|
Неділ. операції
|
Діл. операції
|
Назва операції
|
Спеціаль- ність
|
Норма часу, с
|
Обладнання та потужність
|
|
1
|
2
|
3
|
4
|
5
|
6
|
|
1
|
1
|
Продублювати підборта
|
ПР
|
27
|
|
|
2
|
2
|
Продублювати обшивку горловин
|
ПР
|
20
|
|
|
3
|
1
|
Продублювати обшивки пілочок по горловині
|
ТО
|
36
|
|
|
4
|
2
|
Продублювати обшивку спинки по горловині
|
ТО
|
32
|
|
|
5
|
3
|
Продублювати пілочок по плечовому зрізу
|
ТО
|
32
|
|
|
6
|
4
|
Продублювати пілочки по краю борта /верх і
низ/
|
ТО
|
80
|
|
|
7
|
1
|
Зшити виточки
|
М
|
50
|
Закріпочна 550
|
|
8
|
2
|
Запрасувати виточки
|
ТО
|
37
|
|
|
9
|
3
|
Обметати пілочки по бокових зрізах
|
CM
|
50
|
Оверлок 400
|
|
10
|
4
|
Обметати пілочки по плечовим зрізам
|
CM
|
22
|
Оверлок 400
|
|
11
|
1
|
Зшити середній шов спинки
|
М
|
42
|
Оверлок 400
|
|
12
|
2
|
Обметати середній шов спинки
|
CM
|
32
|
Оверлок 400
|
|
13
|
3
|
Запрасувати середній шов спинки
|
ТО
|
30
|
|
|
14
|
4
|
Відстрочити оздоблювальну строчку по
середньому шву спинки
|
М
|
40
|
Оверлок 400
|
|
15
|
5
|
Пришити бочка до спинки
|
М
|
87
|
Оверлок 400
|
|
16
|
6
|
Обметати шви пришивання бочків до спинки
|
CM
|
64
|
Оверлок 400
|
|
17
|
7
|
Запрасувати шви пришивання бочків до спинки
|
ТО
|
50
|
|
|
18
|
8
|
Відстрочити оздоблювальну строчку по швах
пришивання бочків до спинки
|
М
|
80
|
Оверлок 400
|
|
19
|
9
|
Обметати спинку по бокових зрізах
|
CM
|
50
|
|
|
20
|
10
|
Обметати спинку по плечовим зрізам
|
CM
|
22
|
Оверлок 400
|
|
21
|
1
|
Зшити пояс
|
М
|
36
|
Поясна 350
|
|
22
|
2
|
Розпрасувати шов зшивання пояса
|
ТО
|
18
|
|
|
23
|
3
|
Обметати нижній зріз пояса
|
CM
|
60
|
Оверлок 400
|
|
24
|
1
|
Обметати зріз підборта
|
CM
|
80
|
Оверлок 400
|
|
25
|
2
|
Обметати зріз обшивки горловини
|
CM
|
28
|
Оверлок 400
|
|
26
|
3
|
Пришити обшивку до підбортів
|
М
|
32
|
Оверлок 400
|
|
27
|
4
|
Розпрасувати шов пришивання обшивки до
підбортів
|
ТО
|
28
|
|
|
28
|
5
|
Застрочити зріз підборта і обшивки
|
М
|
140
|
Оверлок 400
|
|
29
|
6
|
Настрочити марку - розмір
|
М
|
32
|
|
|
30
|
1
|
Зшити плечові шви
|
М
|
44
|
Оверлок 400
|
|
31
|
2
|
Розпрасувати плечові шви
|
CM
|
35
|
|
|
32
|
3
|
Обшити пройми пілочок і спинки
|
М
|
200
|
Оверлок 400
|
|
33
|
4
|
Припрасувати пройми виправляючи кант
|
CM
|
150
|
|
|
34
|
5
|
Зшити бокові шви
|
М
|
87
|
Оверлок 400
|
|
35
|
6
|
Розпрасувати бокові шви
|
ТО
|
65
|
|
|
36
|
7
|
Відстрочити оздоблювальну строчку по проймах
|
М
|
180
|
Оверлок 400
|
|
37
|
8
|
Закріпити обшивки по боковим швам
|
М
|
40
|
Оверлок 400
|
|
38
|
9
|
Пришити пояс до низу
|
М
|
100
|
Оверлок 400
|
|
39
|
10
|
Обметати шов пришивання пояса
|
CM
|
60
|
Оверлок 400
|
|
40
|
11
|
Запрасувати шов пришивання пояса
|
ТО
|
50
|
Оверлок 400
|
|
41
|
12
|
Відстрочити оздоблювальну строчку по шву
пришивання пояса
|
М
|
100
|
Оверлок 400
|
|
42
|
13
|
Запрасувати пілочки по краю борта
|
ТО
|
100
|
|
|
43
|
14
|
Настрочити замок-блискавку
|
М
|
150
|
Оверлок 400
|
|
44
|
15
|
Обшити борта пілочок
|
ТО
|
232
|
Оверлок 400
|
|
45
|
16
|
Припрасувати борта
|
ТО
|
130
|
Оверлок 400
|
|
46
|
17
|
Обшити горловину
|
М
|
190
|
Оверлок 400
|
|
47
|
18
|
Запрасувати шов обшивання
|
ТО
|
120
|
|
|
|
виправляючи кант
|
|
|
|
|
48
|
19
|
Відстрочити оздоблювальну строчку на горловині
|
М
|
100
|
Оверлок 400
|
|
49
|
20
|
Запрасувати низ
|
ТО
|
60
|
|
|
50
|
21
|
Відстрочити оздоблювальну строчку по низу
|
М
|
100
|
Оверлок 400
|
|
51
|
22
|
Закріпити підборта по низу
|
М
|
28
|
Оверлок 400
|
|
52
|
23
|
Відстрочити строчку по бортах
|
М
|
100
|
Оверлок 400
|
|
53
|
24
|
Намітити і закріпити етикетку складу-розміру
|
М
|
Оверлок 400
|
|
54
|
25
|
Закріпити підборта з обшивкою по плечових швах
|
М
|
28
|
Оверлок 400
|
Потім треба вивчити
обробку окремих вузлів і деталей виробів. Тільки після цього можна практично
виконувати монтаж виробу. Пошиття жіночого жилету є дуже складний технологічний
процес при виготовленні, якого спочатку перевіряють комплектність і точність
крою кожної деталі. Деталі жіночого жилету нумеруються. Деталі одного й того ж
виробу дістають однаковий номер.
Потрібно скласти
функціонально-технологічну схему даного процесу. Для цього потрібно розрахувати
кількість обладнання для пошиття моделі з врахуванням часу виконання окремих
операцій, часу простою між операційних пристроїв та зменшення кількості одиниць
устаткування з метою спрощення структури ділянки виготовлення виробу. При
виконанні схем для об'єктів з великою кількістю технологічного устаткування,
забезпеченого засобами автоматизації, бажано виконувати розрив з'єднувальних
ліній.
Допускається робити
розрив з'єднувальних ліній тільки в найбільш насичених місцях креслення. Для
зручності читання схеми кінці цих ліній з'єднуються під скоби.
Кінці цих
з'єднувальних ліній від елементів засобів автоматизації, зображених в
прямокутниках внизу креслення, зображаються над ними.
Скоби з'єднуються
однією лінією. Кожний кінець лінії обриву нумерується однаковою арабською
цифрою у зв'язку з чим кінці прямуючі від елементів засобів автоматизації,
зображених в прямокутниках нумеруються зліва на право в суворо збільшуючому
порядку.
При виконанні схеми
для двох або кількох однотипних агрегатів (установок), контроль і управління
яких передбачається з загального щита, схема виконується для одного із них і
дається зауваження : "На схемі показані засоби автоматизації і апаратура
управління електроприводами одного агрегату; схема для других агрегатів
аналогічна попередній. Засоби автоматизації і прилади управління всіх агрегатів
встановлюються на одному загальному щиті."
Для агрегатів,
оснащених невеликою кількістю засобів автоматизації, дозволяється зображувати в
прямокутниках внизу креслення зображення засобів автоматизації інших агрегатів;
при цьому вихідні від них з'єднувальні лінії відриваються і над ними робиться
пояснювальний надпис.
При виконанні схем
для кількох різних агрегатів і загально цехового обладнання або загальних
вимірів, контроль і управління якими передбачаються з групового щита схема
зображається на одному або кількох окремих аркушах того ж креслення.
Всім засобам
автоматизації, зображених на схемі, присвоюються номера позицій зберігаючих у
всіх матеріалах проекту. Номер присвоюється кожному комплекту засобів
автоматизації і всім вхідним в цей комплект елементів.
Комплектом
вважаються функціонально зв'язані елементи, які виконують певну задачу. Номера
не присвоюються відбірним засобам, за винятком виготовляємих заводами і
постачаємо в комплекті із засобами автоматизації.
Маркування ланцюгів
технологічних вимірів виконують порядковими числами рекомендованої групи чисел
в межах кожного самостійного вимірювання закріплюючи за ним ряд чисел.
На функціонально-технологічній
схемі живлення відображають систему живлення приладів та засобів автоматизації.
Це невелика система електропостачання, електроприймачами якої є прилади,
апарати, регулюючі пристрої, електроприводи виконавчих механізмів, засувок,
вентилів. Наведені електроприймачі встановлюються не тільки на щитах та пультах
систем автоматики, але розміщенні по всьому автоматизованому об'єктові. Від
надійності їх електропостачання залежить нормальна та безаварійна робота всього
об'єкту в цілому.
Напруга вибирається
з врахуванням прийнятих напруг в розподільчій мережі системи електропостачання
автоматизованого об'єкту.
Для розподілу
електроенергії використовують чотири приводні системи трифазного змінного
струму напругою 220/380 В з заземленням нейтралі. Для живлення місцевого та
переносного освітлення та електрифікованого інструменту використовують дво
провідні мережі напругою 24 та 36 В. В колах напругою 12 та 36 В допускається
втрата напруги до 10% рахуючи від виводів низької напруги понижених
трансформаторів.
До цеху подають
напругу 380 В змінного струму з частотою 50 Гц через автоматичний вимикач SF.
Якщо вимикач SF відключений то горить зелена лампочка HLG, яка показує що до
цеху не подано живлення. Після вмикання автоматичного вимикача SF зелена
лампочка гасне і вмикається червона HLR тоді прилади починають показувати
характеристики струму, напруги, і частоти і отримують живлення автоматичні
вимикачі SF1, SF2, SF3. Якщо напруга подана, тосвітяться червоні лампочки HLR1,
HLR2, HLR3. Після цього отримує живлення автомат 1QF, який є місцевим приладом.
За допомогою кнопки "пуск" кнопочної станції 1SB вимикаємо магнітний
пускач преса 1КМ1 і 1КМ2, загорається червона лампочка 1HLR і мотор ЇМ
приводить в рух прес. У зв'язку з тим, що прес рухається вверх і вниз підключаємо
реверсивний магнітний пускач і кнопочну станцію на три кнопки:
"вверх", "вниз" і "стоп".
Через автомат 2QF
живлення потрапляє на теплову обробку. Загорається червона лампочка 2HLR.
Отримують живлення через кнопочну станцію 2SB1 магнітний пускач 2КМ1, 2КМ4 і
2КМ5 через свою кнопочну станцію 2SB2. Магнітний пускач 2КМ1 запускає два
механізми теплової обробки: вентилятор 2М1 і насос 2М2. Також магнітний пускач
2КМ1 подає живлення на реверсивну кнопочну станцію 2SB3 і на два магнітні
пускачі 2КМ2 і 2КМЗ реверсивні, що запускають електропривід теплової обробки.
Магнітний пускач 2КМ4 через свою кнопочну станцію 2SB2 включає нагрівний
елемент І ступеня НЕ1 потужністю 5,5 кВт.
Термодатчик
нагрівного елемента І ступеня контролює температуру нагріву НЕ1 і подає її
значення на показуючий прилад. Для більшого нагріву температури використовують
нагрівний елемент II ступеня потужністю 5,5 кВт, термодатчик якого контролює
температуру нагріву НЕ2 і подає її значення на другий показуючий прилад.
Нагрівний елемент II ступеня спрацьовує після ввімкнення магнітного пускача
2КМ5. Вода поступає до резервуару, де нагрівається до пари, і пара поступає до
парової подушки.
Так як для пошиття
жіночого жилету нам потрібно 5 пристроїв теплової обробки на основі
прасувальної машини CS 313, живлення потрапляє на теплову обробку через
автомати 2QF-6QF.
Швейні машини (11
штук) і спецмашин (6 штук) отримують живлення від мережі напругою 380 В
змінного струму із частотою 50 Гц на автомати 7QF-14QF і 15QF-23QF. За
допомогою кнопок "пуск" кнопочних станцій 7SB-14SB і 15SB-23SB
вмикаємо магнітні пускачі 7КМ-14КМ і 15КМ-23КМ, загораються червоні лампочки
7HLR-14HLR і 15HLR-23HLR, мотори 7М-14М і 15М-23М приводять в рух машини і
спецмашини. Функціонально-технологічна схема зображена на аркуші. 1.
.1 РОЗРОБКА
ФУНКЦІОНАЛЬНОЇ СХЕМИ КЕРУВАННЯ
При виконанні схем
для декілька різних агрегатів і загально цехового обладнання загальних
вимірювань, контроль і управління якими передбачається з групового щита схема
креслиться на одному або декілька окремих аркушах того же креслення.
Всім засобам
автоматизації, накресленим на схемі, призначаються номера позицій зберігаються
в цих матеріалах проекту.
Номера призначені
кожному комплекту засобів автоматизації і всім елементам щзо входять в цей
комплект .
Номера (позицій) не
призначаються відбірним пристроями, за виключенням виготовляючих заводом і
постачаючих комплектно з засобами автоматизації.
Позначення номерів
позицій має бути двохзначним, складається із порядкового номера комплекту і
буквеного індексу його елемента.
Нумерація
комплектів запроектованих для автоматизації обладнання (встановленого в одному
цеху, відділі і т. п.) має бути наскрізним. Нумерація комплектів засобів
автоматизації одного цеху або відділу починається з 1, другого з 100, третього
з 200 і т.д. в випадку якщо для одного цеху, відділу сотні не вистачить то
беруться номера слідуючої.
По елементам
автоматизації (незалежно від цеху або відділу)
Контроль - 1-200
Управління з -200
Буквені індекси (в
порядку алфавіту) призначаються елементам кожного комплекту в послідовності
приведеній в таблиці 4-4.
Монтажні одиниці
зображені цифрами (для енергетичних об'єктів) номера електроприводів
технологічного обладнання зображеного арабськими цифрами. Декільком
електровимірювальним приладам або апаратам однакового призначення що
відносяться до одного обладнання, призначається один номер (позиція) і після
буквеного індексу їх порядковий номер.
Рекомендується
застосовувати для маркіровки кіл слідуючу групу чисел:
Коло управління -
від 100 до 499.
Коло електричних
вимірювань - від 500 до 599.
Коло технологічних
вимірювань - від 600 до 699.
Коло сигналізації -
ввід 700 до 799.
В залежності ввід
об'єму тих або інших кіл в проекті допускається змінювати групи чисел,
рекомендованих вище. Для ділянок живлення схем керування і сигналізації
прийняті перші номера їх груп чисел тобто 100, 101, 700, 701, і т.д. Маркіровку
кіл технологічних вимірювань виконують порядковими числами рекомендованими
групою чисел в границях кожного самостійного вимірювання закріплюючи за ними
ряд чисел-наприклад.:
для першого
вимірювання від 601 до 622
для другого
вимірювання від 623 до 6642.
В тих випадках коли
кола вказаних вимірювань підводяться до одного щита допускається застосовувати
наскрізну маркіровку починаючи першого номера даної групи чисел 601, 602 іт.д.
