Картографические проекции

  • Вид работы:
    Курсовая работа (т)
  • Предмет:
    География, экономическая география
  • Язык:
    Русский
    ,
    Формат файла:
    MS Word
    993,26 Кб
  • Опубликовано:
    2013-11-14
Вы можете узнать стоимость помощи в написании студенческой работы.
Помощь в написании работы, которую точно примут!

Картографические проекции

Содержание

1. Общие положения о выборе проекций

. Влияние содержания карт на выбор проекций

. Выбор проекций в зависимости от величины (охвата) территории

. Влияние дополнительных требований, обусловленных местом данной карты в составе системы карт

. Описание выбранных проекций

. Описание выбранного варианта проекции

Список используемой литературы

Приложение 1. Карта Южной Америки

1. Общие положения о выборе проекции

При создании любых карт важное значение имеет вопрос о выборе картографических проекций, обеспечивающих оптимальное решение по этим картам различных задач.

Выбор картографических проекций зависит от многих факторов, которые можно разделить на три группы.

. Факторы, характеризующие объект картографирования. Это географическое положение изображаемой территории, ее размеры, форма границ, степень показа смежных с картографируемой областью территорий.

. Факторы, характеризующие создаваемую карту, способы и условия ее использования. В эту группу входят назначение и специализация, масштаб и содержание карты, задачи, которые будут решаться по ней (картометрические, навигационные и пр.) и требования к точности их решения, способы использования карты (настольная, настенная), анализа картографической информации (с помощью ЭВМ или без), условия работы с картой (отдельно, в комплексе с другими картами, в склейке), условия передачи на них относительных характеристик картографируемых объектов (географического положения одних территорий относительно других, их площадей и форм), требования по отображению коммуникаций и связи территорий и т. п.

. Факторы, которые характеризуют получаемую картографическую проекцию. Это характер искажений, условия обеспечения минимума искажений и допустимые максимальные искажения длин, углов и площадей, характер их распределения, кривизна изображения геодезической линии, локсодромии, условия изображения других линий положения, стереографичность проекции (степень передачи форм территории), кривизна изображения линий картографической сетки, требования ее ортогональности, обеспечения заданных величин отклонений от прямого угла между изображениями меридианов и параллелей, их равноразделенности, характер изображения полюсов, условия симметричности картографической сетки относительно среднего меридиана и экватора, условия их изображения (размеры изображения экватора относительно среднего меридиана и полюсов, если они изображаются линиями).

Выбор картографических проекций осуществляется в два этапа: на первом устанавливается совокупность проекций (или их свойства), из которых целесообразно производить их выбор; на втором - определяют искомую проекцию.

Все факторы первой группы, как правило, должны быть заданными. Их учет предполагает, прежде всего, выбор таких проекций, в которых их центральные точки и центральные линии (вблизи них масштабы изменяются медленно) находятся в центре картографируемой территории, а центральные линии направлены, по возможности, по направлению наибольшего протяжения этих территорий.

Поэтому для многих карт выбирают:

цилиндрические проекции - для территорий, расположенных вблизи и симметрично относительно экватора, и вытянутых по долготе;

конические проекции - для таких же территорий, но несимметричных относительно экватора или расположенных в средних широтах;

азимутальные проекции - для изображения полярных областей;

поперечные и косые цилиндрические проекции - для изображения территорий, вытянутых вдоль меридианов или вертикалов;

поперечные или косые азимутальные проекции - для показа территорий, очертания которых близки к окружности и т.п.

Таким образом, учет факторов этой группы дает возможность предварительно установить совокупность проекций (или их свойств), из которой целесообразно определять искомую проекцию.

Вторая группа факторов является основной при решении поставленной задачи. Именно, исходя из условий этой группы, определяют относительную значимость факторов третьей группы: какие из них являются в конкретном случае наиболее существенными, а какие факторы можно не учитывать. При этом некоторые из требований, например, о желаемом характере искажений проекции, максимально допустимых их величинах, изображении полюсов, симметричности или асимметричности картографической сетки, раздельности меридианов и. параллелей, наличии перекрывающихся частей изображения и т. п. в определенных случаях подлежат безусловному учету. Это значит, что выбор проекции должен выполняться в данном случае только из совокупности проекций, в которой заданные требования полностью удовлетворяются, например, только из равновеликих проекций или только из проекций с ортогональной сеткой и т. п.

Таким образом, факторы, приобретающие в данном конкретном случае безусловную значимость, в дополнение к факторам первой группы, позволяют в основном решить первую часть задачи - установить совокупность проекций (или их свойств), из состава которой целесообразно определять искомую проекцию.

