Оцінка стійкості об’єктів господарювання в умовах надзвичайних ситуацій
МІНІСТЕРСТВО
ОСВІТИ І НАУКИ УКРАЇНИ
Запорізький
національний технічний університет
Кафедра
охорони праці і навколишнього середовища
РОЗРАХУНКОВО
- ГРАФІЧНА РОБОТА
з
курсу «Цивільний захист»
«Оцінка
стійкості об’єктів господарювання в умовах надзвичайних ситуацій»
Варіант
№ 11
Вихідні данні:
Найменування цеху: Трансп.
Напрямок (азимут) на об'єкт відносно
центру міста, А (град.): 210;
Швидкість середнього вітру Vсв
(км/год): 50;
Відстань від центру міста до цеху RГ
(км.): 4;
Імовірне максимальне відхилення
ядерних боєприпасів від точки прицілювання (центру міста) rвідх (км.): 1,1;
Очікувана потужність боєприпасів q
(кт.): 100;
Рівень радіації на 1 годину після
вибуху на об'єкті Р1 (Р/год): 650;
Найбільша працююча зміна (осіб):
900;
Місткість сховища (цеху) (осіб):
700;
Сховище: О (коефіцієнт умов
розташування сховища - 1);
Б (бетон) - 50 см.; Ґ (ґрунт) - 100.
Оборонно-економічне значення заводу:
потужність підприємства - 1000 верстатів-автоматів у рік, для встаткування
(обладнання) машинобудівних заводів, на суму 600 млн. гр. Виробнича програма
передбачає, у воєнний час - виконання спеціальних замовлень. Для цього, за
особливим планом, використовується 75% потужностей заводу.
Технологічний процес виробництва
передбачає:
механічну холодну обробку чавунних і
сталевих деталей;
термічну обробку сталевих деталей;
зборку та налагодження верстатів;
виробництво предметів широкого
вжитку;
експлуатацію, зберігання та ремонт
автомобільної техніки.
Розміщення й планування:
підприємство віднесене до 1-й категоріїпо ІТЗ ЦЗ та розташоване поблизу міста.
Воно працює в 2-і зміни. Чисельість найбільшої зміни 3000 осіб. Промислова
забудова займає площу 17 гектарів, адміністративно-господарська територія 6
гектарів, щільність забудови більше 30%. Наявність захисних споруд - на 2000
осіб. На заводі 10 цехів (з них 5 основні).
Транспортний цех - експлуатація
автомобільної техніки з метою забезпечення виробничого процесу підприємства, а
також зберігання та ремонт автомобільної техніки.
Будинок - одноповерховий з металевим
каркасом, з дахом і стіновим заповненням із хвилястої сталі; покриття -
хвиляста сталь; підлогабетонна; двері і вікна - дерев'яні, пофарбовані в темний
колір.
Технологічне обладнання:
верстати легкі;
електродвигуни потужністю до 2 кВт,
відкриті;
наземні резервуари для ПММ;
вантажні автомобілі і автоцистерни;
автобуси і спеціальні автомашини з
кузовами автобусного типу;
гусеничні трактори;
крани та кранове обладнання.
Електропостачання - кабельні наземні
лінії.
Трубопроводи - наземні.
1. Визначимо максимальні значення
параметрів вражаючих факторів ядерного вибуху, що очікуються на об'єкті
максимальне значення надлишкового
тиску у фронті ударної хвилі (ΔРф.max)
[вибух повітряний] - додаток 1 [стор.194-195 (228-229)];
максимальне значення світлового
імпульсу (И св.max ) [вибух повітряний] - додаток 4 [стор.203-205 (238-239)];
максимальне значення рівня радіації
(Р і.max) [вибух наземний] - додаток 9 [стор.211(246)];
(Р і.max ) - 0 Р.
максимальне значення дози
проникаючої радіації (Д пр.max ) - додаток 12 [стор.214-215 (249-251)].