Для кожного другого самостійного щита або взаємопов"язаних щитів (місцевий
щит, оперативний щит), але ізольованих від першого щита, маркіровка кіл
вимірювання може повторятися. При побудові схеми електропостачання враховують,
що сконцентровані на щитах та окремі електро споживачі повинні здобути живлення
від окремих збірок живлення, на яких встановлено апаратуру управління та
захисту всіх приєднань. Щити та збірки максимально наближенні до місця
розташування груп споживачів. Схема наведена на аркуші 1 застосовується в
трифазних чотирипровідних мережах зі струмом навантаження не більше 63А при
напрузі 380В. Напруга на вводах контролюється за допомогою реле обриву фаз KV1
KV2. При наявності напруги на всіх трьох фазах вводів 1 та 2 (основний та
резервний), контакти реле KV1 та KV2 замкнуті. По котушці пускача КМ1 протікає
струм, ввід 1 включений, а коло котушки магнітного пускача KM підготовлене до
вмикання замкнутим контактом реле KV2. При зникненні напруги на вводі 1 в колі
котушки КМ2 замкнеться контакт KV1 і резервний ввід 2 вмикається.
Вольтметр V і
сигнальні лампи HLR1 та HLR2 в схемах контролюють напругу на навантаженні
(лампи додатково показують від якого вводу основного чи резервного живиться
навантаження. Амперметри контролюють фазний струм навантаження. Для центральної
сигналізації використовують сигнали відключення основного та включення
резервного вводів.
В якості апаратури
управління та захисту на вводах замість вимикачів та запобіжників можуть бути
передбачені автоматичні вимикачі.
Для перевірки
основного чи резервного живлення підключено червоні лампочки HLR3, HLR4.
Прес приводиться в
рух трифазним електродвигуном у реверсивному виконанні. Запуск проводиться
поданням електричної енергії на кнопку "стоп" - SBC, яка для обох магнітних
пускачів одна. Далі струм подається на нормально відкритий контакт кнопки
"пуск" SBT та нормально закритий контакт кнопки SBT2 і одночасно на
блокувальний контакт магнітного пускача 1КМ1 та на нормально закритий контакт
магнітного пускача 1КМ2, та на нормально закриті контакти теплового реле 1КА1 і
1КА2. Одночасно струм поданий на нормально закритий контакт кнопки SBT1 та
нормально відкритий контакт кнопки SBT2 і блокувальних контакт магнітного
пускача 1КМ2 та на нормально закритий контакт магнітного пускача 1КМ1 і котушку
магнітного пускача 1КМ2 та на контакти теплового реле і до нуля.
Теплова обробка
захищена автоматичним вимикачем і запобіжниками. При включенні автоматичного
вимикача SF струм через запобіжники подається на магнітний пускач КМ1, та
одночасно на силові контакти магнітних пускачів КМ2 та КМЗ, які через датчики
температури включають нагрівні елементи НЕЇ та НЕ2. При чому другий нагрівний
елемент включається при нагріві першим нагрівним елементом води до певної
температури. З бака першого нагрівного елемента пара попадає в бак другого,
через вентилятор вона подається на парову подушку.
Магнітний пускач
КМ1 запускається кнопкою "пуск" SBC1 і зупиняється кнопкою
'стоп" SBT1, з силових контактів якого запускаються однофазні двигуни МІ
та М2 вентилятора та водяного насоса. Двигун М2 через клапан, який регулюється
датчиком, накачує воду в бак першого нагрівного елемента. Одночасно на два
магнітні пускачі, які виконано реверсивно КМ4 і КМ5, що запускають двигун МЗ
парової подушки. Двигун МЗ рухає парову подушку вверх або вниз. Ці два магнітні
пускачі отримують живлення від понижуючого трансформатора 220-24В постійного
струму, запускаються перемикачем та можуть бути зупинені кінцевиками.
Тип і конструкція
автоматизованого приводу швейних машин визначається технологічними вимогами та
принципом автоматичного останову з пониженою (повзучого) частотою обертання
головного валу для збереження потрібною частоти. Час останову складається з
часу гальмування від робочої частоти обертання до повзучої частоти обертання
валу до заданого положення часу доводки головного валу до заданого положення та
автоматичного останову. Необхідність доводки потребує введення до
електроприводу спеціальних пристроїв, що забезпечують малу частоту обертання
доводки. За звичай кутова частота обертання доводки головного валу не перевищує
100-120 об./хв. при максимальній частоті обертання головного валу швейної
машини 5000 об./хв. тобто забезпечує діапазон регулювання 50:1.
У існуючих
конструкціях автоматизованих фрикційних електроприводах швейних машин потрібна
частота обертання досягнута введенням в привід керованого редуктора та
застосування регульованих електроприводів постійного та змінного струму.
Найбільш розповсюдженим є привід Квик-стоп фірми "Беккер" (ФРН). Який
складається з однофазного електродвигуна на валу якого насаджено маховик з
канавкою під круглий ремінь, фрикційного диску, черв'ячного колеса з черв'яком,
електромагнітної муфти обертання та електромагнітної муфти гальмування з
загальним рухомим якорем, педалі управління приводом та синхронізатора, що є
датчиком положення голки. При натисканні педалі фрикційний диск притягається до
маховика, обертання від електродвигуна, який запускається магнітним пускачем
KM, передається безпосередньо до керованої частини приводу та через
клиноремінну передачу на головний вал швейного агрегату. Швейний агрегат працює
на повну швидкість. В цей час якір притягнутий до муфти обертання і черв'як
з'єднаний з якорем дістає обертання через просторову ремінну передачу.
Черв'ячне колесо насаджене на вал контрпривода на підшипниках і вільно
обертається. Якщо педаль відпустити то диск пружиною притиснеться до
черв'ячного колеса і двигун буде обертати машину з пониженою частотою через
просторову передачу електромагнітну муфту доводки, якір, черв'як, черв'ячне
колесо, фрикційний диск, контрприводу клиноремінну передачу. Для останову
агрегату з голкою в заданому положенні, реле KL муфтами доводки та гальмування
включається через відповідне поле синхронізатора (ТкВ, ТкН) і при перериванні
контакту між полем і щітками синхронізатора реле KL відпаде і перемкне живлення
з котушки YA1 електромагнітної муфти доводки на котушку YA2 електро-магнітної
муфти гальмування. Якір притягнеться до жорстко закріпленої муфти гальмування,
черв'як загальмується і агрегат зупиниться з голкою в заданому положенні.
Вмикання котушки
YA2 гальмівної муфти відбувається тільки після досягнення головним валом
частоти обертання доводки і зняття ним відповідного положення "голка
зверху" або "голка внизу". Для цього в кожному контактному полі
синхронізатора ТкВ або ТкН є струмонепровідні сектори, що відповідає за
положення "голка зверху" або "голка внизу". Частота
обертання доводки змінюється з часом розриву контактного поля ТкВ або ТкН і
якщо цей час більше часу розрядки конденсатора С до напруги відпускання реле
KL, то це відповідає частоті обертання доводки і реле відпаде перемкнувши
напругу з котушки YA1 на котушку YA2. Від шини 2 отримують живлення кнопочна,
заклепочна і розпошивочна машини трифазного змінного струму також захищені
запобіжниками та автоматичними вимикачами, які працюють по слідуючому принципу:
Кнопочна,
заклепочна - машини трифазного змінного струму з нереверсивними виконанням.
Струм з трьох фаз через запобіжники F подається на автомат SF з якого на силові
контакти магнітного пускача KM та одну фазу на закритий контакт кнопки стоп SBT
і на відкритий контакт кнопки пуск SBC, що блокується відкритим контактам
магнітного пускача KM та на ввід котушки магнітного пускача KM вихід якої
з'єднуємо з нулем.
Запуск проводиться
натисканням кнопки пуск SBC, струм через кнопку стоп SBT проходить на кнопку
пуск з якої на котушку магнітного пускача, котушка притягує якір на якому
силові та блокуючі контакти в результаті чого вони замикаються. Блокуючий
контакт блокує кнопку пуск та замикає контакт в колі сигналізації в результаті
загорається сигнальна лампочка, що сигналізує про роботу двигуна. Розпошивочна
- машина трифазного змінного струму з реверсивним виконанням. Струм з трьох фаз
через запобіжники F подається на автомат SF з якого одночасно на силові
контакти першого магнітного пускача з якого міняючи фази А і С місцями на
силові контакти другого магнітного пускача, та одну фазу на кнопку стоп SBT,
яка для обидвох пускачів одна з неї на відкритий контакт кнопки пуск SBC для першого
магнітного пускача та одночасно на закритий контакт цьої кнопки пуск та
одночасно на відкритий контакт першого магнітного пускача. З кнопки пуск SBC
першого магнітного пускача на закритий контакт кнопки пуск SBC другого
магнітного пускача (закриті контакти служать для блокіровки кнопок,щоб неможна
було запустити одночасно обидва магнітні пускачі) та на закритий контакт
другого магнітного пускача (закриті контакти служать для блокіровки котушок,
щоб неможна було запустити одночасно обидва магнітні пускачі) і на ввід котушки
першого магнітного пускача,вивід якої з'єднуємо з нулем. З закритого контакту
першої кнопки пуск SBC на відкритий контакт другої кнопки пуск SBC та одночасно
на відкритий контакт другого магнітного пускача, та на закритий контакт першого
магнітного пускача з якого но від котушки другого магнітного пускача, вивід
якої також з'єднуємо з нулем.
В залежності від
того в яку сторону нам треба шити запуск проводиться натисканням кнопки пуск
першого або другого магнітного пускача струм проходить на котушку першого
магнітного пускача і вона притягує якір з силовими та блокіровочними контактами
замикається відкритий блокувальний контакт кнопки пуск і розмикається закритий
контакт в колі керування другим магнітними пускачем та одночасно замикається
відкритий контакт в колі сигналізації загорається сигнальна лампочка HLR, щo
сигналізує про роботу двигуна, двигун починає набирати швидкість. Двигун
зупиняється натисканням кнопки стоп. Запуск в другу сторону аналогічний.
3. ВИБІР
АВТОМАТИЗОВАНОГО ЕЛЕКТРОПРИВОДУ ТА ПУСКОЗАХИСНОЇ АПАРАТУРИ
Потужність
електродвигунів дана у технологічній характеристиці.
За технологічними
даними прес, машини, спецмашини, пристрої теплової обробки мають двигуни з
наступними даними наведеними в табл. № 2.
Таблиця № 2.
|
Місце встановлення
|
Тип
|
Рн, кВт
|
Швид об.
|
Uh, В
|
Істат, А
|
Іпуск /Ін,А
|
ККД%
|
cosφ
|
|
Приводний пристрій
|
VZ80 h4
|
0,75
|
1422
|
380
|
2,17
|
4,5
|
72
|
0,73
|
|
Вентилятор
|
4А63А2 Y3
|
0,36
|
2802
|
380/22 0
|
0,93
|
4,5
|
70
|
0,86
|
|
Насос
|
BV784T8 0
|
0,35
|
1386
|
380/22 0
|
1,2
|
4,0
|
68
|
0,69
|
|
Машини і спецмашини
|
Да80В6С
|
0,55
|
920
|
220
|
3,03
|
4
|
69
|
0,69
|
|
Прес
|
АОС2-12-6
|
0,6
|
970
|
380
|
2
|
7
|
66
|
0,67
|
Запобіжники
встановлюються у всіх місцях, де переріз провідника по направленню до місця
споживача енергії зменшується, а також на вводах в споруду і головні ділянки
мережі. Для вибіркових дій, тобто щоб при аварії перегорів тільки найближчий до
місця пошкодження запобіжник, номінального струму плавкої вставки кожного
наступного від джерела живлення запобіжник повинен бути на одну степінь менше
ніж попередній.
Її вибирають за
наступними правилами:
Правило 1. Струм
плавкої вставки повинен бути більше робочого струму навантаження або
дорівнювати йому тобто: Ів > Ір;
Правило 2. Струм
плавкої вставки перевіряють на максимальний струм навантаження: Ів
> Іmax/α
Для запобіжників звичайного
типу, що захищають відгалуження з короткозамкненими асинхронними двигунами з
нормальними умовами роботи. α = 2,5
При захисті
двигунів з тяжкими умовами роботи. α = 1,6 -2,0
Максимальний струм
в ланцюгу з одним двигуном дорівнює його пусковому струму. В каталогах
переважно переводиться ділення пускового струму двигуна k.
Тоді максимальний струм ланцюгу:
max
= k * Ін.
Де Ін - номінальний
струм двигуна
Якщо запобіжник
захищає лінію, до якої під'єднано декілька споживачів , в цьому випадку
максимальний струм:
max
= m ∑Ір(n-1)
+І пуск
Де Іпуск-
- пусковий струм одного двигуна при якому Іmах
має найбільше значення; ∑Ір(n
-1) - сума робочих струмів всіх інших
двигунів, m - коефіцієнт одночасності.
Очевидно для
користувачів за великими пусковими струмами мали майже завжди велике значення
струму плавкої вставки можна отримати за правилом 1.
Для користувачів
пусковий струм який практично рівний робочому, струм плавкої вставки
визначається за правилом 1, завжди більший визначеного за правилом 2.
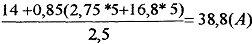
Розраховуємо
запобіжник для двигуна преса:
Робочий струм:
Ір=Ін.д.*кз=2*0,75=1,5(А)
Номінальний струм
плавкої вставки за правилом 1: Ів > Ір = 1,5(А)
Номінальний струм
плавкої вставки за правилом 2:
Іпуск=7*Ін.д.=7*2=14(А)
Вибираємо
запобіжник за правилом 2 з літератури № 1 записуємо в таблицю № 3.
Розраховуємо
запобіжники для двигунів машин і спецмашин:
Робочий струм:
Ір=Ін.д.*кз=3,03*0,75=2,27(А)
Номінальний струм
плавкої вставки за правилом 1: Ів>Ір=2,27(А)
Номінальний струм
плавкої вставки за правилом 2:
Іпуск=4*Ін.д.=4*3,03=12,12(A)
Вибираємо
запобіжник за правилом 2 з літератури № 1 записуємо в таблицю № 3.
Розраховуємо
запобіжник для двигуна електроприводу:
Робочий струм:
Ір=Ін.д.*кз=2,17*0,75=1,63(А)
Номінальний струм
плавкої вставки за правилом 1: Ів>Ір=1,36(A)
Номінальний струм
плавкої вставки за правилом 2:
Іпуск=4,5*Ін.д.=4,5*2,17=9,8(А)
Вибираємо
запобіжник за правилом 2 з літератури №4 і записуємо в таблицю № 3.
Розраховуємо
запобіжник для двигуна вентилятора:
Робочий струм:
Ір=Ін.д.*кз=0,93*0,75=0,7(А)
Номінальний струм
плавкої вставки за правилом 1: Ів>Ір=0,7(А)
Номінальний струм
плавкої вставки за правилом 2:
Іпуск=4,5*Ін.д.=4,5*0,93=4,19(A)
Вибираємо
запобіжник за правилом 2 з літератури № і записуємо в таблицю № 3.
Розраховуємо
запобіжник для двигуна насоса:
Робочий струм:
Ір=Ін.д.*кз=1,2*0,75=0,9(А)
Номінальний струм
плавкої вставки за правилом 1: Ів > Ір=0,9(А)
Номінальний струм
плавкої вставки за правилом 2:
Іпуск=4,0*Ін.д
=4,0* 1,2=4,8(А)
Вибираємо
запобіжник за правилом 2 з літератури № і записуємо в таблицю № 3.
Розраховуємо
загальний запобіжник для теплової обробки:
Робочий струм

Вибираємо
запобіжник за правилом 2 з літератури № і записуємо в таблицю № 3. Розраховуємо
загальний запобіжник для двигунів магістралі першої групи споживачів:


Вибираємо
запобіжник за правилом 1 з літератури № і записуємо в таблицю № 3.
