Обеспечение качества дорожно-строительной продукции

  • Вид работы:
    Курсовая работа (т)
  • Предмет:
    Другое
  • Язык:
    Русский
    ,
    Формат файла:
    MS Word
    116,68 Кб
  • Опубликовано:
    2013-07-28
Вы можете узнать стоимость помощи в написании студенческой работы.
Помощь в написании работы, которую точно примут!

Обеспечение качества дорожно-строительной продукции

Содержание

 

Введение

Глава I. Системный подход в обеспечении качества продукции

Глава II. Теоретические положения обеспечения качества в дорожном строительстве

Глава III. Значение технологических процессов в обеспечении качества продукции

Глава IV. Техническое и организационное обеспечение качества продукции

Заключение

Список использованной литературы

Введение

В рыночной экономике проблема качества является важнейшим фактором повышения уровня жизни, экономической, социальной и экологической безопасности. Качество - комплексное понятие, характеризующее эффективность всех сторон деятельности: разработка стратегии, организация производства, маркетинг и др. Важнейшей составляющей всей системы качества является качество продукции. В современной литературе и практике существуют различные трактовки понятия качество. Международная организация по стандартизации определяет качество (стандарт ИСО-8402) как совокупность свойств и характеристик продукции или услуги, которые придают им способность удовлетворять обусловленные или предполагаемые потребности. Этот стандарт ввел такие понятия, как "обеспечение качества", "управление качеством", "спираль качества".

В рыночной экономике огромное внимание уделяется проблемам качества, обусловленное наличием конкурентной среды. По методам осуществления конкуренция делится на ценовую (вытеснение конкурентов путем снижения, сбивания цены) и неценовую, при которой та же цена предлагается за товар с более высокими качественными параметрами и комплексом услуг, что означает в терминах маркетинга "товар с сопровождением", т.к. только качество может привлечь потребителя.

В данной работе рассматриваются особенности обеспечения качества дорожно-строительной продукции. Проблеме качества в автодорожном строительстве присуще комплексное понимание, поэтому основополагающим в обеспечении качества дорожно-строительной продукции выступает системный подход, рассматриваемый в ходе работы.

Глава I. Системный подход в обеспечении качества продукции


Под обеспечением качества продукции нужно понимать становление и реализацию совокупности технических, организационных и технологических мероприятий на производстве с целью обеспечения установленного уровня качества продукции. Многообразие факторов, влияющих на качество строительной продукции и сложность взаимодействия между ними, требуют системного подхода как при решении проблемы управления качеством продукции в дорожном строительстве вообще, так и при обеспечении установленного уровня качества в частности. Наиболее эффективным и перспективным решением проблем управления в народном хозяйстве является системный подход. Под системным подходом понимают комплексное изучение рассматриваемой проблемы как единого целого с учетом структуры, взаимоотношений, взаимосвязей и взаимодействия составных частей, выявление роли каждой из этих частей.

Как известно, системный подход - это метод научного исследования. Он сформировался как новое, широкое методологическое направление исследований в области планирования и управления народным хозяйством, производственных отношений и организации производства.

Основной принцип системного подхода к обеспечению качества дорожно-строительной продукции - уровень его качества должен быть заложен в проекте будущей дороги, и его необходимо достигнуть при помощи комплекса производственно-технологических и организационных мероприятий, являющихся компонентами дорожного строительства.

При внешних очень высоких требованиях к качеству автомобильных дорог нужна не случайно сложившаяся, а рациональная, заранее разработанная система обеспечения качества. Основные элементы системы обеспечения качества - рабочие, машины, материалы и информация, взаимосвязанные между собой и входящие в более сложные системы мак составные части. Каждый из этих элементов системы можно рассматривать как систему более низкого порядка.

Весьма важную роль в достижении установленного уровня Качества продукции играют машины и информация. При помощи машин выполняется подавляющее количество операций поэтому от точности и ритмичности их работы зависят слагаемые качества готовой продукции.

Информация позволяет руководителям определять, достиг, нута ли поставленная цель, т.е. заданный уровень качества как отдельных структурных элементов, например, земляного полотна, так и дороги в целом.

Проблема обеспечения качества относится к числу сложных и трудных, так как нужно найти рациональные способы объединения усилий большого числа исполнителей оптимального использования многих видов машин и оперативного применения большого объема информации. Поэтому необходимо обеспечить координированное взаимодействие выше указанных элементов, весьма важно, чтобы система обеспечения качеством была стабильной во времени. Для достижения стабильности процесса управления качеством необходимо использовать математические модели.

К важнейшим положениям системы обеспечения качества дорожно-строительной продукции относятся следующие:

.        эта система является частью общей системы управления качеством дорожного строительства и охватывает все фазы производственного процесса;

2.      эталоном качества дорожного сооружения - высший научно-технический уровень, однако при этом должна достигаться экономическая эффективность. Высшие мировые уровни качества могут быть реализованы только на отдельных участках дорог, но не в массовом порядке, так как высокая стоимость строительства не позволила бы достичь максимальной экономической эффективности;

.        все меры по обеспечению качества продукции действуют в рамках замкнутой системы, обеспечивающей непрерывность потока строительства дороги. В различных фазах строительства эти меры должны быть согласованы друг с другом и действовать непрерывно;

.        эффективность мер по обеспечению качества достигается координированным применением моральных и материальных поощрений;

.        каждый работник, участвующий непосредственно или косвенно в строительстве дорог, несет полную ответственность за выполненную им работу. Информация об ее качестве должна передаваться ему в кратчайшие сроки.