. Оцінка стійкості роботи об'єкта до
впливу ударної хвилі ядерного вибуху [вибух наземний]
) Для цього знаходимо мінімальну
відстань до можливого центру вибуху:

;
Згідно додатку 1
[стор.194-195 (228-229)] знаходимо надлишковий тиск ΔРф
на відстані 5 км для боєприпасу потужністю q=100 кт при наземному вибуху (менш
сприятливому). Цей тиск є максимально очікуваним на об’єкті:
Таблиця 1 - Результати оцінки
стійкості транспортного цеху до дії ударної хвилі
) Виділимо основні елементи цеху та
визначимо їх характеристики. Результати оцінки заносимо у таблицю 1.
) За додатком 2 знаходимо для
кожного елементу цеху надлишкові тиски, які викликають слабкі, середні, сильні
та повні руйнування. Отримані данні вводимо в таблицю 1.
) Визначаємо границю стійкості
кожного елементу цеху - надлишковий тиск, що викликає слабкі руйнування.
) Визначаємо границю стійкості цеху
в цілому за мінімальною границею стійкості елементів, що в нього входять.
) При ΔРф
max=24,286 кПа в цеху легкі руйнування отримають електродвигуни, вантажні
автомобілі і автоцистерни, крани та кранове обладнання, електропостачання -
кабельні наземні лінії, трубопроводи; середні руйнування - автобуси і
спеціальні автомашини з кузовами автобусного типу; сильні руйнування - верстати
легкі, а будівля цеху може бути зруйнована. При цьому з ладу вийдуть 90 %
виробничих площ, 10…80 % технологічного обладнання, 10 % електропостачання, 10
% трубопроводів.
Транспортний цех може опинитися в
середині зони середніх руйнувань осередку ядерного ураження з вірогідним
максимальним надлишковим тиском ударної хвилі 24,286 кПа, а границя стійкості
цеху до ударної хвилі - 7 кПа, що менше за ΔРф
max - тобто цех не стійкий до ударної хвилі. Найбільш слабкі елементи -будівля
цеху та легкі верстати.
Можливі збитки при максимальному
надлишковому тиску ударної хвилі, що очікують на об’єкті, призведе до
скорочення виробництва на 10…90 %.
Так як, очікуване на об’єкті ΔРф
max складає 24,286 кПа, а більшість елементів мають границю стійкості більше
24,286 кПа, то необхідне підвищення захисту найбільш слабких елементів до
24,286 кПа.
Підвищення стійкості будівель і
споруджень можна досягти установкою додаткових зв'язків між несучими
елементами, обладнанням каркасів, рам, підкосів, контрфорсів, опор для
зменшення прольоту несучих конструкцій, а також за рахунок застосування більш
міцних матеріалів.
Однак захист обладнання доцільний,
якщо:
обладнання, що захищається, здатне
при руйнуванні іншої частини підприємства випускати особливо важливу продукцію;
обладнання, що захищається важко
відновлюється, а при ураженні даного об'єкта передбачається використання цього
обладнання на інших підприємствах;
обладнання, що захищається є
унікальним і його необхідно зберегти для подальшого використання.
Положення можливих руйнувань в
можливому осередку ядерного ураження зображено в графічному додатку.
. Оцінка стійкості роботи об'єкта до
впливу світлового випромінювання ядерного вибуху (вибух повітряний)
) Максимальне значення світлового
імпульсу (И св.max ) згідно проведених вище розрахунків (для повітряного
вибуху) складає 346,7 кДж/м2.
) Визначаємо ступінь вогнестійкості
будинку цеху. По додатку 6 знаходимо, що з вказаних вихідних параметрів будинку
цеху відноситься до II ступеню вогнестійкості. Результати оцінки, а також
заключні характеристики будинку та його елементів заносимо у таблицю 2.
Таблиця 2 - Результати оцінки
стійкості цеху до дії світлового випромінювання ядерного вибуху.