Розраховуємо
загальний запобіжник для двигунів магістралі другої групи споживачів:



Вибираємо
запобіжник за правилом 1 з літератури № і записуємо в таблицю № 3.
Розраховуємо
загальний запобіжник для двигунів магістралі третьої групи споживачів:


Вибираємо
запобіжник за правилом 1 з літератури № і записуємо в таблицю № 3
Розраховуємо
запобіжник для магістралі:

За правилом 2:

Вибираємо
запобіжник за правилом 1 з літератури № і записуємо в таблицю № 3.
|
Місце встановлення
|
Тип запобіжника
|
Номінальний струм
запобіжника А
|
Номінальний струм
плавкої
вставки
А
|
Гранично відключаючий струм А
|
|
Прес
|
Н-10
|
10
|
6
|
Орієнтовно 1000
|
|
Машини і спецмашини
|
Н-10
|
10
|
6
|
Орієнтовно 1000
|
|
Електропривід
|
Н-10
|
10
|
4
|
Орієнтовно 1000
|
|
Вентилятор
|
Н-10
|
10
|
4
|
Орієнтовно 1000
|
|
Насос
|
Н-10
|
10
|
4
|
Орієнтовно 1000
|
|
Теплова обробка
|
Н-20
|
20
|
20
|
Орієнтовно 1000
|
|
Двигуни магістралі першої групи споживачів
|
ПР-100
|
100
|
100
|
Орієнтовно 10000
|
|
Двигуни магістралі другої групи споживачів
|
Н-20
|
20
|
20
|
Орієнтовно 1000
|
|
Двигуни магістралі третьої групи споживачів
|
Н-20
|
20
|
20
|
Орієнтовно 1000
|
|
Магістраль
|
ПР-100
|
100
|
100
|
Орієнтовно 10000
|
Автоматичні вимикачі
призначені для заміни рубильників і запобіжників. Автоматичні вимикачі серії
АВМ випускаються двох і трьох полюсні у відкритому виконанні і розраховані на
установку у приміщеннях з нормальними умовами.
Вибираємо автоматичний
вимикач з літератури №
Дані із довідника
записуємо в таблицю № 4
Вибираємо
автоматичний вимикач для машин і спецмашин:
Вибираємо
автоматичний вимикач з літератури №
Дані із довідника
записуємо в таблицю № 4
Вибираємо
автоматичний вимикач для магістралі першої групи споживачів:
Вибираємо
автоматичний вимикач з літератури №
Дані із довідника
записуємо в таблицю № 4
Вибираємо
автоматичний вимикач для магістралі другої групи споживачів:
Таблиця 4
|
Місце встановлення
|
Тип
|
Номінальний струм, А
|
Номінальна уставка струму рухання у викачів, А
|
Позначення
|
Число полюсів
|
Рід струма
|
|
|
|
Іпост.
|
Ізмін.
|
|
|
|
|
Прес
|
Л3710Б
|
32
|
600
|
630
|
А3715Б
|
2
|
постійний або змінний
|
|
Теплова обробка
|
А3710Б
|
40
|
960
|
1600
|
А3713Б
|
2
|
постійний або змінний
|
|
Машишни і спецмашини
|
А3710Б
|
16
|
600
|
630
|
А3715Б
|
2
|
постійний або змінний
|
|
Двигуни магістралі -першої групи споживачів
|
А3710Б
|
80
|
960
|
1600
|
А3714Б
|
3
|
змінний
|
|
Двигуни магістралі другої групи поживачів
|
А3710Б
|
40
|
960
|
1600
|
А3713Б
|
2
|
пост, або змін.
|
|
Двигуни магістралі третьої групи споживачів
|
А3710Б
|
80
|
960
|
1600
|
А3714Б
|
3
|
змінний
|
|
Магістраль
|
А3710Б
|
160
|
960
|
1600
|
А3714Б
|
3
|
змінний
|
Габаритні розміри
автоматичних вимикачів 100x130x75. Вибираємо реверсивний магнітний пускач для
преса за потужністю двигуна Р=0,6 кВт з довідника і записуємо в таблицю № 5.
Вибираємо нереверсивний магнітний пускач для машин і спецмашин за потужністю
двигуна Р=0,55 кВт з довідника і записуємо в таблицю № 5.Вибираємо реверсивний
магнітний пускач для електроприводу теплової обробки за потужністю двигуна
Р=0,75 кВт з довідника і записуємо в таблицю № 5. Вибираємо нереверсивний
магнітний пускач для двигунів теплової обробки за їх потужністю Р=0,75+0,35+0,36+16,8=18,26
кВт з довідника і записуємо в таблицю № 5.
Таблица 5
|
Місце встановлення
|
Тип
|
Рмах керованого електродвигуна,
при U=36B
|
Іном., А
|
Виконання
|
Температура навкол. середовища
|
Вологість %
|
|
Прес
|
ПМЕ- 200
|
0,8
|
14
|
Відкрите, захищене, пилозахищене,
пилокраплезахищене
|
від -40 до +40°С
|
90 при +2<ГС 50 при +40Х
|
|
Машини і спецмашини
|
ПМЕ- 200
|
0,8
|
14
|
Відкрите, захищене, пилозахищене,
пилокраплезахищене
|
|
|
|
Електропри від ТО
|
ПМЕ- 200
|
14
|
Відкрите, захищене, пилозахищене,
пилокраплезахищене
|
|
|
|
Теплова обробка
|
ПА- 600Т
|
22
|
105
|
Відкрите, захищене, пилозахищене,
пилокраплезахищене
|
|
|
Габаритні розміри
вибраних магнітних пускачів 45x75x70.
Вибір кнопкових
станцій.
Тип кнопочних
станцій вибираємо з літератури №3 , для
- преса-КУ-122-1М
- теплової
обробки - КМЗ-2
- машин
і спецмашин - КМЗ-2
Кнопочні станції
зображені на малюнку 2.
Габаритні розміри
кнопочної станції 70x70x75
4. ВИБІР ЕЛЕМЕНТНОЇ
БАЗИ СИСТЕМИ АВТОМАТИЗАЦІЇ
Для подачі
основного та резервного живлення і наявності фаз використано реле обриву фаз
Е-511 призначається для контролю наявності напруги в будь-якій із фаз трифазної
системи і підключається до трьох лінійних напруг цієї системи.
Реле виконується на
номінальну напругу 380В змінного струму . Реле складається із двох
електромагнітних реле клапанного типу (основного і допоміжного) і фільтра
напруги зворотної послідовності (активно-ємнісного).
При обриві однієї
фази або асиметрії напруги на виході фільтра спрацьовує безпосередньо основне
реле. При обриві двох чи трьох фаз спрацьовує безпосередньо основне реле.
При симетричному
пониженні напруги до 0,6Цн в трьох фазах реле не спрацьовує. Споживаюча
потужність складає : при 380В-10ВА.
Коефіцієнт
повернення і коло спрацювання реле не нормуються. Реле тривало витримує 1,1 Цн.
Контактна система реле
складається із контактів, розривна потужність,яка складається при напрузі до
220В-30Вт в ланцюзі постійного струму з індуктивною навантаженням і 100Вт в
змінного струму.
Реле можуть
працювати в приміщеннях з температурою навколишнього повітря 10-35°С і
відносною вологістю до 80%. При включенні реле в мережу необхідно встановити
правильний порядок чергування. Обмоточні дані реле Uн = 380В,число
витків27000±100.Марка і діаметр проводу по міді ПЕВ-1, 0,6 мм.
Реле призначено для
контролю наявності навантаження в всіх трьох фазах і підключається до трьох
лінійних проводів.
Реле
використовується на номінальні навантаження 100, 200, 220, 380 вольт
перемінного струму.
Реле складається із
двох електро-магнітних реле клапанного типу (основного і допоміжного) і фільтра
навантаження зворотної послідовності (активно-ємнісного).
При обриві одної із
фаз або асиметрії напруги на виході фільтра спрацює допоміжне реле яке діє на
основне реле.
Споживаюча
потужність складає, при 100В-6ВА, при 220В-8,5ВА, при 380В-10ВА. Коефіцієнт
повернення і час спрацювання реле не нормується, реле тривало витримує 1,1Uн.
Контактна
система реле складається із одного закритого і одного розкритого контактів
розриву, потужність яка складається при напрузі до 220В-30Вт в ланцюзі
постійного струму, з індуктивністю 100Ва
в ланцюзі змінного струму.
Реле можуть
працювати в приміщеннях з температурою навколишнього середовища 10-35
Сº,
відносною
вологістю до 80%
При включенні реле
в мережу необхідно встановити правильний порядок чергування фаз.
Дані реле в таблиці
6
Таблица 6
|
Номінальна напруга, В
|
Число витків
|
Марка і діаметр проводу по міді
|
|
380
|
2700
|
ПЕВ-1-0,06
|
5. ВИБІР
ПРИНЦИПОВОЇ СХЕМИ ЖИВЛЕННЯ ПРИЛАДІВ, СИГНАЛІЗАЦІЇ ТА НАПРУГ ЖИВЛЕННЯ ЗАСОБІВ
АВТОМАТИЗАЦІЇ
На принципових
електричних схемах живлення відображають систему живлення приладів та засобів
автоматизації (схеми живлення КВП та СА). Наведені електроприймачі
встановлюються не, тільки на щитах та пультах систем автоматики, але
розосереджені по всьому автоматизованому об'єктові. Від надійності їх
електропостачання залежить нормальна та безаварійна робота всього об'єкту в
цілому.
Вибір напруги.
Напруга КВП та СА вибирається з врахуванням прийнятих напруг у розподільчій
мережі системи електропостачання автоматизованого об'єкту:
- живлення
виробничої сигналізації виконується напругою 220В змінного струму. Алі при
використанні світлодіодів на низьку напругу, застосовують окремі перетворювачі.
- для
живлення стаціонарного освітлення монтажного боку шафових щитів та
малогабаритних пультів напруга використана до 220 В.
Вимоги до джерел
живлення. Джерела живлення КВП та СА повинні
бути достатньо потужними та забезпечувати рівень напруги. Вимоги до відхилень
напруги :
- КВП,
регулюючі пристрої не більше ±5 % від номінальної напруги ;
- на
електродвигунах виконавчих пристроїв засувок від -5 до +10 % від номінального;
- електроламп
схем сигналізації, ламп освітлення щитів від -2,5 до +5 % номінальної напруги;
- апаратів
управління (котушок магнітних пускачів, електромагнітних реле) від -5 до +10 %
номінального.
Якщо для живлення
використано трифазну мережу при однофазних навантаженнях, то асиметрія по фазах
повинна не перевищувати 10 %. Електропроводи виконавчих механізмів можуть
споживати значні за величиною струми навантаження, тому живлення від одного щита
винне бути відокремленим для привідного та приладного навантаження.При виборі
схеми електроживлення враховують, що сконцентровані на щитах та окремих
електроприймачів повинні здобути живлення від окремих збірок живлення, на
максимально наближені до місця розташування до груп споживачів.
У схемах
електроживлення дві види системи:
лінії
живлення, мережа від джерела живлення до щитів та збірок живлення ;
розподільча
мережа - мережа від щитів та збірок живлення до електроприймачів.
При виборі схем
електроживлення слід правильно визначити ступінь резервування, за розумів
безперебійності електропостачання КВП та СА. Надійність електропостачання
пристроїв систем управління визначається категорією об'єкта автоматизації
(агрегату, установки цеху) і залежати від технологічного процесу виробництва.
Резервування в
системах КВП та СА вирішується на основі положень :
- число
незалежних вводів (ліній живлення) до системи електроживлення КВП та СА винно
бути рівним числу незалежних вводів, що живлять об'єкт у цілому. Для 1 та 2
категорій об'єкта дві незалежні лінії від двох джерел живлення. Для 3 категорії
припустимо живлення по одній лінії й один ввід до КВП та СА.
- пропускна
спроможність кожної лінії живлення винна бути визначені при 100% навантаженні
даної системи.
Якщо на
автоматизованому об'єкті декілька паралельних технологічних потоків, то
живлення приладів, апаратів та інших засобів автоматизації виконується по
окремим лініям від розподільчих щитів (джерела живлення) системи
електропостачання технологічних потоків.
У якості апаратури
управління, захисту та вмикання замість вимикачів та запобіжників можуть бути
передбачені автоматичні вимикачі.
На графічному
аркуші 1 представлена принципова електрична схема управління роботою
електродвигунів, які призводять у рух механізми двох незалежно працюючих машин
поточної лінії.
На принциповій
електричній схемі використовуємо вольтметр для контролю напруги, який
підключений через перемикач SA на три фази. Також підключаємо амперметр, щоб
контролювати струм в мережі та для контролю частоти використовуємо герцметр, що
підключений до всіх трьох фаз і до нуля.
Вольтметр змінного
струму Э335 Кл 1,5; граничне вимірювання 450В (включений безпосередньо).
Потрібна потужність трифазних вольтметрів 2Вт, шкала 160 мм, робоче положення
вертикальне, температуру навколишнього середовища від -40єС до +50єС, вологість
до 95%, вібро-трясо міцний, бризгозахищений з параметрами 120х120х85мм, вагою
0,7кг.
Амперметр змінного
струму Э335, Кл 1,5; граничне вимірювання 700А (включений безпосередньо). Потрібна
потужність трифазних вольтметрів 2Вт, шкала 200 мм, робоче положення
вертикальне, температуру навколишнього середовища від -40єС до +50єС, вологість
до 95%, вібро-трясо міцний, бризгозахищений з параметрами 120x120x85мм, вагою
0,7кг.
Частотомір змінного
струму Д1606, Кл 2,5; номінальна напруга 380В границя вимірювань 45-55Гц
(включений безпосередньо). Потрібна потужність трифазних вольтметрів 2Вт, шкала
185 мм, робоче положення вертикальне, температуру навколишнього середовища від
-40єС до +50єС, вологість до 95%, вібро-трясо міцний, бризгозахищений з
параметрами 120x120x170мм, вагою 0,7кг.
Дія термометрів
опору створена на властивості провідника змінювати електричний опір із зміною
температури.
Опір провідника
вимірюється логометром або врівноваженим мостом, вкомплекті з якими працюють
термометри опору. Знаючи залежність опору провідника від температури і
вимірявши його опір, можна говорити про температуру навколишнього середовища, в
якому розміщений термометр.
При автоматизації
різних технологічних процесів, створені системи централізованого контролю і
управління, організації служби диспетчерського управління, велика увага
приділяється приладам сигналізації, призначеним для інформування обслуговуючого
персоналу про стан контролю об'єкту або для інформування про порушений
нормальний хід виробничих процесів на пункті управління зазвичай використовують
різного роду електромеханічні та світлові показники, а також звукові сигнали .
Величину напруги і
під струму для схем сигналізації зазвичай вибирають взалежності від велечини
допустимої напруги, струму і розривної потужності, контактів датчиків
сигналізації,наявність джерел живлення.
Сигналізація
положення, розповідає про стан контролюючих об'єктів (ввімкнуті або вимкнуті
магнітні пускачі, контактори, вимикачі або інші подібні пристрої).
Сигналізація дії
захисту та автоматики, інформуюча про роботу того чи іншого виду автоматичного
захисту або блокування спеціальними сигнальними вказівками реле-блинкеров.
Технологічна
сигналізація, яка інформує про порушення нормального ходу технологічних
процесів (про
відхилення від установленого значення таких технологічних параметрів, як
температура, тиск, рівень
витрат, концентрація
і так далі).
Технологічна
сигналізація може бути двох видів:
а) попереджуюча-
сигналізація ненормальних, але поки що допустимих значеннях
контролюючих
або регулюючих величин, про порушення нормального
режиму
роботи окремих агрегатів
або всієї установки загалом. Появлення попереджувальних сигналів вказує
обслуговуючому
персоналу про необхідність прийняття певних мір для усунення виникаючих
пошкоджень.
