Оцінка роботизованих та автоматизованих підприємств деревообробної промисловості за структурно-компонувальним критерієм гнучкості для споживання мінімуму електричної енергії на технологічних маршрутах в ГРТК
Вступ
У наш час незначна кількість промислових роботів (ПР)
використовується для автоматизації деревообробного виробництва (ДОВ), але деяка
інформація про кількісні та якісні сторони роботизації у цій галузі
промисловості вже є.
Технологія використання ПР у деревообробці знаходиться зараз
на такому етапі розвитку, коли роботизація ДОВ розглядається як один із засобів
перебудови виробництва в цілому, спрямованих на підвищення його ефективності.
Доцільність роботизації ДОВ сьогодні оцінюється трьома характеристиками:
) ступенем окупності капіталовкладень;
) витратами на ТО;
) досягнутим рівнем якості продукції.
Тому для практиків важливо знати, які фактори впливають на ці
характеристики.
Дослідження показують, що ефективність використання
деревообробного обладнання дуже низька, оскільки лише невелика частка часу
припадає на корисну його роботу. Порівнюючи окупність цього обладнання з іншими
виробничими витратами, можна побачити, що економія, яка досягається поліпшенням
співвідношення «робота - перерва» може бути на порядок вища, ніж зниження
заробітної плати робітників. Цей факт допомагає визначити роль ПР в
автоматизації ДОВ, яку ні в якому разі не можна зводити лише до заміни
робітника-верстатника. Поряд з основним виробничим обладнанням великі
капіталовкладення спрямовуються в незавершене виробництво. В умовах ДОВ їх
обсяг часто перевищує вартість основного виробництва. Тому при розрахунку
капіталовкладень не можна враховувати ці найважливіші обставини. Заходи,
спрямовані на зменшення обсягу незавершеного виробництва, як побічні фактори
скорочують терміни підготовки виробництва, підвищуючи його технологічну
гнучкість, що сприяє впровадженню ПР.
Остання властивість ДОВ пов'язана з можливістю підвищити
якість продукції, бо вона дає змогу не тільки поліпшити споживчі потреби
останньої, а й знизити її собівартість завдяки ліквідації браку та зниженню
витрат на виробництво.
Головним недоліком використання ПР у ДОВ є необхідна точність
позиціонування. У сучасних ПР вона недостатня для задання правильного положення
оснащення. Через це роботизація більшості операцій деревообробки ґрунтується на
широкому використанні різних затискних пристроїв, що зводить нанівець переваги
ПР (технологічну гнучкість і зниження витрат). Проводяться дослідження та
розробки, спрямовані на підвищення точності позиціонування завдяки використанню
підсистем відчуття. Деякі успіхи в цьому напрямі вже є, але поки що підсистеми
відчуття використовуються рідко, хоч пошук більш вдалих вирішень цієї проблеми
продовжується.
Краще зрозуміти значення ПР у вдосконаленні ДОВ можна, якщо
розглянути концепцію ГВС, яка лежить в основі виробництва різних деталей. В наш
час найбільший розвиток ця концепція дістала при обробці корпусних деталей, а
також тіл обертання та листових матеріалів. Таке положення зумовлено тривалістю
технологічного циклу, властивого процесам обробки корпусних деталей, що
забезпечує підвищення продуктивності в два-три рази і можливість роботи системи
без оператора протягом усієї зміни.
Аналіз причин виникнення розбіжностей між допустимим і
реально досягнутим ступенями технологічної гнучкості ГВС дає змогу визначити
роль ПР у цих системах. Основна причина зниження гнучкості полягає в
необхідності обробки значної кількості різних деталей обмеженим набором
інструменту. Ця причина - мала кількість автоматично керованих інструментів -
обмежує можливості практично всіх ГВС. Уже є технічні засоби, які дають змогу
вирішити цю проблему, але вони дуже дорогі. Використання ПР сприяє зменшенню
витрат, однак висока технологічна гнучкість їх буде можливою тільки з появою
надійних і швидкодіючих засобів для заміни інструментів-захоплювачів.
З'ясувавши ситуацію, яка склалася з використанням
технологічно гнучких засобів автоматизації виробництва, можна оцінити умови
успішного спільного використання цих засобів і ПР. По-перше, успішне
застосування автоматики передбачає багатосерійне виробництво чи високий ступінь
уніфікації оброблюваних деталей. ПР добре вписуються в таку технологічну
обстановку, яка підвищує ступінь гнучкості виробничої системи, оснащеної спеціалізованими
автоматичними пристроями, завдяки можливості виконання різних повторюваних
операцій без додаткових витрат. По-друге, при використанні ПР у малосерійному
чи штучному виробництві організацію виробничого процесу треба змінити так, щоб
він дістав деякі характерні риси багатосерійного виробництва. Всі
використовувані деталі мають розміщуватися в точно визначених місцях і
заздалегідь визначеній їх орієнтації.
В даному проекті розв’язується задача дослідження і розробки
раціонального компонування та структури робототехнічного комплексу як складової
ланки гнучкого автоматизованого виробництва, з врахуванням вимог щодо його
гнучкості, повної автоматизації, інформаційно-програмного забезпечення та
обліку продукції, програмного керування з застосуванням ЕОМ.
.
Критерії вибору раціональної структури РТК в гнучкому автоматизованому
виробництві
Автоматизація технології виробництва дозволяє зменшувати
кількість людей, зайнятих безпосередньо в технологічному процесі, підняти
якість виробів, які виготовляються, і продуктивність виробничої системи за
рахунок гнучкої організації технологічного процесу, прискорити навчання
персоналу в час переходу до іншої номенклатури виробу, або для різновидів
виробу різко скоротити час виготовлення окремого пристрою чи механізму.
