Дробление, измельчение и подготовка руд к обогащению
Министерство
образования и науки РФ
Иркутский
Государственный Технический Университет
Кафедра:
Обогащения полезных ископаемых и инженерной экологии
Курсовая
работа
Тема:
“Дробление, измельчение и подготовка руд к обогащению”
Выполнил: студент гр.
ОП-09-1
Зимина К.Н
Проверил: Власова В.В.
Иркутск,2012
г.
Введение
Весь процесс переработки сырья можно
разделить на 3 этапа: подготовительные операции, которые обычно называют -
рудоподготовка, основные и вспомогательные операции.
На обогатительные операции поступает
руда, содержащие куски различной крупности. Характеристика крупности руды или
её гранулометрический состав определяется системой отработки месторождения,
мощностью рудных тел, прочностью руды, производственной мощностью карьера или
рудника и другими факторами.
Цель рудоподготовительных операций
состоит в разъединении минералов. Это разъединение достигается в ходе операции
дробления и измельчения. Операции дробления и грохочения весьма дорогостоящи,
поэтому, в цикле рудоподготовки используют также операции грохочения и
классификации, которые позволяют снизить затраты на рудоподготовку.
Данный курсовой проект посвящён
расчёту схемы рудоподготовки.
Задание на курсовое проектирование
Вариант №5.
Производительность цеха дробления Qисх=9000т/сут
Диаметр максимального куска в
питании Dmax=1000 mm
Крупность питания мельниц dmax=20mm
№ характеристики крупности исходной
руды -4
№ хар-ки крупности дробленого
продукта после Iст. дробления -8;5
№ хар-ки крупности дробленого
продукта после IIст. дробления - 11
№ хар-ки крупности дробленого
продукта после IIIст. дробления - 15
Содержание класса -0,074мм в питании
мельниц - 5%
Содержание класса -0,074мм в
измельченном продукте -55%
Плотность руды - 2,9г/см3
Насыпная плотность - 1,8 т/м3
1. Выбрать и обосновать схему
дробления и измельчения
. Рассчитать схему
дробления-измельчения
. Полученные результаты расчета
представить в виде таблицы, построить характеристики крупности руды
. Выбрать и обосновать дробильное,
классифицирующее и измельчительное оборудование.
.
Выбор и обоснование схемы дробления:
Производительность цеха дробления Qисх=
9000 т/сут
Диаметр максимального куска в
питании Dmax = 1000 мм
Крупность питания мельниц dmax
= 20 мм
) Определяем общую степень
дробления:
Исходя из общей степени дробления и
диаметра максимального куска в питании, рекомендуется применить 3-ех
стадиальную схему дробления - ББА. (рисунок 2)
Предварительное грохочение следует
применять при достаточно высоком содержании отсеиваемого класса руды в исходном
материале, а также при высокой влажности этого класса.
) Для определения
необходимости использования предварительного грохочения, построим
характеристику крупности исходного продукта (таблица 1, рисунок 1):
Таблица1 - Данные для построения
ситовой характеристики исходной руды
|
Классы крупности, мм
|
Классы крупности, мм
|
Выход, %
|
|
|
γ
|
Σγ“+”
|
|
-Dmax + 3/4Dmax
|
-1000 + 750
|
18
|
18
|
|
-3/4Dmax + 1/2Dmax
|
-750 + 500
|
21
|
39
|
|
-1/2Dmax + 1/4Dmax
|
-500 + 250
|
26
|
65
|
|
-1/4Dmax + 1/8Dmax
|
-250 + 125
|
16
|
81
|
|
-1/8Dmax
|
-125 + 0
|
19
|
100
|
) Построим ситовую
характеристику по рассчитанным значениям таблицы 1.
Рисунок 1 - характеристика крупности
исходной руды
Исходя из ситовой характеристики
исходной руды, мы видим, что руда твердая, так как график имеет выпуклую форму,
поэтому рекомендуется не применять операцию предварительного грохочения
(рисунок 1).
) Определяем
производительность цеха дробления:
где: сут -
производительность цеха дробления, т/сутпоправочный коэффициент, учитывающий
неравномерность подачи сырья (k = 1 - 1,1)время работы цеха дробления в сутки,
часов
) Определяем общую степень
дробления для каждой отдельной стадии:
) Определяем условную
максимальную крупность после отдельных стадий дробления:
где:1- диаметр
максимального куска в питании;