Попереджувальна сигналізація зазвичай виконується індивідуально у вигляді
табло
або транспаранта, що загорається при подачі сигналу,другий визначає характер і
місце виникнення
ненормального режиму, а також у вигляді загального режиму, а також у вигляді
загального для щита управління звукового сигналу, призначеного для звернення
уваги експлуатаційного персоналу.
б) аварійна-cигналізація,
потребує, як правило, негайного втручання оперативного
персоналу
s здійснюється,
на відміну від попереджувальної сигналізації, мигаючим світлом і з
різним
звуком.
Розділення
сигналізації на попереджувальну та аварійну забезпечує найрізноманітнішу
реакцію операторів на отриману інформацію в залежності від характеру сигналу,
що визначає той чи інший ступінь порушення технологічного процесу.
Характер
технологічного процесу на деяких об'єктах допускається короткочасні відхилення
технологічних параметрів від норми з наступним його встановленням. У подібних
випадках схеми сигналізації повинні забезпечувати подачу сигналів з витримкою
часу, трохи більшою, ніж допустимий час відключення параметра від норми.
Аналогічні вимоги
ставлять до схем сигналізації положення запірних органів, витримка часу в таких
схемах повинна перевищувати час, необхідний для перемикання запірного органу.
Живлення виробничої
сигналізації виконується напругою 380В змінного та постійного струму. Але при
використанні світлодіодів на низьку напругу застосовують окремі перетворювачі.
Для живлення стаціонарного освітлення монтажного боку шафових щитів та
малогабаритних пультів напруга використання до 380В.
Джерела живлення
повинні бути достатньо потужними та забезпечувати рівень напруги. Із літератури
№ вибираємо схеми сигналізації АСКМ на 24В на вводі і для машин і спецмашин.
Арматура АСКМ виконана у вигляді пластмасового циліндричного корпуса, в який з
фасадної сторони вкручується різьбова втулка з кольоровою лінзою, а з
протилежної знаходиться колодка з виводами у вигляді пелюсток для припайки
проводів. Лампи - пальцеві, діаметр 20 мм, глибина 50 мм, 24В, 90 МА.
Для пресової
теплової обробки вибираємо арматуру АС-220, яка виконана у вигляді
циліндричного корпуса з фланцем, в який з лицьової сторони вставляється
пластмасовий обідок з лінзою червоного, зеленого, жовтого або молочного
кольору. З протилежної сторони корпуса є
пластмасова колодка з патроном для лампи і затискачах для підключення проводів.
Хомут служить для
закріплення арматури на панелі. Для лампочок на 220В: діаметр 40 мм, глибина
100
мм, потужність 20 Вт, 110В.
Сигнальна лампа:H
=110B; Р = 8Вт; І н = 8 / 110 = 0.073 A
Rкола
= Uном.сх /
ІА
Rкола
= 220 / 0,073 = 3013,6 Ом
Вибір додаткового
опору сигнальної лампи Rд
за [7] стор. 238 табл.7:
Rл
= UН
/ IА
Rл
= 110 / 0,073 = 1512,3 Ом
RД
= RК
- Rл
RД
= 3013,6 - 1512,3 = 1501,3
Вибираємо : RS
= 1,5 кому; Типу - ВР-10; Ррозс =10 Вт;
Вибір
трансформаторів керування та сигналізації
Для конструктивного
розрахунку силового трансформатора задано:
- напруга
мережі живлення - 220 В;
- напруга
вторинної обмотки -110 В;
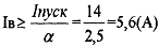
1. Визначаємо суму
потужностей вторинної обмотки при повному навантаженні - Р2 = 142,4
Вт для живлення катушок управління магнітними пускачами та сигнальними лампами
Потужність
трансформатора
Де Р11
-потужність вторинних обмоток, Вт
ηтр
- к.к.д трансформатора для малопотужних трансформаторів дорівнює в середньому
0,8
. Вибираємо
допустимі величини індукції В у магнітопроводі та густину струму в обмотках Δ.
При розрахунковій
потужності трансформатора вище 100 Вт згідно таблиці У,6 стор. 180 (3) значення
індукції В = (10-12)*103 гс, к.к.д -0,9, густина струму 2,5-3 А/мм2.
. Визначаємо
необхідну активну площу перерізу магнітопровода
Визначаємо
поперечний переріз магнітопровода з врахуванням коефіцієнта заповнення перерізу
сталлю
Значення
коефіцієнта заповнення залежить від товщини пластин магнітопровода 0,5мм К3
= 0,92.
4. Приймаємо
стандартні пластини магнітопровода типу УШ - 40×80-
подвійного
вертикального виконання, активна площа перерізу - 28,8 см2, висота вікна b
-
26
мм, ширина вікна h-144 мм, ширина пластин L-144мм, висота пластин Н-244 мм.
5. Визначаємо
число витків обмоток
6. Визначаємо
діаметри проводів обмоток
Приймаємо провід з
ізоляцією d1
= 0.64 мм типу ПЕЛ, d2 = 0.8 мм типу ПЕЛ.
. Перевіряємо
розміщення обмоток.
Число витків в
шарах обмоток
Число витків
n1
= w1
/ wшар1 =
140 / 206,8 ≈ 1
n
2 = w2
/ wшар2 =
70 / 165,5 ≈ 1
Товщина обмоток
δобм1
= nшар1
(d 1
+ δіз)
= 1 (0,64 + 0,05) = 0,69 мм
δобм2
= nшар2
(d 2
+ δіз)
= 1 (0,8 + 0,05) = 0,85 мм
δіз
- товщина ізоляції обмоток між шарами.
Повинна
виконуватись умова b
≥ δкарк
+ Σδобм
+ δпров
Умова виконується,
отже магнітопровід вибрано вірно.
Вибір діодного
моста
Мостова схема
випрямляча застосовується переважно з германієвими і кремнієвими вентилями у
випрямлячах малої і середньої потужності.
Перевагою мостові
схеми випрямляча являється спрощення трансформатора при високому його
використанні. Падіння напруги на резистори Rn при проходженні повного
випрямленого струму можуть бути використані для подачі негативного зміщення на
управляючі мережі і для затримки АРУ. Якщо потрібне тільки одне значення
негативної напруги, то резистор Rnl потрібно видалити із схеми.
Вибираємо діодний
місток для теплової обробки з Л. і записуємо в табл. 7
Таблица 7
|
Місце встановлення
|
Позначення
|
Амплітуда максимальної извор., В
|
Середнє згачення випрямленого струму,
А
|
Зворотній струм,
МА
|
Габаритні розміри,
|
|
Теплова обробка
|
ВГ-200-45
|
45
|
200
|
50
|
ф84x128
|
|
Машини і спецмашини
|
ВГ-200-45
|
45
|
200
|
50
|
ф84x128
|
Вибираємо
мікроперемикач типу ТШ-2 з струмом 2А і напругою 220В, який має габаритні
розміри 28x18x48. Цей мікроперемикач складається із двох діючих контактів, які
перемикаються вверх і вниз.
6. ВИБІР ПЕРЕРІЗУ
ПРОВОДІВ ЖИВЛЕННЯ ТА УПРАВЛІННЯ
При виборі перерізу
проводів і кабелів треба враховувати, що допустима густина струму для проводів
великого перерізу нижча, так як збільшення перерізу супроводжується збільшенням
поверхні охолодження пропорційного діаметра проводу і переріз проводу зростає пропорційно
квадрату діаметра. Тому в проводах і кабелях великого перерізу відношення
охолоджуючої поверхні до меншого перерізу, що погіршує умови охолодження і
приводить до необхідності зниження допустимої густини струму.
Допускається
короткочасне перевантаження кабелів прокладених в землі, в межах 1,2 ÷
1,35, від номінального навантаження при тривалості
максимуму 1,54.
Переріз проводів і
кабелів для напруги до 1000 В по умові нагрівання визначається в залежності від
розрахункового значення допустимого струмового перевантаження при нормальних
умовах прокладки з двох співвідношень: по умові нагрівання розрахунковим
струмом
Інорм.доп
≥ Ідоп / Копр
по умові
співвідношення вибраного апарату максимального струмового захисту
Інорм.доп
≥ Кз·Із / Копр
де Копр -
поправочний коефіцієнт по умові прокладки проводів та кабелів;
Кз -
коефіцієнт захисту або крайність захисту, тобто відношення тривало допустимого
струму для проводу або кабеля до номінального струму або струму спрацювання
захисного апарату;
Із -
номінальний струм або струм спрацювання захисного апарату, А.
Згідно ПУЕ мережі
діляться на дві групи: які захищають від перевантажень і струмів к.з. і які
захищають тільки від струмів к.з.:
всередині приміщень
прокладені захищеними провідниками в трубах, в негорючих будівельних
конструкціях.
Силові - на
промислових підприємствах, коли за умовами технологічного процесу або режиму
роботи може виникати тривале перевантаження проводів або кабелів.
Номінальний струм
який захищає від перевантажень теплового розчіплювача, автоматичного вимикача
або нагрівного елемента теплового реле, магнітного пускача, вибираємо тільки по
тривалому розрахунку струму лінії:
Іт >Ідл.
Номінальний струм
електромагніта Іел. або комбінованого розчіплювача, автоматичного вимикача
також вибирається по тривалому розрахунку струму лінії:
Іел. >Ідл
Струм спрацювання
(відсічки) електромагнітного або комбінованого розчіплювача Іср.ел.
перевіряється по максимальному короткочасному струмі лінії:
Іср.ел.
>1,25*Ікр.
Вибираємо провід
для преса
Іт.вст.=6А
Ідоп. пров.
>1,25 *Іпч. ест. =1,25 *6= 7,5А
Із довідника
вибираємо проводу і записуємо в табл. 8
Вибираємо провід
для входу в пристрій теплової обробки
1пл.вст.=20А
Ідопмров. >
1,25*Іпі.вст. =1,25*20=25А
Із довідника
вибираємо провід і записуємо в табл. 8
Вибираємо провід
для вентиляторів
Ігт.ест.=4А
Ідоп. пров. >
1,25 *Іп.і. ест. = 1,25 *4=5А
Із довідника
вибираємо провід і записуємо в табл. 8
Вибираємо провід
для насоса
Іж.вст.=4А
Ідоп. пров. >
1,25 *1пл. ест. = 1,25 *4=5А
Із довідника
вибираємо провід і записуємо в табл. 8
Вибираємо провід дл
я електроприводу
Іж.вст.=4А
Ідоп. пров. >
1,25 *Іп.і. ест. =1,25 *4=5А
Із довідника
вибираємо провід і записуємо в табл. 8
Вибираємо провід
для машин і спецмашин
Іпл. ест. =6А
Ідоп. пров.
>1,25 *1пл. ест. =1,25*6=7,5А
Із довідника
вибираємо провід і записуємо в табл. 8
Таблица 8
Вибираємо кабель
для магістралі першої групи споживачів
Ідоп. пров.
>1,25 *Ін. па ест.=І,25*І00=125А
Із довідника
вибираємо провода і записуємо в табл. 9
Вибираємо кабель
для магістралі другої групи споживачів
Ідоп.пров. >
1,25*Ін.т.вст.=1,25*20=25А
Із довідника
вибираємо провода і записуємо в табл. 9
Вибираємо кабель
для магістралі третьої групи споживачів
Ідоп.пров. >
1,25*Ін.пл.вст.^1,25*20=25А
Із довідника
вибираємо провода і записуємо в табл. 9
Кабель захищений
запобіжником
Ідоп.пров. >
1,25*1н.гт.вст. =1,25*І00=125А
Із довідника
вибираємо провід і записуємо в табл. 9
7. РОЗРАХУНОК
НАДІЙНОСТІ СХЕМИ УПРАВЛІННЯ
Знаходимо
надійність схем управління за [11].
Якщо CAP відмовляє
при відмові будь-якого її блока (або підсистеми) то з огляду на надійність вона
має послідовну структуру.
) структура CAP
була дійсно послідовна з точки зору надійності;
)на протязі
інтервалу годині виконувалась умова:
Середній година
відмови CAP дорівнює:
В електронній схемі
кожен блок послідовного з'єднання являє собою один з компонентів перерахованих
у таблиці. Перед тім як використовувати наведені в ній значення інтенсивності
відмови , слід помножити на відповідні поправочні коефіцієнти. їх три:
температурний коефіцієнт ft з табл.. 3; коефіцієнт впливу
навколишнього середовища fe, наведень у табл..4, відбиває вплив
механічних вібрацій та ударів;
) коефіцієнт
навантаження fr, наведень у табл.. 4, відбиває розрушуючу дію впливу
навантаження на резистори, конденсатори та транзистори. Для решти елементів fr=l.
Середні години
відмови. Спочатку складаємо перелік значень λі,
ift, ife, іfr,
для шкірного елемента. Визначаємо mλi
з врахуванням виправлень:
Визначимо суму
mλi
Таблица 10
|
Назва елемента
|
Кількість
|
Інтенсивність відмови 0,00001,
І/рік.
|
ft
|
fe,
|
fr
|
mλi
|
|
Магнітний пускач негерметезований (на
контактну пари)
|
136
|
0,03
|
1
|
1
|
1
|
4,08
|
|
Магнітний пускач негерметезований (обмотка)
|
46
|
0,1
|
1
|
1
|
1
|
4,6
|
|
Електромотори малої потужності
|
33
|
0,5
|
1
|
1
|
1
|
4
|
|
Резистори постійні дротові загального
призначення
|
6
|
0,01
|
1
|
1
|
1,5
|
0,09
|
|
Вимикачі кнопкові (на кожну контактну пари)
|
13
|
0,02
|
1
|
1
|
1
|
0,26
|
|
Лампи розжарювання
|
12
|
0.1
|
1
|
1
|
1
|
1,2
|
|
Гніздо для лампи (на штир)
|
24
|
0,01
|
1
|
1
|
1
|
0,24
|
|
Запобіжники плавкі
|
36
|
0,02
|
1
|
1
|
1
|
0,72
|
|
Мікровимикачі (на кожну контактну пари)
|
3
|
0,01
|
1
|
1
|
1
|
0,03
|
|
З'єднання обжимні
|
604
|
0,002
|
1
|
1
|
1
|
1,21
|
|
З'єднання паяні
|
34
|
0,005
|
1
|
1
|
1
|
0,17
|
|
Реле негерметезоване
на обмотку
|
5
|
0,1
|
1
|
1
|
1
|
0,5
|
|
Реле негерметезоване
на контактну пари
|
6
|
0,03
|
1
|
1
|
1
|
0,18
|
|
Вимірюючі показуючі прилади
|
5
|
0,01
|
1
|
1
|
1
|
0,04
|
Визначимо суму
mλi
mλ
= (0,12 +
1,26
+ 1,3 +
4
+
0,9
+
0,26
+
1,2
+
0,24
+
0,72
+
+0,03
+
1,21
+
0,17
+
0,5
+
0,18
+
0,04
)
*
10-5
= 12,3*10-51/рік.
Середній час
відмови
8 . РОЗРОБКА
КОНСТРУКЦІЙ ЩИТА (ПУЛЬТА) УПРАВЛІННЯ
До технологічного
процесу згідно завдання входить автоматичне керування напівавтоматами швейного
виробництва у кількості 10 шт. Технологічний процес керований з центрального
пульта управління, на якому розташовано сигнальні лампи, що сповіщають про
наявність напруги живлення в мережі живлення HLG та після вмикання керівного
апарату швейного напівавтомату HLR . Кожен швейний напівавтомат має ключ
керування SA, яким приєднується до мережі живлення, сигнальну лампу наявності
робочої напруги HLR2 , кнопкову станцію вмикання SB, магнітний пускач KM подачі
живлення та пристрій автоматики технологічного процесу за програмним забезпеченням,
згідно вимог технологій виробу.
