗНП:
а) Найдем уравнения прямых:
А0А1 : x1 = 0;
А0А5 : x2 = 0;
А1А4 :
;
9
=
6
- 18;
А4А3 :
;
=
4
- 48;
А3А2 :
;
=
5
- 65;
А2А5 :
=
15.
Исходя из положения полученного многоугольника
относительно выше описанных прямых на координатной плоскости, выпишем
ограничения ЗНП:
Так как известно, что задача поставлена на max,
а также известны ограничения и целевая функция, можем поставить ЗНП. Она будет
иметь вид:
(
);
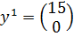
Выполнить две итерации методом
линеаризации, взяв в качестве начальной точку
.
Будем решать поставленную ЗНП
методом линеаризации. Проверим условия сходимости метода: очевидно, что f(x)
непрерывна, имеет непрерывные частные производные по всем своим переменным
первого порядка, а множество допустимых точек замкнуто и ограничено (обозначим
его D).
Множество подходящих точек имеет
вид:
В качестве начальной точки взяли
.
;
;
;
(
) =
;
: (
) = 4 > 0
Ω ⇒ можем найти
точку
,
,
- оптимальный план.
Следуя методу линеаризации, поставим
вспомогательную задачу и решим её графическим методом.
max(
)
Рис. 2
Решением этой задачи является точка
.
Тогда
.
, где
Для определения
формируем
выражение:
;
;
;
λ=
;
Рис. 3
⇒ λ =
-
точка максимума функции
.
λ =
∈
[0;1] ⇒
;
;
Проверим,
Ω?
;
;
(
) =
;
: (
)
=
>
0
Ω
Можем найти точку
.
Поставим вспомогательную задачу:
(
)
линейный программирование задача
уравнение
Решим её графическим методом:
Рис. 4
Решением этой задачи является точка
.
Тогда
.
Найдем
,
где
Для определения
формируем
выражение:
;
;
;
λ=
;
Рис. 5
⇒ λ =
-
точка максимума функции
.
λ =
∈
[0;1] ⇒
;
;
Проверим,
Ω?
;
;
(
)
;
: (
)
=
>
0
Ω.