Порівняльна характеристика насосів

  • Вид работы:
    Реферат
  • Предмет:
    Другое
  • Язык:
    Украинский
    ,
    Формат файла:
    MS Word
    1,52 Мб
  • Опубликовано:
    2013-08-26
Вы можете узнать стоимость помощи в написании студенческой работы.
Помощь в написании работы, которую точно примут!

Порівняльна характеристика насосів

Зміст

1. Шестеренні насоси

. Аксіально-поршневий насос

. Радіальні насоси

. Поршневий насос

. Пластинчасті насоси і гідромотори

Список використаних джерел

1. Шестеренні насоси

Шестеренні насоси - це об'ємні насоси роторного типу, робочими органами яких є дві або більше шестерен, що утворюють зчеплення. Основна група шестеренних насосів складається з двох прямозубих шестерней зовнішнього зачеплення. Застосовуються також інші конструктивні схеми, наприклад, насоси з внутрішнім зачепленням, шестеренні насоси з трьома або більше шестернями.

Рис. 1

Шестеренні насоси найчастіше використовуються в найпростіших системах з відносно низьким рівнем тиску (близько 140-180 бар або 14-18 МПа). Шестеренні насоси дуже прості за конструкцією, містять малу кількість деталей, відносно дешеві і менш чутливі до забруднень в порівнянні з іншими гідравлічними насосами.

Завдяки простоті і технологічності конструкції, шестеренні насоси отримали широке поширення для живлення гідроприводів невеликої потужності, для подачі мастила, а також для живлення систем управління. Шестеренні насоси відрізняються компактністю, малою кількістю рухомих деталей, надійністю в роботі.

Найбільшого поширення набули шестеренні насоси з конструкцією, що складається з шестерен з однаковою кількістю зубців. Робоча рідина переноситься із зони всмоктування насоса в зону нагнітання за допомогою порожнин, що утворюються при зачепленні зубців шестернею. Зазори між зубцями шестерен і корпусом насоса становлять мізерну частину міліметра, завдяки чому витік робочої рідини крізь них можна вважати несуттєвим. Зчеплення зубців запобігає протіканню мастила із зони нагнітання в зону всмоктування, хоча незначна частина мастила все ж таки залишається в проміжку між ними. Цей ефект отримав назву "зворотна подача", він знижує об'ємний ККД шестерневого насоса (зазвичай ККД шестеренних насосів складає близько 85%). Крім того, у такого защемлення є ще один небажаний ефект - створення надлишкового високого тиску.

Для того, щоб розвантажити затиснений об'єм від надлишкового тиску, в конструкції насоса передбачена спеціальна торцева канавка, сполучена з зоною нагнітання.

Для запобігання виникненню кавітації, тиск в зоні всмоктування насоса не має перевищувати 0,1-0,2 бара (10-20 кПа) в порівнянні з атмосферним (мінімальний абсолютний тиск 0,8 бар або 80 кПа).

Рис. 2

При зміні напрямку обертання зубчастих коліс, шестеренні насоси змінюють напрям потоку в трубопроводах, приєднаних до насосу. Підводячи рідину під тиском до одного з патрубків насоса і сполучивши інший патрубок із зливним баком, можна отримати роботу машини в якості гідродвигуна - вихідний вал машини буде розвивати потужність, пропорційну витраті і тиску рідини, що подається.

Шестеренні насоси широко використовуються для нагнітання робочої рідини в гідросистемах різних пристроїв тракторів, автомобілів, сільськогосподарських, дорожніх, комунальних та інших машин.

2. Аксіально-поршневий насос

Аксіально-поршневий насос - насос об'ємного типу, робочим органом якого є блок поршнів (плунжерів), рівномірно розміщених по колу у роторі паралельно до осі його обертання, що здійснюють при обертанні ротора зворотно-поступальний рух, завдяки якому відбуваються по черзі процеси всмоктування рідини у циліндр та нагнітання її у трубопровід. Аксіально-поршневі гідромотори мають конструкцію таку ж, як і насоси.

Рис. 3. Аксіально-поршневий нерегульований насос-гідромотор з похилим блоком: 1 - вал; 2 - шарнір; 3 - блок циліндрів; 4 - вікно; 5 - кришка; 6 - диск; 7 - пружина;8 - поршень; 9 - підшипник; 10 - шток; 11- ущільнення.