Реализация комплекса мероприятий по обеспечению качества продукции должна быть направлена на достижение заранее установленного уровня качества продукции. При этом должны быть известны: номенклатура показателей качества, объем, методы и место измерений показателей качества, порядок проведения измерений и их обработки, допускаемые отклонения, при превышении которых вводятся коррективы.

В общем комплексе мероприятий по обеспечению качеством различают:

) материальное обеспечение - приобретение и использование дорожно-строительных материалов, сборных элементов, сырья, вспомогательных материалов и т.п., отвечающих требованиям проекта и стандартов;

) техническое обеспечение - приобретение, монтаж, пуск и наладка эффективных с точки зрения повышения качества продукции дорожно-строительных машин и технологического оборудования камнедробильных, цементобетонных, асфальтобетонных и других необходимых заводов, битумных и эмульсионных баз и т.п.;

) технологическое обеспечение - обслуживание технологического процесса, оценка точности и стабильности технологического процесса и определение его возможностей;

) контроль качества сырья, исходных дорожно-строительных материалов, полуфабрикатов и готовой продукции, а также параметров технологического процесса и элементов сооружений;

) организационное обеспечение качества - составление плана и реализация мероприятий с целью повышения эффективности системы управления качеством, в частности подготовка кадров, повышение их квалификации, обеспечение нормативно-технической документацией, организация смотров, конкурсов, конференций по качеству, аттестация качества продукции и т.д.;

) информационное обеспечение повышения качества - мероприятия по сбору и анализу данных о качестве, составления банка данных о качестве, оценки экономической эффективности и аттестации качества продукции и др.;

) метрологическое обеспечение - организация и проведение работ по обеспечению необходимой и достаточно достоверной измерительной информации при проектировании и контроле качества выпускаемой продукции;

) правовое обеспечение - осуществление мероприятий по правовому регулированию выпуска нормативной документации и установлению взаимоотношений между заказчиком и подрядчиком в соответствии с действующим законодательством по рассматриваемому вопросу.

Значимость этих мероприятий по обеспечению установленного уровня качества продукции неодинакова. Наибольшее влияние на повышение уровня качества оказывают качество материалов, технологическое оборудование и контроль этого качества.

Однако при неизменном существующем материальном и техническом ' обеспечении дорожно-строительного производства заметный вклад в повышение качества вносят организационное и информационное обеспечение качества.

Глава II. Теоретические положения обеспечения качества в дорожном строительстве


Автомобильная дорога относится к сложной, многокомпонентной продукции, получаемой в результате многоэтапного дорожно-строительного производства. В ее состав входят отдельные дорожные сооружения - земляное полотно, дорожная одежда, мосты, трубы, элементы обустройства дороги, специальные сооружения и др. Каждое из этих сооружений можно рассматривать как самостоятельный вид продукции, полученный на отдельном этапе дорожного строительства. В связи с этим уровень качества автомобильной дороги является функцией качества ее элементов - дорожных сооружений.

Наибольшее влияние на уровень качества автомобильной дороги оказывают дорожная одежда и земляное полотно.

Дорожная одежда - это одно из наиболее ответственных дорожных сооружений и один из наиболее дорогих видов продукции дорожно-строительного производства. Многослойные современные дорожные одежды устраивают, изготовляя, транспортируя, укладывая и уплотняя различные материалы - песок, щебень, гравий, шлак, а также цементобетонные, асфальтобетонные, дегтебетонные и другие смеси. Как известно, изготовление или переработка таких материалов и смесей производятся на стационарных или передвижных камнедробильных, цементобетонных, асфальтобетонных и других заводах и носит промышленный характер. Укладывают и уплотняют дорожно-строительные материалы и смеси мощными и производительными машинами, что также служит признаком промышленного производства, хотя и со специфическими особенностями.

В сущности, изготовление материалов и смесей на заводе, их транспортирование на строящуюся дорогу и устройство из них конструктивного слоя - это единый технологический процесс, в результате которого на данном этапе получают готовую продукцию - дорожную одежду, верхнюю часть проезжей части автомобильной дороги. Как известно, как при проектировании, так и при строительстве преследуется цель достигнуть не только требуемый уровень качества при сдаче дороги в эксплуатацию, но и обеспечить требуемый уровень ее надежности.

Надежность - это один из основных показателей качества автомобильной дороги, проявляющийся во времени и отражающий изменения, происходящие в дороге на протяжении всего времени ее эксплуатации.