Розглянутий в бакалаврській роботі робототехнічний комплекс
має одну суттєву особливість. В скрутний для нашої економіки час, коли
підприємства оснащені застарілим обладнанням (верстати, промислові роботи ПР),
тільки технологіями практично неможливо створити гнучке виробництво .
На перший погляд може здатися, що виходом з цього положення є
заміна старого обладнання і устаткування на сучасне, але такий вихід із
ситуації можливий лише за умови надходження значних інвестицій. Але є і інший
вихід із цього положення - це модернізація старого обладнання.
Підтвердженням цього є дослідження РТК, де використані
промислові роботи першого покоління моделей М10П, М20П, МП9С, обладнані
сучасними ЕОМ з метою розширення виконавчих функцій в комплексі з відповідним
технологічним обладнанням спроектованого РТК. На основі цих роботів, а також
деревообробних верстатів з ЧПК було створено виробничий РТК. Оцінюючи критерії
вибору раціональної структури такого РТК в гнучкому автоматизованому
виробництві, можна зробити такі висновки:
а) за допомогою критерію технологічної гнучкості:
середнє значення коефіцієнта гнучкості t виробничої системи, що
переходить від випуску виробів і-того найменування до виробів j- того
найменування, лежить в межах від 0 до 1, і для найкращої гнучкості РТС
коефіцієнт технологічної гнучкості повинен прямувати до 1;
при збільшенні часу адаптації системи з переходом до
випуску продукції нової партії, гнучкість погіршується. Залежність Тад= f(t) змінюється гіперболічно;
при збільшенні обсягу номенклатури “n” різних
найменувань час адаптації зростає, тобто погіршується гнучкість РТС;
критичне значення гнучкості ( за Тад=0) залежить від
кількості деталей, які потрібно поміняти чи удосконалити. Зі збільшенням “n”
критичне значення гнучкості зростає;
за малих значеннях коефіцієнта гнучкості час
переналагодження сягає 10 годин, і дана РТС стає практично не переналагодженою,
втрачається доцільність використання такої системи (t такої системи прямує до ¥);
за механічного збільшення сумарного часу обробки і
складання всієї номенклатури виробів гнучкість системи збільшується, але в свою
чергу падає продуктивність такої РТС.
б) щодо критерію структурно-компонувальної гнучкості:
на основі матриці зв’язаності структурних
компонентів можна визначити, чи доцільно використовувати запроектовану систему.
При наявності в матриці хоча б одного нульового стовпця чи лінійки, визначник
такої матриці стає рівний нулю. А це говорить про те, що не вистачає
транспортних шляхів між компонентами, значить структура такої РТС є нераціональною;
із збільшенням величини kT степінь гнучкості
зменшується; зі збільшенням номенклатури елементів системи, тобто кількісної
величини P, при сталій кількості зв’язків між елементами l, залежність kT =f
(qф) визначається збільшенням функції kT , сама характеристика піднімається, що
приводить до погіршення степені гнучкості;
в) щодо повної оцінки гнучкості:
при використанні універсальних технологічних систем
оцінка повної гнучкості рівна 100 %, але це можливе тільки тоді , коли не
потрібні додаткові затрати при переході на виготовлення нового об’єкта.
2.
Гнучкість структурно-компонувальних схем РТК
Структурно-компонувальна гнучкість визначається швидкістю
переналагодження ГВС з переходом на запуск виробу іншого виду. В найбільшій
степені забезпечує автоматизацію процесу одержання керуючої інформації для ГВС
і, зокрема, інтеграцією з системою автоматизованого проектування виробництва,
технологічною підготовкою виробництва та системою автоматичного керування, а
також стандартизацією використаних інструментів, матеріалів, заготовок та ін.
При чому необхідно врахувати і трудоємність переналагодження ГВС, а також вплив
на її структурну гнучкість, яка базується на гнучкості
структурно-компонувальної схеми РТК. Остання визначається принциповою
можливістю гнучкою збиральною робото технічною системою (ГЗРТС) здійснити
запуск виробу в межах групи модифікацій, можливістю зміни послідовності
технологічного маршруту в середині структурно-компонувальної системи (СКС),
степінню гнучкості автоматизованих транспортно-складських систем.
Структура ГЗРТС може бути представлена матричною моделлю, або матрицею
зв’язків структурних складових ГЗРТС. Зв'язок структурних компонентів
обумовлений мережею транспортних шляхів автоматизованої транспортної системи.
Матриця зв’язків
представляє собою квадратну матрицю виду:
елементи якої є нульовими змінними і приймають значення в залежності
від наявності транспортних шляхів:
, якщо і-та і j-та структурні компоненти зв’язані
Тij3 = транспортним шляхом;
, в протилежному випадку.
Головні діагональні елементи t11, t22, …, tnn цієї матриці рівні нулю,
верхня трикутна матриця (і<j) характеризує прямі транспортні шляхи, нижня
трикутна матриця (i>j) характеризує зворотні транспортні шляхи.
Іншими словами, конкретним типам СКС ГЗРТС відповідають свої види
матриць зв’язків, що дозволяє на основі них зробити аналіз варіантів
компонувальних рішень ГЗРТС.
Кількісно гнучкість структурно-компонувальної схеми ГЗРТС може бути
визначена коефіцієнтом зв’язності Кт СКС, для чого зв’язність структурних
компонентів відображається у вигляді невизначеного графа G=(P,1), в якому
вершини Р суть компоненти, а дуги 1 характеризують наявність зв’язків між ними.