Аксіально-поршневий насос складається з блоку циліндрів 8 з поршнями (плунжерами) 4, шатунів 7, наполегливого диска 5, розподільного пристрою 2 і ведучого вала 6.

Під час роботи насоса при обертанні валу приходить в обертання і блок циліндрів. При похилому розташуванні наполегливої диска або блоку циліндрів поршні, крім обертального, здійснюють і зворотно-поступальні аксіальні руху (уздовж осі обертання блоку циліндрів). Коли поршні висуваються з циліндрів, відбувається всмоктування, а коли вдвигаються - нагнітання. Через вікна 1 і 3 в розподільчому пристрої 2 циліндри поперемінно з'єднуються то з всмоктуючої, то з напірної гідролініями. Для виключення з'єднання всмоктуючої лінії з напірної блок циліндрів щільно притиснутий до розподільного пристрою, а між вікнами цього пристрою є ущільнювальні перемички, ширина яких b більше діаметру d до отвору з'єднувальних каналів у блоці циліндрів. Для зменшення гідравлічного удару при переході циліндрами ущільнювальних перемичок в останніх зроблені дросельні канавки у вигляді невеликих вусиків, за рахунок яких тиск рідини в циліндрах підвищується рівномірно.

Робочими камерами аксіально-поршневих насосів є циліндри, аксіально розташовані відносно осі ротора, а витіснювачами - поршні. По виду передачі руху витискувача аксіально-поршневі насоси підрозділяються на насоси з нахиленим блоком і з похилим диском. Відомі конструкції аксіально-поршневих насосів виконані за чотирма різними принциповими схемами. Насоси з силовим карданом приводний вал з'єднаний з похилим диском силовим карданом, виконаним у вигляді універсального шарніра з двома ступенями свободи. Поршні з'єднуються з диском шатунами. При такій схемі крутний момент від приводить двигуна передається блоку циліндрів через кардан і похилий диск. Початкове притиснення блоку циліндрів розподільного пристрою забезпечується пружиною, а під час роботи насоса тиском рідини. Передача крутного моменту блоку циліндрів необхідна для подолання сил тертя між торцем блоку циліндрів і розподільним пристроєм.

У насосах з подвійним несиловим карданом кути між віссю проміжного валу і осями ведучого і веденого валів беруть однаковими і рівними 1 = 2 = / 2. При такій схемі обертання ведучого і веденого валів буде практично синхронним, а кардан повністю розвантаженим, так як крутний момент від приводить двигуна передається блоку циліндрів через диск 5, що виготовляється заодно з валом 6. Насоси з точковим дотиком поршнів похилого диска мають найбільш просту конструкцію, оскільки тут немає шатунів і карданних валів. Однак для того, щоб машина працювала в режимі насоса, необхідно примусово висунення поршнів з циліндрів для притиснення їх до опорної поверхні похилої диска (наприклад, пружинами, поміщеними в циліндрах). За такою схемою найчастіше виготовляють гідромотори типу Г15-2. Ці машини випускаються невеликої потужності, тому що в місцях контакту поршнів з диском створюється висока напруга, яке обмежує тиск рідини.

Рис. 4. Принципові схеми аксіально-поршневих насосів: 1 і 3 - вікна; 2 - розподільчий пристрій, 4 - поршні; 5 - завзятий диск; 6 - провідний вал; 7 - шатуни, 8 - блок циліндрів а - з муловим карданом; б - з несиловим карданом; в - з точковим дотиком поршнів; г - бескарданного типу.

Аксіально-поршневі машини бескарданного типу блок циліндрів з'єднується з ведучим валом через шайбу і шатуни поршнів. У порівнянні з гідромашини з карданної зв'язком машини бескарданного типу простіше у виготовленні, надійніші в експлуатації, мають менший розмір блоку циліндрів. За даною схемою вітчизняної промисловістю випускається більшість аксіально-поршневих машин серії 200 і 300.