В общем случае под надежностью понимают свойство системы выполнять заданные ей функции в конкретных условия эксплуатации в течение заданного времени (см. ГОСТ 13377-75). Прекращение выполнения хотя бы одной из функций называется отказом. Так, применительно к дорожной одежде (покрытию) надежность следует понимать как вероятность того, что она будет выдерживать воздействия нагрузок автомобилей и климатических факторов в заданных условиях в течение межремонтного срока службы. Отказ применительно к дорожной одежде - это событие, заключающееся в появлении в нем разрушений и деформаций, снижающих среднюю оптимальную скорость движения автомобилей. Таким образом, надежность дорожной одежды можно рассматривать как свойство обеспечения ее качества во времени.

На появление отказа влияют внешние и внутренние факторы. К внешним можно отнести различные воздействия автомобильных нагрузок и климатических факторов, к внутренним - особенности структуры и свойств рассматриваемого сооружения. Так как внешние и внутренние факторы и их сочетания носят случайный характер, то надежность дорожного сооружения - это вероятностная характеристика, а отказ - случайное событие.

Как видно, качество конечной дорожно-строительной продукции необходимо рассматривать, в первую очередь, с точки зрения ее надежности, причем важнейшим ее показателем является долговечность. В задачи определения надежности входят:

.        определение надежности дорожного сооружения по известной надежности ее элементов (отдельных слоев основания и покрытия);

2.      определение принципов подбора структуры материала и конструкции сооружения, обладающих заданной надежностью;

.        обоснование методов определения отказов контроля качества и испытаний, обеспечивающих управление качеством и в Частности надежностью сооружения.

Проблема обеспечения надежности дорожного сооружения - комплексная, так как уровень показателей его надежности зависит не только от конструктивных (проектных) решений, но и от технологического исполнения и соответствующих эксплуатационных мероприятий.

С учетом вышеизложенных задач надежность дорожно-строительной продукции необходимо рассматривать в трех аспектах надежность продукции, обусловливаемая качеством проектных решений; надежность, обусловливаемая качеством применяемых материалов и совершенством технологического провеса; надежность продукции, обусловливаемая условиями эксплуатации при некотором начальном уровне качества.

Надежность продукции закладывается при проектировании строительстве и реализуется при эксплуатации (рис.1).

Рис. 1. Уровни надежности дорожного сооружения на трех его стадиях

В зависимости от назначения автомобильной дороги в проекте устанавливают такой уровень надежности, который обеспечил бы требуемую долговечность сооружения до истечения межремонтных сроков. Проектный уровень надежности назначается исходя из значимости автомобильной дороги, перспективной интенсивности и состава движения, а также с учетом местных климатических условий, свойств применяемых материалов, грунтовых и гидрологических условий и т.д. Заложенный в проекте уровень надежности должен быть оптимальным по отношению к данной категории дороги. Попытки установить более высокий, чем требуется по категории дороги и климатическим условиям, уровень надежности приведут к повышению строительных затрат и, следовательно, к снижению экономической эффективности. К аналогичному результату можно прийти при недостаточно высокой проектной надежности, когда заметно сокращаются сроки службы сооружения и повышаются расходы на его содержание, ремонт и восстановление.

Таким образом, проектный уровень надежности - есть уровень потенциальной надежности, который следует обеспечить в реальных условиях дорожного строительства.

Проектный уровень надежности Нпр - первый этап реализации замысла проектировщика. Подбор материалов, составов смесей, определение требований и их качеству, расчет конструкции, обоснование параметров технологических операций я процессов - все это должно приблизить проектный уровень надежности к требуемому уровню Нтр. Последний, как известно, устанавливается на основе расчетов, опыта строительства и эксплуатации данного типа сооружения, а также на основе интуиции проектировщика.

Проектный уровень надежности может полностью соответствовать требуемому (оптимальному) уровню надежности Нтр, быть выше или ниже его на величину ЛПр. Эта величина представляет собой смещение проектного уровня качества и надежности по отношению к требуемому из-за: систематических погрешностей оценки качества исходных материалов; неточного определения фактической и перспективной интенсивности и состава движения; недоучета особенностей данной конструкции применительно к условиям воздействия транспортных нагрузок и климатических факторов и др.

Таким образом, смещение проектного уровня надежности по отношению к требуемому может повлиять на эксплуатационное поведение сооружения после реализации проекта. При этом будут изменяться и долговечность сооружения, интенсивность отказов и т.п.

На этапе строительства дорожного сооружения проектная надежность реализуется в условиях производства, где проявляется влияние производственно-технологических факторов. Итоговым результатом их воздействий служат смещения фактического (технологического) уровня качества готовой продукции по отношению к проектному на величину Лпт (производственно-технологическое смещение). Поскольку в реальных условиях строительства чаще проявляются отрицательные, чем положительные факторы, величина Лпт будет направлена в сторону снижения надежности до выходного уровня, равного технологическому уровню Япт.

Скачкообразное падение выходного уровня надежности сооружения объясняется воздействием на условия формирования качества различных производственно-технологических факторов, приводящих к систематическим и случайным погрешностям. Потери надежности Апт происходят за счет:

) изменения свойств продукции при ее изготовлении (технологические потери);

) допущенных отклонений свойств при изготовлении материалов и смесей и их укладке, в частности, за счет поставки исходных материалов с несколько иными свойствами, чем требуется;

качество дорожная строительная продукция

3) изменчивости темпов изготовления сборных элементов и материалов и их укладки, а также влияния климатических условий во время строительства дороги и т.п. (производственные потери).