Тоді:
,
(2.1)
де qмах - число максимально можливих зв’язків;ф - число
фактичних зв’язків, які є в дійсній схемі РТК.
Таким чином, Кт=0 при найвищому ступені
структурно-компонувальної гнучкості; із збільшенням величини Кт ступінь
гнучкості знижується.
Для РТК - 1 запишемо матрицю і граф зв’язків, а також
розрахуємо коефіцієнт зв’язності.
Рис 2.1 - Граф зв’язків структурних компонентів РТК-1
Тут: транспортні шляхи, які необхідні для виготовлення
виробу (деталі) згідно з технологічним процесом;
транспортні шляхи, які можливі між компонентами РТК;
Р1,Р2 - промислові роботи;
В1,В2 -верстати для обробки заготовок;
Н1,Н2 - нагромаджувачі;
С1,С2 - столи;
К1,К2 - конвеєри.
Матриця зв’язків структурних компонентів РТК-1
=
Коефіцієнт зв’язності структурних компонентів РТК:
де qф=14 - число фактичних зв’язків.
Як визначено раніше, коефіцієнт зв’язності Кт стає рівним нулю, якщо
РТК досягає найвищого ступеня структурно-компонувальної гнучкості. Очевидно
можна говорити, що оптимальну структуру РТК отримаємо за критерієм
структурно-компонувальної гнучкості Кт=0. Виходячи з виразу для коефіцієнта
зв’язності Кт, запишемо умову вибору числа фактичних зв’язків qф для оптимально
гнучкого РТК за цим критерієм:
;
З цього виразу знайдемо оптимальне число фактичних зв’язків qф= qФопт:
(2.2)
Отже, для заданого числа компонентів РТК (тобто технологічного
обладнання, визначеного алгоритмом функціонування технологічного процесу)
однозначно визначаємо величину qФопт. Так для РТК-1 з числом його компонентів
Р=10 отримаємо величину
.
Цю величину ряд авторів в літературі називають максимальним числом
зв’язків qмах.
Аналіз виразу
дає можливість зробити такий висновок:
зі збільшенням номенклатури компонентів системи, тобто величини Р, і
сталій кількості зв’язків, величина Кт збільшується, а це означає погіршення
структурно-компонувальної гнучкості системи.
Якщо обірвати деякі зв’язки між компонентами РТК, то в цьому випадку
зменшиться значення qФ, а величина коефіцієнта зв’язності Кт зросте.
Звідси випливає такий висновок:
3. Переміщення матеріальних потоків у РТК
Переміщення матеріальних потоків реалізується в РТК за
допомогою систем безперервного та дискретного транспортування, до яких
відповідно належать конвеєри і транспортні роботи (ТР), а також електроробокари
(ЕРК). Основною позитивною якістю транспортної системи на основі
транспотрно-маніпуляційного робота ТМР є необмежена можливість для створення
компоновок РТК із різним транспортно-технологічним маршрутом оброблюваних
деталей, з адаптаційними властивостями транспортної системи.
В сучасному виробництві для формування технологічних трас
найбільше поширення дістали три види маршрутів:
) електромагнітний з високочастотним трактом у вигляді
укладеного під поверхнею підлоги кабелю;
) оптичний із світловідбивним або флуоресціюючим трактом у
вигляді прокладеної по поверхні підлоги світловідбивної смуги чи нанесеної на
її поверхню флуоресціюючої фарби;
) металізований (найчастіше феромагнітний) з трактом у
вигляді металевої смуги чи стрічки, укладеної на поверхні підлоги.
В першому способі реалізації маршрутопроводу електропровід
укладається в жолоб, прорізаний в підлозі. Власне електричний провід (один або
декілька) вмикається до джерела змінного струму високої частоти і малої
амплітуди. В такому випадку навколо проводу створюється магнітне поле. Чутливий
пристрій містить дві електромагнітні котушки, встановлювані спереду і знизу
шасі ТМР. Він формує сигнали керування за положенням, швидкістю, моментами
розгону, гальмування й зупинки, які передаються в пристій керування, що
розміщується на самому шасі, а потім спрямовуються до сервоприводів рульового
керування.
Якщо ТМР рухається точно над проводом, то різниця амплітуд
або вектор фазового зсуву дорівнюють нулю. Якщо ТМР відхиляється, то виникає
складова амплітуди сигналу чи фазовий зсув відповідного знаку.
Транспортно-маніпуляційний робот ТМР - це самохідна машина з
автоматичним керуванням (рис 3.1 ) . Інформаційна система робота визначає
орієнтацію його в робочій зоні, а також забезпечує взаємодію з технологічним
обладнанням ТО. Система керування рухом ТМР на основі сигналів про фактичне
положення та орієнтацію робота забезпечує переміщення його по запрограмованому
маршруту.
Рис 3.1 - Транспортно-маніпуляційний робот ТМР
Амплітудні і фазові сигнали обробляються бортовою керуючою
системою (БКС), після чого формується керуюча дія за допомогою сервопривода
рульового керування.
У другому способі реалізації маршрутопроводу світловідбивний
тракт наноситься безпосередньо на підлогу чи виконується у вигляді
світловідбивної стрічки, котру приклеюють до неї. Чутливий пристрій, як і в
маршрутопроводі електромагнітного типу, також має два приймачі, що
встановлюються спереду й знизу шасі ТМР, оптичні системи яких і відстежують
контури світловідбивної смуги. В свою чергу смуга освітлюється сфокусованим
джерелом світла, яке може бути конструктивно суміщене з чутливим пристроєм.
