Дослідження сировинних матеріалів для виробництва халви
ХАРКІВСЬКИЙ ТОРГОВЕЛЬНО-ЕКОНОМІЧНИЙ
ІНСТИТУТ КИЇВСЬКОГО НАЦІОНАЛЬНОГО ТОРГОВЕЛЬНО-ЕКОНОМІЧНОГО УНІВЕРСИТЕТУ
Кафедра товарознавства та експертизи
якості товарів
КУРСОВА РОБОТА
з дисципліни "Матеріалознавство
та основи технологій виробництва халви"
на тему: "Дослідження сировинних
матеріалів для виробництва халви"
м. Харків - 2013 рік
Завдання на
курсову роботу студента
1. Тема роботи: Дослідження сировинних матеріалів
для виробництва халви
. Термін подачі студентом закінченої роботи 17 травня
2013 року.
. План роботи
Розділ 1. Аналітичний огляд літератури (споживчі
властивості та значення халви у харчуванні людей, класифікація та асортимент
халви, сировина для виготовлення халви, технологія виготовлення продукції,
особливості процесу руйнування насінної оболонки, мета та завдання досліджень).
Розділ 2. Експериментальна частина (методика
визначення вологості та сахарози цукру, дослідження якості цукру різних
постачальників, обробка результатів дослідження з визначенням абсолютної
похибки вимірювань).
Рецензія
на курсову роботу
Курсова робота виконана на актуальну тему в
зв'язку з постійним погіршенням якості сировини у харчовій промисловості і
необхідністю постійного контролю за її якістю для отримання високоякісної
продукції. У роботі розглянуто споживчі властивості та значення халви у
харчуванні людей, класифікація та асортимент халви, сировину для виготовлення
халви, технологію виготовлення продукції та охарактеризовано процес руйнування
насінної оболонки. У другій частині роботи наведено методики, за якими
експериментально визначалися фізико-хімічні показники (вологість, масова частка
сахарози) цукру. Досліджено якість цукру п`яти різних постачальників та
проведено математичну обробку результатів дослідження з визначенням абсолютної
похибки.
У ході виконання курсової роботи ФАМИЛИЯ И.О.
було розглянуто та оброблено значна кількість теоретичного матеріалу, на
високому теоретичному та методологічному рівні було проведено експериментальні
дослідження та здійснено обробку результатів отриманих даних. Матеріал, що
викладений у курсовій роботі, є логічним, гарно структурований, написаний у
науковому стилі викладання. Кожний розділ має висновки, які достатньо
обґрунтовані. Істотних недоліків у курсовій роботі не виявлено. Курсова робота
заслуговує на гарну оцінку та може бути допущена до захисту.
Реферат
Курсова робота: ____ с., 5 табл., 1 додаток, 30
джерел.
Об’єкт дослідження - сировина для виробництва
халви.
Предмет дослідження - фізико-хімічні властивості
сировини (масова частка вологи та сахарози в цукрі).
Методи дослідження: фізико-хімічні методи
дослідження (для визначення масової частки сахарози в цукрі - поляриметричний
метод, для визначення масової частки вологи - метод висушування наважки), метод
математичної обробки експериментальних даних.
У роботі розглянуто споживчі властивості та
асортимент халви, наведено характеристику основної сировини для виробництва
халви, описано технологічний процес для виготовлення продукції, а також вивчено
особливості процесу
Цукор - це основна сировина, яка входить до
складу халви. Від цукру залежить якість готової продукції. Дуже важливим є
дослідження масової частки вологи та сахарози, так як по цим показникам можна
визначити сорт та якість борошна.
Результати досліджень були проведені по методиці,
яка вказана в нормативному документі. Результати проведених експериментальних
досліджень показали, що усі отриманні значення показників якості відповідають
вимогам зазначеним в НД.
Халва, показник, технологія, методика, волога,
сахароза.
Зміст
Завдання на курсову роботу студента
Рецензія на курсову роботу
Реферат
Вступ
Розділ 1. аналітичний огляд літератури
1.1 Споживчі властивості та значення халви у харчуванні людей
1.2 Класифікації та асортимент халви
1.3 Сировина для виготовлення халви
1.4 Технологія виготовлення продукції
1.5 Особливості процесу руйнування насінної оболонки
1.6 Мета та завдання досліджень
Висновки до розділу
Розділ 2. Експериментальна частина
2.1 Організація, об’єкти, предмети та основні методи дослідження
якості халви
2.1.1 Методика визначення вологості цукру
2.1.2 Визначення масової частки сахарози в цукрі
2.2 Дослідження якості цукру різних торгових марок
2.3 Обробка результатів дослідження з визначенням абсолютної
похибки вимірювань
Висновки до розділу
Висновки
Список використаних джерел
Додаток А
Вступ
Халва є найбільш популярної східної солодкістю,
що виготовляється з цукру, насіння або горіхів, піноутворювача. Батьківщиною
цього розсипчастого десерту вважається Іран: тут халву виробляли ще в V
столітті до н. е. З даної країни різноманітні способи приготування цього
східного ласощі поширилися по всьому Близькому і Середньому Сходу. До речі, у
перекладі з арабської халва означає "солодкість".
В Україні першим виготовляти східний десерт почав
заводчик Казі з Одеси. Однак він випускав халву тахинную, а не соняшникову, яка
сьогодні у нас поширена набагато більше. З Одеси ця солодкість поступово
пробралася в найближчі міста і навіть Росію.
Дане східне частування являє собою кондитерський
виріб, для якого характерна волокнисто-шарувата структура і яке виготовляють
шляхом змішування збитої з піноутворювачами маси карамелі і розтертих ядер
горіхів і бобів, соняшникових або кунжутного насіння. Справжню халву готують
вручну: на Сході існує навіть окрема спеціалізація кандалатчі - так називають
кулінарного умільця, що робить халву
До теперішнього часу придумали безліч сортів цієї
солодощі: її готують з моркви, манної крупи і навіть локшини. Але традиційної
вважається халва з олійного насіння і горіхів, яка складається з білкової маси
(пасти з олійного насіння або горіхів), карамельної маси (патоки, цукру) або
меду, піноутворювача. Останній найчастіше складається з кореня солодки і
мильного кореня, рідше використовують яєчний білок або корінь алтея. Саме
піноутворювач, що додається в карамельну масу, додає халву її традиційну
шарувато-волокнисту структуру. Іноді смак цього десерту збагачують ваніллю,
шоколадом, фісташками.