Снижение качества из-за отклонений в технологии и организации строительства дороги изменяет уровень надежности в неодинаковой мере. В одних случаях систематические погрешности технологии могут быть незначительными, и выходная величина надежности оказывается близкой к проектной Япр (рис.2, а); в других случаях понижение выходного уровня надежности может быть весьма ощутимым, если грубо нарушается технология и допускаются отступления от проекта (рис.2, б).

Рис.2. Диаграмма снижения надежности дорожного сооружения в ходе проектирования, строительства и эксплуатации

Наиболее неблагоприятно такое сочетание изменения уровня надежности, в котором при проектировании и строительстве Дпр и Апт направлены в сторону снижения. После завершения строительства сооружения, при его сдаче в эксплуатацию, выходной уровень надежности становится входным уровнем эксплуатационной надежности Нэ в координате времени О'. В любой момент времени t эксплуатационный уровень надежности Нэ будет ниже входного на величину Дэ По мере приближения уровня Нэ к предельному уровню надежности в сооружении появляются отказы, и срок его службы исчерпывается. Пересечение кривой падения надежности Нэ с прямой предельной надежности определяет фактический срок службы сооружения (см. рис.2, б). Потери Аэ (/) эксплуатационной надежности, т.е. падение кривой Нэ во время эксплуатации, обусловливаются величинами АпР и Апт и характеризуются весьма сложной их зависимостью. Как видно из рис.2, при отсутствии снижения качества в ходе проектирования и из-за нарушения технологии, т.е. при Апр = 0 и Апт=0, кривая эксплуатационной надежности понижается во времени с меньшим уклоном, чем при наличии потерь АПр и Апт. Следовательно, чем меньше потери за счет проекта и технологии, тем выше входной уровень эксплуатационной надежности и тем медленнее расходуется этот запас при эксплуатации сооружения. И, наоборот, большие потери АПР и Апт приводят к быстрому расходованию эксплуатационной надежности во времени, и долговечность дорожного сооружения резко сокращается. Как известно, готовое земляное полотно, дорожную одежду или другой элемент дороги получают в результате многих технологических операций, поэтому формирование; его качества происходит не мгновенно, а по мере протекания технологического процесса во времени. При формировании качества продукции, в частности дорожного асфальтобетона, исходные материалы, оказавшись в технологическом процессе, приобретают новые свойства в результате взаимоконтактирования, воздействия температуры, транспортирования, механических нагрузок и т.п. Получаемый новый материал - асфальтобетон - по своим свойствам, и с точки зрения выполнения требуемых функций, превосходит любой из исходных компонентов, входящих в его состав.

Глава III. Значение технологических процессов в обеспечении качества продукции


Отклонения параметров технологического процесса устройства хотя бы одного из элементов сооружения, например слоев дорожной одежды, могут значительно сократить сроки его службы. В проектных решениях обычно ориентируются на некоторый оптимальный уровень надежности сооружения, которому соответствует некоторый средний уровень качества и надежности технологического процесса. В результате существенных отклонений в технологии строительства в дорожном сооружении преждевременно образуются разрушения и деформации.

Как качество в целом, так и надежность, в частности, дорожных одежд могут резко меняться при колебаниях даже в пределах допусков состава смесей и свойств исходных материалов. Таким образом, реальные условия работы дорожной одежды в значительной степени определяются технологией изготовления смесей и их укладки и могут резко отличаться от тех, которые были сформированы проектировщиком на основе идеализированной схемы.

В силу сказанного технологический аспект рассмотрения проблемы качества дорожных сооружений выдвигается в число главных. Сами понятия качества и надежности должны рассматриваться не статически, а в динамике. Технологический процесс изготовления материалов, бетонов, смесей и их укладки и уплотнения должен проектироваться и оцениваться с учётом этого важного обстоятельства.

При таком подходе к проблеме качества придется отказываться от мнения, что качества продукции создаются лишь в финишных операциях, например, при удачном смешении или уплотнении смеси. Понятие "технологический процесс" должно включать в себя всю последовательность операций, начиная момента оценки качества грунта или материала в карьере и кончая приданием конструктивному элементу дороги желаемых размеров и качеств. Исходные материалы - песок, щебень, минеральный порошок, битум, цемент, известь за технологический процесс проходят через ряд состояний, характеризуемых геометрическими и физическими параметрами. Любая технологическая операция приводит к изменению этих параметров.

Чем выше точность и стабильность технологических операций, тем выше надежность всего технологического процесса тем меньше различия в показателях качества изготавливаемой продукции.

Понятие "технологическая надежность", или "надежность технологического процесса", еще не имеет окончательного определения, таю как лишь в последнее время им стали заниматься всерьез. До сих пор отсутствуют и какие-либо методы определения показателей, характеризующих надежность технологического процесса. Между тем такие показатели способствовали бы улучшению проектирования технологических процессов и более эффективной технологической подготовке строительства дорожных одежд земляного полотна, мостов и других сооружений.