Категорія пожежонебезпеки
виробництва з додатку 7. Транспортний цех відноситься до категорії “Д” -
обробка негорючих речовин у холодному стані.
вражаючий ядерний вибух
випромінювання
4) Виявляємо в конструкціях будинку
цеху елементи, виготовлені із горючих матеріалів та визначаємо їх
характеристики
Для дверей та віконних рам -
дерев’яних, пофарбованих в темний колір:
) Визначаємо границю стійкості цеху
до світлового випромінювання за мінімальним світловим імпульсом, що викликає
спалахування в будівлі
Исв. lim = 250 кДж/м2; И св.max =
346,7 кДж/м2.
Так, як Исв. lim< И св.max, то
транспортний цех не стійкий до світлового випромінювання.
) Визначаємо ступінь руйнування
будівлі від ударної хвилі при максимальному очікуваному надлишковому тиску з
додатку 2
) Визначаємо зону пожеж, в якій може
опинитися цех. Так як И св.max = =346,7 кДж/м2, а ΔРф
max (повітряний вибух) складає 27,5 кПа, то цех може опинитися в зоні окремих
пожеж.
Висновки
а) на об’єкті при ядерному вибуху
заданої потужності очікується максимальний світловий імпульс 346,7 кДж/м2 та
надлишковий тиск ударної хвилі 27,5 кПа, що викликає складну пожежну ситуацію.
Транспортний цех опиниться в зоні суцільних пожеж.
б) Транспортний цех не стійкий до
світлового випромінювання. Границя стійкості цеху - 250 кДж/м2.
в) Пожежну небезпеку для цеху
складають двері та віконні рами, що виконані із дерева та пофарбовані в темний
колір
г) Доцільно підвищити границю
стійкості цеху до 346,7 кДж/м2 виконанням наступних заходів: замінити крівлю
цеху на асбестоцементову; замінити дерев’яні віконні рами на металеві; набити
на двері кровельною сталлю по асбестовій прокладці; провести в цеху
профілактичні протипожежні заходи (збільшити кількість засобів пожежогасіння,
своєчасно прибирати виробниче сміття в будівлі та на території).
. Оцінка стійкості об'єкту до впливу
радіоактивного зараження й проникаючої радіації.
) З попередніх розрахунків Rx=2,9
км.
Знаходимо очікуване значення рівня
радіації на об’єкті на 1 год після вибуху Р1 =650 Р/год. (з вихідних даних).
Максимальна доза проникної радіації,
що очікується на об’єкті Д п.р.= 0.
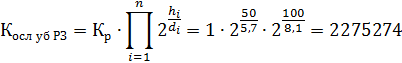
) Визначимо коефіцієнт послаблення
дози радіації будівлею та сховищем (додаток 13). Косл = 7.
Коефіцієнт захисту будівлі від
проникаючої радіації не визначається, оскільки у момент ядерного вибуху
робітники не знаходитимуться в будівлі цеху (по сигналу «Повітряна тривога» всі
робітники і службовці будуть укриті в укриттях).
Коефіцієнт ослаблення дози радіації
укриття розраховуємо окремо для радіоактивного зараження і для проникаючої
радіації за наступними початковими даними:
перекриття укриття складається з
шару бетону товщиною d1= 50 см і шару грунту d2=100 см;
шари половинного ослаблення
матеріалів від радіоактивного зараження, знайдені по додатку 11, складають: від
радіоактивного зараження для бетону d1= 5,7 см; для грунту d2=8,1 см; від
проникаючої радіації для бетону d1=10 см; для грунту d2= 14,4 см;
коефіцієнт, що враховує умови
розташування укриття, знаходимо по таблиці. 7.4 при Кр=1.
Тоді
) Визначаємо дозу радіації, яку
можуть отримати робітники і службовці, знаходячись у виробничій будівлі і в
укритті, за робочу зміну (12 годин) при максимальному рівні радіації і
максимальній дозі проникаючої радіації, очікуваних на об'єкті.