Основні функції
автоматичного управління електричним приводом - запуск електродвигуна, зупинка,
гальмування, реверсування, поворот на певний кут механізму в залежності від
часу або шляху.
Передбачено схему
перемикання із "зірки " на " трикутник " пускових обмоток
статора двигуна приводного механізму.
На пульті
управління розташовано контрольно - вимірювальні прилади амперметр -контролю
навантаження силового кола, вольтметр - контролю напруги живлення, частотомір
-контролю частоти напруги мережі.
Вихідним матеріалом
для проектування монтажної схеми шита (пульта ) є :- принципова схема
автоматизації ; - загальний вигляд щита ; - принципові схеми живлення засобів
автоматизації ; - принципові елементні схеми автоматизації ; - схеми
електричних та трубних проводок ; - монтажно - експлуатаційні інструкції
заводів - виготовлювачів.
В щитах та пультах
дозволяється проектувати ввід електричного струму для живлення засобів
автоматизації та апаратури управління наступних напруг :
в щитах із засобами
автоматизації - до 250 В змінного та постійного струму ; допускається при умові
закриття кожухом струмопровідних частин апаратури та збірок зажимів з напругою
вище 250 В постійного струму та до 400 В змінного струму.
в шафові
малогабаритні щити з боковими дверцями або панельними, що мають можливість
доступу тільки з одного боку при ширині більше 600мм,- до 36В постійного та
змінного струму.
Проводи та кабелі
живлення підводять безпосередньо до вводу вимикача щита. Індивідуальні кола
живлення засобів автоматизації, схем управління, сигналізації рекомендується
підводити від ввідного вимикача до відповідних вимикачів та запобіжників.
Розводка індивідуальних кіл живлення повинна виконуватись згідно прийнятим
рішенням в принципових електричних схемах живлення.
Підвід живлення до
панелі освітлення повинен виконуватись проводами та кабелями віл освітлювальної
мережі даного приміщення.
Вимоги до
електропроводок щитів (пультів) управляння. При виконанні монтажних схем щитів
рекомендується передбачати з'єднання внутрішньої та зовнішньої проводок за
допомогою : комутаційних затискачі, ввідних гребінок (для кіл з малими струмами
).Для даної конструкції щита управління приймаємо затискачі комутаційні типу
ЗК-2,5, колодки маркувальні типу КМ-4, заглушки для затискачі з напругою до 380
В . При приєднанні жил кабелів та проводів необхідно передбачати :
резервну довжину,
що забезпечує приєднання жили (у випадку її обриву) до затискачів без
напаювання проводівпрямі ділянки, що забезпечують встановлення виробів для
закінчування та маркування у відповідності до табл.. 11-7 та 11-8 crop. 190-191
(3) Приймаємо закінчувані типу ОКМ призначені для закінчування та маркування
проводів та жил кабелів, приєднаних до збірки затискачів. Нормаль МН-2173-61.
Ввід кабелів та
проводів зовнішньої проводки виконуємо знизу щита управління.
Вибір проводів для
комутації пульта ( щита ) керування.
Марка і переріз
проводів для комутації щита (пульта) управління вибирається за допомогою
монтажних схем. Гнучкі провода встановлюємо на рухомих конструкціях (дверцятах,
кришках). Провода з поліхлорвініловою ізоляцією застосовуємо для комутації
багато точкових перемикачів, малогабаритних реле та апаратури з великою
кількістю приєднань.
У технологічному процесі
передбачено прокладку проводів до швейних напівавтоматів одножильними мідними
гнучкими проводами у трубі типу 3*ПР-10 напругою ізоляції до 600В.
Креслення монтажних
схем виконують окремим кресленням для кожної панелі. Дозволяється на одному
аркуші виконати монтажну схему панельного щита з декількох панелей.
Заземленню
підлягають всі щити, що встановлюються в приміщеннях всіх категорій при
наявності на них засобів автоматизації, що потребують номінальної напруги 127В
і вище змінного струму. В цьому випадку всередині щита заземлюють прилади та
апаратуру. При підводці живлення до щита від електроустановки з ізольованою
нейтраллю повинні бути передбачені контроль та сигналізація ізоляції
мережі.(ПУЕ, У11-3-82).
В приміщеннях всіх
категорій в якості заземлюючого провода допускається використовувати заземлені
стальні захисні труби електричних проводок.
Для заземлення
всередині щитів приладів, засобів автоматизації та апаратури в якості
заземлюючих провідників рекомендується використовувати мідні ізольовані провода
перерізом 1,5 або 2,5 мм2 тої марки, що використовувалась для монтажу щита.
З метою дотримання
техніки безпеки необхідно передбачити в проектах автоматизації закриття підлоги
всередині щита гумовою ізоляційною ковдрою.
Розробка та
закінчування проводів та кабелів повинно передбачатись всередині щита.
8.1 РОЗРОБКА
МОНТАЖНОЇ СХЕМИ ЩИТА (ПУЛЬТА) КЕРУВАНЯ
Виготовлення
корпусів щитів виконується на устатжуї дільниць і доставляється на місце
монтажу з виготовленими отворами, кріпильними пофарбованими та з необхідними
пристроями для виконання заземлення.
Монтажно -
заготівельна дільниця має два основні відділення : слюсарно - механічне та
трубозаготівельне.
Слюсарно -
механічне відділення.
Технологічна
послідовність операцій у слюсарно - механічному відділенні наведена на малюнку
1.
Поступаючі з
заводів серійно випущені вироби ( монтажні вузли, деталі, перфоровані вироби )
складуються у закритих приміщеннях 2. Матеріали , що надходять від замовника та
генпідрядника ( труби, кабельна продукція, товарний метал ) складуються на
відкритих площадках під навісом 1, а прилади та матеріали, що потребують
закритого зберігання - у опалюваних закритих приміщеннях 2. Для виготовлення
нестандартного обладнання, вузлів та блоків монтажні вироби поступають на
ділянку комплектації та розмітки 3.
Одночасно зі складу
2 на ділянку токарної обробки металу 12 передаються матеріали для виготовлення
нестандартних деталей, що потребують токарної обробки. Виготовлені деталі
поступають на дільницю зборки 9 або ідуть на дільницю зварки 7 для подальшого
укрупнення. На дільниці 3 виконуються маркування виробів заводського
виготовлення, що не потребують подальшої механічної обробки, приладів та
обладнання, після чого все це направляється на дільницю збірки 9 для
встановлення на вузлах, блоках тощо. Решта матеріалів та виробів після розмітки
на дільниці 3 поступають на дільницю різки 4, з якої частина матеріалів
(перфовиробів ) поступає на зборку 9, частина ( заготовки металоконструкцій ) -
на зварку 7, а частина - на подальшу обробку на дільниці вирубки 5 або дільниці
гнуття 6. Після дільниці вирубки заготовки поступають на дільницю гнуття 6 .
Потім частина заготовок направляється для зварки на дільницю зварки 7, а
частина прямо на дільницю зборки 9 . Заготовки, що поступають на дільницю зварки,
після зварки передаються на дільницю зачистки 8, а звідти -на дільницю зборки
9. Після контрольної зборки блоків або зборки окремих вузлів елементи, що
потребують фарбування, направляються на дільницю фарбування 10. Фарбовані
елементи повертаються на дільницю зборки 9, де відбувається остаточна зборка (
установка приладів, виконання трубної та електричної комутації тощо). Готові
вузли, блоки та не стандартизоване обладнання здають на склади готової
продукції 11, а звідтіля видають на монтаж.
На складах готової
продукції вузли та блоки, що мають у своєму складі прилади та регулюючі
пристрої, повинні зберігатись у закритих опалювальних приміщеннях. Металічні
конструкції без приладів та регулюючих пристроїв можуть зберігатись під
навісом.
8.2
РОЗРОБКА ТЕХНОЛОГІЇ ВИГОТОВЛЕННЯ ТА
МОНТАЖУ ЩИТА (ПУЛЬТА) УПРАВЛІННЯ
Для щитів, які
розробляються в електричній частині проекту, монтажні схеми в проектах
автоматизації не виконуються.
Вихідні матеріали
для проектування монтажних схем щитів і пультів є:
- принципова
схема автоматизації;
- загальний
вигляд щита й пульта;
- принципові
схеми живлення засобів автоматизації;
- принципові
елементні схеми автоматизації;
- схеми
електричних і трубних проводок;
- монтажно-експлуатаційні
інструкції заводів-виготовлювачів.
Монтажні схеми
можуть виконуватися таким чином:
1. графічним
- з зображенням електричної й трубної проводок;
2. табличним
- з застосуванням монтажних таблиць;
. адресним
- без зображення електричної проводки всередині щитів і пультів.
Трубна комутація
виконується тільки графічним способом.
У щитах і пультах
дозволяється проектувати ввід електричного струму для живлення автоматизації й
апаратури управління наступних напруг:
- у
щити й пульти з засобами автоматизації - до 250В змінного струму; допускається
при умові закриття кожухами струмопровідних частин апаратури й збірок
затискачів з напругою вище 250В постійного струму - і до 400В - змінного
струму.
- у
шафові малогабаритні щити з боковими дверима або панельні, які мають доступ
тільки з одної сторони при ширині більше 600мм, - до 36В постійного й змінного
струму.
Живлячи проведення
або кабель рекомендується підводити безпосередньо до ввідного вимикача щита,
який встановлюється згідно вказівок.
Індивідуальні
ланцюги живлення засобів автоматизації, схем управління, сигналізації
рекомендується підводити від ввідного вимикача до відповідних вимикачів і
запобіжником. Розводка індивідуальних ланцюгів живлення має виконуватися згідно
прийнятим рішенням у принциповій електричній схемі живлення.
Ланцюги живлення до
приладів і апаратури рекомендується виконувати безпосередньо від їх вимикачів і
запобіжників, проходячи збірки затискачів щита. На збірку затискачів щита
виводяться ланцюги живлення від індивідуальних і ввідних вимикачів, які йдуть
до засобів автоматизації, які спроектовані на іншому щиті.
Підвід живлення до
панелі освітлення має виконуватися проводами або кабелем від мережі освітлення
даного приміщення й передбачається в проектах освітлення проектованого об'єкта.
Допускається підвід живлення до панелі освітлення від ввідного вимикача щита. У
цьому випадку живлення до панелі освітлення щита передбачається в проекті
автоматизації:
особливі вимоги до
проводок для проектування засобів автоматизації;
конструкцією
приєднуючи пристроїв комутуючої апаратури.
Проводку вимірюючи
електричних ланцюгів, потребує екранування від впливу магнітних полів,
рекомендується виконувати проводами, при умові прокладки їх окремо від інших
ланцюгів.
При виконанні
монтажних схем щитів і пультів рекомендується передбачати з'єднання внутрішньої
й зовнішньої проводок за допомогою комутаційних затискачів;
Комутаційні
затискачі встановлюються на рейках. Типи рейок і їх технічні дані приведені в
таблиці. Підбір рейок у залежності від кількості установлюючи затискачів.
Проводка вимірюючи
ланцюгів до 45В й ланцюгів, які потребують екранування має прокламуватися
окремо від проводки інших ланцюгів.
При з'єднанні жил
кабелів і проводів до зборок затискачів, приладів і апаратів необхідно
передбачати:
- резервну
довжину, яка забезпечує приєднання кінця жили до затискача без напайки
проводів;
- пряму
ділянку, яка забезпечує налаштування виробів для закінчування й маркування у
відповідності з таблиці 11-7, 11-8.
На шкірному кінці
проведення або жили кабелю , яка поєднується до затисків на збірці щита або приладів
і апаратів рекомендується встановлювати вироби, показані в таблиці 11-7, 11-8.
Ввод проводів і
кабелів внутрішньої проводки рекомендується проектувати внизу щита або пульта.
Допускається ввід кабелів і проводів зверху й збоку щита. Рекомендуючі вводи у
щит і способи кріплення їх приведені нижче.
При подачі напруги,
загорається зелена сигнальна лампа, що свідчить про наявність напруги в колі
живлення. За параметрами напруги слідкують за допомогою вольтметра та
герцметра.
За параметрами води
слідкують за допомогою рівнеміра, термометра, витратоміра. Для вмикання двигуна
насмокчу натискають на кнопку пуск. При цьому загорається зелена сигнальна
лампа, яка свідчить, що котушка магнітного пускача отримала живлення. Вона
замикає свої контакти, і вмикається двигун насмокчу, а разом з їм і червона
сигнальна лампа, що сигналізує про роботові двигуна. При виборі малогабаритних
шаф щитів треба також враховувати спосіб їх встановлення (на колонці,
підставці, стіні й т.д.).
Апаратуру
управління, сигналізації й перемикачі до пристроїв оперативного призначення,
зв'язані з вимірювальними й регулюючими пристроями, розміщеними на передній
панелі щита, рекомендується компонувати на верхній панелі пульта по можливості
з врахуванням компонування відповідної йому панелі щита.
Апаратура
управління, випадкове включення (відключення), який призводить до аварійного
стану обладнання, винне бути відокремлено від іншої апаратури й захищена:
кнопка - з червоним ковпаком, ключ - пломбою.
Світлова
сигналізаційна апаратура, проектована для встановлення її на передніх панелях
щита або верхніх панелях пульта, компонується різно в залежності від його типу,
кількості й характеру сигналів (попереджувальні, аварійні, технологічні при
порушенні нормального параметра, командні, характеризуючи роботові електричних
приводів ), а також від прийнятих проектних рішень, зручності спостереження
загальної компонування засобів автоматизації й т.д.
Рекомендовані
мінімальні відстані між корпусами пристроїв і апаратури, які встановлюються на
пультах і щитах, передбачають:
- мінімальна
необхідна відстань між корпусами пристроїв і апаратури, рахуючи від зовнішніх
країв фланців цих пристроїв або заклик7нішніх країв виступаючих пнемо
приставок; відкриття дверей на 120°;
- кріплення
приборів і апаратури - зручність монтажу й експлуатації. Всередині шафових
щитів, а також за панелями, щитами рекомендується розміщати: - вимірювальні й
регулюючі прилади (сигналізатори тиску, командний електричний пневматичний
прилад і т.д.), які не потребують візуального спостереження;
- допоміжну
апаратуру електричних і пневматичних схем автоматизації живлення
(трансформатори, випрямлячі реле, вимикачі, запобіжники, редуктори й т.д.);
зборки затисків;
- скоби
для кріплення кабелів і труб.
При розміщенні
всередині щита апаратури кола живлення рекомендується
1. ввідні
вимикачі й запобіжники встановлюються на окремих панелях живлення;
2. групувати
на панелях живлення вимикачі й запобіжники по величині напруги (220В);
. під
запобіжниками й вимикачами установлюють з надписами, які характеризують
призначення номінального струму і їх плавких вставок;
. під
запобіжниками й вимикачами призначеними для одного кола живлення установлюють
одну рамку з надписом.
Реле,
трансформатори, джерела живлення запобіжники й іншу допоміжну апаратуру
розміщувати в середині не допускається.
Для освітлення
щитів необхідно передбачити на стелі кожної шафи апаратуру з пластмасовим
патроном. Лампи для освітлення шафових щитів рекомендується використовувати для
напруги 220 або 127 В змінної напруги (у залежності від прийнятого напруження
загально - освітлювальної мережі) і потужності для повно габаритних щитів і для
малогабаритних 25 Вт (матові).
Комутаційна
апаратура системне освітлення щита (шафового та монтажної сторони панельного )
- вимикач у колах 220 В і дві штепсельні розетки в колах 36 В - 12 В (для
включення світильника й паяльника): розміщені на панелях освітлення,
установленої при вході, у щит на боковій або задній стінці. Допускається також
установка цієї апаратури на ізоляційному матеріалі безпосередньо на задній або
боковій стінці щита (при вході в щит).