Аксіально-поршневий гідромотор типу Г15-2: 1 - вал, 2 - манжета, 3 - кришка, 4, 9 - корпус, 5, 16 - підшипник; 6 - радіально завзятий підшипник; 7 - барабан; 8 - повідець; 10 - ротор; 11 - пружини; 12 - дренажний отвір; 13 - розподільний пристрій; 14 - напівкільцеві пази; 15 - отвір напірне; 17 - поршні; 18 - шпонка; 19 - штовхач.

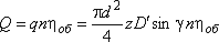
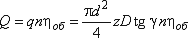
Подача (витрата) аксіально-поршневий гідромашини залежить від ходу поршня, який визначається кутом γ нахилу диска або блоку циліндрів (γ <25). Якщо конструкція гідромашини в процесі її експлуатації допускає зміну кута γ, то такі машини регульовані. При зміні кута нахилу шайби або блоку циліндрів з + γ до - γ досягається реверсування напрямку потоку рідини або обертання ротора гідромашини.

Подачу для машин з безшатунному приводом визначають за формулою:

 (1)

а для машин з шатунним приводом

 (2)

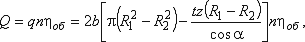
де d - діаметр циліндра; D і D - діаметр окружності, на якій розташовані центри кіл циліндрів або закріплені шатуни на диску; D tg γ і D 'sin γ - хід поршня при повороті блоку циліндрів на 180; z - число поршнів (z = 7, 9, 11) Крутний момент аксіально-поршневого гідромотора визначають за формулою:

 (3)

Рис. 5. Аксіально-поршневий гідромотор типу Г15-2: 1 - вал, 2 - манжета, 3 - кришка, 4, 9 - корпус, 5, 16 - підшипник; 6 - радіально завзятий підшипник; 7 - барабан; 8 - повідець; 10 - ротор; 11 - пружини; 12 - дренажний отвір; 13 - розподільний пристрій; 14 - напівкільцеві пази; 15 - отвір напірне; 17 - поршні; 18 - шпонка; 19 - штовхач.

3. Радіальні насоси


Насос радіально-поршневий - роторно-поршневий (роторно-плунжерний) насос, вісь обертання ротора якого перпендикулярна до осей робочих органів або утворює з ними кут більший за 45°. У роторі насоса, який ексцентрично розміщено у циліндричній обоймі, знаходяться циліндри, величина ходу плунжерів у яких, а отже і продуктивність насоса, визначається величиною ексцентриситету.

Основні параметри:

Робочий об'єм від 0,5 до 100 см3

Максимальний тиск до 70 МПа бар (залежно від габариту)

Частота обертання 1000...3000 хв-1 (залежно від габариту)

Регульовані з подачею 100 - 400 л/хв. та тиском до 20 МПа знаходять застосування в гідравлічних приводах машин і, зокрема, механізмах подачі вугільних комбайнів.

Рис. 6. Розріз-радіально поршневого насосу

Радіально-поршневий насос: у його корпусі жорстко закріплена розподільна цапфа, на яку з малим зазором посаджена бронзова втулка. Втулка запресована в ротор із чотирма рядами радіально розташованих циліндричних отворів, у яких можуть вільно переміщатися поршні.

Розподільна цапфа має осьові отвори й два пази для підведення й відводу рідини з робочих камер, обмежених циліндричними отворами ротора, зовнішньою поверхнею втулки й торцевих поверхонь поршнів. Приводний вал насоса обертається у двох шарикопідшипниках, один із яких розташований у кришці корпуса, а другий - у розточенні цапфи. Для компенсації неспіввісності осі приводного вала з віссю ротора останній приводиться в рух муфтою, що складається із фланця, проміжного кільця й чотирьох роликів, два з яких передають крутний момент від фланця до кільця.

Радіально-поршневий насос типу ГИХ - ВІД кільця нерухливим блоком циліндрів. При обертанні ротора поршні притискаються сферичними поверхнями до конічних поверхонь реактивних кілець, запресованих у барабан. Завдяки цьому крім зворотно-поступального руху щодо ротора поршні роблять зворотно-поворотні рухи навколо власної осі, що поліпшує умови змащення й зменшує зношування тертьової пари поршень - циліндр. Ковзний блок може переміщатися в горизонтальному напрямку перпендикулярно до площини креслення по напрямних.