Даний сорт халви має кілька різновидів. На
Близькому Сході, Балканах і в інших частинах Середземномор'я поширена тахінна,
або кунжутове халва. Білкову масу для неї готують з меленого кунжуту. В
Україні, як і в інших східноєвропейських країнах, популярна соняшникова халва,
яка набагато темніше тахінно. Цілий полк любителів є й у халви арахісової і
горіховою. Остання особливо варіативна: основою для неї можуть служити мигдаль,
фундук, кешью. Основною сировиною для виробництва халви є цукор-пісок.
Від цукру залежить якість готової продукції. Дуже
важливим є дослідження вологості та масової частки сахарози, так як по цим
показникам можна визначити сорт та якість цукру.
Мета роботи - дослідити якість основної сировини
для виготовлення халви та визначити їх фізико-хімічні показники. Для досягнення
поставленої мети необхідно було виконати такі завдання:
‒ вибрати об’єкт і
предмет дослідження;
‒ вибрати методику
визначення масової частки вологи та сахарози в цукрі;
‒ дослідити якість
сировини для виготовлення халви;
‒ порівняти
отримані результати дослідждень з вимогами НД;
‒ провести обробку
експериментальних даних з визначенням абсолютної похибки вимірювань;
‒ надати
рекомендації щодо можливості використання досліджуваної сировини у виробництві
халви.
Розділ
1. аналітичний огляд літератури
1.1
Споживчі властивості та значення халви у харчуванні людей
Халва має унікальну харчову цінність. Вона
складається з компонентів, які є джерелами протеїнів, мінералів: кальцію,
заліза, міді, калію, цинку, фосфору, натрію, а також харчових кислот. У ній
міститься до 30% рослинних жирів. Також в ній багато мальтози, жирних кислот,
харчових волокон. Всі види халви багаті білками. За їх змістом халву навіть
можна порівнювати з м'ясом [2].
Головний компонент халви - це насіння. У них
багато поліненасичених кислот, в яких зберігаються фосфоліпіди, що
перешкоджають старінню.
Халва багата фолієвою кислотою, яка відповідає за
розвиток клітин. Тому необхідно включати її в раціон при вагітності. Її
рекомендують їсти при годуванні дитини, оскільки в ній багато поживних речовин
і вітамінів [3].
Халву використовують для профілактики недокрів'я,
особливо у вагітних і дітей.
Халва оздоровлює організм, покращує роботу
нервової системи, травлення і кровотворення.
Взимку халва добре зігріває, а також знімає
депресію.
Користь халви залежать від її складу. Готують
справжню халву, за традицією, лише з натуральних інгредієнтів: патоки, цукру,
насіння або горіхів і піноутворювача. Така халва приносить нам тільки користь
[2]. Проте деякі виробники додають в неї барвники, антиокислювачі, емульгатори,
тим самим істотно знижуючи її цінність.
Властивості халви залежать і від її типу.
Найбільш часті типи халви:
‒ соняшникова;
‒ кунжутове (або
тахіновая);
‒ арахісова;
‒ фісташкова
Найбільшу користь має соняшникова халва. У ній
містяться вітаміни В1 і F1. Вітамін В1 нормалізує роботу серця, нервової
системи, стабілізує кислотність. Вітамін F1 перешкоджає відкладенню
холестерину, робить здоровими волосся і шкіру [4].
Кунжутове халва добре впливає на дихальну,
судинну, опорно-рухову систему, попереджає мігрень. У ній багато вітаміну С,
В1, Е, F, амінокислот, протеїну, а також цинку, кальцію, марганцю, фосфору.
Часто насіння соняшнику називають
"природними консервами", маючи на увазі, що вони довго зберігають всі
корисні властивості. Однак вони можуть приносити і шкоду, тому що в них
накопичується занадто багато кадмію.
В халві багато цукру та олії, тому вона
надзвичайно калорійна. Не рекомендують їсти халву при діабеті, ожирінні, а
також порушеннях обміну речовин. Деякі види халви можуть викликати алергію,
тому є її потрібно вживати обережно [6].
1.2
Класифікації та асортимент халви
Найчастіше класифікують халву на п’ять типів:
‒ соняшникова;
‒ кунжутове (або
тахіновая);
‒ арахісова;
‒ фісташкова;
‒ комбінована (при
одночасному використанні двох або більше видів олійного насіння або горіхів)
[7].
Асортимент халви можна поділити на:
‒ Халва соняшникова
цукрова
Класична халва, виготовлена з добірних обсмажених зерен соняшнику з
застосуванням виключно натуральних компонентів.
Людський організм складається на 65-70% з води і
на 30-35% з "сухого" компонента, представленого білками, жирами,
вуглеводами, мінералами і вітамінами. Близько 25% цих корисних речовин
знаходяться в халву.
Білки і жири, що входять до складу халви -
рослинного походження, саме тому вони володіють високою цінністю і легко
засвоюються нашим організмом.
‒ Халва соняшникова
ванільна
Ця халва користується великою популярністю у
цілувальників вишуканого смаку.
У соняшниковій халву у великій кількості
містяться вітаміни В1 і F1, які роблять благодійний вплив на діяльність серця і
нервової з системи, підвищують імунітет, перешкоджають відкладенню холестерину
в артеріях, позитивно впливає на стан шкіри і волосся.
‒ Халва соняшникова
з родзинками
Родзинки мають загальнозміцнюючий, кровотворчий,
жовчогінний і протизапальний ефект, надають хорошу дію на легені і печінку.
‒ Халва соняшникова
з арахісом
Завдяки тому, що в арахісі містяться унікальні
амінокислоти і вітаміни ця халва не тільки смачна, але й корисна.
‒ Халва соняшникова
з арахісом та родзинками
Родзинки мають загальнозміцнюючий, кровотворчий,
жовчогінний, і протизапальний ефект, надають хорошу дію на легені і печінку.
Арахіс містить майже половину вітамінів і 35%
мікроелементів, необхідних для нормального росту, розвитку і функціонування
організму.
‒ Халва соняшникова
з молоком
Найважливіша складова молока - кальцій. При цьому
молоко містить і інші елементи, які допомагають кальцію засвоюватися: фосфор,
вітамін D, магній. Кальцій зміцнює кісткові тканини, бере участь у формуванні
колагену, що становить 35% білка людини.
‒ Халва соняшникова
з какао
Какао позитивно впливає на серцево-судинну і
дихальну системи, корисно при бронхіальній астмі. Вважається також, що всі
какао-містять продукти є прекрасними антидепресантами і захищають зуби від
шкідливої дії цукру.