Для захисту від
випадкового небезпечного одночасного дотику до заземленого щита й неізольованої
струмопровідної частини потрібно :
1. Проходи
обслуговування в середині шафових щитів, за панелями щитами, перед щитами при
відсутності відкритих струмопровідних частин напругою вище 36 В повинні мати не
менше 0,8 м ширини й 1,9 м висоти. У проходах неповинні знаходитися звужуючи
переміщення людей і переміщення обладнання, однак допускається в окремих містах
де проходять звужені з виступаючими будівельними конструкціями або обладнанням,
залишають прохідне менше 0,6 м.
2. У випадках
коли по умовам експлуатації об'єкту можливе здійснення захисного блокування
дверей, знімаючи напругу при вході в якій допускається установка апаратури при
наявності відкритих струмопровідних частин з напругою на них не вище 36 В.
У щитах і пультах
які проектують для установки у вибухонебезпечних приміщеннях, заземляються
металічні корпуса електричних приладів і апаратури, а також металічні оболонки
контрольних кабелів. У багатошафових щитах при умовах забезпечення надійного
електричного з'єднання сусідніх панелей через деталі кріплення допускається
заземлювати одну шафу. На кресленнях загального виду шафового щита або пульта
викреслюється:
- Вид
на передній панелі всього щита з спрощеним зображенням всіх запроектованих на
них засобів автоматизації, апаратури управління й мнемосхеми ;
- Вид
на верху панелі пульта (у розгорнутому виді) з зображенням запроектованих на
них засобів автоматизації, апаратури управління й мнемосхеми;
На креслення
загальних видів панелей, щитів допускається зображення розміщення пристроїв
допоміжної апаратури, панелей живлення й т.д., проектуючи для встановлення їх
за щитом на стіні, або панелі. Вибираємо місцеву шафу за [12] стор. 213.
Малогабаритні
шафові щити розміщають на такій висоті, щоб горизонтальні осі приладів,
установлених на щитах, знаходилися в межах у слідуючих відстанях від підлоги:
- показуючи
прилади й сигнальна апаратура - 800 - 2100 мм.,
- самопишучі
прилади -1000 - 1600 мм.,
- органи
управління (перемикачі, ключі управління, кнопки) - 700 - 1600мм.,
При цьому
забезпечується необхідні зручності для експлуатації щитів, а також приладів і
апаратів, установлених на них.
8.3
ВИБІР СПОСОБУ МОНТАЖУ ПРИСТРОЇВ ТА
ПРОКЛАДКИ ПРОВОДІВ ТА ТРУБ
Електропроводки
призначені для кіл вимірювань, управління й сигналізації і призначені для
з'єднання приладів, регуляторів, апаратури управління й інших засобів
автоматизації, які встановлюються поза щитами й пультами, з приладами й
апаратурою, розташованими на щитах і пультах, а також між собою розглядаються
електричні проводки системи автоматизації напругою до 400В змінного й до 440В
постійного струму.
Переріз проводів і
кабелів системи електроживлення засобів автоматизації мають вибиратися по
максимально припустимому струмовому навантаженні й механічної міцності з
наступною перевіркою по втраті напруги.
При виборі перерізу
жил провідників розрахунковий струм приймається як більше значення, яка
визначається двома умовами: розрахунковим струмовим навантаженням і номінальним
струмом або струмом спрацювання захисного апарату. При цьому розрахунковий
струм має рівнятися або бути менше припустимого тривалого струмового
навантаження. Переріз проводів і кабелів ланцюгів управління, вимірювання,
сигналізації й т.д. вибирається так як і переріз провідників ланцюгів живлення.
При виборі перерізів провідників ланцюгів вимірювання необхідно також
враховувати вимоги, які пред'являються до їх опору технічними умовами на
апаратуру заводів-виготовлювачів.
По умовам
механічної міцності допустимі мінімальні перерізи жив проводів і кабелів
будь-яких ланцюгів систем автоматизації, мають бути не менше:
- для
електропроводок напругою до 500В, виконаних мідними проводами -0,75 мм ;
- для
живлення електрифікованого інструменту і переносного освітлення, виконаного
гнучкими мідними проводами - 1,5мм2.
Електропроводки
прокладають по найкоротшим відстаням між з'єднуючими приладами й засобами
автоматизації, паралельно слідам, перекриттям і колонах, з мінімальною
кількістю обертів і перетинань, зручно розташовують для монтажу й експлуатації,
а також достатньо віддаляють від місць з підвищеною температурою,
технологічного обладнання й електрообладнання, силових і освітлюючи ліній,
уникаючи перехрещування з іншими електропроводками.
Комутація винна
виконуватись у відповідності до монтажно - комутаційної документації з
врахуванням можливості розбірки щитів (пультів) на окремі панелі. Електричну
комутацію на щитах для систем вимірювань, регулювання управління та сигналізації
напругою до 400В виконують проводами марки ПРЛ перерізом до 1 мм2 .Електричну
проводку в щитах для комутації кіл із системами з малими струмами управління та
сигналізації виконують проведенням з поліхлорвініловою ізоляцією типу ПМВГ
перерізом 1,5 мм2 напругою до 200В .
Окремі проведення
вкладаємо в пакети, що прокладаються в горизонтальному та вертикальному
напрямку. Пакети проводів, а також одинарні проведення та кабелі надійно
закріплюємо на панелях щитів або спеціальних конструкціях. Вигини проводів та
кабелів виконуємо радіусом не менше шести діаметрів для кабелю.
Кінці кабелів, що
заведено до щита повинні бути розроблені, а кінці проводів у місці виходу жив
проведення з-під ізоляції захищають спеціальним пластмасовим закінчувачем або
бандажем з суворих ниток, ізоляційної стрічки, просоченої ізоляційним лаком.
При виконанні
комутації гнучким проведенням, його кінці потрібно скручувати та пропаювати. На
всіх жилах та проводах у місцях їх підключень обов'язково винна бути виконано
маркування у відповідності до позначень монтажно - комутаційної схеми. У
випадках, коли провід або жила з'єднують прилади, апаратуру та арматури, що
встановлені на одній панелі щита й прокладаються так, що їх шлях можна
прослідкувати, маркування необов'язкове. У випадках, коли затискачів у збірці
так багато, що їх розміщення в один ряд важко виконати, розташовують у два та
більше рядів, з відстанню між віссю рядів повинно бути не менше 150-200 мм.
Передбачаємо спосіб
монтажу проводів пакетами на перфорованих профілях та стрічках.
Цей спосіб
прокладки проводів відноситься до виду монтажу з жорстким кріпленням проводів в
основу покладено перфоровані стрічки та рейки. Проведення прокладаються по
прокладках з електрокар тону або лакованої тканини що відділяють окремі потоки проводів
від металевої перфорованої основи. їх кріплять за допомогою смужок - пряжок. У
місцях кріплення на потік проводів накладають додаткову ізоляцію з електрокар
тону або лакованої тканини.
8.4 ВИБІР
УСТАНОВОЧНИХ МАТЕРІАЛІВ ТА СКЛАДАННЯ СПЕЦИФІКАЦІЇ НА ЗАМОВЛЕННЯ
За даними проекту
автоматизації технологічного процесу виписуємо розраховані елементи схеми
електропостачання та управління схеми автоматичного вмикання резервного
живлення та вибираємо конструктивні елементи установочних матеріалів пультів (щитів
).
Вибрані типи
запобіжників та їх паспортні дані заносимо до таблиці 11.
Таблица 11
|
Місце встановлення
|
Тип запобіжник
а
|
Номінальний струм запобіжника
А
|
Номінальний струм
плавкої
вставки
А
|
Гранично відключаючий струм А
|
|
Прес
|
Н-10
|
10
|
6
|
Орієнтовно 1000
|
|
Машини і спецмашини
|
Н-10
|
10
|
6
|
Орієнтовно 1000
|
|
Електропривід
|
Н-10
|
10
|
4
|
Орієнтовно 1000
|
|
Вентилятор
|
Н-10
|
10
|
4
|
Орієнтовно 1000
|
|
Насос
|
Н-10
|
10
|
4
|
Орієнтовно 1000
|
|
Теплова обробка
|
Н-20
|
20
|
20
|
Орієнтовно 1000
|
|
Двигуни магістралі першої групи споживачів
|
ПР-100
|
100
|
100
|
Орієнтовно 10000
|
|
Двигуни магістралі другої групи споживачів
|
Н-20
|
20
|
20
|
Орієнтовно 1000
|
|
Двигуни магістралі
третьої групи споживачів
|
Н-20
|
20
|
20
|
Орієнтовно 1000
|
|
Магістраль
|
ПР-100
|
100
|
100
|
Орієнтовно 10000
|
Вибрані автоматичні
вимикачі та їх паспортні дані заносимо в табл.12
Таблица 12
|
Місце встановлення
|
Тип
|
Номінальний струм, А
|
Номінальна уставка струму
рухання у
викачів,
А
Іпост.
Ізмін.
|
Позначення
|
Число полюсів
|
Рід струма
|
|
Прес
|
А3710Б
|
32
|
600
|
630
|
А3715Б
|
2
|
постійний або змінний
|
|
Теплова обробка
|
А3710Б
|
40
|
960
|
1600
|
А3713Б
|
2
|
постійний або змінний
|
|
машини і спецмашини
|
А3710Б
|
16
|
600
|
630
|
А3715Б
|
2
|
постійний або змінний
|
|
Двигуни магістралі першої Рупи споживачів
|
А3710 Б
|
80
|
960
|
1600
|
А3714Б
|
3
|
змінний
|
|
Двигуни магістралі другої групи споживачів
|
А3710 Б
|
40
|
960
|
1600
|
А3713Б
|
2
|
пост, або змін.
|
|
Двигуни магістралі Третьої рупи споживачів
|
А3710 Б
|
80
|
960
|
1600
|
А3714Б
|
3
|
змінний
|
|
Магістраль
|
А3710 Б
|
160
|
960
|
1600
|
А3714Б
|
3
|
змінний
|
Тип кнопочних
станцій вибираємо з літератури № , для преса-КУ-122-ЇМ
теплової обробки -
КМЗ-2
машин і спецмашин -
КМЗ-2
Габаритні розміри
кнопочної станції 70x70x75.
Вибрані магнітні
пускачі та їх паспортні дані заносимо до таблиці 13.
Таблиця 13
|
Місце встановлення
|
Тип
|
Рмах керованого електродвигуна,
при U=36B
|
Іном., А
|
Виконання
|
Температура навк. Середовища.
|
Вологість %
|
|
Прес
|
ПМЕ-200
|
0,8
|
14
|
Відкрите, захищене, пилозахищене,
пилокраплезахищене
|
від-40 до +40°С
|
90 при +20°С 50 при +40°С
|
|
Машини і шецмашини
|
ПМЕ-200
|
0,8
|
14
|
Відкрите, захищене, пилозахищене,
пилокраплезахищене
|
|
•
|
|
Електропр ивід ТО
|
ПМЕ-200
|
0,8
|
14
|
Відкрите, захищене, пилозахищене,
пилокраплезахищене
|
|
|
|
Теплова обробка
|
ПА-600Т
|
22
|
105
|
Відкрите, захищене, пилозахищене,
пилокраплезахищене
|
|
|
Таблиця 14
Контактори
перемикання
|
Тип контактора
|
Номінальна напруга головних
контактів, В
|
Число блок контактів
|
Тривалий струм, А
|
Номінальна напруга котушки,
В
|
Споживана потужність, Вт
|
|
КП-1-004
|
220
|
2з-2р
|
20
|
220
|
38
|
Вибір елементів
бази системи автоматизації заносимо до таблиці 15
Таблиця 15
|
Позначення на схемі
|
Назва
|
Тип
|
Кількість
|
Технічна характеристика
|
|
А1-А2
|
Амперметр електромагнітний
|
Е-378
|
3
|
0-75А
|
|
SF1.SF2
|
Вимикач пакетний
|
ПЕМЗ
|
2
|
380В,63А
|
|
HLG
|
Лампа в арматурі з зеленою лінзою АС-200
|
Ц-220-10
|
1
|
220В, ІОВт
|
|
HLR
|
Лампі в арматурі з червоною лінзою АС-200
|
Ц-220-10
|
1
|
220В, ІОВт
|
|
SQ
|
Перемикач
|
ПМОФ
|
1
|
370В,6А
|
|
F1-F2
|
Запобіжник
|
ПР-2
|
6
|
500В, 100А
|
|
KM1.KM2
|
Магнітний пускач
|
ПА-411
|
2
|
220В,63А
|
|
KV1.KV2
|
Реле напруги (обриву)
|
Е-511
|
2
|
380В,1з-1р
|
|
V
|
Вольтметр електромагнітний
|
Е-378
|
1
|
0-250В
|
Провода (кабелі
)живлення
3*ПР-10 провід
мідний, з гумовою ізоляцією, одножильний прокладений в трубі, з протигнильним
просоченням
3*111 В-1 провід
мідний, з поліхлорвініловою ізоляцією , гнучкою жилою Вибираємо провід
комутаційний
Таблиця 16
|
Назва провода
|
Марка
|
Переріз, мм2
|
Напруга, В
|
Зовнішній діаметр, мм
|
|
Провід з гумовою ізоляцією
|
ПРЛ .
|
1
|
До 500
|
4,8
|
|
Провід з поліхлорвініле вою ізоляцією
|
пмвг
|
0,5
|
До 200
|
1,8
|
Таблиця 17
Специфікація на
замовлення
|
№ поз. за технологічною схемою, місце встановлення
|
Тип, марка обладнання, матеріал обладнання
|
Одиниця виміру
|
|
|
|
назва
|
кількість
|
|
Електротехнічне обладнання
|
|
Запобіжник
|
Н-10
|
шт.
|
2
|
|
Автоматичний вимикач
|
А3710Б
|
шт
|
1
|
|
Автоматичний вимикач
|
АЕ-2000,63А
|
шт
|
1
|
|
Асинхронний двигун
|
POKD 13-0/S51
|
шт
|
15
|
|
Магнітний пускач
|
ПМЕ-200
|
шт
|
17
|
|
Кнопкова станція
|
КУ-122-1М
|
шт
|
15
|
|
Сигнальна арматура
|
АСКМ
|
шт
|
15
|
|
•
|
Реле часу
|
ЕВ-247,1-20с,220В
|
шт
|
1
|
|
Контактор
|
КП-1-004
|
шт
|
2
|
|
Елементи схеми АВР
|
|
Амперметр електромагнітний
|
Е-378
|
|
|
|
Вимикач пакетний
|
|
|
|
|
Лампа в арматурі з зеленою лінзою АС-200
|
Ц-220-10
|
шт
|
1
|
|
Лампі в арматурі з червоною лінзою АС-200
|
Ц-220-10
|
шт
|
1
|
|
Перемикач
|
ПМОФ,380В,6А
|
шт
|
1
|
|
Запобіжник
|
ПР-2.100А
|
шт
|
6
|
|
Магнітний пускач
|
ПА-411,220В
|
шт
|
2
|
|
Реле напруги (обриву)
|
Е-511
|
шт
|
2
|
|
Вольтметр електромагнітний
|
Е-378
|
шт
|
І
|
|
Провода живлення
|
|
Провід мідний 4 одножильний 3 гумовою
ізоляцією
|
ПРТО
|
м
|
150
|
|
Провід мідний 3 одножильний 3 гумовою
ізоляцією
|
ПРТО
|
м
|
50
|
|
Провід мідний 2 одножильний 3 гумовою
ізоляцією
|
ПРТО
|
м
|
52
|
|
Провід мідний 3 поліхлорвініловою ізоляцією
|
ПМВГ-0,5
|
м
|
80
|
|
Пульти (щити ) управління
|
|
■
|
Пульт управління окремо стоячий
|
ПО-1196*800*1034
|
шт
|
2
|
9. ВИБІР
ТЕХНОЛОГІЇ, ІНСТРУМЕНТІВ ТА ПРИСТОСУВАНЬ ПІДГОТОВЧИХ РОБІТ
Для виготовлення
пульта (щита) керування виконуємо підготовчі роботи за технологічною
послідовністю описану попередньо. Для виконання робіт на монтажній
-заготівельній ділянці використовуємо верстати пристосування та інструмент у
такому комплекті:
Ножиці для різки
листової та сортової сталі. Використані для різки кривошипних листових з
похилим ножем моделі Н3118 та ножиці роликові моделі НР-60500. Товщина різаного
аркуша до 6,3 мм.