После выделения всех этих факторов, подлежащих обязательному учету, выполняется ранжирование (иерархия) всех прочих факторов, определяется относительная значимость каждого из них при выборе конкретной проекции.

Выбор картографических проекций может осуществляться в автоматическом режиме или традиционными методами, основанными на сравнительном анализе различных картографических проекций, которые могут быть использованы для создания конкретной карты.

При выборе проекций по второму способу, который в настоящее время пока имеет наибольшее распространение, сравнительный анализ картографических проекций осуществляется на основе учета влияния (в значительной мере субъективного) отдельных указанных выше факторов.

Как уже отмечалось, учет факторов первой группы позволяет установить совокупность проекций, из состава которой целесообразно определять искомую проекцию. Влияние на решение данной задачи этих факторов возрастает вместе с увеличением размеров изображаемых областей.

Для уменьшения величин искажений и обеспечения лучшего их распределения, особенно при картографировании крупных территорий, стремятся, кроме учета положения центральных точек и линий проекций и их соответствия географическому положению территории, добиться, чтобы изолинии совпадали со схематизированными очертаниями изображаемых областей.

Точно так же анализируется влияние назначения, содержания (специализации) карты, способа ее использования, анализа картографической информации (с использованием ЭВМ или без), формата издания и т. п. Такой анализ выполняется в каждом конкретном случае создания карты.

Например, при создании школьных карт для учеников среднего возраста стремятся, чтобы на рассматриваемых картах картографические сетки были симметричны относительно среднего меридиана и имели равноразделенные или близкие к ним меридианы и параллели при минимальной кривизне последних. Поскольку школьные карты не предназначены для выполнения по ним измерений, то не предъявляют строгих требований к характеру, величинам и распределению искажений. Желательно, чтобы при зрительном восприятии карты создавался эффект сферичности, а взаимное размещение изображения материков и океанов было традиционным и привычным; районы оконечности Азии располагались бы вблизи восточной рамки, а материки Америки - вблизи западной рамки.

Рассматривая вопрос о выборе проекций для карт, в которых основная картографическая информация отображена способом изолиний, следует иметь в виду назначение, специализацию карт, какие задачи по ним предполагается решать.

В частности, если предполагается выполнение измерений площадей, заключенных между изобарами, изотермами, изогонами и т. п., следует применять равновеликие или близкие к ним проекции. Если же необходимо определять градиенты различных явлений (магнитного склонения, солености воды и т. п.), выполнять интерполирование значений между изолиниями, необходимо применять равноугольные проекции, в которых частные масштабы длин не зависят от направлений.

В тех случаях, когда изображению подлежат крупные по площади области и, следовательно, искажения длин и площадей будут достигать значительных величин, пренебречь которыми невозможно, следует выбирать не те проекции, в которых искажения длин минимальны, а те, в которых проще учитывать влияние этих искажений.

При создании мелкомасштабных карт, предназначенных для зрительного восприятия, существенными факторами являются наиболее правильная передача относительности географического расположения территорий, вид картографической сетки, наличие эффекта сферичности и др.

. Влияние содержания карт на выбор проекций

Равновеликие проекции (близкие произвольные, с небольшими искажениями площадей) используют для составления карт климатических, геофизических, почвенных, геологических, геоботанических, зоогеографических, исторических, экономических, этнографических, административных. Отдельные климатические, геофизические и океанологические карты составляют в равноугольных проекциях. Это зависит от их назначения и способа пользования.

Равнопромежуточные (близкие к ним по искажению площадей и углов) проекции применяют для карт общегеографических, физических, гипсометрических, геоморфологических, тектонических, миграционных, политических.

3. Выбор проекций в зависимости от величины (охвата) территории

Карты мира.

К мировым относятся карты, изображающие всю земную поверхность или большую ее часть. Проекции для мировых карт принадлежат к классам произвольных и равновеликих по характеру искажений.

Редко используется равноугольная цилиндрическая проекция Меркатора. По виду сетки - это прежде всего поликонические, псевдоцилиндрические и цилиндрические. Цилиндрические проекции, чтобы уменьшить искажения в высоких широтах, строят на секущем цилиндре. Главные масштабы у них сохраняются по параллелям ± 30°.

Различают карты с линейным размещением материков вдоль прямолинейного экватора, с центральным размещением материков вокруг северного полюса и карты промежуточного типа между линейным и центральным размещением материков.

Наиболее часто применяемые карты с линейным размещением материков составляются в нормальных произвольных поликонических проекциях ЦНИИГАиК (варианты 1939, 1950 гг., БСЭ, ФГАМ).

Для мировых карт с центральным расположением материков применяют косые равнопромежуточные азимутальные проекции, а для физико-географических - псевдоазимутальную проекцию ЦНИИГАиК.