Приймачі вимірюють інтенсивність відбитого від смуги світлового потоку, і якщо
рівень сигналів на них буде різним, це свідчить про відхилення ТМР від маршруту.
В цьому випадку впливає коректуюча дія, що ліквідує відхилення ТМР від
маршруту.
Нарешті, третя реалізація маршрутопроводу у вигляді
металізованої смуги за принципом роботи системи слідкування за трактом мало
відрізняється від двох перших. Різниця полягає у виконанні чутливих елементів.
Тут використовується пара електромагнітних давачів, які вмикаються в мостову
схему вимірювання сигналу, металізована смуга укладається врівень з підлогою, а
зверху заливається епоксидним захисним компаундом.
Керування рухом ТМР
Основне завдання ТМР - забезпечення орієнтації та
транспортування об’єктів виробництва (касет, комплектуючих деталей і ін.) в
обслуговуваному просторі. Для реалізації цього завдання ТМР оснащено бортовою
мікро-ЕОМ, на якій реалізуються основні функції керування. Блочна структура БКС
передбачає можливість її гнучкої зміни та доповнення. Всі блоки БКС є
функціонально закінченими електронними пристроями, які здійснюють обробку
вхідної інформації для вироблення керуючих дій за алгоритмами роботи ТМР.
Керування від ЕОМ може програмуватися на роботу в режимі
регулярного опитування шасі ТМР, одержуючи в реальному масштабі часу дані,
котрі ідентифікують ТМР, його місцезнаходження та наявність вантажу. Центральна
керуюча ЕОМ слідкує також за нестандартними ситуаціями, такими, як блокування
маршруту чи переривання сигналу, й надсилає відповідні команди для їх усунення.
Складання облікової документації проводиться за допомогою
центральної керуючої ЕОМ. Керування від ЕОМ дає змогу використати засоби
машинної графіки, що забезпечує можливість оператору в реальному масштабі часу
контролювати роботу транспортно-завантажувальної системи. Оператор за допомогою
станцій виклику може отримати від центральної керуючої ЕОМ інформацію про ТМР
або про переміщувані об’єкти.
Після відпрацювання заданого маршруту, в кінці його
траєкторії здійснюється точне позиціонування ТМР для проведення
завантажувально-розвантажувальних робіт (ЗРР) на вибраному виробничому модулі.
Після завершення програми ЗРР видається сигнал дозволу на
продовження маневрів ТМР згідно з запланованими переміщеннями за програмним
забезпеченням керуючої системи на виконавчому рівні. При цьому повніше
використовуються можливості системи, проте цей спосіб керування не захищений
від можливих помилок.
Розробка БКС передбачає необхідність виконання в реальному
масштабі часу таких функцій:
· керування приводами;
· обміну інформацією з центральною
керуючою ЕОМ і технологічним обладнанням;
· адаптацію до перешкод та варіацій
(видозмін) технологічного процесу;
· забезпечення безпечної роботи і
безпечних маршрутів;
· самодіагностики.
В існуючих системах керування ТМР застосовані два основні
способи керування: дистанційне та керування від ЕОМ. Сигнали керування рухом
ТМР визначають величину і напрям переміщення робота і подаються на входи систем
керування електроприводами головного руху та повороту бортових коліс.
Керування від ЕОМ дає змогу об'єднати всі системні засоби
транспортних роботів та обслуговуючі їх вантажно-розвантажувальні механізми в
мережу з прямим керуванням від центральної ЕОМ.
.
Вибір раціональної структури виробничого РТК-2 за критерієм мінімуму
технологічного маршруту
робототехнічний комплекс автоматизований маршрут
В розділі 4 викладена методика оцінки та вибору раціональної
структури РТК, в основу якого покладено критерії мінімуму технологічного
маршруту переміщення виробу. Ця методика базується на використанні матриць:
зв’язаності структурних елементів та технологічних відстаней між обладнанням
РТК-2. За базовий варіант виробничого РТК-2 взято план- схему РТК-2.
Такий виробничий РТК-2 містить тринадцять компонентів (типів
технологічного обладаннання), які використовуються у виробництві трьох
модифікацій виробленого продукту - з’єднання “вал - шестерня”, для таких
пристроїв передачі руху (транспортних засобів): диференціала моста - j1 ; коробки передач - j2 ; редуктора - j3 .
В базовому РТК-2 всі його компоненти - технологічне
обладнання, мають повну сукупність можливих зв’язків між ними, які забезпечують
виконання операцій технологічного процесу для виготовлення кожної з трьох
модифікацій j1, j2, j3, з переходом в будь-якому порядку від виготовлення продукту однієї
модифікації до продукту іншої модифікації.
В такому (базовому) РТК-2 активними, діючими є одночасно всі
можливі зв’язки між компонентами, хоча для виготовлення продукту кожної
модифікації використовуються тільки ті, які зв’язані алгоритмом функціонування
технологічного процесу для даної модифікації. При цьому всі наявні пристрої
програмного керування технологічним обладнанням в технологічному процесі повністю
забезпечені програмами для трьох модифікацій виробів, хоча використовується
один пакет програм для даного продукту j1, або j2, або j3.
В такому випадку виникла задача вироблення критерію оцінки
технологічних маршрутів при виготовленні кожного з трьох виробів j1, j2, j3 , з метою вибору
раціональної структури РТК-2 для кожного з них на основі розгляду
багатоваріантної компоновки технологічного обладнання для модифікацій j1, j2, j3.
Для цього, не змінюючи алгоритму функціонування
технологічного процесу, розглядаються варіанти технологічних маршрутів та схем
компоновки обладнання виробничого РТК-2 для вибраної модифікації виробу.
