Участок механической обработки детали типа фланец в условиях крупносерийного производства

  • Вид работы:
    Курсовая работа (т)
  • Предмет:
    Другое
  • Язык:
    Русский
    ,
    Формат файла:
    MS Word
    350,29 Кб
  • Опубликовано:
    2013-05-27
Вы можете узнать стоимость помощи в написании студенческой работы.
Помощь в написании работы, которую точно примут!

Участок механической обработки детали типа фланец в условиях крупносерийного производства

Введение

В условиях рыночной экономики главным фактором повышения эффективности национальной экономики становится высокий технологический уровень всего производства. Этот уровень определяется в первую очередь состоянием машиностроения как отрасли, обеспечивающей потребности в технологическом оборудовании. От уровня развития машиностроения зависят важнейшие удельные показатели валового внутреннего продукта страны (материалоемкость, энергоемкость) производительность труда в других отраслях народного хозяйства и обороноспособность государства и как следствие - конкурентоспособность выпускаемой продукции.

Основной задачей является механизация и автоматизация процесса труда как в производственной сфере так и не в производственной. Основными направлениями инновационной деятельности в машиностроении являются.

Производство конкурентоспособной по цене и качеству продукции, обеспечивающей в первую очередь реализацию ресурсов и энергосберегающих технологий в отраслях реального сектора экономики. Обеспечение технологического перевооружения и автоматизацию машиностроительных производств.

Применение прогрессивных методов высокоточной обработки конструкционных материалов, высокопроизводительных инструментов позволяющих эффективно использовать режущие свойства металлокерамики, а так же других перспективных материалов.

Повышение качества поверхности деталей и металлоконструкций.

Механизацию и автоматизацию сборочных процессов.

Развитие современных методов контроля и диагностики деталей в процессе изготовления.

По мере насыщения промышленности автоматизированным оборудованием для эффективности работы агрегатных станков, станков автоматов, автоматических линий разрабатываются принципиально новые виды инструментов и технической оснастки.

Внедрение высокопроизводительных и малоотходных технологий является необходимым условием технологического перевооружения на предприятиях.

1. Теоретическая часть

.1 Технико-экономическая характеристика крупносерийного производства

Организация производственных процессов на предприятии выбор методов подготовки, планирования и контроля за производством во многом определяется типом производства.

В данной курсовой работе в соответствии с заданием технико-экономические расчеты при проектировании участка механической обработки выполняются для крупносерийного типа производства. Одним из показателей характеризующих тип производства является коэффициент закрепления операций в соответствии с ГОСТом 1404-74. Этот коэффициент определятся как отношение всех технологических операций выполняющих на участке к количеству мест.

В крупносерийном производстве этот коэффициент может изменяться от1 до 10-ти. Крупносерийное производство характеризуется закреплением за рабочим местом небольшого числа операций, а партии обрабатываемых изделий достаточно велики и устойчиво повторяются через заранее определенные промежутки времени. В крупносерийном производстве номенклатура всей продукции устойчива, но ограничена.

Рабочие места имеют узкую специализацию, что позволяет использовать большое количество специального оборудования с высоким уровнем автоматизации. Оборудование располагается по ходу технологического процесса для обеспечения кратчайшего пути движения изделий в процессе их изготовления. Передача деталей между операциями осуществляется между операциями осуществляется параллельно-последовательно или параллельным видом движения. Транспортировка деталей осуществляется механическими транспортными средствами.

На предприятиях крупносерийного производства технологические процессы разрабатываются достаточно подробно с указанием не только применяемого оборудования, технологической оснастки, но и режимов обработки.

Заводы данного типа производства имеют простую производственную структуру. Обрабатывающие и сборочные цехи специализированны по технологическому принципу. По технологическим показателям крупносерийное производство приближается к массовому типу производства, имеет высокие показатели труда и низкую себестоимость.