‒ Халва тахінна
Кунжут багатий вітамінами і мінеральними
речовинами. Кунжутове халва є дуже хорошим джерелом цинку, марганцю, міді,
кальцію, магнію, заліза, фосфору, вітамінів B1, З, F, Є., що зумовлює її
позитивний вплив на серцево-судинну, дихальну системи, опорно-руховий апарат,
допомагає запобігти рак кишечника, остеопороз, мігрень.
‒ Халва арахісова
Арахіс є невичерпним джерелом фолієвої кислоти,
яка сприяє зростанню і оновленню клітин.
Арахісова халва у великій кількості містить
вітаміни РР, В2, В6, D. До її складу входять і такі необхідні організму
мікроелементи як магній, фосфор, калій, залізо, які захищають клітини організму
від ушкодження вільними радикалами і перешкоджають розвитку захворювань серця і
раку [8].
1.3
Сировина для виготовлення халви
Основною сировиною для виробництва халви є цукор;
патока; ядра арахісу, волоського горіха, кеш'ю; насіння олійних культур
(соняшнику, кунжуту); піноутворювачі (мильний корінь, коріння солодки, чайне
насіння); ванілін, какао продукти тощо [9].
Халву готують з розтертого обсмаженого насіння
або ядер горіхів шляхом перемішування з карамельною масою. Карамельну масу
отримують під час збивання цукро-патокового сиропу з піноутворювачем - відваром
мильного кореня або кореня солодки.
1.4
Технологія виготовлення продукції
Приготування білкових мас. Білковими масами
називають напівфабрикат, отриманий в результаті розтирання обсмаженого насіння
або ядер горіхів. У цій масі жирова і нежирова, в основному білкова, частина
насіння або ядер горіхів порівняно рівномірно розподіляються одна в одній.
Розмір частинок білкової маси приблизно 100 нм. Масова частка жиру білкових мас
складає 45-60 %. Соняшникова маса часто містить недостатню кількість жиру і
тому її додатково збагачують олією (соняшниковою) до масової частки жиру
близько 60 % [10].
Білкова маса, подібно до какао тертого, має
схильність до розшаровування в процесі зберігання. З цієї причини її слід
перемішувати під час зберігання. Способи отримання різних білкових мас
розрізняються залежно від виду. Олійне насіння, що надходить у виробництво,
містить різні забруднювачі мінерального і природного походження (зерна інших
культур, пошкоджене насіння тощо) [11]. Тому перед використанням сировину
очищають на сепараторах, віялках і тільки після цього обрушують (знімають з
ядра насіннєву оболонку).
Приготування кунжутної (тахінної) маси.
Особливістю насіння кунжуту є те, що його оболонка щільно прилягає до ядра і
важко відділяється. Але при замочуванні ця оболонка добре набрякає, стає
еластичною і легко відокремлюється від ядра [12]. Ця властивість
використовується при виготовленні білкової тахінної маси. Очищене насіння
кунжуту замочують в металевих, дерев'яних або бетонних ємкостях об'ємом 100-1000
л. Кунжутне насіння поміщають в ємності, заповнюючи їх приблизно на 65 %, і
заливають теплою водою з температурою 40-50°С. Рівень води повинен дещо
перевищувати рівень насіння. При замочувані насіння набрякає. Його маса
збільшується на 30-50 %, відповідно збільшується і вологість (до 38-40 %) [13].
Термін замочування кунжутного насіння значною мірою залежить від його сорту і
може тривати від 30 до 180 хв. Деякі види кунжуту вимагають тривалішого
замочування, закінчення якого визначають органолептично [14]. При розтиранні
замоченого насіння між пальцями оболонка повинна легко відділятися. Коли процес
закінчений, воду зливають через сітку [15].
Після обрушування насіння кунжуту отримують масу,
що складається з оболонки і ядер насіння. Для відділення ядер від оболонки
використовують різницю в значеннях їх густини. Ядро, що містить значну
кількість жиру, має густину близько 1070 кг/м, а густина оболонки, що
складається в основному з клітковини, близько 1500 кг/м [16]. Розділення
здійснюють в рідині, що має значення густини, яке знаходиться між густиною ядра
і оболонки. Для досягнення даної мети застосовують розчин кухонної солі
концентрацією 17-19 %. Густина такого розчину 1120-1150 кг/м. Цей розчин
називають соломуром, а сам процес розділення за його допомогою -
соломуруванням. При соломуруванні оболонка тоне (опускається на дно), а ядро
спливає на поверхню розчину солі [17].
Ядро після промивання містить значну кількість
вологи (4045 %). Більша частина води не зв'язана з ядром і може бути легко
видалена механічним способом. Цю операцію проводять на центрифугах. Тривалість
процесу 2-3 хв. Більш тривале центрифугування призводить до збільшення втрат,
оскільки з водою у відходи можуть потрапити і сухі речовини [18]. Це
відбувається тоді, коли вода, що виходить з центрифуги, втрачає прозорість.
Після обробки вологість насіння знижується до 26-28 %.
Наступною операцією є термічна обробка ядер
(сушіння і обсмажування). Таку обробку кунжутних ядер проводять послідовно:
спочатку сушать до масової частки вологи 10-14 %, а потім обсмажують до
вологості 0,9-1,2 %. Інколи ці два процеси поєднують в одній установці [19].
Окрім видалення вологи, складові частини ядер кунжуту зазнають деяких змін в
своєму хімічному складі. Результатом цього є поява характерного смаку і аромату.
Ядро змінює і механічні властивості: з'являється крихкість, яка сприяє
подальшому подрібненню. Охолоджене обсмажене ядро кунжуту провіюють [20]. При
цьому, разом з подальшим охолодженням, від ядра відділяються різні домішки
(залишки оболонки, необрушені і злиплі ядра тощо). Цю операцію проводять на
віялках з вібруючими ситами. Після відвіювання ядро пропускають через магніти
для відділення металевих домішок.
Охолоджене і очищене ядро подрібнюють і одержують
масу сметаноподібної консистенції. Для подрібнення використовують різне
устаткування (жорнові млини з горизонтальним або вертикальним валом, валкові
млини, комбіновані млини) [21]. Якість одержаної маси в значній мірі обумовлена
ступенем подрібнення. Залишок на шовковому ситі не повинен перевищувати 15 %
знежиреної речовини. Якісну тахінну масу можна отримати лише з ядра, масова
частка сухих речовин в якому не менше 98,7 %. Більш вологе ядро погано
подрібнюється і утворює білкову масу грубої консистенції і високій в'язкості.