Применительно к дорожному покрытию мерой надежности его устройства является вероятность поддержания показателей качества заданной величины в течение всего строительного сезона. Таким образом, под надежностью технологического процесса нужно понимать свойство технологического процесса обеспечивать выпуск качественной продукции, т.е. устройства дорожного покрытия в течение заданного времени в заданном объеме.

В общем случае при наличии требуемых материалов для реализации технологического процесса нужны два элемента:

.        средства технологического оснащения - технологическое оборудование, инструменты, приборы;

2.      исполнители - операторы, рабочие, техники, выполняющие отдельные технологические операции.

На качество и надежность изготавливаемой продукции влияют каждый из этих элементов технологического процесса.

При исследовании надежности технологического процесса строительства отдельных элементов дороги целесообразно использовать системный подход, позволяющий учитывать весь комплекс факторов, влияющих на качество. К этим факторам можно отнести:

·        качество исходных материалов (щебня, песка, минерального порошка, битума, цемента и др.);

·        надежность технологического оборудования, предназначенного для изготовления, укладки и уплотнения материалов и смесей (укладчиков, уплотняющих машин и др.);

·        точность технологических операций (транспортирования, нагревания, грохочения, дозировки, перемешивания, хранения и т.д.);

·        качество и производительность труда исполнителей (операторов смесителей и укладчиков, машинистов уплотняющих катков, техников и мастеров, вспомогательных рабочих и др.);

·        достоверность результатов контроля качества исходных материалов, полуфабрикатов и готовой продукции.

Параметры технологического процесса изготовления дорожно-строительной продукции можно рассматривать с позиций качества и производительности.

Надежность процесса, по качеству продукции - это свойство технологического процесса обеспечивать выпуск дорожно-строительной продукции с заданным уровнем качества в течение заданного времени. Надежность по производительности - свойство технологического процесса сохранять производительность выпуска продукции в течение заданного времени на заданном уровне качества. В связи с тем, что на качество и производительность влияют все вышеназванные факторы, они в общем случае являются взаимозависимыми.

Очень важно четко определить характеристики надежности технологического процесса применительно к особенностям дорожного строительства.

Отказ технологического процесса заключается в нарушении его нормального хода и в выпуске продукции (цементобетона, асфальтобетона) низкого качества (отказ по параметрам качества), или в резком снижении производительности, или в полном срыве производства (отказ по производительности). Безотказность технологического процесса дорожного строительства следует понимать как свойство непрерывно сохранять заданный уровень качества продукции или заданную производительность в течение некоторого времени.

Ремонтопригодность технологического процесса также оценивается по параметрам качества и производительности. Она заключается в способности технологического оборудования цементобетонного, асфальтобетонного или камнедробильного заводов и режимов технологических процессов предупреждать и обнаруживать причины отказов и устранять их последствия путем технологического обслуживания и ремонта. Время, необходимое для поиска причины отказа, обнаружения и устранения его последствий, называется временем восстановления. Это вероятностная характеристика случайной величины, являющаяся показателем ремонтопригодности технологического процесса изготовления цементобетона, асфальтобетона, щебня и другой продукции.

Безотказность и ремонтопригодность технологического процесса изготовления продукции необходимо рассматривать одновременно, что позволяет комплексно оценивать его надежность.

Технологический процесс как изготовления материалов, так и устройства слоев одежд по любой схеме состоит из ряда технологических операций. Взаимосвязь технологических операций и последовательность их выполнения составляют структуру технологического процесса. Поэтому надежность технологического процесса в целом определяется надежностью входящих в него операций и структуры процесса. Необходимо различать безотказность технологических операций по производительности и по качеству.

Безотказность технологической операции по производительности определяемся надежностью технологического оборудования или качеством (точностью) и производительностью труда исполнителей (операторов, рабочих). Безотказность технологической операции по качеству определяется качеством данной операции, безотказностью технологического оборудования и точностью работы исполнителей.

Под качеством операции нужно понимать не только точность, но и стабильность ее выполнения.

Глава IV. Техническое и организационное обеспечение качества продукции


Обеспечение качества продукции в дорожном строительстве неразрывно связано с техническим обеспечением выполнения плановых заданий. В строительстве дорог требуемый уровень качества продукции может быть достигнут в том случае, если технологические процессы выполняются машинами и механизмами с высокой производительностью, точностью и стабильностью. При недостаточной производительности используемых механизмов и машин трудно сосредоточить внимание производителей работ на обеспечении качества продукции. Неукомплектованность машинами дорожно-строительного потока прежде всего сказывается на качестве выполнения работ.

При интенсивной и непрерывной работе комплекта катков, следующих за асфальтоукладчиком, качество обеспечивается самим потоком, а текущий контроль может внести лишь небольшие корректировки.