Доза радіації в умовах
радіоактивного зараження в будівлі цеху
Р1 - рівень радіації на 1 години
після вибуху, що дорівнює 650 Р/год.- час початку роботи в умовах РЗ, год.
к - час закінчення роботи, tк = tн +
tр = 1,06+12=13,058 год.;
Косл.зд- коефіцієнт послаблення дози
радіації будівлею цеху
Косл.зд = 7;
Тоді
Дані розрахунків заносимо в таблицю
3.
Оскільки для укриття коефіцієнт
послаблення радіації від радіоактивного зараження Косл.уб.р.з=2275274, то доза
радіації укриття дорівнює:
Доза опромінення від проникаючої
радіації на об'єкті рівна нулю (див. п.1).
Таблиця 3 - Результати оцінки
стійкості транспортного цеху до дії проникаючої радіації і радіоактивного
зараження
. Визначувана межа стійкості
роботи об'єкту в умовах радіоактивного зараження, тобто граничне значення рівня
радіації на об'єкті, до якого можлива робота в звичайному режимі, порівнюємо з
очікуваним максимальним значенням рівня радіації і робимо висновок про
стійкість об'єкту:
Так як P1lim< P1max, то об’єкт
нестійкий до радіоактивного зараження.
. Встановлюємо наявність в
транспортного цеху матеріалів, приладів, апаратури, чутливих до дії радіації. У
цеху таких елементів немає.
. Визначаємо ступінь
герметизації вікон і дверей і можливість пристосування системи вентиляції цеху
для очищення повітря від радіоактивного пилу.
У цеху вікна великих розмірів, тому
в разі руйнування їх скління різко збільшується вміст радіоактивного пилу в
повітряній середі цеху. Вентиляція цеху може бути пристосована для роботи в
режимі фільтровентиляції з очищенням повітря від радіоактивного пилу.
Аналіз результатів оцінки роботи
транспортного цеху в умовах дії проникаючої радіації і радіоактивного зараження
дозволяє зробити наступні висновки:
а) Об'єкт може опинитися в зоні
небезпечного зараження з максимальним рівнем радіації близько 650 Р/ч на 1
годину після вибуху. Дія проникаючої радіації маловірогідна.
б) Транспортний цех не стійкий до
дії радіоактивного зараження. Захисні властивості будівлі цеху не забезпечують
безперервність роботи протягом встановленого часу робочої зміни (12 годин) в
умовах очікуваного максимального рівня радіації (робітники отримають дозу
опромінення близько 181,4 Р, що перевищує допустимі норми. Межа стійкості
роботи цеху в умовах радіоактивного зараження P1lim= 89,60 Р/ч.
. Сховище цеху забезпечує надійний
захист виробничого персоналу в умовах радіоактивного зараження. Доза
опромінення за 12 годин перебування в ньому складає 0,0005580 Р, що значно
нижче за допустиму норму однократного опромінення.
. В цілях підвищення стійкості
роботи транспортного цеху в умовах радіоактивного зараження необхідно провести
наступні заходи:
підвищити місткість укриття з 700
осіб до кількості максимальної зміни працюючих - 900 осіб;
підвищити ступінь герметизації
приміщень цеху, для чого: забезпечити щільне закриття вікон і дверей;
підготувати щити для закриття віконних отворів в будівлі цеху в разі руйнування
скління; передбачити на період загрози нападу противника закладку цеглиною
однієї третини площі віконних отворів;
підготувати систему вентиляції цеху
до роботи в режимі очищення повітря від радіоактивного пилу, обладнав її
сітчастим масляним протипиловим фільтром і перемикачами роду роботи;
розробити режими радіаційного
захисту робітників і службовців і роботи транспортного цеху в умовах
радіоактивного зараження місцевості.