Щоб уникнути розшаровування, масу зберігають в ємності з мішалками і періодично
перемішують [22].
Отримання білкової маси з арахісу і інших ядер
горіхів (шляхом подрібнення ядер після обсмажування). Для обсмажування і
подрібнення використовують обладнання, подібне до технологічного обладнання,
яке використовують для отримання тахінної маси. Після обсмажування від ядер
арахісу відокремлюють плівку, а інколи і зародок. Технологічний режим
обсмажування схожий з режимом, що використовують при обсмажуванні кунжуту. Для
відділення плівки обсмажене ядро арахісу піддають енергійному перемішуванню.
Оболонку видаляють на віялках [23].
Ядро арахісу, на відміну від інших ядер горіхів,
має специфічний бобовий присмак. Цей присмак в значній мірі зникає під час
обсмажування. Для поліпшення смакових властивостей ядро арахісу обробляють
кухонною сіллю. З цією метою ядро арахісу змочують теплим (35-45°С) розчином
кухонної солі концентрацією 46 %. Розчин кухонної солі додають в кількості 6-9
%. Ядро арахісу поглинає розчин солі. При цьому масова частка сухих речовин
знижується і ядро можна обсмажувати звичайним способом. Сіль в кількості
0,2-0,4 % залишається в тертій масі і сприятливо впливає на її смакові якості.
За іншим способом ядро арахісу замочують в слабкому (3 % -ному) розчині солі.
Ядро просочується розсолом і масова частка сухих речовин знижується до 80 %.
Ядро відокремлюють від розсолу, підсушують і обсмажують. Терта маса з ядер має
бути добре подрібнена [19].
Отримання соняшникової білкової маси.
Виготовлення соняшникової білкової маси дещо відрізняється від отримання
тахінної і арахісової (горіхової) маси. Це пов'язано з тим, що сировиною є не
ядро, а необрушене насіння високоолійного соняшнику. Після очищення від
механічних домішок на віялках насіння калібрується за розмірами. Це пов'язано з
тим, що обрушення крупного і дрібного насіння краще проводити окремо. Для
обрушення використовують машину, в якій соняшникове насіння багато разів
піддається ударам об рифлену поверхню. Обрушене насіння (рушанка) складається з
цілих ядер, шматочків ядер, цілого необрушеного насіння, підшкірної плівки і
дрібного сміття [24]. З рушанки ціле ядро соняшнику виділяють за допомогою
різних віялок. Більш повне очищення ядер від найдрібніших частинок лушпиння і
інших домішок досягається промиванням водою. Інколи воду підкисляють оцтовою
кислотою (0,15 %). Потім більшу частину води відокремлюють на центрифугах, а
ядра підсушують до масової частки сухих речовин 85-87 %. Насіння обсмажують.
Обсмажене соняшникове ядро і терта маса з нього повинні містити 98,6-99,0 % сухих
речовин.
Приготування карамельної маси. Технологія
виготовлення карамельної маси для халви принципово не відрізняється від
приготування її в карамельному виробництві. Заздалегідь готують карамельний
сироп, який уварюють в карамельну масу. Така маса повинна мати пластичні
властивості в більш широкому діапазоні температур. При енергійному
перемішуванні не повинна кристалізуватися [25]. Ці властивості карамельної маси
для халви забезпечуються більшою часткою патоки в рецептурі. Додають 150-200 кг
патоки на 100 кг цукру.
Уніфікованими рецептурами передбачено внесення
188,5 кг патоки на 100 кг цукру. Карамельна маса, виготовлена за такою
рецептурою, має більшу в'язкість, що сприятливо впливає на якість халви.
Карамельну масу для халви уварюють дещо слабкіше. Масова частка сухих речовин в
ній менша, ніж в призначеній для карамелі, і має бути 94-95 %. Знижена масова
частка сухих речовин сприятливо впливає на структуру отриманої халви і
утворення волокнистої структури, полегшує отримання піноподібної структури при
збиванні з екстрактом мильного кореня і при подальшому вимішуванні з білковою
масою. Рецептурами передбачена часткова заміна патоки інвертним сиропом. Якість
халви з використанням карамельної маси, виготовленої за такою рецептурою,
знижена. Вона більш гігроскопічна, менш пластична, має меншу в'язкість.
Уварюють карамельну масу зі зниженою кількістю патоки до більшої масової частки
сухих речовин (96-97,3 %). Масова частка редукуючих речовин в карамельній масі
будь-якого складу має бути в межах 32 % [26].
Приготування екстракту мильного кореня і збивання
з ним карамельної маси. Для того, щоб халва мала шарувато-волокнисту структуру,
карамельна маса має бути перетворена на пористий легкий продукт. З цією метою
карамельну масу збивають з піноутворювачем, використовуючи екстракт мильного
кореня або кореня солодки.
Піноутворюючою речовиною у відварі мильного
кореня є глюкозид сапонін. Він має поверхневу активність, його розчини дають
рясну і стійку піну. Проте слід враховувати, що сапонін несприятливо впливає на
червоні кров'яні тільця крові людини. Ця дія достатньою мірою локалізується у
присутності жирів і супутніх їм речовин. З цієї причини при виробництві халви
відвар мильного кореня дозволено застосовувати лише в невеликих кількостях (до
0,03 % сапоніну), а для інших кондитерських виробів його використання
заборонено.
Сухий мильний корінь являє собою висушені тверді
корені завдовжки 15-20 см. Перед використанням їх ретельно миють водою, а потім
замочують в чистій гарячій воді з температурі 60-800С протягом 10-15 год. При
цьому корінь розм'якшується. Потім його ріжуть на дрібні шматки по 3-4 см,
поміщають у варочний котел, заливають водою і виварюють [18]. Отриманий відвар
зливають і фільтрують, а мильний корінь, що залишився, знову заливають чистою
водою і випаровують до відносної густини 1,01. Так повторюють 3-4 рази. Відвар
після другого, третього і четвертого уварювань об'єднують і уварюють до густини
1,05. Таке значення відносної густини приблизно відповідає масовій частці сухих
речовин 10 %. Дещо менше половини сухих речовин складає сапонін [17].
Готовий відвар мильного кореня - це рідина
темно-коричневого кольору, яка не повинна мати стороннього запаху. її
використовують відразу після виготовлення, оскільки при зберіганні відвар
псується і втрачає пінотворні властивості. Вихід відвару складає приблизно 25 %
маси сухого мильного кореня.