Так, для продукту модифікації j1,
розглядається сукупність графів зв’язаності структурних компонентів
,
,
,
,…, виробничого РТК-2 і будуються матриці
технологічної зв”язаності структурних компонентів S
, S
,S
,S
,…
для всіх варіантів технологічних маршрутів виробу і компоновки РТК-2. Після
цього визначаються довжини маршрутів для всіх варіантів схем і вибирається
остаточна компоновка виробничого РТК-2 з найменшим технологічним маршрутом для
даної модифікації j1, наприклад Zj1.
Аналогічно, для модифікації продукту j2 і j3
визначаються варіанти компоновки виробничого РТК-2 (відповідно
,
,
,
,…,
,
,
,
,…) з визначенням і вибіркою схем з найменшим
технологічним маршрутом Zj2 чи Zj3.
Розглянувши різні варіанти компоновочних структур виробничого РТК-2 і
згідно з критеріями оцінки та вибору раціональної структури визначаємо
найменший найефективніший маршрут ( транспортний шлях) для трьох модифікацій
виробничого продукту j1, j2, j3.
Рис 4.1 - Граф зв’язаності структурних компонентів виробничого РТК-2
для
.
де: p1, p2, p3, p4, p5 - промислові роботи;, C2, C3, C4 - проміжні
столи;, K3 - конвеєри;
П- нагрівальна піч;
МС- монтажний стіл.
За даною структурою РТК-2 і зв’язками між його компонентами складаємо
матрицю технологічної зв’язаності S
,
та матрицю відстаней між обладнанням В.
1 2 3 4 5 6 7 8 9 10 11 12 13

Перемноживши та взявши суму добутків відповідних елементів матриць S
та В, визначимо довжину технологічного маршруту.
пер
розглянемо другу модифікацію розташування компонентів РТК-2, де зв’язки між
ними помінялись.
Рис 4.2 - Граф зв’язаності структурних компонентів виробничого РТК-2
для
.
Матриця В (відстань між обладнанням) - не змінилася, тому складаємо
лише S
- матрицю зв’язаності компонентів для виробу j1 модифікації
.
1 2 3 4 5 6 7 8 9 10 11 12 13
Довжина технологічного маршруту
Рис 4.3 - Граф зв’язаності структурних компонентів виробничого РТК-2
для
.
Матриця зв’язаності компонентів для виробу j1 модифікації
:
2 3 4 5 6 7 8 9 10 11 12 13
Матриця відстаней В:
Довжина технологічного маршруту:
Рис 4.4 - Граф зв’язаності структурних компонентів виробничого РТК-2
для
Матриця В (відстані між обладнанням) така ж сама, як і для
.
Матриця зв’язаності компонентів для виробу j1 модифікації
:
Довжина технологічного маршруту
Рис 4.5 - Граф зв’язаності структурних компонентів виробничого РТК-2
для
Матриця відстаней В:
Довжина технологічного маршруту
Рис 4.6 - Граф зв’язаності структурних компонентів виробничого РТК 2
для
.
Матриця зв’язаності компонентів для виробу j2 модифікації
:
2 3 4 5 6 7 8 9 10 11 12 13
Матриця В для
буде мати вигляд, як і для
.
Довжина технологічного маршруту
Рис 4.7 - Граф зв’язаності структурних компонентів виробничого РТК 2
для
.
Матриця В має вигляд, як у варіанті
.
Довжина технологічного маршруту.
Рис 4.8 - Граф зв’язаності структурних компонентів виробничого РТК-2
для
.
Матриця В має вигляд, як у випадку
.
Довжина технологічного маршруту:
Рис 4.9 - Граф зв’язаності структури компонентів виробничого РТК-2 для
.
Довжина технологічного маршруту
Рис 4.10 - Граф зв’язаності структурних компонентів виробничого РТК-2
для
.
Довжина технологічного маршруту:
Рис 4.11 - Граф зв’язаності структурних компонентів виробничого РТК-2
для
.
В даному випадку матриця В має вигляд, як у модифікації
.
Рис4.12 - Граф зв’язаності структурних компонентів виробничого РТК-2
для
.
Довжина технологічного маршруту:
Рис 4.13 - Граф зв’язаності структурних компонентів виробничого РТК-2
для
.
Довжина технологічного маршруту:
Рис 4.14 - Граф зв’язаності структурних компонентів виробничого РТК-2
для
.
Довжина технологічного маршруту:
Рис 4.15 - Граф зв’язаності структурних компонентів виробничого РТК-2
для
.
Довжина технологічного маршруту:
Аналіз компоновки РТК-2 для виробу модифікації j2 дає можливість показати залежність довжини
транспортного маршруту Zj2 від зміни
координат прив’язки хоча б одного компонента РТК-2. Так, схеми РТК на рис.8 і
рис.10 мають показники технологічного маршруту Zj2 =13 і Zj2=11, а для
вибраної структури РТК-2 взята схема з показником Zj2=15, яка має найменший маршрут у порівнянні зі
схемами на рис.6 (Zj2=16) і рис.7 (Zj2=16). Такий вибір обґрунтований тим, що необхідно
створити одну структуру гнучкого РТК-2 з переналагодженням його на випуск
будь-якої модифікації виробів j1, j2, j3,. В нашому
випадку побудова такого РТК-2 вимагає відмовитись від схем, в яких розташування
одного компонента (печі нагрівання) не задовольняє компоновку остаточної схеми
РТК-2. А схема з Zj2=15 накладається
однозначно за розташуванням технологічного обладнання на схеми компоновки з Zj1 і Zj3 виробів
модифікацій j1 і j3.