Основные направления развития технологического оборудования. Наибольшее влияние на качество готовой продукции оказывает уровень совершенства технологического оборудования и машин. Среди различных характеристик машин и механизмов важнейшими следует считать точность выполнения отдельных операций технологического процесса. Как известно, по мере совершенствования дорожно-строительных машин и технологического оборудования производственных предприятий точность технологических операций постепенно улучшается, однако при этом остается ряд проблем, решение которых могло бы привести к существенному улучшению качества дорожно-строительной продукции. Некоторые проблемы технического обеспечения и пути их решения покажем на примере строительства цементобетонных и асфальтобетонных покрытий.

Прежде всего отметим, что технологические принципы изготовления асфальтобетонных и цементобетонных смесей за последние 35 - 40 лет претерпели некоторые изменения, причем постоянно повышался уровень требований к отдельным операциям технологического процесса.

Для повышения качества продукции скоростного и обычного строительства автомобильных дорог требуется промышленный выпуск современных высокопроизводительных грунтосмесителей и бетоносмесителей периодического действия с надежными системами управления и высокой точностью работы исполнительных агрегатов.

В условиях расширения объемов дорожного строительства требуется увеличение темпов укладки цементобетонных покрытий. В связи с этим рабочие органы бетоноукладочных машин должны обеспечивать:

·        проработку бетонной смеси за один проход при скоростях передвижения до 3 м/мин, для обеспечения темпа строительства 1000 м в смену;

·        равномерную проработку бетонной смеси по ширине и толщине слоя;

·        высокую эффективность уплотнения малоподвижных дорожных бетонов, приготовленных согласно ГОСТ 8424-73.

На прочность дорожного цементобетона положительное влияние оказывает многочастотное вибрирование. Жесткие бетонные смеси уплотняются вибраторами быстрее и лучше, когда при равных значениях возмущающей силы создаются большие амплитуды и меньшие частоты колебаний. Для пластичных бетонных смесей более эффективно противоположное сочетание параметров колебаний. ' Кроме этого, в конечной стадии вибрирования бетонная смесь проявляет меньшую избирательность по отношению к частотам вибрации, чем в начальной.Г.С. Андреев и др. [4] показали, что резонансный фактор не может служить определяющим при вибрационном уплотнении бетонных смесей, но он может способствовать эффективному уплотнению бетонных смесей. Также предполагают, что эффективное виброуплотнение дорожных бетонов может быть выполнено при помощи устройств, сочетающих воздействие статического давления и поличастотной вибрации.

Качество строительства асфальтобетонных покрытий можно также повысить путем внедрения скоростных методов строительства.

Весьма большое влияние оказывает на качество асфальтобетонной смеси точность дозирования ее компонентов. Как известно, наибольшее распространение в смесительных агрегатах получили дозаторы компонентов смеси и смесителя периодического действия. Точность изготовления асфальтобетонной смеси существенно повышается, если битум, минеральный порошок с уловленной пылью и песок со щебнем дозируются раздельно. При этом снижается интенсивность подачи дозируемых материалов на весы. Точность дозирования повышается благодаря применению более точных весовых устройств с меньшим верхним пределом взвешивания. Снижение влияния динамики поступающих на весы потоков материалов оказывает благоприятное влияние на окончательный результат взвешивания.

Существенного снижения рассеяния показателей качества асфальтобетонных смесей можно достигнуть путем внедрения дозаторов компонентов с электронными датчиками.

Продолжительность цикла работы смесителей периодического действия имеет тенденцию непрерывного сокращения. В этих условиях становится целесообразным все более широкое применение дозаторов битума с объемными счетчиками, позволяющими отмерить требуемые количества битума в течение небольшой продолжительности времени. Ценность объемных счетчиков состоит в том, что операции дозирования материалов и ввод в смеситель совмещены по времени. Кроме того, легче создаются системы для ввода битума в смеситель в распыленном состоянии без подтекания вяжущего из распределительной трубы после окончания процесса дозирования.

Все более широкое распространение на асфальтобетонных заводах получают бункера для хранения готовой смеси. Они позволяют изготавливать на АБЗ и отпускать более однородную по качеству продукцию за счет' использования следующих возможностей:

·        равномерно и непрерывно работать в плохую погоду и при временном отсутствии автотранспорта;

·        продолжать отгрузку готовой асфальтобетонной смеси при поломке агрегатов основного технологического оборудования;

·        уменьшать "продолжительность загрузки автосамосвалов и отпускать готовую смесь в количествах, не кратных замесу.

Опыт применения накопительных бункеров показывает, что имеется возможность несколько увеличить производительность асфальтосмесительного оборудования за счет сокращения операций, выполняемых при остановке и пуске машин. Выдача асфальтобетонным заводом готовой смеси в течение некоторого времени заметно превышает номинальную производительность смесителя.

С целью улучшения технико-экономических показателей асфальтосмесительных установок и повышения качества и однородности продукции необходимо выполнить ряд научно-исследовательских и опытных работ, связанных с созданием дозаторов битума, систем пневмотранспорта минерального порошка, систем обогрева битумных цистерн, насосов для битума, агрегатов для нагрева минерального порошка, пылеулавливающих устройств, топочных устройств и др.