Замість мильного кореня у виробництві халви можна
використовувати відвар солодкового (лакричного) кореня. Він має меншу
піноутворюючу здатність, тому відвар готують більш концентрованим, з густиною
не нижче 1,12 [26]. Екстракт кореня солодки може надходити у виробництво у
вигляді готового концентрату (густої рідини) або в твердому вигляді у брикетах.
Відвар мильного кореня збивають з карамельною масою, що має температуру Карамельну
масу завантажують в заздалегідь підігрітий до температури 120°С котел з
мішалкою і додають 1,5-2,0 % (за масою) відвару мильного кореня. Котел
завантажують не повністю, оскільки при збиванні об'єм карамельної маси значно
зростає. Тривалість збивання 15-20 хв. Збита маса має бути пишною, білого
кольору і витягуватися в довгі нитки, що не рвуться. Якщо карамельну масу
збивати при зниженій температурі, то її в'язкість підвищується [23].
Великий вплив на якість збитої карамельної маси
має тривалість збивання. Зменшення тривалості збивання призводить до утворення
грубоволокнистої структури та появи жовтого кольору. При збільшенні тривалості
збивання маса виходить більш пишна, але нитки в ній короткі і легко рвуться.
Вимішування халви. Збиту з екстрактом мильного
кореня карамельну масу змішують з білковою масою. В результаті вимішування
халва набуває шарувато-волокнистої структури, будову якої можна уявити як
каркас з ниток карамельної маси, на якому рівномірно тонким шаром
розподіляється білкова маса [21]. Особливе значення має рівномірний розподіл
обох компонентів. Рецептурою передбачено введення білкової і карамельних мас
майже в рівних кількостях з невеликим перевищенням частки білкової маси (на 54
масових частини білкової маси витрачається 46 частин збитої карамелевої маси).
При виготовленні арахісової і інших видів халви на основі ядер горіхів частку
білкової маси підвищують до 60 з відповідним зниженням частки карамельної маси
до 40 [24]. При цьому враховують, що зі збільшенням частки білкової маси
знижується здатність готової халви утримувати жир. Із зменшенням частки
білкової маси збільшується твердість готового продукту. При змішуванні
компонентів велике значення має температура. Збиту карамельну масу
використовують з температурою біля 110°С, а білкову - з температурою біля 40°С.
Одночасно з основними компонентами додають смакові і ароматичні добавки -
какао-порошок, ванілін [28].
Фасування і пакування халви. Халву випускають
ваговою і фасованою. Вагову пакують у ящики дощані і фанерні, застелені
пергаментом, підпергаментом масою нетто до 15 кг і з гофрованого картону масою
до 12 кг. Фасована халва може бути у вигляді брикетів масою до 300 г, в
жерстяних банках - до 600 і в художньо оформлених коробках - до 1500 г.
1.5
Особливості процесу руйнування насінної оболонки
В даний час відомо кілька способів руйнування
насінної оболонки, але основним є удар (багаторазовий або однократний). На
якість цього процесу впливають: вологість, маслянистість і ботанічний різновид
насінь, а також напрямок дії сили удару.
При багаторазовому ударі застосовуються бичевого
рушки продуктивністю від 300 до 2500 кг / год (МРН). Їх недоліком є
невпорядкованість руху насіння в машині і можливість їх повторного обвалення,
що призводить до великої кількості січки й олійного пилу (мучки) [11].
При одноразовому обваленні - відцентрові рушки
продуктивністю від 300 до 10000 кг / год (А1-МРЦ). Руйнування насіння в них
орієнтуються по своїй поздовжній осі й за рахунок відцентрової сили набувають
необхідну швидкість для руйнування своєї плодової оболонки.
Відсоток освіти січки і мучки у них менше ніж у
бичевій рушці (особливо при обробці високоолійних насіння). У всіх цих рушок
кожна отримана після калібрована фракція насіння валиться окремо. При обваленні
насіння соняшнику виходить рушанка, що складається з ядра, лузги, січки й
олійного пилу (мучки).
На якість цього процесу впливають: вологість,
маслянистість і ботанічний різновид насінь, а також напрямок дії сили удару
[29].
1.6
Мета та завдання досліджень
Мета роботи - дослідити якість основної сировини
для виготовлення халви та визначити її фізико-хімічні показники. Для досягнення
поставленої мети необхідно було виконати такі завдання:
‒ вибрати об’єкт і
предмет дослідження;
сировина халва цукор якість
‒ обрати методи
визначення якості сировини за фізико-хімічними показниками;
‒ дослідити якість
сировини для виготовлення халви;
‒ порівняти
отримані результати досліджень з вимогами НД;
‒ провести обробку
експериментальних даних з визначенням абсолютної похибки вимірювань;
‒ надати
рекомендації щодо можливості використання досліджуваної сировини у виробництві
халви.
Висновки
до розділу
В аналітичному огляді
літератури наведено хімічний склад і технологічні властивості сировини, що
використовується у виробництві халви, викладені теоретичні основи технології;
викладена технологія виготовлення та розглянуті харчова та біологічна цінність
халви; розглянуто більш детально процес випікання.
Досліджуючи сировину для
виготовлення халви, можна сказати, що від сировини залежить іх якість,
органолептичні та фізико-хімічні показники.
У цей час відомо кілька
способів руйнування оболонки насіння (обвалення) але основним є удар
багаторазовий або однократний.
На якість цього процесу
впливають: вологість, маслянистість і ботанічний різновид насіння, а також
напрямок дії сили удару.
Розділ
2. Експериментальна частина
2.1
Організація, об’єкти, предмети та основні методи дослідження якості халви
Організація дослідження якості халви складається
з трьох етапів. Підготовчий етап визначення об’єктів та предметів дослідження,
вибір методів дослідження показників якості сировини.
Наступний етап включає дослідження якості
сировини різних постачальників за фізико-хімічними показниками.
Третім етапом є порівняння отриманих даних з
вимогами НД і становлення висновку про якість сировини, а також обробка
результатів дослідження, з визначенням абсолютної похибки [28].
Об’єктом дослідження є. Досліджено борошно
пшеничне вищого гатунку п’яти торгових марок (Додаток Б):
. ТОВ "Злак Млин";
2. ТМ "Makfa";
. ТМ "Хуторок";
. ТМ "Зерносвіт";
. ТМ "Добродія".
Предметом дослідження даної курсової роботи є
визначення вмісту сирої клейковини та вологості борошна.