Прес механічний
типу КД-2322. Використовуємо для різних операцій, по холодній штампові (
вирубка, прошивання). Прес однокривошипний, відкритий .
Свердлильні
верстати. Призначені для свердлення отворів у металі та дрібних деталях типів:
універсальний, вертикально свердлильний, одношпиндельний верстат 2Н125,
настільний свердлильний верстат НС12-А.
Електричний
інструмент.
- Електрична
шліфувальна машина. Призначена для зачищення зварних швів, штампувань,
зачищення металоконструкцій від іржі, зачищення кінців труб та листового металу
перед зваркою, а також перфовиробів за допомогою абразивного кола. Приймаємо
кругову машину типу ИЕ-8201А із гнучким валом, напругою 220В, з найбільшим
діаметром шліфувального кола 200 мм.
Електрична
свердлильна машина. Призначена для свердлення отворів у сталях середньої
міцності, цеглі, кольорових металах та дереві. Приймаємо при монтажі приладів
та засобів автоматизації електричну свердлильну машину типуие-1013 з діаметром
свердла 15мм, напругою 220В.
Фарбувальні
агрегати та пристрої.
Використовуємо
фарбувальний агрегат типу 3-75.
Інструмент
слюсарних робіт.
- Приймаємо
індивідуальний набір слюсарно-монтажних приладів та засобів автоматизацій.
Інструменти входять
до набору вкладеного в кишені розкладної сумки.
Прилад
типу ПЖ-30 для відшукання (продзвонки) однією особою тотожних жив кабелю або
проведенню в джгуті незалежно від його довжини.
Обладнання
зварювальних робіт. Використовують при виконанні монтажних робіт безпосередньо
на об'єктах монтажу. Генератори переносні ГНВ-1,25, для однопостової роботи
неперервної дії на ацетилені низького тиску шляхом розкладання карбіду -кальцію
водою.
Балон
кисневий. Призначений для зберігання та транспортування кисню, пофарбований у
голубий колір з чорним надписом „ кисень".
Підйомно
транспортне обладнання та механізми.
Використовуємо для
підйому, переміщення та транспортування матеріалів, вузлів, блоків та
навантаження готової продукції на автотранспорт і вивізки на об'єкт монтажу
приймаємо: кран підвісний, полегшеного типу, вантажопідйомністю 1т.
- Таль
ручна, полегшеного типу.
- Драбина
з площадкою, типу Л-312.
10. ВИБІР
ТЕХНОЛОГІЇ, ІНСТРУМЕНТІВ ТА ПРИСТОСУВАНЬ МОНТАЖНИХ РОБІТ
Виконання
електропроводок. Розмітка траси електропроводок
визначає точні місця установки щитів , приладів, регуляторів та Інших засобів
автоматизації. Розмітка трас електропроводок виконується у відповідності до
монтажних креслень проекту автоматизації та проекту виконання робіт.
Інструмент та
пристосування для електромонтажних робіт.
1. Приймаємо
індивідуальний набір інструменту електромонтажника приладів та засобів
автоматизації конструктивно виконаний і в розкладній сумці.
. Інструментальний
набір для робіт з монтажу вторинної комутації типу ИН-4 у складі : - пасатижі
електромонтажні, бокорізів спеціальних з ізольованими ручками, молотка
слюсарного, викрутки з держаком гвинта, викрутки з діелектричною ручкою,
постійні магніти 2 шт. , індикатор напруги до 500У типу ИН-90, ключ гайковий
двобічний 9-11, кліщі типу КСИ для зняття ізоляції, ніж монтерський типу НМ-2,
метр складний металевий.
. Індикатор номера
жил типу ИНЖ-1 призначений для відшукання (продзвонки) тотожних жив багатожильних
кабелів та джгутів перед підключенням їх до електроапаратури до 52 кіл. При
виконанні повнозбірних монтажів всі збірно-монтажні роботи поділяють на три
види:
1. Монтаж
магістральних проводок.
2. Монтаж
щитів і пультів в операторних приміщеннях.
. Монтаж
місцевих приладів.
При монтажі
використовують перфоровані профілі:, кутники, швелери, які спрощують монтаж.
Приймаємо:
- Комутаційні
затиски, нормальні типу ЗК-Н до 250В та тривале навантаження до 10 А.
- Затискачі
комутаційні з перемичкою типу ЗК-П до 250 В та тривалим навантаженням до 250 У.
- Колодки
маркувальні, типу КМ-4.
- Заглушки
(для затисків ЗК-Н та ЗК-П) з напругою 380 В.
Приймаємо:
Рейку
затисків типу РЗ-6, РЗ-16, РЗ-8.
Загальна довжина
рейок. 2х24( РЗ-16 )-0,Зм ; 1х( РЗ-8 )-0,1м ; 1х( РЗ-6 )-0,1м ; 1*(РЗ-16-РЗ-6 )
Приймаємо вироби що
встановлюються на кінцях проводів та жил кабелів перерізом 1.5 до 2.5 мм
- Закінчувач
маркувальний, універсальний типу ОКМ (встановлюється з двох боків збірки
затисків ).
- Закінчувач
ізоляційний типу ОИ-2.5 -124
- Шайба
- зірочка типу ШЗ-2,5-124
- Закінчував
шайбовий типу ОІН-2.5-124
- Бірка
маркувальна типу БМ-124
Для кріплення
кабелів приймаємо:
- Скоби
однолапкові для кріплення кабелів з зовнішнім діаметром від 6 до 16 мм, типу
3-6.
- Скоби
безлапкові для кріплення кабелів з зовнішнім діаметром до 16 мм5 типу БС2-16.
- Полоси
поздовжні, перфоровані типу ППР-4.
- Швелери
з поперечною пропорцією типу ШПО.
Таблиця 18
11. ВИБІР
ТЕХНОЛОГІЇ, ІНСТРУМЕНТУ ТА
ПРИСТОСУВАНЬ НАЛАГОДЖУВАЛЬНИХ РОБІТ
Налаштувальні
роботи виконуються по видах електрообладнання. Контроль якості електромонтажних
робіт виконується на всіх стадіях процесу монтажу, починаючи з підготовчих
робіт і закінчуючи пусконалагоджувальними.
Завершаючий контроль
якості виконаних електромонтажних робіт перед введенням до експлуатації
змонтованих об'єктів полягає в правильності збірки електричних кіл, стану
змонтованого обладнання й відповідності його проекту, стану контактних з'єднань
та ізоляції, взаємодії всіх елементів при подачі оперативного струму, і пускове
опробування змонтованого обладнання.
Кожна
налагоджувальна бригада забезпечується комплектом вимірювальних приладів,
апаратури та проводів, захисними засобами з техніки безпеки (гумовими
рукавицями, захисними окулярами, індикаторами напруги, попереджувальними
плакатами, гумовими ботами).
Структура виконання
налагоджувальних робіт полягає в:
- зовнішньому
огляді обладнання та проводок,
- перевірці
механічної частини апаратури,
- перевірці
ізоляції мегомметром,
- перевірці
окремих елементів обладнання, за допомогою тимчасових схем,
- перевірці
під напругою, змонтованих схем пристроїв і автоматики,
- перевірка
та випробування окремих установок об'єкта,
- пробне
включення об'єкта технічного звіту.
Опір ізоляції
вимірюємо мегомметром на напрузі від 500 до 1000 В.
Випробування
підвищеною напругою змінного струму виконується прикладанням синусоїдальної
напруги 1000 В, частотою 50 Hz на протязі 1 хв.
Перед перевіркою
оглядають якість монтажних робіт, відсутність видимих пошкоджень (обривів,
зломів, пошкоджень ізоляцій), надійність закріплення проведення в панелі, і
відповідність встановленого обладнання проекту.
Перед початком
виміру ізоляції мегомметром слід впевнитись у відсутності напруги на
випробувальних колах та обмотках, відчистити апаратуру, затиски, проведення від
пилку, бруду, залишків та обрізків матеріалів. Кола оперативного струму повинні
мати опір не менше 1 Мом. Кола управлінням захисту та сигналізації не менше 0,5
Мом.
Для забезпечення
бригади наладчиків вимірювальною апаратурою використовуємо
1. комбінований
прилад, переносний універсальний (змінного та постійного струму), типу Ц437,
2. ампервольтомметр
для вимірювання напруги постійного струму, напруги змінного струму від 45 до
20000 Hz з розширенням від 20 до 40 kHz, класу точності 2,5 з межами на
постійному струмі від 100 мкА, до 1 А, від 2,5 до 1000 В, від 0,3 Ком до 3 Мом.
. Мегомметр
переносний типу М 1101 М від 100 В до 1000 В; від 200 Ом до 200 Мом.
Для перевірки
напівпровідникових схем використовують осцилограф типу Ц 1-15, універсальний зі
змінним перед підсиленням для спостереження форми імпульсних і неперервних
електроколивань, виміру амплітуд та тривалості імпульсів.
Таблиця 19
|
№ познач.
|
Назви і технічна х-ка осн. і комплексного
обладнання
|
Тип і марка обладнання, каталог, № креслення,
№ опитуючого аркуша, матеріал обладнання
|
Потреба за проектом
|
|
1
|
Ампер вольтметр
|
Ц437; від 45 до 20000 Hz; від
100 мкА до 1А
від
2,5 до 1000В; від 0,3 кОм до 3 МОм
|
3
|
|
2
|
Мегомметр
|
М1101М від 500 до 1000 В, від 200 Ом до 200 MOм, Hz=50
|
1
|
|
3
|
Осцилограф
|
З 1-15
|
1
|
12. СПЕЦІАЛЬНЕ
ЗАВДАННЯ
Вимірювання тиску,
сили та прискорення в технологічних процесах за допомогою п'єзоелектричних
датчиків.
Робота
п'єзоелектричного датчика заснована на фізичному явищі, що називається
п'єзоелектричним ефектом. Цей ефект виявляється в деяких кристалах у виді появи
на їхніх гранях електричних зарядів різних знаків при стиску кристала у
визначеному напрямку.
Слово
"п’єзо" по-грецьки означає "давлю". У залежності від
значення сили стиску (чи розтягання) міняється кількість зарядів, а отже, і
різниця потенціалів, заміряна між гранями. П'єзоелектричні датчики відносяться
до генераторного типу.
Широко відомі
п'єзоелектричні звукознімачі: голка звукознімача сприймає всі зміни глибини
звукової доріжки і передає їх на пєзокристалл. Вихідна напруга з пьєзокристалла
підсилюється, і через динамік ми чуємо записані звуки.
Поява зарядів на
гранях у залежності від стиску називається прямим пьезоэффектом. Існує і
зворотний пъезоэффект: при подачі напруги на грані кристала змінюються його
розміри (він стискується чи розтискається). Зворотний пьезоэффект (поряд з
магнітострикційним) знайшов застосування в ультразвукових генераторах. А
засновані на прямому пєзоэффекті п'єзоелектричні датчики використовуються в
автоматиці для виміру тисків, вібрацій, прискорень, інших параметрів
швидкоплинних процесів.
Електричні заряди
на гранях пєзоелемента, що зявляються під дією сил Fx і FY зникають, як тільки
припиняється дія сили. Крім того, навіть якщо сила прикладена постійно, заряди
стікають через повітря чи ізоляцію.
Тому
п'єзоелектричні датчики використовують лише для виміру динамічних процесів,
коли під дією перемінних сил заряди на гранях увесь час заповнюються. У
п'єзоелектричних датчиках набули застосування крім кварцу сегнетова сіль і
титанат барію.
П'єзоелектричний
модуль кварцу порівняно невисокий. Але його головнеа перевага - низька
вартість. Адже кварц - це один з найпоширеніших мінералів, його склад (SіО2)
той же, що й у звичайного піску. Кварц також має велику механічну міцність,
гарні ізоляційні властивості, незначну залежність параметрів від температури.
Найбільше яскраво
п'єзоелектричний ефект виражений у кристалах сегнетової солі: при одній і тій
же силі з'являється в тисячу разів більша кількість електрики, ніж у кварцу.
Однак ці заряди досить швидко стікають через малий питомий опір. Властивості
сегнетовой солі змінюються в залежності від температури і вологості. Тому
пьезоэлементы із сегнетовой солі застосовуються для виміру швидкозмінних сил і
тисків при малій вологості і неширокому діапазоні зміни температури
навколишнього середовища.
Титанат барію має і
велике значення п'єзоелектричного модуля (на два порядки вище, ніж у кварцу), і
високу механічну міцність, і незалежність параметрів від зміни вологості. Його
недолік - старіння, згодом він утрачає свої властивості (приблизно на 10 % за
рік).
П'єзоелектричні
датчики застосовуються для виміру тиску, сили, прискорення. Вимірюваний тиск
діє на мембрану 1, що представляє собою дно корпуса датчика. Кварцові пластини
2 затиснуті між металевими прокладками 3. Середня прокладка 3 з'єднана з
виводом 4, що проходить через екрановану втулку 5 з ізоляційного матеріалу.
Кришка 6
з'єднується з корпусом і через кульку 7 передає тиск пластинам, завдяки чому
вимірюваний тиск розподіляється по поверхні кварцових пластин більш рівномірно.
Кварцові пластини звичайно розташовані таким чином, що у вимірювальну схему
подається негативний потенціал. Позитивний потенціал подається на корпус
датчика. Для зменшення витоку зарядів необхідна дуже якісна ізоляція. З цією же
метою поверхня кварцових пластин ретельно полірують. Використання двох (а іноді
і більше) пластин підвищує вихідну ЭДС, оскільки вихідні сигнали пластин
складаються.
Пьезоэлемент 1 з
титанату барію розташований у корпусі приладу 2 між інерційною масою 3 і
підп'ятником 4. Для збільшення сили, що діє на пьезоэлемент при прискореннях,
інерційна маса має відносно великі розміри і виготовлена з вольфраму. Пакет з
інерційної маси 3, пьезоэлемента 1 і підп'ятники 4 притиснутий до підстави
корпуса гайкою 5 через сферичну п'яту 6, ізоляційну прокладку, пружинну шайбу і
контактну пластину. Вивід сигналу виконаний за допомогою спеціального
антивібраційного кабелю.
Датчик вимірює
прискорення від 0,2 до 200 g. Коефіцієнт перетворення порядку 8 мВ на 1 g.
Мінімальна час виброприскорення 5 Гц.
13. ОХОРОНА ПРАЦІ
ТА ПРИРОДООХОРОННІ ЗАХОДИ
Для проведення
експлуатаційних перевірок та випробувань в колах автоматики слід передбачити
випробувальні блоки або випробувальні затискачі, що забезпечують без
від'єднання проводів та кабелі відключення від джерел оперативного струму
приєднаних випробувальних апаратів для перевірки та налаштування пристроїв.
Збірки затискачів,
допоміжні контакти і апарати повинні встановлюватись, а заземляючі провідники
монтуватись так, щоб була забезпечена доступність та безпека обслуговування
збірок та апаратів без зняття напруги.
Контроль ізоляції
кіл оперативного постійного та змінного струму слід передбачити на кожному
незалежному джерелі, що не має заземлення.
Пристрої контролю
ізоляції повинні забезпечити подачу сигналу при зниженні ізоляції нижче
встановленого значення, а на постійному струмі- також вимірювання значення
опору ізоляції полюсів.