Цей висновок підтверджує аналіз структурно-компонувальної гнучкості схеми з
показниками Zj1 і Zj2 і Zj3 в порівнянні з базовою структурою виробничого РТК-2.
Таким чином, з наведених вище структур компонентів для трьох різних
модифікацій виробів, вибираємо для кожної модифікації за критерієм мінімуму
технологічного маршруту раціональну структуру, тобто структуру, для якої
технологічний маршрут буде мінімальний.
Отже, отримаємо три структури виробничого РТК-2, скомпоновані за
принципом мінімуму технологічного маршруту: j1, j2, j3,. Після цього застосовуємо метод суперпозиції щодо
трьох визначених схем компоновки виробничого РТК-2. В результаті отримаємо
структурно-компонувальну схему виробничого РТК-2, структура якого мінімізована
за критерієм найменшого транспортного шляху і є структурно-організаційною
гнучкою системою з мінімальною тривалістю виробничого циклу чи технологічного
процесу.

5.
Структурно-компонувальний синтез робототехнічного комплексу за енергетичним
критерієм
Вдосконалення структури робототехнічних систем значно впливає
на ефективність виробництва. У зв'язку з цим, структурно-компонувальний синтез,
завданням якого є розподіл за робочими позиціями технічних засобів, що
забезпечують проведення технологічного процесу, і зв'язків між ними, які
визначають маршрут руху виробів і їх комплектуючих, є одною з центральних
проблем проектування гнучких виробничих систем. Раніше розглянуто один із
способів вибору та оцінки раціональності структури гнучкої виробничої системи
(ГВС) або робототехнічного комплексу (РТК) за мінімальним транспортним шляхом,
що проходить виріб разом їз комплектуючими під час свого виготовлення.
Нехай є множина технологічних операцій N = { n1, n2, n3,...,
nk}, які необхідно виконати, щоб зібрати виріб
φ.
Припустимо, що виконання кожної операції здійснюється окремим технологічним
пристроєм. Отже, в технологічному процесі задіяно k технологічних пристроїв,
технологічна зв'язаність яких визначається на основі маршруту збирання виробу,
і представляється орієнтованим графом зв'язаності, в якому вершини -
технологічні операції (технологічні пристрої), а гілки - технологічні переходи
(зв'язки).
Технологічні зв'язки між пристроями при виготовленні
φ-ї
модифікації виробу можна описати також матрицею зв'язаності Sф, що формується
за графом зв'язаності так: кількість рядків і стовпців квадратної матриці
дорівнює кількості технологічних операцій (вузлів графа), на перетині і-го рядка
і j-го стовпця ставиться 1, якщо існує технологічний зв'язок (гілка графа) між
і-м і j-м технологічнимим пристроями, і 0 - якщо зв'язку немає.
Геометричне розміщення технологічних пристроїв
характеризується квадратною матрицею відстаней B, в якій кількість рядків і
стовпців дорівнює кількості технологічних пристроїв; на перетині і-го рядка та
j-го стовпця ставиться сумарна відстань між і-м та j-м пристроєм (довжина
траєкторії переміщення виробу від і-го до j-го пристрою). Транспортний шлях,
який проходить виріб φ-ї модифікації , визначається як
(5.1)
Значення транспортного шляху для всіх можливих m модифікацій
виробів, що виробляються ГВС:
(5.2)
є одним із критеріїв оцінки раціональності структури цієї
системи. У цьому випадку більш раціональною є така структура ГВС, в якій
сумарний транспортний шлях є менший.
У роботі запропоновано для оцінки раціональності структури
ГВС використати критерій мінімальних енерговитрат на виконання транспортних
операцій, який є важливим з огляду на використання енергоощадних технологій на
виробництві.
Значення електроенергії на виконання транспортних операцій
для виготовлення φ-ї модифікації виробу можна визначити
за формулою
(5.3)
де Р - матриця потужностей пристроїв, що виконують
транспортні операції, Тφ - матриця тривалостей транспортних
операцій. Матриці Р і Тφ формуються так: кількість рядків і
стовпців квадратних матриць Р і Тφ дорівнює кількості
технологічних пристроїв. На перетині і-го рядка і j-го стовпця матриці Р
ставиться потужність пристрою, що здійснює транспортний зв'язок між і-м і j-м
пристроями, якщо такий зв'язок передбачено і 0 - якщо технологічний зв'язок між
цими пристроями відсутній. На перетині і-го рядка і j-го стовпця матриці Тφ
ставиться
тривалість операції транспортування виробу між і-м і j-м пристроями. Матриця
тривалостей транспортних операцій визначається на основі матриці відстаней В
між технологічними пристроями та швидкостями виконання переміщень, які залежать
від типу транспортного пристрою.
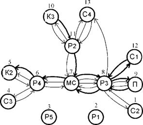
Розглянемо застосування запропонованого критерію на прикладі
оцінки структури виробничого РТК, призначенням якого є збирання виробів на
монтажному столі МС. До складу цього РТК входять такі технологічні пристрої:
конвеєри К2, К3, складувальні столи С1, С2, С3, С4, нагрівальний елемент П та
роботи Р1, Р2, Р3, Р4, Р5. На цьому РТК можна виготовляти вироби трьох
модифікацій: φ1, φ2, φ3. Розглянемо три можливі
варіанти розміщення технологічного обладнання. На рис. 1, 2, 3 показані графи
зв'язаності відповідно для першого варіанта (базового), другого та третього
варіантів структур РТК. На рисунках позначено: товстою лінією - гілки графа
зв'язаності елементів РТК для першої модифікації виробу
φ1, тонкою
штриховою лінією - для модифікації виробу φ2, тонкою суцільною лінією -
для модифікації виробу φ3.