При цьому вісь обертання барабана, установленого на підшипниках у блоці, міняє своє положення щодо осі ротора, у результаті чого змінюється ексцентриситет, а отже, подача насоса. На приводному валу встановлений допоміжний шестеренний, призначений для живлення вузлів керування й створення надлишкового тиску на усмоктуванні, завдяки чому забезпечується надійний поджим сферичних головок поршнів до реактивних кілець .

Насос із клапанно-щілинним розподілом рідини складається з кулачка-ексцентрика корпуса з кільцевою канавкою, зв'язаної каналом з усмоктувальною магістраллю, нагнітального клапана й поршня. При повороті ексцентрика по напрямку стрілки поршень переміщається зверху долілиць і в робочій камері утвориться знижений тиск, під дією якого вона заповнюється рідиною з кільцевої канавки.

Коли поршень переміщається знизу нагору, те після від'єднання кільцевий канавку від робочої камери відкривається клапан і рідина надходить у нагнітальну магістраль. Відсутність всмоктувального клапана дозволяє збільшити припустиму швидкість обертання ексцентрика, однак тут для одержання подачі використовується лише частина робочого ходу поршня.

Звичайно вибирають так, щоб кут повороту ексцентрика з положення, що відповідає нижньому крайньому, у положення, при якому робоча камера відтинається від лінії усмоктування, становив 55-60°. Геометрична подача таких насосів визначається співвідношеннями, силові залежності. Розглянемо деякі конструкції радіально-поршневих насосів. Насос із клапанним розподілом Такі насоси високо надійні, довговічні, мають високий об'ємний КПД.

Тут немає гідравлічних ударів, компресії в циліндрах (тиску вище тиску нагнітання). Однак при переході поршня через верхнє крайнє положення (від нагнітання до усмоктування) запізнювання в закритті нагнітального клапана приводить до повернення в робочу камеру частини робочої рідини. При переході поршня через нижнє крайнє положення (від усмоктування до нагнітання) запізнювання в закритті всмоктувального клапана, викликане дією на нього сил інерції, приводить до повернення в лінію усмоктування частини рідини з робочої камери.

Для зменшення об'ємних втрат клапани роблять із можливо меншими масами. Оскільки на всмоктувальному клапані при його відкритті допускається значно менший перепад тисків, чим на нагнітальному, він має завжди більші розміри, масу й, як правило, обмежує припустиму швидкість обертання. Робочий обсяг і середня теоретична подача таких насосів визначаються співвідношеннями.

Рух від приводного вала до поршня передається кривошипно-шатунним механізмом. Будемо зневажати впливом сферичності головки поршня, уважаючи, що його контакт із напрямної відбувається в крапці А, що лежить на осі циліндра.

Оскільки при непарному числі циліндрів в одному ряді амплітуда коливань подачі значно менше а частота коливань у два рази більше, ніж при парному, радіально-поршневі насоси однократної дії застосовують із непарним числом циліндрів в одному ряді. З іншого боку, реакція напрямної Р сприймається ротором. Безроторні радіально-поршневі насоси (радіально-кулачкові) виготовляють із клапанним і клапанно-щілинним розподілом Рідини й застосовують на тиски 50 Мпа й вище.

Радіально-поршневий насос: У корпусі насоса на підшипниках кочення встановлений вал із трьома ексцентричними шейками, зміщеними одна щодо іншої на кут 120°. На кожній шийці на голчастих підшипниках сидять обойми, При обертанні вала обойма притискається до всмоктувального клапана, що, переміщаючись долілиць, пересуває поршень, переборюючи опір пружини й витісняючи рідину через нагнітальний клапан у вихідний отвір.

Пружина завжди забезпечує контакт між клапаном і обоймою. При русі нагору клапан спочатку зміщається щодо поршня на х = 2 мм, утворюючи усмоктувальний отвір, через який рідина з корпуса насоса надходить під поршень при його подальшому русі разом із клапаном.