1.2 Организация рабочего места станочника

Рабочее место это зона трудовой деятельности одного или нескольких исполнителей оснащенное средствами необходимыми для выполнения производственных заданий. Организация рабочего места зависит от производства, конструкционных и технологических особенностей изделий, а также от формы организации труда. Рабочее место станочника является основным звеном производственной структуры участка. Рациональная организация рабочего места предусматривает оснащение прогрессивным оборудованием, комплектами приспособлений вспомогательного и режущего инструмента. Рациональная организация рабочего места включает также удобную планировку и прогрессивную систему обслуживания. Удобная планировка должна сокращать время на производительные движения. Рациональная планировка должна обеспечить условия для высокопроизводительной работы, а также влиять на сокращение вспомогательного времени.

Система обслуживания рабочего места должна носить предварительный характер, то есть до начала рабочей смены, рабочее место должно уже быть обеспечено заготовками, режущим инструментом и необходимыми приспособлениями. Особое влияние при обслуживании рабочего места к ежедневной уборке станка и около станочного пространства. Эту работу должен выполнять станочник. Инструктаж по технике безопасности должен выполнять мастер в соответствии с графиком.

Таким образом, рациональная организация рабочего места обеспечивает выполнение правил эксплуатации станка и соблюдений правил безопасности, а так же является важнейшим условием повышения производительности труда.

1.3 Выбор рациональных средств транспортировки деталей и отходов

Организация транспортировки изделий на участке имеет целью ликвидацию тяжелых и трудоемких работ и сокращение продолжительности производственного цикла. Выбор транспортировочных средств зависит от характера обрабатываемых на участке заготовок: массы и габаритов или от размера транспортной партии, типа производства, конструкции здания.

Передача заготовок из пролета в пролет и с одного станка на другой может быть выполнена следующими способами:

) электрическими тележками и автокарами с подъемными платформами, а так же подъемными кранами;

) монорельсом с электроталью, который может быть прямым кольцевым и с переводными стрелами. Грузоподъемность электротали 0,25-5 т;

) желобами, лотками, скилизами для передвижения изделий между рабочими местами самотеком под действием силы тяжести;

) роликовыми, ленточными, пластинчатыми, тележечными и подвесными конвейерами. Конвейеры могут иметь ширину ленты 200-600 мм и скорость 6-30 м/мин;

) мостовыми кранами, если на участке изготавливаются тяжелые детали используют мостовые краны. Грузоподъемность мостовых кранов достигает 5-20 т. В целях наиболее рационального использования кранов слесарно-сборочные следует располагать в том же пролете, что и участки механической обработки тяжелых заготовок;

) подвесными и поворотными кран-балками с ручными и электрическими талями грузоподъемностью 1-3 т. Вылет крана дожжен допускать возможность обслуживания двух соседних станков. Для передвижения малых грузов до1 т применяют малые консольные краны грузоподъемностью 250-1000кг, которые перемещаются вдоль стены;

) промышленными роботами, применяемыми для установки, снятия и передачи заготовки из одной зоны обработки в другую или складирования.

Для удаления стружки из рабочей зоны многие современные станки имеют специальные устройства шнекового, скребкового или инерционного типа которые перемещают стружку в короб или люк расположены за станком.

Дальнейшая транспортировка коробов от станка производится с помощью производится с помощью электотележек или мостовых кранов и т.п. Наиболее целесообразно транспортировать стружку непосредственно от станка к месту ее переработки при помощи шнековых и скребковых конвейеров, расположенных под полом вдоль линии станков.

В данном курсовом проэкте выбираем следующие подъемно транспортное оборудование:

. Конвейер ленточный КАП-50, длина 20 м, ширина 500 мм для транспортировки деталей.

. Транспортер шнековый, длина 23 м для транспортировки стружки.

1.4Организация технического контроля на участке

ОТК-отдел технического контроля. Самостоятельное структурное подразделение производственной организации, которое осуществляет независимый контроль соответствия продукции установленным требованиям и гарантирует это соответствие потребителю. ОТК подчиняется высшему руководству организации (непосредственно техническому директору), что обеспечивает независимость контроля. Требования к продукции устанавливают в контрактах (договорах), в нормативной и технической документации. Факт приемки продукции ОТК и гарантийные обязательства отражают в паспорте продукции (или ярлыке, этикетке, свидетельстве о приемке).