- общая степень
дробления для каждой отдельной стадии;
7) Определяем ширину
разгрузочной щели дробилки для каждой стадии дробления:
ККД:
ЩКД:
КСД:
КМД:
где:2,D6, D8-
условная максимальная крупность второго, шестого и восьмого продукта
соответственно;

-условная максимальная
относительная крупность второго и шестого продукта соответственно;
8) Определяем ширину отверстий
сеток грохотов и эффективность грохочения для каждой стадии:
aII=
мм; Ei= 0,70IV=D8=
20 мм;Ei= 0,85
Рисунок 2- Схема рудоподготовки
. Расчет первой стадии
дробления
) Определяем
производительность для первой стадии дробления:1 =600 т/час;2=600
т/час;1,Q2- производительность цеха до и после первой
стадии дробления соответственно.
) Выбор дробилки для первой
стадии дробления:
Выбор дробилки для первой стадии
рекомендуется проводить по следующим показателям: максимальный диаметр куска в
питании 1000мм, ширина разгрузочной щели 182мм, требуемая производительность
600 т/ч.
ККД:
ЩДП:
где:

- насыпная плотность,
т/м3;1 -производительность по первой стадии дробления;k
- производительность дробилки, м3/ч;- коэффициент загрузки;
Таблица 2 - Результаты сравнения
дробилок, выбранных для первой стадии
|
Тип дробилки
|
Число дробилок
|
Коэф. загрузки
|
Производ., т/час
|
Число работы
|
Масса,т
|
|
|
|
одной
|
всех
|
|
одной
|
всех
|
|
ККД 1500/300
|
1
|
0,14
|
4140
|
-
|
15
|
611,9
|
-
|
|
ЩДП15x21
|
1
|
0,6
|
1080
|
-
|
15
|
208
|
-
|
Вывод: в результате
технико-экономического сравнения вариантов установки дробилок, на первую стадию
рекомендуется установить дробилку ЩДП-15x21 в количестве 1 штуки.
. Расчёт второй стадии
дробления
) Определяем массу продуктов
после первой стадии грохочения:
3, Q4, Q5, Q6 т/час
где:2-масса продукта
после первой стадии дробления;

-содержание класса
размером меньше а, определяется по характеристике крупности второго продукта, 
(таблица 3, рисунок 3);

- эффективность после
первой стадии грохочения;
) Определяем выход продуктов:
γ3, γ4, γ5, γ6
где:пр-масса продукта;исх-
масса исходного продукта;
) Строим характеристику
крупности второго продукта:
руда дробление измельчение грохот
Таблица 3 - данные для построения
ситовой характеристики крупности 2-го продукта (iI=182мм),
|
Классы крупности, в долях разгруз. щели, мм
|
Классы крупности, мм
|
Выход, %
|
|
|
γ
|
Σ γ “+”
|
|
+2i
|
+364
|
0
|
0
|
|
-2i+1,75i
|
-364 + 318,5
|
3
|
3
|
|
-1,75i+1,5i
|
-318,5 + 273
|
7
|
10
|
|
-1,5i+1,0i
|
-273 + 182
|
25
|
35
|
|
-1,0i+0,75i
|
-182 + 136,5
|
20
|
55
|
|
-0,75i+0,5i
|
-136,5 + 91
|
15
|
70
|
|
-0,5i+ 0,25i
|
-91 + 45,5
|
17
|
87
|
|
-0,25i+ 0
|
-45,5 + 0
|
13
|
100
|
4) Построим ситовую характеристику
по рассчитанным значениям таблицы 3.
Рисунок 3 - характеристика крупности
второго продукта.
5) Строим характеристику крупности
пятого продукта:
Таблица 4 - данные для построения
ситовой характеристики крупности 5-го продукта (iIII=37мм)
|
Классы крупности, в долях разгруз. щели, мм
|
Классы крупности, мм
|
Выход, %
|
|
|
γ
|
Σ γ “+”
|
|
+2,5i
|
+92,5
|
3
|
3
|
|
-2,5i + 2,25i
|
-92,5 + 83,25
|
5
|
8
|
|
-2,25i + 2i
|
-83,25 + 74
|
6
|
14
|
|
-2i + 1,5i
|
-74 + 55,5
|
16
|
30
|
|
-1,5i + 1,25i
|
-55,5 + 46,25
|
10
|
40
|
|
-1,25i + 1,0i
|
-46,25 + 37
|
10
|
50
|
|
-1,0i + 0,5i
|
-37 + 18,5
|
30
|
80
|
|
-0,5i + 0,25i
|
-18,5 + 9,25
|
15
|
95
|
|
-0,25i + 0
|
-9,25 + 0
|
5
|
100
|
) Построим ситовую характеристику по
рассчитанным значениям таблицы 4.
Рисунок 4 - характеристика крупности
пятого продукта
) Строим характеристику крупности
шестого продукта:
Для построения характеристики крупности шестого продукта
необходимо определить содержание классов:= 37; 18,5; 9,25; 0мм
где:

- содержание расчетного
класса в шестом продукте, %

- содержание расчетного
класса во втором продукте, доли ед.

- содержание избыточных
кусков руды во втором продукте, доли ед.

- содержание расчетного
класса в дробленом продукте второй стадии
) Построим ситовую характеристику
крупности шестого продукта, при d≤37мм(iIII):
Рисунок 5 - характеристика крупности
шестого продукта
) Выбираем дробилку для второй
стадии дробления:
Выбор дробилки для второй стадии
рекомендуется проводить по следующим показателям: максимальный диаметр куска в
питании 273мм, ширина разгрузочной щели 37мм, требуемая производительность
533,7 т/ч.
где:

- насыпная плотность,
т/м3;треб -требуемая производительность для второй стадии
дробления;дроб - производительность дробилки, м3/ч;-
коэффициент загрузки;
Таблица 5 - Результаты сравнения
дробилок, выбранных для второй стадии
|
Тип дробилки
|
Число дробилок
|
Коэф. загрузки
|
Производ., т/час
|
Число работы
|
Масса, т
|
|
|
|
одной
|
всех
|
|
одной
|
всех
|
|
КСД 2200 Гр
|
1
|
0,7
|
753
|
-
|
15
|
85
|
-
|
|
КСД 3000 Т
|
1
|
0,47
|
1132,2
|
-
|
15
|
230
|
-
|
Вывод: в результате
технико-экономического сравнения вариантов установки дробилок (таблица 5), на
вторую стадию рекомендуется установить дробилку КСД 2200 Гр.
. Расчёт третьей стадии
дробления
) Строим характеристику
крупности десятого продукта:
Таблица 6 - данные для построения
ситовой характеристики крупности 10-го продукта (iV=10мм)
|
Классы крупности, в долях разгруз. щели, мм
|
Классы крупности, мм
|
Выход, %
|
|
|
γ
|
Σ γ “+”
|
|
+2,5i
|
+25
|
7
|
7
|
|
-2,5i + 2,25i
|
-25 + 22,5
|
3
|
10
|
|
-2,25i + 2i
|
-22,5 + 20
|
5
|
15
|
|
-2i + 1,5i
|
-20 + 15
|
20
|
35
|
|
-1,5i + 1,25i
|
-15 + 12,5
|
15
|
50
|
|
-1,25i + 1,0i
|
-12,5 + 10
|
15
|
65
|
|
-1,0i + 0,5i
|
-10 + 5
|
25
|
90
|
|
-0,5i + 0,25i
|
-5 + 2,5
|
6
|
96
|
|
-0,25i + 0
|
-2,5 + 0
|
4
|
100
|
) Построим ситовую характеристику по
рассчитанным значениям таблицы 6.
Рисунок 6 - характеристика крупности
десятого продукта
где:6 - масса продукта
после второй стадии дробления;