Відбіліти гідромотори являють собою радіально-поршневі гідромашини, що забезпечують привод навантаження (колеса, лебідки, ходовий гвинт та ін.) без проміжного понижувального редуктора, що дозволяє зменшити масу, габаритні розміри й споживану потужність привода. Обертаючі моменти відбіліти гідромоторів звичайно перебувають у межах 200..,30 000 Н при номінальному тиску 10...32 Мпа й кутової швидкості 0,016... 1,6 с.

Для одержання більших обертаючих моментів ці гідромотори виконують як машини багаторазової дії. У гідромоторі з повзунами ротор, жорстко пов'язаний із приводним валом, посаджений малий зазор на нерухливу цапфу. У радіально розташованих циліндричних отворах ротора вільно переміщаються поршні, виконані заодно з повзунами. У кожному повзуну на вісь одягнуті один або два ролики.

Ротор установлений усередині циліндричного отвору статора (статорного кільця, копіру), виконаного у вигляді криволінійного m-вугільного багатокутника, з яким взаємодіють ролики. Повзуни розвантажують поршні від радіальних тридцятимільйонних сил тиску рідини. У нерухливій цапфі виконані осьовий центральний отвір, з'єднаний зі зливом, і симетрично розташованих осьових отворів, пов'язаних з лінією нагнітання.

 

. Поршневий насос


Насос поршневий - об'ємний насос, робочим органом якого є поршень, що здійснює зворотно-поступальний рух, завдяки якому відбуваються по черзі процеси всмоктування рідини у циліндр та нагнітання її у трубопровід.

Поршневий насос можна класифікувати за способом приведення до дії на приводні (з приводом від окремо розташованого двигуна), прямодіючі (у яких поршень насоса розташовано на одному штоку з поршнем приводної, напр., парової машини) і ручні, що приводяться в дію руками; за розташуванням циліндрів - горизонтальні і вертикальні; за родом дії - простої дії, подвійної дії, строєні, здвоєні насоси подвійної дії, диференціальні; за призначенням - водопровідні, каналізаційні, нафтові, бурові, насоси для перекачування гідросумішей, будівельних розчинів, кислот тощо. ї

Характерними показниками поршневого насосу є відношення ходу поршня S (м) до його діаметра D (м), середня швидкість поршня = S•n/30 м/с, швидкохідність та число подвоєних ходів за хвилину (n - частота обертання вала насоса, хв.-1). Швидкохідні поршневі насоси характеризуються n = 150 - 300 хв.-1, S/D = 0,5 - 1,2 ; середньохідні - n = 80 - 150 хв.-1, S/D = 1,2 - 2,0; тихохідні - n = 40 - 80 хв.-1, S/D = 2 - 2,25. Подача (до 8000 л/хв.) і напір (до 10 МПа) змінюються в широкому діапазоні до 8000 л/хв при к.к.д. до 80 %.

Поршневі насоси знаходять широке застосування у нафтовій промисловості (як свердловинні насоси тощо), а також у магістральних та промислових гідротранспортних системах для переміщення твердих сипких матеріалів (вугілля, руд та концентратів руд чорних та кольорових металів, будівельних матеріалів тощо), де високий напір дає змогу зменшити кількість насосних станцій.

Вимоги надійності при проходженні транспортованого матеріалу у клапанному апараті обмежує крупність твердих частинок не більшою 3-4 мм (допустимий вміст частинок розміром до 6 мм не більше 10 %). Поширення у світовій практиці знайшли поршневі насоси фірм "Wilson Snyder", "Ingersoll rand" (США), "Wirth" (ФРН), "Geho" (Нідерланди).

Рис. 7. Розріз поршневого насосу.

5. Пластинчасті насоси і гідромотори


Насос пластинчастий - насос шиберний, шибери якого виконано у формі пластин.

Розрізняють насоси одноразової та багаторазової дії, одинарні та подвоєні. Насоси одноразової дії можуть бути із сталою та мінливою подачею, регулювання якої здійснюється шляхом зміни ексцентриситету. Ротор та підшипники насоса одноразової дії зазнають однобічної сили тиску, що зменшує їх довговічність. У насосах дворазової дії, завдяки наявності двох протилежно розташованих порожнин, ротор розвантажено від сил тиску, а підвід рідини до камер та відвід з них здійснюють через торцеві вікна статора, проте такі насоси не регулюються.