Методи дослідження: фізико-хімічні методи
дослідження (повітряно-тепловий метод визначення вологості борошна, метод
визначення сирої клейковини, метод визначення масової частки золи), метод
математичної обробки експериментальних даних.
2.1.1
Методика визначення вологості цукру
Вологість цукру - найважливіший фізико-хімічний
показник якості для цукру.
Визначають масову частки вологи цукру згідно з
ДСТУ 3659-97 (ГОСТ 12570-98) "Сахар. Метод определения влаги и сухих
веществ"
Метод заснований на висушуванні наважки до
постійної маси, для чого використовують заздалегідь висушені бюкси з притертими
кришками.
Техніка визначення - наважки цукру-піску або
тонкоподрібненого цукру-рафінаду масою близько 10 г зважують з погрішністю
±0,0002 г і висушують в сушильній шафі при температурі 105°С до постійної маси.
Висушування починають при температурі 50°С і протягом 30 хв доводять її до
105°С у звичайній сушильній шафі. Перше зважування при висушуванні в сушильній
шафі - через 3 год. Кожне подальше зважування здійснюють через кожну годину
сушіння. Наважки висушують до тих пір, поки різниця між двома подальшими
зважуваннями не перевищує 0,001 г. У всіх випадках зважування ведуть з
погрішністю не більше 0,0002 г. Результати зважування округляють до тисячних
часток грама.
Масову частку вологи W (у %) розраховують за
формулою 2.1:
, (2.1)
де m - маса зразка, г;и m2 - маса наважки з
бюксом до і після висушування, г.
2.1.2
Визначення масової частки сахарози в цукрі
Визначають масову частки сахарози в цукрі згідно
з ДСТУ 3661-97 (ГОСТ 12571-98) "Сахар. Метод определения сахарозы"
Техніка визначення - визначення проводять
поляриметричним методом, для чого готують 26-процентний розчин цукру-піску або
цукру-рафінаду, останній заздалегідь подрібнюють в ступці. Зважують з
погрішністю ±0,0002 г, результат округляють до тисячних часток грама. Наважку
розчиняють в гарячій дистильованій воді невеликими порціями, потім вміст колби
охолоджують до 20°С і доводять водою до мітки. Розчин фільтрують, перші порції
фільтрату відкидають. Для визначення досить 100 см3 розчину. Відфільтрований
розчин заливають в поляриметричну трубку завдовжки 200 мм і знімають показання
по відліковому пристрою сахариметра, який відповідає масовій частці сахарози в
цукрі, вираженої у відсотках. Відлік проводять не менше п'яти разів.
Масову частку сахарози розраховують за формулою
2.2:
, (2.2)
де Х - масова частка сахарози в перерахунку на
сухі речовини, %;
Р - показання сахариметра, отримане як
середньоарифметичне результатів п'яти визначень, %;- масова частка вологи в
цукрі, %.
2.2
Дослідження якості цукру різних торгових марок
Об’єктом дослідження є цукор-пісок. Ми
досліджуємо цукор виробників п’яти торгових марок:
. ТМ "Радуга Самоцветов";
2. ТМ "Русский сахар";
. ТМ "Сладов";
. ТОВ "Зоря поділля";
. ТМ "Солодко".
Дослідження вмісту масової частки вологи у цукрі
проводили згідно з вимогами ДСТУ 3659-97 (ГОСТ 12570-98)"Сахар. Метод
определения влаги и сухих веществ"
Результати досліджень вмісту масової частки
вологи у цукрі різних торгових марок наведено в таблиці 2.1.
Таблиця 2.1
Вологість цукру різних торгових марок
|
Торгова
марка борошна
|
Значення
обчислень вологи, %
|
|
ТМ
"Радуга Самоцветов"
|
0,11
0,13 0,12 0,125 0,112
|
|
ТМ
"Русский сахар"
|
0,126
0,13 0,14 0,126 0,13
|
|
ТМ
"Сладов"
|
0,11
0,13 0,12 0,125 0,132
|
|
ТОВ
"Зоря поділля"
|
0,11
0,13 0,12 0,145 0,102
|
|
ТМ
"Солодко"
|
0,143
0,134 0,125 0,135 0,148
|
Згідно з вимогами ГОСТ 12570-98 "Сахар.
Метод определения влаги и сухих веществ" має бути не більше, ніж 0,15 %
[16].
Цукор з підвищеною вологістю швидко псується у
процесі зберігання, має нижчу, ніж сухе, водопоглинальну здатність.
Найнижче значення вологи було досліджено в
цукрі-піску ТОВ "Зоря поділля" - 0,102%, а найвище - в борошні ТМ
"Солодко" 0,148 %.
Жоден показник не перевищував норми, тобто усі
досліджувані торговельні марки цукру є придатними для споживання та використання.
Дослідження масової частки сахарози в цукрі
згідно з ДСТУ 3661-97 (ГОСТ 12571-98)"Сахар. Метод определения
сахарозы"
Результати визначення масової частки сахарози в
цукрі в табл.2.2
Таблиця 2.2
Масова частка сахарози в цукрі різних
торгівельних марок
|
Номер
зразка
|
Кількість
клейковини, %
|
|
ТМ
"Радуга Самоцветов"
|
99,56
99,588 99,574 99,566 99,60
|
|
ТМ
"Русский сахар"
|
99,689
99,66 99,69 99,71 99,73
|
|
ТМ
"Сладов"
|
99,81
99,78 99,76 99,83 99,75
|
|
ТОВ
"Зоря поділля"
|
99,93
99,82 99,845 99,86 99,868
|
|
ТМ
"Солодко"
|
99,572
99,576 99,58 99,582 99,584
|
За результатами визначення масової частки
сахарози в цукрі можна зробити висновок, що всі досліджувані зразки
відповідають вимогам ГОСТ 12571-98 "Сахар. Метод определения
сахарозы", тобто згідно з цим вимогам, вміст масової частки сахарози має
бути не менше, ніж 99,55%
При визначенні масової частки сахарози в цукрі
ТОВ "Зоря поділля" отримала найвищий результат - 99,868, а
торгівельна марка найнижчий результат 99,56. Кожний показник відповідає нормі,
тобто усі досліджувані торговельні марки борошна є придатними для споживання та
використання.