- содержание класса
размером больше а, определяется по характеристике крупности шестого продукта, 
(рисунок 5);

- содержание расчетного
класса в дробленом продукте третьей стадии, 
(таблица 6, рисунок 6);

- эффективность после
второй стадии грохочения;
) Определяем выход продуктов:
γ7, γ8, γ9, γ10
) Построим характеристику
крупности 7-го продукта, при d≤10мм(iV):
Для построения характеристики крупности седьмого продукта
необходимо определить содержание классов:= 20; 10; 5; 2,5мм
где:6 - масса продукта после второй стадии дробления;10
- масса продукта после третьей стадии дробления;

- содержание класса
размером меньше а, определяется по характеристике крупности шестого продукта,
(рисунок 5);
Рисунок 7 - характеристика крупности
седьмого продукта
) Выбираем дробилку для
третей стадии дробления:
где:

- насыпная плотность,
т/м3;треб -требуемая производительность для второй стадии
дробления;дроб - производительность дробилки, м3/ч;-
коэффициент загрузки;
Таблица 7 - Результаты сравнения
дробилок, выбранных для третьей стадии
|
Тип дробилки
|
Число дробилок
|
Коэф. загрузки
|
Производ., т/час
|
Число работы
|
Масса,т
|
|
|
|
одной
|
всех
|
|
одной
|
всех
|
|
КМД  10,9694,28-15225-
|
|
|
|
|
|
|
|
|
КМД 3000 Т2
|
1
|
0,98
|
637,71
|
-
|
15
|
230
|
-
|
Вывод: в результате
технико-экономического сравнения вариантов установки дробилок (таблица 7), на
третью стадию рекомендуется установить дробилку КМД 
.
Таблица 8 - требования,
которым должны удовлетворять дробилки
|
Показатели
|
Дробилки
|
|
первая
|
вторая
|
третья
|
|
Dmax,мм
|
273
|
75
|
20
|
|
Ширина разгрузочной щели, мм
|
182
|
37
|
10
|
|
Требуемая производ., т/час
|
600
|
533,7
|
629,13
|
Таблица 9 - Дробилки, удостоверяющие
предъявленным требованиям
|
Стадии дробления
|
Тип дробилок
|
Ширина приёмного отверстия, мм
|
Пределы регулирования разгрузочной щели, мм
|
Производ., т/час
|
|
Первая
|
ЩДП15x21
|
1500
|
75-125
|
96
|
|
Вторая
|
КСД 2200 Гр
|
350
|
7-15
|
264
|
|
Третья
|
КМД  808-15400
|
|
|
|
5.
Выбор и расчёт грохотов
) Расчёт грохотов для второй
стадии грохочения:
Определим площадь грохота для второй
стадии:
где:

- производительность по
питанию;

- рабочая поверхность
сита, м2;- удельная производительность, м3/м2*ч;

- насыпная плотность,
т/м3;
k, l, m, n, o, p - поправочные
коэффициенты:
m=1,17; a=45 мм; D=273;
q=44,5; Q=600; 
т/м3; k=0,3

; k=0.3; l=2.34
n, o, p = 1
Таблица 10 - требования, которым
должен удостоверять грохот
|
Показатели
|
Значения
|
|
Размер кусков в питании, мм
|
273
|
|
Размер отверстий, мм
|
45
|
|
Площадь грохочения
|
9,12
|
Таблица 11 - результаты сравнения
грохотов, выбранных для первой стадии грохочения
|
Тип грохотов
|
Число грохотов
|
Площадь грохочения
|
Мощность двигателя, кВт
|
Часы работы
|
Масса, т
|
|
|
одного
|
всех
|
|
|
одного
|
всех
|
|
ГИТ 71М
|
1
|
12,5
|
-
|
30-44
|
15
|
12,5
|
-
|
|
ГИТ52М
|
2
|
7
|
14
|
18,5
|
15
|
7,5
|
15
|
Вывод: в результате
технико-экономического сравнения вариантов установки грохотов (таблица 11), на
1 стадию рекомендуется установить грохот ГИТ 71М.
) Расчёт грохотов для третьей
стадии грохочения:
Определим площадь грохота для второй
стадии:
где:

- производительность по
питанию;

- рабочая поверхность
сита, м2;- удельная производительность, м3/м2*ч;

- насыпная плотность,
т/м3;
k, l, m, n, o, p - поправочные
коэффициенты:
m=1,17; a=20 мм; D=75;
q=28; Q=1229; 
т/м3; k=0,3

k=0.62; l=1,134 , o, p =
1
Таблица 12 - требования,
которым должен удостоверять грохот
|
Показатели
|
Значения
|
|
Размер кусков в питании, мм
|
75
|
|
Размер отверстий, мм
|
20
|
|
Площадь грохочения
|
29,64
|
Таблица 13 - результаты сравнения
грохотов, выбранных для первой стадии грохочения
|
Тип грохотов
|
Число грохотов
|
Площадь грохочения
|
Мощность двигателя, кВт
|
Часы работы
|
Масса, т
|
|
|
одного
|
всех
|
|
|
одного
|
всех
|
|
ГИСТ 72
|
2
|
16
|
32
|
60
|
15
|
14,1
|
28,2
|
|
ГСТ61В
|
4
|
8,3
|
33,2
|
30
|
15
|
19,6
|
78,4
|
Вывод: в результате
технико-экономического сравнения вариантов установки грохотов (таблица 13), на
третью стадию рекомендуется установить грохот ГИСТ 72.
. Расчёт схемы измельчения
) Определяем массу продуктов
измельчения:
11, Q12, Q13,Q14; т/час
опт - величина циркулирующей нагрузки, 200%
) Определяем выход продуктов:
γ11, γ12, γ13, γ14
. Расчёт мельниц по удельной
производительности
βисх = -0,074 мм
βисх = 6% = 0,06
βк = 60% = 0,6
где:
q1 - удельная
производительность работающей мельницы по вновь образованному расчетному классу
(т/м3ч)
ku - коэффициент,
учитывающий различие в измельчаемости проектируемой к переработке и
перерабатываемой руды;k - коэффициент, учитывающий различие в
крупности исходного и конечного продуктов измельчения на действующей и на
проектируемой обогатительной фабриках.d - коэффициент, учитывающий
различие в диаметрах барабанов проектируемой к установке и работающей мельниц.k
=m2/m1,1- относительная производительность
мельниц по расчетному классу для руды, перерабатываемой на действующей
обогатительной фабрике, при той же крупности исходного и конечного продуктов,
которые имеют место на фабрике;2 - то же, для руды, проектируемой к
обработке, при запроектированной крупности исходного и конечного продуктов.
q1=(1-1,2) = 1;и
= 1; k=1т.к. (m1=m2=1)δ = 1
;
где:1 -
диаметр барабана эталонной мельницы, м; - диаметр проектируемой мельницы, м.
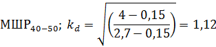
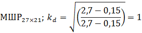
Выбираем эталонную мельницу МШР
27-21
) Определяем
производительность мельниц по вновь образуемому классу:
) Определяем
производительность мельниц по исходной руде:
) Определяем потребное число
мельниц:
) Определяем коэффициент загрузки
Таблица 14 - Результаты сравнения
мельниц
|
Тип
|
Размер DxL, мм
|
Число мельниц
|
Производ., т/час
|
Число работы
|
Устан. мощность, кВт
|
Коэф. загрузки
|
Масса, т
|
|
|
|
одной
|
всех
|
|
одной
|
всех
|
|
одной
|
всех
|
|
МШР  2700 x
21006319,25121215400252000,99654095
|
|
|
|
|
|
|
|
|
|
|
|
МШР 36-40
|
3600 x 4000
|
16
|
77,4
|
1238
|
15
|
1000
|
16000
|
0,97
|
162
|
2592
|
|
МШР 40-50
|
4000 x 5000
|
11
|
114
|
1254
|
15
|
2000
|
22000
|
0,95
|
258
|
2838
|
|
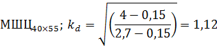
МШЦ  4000 x
550010124,41244152000200000,962502500
|
|
|
|
|
|
|
|
|
|
|
Вывод: в результате
технико-экономического сравнения вариантов установки мельниц (таблица 14),
рекомендуется установить мельницы типа МШЦ 
в количестве 10 штук.
. Выбор и расчёт
классификатора
В качестве классифицирующих
аппаратов могут быть использованы гидроциклоны и спиральные классификаторы.
Спиральные классификаторы выпускаются двух типов - с погруженной и
непогруженной спиралью для получения тонких и грубых сливов соответственно.
Нами выбран классификатор с
непогруженной спиралью.
1) Определяем диаметр спиралей:
где:сл - производительность мельницы по сливу, 9000
т/сут; - диаметр проектируемой мельницы, м.
m - количество спиралей; 2;-
коэффициент; 0,46;- коэффициент; 1;
с - коэффициент; 0,73;
) Определяем расчётную
производительность классификатора по сливу и по пескам соответственно:
где:

- расчетное число
классификаторов;
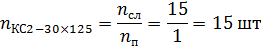
Исходя из рассчитанного
диаметра классификатора, диаметров производимых промышленностью и расчетного
количества классификаторов предлагается использовать двухспиральные
классификаторы КС2-30
125
с диаметром спирали D=3м в количестве 15 штук.
Таблица 15 - Количественные
показатели схемы дробления-измельчения
|
Номера
|
Наименование операций и продуктов
|
Масса материала Q, т/час
|
Выход, %
|
|
Операций
|
Продуктов
|
|
|
|
|
I
|
1 2
|
Дробление 1 стадии Поступает: Исходная руда Всего Выходит:
Дроблёный продукт 1 ст. Всего
|
600 600 600 600
|
100 100 100 100
|
|
II
|
2 3 4
|
Грохочение 2 стадии Поступает: Дроблёный продукт 1 ст. Всего
Выходит: Подрешётный продукт 2 ст. Надрешётный продукт 2 ст. Всего
|
600 600 66,3 533,7 600
|
100 100 11,05 88,95 100
|
|
III
|
4 5
|
Дробление 2 стадии Поступает: Надрешётный продукт 2 ст. Всего
Выходит: Дроблёный продукт 2 ст. Всего
|
533,7 533,7 533,7 533,7
|
88,95 88,95 88,95 88,95
|
|
IV
|
3 5 10 8 9
|
Грохочение3 стадии Поступает: Подрешётный продукт 2 ст.
Дроблёный продукт 2 ст. Дроблёный продукт 3ст. Всего Выходит: Подрешётный
продукт 3ст. Надрешётный продукт 3 ст. Всего
|
66,3 533,7 629 1229 600 629 1229
|
11,05 88,95 105,85 204,85 100 104,85 204,85
|
|
V
|
9 10
|
Дробление 3 стадии Поступает: Надрешётный продукт 3 ст. Всего
Выходит: Дроблёный продукт 3 ст. Всего
|
629 629 629 629
|
104,85 104,85 104,85 104,85
|
|
VI
|
8 13
|
Измельчение Поступает: Подрешётный продукт 3 ст. Пески
классификации Всего
|
600 1200 1800
|
100 200 300
|
|
VII
|
12 14 13
|
Классификация Поступает: Слив мельниц Всего Выходит: Слив
классификации Пески классификации Всего
|
1800 1800 600 1200 1800
|
300 300 100 200 300
|
Список использованной литературы
1. Баденикова Г.А., Власова В.В. «Дробление, измельчение и
подготовка руд к обогащению» Методические указания и задания для выполнения
курсовой работы для студентов специальности 090300 «Обогащение полезных
ископаемых» дневной и заочной формы обучения: Иркутск, Изд-во ИрГТУ, 2003.
-41с.