Средний уровень качества продукции - основная, но недостаточная характеристика. Средние показатели качества продукции можно получить как из весьма плотно примыкающих друг к другу результатов испытаний, так и из весьма широко рассеянных отдельных результатов по рассматриваемому показателю качества. Чем меньше рассеяние показателя качества, тем выше однородность продукции, тем выше ее качество.

Однородность продукции - это степень постоянства значений показателей качества. Ее можно рассматривать в пространстве (по ширине, длине, толщине дорожного сооружения) и во времени (в течение рабочей смены, недели, месяца или года).

Недостаточная однородность дорожного сооружения приводит к сокращению его сроков службы, преждевременному появлению деформаций и разрушений, снижению безопасности движения.

Существующие в настоящее время методы проектирования дорожных конструкций недостаточно учитывают однородность отдельных конструктивных слоев, что в некоторых случаях приводит к ненадежным результатам решения. Кроме этого, степень неоднородности устройства дорожных конструкций различна в различных дорожно-строительных организациях, поэтому в составляемом проекте это явление должно учитываться в должной мере. Увеличение однородности дорожной конструкции позволяет снизить требования к средним значениям ее параметров, например модулям упругости, прочности при растяжении. Это может привести к снижению стоимости или повышению надежности дорожных конструкций без увеличения их стоимости.

Однородность дорожных сооружений в значительной мере зависит от точности и стабильности выполнения технологических операций, зависящих, в свою очередь, от совершенства дорожно-строительных машин и технологического оборудования. Так, в связи с ростом интенсивности и скоростей движения все большее значение приобретают устройства шероховатых дорожных покрытий. Как известно, наиболее распространенный метод повышения шероховатости - поверхностная обработка покрытия, требующая минимального количества щебня на единицу площади проезжей части. Однако качество шероховатости поверхностных обработок в значительной степени зависит от равномерного распределения вяжущего материала по ширине проезжей части.

Как правило, вяжущий материал, разливаемый автогудронаторами, часто распределяется неравномерно. Особенно сильно неравномерность распределения проявляется при малых удельных расходах вяжущего, составляющего 0,5-1,5 л/м2. В результате анализа распределительного устройства установлено, что качество распределения вяжущего по ширине дорожного покрытия в основном зависит от работы распределительной трубы, сопловых устройств: и условий распределения - удельного расхода, кинематической вязкости вяжущего материала, расстояния сопел от поверхности дороги, расстояния между сопловыми устройствами и др.

На равномерность распределения вяжущего прежде всего оказывает влияние работа трубы, в пределах которой наблюдается перепад давления по длине. Тем самым изменяется по ее длине и расход вяжущего. Кроме этого, на работу сопловых устройств оказывают влияние их конструкция и точность изготовления.

Равномерность распределения вяжущих материалов по ширине покрытия можно улучшить. Тай, независимо от принятой конструкции соплового устройства, имеющего оптимальные геометрические размеры и параметры установки, показатель неравномерности распределения вяжущего можно уменьшить до 25% при удельном расходе 0,5-0,6 л/м2. Эти значения в показателе в 2 раза ниже показателей, полученных для автогудронаторов Д-640 и Д-641.

Современные асфальтосмесительные установки отличаются высоким уровнем автоматизации, причем в большинстве случаев автоматизированы операции приготовления асфальтобетонных смесей - дозирование, смешение компонентов, поддержание заданного фракционного состава, выгрузка готовой смеси и др.

Все же до сих пор такие процессы, как просушивание и нагрев, а также грохочение каменных материалов еще не входят в число автоматизированных. Исследования фактического зернового состава асфальтобетонных смесей показали, что чаще всего на заводах не удается обеспечить их точное соответствие принятому подбору, хотя дозирующие устройства технически исправны. Для повышения точности и стабильности состава изготавливаемых асфальтобетонных смесей необходимо обеспечить точность сортировки горячей смеси и уменьшить сегрегацию сортированных компонентов в бункерах. К более высокой однородности асфальтобетонных смесей может привести согласование фактической производительности грохотов с производительностью мешалок, например автосмесителей Д-597, Д-508, Д-590. Качество просеивания горячих минеральных смесей должно находиться под эффективным контролем, причем необходимо отбирать пробы минеральной смеси из горячих бункеров, результаты испытаний оценивать на вероятностно-статистической основе и вводить обоснованные коррективы в технологический процесс.

Исследования показывают, что выпускаемые серийно сушильные барабаны и их топочные агрегаты не могут быть отнесены к вполне регулируемым объектам. Они требуют все еще большей модернизации. Теплообменные свойства сушильного барабана меняются при смене состава просушиваемой минеральной смеси. Так, для просушивания щебня требуется тепла в 2-3 раза меньше, чем для песка, в то время как поверхность смеси, состоящей из щебня, в 10 раз меньше, чем поверхность песчаного материала.

Процесс высушивания минеральных материалов протекает под воздействием управляемых и неуправляемых факторов.

Производительность, состав минеральной смеси, расход топлива для нагрева материалов - это управляемые факторы. К управляемым факторам следует отнести гранулометрический состав песка и щебня, их влажность, температуру, а также неравномерности подачи материалов питающими и транспортными устройствами.