З трьох можливих структур РТК виберемо одну раціональну
структуру, користуючись запропонованим енергетичним критерієм. Приклад розрахунку
енерговитрат на виконання транспортних операцій наведемо для базової структури
РТК.
Для виконання транспортних операцій в РТК використано
промислові роботи М20П (Р1, Р2, Р3, Р5) та маніпулятор МП9С (Р4). Технічні дані
робота М20П: номінальна потужність приводу Рн = 2 кВт; усереднені швидкості
переміщення за координатами Z (висота піднімання руки),
θ (кут
повороту руки), R (радіус висування руки) становлять: VZ = 0,25 м/с, Vθ
= 30 град/с, VR
= 0,5 м/с; діапазон можливих переміщень: за віссю Z - 0,5 м, за кутом
θ - 300°,
за віссю R - 1,0 м. Технічні дані пневматичного маніпулятора МП9С: потужність
Рн = 0,95 кВт (з врахуванням потужності компресора та потужності, що
споживається системою керування); швидкості переміщень: за координатами Z
(висота піднімання руки), θ (кут повороту руки), R
(радіус висування руки) становлять: VZ = 0,03 м/с, Vθ
= 80 град/с, VR
= 0,15 м/с; діапазон можливих переміщень: за віссю Z - 0,03 м, за кутом θ - 120°, за віссю R - 0,15 м.
Рис 5.1 - Граф зв 'язаності Рис 5.2 - Граф зв 'язаності
для базової структури РТК для 2-го варіанта структури РТК
Рис 5.3 - Граф зв 'язаності для базової структури РТК
Матриці зв'язаності елементів РТК для трьох модифікацій
виробу такі:
Матриця відстаней В між технологічним обладнанням (відстань
між технологічним обладнанням обмежується довжиною координатних переміщень
роботів):
Матриця потужностей Р транспортних пристроїв (роботів):
Матриця часу виконання транспортних операцій Т записується на
основі матриці відстаней між технологічними пристроями та швидкостей виконання
переміщень, що визначаються можливостями транспортних засобів (роботів) та вимогами
технологічного процесу. При цьому матрицю відстаней доцільно розділити на 3
матриці відстаней, відповідно для координат Z,
θ, R - ВZ,
Вθ, ВR. Відповідно елемент матриці Т буде визначатись як
(5.4)
Отже, матриці часу виконання транспортних операцій для трьох
модифікацій виробів матимуть вигляд:
З виразу (2) отримаємо значення затрат електроенергії на виконання
транспортних операцій під час виготовлення одного виробу: модифікації
φ1 - Е1 =
0.0562 кВт·год, модифікації φ2 - Е2 = 0.0444 кВт·год,
модифікації φ3 - Е3 = 0.0676 кВт·год. Сумарна
оцінка енерговитрат на виконання транспортних операцій для базової структури
РТК: Е0 = Е1 + Е2 + Е3 = 0.1682 кВт·год.
Після аналогічних розрахунків отримаємо сумарні оцінки
енерговитрат на виконання транспортних операцій для другого варіанта структури
РТК: Е’ = 0.163 кВт·год і для третього варіанта структури РТК: Е” = 0.1956
кВт·год.
З отриманих результатів можна зробити висновок: найбільш
раціональним є другий варіант структури РТК в гнучкій системі виробництва, який
забезпечує найменші затрати електроенергії на виконання транспортних операцій
під час виготовлення трьох можливих модифікацій виробу.
5.1
Параметрична гнучкість
Гнучкість виробничої системи характеризується також здатністю
останньої зберігати в заданих межах її певні параметри (продуктивність,
точність, економічну ефективність) при нестаціонарних умовах роботи, що
називається параметричною гнучкістю РТС. Ця параметрична гнучкість ГВС дає
можливість компенсувати різні зовнішні дії на неї зміною внутрішніх параметрів
системи за відповідними критеріями в часі. Інакше кажучи, гнучкість забезпечує
перехід динамічної системи з одного стійкого стану в інший з метою виготовлення
певного об’єму виробництва.
У зв’язку з цим можна виділити динамічні показники гнучкості
виробничої системи, що характеризуються показниками її перехідного процесу при
зміні мети виробництва, тобто його об’єкта. До таких показників належать час,
швидкість і точність переходу ГВС у новий стійкий стан. На відміну від
статичних, динамічні показники гнучкості виробничої системи характеризують
граничні можливості зміни того чи іншого параметра та число
технологічно-проміжних інших станів. Як і всякий об’єкт керування, РТС
характеризується вхідним Хвх та вихідним Хвих станами, зовнішнім збуренням f(t)
і часом функціонування t. Передавальна цільова функція:
відображає інтенсивність зміни вихідного стану системи залежно від
мети. Передавальна функція за зовнішнім збуренням
характеризує стійкість або запас стійкості системи до цього збурення в
ідеальному стані, тобто в усталеному режимі. Інакше кажучи, запас стійкості ГВС
показує, при яких межах типізації та групування виробів для виготовлення
(обробки, складання) можливе виробництво без переналагоджування й додаткового
настроювання системи. Цей показник є надзвичайно важливим, тому що він відбиває
якість проведення одного із основних етапів підготовки гнучкого виробництва -
типізацію та групування об’єктів.
Аналіз характеристик переходу гнучкої робототехнічної системи в новий
стан дає змогу розглядати гнучкість, як властивість, що забезпечує найкращу
якість перехідного процесу та підтримку нового стану при зміні номенклатури
виготовлення виробів або в разі виходу з ладу якого-небудь функціонального
елемента гнучкої робототехнічної системи.
