Определение свойств картографических проекций по их уравнениям
МИНИСТЕРСТВО
СЕЛЬСКОГО ХОЗЯЙСТВА И ПРОДОВОЛЬСТВИЯ РЕСПУБЛИКИ БЕЛАРУСЬ
БЕЛОРУССКАЯ
ГОСУДАРСТВЕННАЯ СЕЛЬСКОХОЗЯЙСТВЕННАЯ АКАДЕМИЯ
Кафедра
геодезии и фотограмметрии
Лабораторная
работа № 1
Определение
свойств картографических проекций по их уравнениям
Выполнила: ст.4к.2 гр.
Кононова Е.И.
Проверила: Ларионова Е.В.
Горки 2015
Цель работы: усвоение положений общей теории картографических проекций,
которые являются основополагающими при изучении раздела "Математическая
картография"
Исходные данные: Картографическая проекция задана уравнениями:
картографическая проекция масштаб
длина
По заданным уравнениям
картографической проекции определить:
ортогональность картографической
сетки;
частные масштабы длин m, n, a, b, масштаб площадей р, максимальное
искажение углов ω;
группу проекций по характеру
искажений, к которой относится заданная проекция;
вид картографической сетки.
Математическая зависимость между
координатами точек земной поверхности и плоскими прямоугольными координатами
этой точки на плоскости может быть выражена следующей формулами:
Y=f2
,
Где х, у - плоские
прямоугольные координаты на кате;

- географические
координаты этой точки на шаре или эллипсоиде.
Функции f1, f2
- конечные, непрерывные для изображаемой области, свойства проекции зависят от
вида этих функций.
Последовательность
выполнения задания рассмотрим на конкретном примере. Пример. Картографическая
проекция задана уравнениями:
Сначала определим
частные производные

; 


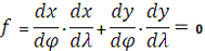
Найдем коэффициенты
Гауса:

1. Определение
ортогональной плоскости картографической сетки
Сетка проекции является
ортогональной, так как коэффициент Гаусса f=0.
2. Вычисление
частных масштабов длин m, n, a, b, масштаба площади р, максимального искажения ω
Частный масштаб длин вдоль
меридианов определяется выражением

Поскольку сетка проекции
ортогональна, то главные направления совпадают с меридианами и параллелями а
экстремальные масштабы длин a и b совпадают с масштабами длин m и n. В данном случае: если m>n, то a=m и b=n
Если m<n, то a=n, т.е. 
, то а=n=
, и b=m=
Частный масштаб площадей
рассчитывается по формуле:
Максимальное искажение
углов ω находим по одной из формул:
3. Определение
группы проекций по характеру искажений
Все проекции по характеру искажений
делятся на три группы равноугольные, равновеликие и произвольные. Т.к.
выполняется условие: f=0, m≠n, то картографическая проекция не является равноугольной.
Т.к. p≠cons’t, то картографическая проекция
является не является равновеликой.
Из этого следует, что проекция
произвольная, где присутствуют искажения в разных видах.
4. Определение вида
картографической сетки.
Из общей теории картографических
проекций известно, что
F1 (x, y, φ) =0 - уравнение
параллелей;
F2 (x, y,λ) =0 - уравнение
меридианов, поэтому для получения уравнения параллелей из данных уравнений
проекции необходимо исключить долготу λ, а для получения уравнения меридианов - широту φ.
В нашем случае уравнение x=R φsin λ является уравнением
параллелей, поскольку х является функцией одного аргумента - широты.
Последнее уравнение является
уравнением меридиана и в то же время уравнением синусоиды. Для построения
эскиза сетки необходимо определить вид географического полюса в проекции.
Географический полюс Р в проекции
может изображаться:
в виде точки
в виде прямой линии
В данном случае полюс в проекции не
будет изображаться вовсе.
Вывод: По заданным уравнениям картографической проекции мною было
определено следующее: сетка ортогональна (коэффициент Гауса равен 0), масштабы
длин m и b совпадают с масштабами длин m и n, картографическая проекция
произвольна, где присутствуют искажения в разных видах.