Высокая влажность минеральных материалов приводит к забивке горловины бункеров агрегатов питания. Изменение производительности смесительной установки приводит к изменению степени загрузки сушильного барабана и тем самым влияет на теплообменные свойства барабана. На конечную температуру нагретых материалов оказывает влияние состав смеси, в частности содержание минерального порошка. В смесительных установках Д-617-1 перегрев минеральных материалов в сушильном барабане требуется увеличить на 30%, так как здесь горячие материалы транспортируют при помощи промежуточного скипового подъемника.

Перечисленные факторы в одних случаях суммируются и усиливают режим высушивания, в других случаях действуют в противоположных направлениях, компенсируя влияние друг на друга, и режим высушивания протекает нормально. С учетом вероятностей сложения и компенсации возмущающих воздействий теплопроизводительность топочного агрегата находится в пределах 40-120% от номинальной. Отсюда видно, что в существующих сушильных барабанах невозможно регулировать процесс высушивания в столь широких пределах. Форсунку агрегата нагревают на максимально возможный расход топлива при удовлетворительной полноте сгорания. Подачу минеральных материалов в барабан, т.е. производительность высушивания, регулируют по показанию температуры.

Таким образом, сушильная установка работает в целом в нестабильном режиме. При этом большая инерционность сушильного барабана сопровождается недостаточным нагревом минеральных материалов или излишне высокой их температурой. Оперативное регулирование температурного режима при помощи автоматических систем встречает трудности в связи с тем, что время прохождения материалов через сушильный барабан составляет 8-12 мин, а время стабилизации процесса после изменения какого-либо фактора - 15 мин. При этом во время стабилизации на температурный режим может оказать влияние еще какой-либо фактор и таким образом система высушивания будет и далее работать со смещением.

В серийных сушильных барабанах отечественных и зарубежных также не обеспечивается поддержание температуры газов в узких пределах.

Проблема управления тепловым режимом сушильного барабана сводится к поддержанию требуемого уровня двух выходных параметров: температуры нагрева минеральных материалов и температуры уходящих газов. Оба параметра должны быть обеспечены при заданной производительности сушильной установки.

Резерв роста эффективности дорожно-строительного производства - максимальная загрузка оборудования, рациональное использование рабочего времени, увеличение фондоотдачи. Все эти факторы могут привести и к повышению качества продукции. При правильном использовании таких резервов обеспечивается ритмичность производства. Аритмичность в дорожном строительстве приводит ко многим отрицательным явлениям, вследствие которых простаивают дорожно-строительные машины и оборудование, увеличивается продолжительность строительства, снижаются темпы роста производительности труда, снижается качество продукции. Планирование и обеспечение в процессе производства ритмичного выполнения дорожно-строительных работ может привести к устранению указанных недостатков.

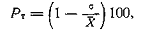
Показатель ритмичности (в %) для выбранной группы работ


где X - среднее арифметическое значение годовых объемов работ для определенной классификационной группы автомобильных дорог; а - среднее квадратичное отклонение годовых объемов работ.

Наиболее вероятные значения показателей Рт, подсчитанные с помощью методов математической статистики в зависимости от группы работ, колеблются в пределах 75-82%.

С показателем ритмичности непосредственно связана однородность качества продукции как на отдельных участках дороги, так и на различных дорогах. Однородность качества можно рассматривать в пределах строительного сезона, месяца, недели или одной смены.

Заключение


По работе можно сделать следующие выводы:

2. Системный подход предусматривает следующие направления в обеспечении качества:

·        техническое и организационное обеспечение

·        обеспечение и контроль качества статистическими методами

·        информационное и метрологическое обеспечение

·        нормативно-правовое обеспечение

3. Наиболее существенным выступает техническое и организационное обеспечение качества дорожно-строительной продукции. Оно включает в себя:

·        развитие технологического оборудования

·        обеспечение стабильности качества продукции. Под однородностью продукции понимается степень постоянства значений показателей качества.

·        обеспечение ритмичности производства и однородности продукции. В частности, резерв роста эффективности дорожно-строительного производства - максимальная загрузка оборудования, рациональное использование рабочего времени, увеличение фондоотдачи. Все эти факторы могут привести и к повышению качества продукции. При правильном использовании таких резервов обеспечивается ритмичность производства.

Список использованной литературы


1.      Коноплянко В.И. Организация и безопасность дорожного движения М.: Транспорт, 1991 - 183 с.

2.      Могилевич В.М. Основы организации дорожно-строительных работ М.: Высшая школа, 1975 - 288 с.

.        Полосин-Никитин С.М. Основы строительства и эксплуатации автомобильных дорог М.: Транспорт, 1978 - 248 с.

.        Сиденко В. М, Рокас С.Ю. Управление качеством в дорожном строительстве М.: Транспорт, 1981 - 252 с.

.        Эксплуатация дорожных машин /под ред.А.М. Шейнина М.: Транспорт, 1992 - 328 с.

Похожие работы на - Обеспечение качества дорожно-строительной продукции

 

Не нашли материал для своей работы?
Поможем написать уникальную работу
Без плагиата!
Без нейросетей!