Похибка вимірювань звичайно є невідомою, тому що
і дійсне значення вимірюваної величини є невідомим. Абсолютна похибка
вимірювання - різниця між результатом вимірювання (х) та дійсним значенням (х
0) вимірюваної величини [29]. Вимірювання - процес порівняння її з однорідною
величиною, яку взято за одиницю вимірювання. Навіть за достатньо точних
вимірювань однієї і тієї самої величини одержані значення відрізняються одне
від одного, тому що містять помилки чи похибки. Це зумовлено недосконалістю
засобів вимірювальної техніки та помилок при обчисленні [30]. До завдань
вимірювань входить визначення самої величини та оцінювання допущеної похибки.
Обробка експериментальних вимірювань проводиться в такій послідовності:
. Кожну величину вимірюють декілька разів
і визначають середнє арифметичне значення показника властивості за формулою:

, (2.3)
де 
- значення вимірюваної величини;- кількість вимірювань.
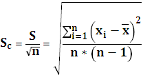
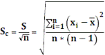
2. Розраховують середнє квадратичне (S)
відхилення результатів від середнього арифметичного, яке характеризує абсолютну
мінливість досліджуваного показника:
S=
(2.4)
. Визначають величину 3S та порівнюють її з
відхиленням кожного результату від середнього арифметичного (
. Якщо величина (
більша 3S, то такий результат відкидають як промах. Потім
необхідно знову визначити середнє значення показника та середнє квадратичне
відхилення для залишків кількості вимірювань.
. Знаходять 
- середнє значення S за формулою:

(2.5)
5. Визначають надійний інтервал. Для цього
використовують розподіл Стьюдента. Коефіцієнт Стьюдента (t) - це табличне
значення.
6. Він залежить від кількості вимірювань та
заданої надійності [30]. Для п’яти вимірювань t=2,8.

(2.6)
7. Останній етап - запис результату
обчислень у вигляді:
х=
(2.7)
При проведенні обчислень вологи цукру та частки сахарози
промахів не було виявлено.
Результати обчислення абсолютної похибки при втрачені
вологості цукру наведено в таблиці 2.3
Таблиця 2.3
Результати обчислення абсолютної похибки
вологості цукру
Вид борошна Середнє значення вологи (
), %Середнє квадратич-не
(S) Середнє
значення 
Надійний інтервал (
, %Результати обчислень
|
ТМ
"Радуга Самоцветов"
|
0,26
|
0,67
|
0,30
|
0,84
|
0,26 0,84
|
|
ТМ
"Русский сахар"
|
0,38
|
0,245
|
0,11
|
0,31
|
0,38  0,31
|
|
ТМ
"Сладов"
|
0,27
|
0,595
|
0,27
|
0,74
|
0,27  0,74
|
|
ТОВ
"Зоря поділля"
|
0,138
|
0,86
|
0,45
|
0,96
|
0,138  0,96
|
|
ТМ
"Солодко"
|
0,141
|
0,42
|
0, 19
|
0,525
|
0,141  0,525
|
За результатами обчислення вологості цукру-піску
різних торгівельних марок (табл.2.3), можна сказати, що всі зразки цукру
відповідають нормованому значенню ГОСТ 12570-98 "Сахар. Метод определения
влаги и сухих веществ" має бути не більше, ніж 0,15 % [
Найбільше значення вологи цукру (0,141 %) було
виявлено в останньому зразку (ТМ "Солодко"), також йому відповідає
найбільший надійний інтервал. Цукор з найменшою вологістю (0,26 %) - ТМ
"Радуга Самоцветов".
Результати обчислення абсолютної похибки при
визначенні масової частки сахарози в цукрі в таблиці 2.4
Таблиця 2.4
Результати обчислення абсолютної похибки при
визначенні сахарози
Вид борошна Середнє значення (
), %Середнє квадра - тичне
(S) Середнє
значення 
Надійний інтервал (
, %Результат обчислень
|
(х), %
|
|
|
|
|
|
|
ТМ
"Радуга Самоцветов"
|
99,572
|
0,3
|
0,13
|
0,76
|
 0,76
|
|
ТМ
"Русский сахар"
|
99,688
|
0,43
|
0,37
|
99,688 0,37
|
|
ТМ
"Сладов"
|
99,773
|
0,57
|
0,25
|
0,71
|
99,773 0,71
|
|
ТОВ
"Зоря поділля"
|
99,867
|
0,48
|
0,22
|
0,602
|
99,867 0,602
|
|
ТМ
"Солодко"
|
99,578
|
0,37
|
0,17
|
0,46
|
99,578 0,46
|
За результатами обчислення абсолютної похибки при
визначенні сахарози (табл.2.4), можна сказати, що всі зразки цукру відповідають
нормованому значенню ГОСТ 12571-98 "Сахар. Метод определения
сахарозы"
Найбільше значення абсолютної похибки при
визначенні сахарози в цукрі-піску (99,867%) було виявлено в передостанньому
зразку (ТОВ "Зоря поділля"). Цукор з найменшою (99,572 %) - ТМ
"Радуга Самоцветов", якому відповідає найбільший надійний інтервал.
Загальні результати проведеного дослідження
зображені у таблиці 2.5 У ній наведено обчислене та нормуюче значення
досліджуваних показників.
Нормуючі значення були взяті з нормативного
документу ДСТУ 4623-2006 "Сахар белый. Технические условия"
Таблиця 2.5
Значення показника якості
|
Торгова
марка борошна
|
Масова
частка вологи, %
|
Масова
частка сахарози, %
|
|
Фактичне,
%
|
За НД,
не більше
|
Фактичне,
%
|
За НД,
не менше
|
|
ТОВ
"Злак Млин"
|
0,26 ±
0,84
|
0,15
|
99,572
± 0,76
|
99,55
|
|
ТМ
"Makfa"
|
0,38 ±
0,31
|
|
99,688±
0,37
|
|
|
ТМ
"Хуторок"
|
0,27
±0,74
|
|
99,773±
0,71
|
|
|
ТМ
"Зерносвіт"
|
0,138
±0,96
|
|
99,867±
0,602
|
|
|
ТМ
"Добродія"
|
0,141 ±
0,525
|
|
99,578±
0,46
|
|
За результатами обчислення фізико-хімічних
властивостей цукру: масової частки вологи та сахарози різних торгівельних
марок, можна сказати, що всі зразки цукру відповідають нормованому значенню
ДСТУ 4623-2006 "Сахар белый. Технические условия"
Найбільше значення вологи цукру (0,141 %) було
виявлено в останньому зразку (ТМ "Солодко"), також йому відповідає
найбільший надійний інтервал. Цукор з найменшою вологістю (0,26 %) - ТМ
"Радуга Самоцветов".