Задачи ОТК предотвращение выпуска предприятием продукции несоответствующей требованиям стандартов и технических условий, утвержденным образцам (эталонам), проектно-конструкторской и технологической документации, условиям поставки и договоров, или некомплектной продукции, а так же укрепление производственной дисциплины и повышение ответственности всех звеньев производства за качество выпускаемой продукции. Главная операция в работе контролера- сравнение параметров продукции с показателями указанными в ГОСТах, чертежах, технологической документации. Изделия при этом осматривают на глаз или проверяют с помощью контрольно измерительных инструментов, приборов. Контролер получает готовых изделий и полуфабрикатов, производит проверку, проставляет клеймо- свидетельство контроля, оформляет сопроводительную документацию, дефектные ведомости. Но контролер должен не только выявлять брак но и изучать его причины и предлагать меры его профилактики.

2. Практическая часть

Исходные данные:

Деталь - фланец, сталь 33ХС.

Заготовка - поковка.

Вес заготовки-5,87 кг.

Вес детали-4,48 кг.

Таблица 1

Наименование оп.

Тип станка

Р-ряд работ

Время мин




То

Тв

Топер

Тдоп

Тшт

Токарная

1286-8 п/а

3

0,08

0,10

0,18

0,1

0,28

Токарная

1286-8 п/а

3

0,20

0,41

1,61

1,81

Сверлильная

21105Н7Ф4

3

0,42

0,11

0,53

0,1

0,63

Шлифовальная

ЗМ152 п/а

4

2,75

0,39

3,1

0,3

3,44


2.1 Определение годового приведенного выпуска деталей

 

-действительный фонд времени работы оборудования

Кз- коэффициент рациональной загрузки

Кз=0,8

Тшт - норма штучного времени ведущей операции

α- коэффициент допустимых потерь на переналадку оборудования

α=0,03


Z-число смен работы оборудования=1 см.

Кр- коэффициент времени пребывания станка в ремонт

 часов

=677828 шт.

 г=62500067782

Принимаем Nг=200000 шт

.2 Расчет необходимого количества оборудования и его загрузки

Ср

Кн- планируемый коэффициент выполнения норм сдельщика

Кн=1,11,25

Ср- расчетное количество станков

Спр- принятое количество станков

оп. токарная

Ср

Спр=1 ст.

 

 =0,72

оп. Токарная

Ср

Спр=5 ст.

 

оп. сверлильная

Ср

с=2 ст.

 

оп. шлифовальная

Ср

Спр=9 ст.

 0,98

∑ Спр Спр.1оп + Спр.2оп+ Спр.3оп + Спр.4оп

∑ Спр1+5+2+917 ст.

 

 

1. График загрузки оборудования

Рис. 1

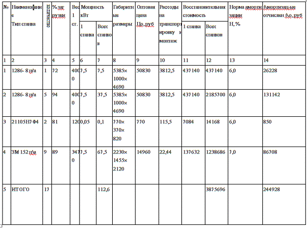
Таблица 2 - Сводная ведомость технологического оборудования


2.3 Расчет численности работающих по категориям

.3.1 Расчет численности основных рабочих

 

 часов

оп. Токарная

= 2 чел

оп. токарная

= 10 чел

оп. сверлильная

= 4 чел

оп. шлифовальная

= 17 чел

= 2+10+4+17=33 чел

С многостаночным обслуживанием

оп. токарная

Многостаночное обслуживание невозможно так как на операции 1 станок

оп. токарная

ТоТр

Тр= Тв+Тпер, Тпер= 0,10,3 мин

Тр= 0,41+0,2= 0,61 мин

То=1,200,61 мин. Следовательно многостаночное обслуживание невозможно.