Псевдоцилиндрические синусоидальные равновеликие проекции Каврайского или Урмаева применяют только тогда, когда нужно сохранять равновеликость площадей.

Карты полушарий. Для карт западного и восточного полушарий применяют поперечную равновеликую азимутальную проекцию Ламберта; для карт северного и южного полушарий - нормальную равно-промежуточную по меридианам азимутальную проекцию Постеля; для карт материкового и океанического полушарий - косую равновеликую азимутальную проекцию Ламберта.

Карты материков (их крупных частей), океанов. Для всех карт материков (кроме Азии и Евразии), расположенных между экватором и полюсами, применяют косую равновеликую азимутальную проекцию Ламберта; для материка Африки (на экваторе) - поперечную равновеликую азимутальную проекцию Ламберта; для карт Арктики и Антарктики - нормальную (прямую) равнопромежуточную по меридианам азимутальную проекцию Постеля; для океанологических карт Арктики и Антарктики - прямую равноугольную (стереографическую) азимутальную проекцию.

Карты Азии в настоящее время, как правило, составляют в равновеликой проекции, полученной аффинным преобразованием исходной - косой, равновеликой азимутальной проекции Ламберта. Карты Евразии составляют в произвольной проекции ЦНИИГАиК, полученной аппроксимацией эскиза сетки степенными полиномами двух переменных - широты и долготы. Такая же проекция применяется для карт с совместным изображением на одной карте Северной и Южной Америки.

Картографические проекции для карт СНГ, его частей и для карт зарубежных государств. Учитывая размеры территории СНГ (протяженность территории по долготе в два раза больше, чем по широте) и ее конфигурацию, карты всей территории СНГ составляют в нормальных конических проекциях с двумя стандартными параллелями, отличающихся простотой сетки, приемлемым и доступным распределением искажений по картографируемой территории. К ним относятся нормальные равнопромежуточные по меридианам конические проекции В.В. Каврайского и Ф.Н. Красовского. Карты крупных частей СНГ, республик, краев, областей, так же как карты зарубежных государств и областей аналогичного размера территории, строят в нормальных равноугольных или равнопромежуточных конических проекциях с двумя стандартными параллелями. При этом учитывают конфигурацию территории и расположение ее на Земном шаре. Так, для обзорных и административных карт областей и районов России, зарубежных государств, имеющих протяженность по долготе не более 9°, применяют равноугольную цилиндрическую проекцию К. Гаусса. Если размеры территории по долготе больше, чем по широте, и она расположена не только в средних, но и в высоких и низких широтах, то следует выбирать нормальную равноугольную проекцию. Лишь для территорий, вытянутых вдоль экватора в пределах пояса по широте ± 10°, применяют нормальную равноугольную цилиндрическую проекцию Меркатора. Когда протяженность территории по широте больше 20-25°, а по долготе от 10-20° (Красноярский край), то следует применять равноугольную поперечно-цилиндрическую проекцию Меркатора.

. Влияние дополнительных требований, обусловленных местом данной карты в составе системы карт

Особенности содержания отдельных карт, входящих в состав системы, требуют варьирования масштабами карт, использования особых, наиболее подходящих видов компоновки изображения, применения проекций, обладающих специфическими свойствами и т. д. При выборе проекций для карт, входящих в систему, приходится заботиться не только об удовлетворении требований, предъявляемых к каждой карте в отдельности, но и об удобстве сопоставления содержания различных карт системы и совместной работе с ними. Не всегда это удаётся. Согласование тем сложнее, чем крупнее картографируемые объекты, разнообразнее и богаче их содержание.

В зависимости от конкретных условий при выборе проекций для комплексов карт принимают либо одну, либо несколько проекций и видов компоновки.

В первом случае отдают предпочтение такой проекции, которая по совокупности признаков в наибольшей степени удовлетворяет основным требованиям, предъявляемым к группе карт данного комплекса. В качестве общих для широкого круга карт скорее подходят проекции со средними показателями по признаку искажений, с равноразделенными параллелями и средним меридианом, с симметричными относительно экватора сетками и т.д.

Второй случай, когда математическая основа для группы карт более разнообразная, причем отличные от типовых решений требуются только для одной или двух карт. Иногда целесообразно карты комплекса разделять на две группы в зависимости от того, что для отдельных карт важнее: сохранение умеренными искажений всех видов или полное устранение искажений площадей, или углов, как необходимое условие для удобных измерений.

В ходе проведенных исследований можно сделать вывод, что карты Южной Америки можно выполнить в следующих проекциях:Косая азимутальная проекция ЦНИИГАиК (с небольшими искажениями площадей) и косая азимутальная равновеликая проекция Ламберта.