Найбільше значення абсолютної похибки при
визначенні сахарози в цукрі-піску (99,867%) було виявлено в передостанньому
зразку (ТОВ "Зоря поділля"). Цукор з найменшою (99,572 %) - ТМ
"Радуга Самоцветов", якому відповідає найбільший надійний інтервал.
Висновки
до розділу
В даному розділі було встановлено предмет,
об’єкти та методи дослідження якості халви.
При визначенні якості сировини досліджено масову
частку вологи та масову частку сахарози, так як від цих показників залежать
якість цукру, в результаті чого і якість продукціі та ії споживчі властивості.
Для дослідження використовувалось цукор-пісок
п’яти торгових марок: ТМ "Радуга Самоцветов", ТМ "Русский
сахар", ТМ "Сладов", ТОВ "Зоря поділля", ТМ
"Солодко".
Кожен показник вимірювався по 5 разів, результати
були оброблені математично. В експериментальній частині курсової роботи
встановлено, що деякі зразки наближені до нормованого значення показника. Так,
за результатами найбільше значення вологи цукру (0,141 %) було виявлено в
останньому зразку (ТМ "Солодко"), також йому відповідає найбільший
надійний інтервал. Цукор з найменшою вологістю (0,26 %) - ТМ "Радуга
Самоцветов".
Найбільше значення абсолютної похибки при
визначенні сахарози в цукрі-піску (99,867%) було виявлено в передостанньому
зразку (ТОВ "Зоря поділля"). Цукор-пісок з найменшою (99,572 %) - ТМ
"Радуга Самоцветов", якому відповідає найбільший надійний інтервал.
Усі досліджувані зразки цукру різних
постачальників відповідають вимогам стандарту за показниками вологості та
масовою частки сахарози, тому можуть бути використані, як сировина для
виробництва.
Висновки
Халва це недорогий і
привабливий на смак десерт відомий з давніх часів, але рецепт його
приготування, виключаючи невеликі нюанси, залишився незмінним і донині.
Халву роблять з насіння
або горіхів з додаванням патоки і цукру. Неоціненну користь для організму
представляють вхідні в неї різноманітні вітаміни, поліненасичені кислоти,
мікроелементи, клітковина.
Як відомо, організм
людини приблизно на 70% складається з води і на 30% з жирів, білків,
вуглеводів, мінералів і вітамінів. Халва ж містить 25% цих необхідних для
життєдіяльності речовин!
Цей натуральний продукт
рекомендують вводити в раціон вагітним жінкам, так як входить в його склад
фолієва кислота бере участь у зростанні клітин, годуючим матерям, людям, що
займаються розумовою працею. Ласуни, що вживають халву взимку, довше не
мерзнуть на морозі. Ці ласощі допомагає так само боротися з депресією.
Основною сировиною для
виробництва халви є цукор; патока; ядра арахісу, волоського горіха, кеш'ю;
насіння олійних культур (соняшнику, кунжуту); піноутворювачі (мильний корінь,
коріння солодки, чайне насіння); ванілін, какао продукти тощо.
Халву готують з розтертого
обсмаженого насіння або ядер горіхів шляхом перемішування з карамельною масою.
Карамельну масу отримують під час збивання цукро-патокового сиропу з
піноутворювачем - відваром мильного кореня або кореня солодки.
Досліджувальною сировиною був цукор-пісок. Для
дослідження використовувався цукор-пісок п’яти торгових марок: ТМ "Радуга
Самоцветов", ТМ "Русский сахар", ТМ "Сладов", ТОВ
"Зоря поділля", ТМ "Солодко".
Кожен показник вимірювався по 5 разів, результати
були оброблені математично. В експериментальній частині курсової роботи
встановлено, що деякі зразки наближені до нормованого значення показника. Так,
за результатами найбільше значення вологи цукру (0,141 %) було виявлено в
останньому зразку (ТМ "Солодко"), також йому відповідає найбільший
надійний інтервал. Цукор з найменшою вологістю (0,26 %) - ТМ "Радуга
Самоцветов".
Найбільше значення абсолютної похибки при
визначенні сахарози в цукрі-піску (99,867%) було виявлено в передостанньому
зразку (ТОВ "Зоря поділля").
Цукор з найменшою (99,572 %) - ТМ "Радуга
Самоцветов", якому відповідає найбільший надійний інтервал. Згідно з
поставлених завдань роботи було:
‒ визначено
споживчі властивості крекеру та галет;
‒ досліджено
сировину для виготовлення крекеру та галет;
‒ досліджено
техгологію виготовлення крекеру та галет;
‒ досліджено
методику визначення вологості, якості та кількості клейковини та зольності
борошна;
‒ досліджено якість
борошна різних постачальників.
Усі досліджувані зразки цукру різних
постачальників відповідають вимогам стандарту за показниками вологості та
масовою частки сахарози, тому можуть бути використані, як сировина для
виробництва.
Список
використаних джерел
1. Мэнли
д. Мучные кондитерские изделия /пер. С англ.В. е. ашкинази; науч. Ред.И. в. матвеева.
- спб: профессия, 2003. - 558 с., ил. - (серия: научные основы и технологии).
2. Справочник
технолога пищеконцентратного и овощесушильного производства. Под ред. Гуляева
в.Н. - м.: легкая и пищ. Пром-сть, 1984.
. Бачурская
л.Д., гуляев в.Н. Пищевые концентраты. - м.: пищ. Пром-сть, 1976. - 335 с.
. Экспертиза
пищевых концентратов: учеб. - справ. Пособие. / в. м. поздняковский, и. ю.
резниченко, а. м. попов - новосибирск: сиб. Унив. Изд-во, 2004. - 226 с., 8 ил.
. Рудавська
г. б., тищенко є. в. харчові концентрати: підручник. - к.: київ. Нац. Торг. -
екон. Ун-т, 2001. - 320 с.
. Лабораторный
практикум по общей технологии пищевых производств/ а. а. виноградова, г. м.
мелькина, л. а. фомичева и др.: под ред.Л. п. ковальской. - м.: агропромиздат,
199. - 335 с.
. Лабораторный
практикум по общей технологии пищевых производств. Под ред. Ковальской л. п. -
м.: агропромиздат 1991. - 336 с
. ГОСТ
21-94. Сахар-песок. Технические условия.
. ГОСТ
12569-85. Сахар. Правила принимания и эфективные методы отбора проб.
. ГОСТ
12570-89. Сахар. Методи определения влажности і сухих веществ.
. Електронный
ресурс: #"654438.files/image019.gif">