Основні параметри:

Робочий об'єм від 5 до 350 см3.

Робочий тиск до 140 бар.

Діапазон частот обертання 1000…1500 хв-1

Пластинчасті насоси з продуктивністю від 5 до 200 л/хв та тиском від 6,3 до 12,5 МПа широко застосовують у гідроприводах прохідницьких комбайнів та свердлувальних машинах.

Рис. 8. Принцип роботи роторно-пластинчастого насоса одинарної дії

Пластинчасті насоси та гідромотори так само, як і шестеренні, прості по конструкції, компактні, надійні в експлуатації і порівняно довговічні. У таких машинах робочі камери утворені поверхнями статора, ротора, торцевих розподільних дисків і двома сусідніми витіснювачами-Платіні. Ці пластини також називають лопатями, лопатками, шиберами.

Пластинчасті насоси можуть бути одно-, двох- і багаторазової дії. У насосах однократної дії одного обороту вала відповідає одне всмоктування і одне нагнітання, в насосах дворазового дії - два всмоктування і два нагнітання.

Насос складається з ротора 1, встановленого на приводному валу 2, опори якого розміщені в корпусі насоса. У роторі є радіальні або розташовані під кутом до радіусу пази, в які вставлено пластини 3. Статор 4 по відношенню до ротора розташований з ексцентриситетом. До торців статора і ротора з малим зазором (0,02 ... 0,03 мм) прилягають торцеві розподільні диски 5 із серповидними вікнами. Вікно 6 каналами в корпусі насоса з'єднане з гідролінією всмоктування 7, а вікно 8 - з напірними гідролініями 9. Між вікнами є ущільнювальні перемички 10, що забезпечують герметизацію зон всмоктування і нагнітання. Центральний кут, утворений цими перемичками, більше кута між двома сусідніми пластинами.

При обертанні ротора пластини під дію відцентрової сили, пружин або під тиском рідини, що підводиться під їх торці, висуваються з пазів і притискаються до внутрішньої поверхні статора. Завдяки ексцентриситету обсяг робочих камер спочатку збільшується - відбувається всмоктування, а потім зменшується - відбувається нагнітання. Рідина з лінії всмоктування через вікна розподільних дисків спочатку надходить у робочі камери, а потім через інші вікна витісняється з них у напірну лінію.

При зміні ексцентриситету змінюється подача насоса. Якщо е = 0 (ротор і статор розташовані соосно), платини не будуть здійснювати зворотно-поступальних рухів, обсяг робочих камер не буде змінюватися, і, отже, подача насоса буде дорівнює нулю. При зміні ексцентриситету з +е на -е змінюється напрямок потоку робочої рідини (лінія 7 стає нагнітальною, а лінія 9 - всмоктуючою). Таким чином, пластинчасті насоси однократної дії в принципі регульовані і реверсируючі.

  

Рис. 9. Схема пластинчастого насоса однократної дії:

- ротор; 2 - приводний вал, 3 - пластини, 4 - статор; 5 - розподільний диск; 6, 8 - вікна; 7 - гидролінія всмоктування; 9 - гидролінія нагнітання.

Число пластин z може бути від 2 до 12. Зі збільшенням числа пластин подача насоса зменшується, але при цьому збільшується її рівність для всіх.

В насосах подвійної дії ротор 1 і 2 статор соосни. Ці насоси мають по дві симетрично розташовані порожнини всмоктування і порожнини нагнітання. Таке розташування зон врівноважує сили, що діють з боку робочої рідини, і розвантажує приводний вал 2, який буде навантажений тільки крутним моментом. Для більшої врівноваженості число пластин 3 в насосах подвійної дії приймається парним. Торцеві розподільні диски 5 мають чотири вікна. Два вікна 6 каналами в корпусі насоса з'єднуються з гідроліній всмоктування 7, інші два 8 - з напірні гідролінії 9. Так само як і в насосах одноразової дії, між вікнами є ущільнювальні перемички 10. Для герметизації зон всмоктування і нагнітання повинен бути дотримана умова, при якому ε < β.