Кількісну оцінку критерію параметричної гнучкості в даній роботі не
проводимо, так як відсутні початкові дані та необхідні параметри динаміки ГАВ,
а саме гранично-оптимальні зміни РТС на технологічно-проміжних етапах
вітчизняного гнучкого виробництва.
5.2
Повна оцінка гнучкості виробничої системи
Повна оцінка гнучкості робототехнічної системи виконується на
основі всіх її складових, їх ранжируванням, або введенням комплексного
коефіцієнту, який враховує зважені показники цих складових. Між іншим, не
завжди є можливість визначити всі складові гнучкості виробничої системи, проте
існує економічно-раціональна гнучкість для певних умов виробництва та раціональний
рівень автоматизації для її реалізації. Зокрема, в окремому виробництві кожний
новий виріб являє собою зміну завдання технологічної операції з витратами на
структурно-організаційні зміни, регулювання та налагодження засобів усіх рівнів
ГВС, які можуть бути значно вищими, ніж при роботі оператора (верстатника,
слюсаря, складальника та ін.).
Навпаки, в середньому та великосерійному виробництвах
обчислення номенклатури закріплених виробів одної групи та значне спрощення
системи регулювання, розподіл експлуатаційних витрат і вартості
переналагодження на великі партії виробів забезпечують в цілому економічну
ефективність їх виготовлення.
Як узагальнена міра гнучкості системи може виступати також
відношення витрат на її переналагодження Вп до амортизаційних витрат
(відрахувань) при роботі системи до переналагодження Ва, і тоді коефіцієнт її
гнучкості (у відсотках) визначається як:

Він дорівнює 100%, якщо для переходу системи на виготовлення нового
виробу додаткові витрати не потрібні, тобто Вп = 0.
Такий випадок відповідає використанню універсальних технологічних
систем і буває для слабко механізованого виробництва, коли виготовлення виробу
здійснюється на одному робочому місці.
Висновки
1. Для вибору раціональної структури виробничих РТК в
ГВС в цілому потрібно застосувати граф зв"язаності структурних компонентів
кожного РТК. Такий РТК характеризується складною мережею транспортних шляхів і
траєкторій переміщень готового виробу і сировини для виробництва.
2. За складеним графом
зв’язаності та матрицею зв’язаності визначаються величини транспортних шляхів (
транспортних маршрутів), які проходять вироби різних модифікацій в процесі
свого виготовлення. Більш раціональним є той варіант структурно-компоновочної
схеми РТК, в якій величина сумарного транспортного шляху для виробів різних
модифікацій є меншою. Відповідні дослідження раціональності структури РТК були
проведені в даній роботі і вибрано найбільш раціональний варіант
структурно-компоновочної схеми РТК.
3. При збільшенні номенклатури компонентів виробничої
системи, тобто величини Р, при сталій кількості зв’язків, або навіть при їх
збільшенні, величина Кт збільшується, а це означає погіршення
структурно-компонувальної гнучкості системи.
. Аналіз залежностей КТ(q) для різних модифікацій
виробів j1,j2,j3 підтверджує, що для покращення структурно-компонувальної гнучкості
РТК-2 зі збереженням всіх компонентів (технологічного обладнання) в структурі,
потрібно збільшувати число фактичних зв’язків між компонентами. Це варто
застосувати у випадку модернізації існуючих застарілих структур РТК.
Література
1. Л.С. Ямпольский, М.М. Полищук, М.М. Ткач. Елементи
робото технічних пристроїв і модулі ГВС. В.ш. 1992р. 431 ст.
2. Гибкие производственные системы, ПР, РТК:
Практические пособия. Б.И. Черпаков, В.Б. Великович, Робототехнические
комплексы - М: Высшая школа, 1988-95 ст.
. Л.С. Ямпольский, О.М. Колин, М.М. Ткач. Гибкие
автоматизированные производственные системы. Техника 1985 - 112 ст.
. В.И.Костюк, Л.С.Ямпольский. Гибкие робототехнические
системы. - К.: Высшая школа, 1988.71 ст.
. Методы определения рациональных структур ГПС для
обработки деталей машин. Сб. информ. ВНИИТЭМР. - М., 1988. ст.59.
6. Костюк
В.И., Гавриш А.П., Ямпольский Л.С., Карлов А.Г. Промышленные роботы. - К.: Вища
шк. Головное изд-во, 1985. - 359 с.
7. Макаров
И.М. и др. Управление робототехническими системами и их очувствление 1983
. Ямпольський
Л. С., Поліщук М. М., Ткач М. М. Елементи робототенічних пристроїв і модулі ГВС
- К.: Вища школа, 1992.
. Костюк
В. И., Ямпольский Л. С. Гибкие робототехнические системы: общий подход. - К.
Вища школа, 1998.
. Мазепа
С. С., Лозинський А. О. Системи керування і динаміка роботів: Навчальний
посібник. - Львів: Вид-во Університету «Львівська політехніка», 1998.
. Асфаль
Р. Роботы и автоматизация производства/Пер. с англ. М. Ю. Евстегнеева и др. -
М.: Машиностроение, 1989
. Дудюк
Д. Л., Мазепа С. С., Мисик М. М. Гнучке автоматизоване виробництво і
роботизовано комплекси: Навчальний посібник. - Львів: Магнолія плюс, 2005.
. Неймарк
А. М. Роботы на службе человека. - М.: Наука, 1982.
. Воротников
С. А. Информационные устройства робототехнических систем. -М.: МГТУ им. Н. Э.
Баумана, 2005