Контроль ізоляції
допускається не виконувати при нерозгалужених мережах оперативного струму.
Живлення
оперативним струмом вторинних кіл кожного приєднання слід виконувати через
окремий запобіжник або автоматичний вимикач. Живлення оперативним струмом кіл
захисту та управління кожного окремого пристрою та управління повинно
передбачатись через окремі автоматичні вимикачі або запобіжники, не пов'язані з
іншими колами (сигналізація, електрична блокіровка тощо).
Допускається
одночасне живлення кіл управління та ламп сигналізації положення керованого
пристрою.
До роботи по
ремонту обладнання допускаються особи не молодше 18 років, що мають технічну
підготовку, пройшли медичний огляд, знають Правила техніки безпеки при
експлуатації електричних установок " і мають 111 кваліфікаційну групу з
техніки безпеки (робота на устаткуванні до 1000В). Небезпечними виробничими
факторами є: - можливість ураження електричним струмом ; - травмування
механічними предметами ;- падіння з висоти.
Всі роботи,
пов'язані з електроустаткуванням повинні вестися за розпорядженнями бригадою,
що складається не менше, ніж з двох осіб.
Перед початком
роботи.
Зовнішнім оглядом
перевіряють справність слюсарного інструменту, захисних та допоміжних засобів.
Підготовити робоче місце, звільнити його від сторонніх предметів, підлога
повинна бути сухою, неслизькою, щоб виключити падіння працівника. Впевнитись у
справності та надійності заземлюючих провідників. Повністю зняти з обладнання
та механізмів напругу з видимим розривом кола, шляхом відключення рубильника
або зняття запобіжників. Встановити огородження та вивісити попереджуючі
плакати або написи. Перевірити відсутність напруги справним індикатором або
переносним вольтметром.
Під час роботи.
Перевірити
справність кабеля, що підводить електричне живлення. Впевнитись у відсутності
оголених проводів та справності ізоляції. Не допускати перегинів та
перекручувань проводів під'єднань, тертя об гострі кути для запобігання
перетирання ізоляції.
Перша допомога при
ураженні електричним струмом.
Своєчасно надана
допомога при ураженні струмом дозволяє зберегти життя потерпілому. Перша
допомога повинна бути надана потерпілому, так як найменше сповільнення може
призвести до непоправних наслідків. Перша допомога складається з двох етапів :
звільнення потерпілого від дії струму і надання медичної допомоги.
Перший етап виконують
декількома способами. Найбільш простий і вірний спосіб - це відключення
відповідної частини електроустановки. Якщо відключення швидко виконати
неможливо, при напрузі до 1000В потрібно перерубати провід сокирою з дерев'яною
ручкою або відтягти потерпілого від струмопровідної частини за одежу, якщо вона
суха, відкинути від нього провід за допомогою дерев'яної палки.
Міри першої
медичної допомоги потерпілому від ураження електричним струмом залежать від
його стану. При відсутності тями, за диханням потрібно обережно покласти
потерпілого на м'яку підстилку, розстібнути , пас та одежу, забезпечити притік
свіжого повітря. Слід дати понюхати нашатирного спирту, збризкати водою
розтерти та зігріти тіло.
При відсутності при
знаків життя - дихання, серцебиття, пульсу - потерпілого не можна вважати
загиблим. До прибуття лікаря не потрібно зупиняти надання допомоги, слід робити
штучне дихання і масаж серця. Штучне дихання повинно бути надано безпосередньо
після звільнення потерпілого від струму.
Одночасно з масажем
серця потрібно виконувати штучне дихання. Вдування потрібно виконувати в
проміжках між надавлюваннями або під час спеціальної паузи.
Перед допуском до
роботи на комутаційних апаратах з дистанційним керуванням слід виконувати такі
технічні заходи :
вимкнути допоміжні
кола (керування, сигналізації, підігрівання та ін..) і силові кола приводу
зачинити засувки та
трубопроводі подавання повітря в баки вимикачів або пневматичні приводи та
випускати в атмосферу повітря, яке в них міститься; в цьому разі спускні пробки
(клапани) залишаються у відкритому положенні привести у неробоче положення
вмивальний вантаж або вмивальні пружини вивісити плакати "Не вмикати!
Працюють люди" - на ключах дистанційного керування і "Не відкривати!
Працюють люди" - на закритих засувках.
Для пробних
випробувань і вимикань комутаційного апарату під час його налагоджування та
регулювання допускається тимчасове вмикання допоміжних кіл приводу, а також
подаванням повітря в привід та на вимикач. У цьому разі слід зняти плакати
"Не вмикати! Працюють люди" та "Не відкривати! Працюють
люди"
Дистанційно вмикати
та вимикати комутаційний апарат для випробування може з дозволу чергового
працівник, який проводить налагоджування та регулювання. В електроустановках
без місцевих оперативних працівників такий дозвіл не потрібний. Після
випробування, у разі необхідності продовження роботи на комутаційному апараті,
черговий або з його дозволу керівник робіт повинен виконувати попередньо
наведені вимоги.
14. ЕКОНОМІЧНА
ЧАСТИНА
Планування праці
заробітної плати персоналу по монтажу, налагодженню і технічному обслуговуванню
засобів і систем автоматизації технологічного виробництва..
. Планування
використання робочого часу.
Планування
використання робочого часу здійснюється на основі урядових документів Міністерства
праці та соціальної політики України на відповідний плановий рік.
Виконуємо
розрахунки ефективного фонду роботи одного робітника та одиниці устаткування.
Розрахунок
календарного та ефективного фонду часу одного робітника:
- Календарний
фонд робочого часу складає - 365 днів, або 8760 годин.
- Неробочий
час (днів) всього -114
в т.ч.
Суботи
-53
Неділі -52
свята -9
Номінальний фонд
часу всього днів -251
Із номінального
фонду часу неробочий час (днів) всього, в
т.ч.
планова відпустка
-26
додаткова відпустка
-12
відпустка по
навчанню -12
лікарняні -4
Ефективний фонд
часу (днів) - 200;
Тривалість робочого
часу за зміну - 8;
Ефективний фонд
часу за рік в год - 1600;
Коефіцієнт
використання робочого часу - 0,8
Робимо розрахунок
календарного та ефективного часу одиниці устаткування:
а) пристрої: швейні
машинки, прасувальний стіл, ліфт, парогенератор, пристрої АВР.
б)засоби
Календарний фонд
часу роботи устаткування (годин) - 2920
Номінальний фонд
(годин) - 2008
Ефективний фонд
(годин) - 1440
2. Планування
чисельності працюючих
Техніка розрахунків
планової чисельності окремих категорій працівників визначається конкретною
специфікою їх професійної діяльності та галузевими особливостями формування
того чи іншого підприємства.
Чисельність
основних робітників, зайнятих на ненормованих роботах (Ча.с. пл) -
контроль технологічного процесу, управління апаратами, машинами та іншим
устаткуванням розраховується за нормами обслуговування, а саме :
Ча.с.пл
= (18*2*1,2)/5 = 8,64 ≈ 9
де m0 -
кількість об'єктів ,що обслуговуються (агрегати та інш.)
nзм
- кількість змін роботи на добу
Кяо -
коефіцієнт переводу явочної чисельності і облікову, який розраховується за
формулою:
Кяо =
1,2
де ф- плановий
процент невиходів робітників на роботу
Ноб -
норма обслуговування одного агрегату (машини ) кількість об'єктів на одного
робітника
Розрахунок
чисельності резервного персоналу.
Різниця між
плановою чисельністю і явочним персоналом називається резервним, котрий потрібен
для заміни роботи відсутніх на виробництві по хворобі, відпустці та інше.
Чрез = 9
-7 = 2 чол
3. Розрахунки по
визначенню балансу робочого часу на основі досліджень виробничих процесів.
Баланс робочого
часу
|
Індекс
|
Назва витрат часу
|
Факт
|
Норма
|
|
|
хв
|
%
|
хв
|
%
|
|
ПЗ
|
Підготовчо-завершальний час
|
30
|
6,25
|
24
|
5,0
|
|
ОП
|
Оперативний час
|
350
|
72,90
|
384
|
80,5
|
|
ОБМ
|
Час обслуговування робочого місця
|
15
|
3,10
|
12
|
2,5
|
|
ПНП
|
Перерви, які не залежать від працівника
|
25
|
5,20
|
|
|
|
ПЗП
|
Перерви ,які залежать від працівника
|
20
|
4,15
|
|
|
|
ПВП
|
Перерви на відпочинок і власні потреби
|
40
|
8,30
|
60
|
12
|
|
Разом
|
480
|
100
|
480
|
100
|
На основі таблиці
виконуємо розрахунки:
- коефіцієнт
використання робочого часу
де Тпз -
підготовчо-завершальний час, хв.
Топ -
оперативний час, хв
Тобм -
час обслуговування робочого місця, хв.
Тпвп -
перерви на відпочинок і власні потреби, (якщо Тфпвн <
ТНпвн,) то приймаємо Тнпвн
Тзм -
тривалість робочої зміни.
Кв = 91 %
коефіцієнт
перерв викликаний порушенням виробничих процесів
де Тпнп -
перерви, які не залежать від працівника, хв.
Кпнп =
4,2 %
коефіцієнт
перерв який пов'язаний з порушенням трудової дисципліни
де Тпзп
- втрати часу які залежать від працівника.
Кпзп = 0
коефіцієнт
можливого підвищення продуктивності праці за рахунок усунення втрат часу
Де : - К1
- підвищення використання робочого часу, %
К1 = 9,4
%
Де К2 -
процент можливого підвищення продуктивності праці.
К2 =
10,4 %
4. Розрахунок і
розподіл заробітної плати.
Заробітна плата -
грошовий вираз вартості і ціни робочої сили, який виступає у формі будь-якого
заробітку, виключено власником підприємства працівникові за виконану роботу.
Оплата праці
складається з основної заробітної плати і додаткової оплати праці, які
знаходяться, приблизно, у співвідношенні: 70% - основна, 30% - додаткова.
Розрахунок
заробітної плати проведемо по відрядній формі, тобто за кількість фактично
відпрацьованих годин, по колективній системі.
При використанні
цієї системи розраховуємо заробіток всієї бригади і після цього розподіляємо
між членами.
Заробітна плата членів
бригади згідно тарифних ставок:
де Сгод ті
- годинна тарифна ставка і - го працівника згідно прийнятого розряду і умов
праці.
Тфі -
фактично відпрацьований час працівником (ефективний фонд роботи, год). Чпл
- планова чисельність працівників і - го розряду
ЗПт1= 2,10 *1600 *
3 =9072 грн./рік
ЗПт2= 2,25 *1600*3
= 9720 грн./рік
ЗПт3= 2,60 *160*2=
7488 грн./рік
Заробітна плата
бригади по тарифу,
ЗПТІ =
(9072+9720+7488+4032) =30312, грн.
Величина премії для
бригади за роботу
Пбрр
= 7578, грн./рік
Фактична заробітна
плата кожного працівника підприємства є частиною у фонді оплати праці всього
колективу або окремого підрозділу і залежить від кваліфікаційного рівня
працівника (розряду), коефіцієнта трудової участі (КТУ) і фактично
відпрацьованого часу (Тф).
Встановлюємо
коефіцієнти трудової участі (КТУ), при цьому виконуємо умову
0,8+
0,9+ 1,1+ 0,13+ 1,2+ 0,7+ 0,8+ 0,9+ 1,3
9
Визначаємо
розрахункову заробітну плату для працівників згідно КТУ
ЗПр1 = 2688 грн/рік
ЗПр2 = 3024 грн/рік
ЗПр3 = 3696 грн/рік
ЗПр4 = 2520 грн/рік
ЗПр5 = 3240 грн/рік
ЗПр6 = 2880 грн/рік
ЗПр7 = 541 грн/рік
ЗПр8 = 499 грн/рік
ЗПр9 = 582 грн/рік
Заробітна плата
бригади по тарифу,
ЗПтбр
= (2688+3024+3696+2520+3240+2880+541+499+582) = 19670 грн/рік
Величина премії для
бригади за роботу
Пбрр =
7578/19670 = 0,4
Розподіляємо премію
між членами бригади
Прі = Кпр*
ЗПрі , грн/рік
Пр1 = 1075 грн/рік
Пр2 = 1210 грн/рік
Пр3 = 1478 грн/рік
Пр4 = 1008 грн/рік
Пр5 = 1296 грн/рік
Пр6 = 1152 грн/рік
Пр7 = 216 грн/рік
Пр8 = 200 грн/рік
Пр9 = 233 грн/рік
Фактична заробітна
плата бригади
ЗПф1
=2688+1075=3763 грн/рік
ЗПФ2
=3024+1210=4234 грн/рік
ЗПф3
=3696+1478=5174 грн/рік
ЗПф4 =
2520+1008=3528 грн/рік
ЗПФ5 =3240+1296=4536
грн/рік
ЗПфб
=2880+1152=4032 грн/рік
ЗПФ7 =541+216=757
грн/рік
ЗПф8 =499+200=699
грн/рік
ЗПф9 =582+233=815
грн/рік
ЗПфбр =
(3763+4234+5174+3528+4536+4032+757+699+815) = 27539 грн/рік
Фонд оплати
відпусток для працівників згідно балансу робочого часу
ФОПв=((21+10)*8/1600)*
27539=4269, грн./рік
Річний фонд
заробітної плати для даної категорії працівників без встановлених відрахувань
Фріч = ФОПв+ЗПфбр,
грн/рік
Фріч =
ФОПв + ЗПфбр = 4269+27569 = 31808, грн./рік
Середньорічна
заробітня плата персоналу:
ЗПср.р =
3534 грн/рік
Складаємо
підсумкову таблицю по визначенню і розрахунку заробітної плати для персоналу
підприємства. Дані заносимо в таблицю на арк. 6 графічної частини.
15. СПИСОК
ВИКОРИСТАНОЇ ЛІТЕРАТУРИ
ЛІ. "Довідник електрика
сільськогосподарського виробництва", під редакцією B.C. Олійника. Київ
"Урожай"
Л2. "Справочник по
проектированию злектропривода силовых и осветительньгх установок", под
редакцией ЯМ. Большама. йздательство "Знергия"
ЛЗ. "Монтаж приборов и средств
автоматизации", под издательством А.С. Клюева, Москва, "Знергия"
Л4. "Проектирование установок
контроля и автоматики теплових процессов", под редакцей А.И. Емельянов,
О.В. Капник.
Л5. Справочник
"Производственная санитария" под редакцией Б.М. Злобинского.
Йздательство "Металлургия", Москва,
Л6. "Ремонт устройств релейной
защиты и автоматики", под редакцией В.Н. Камнева.
Л7. "Расчет основньїх и
полупроводниковых схем в примерах", под редакцией Б.С. Гершунского,
йздательство Киевского Университета
Л8. " Техника проектирования
систем автоматики и технологических процессов", под редакцией Л.Н.
Шитетика, Москва "Машиностроение"
Л9. "Електропостачання
промислових підприємств", під редакцією Б.Ю.Липкин, Б.А. Князівський, Вища
"Школа"
Л10. "Злектроснабжение
сельского хозяйства", под редакцией И.А. Будзко, Москва "Колос",
ЛП. "Розрахунок надійності
електроприводів", підручник для студентів вищих навчальних закладів, під
редакцією О. Лозинського, Я. Марущака, Львів 1996 рік.
Л12. Справочник "Применение
злектрической знергии в сельскохозяйственном производстве" под редакцией
П.Н. Листова, Москва, "Колос",
ЛІЗ. Справочник по "Электронным
и злектронно-измерительным приборам" под редакцией Г.П. Шкурина,
ЛІ4. Справочник "Реле защиты и
автоматики" под редакцией Какуевицкого
Л15. ' 'Монтаж приборов и средств
автоматизации'', под издательством А.С. Клюева,
Москва,
"Енергия''