Профіль внутрішньої поверхні статора виконаний з дуг радіусами R1 і R2 з центром в точці О. Пази для пластин в роторі можуть мати радіальне розташування під кутом 7 ... 15 до радіусу, що зменшує тертя і виключає заклинювання пластин. Насоси з радіальним розташуванням пластин можуть бути реверсивними.

Рис. 10. 1, 7 - розподільні диски; 3 - статор; 4 - ротор; 5 - пластини; 6, 8 - вікна напірної порожнини; 2, 12 - вікна всмоктуючої порожнини; 9 - штифт; 10 - внутрішня поверхня статора; 11 - отвір.

насос шестеренний поршневий гідромотор

Розглянемо ще раз пристрій і принцип роботи пластинчастого насоса подвійної дії на прикладі насоса Г12-2М. Основними деталями насоса є корпус з кришкою, приводний вал з підшипниками і робочий комплект, що складається з розподільних дисків 1 і 7, статора 3, ротора 4 і пластин 5. Диски і статор, зафіксовані в кутовому положенні відносно корпусу штифтом 9, туляться один до одного пружинами (не показані), а також тиском масла в напірній лінії. При обертанні ротора 4, пов'язаного через з'єднання із приводним валом, в напрямку, вказаному стрілкою, пластини 5 відцентровою силою і тиском масла, підведеного в отвори 11, притискаються до внутрішньої поверхні 10 статора 3, що має форму овалу, і, отже, роблять зворотно-поступальний рух у пазах ротора.

У розточеннях корпусу і кришки 1 встановлений робочий комплект (диски, статор, ротор, пластини). Ротор через з'єднання пов'язаний з приводним валом, що спирається на шарикопідшипники. Зовнішні витокуи або підсмоктування повітря по валу виключається манжетами 10, встановленими в розточенні фланця. Комплект стискається трьома пружинами 12 і тиском масла в камері 13. Вікна 4 диски 3 через отвори 17 статора з'єднані з глухими вікнами всмоктування 14 диска 7, завдяки чому олія з всмоктуючої лінії надходить в ротор з двох сторін, що полегшує умови всмоктування. У напірну лінію масло витісняється через вікна диска. Поворот комплекту запобігається штифтом (або гвинтами), що проходять через отвори в деталях 1, 3, 5, 7 і 15.

Подачу пластинчастого насоса подвійної дії визначають за формулою

 (4)

де b - ширина ротора; R1 і R2 - радіуси дуг, що утворюють профіль внутрішньої поверхні статора; t - товщина платин; z - число пластин; α - кут нахилу пластин до радіусу.

Пластинчасті гідромотори можуть бути також одно-, двох- і багаторазової дії. Пластинчасті гідромотори від пластинчастих насосів відрізняються тим, що в їх конструкцію включені пристрої, що забезпечують постійний притиск пластин до статорними кільцю.

При підведенні до машини рідини на робочу поверхню пластин діє сила, яка створює обертовий момент на валу гідромотора, який для гідромоторів однократної дії визначається за формулою:

 (5)

а для гідромоторів подвійної дії

 (6)

Гідромотори подвійної дії так само, як і насоси подвійної дії, нерегульовані.

Надійність і термін служби пластинчастих гідромашин залежать від матеріалу пластин і статорного кільця. Щоб уникнути відпустки матеріалу пластин через нагрівання від ренію про статорні кільце пластини виготовляють із сталі з високою температурою відпустки. Статорні кільце цементується і гартується. Ротор виготовляють із загартованої хромової сталі, а торцеві розподільні диски з бронзи.

Список використаних джерел


1. Альтшуль А.Д., Киселев П.Г. Гидравлика и аэродинамика. - М., 2009.

. Богомолов А.И., Михайлов К.А. Гидравлика. - М.: Стройиздат, 2008.

. Богомолов А.И., Михайлов К.А. Гидравлика. - М., 2006.

. Идельчик И.Е. Справочник по гидравлическим сопротивлениям. - М., 2009.

. Киселев П. Г. Справочник по гидравлическим расчетам. 3-е изд. - М., 2004.

. Чугаев Р.Р. Гидравлика. - М. 1990.

Похожие работы на - Порівняльна характеристика насосів

 

Не нашли материал для своей работы?
Поможем написать уникальную работу
Без плагиата!
Без нейросетей!