Данные проекции были выбраны из Атласа картографических проекций, «Труды ЦНИИГАиК выпуск 110»

. Описание выбранных проекций

Косая азимутальная проекция ЦНИИГАиК (с небольшими искажениями площадей).

. На карте Южной Америки нет искажений всех видов в центральной точке с координатами φo=-20° и λ 0=-60°.

2.Постоянная проекции k=3.

.По характеру искажений проекция относится ко второй группе. В пределах изображения Южной Америки значения (p-1) изменяются от 0% в центральной точке до 5% , на периферии, и значения ω соответственно - от 0 до 5°.

. Проекцию целесообразно применять для таких карт Южной Америки, на которых желательно немного улучшить изображение очертаний по сравнению с азимутальной равновеликой проекцией

Величины искажений: Наибольшее искажение длин и площадей 5% в углах 5°.

Изоколы масштаба площадей

Рисунок 1. Эскиз косой азимутальной проекции ЦНИИГАиК (с небольшими искажениями площадей)

Косая азимутальная равновеликая проекция Ламберта.

. По характеру искажений проекция относится к первой группе. В пределах изображения Южной Америки значения w изменяются от 0° в центральной точке до 5° на периферии.

. Проекцию рекомендуется применять для карт Южной Америки в качестве основной.

Величины искажений: Наибольшие искажения длин и площадей в углах 5°.

Изоколы наибольших искажений углов

Рисунок 2. Эскиз косой азимутальной равновеликой проекции Ламберта.

Исходя из всего выше приведенного можно сделать вывод, что для экономической карты Южной Америки удобнее будет применить косую азимутальную равновеликую проекцию Ламберта. В этой проекции искажения в углах будут минимальными, нежели в других азимутальных проекциях. Общая модель искажения проекции - радиальная. Благодаря своим свойствам, косая азимутальная равновеликая проекция Ламберта широко применяется для карт, на которых нужно правильно передать не только площади территорий, но и очертания этих территорий, в частности для экономических карт на которых необходима точная передача площадей государств. Эта проекция может справиться с большими площадями и территориями вытянутыми по меридианам, поэтому ее можно использовать для карт Южной Америки.

. Описание выбранного варианта проекции

В данной проекции углы минимально искажены, меньше чем на 2%, в радиусе 15% от выделенной точки. За этими пределами искажение углов более значительно, малые формы сжаты по направлению к центру и вытянуты в направлении, перпендикулярном радиусам.

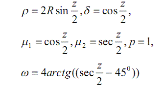
Для расчета этой проекции используют следующие формулы.

- Радиус земного шара; Z - Зенитное расстояние;  - Полярные координаты точек проекции (полярный угол и полярный радиус параллели или альмукантарата); p - Частный масштаб площадей; w - наибольшее искажение углов; - частные масштабы длин по вертикалам и альмукантаратам в косых и поперечных проекциях.

Таблица координат (в см) для построения картографической сетки для карты Южной Америки. Карту смотреть на странице

Λ


0

10

20

30


-55

x y

0  0

-0,071 1,664

-0,214 3,301

-0,357 4,88

x y

-50

x y

1,332 0

1,257 1,842

1,102 3,655

0,938 5,41

x y

-40

x y

4,041 0

3,961 2,154

3,792 4,279

3,603 6,345

x y

-30

x y

6,792 0

6,711 2,408

6,54 4,788

6,347 7,111

x y

Тропик

x y

8,61 0

8,531 2,543

8,293 5,059

7,893 7,52

x y

-20

x y

9,564 0

9,486 2,604

9,323 5,181

9,144 7,704

x y

-10

x y

12,336 0

12,264 2,74

12,118 5,454

11,969 8,119

x y

0

x y

15,087 0

14,902 5,606

14,796 8,35

x y

10

x y

17,796 0

17,742 2,826

17,653 5,631

17,6 8,891

x y

15

x y

19,128 0

19,08 2,807

19,009 5,594

18,986 8,337

x y


Список литературы

1. Труды ЦНИИГАиК выпуск 110, 97

. Бугаевский Л.М. Математическая картография 1998.

. Топчилов М.А. Определение проекций карт в атласах. Выбор проекции для конкретной карты: Методические указания 1985.

. Запорожченко А.В. Картографические проекции и методика их выбора для создания карт различных типов. 2007.

картографический проекция ламберт

Приложение 1. Экономическая карта Южной Америки

Похожие работы на - Картографические проекции

 

Не нашли материал для своей работы?
Поможем написать уникальную работу
Без плагиата!
Без нейросетей!