оп. сверлильная

ТоТр

Тр= Тв+Тпер, Тпер= 0,10,3 мин

Тр= 0,11+0,2= 0,31 мин

То=0,420,31 мин

Снм=  +1

Снм=  +1= 2,3=2 ст

 об2

Рмн

Рмн чел

оп. шлифовальная

ТоТр

Тр= Тв+Тпер, Тпер= 0,10,3 мин

Тр= 0,39+0,2= 0,49 мин

То=2,750,49 мин

Снм=  +1

Снм=  +1= 6,61=5 ст

 

,8= 2об4,5

Рмн

Рмн чел

чел

Рвысв=∑

Рвысв= 3318 =15 чел

2.3.2 Расчет численности вспомогательных рабочих

Рконтолеров= (1015)

Рк= 0,1чел

Р наладчиков

Р н чел

.3.3 Расчет численности ИТР

Количество сменных мастеров производится из расчета 1 сменный мастер на 2025 рабочих.

= 18 человек. Принимаем численность ИТР =1человек.

Таблица 3 - Общая численность производственного персонала

Профессия работающих

Человек

Разрядам

% к итогу



расчет

приним

1

2

3

4

5

6


1

Основные рабочие Токарь Сверловщик Шлифовщик

12 4 18

12 2 4



12 2

4

33

18



14

4



69

2

Вспомогательные рабочие Контролеры Наладчики

2 4

2 4



2


4



ИТОГО вспом-ые раб.

6

6



2


4


19

3

ИТР

1

1








ИТОГО ИТР

1

1







2

Всего работающих

40

25



14

4

4




2.4 Расчет капитальных вложений в ОПФ

Капитальные вложения рассчитываются из стоимости:

К1-зданий

К2-производственногоного оборудования

К3-энергетического оборудования

К4-подъемно транспортного оборудования

К5-дорогостоящего инструмента

К6-производственного и хозяйственного инвентаря

2.4.1 Стоимость зданий

К1= VЦКу= ∑СпрSh

площадь = 15 м2высота 8 м

Ц- цена за куб.метр= 125 р

Ку- коэффициент удорожания= 10

= 17 м3

К1=204012510= 2550000 р

2.4.2 Стоимость производственного оборудования

К2= 3875696

.4.3 Стоимость энергетического оборудования

К3= ЦNNустКууст= 112,6 р

ЦN- цена за 1 кВт

ЦN=40 р

Ку=8

К3= 4012,68= 247232

2.4.4 Стоимость подъемно транспортного оборудования

К4= ∑(Цо+КтЦо)Ку

Цо- оптовая цена. Кт-коэффициент транспортировки и монтажа

Кт=1,25 (прейскурант 19-06)

Цо=12100 р        (прейскурант 19-06)

Цо=750 р

Ку= 8

К4= ∑(12100+1,2512100)+(750+0,25750)8=128500

деталь производство себестоимость

2.4.5 Стоимость дорогостоящего инструмента

К5= 10% от К2

К5= 383569

.4.6 Стоимость производственного инвентаря

К6= (15)% от (К1+К2)

К6= (2550000+421256)0,01= 29712

Таблица 4 - Общие капитальные вложения

Первоначальная стоимость руб

Норма амортизации  На, %

Годовые амортизационные отчисления А=КНа100

К1-здания К2-произв-го оборудования К3-эн-кого оборудования К4-подъемно  тр-ного оборудования К5-дорогостоящего инструмента К6-пр-го и хозяйственного инвентаря

2550000 3875696 36032 128500 387569 29712

4 Стр.8 таб.2 8 5 50 25

102000 244928 2882 6425 193784 7428

ИТОГО

7007509

557447

2.5 Расчет затрат на основные материалы

.5.1Затраты на основные материалы за вычетом реализуемых отходов для одной детали

Мд= GзЦзКт.з(GзGд)Цотх

з- масса заг = 5,83 кгд- масса детали = 4,48 кг

Цз- цена 1кг заготовки = 21000 (прейскурант-25.1)

Цотх- цена отходов

Цотх= 2100010= 2100 р/тн

Кт.з.- коэффициент транспортно заготовительных расходов

Кт.з= 1,1

Мд= 5,83211,1(5,834,48)2,1= 131 р

2.5.2 Затраты на основные материалы для годовой программы

MN= МдNпр=131 677828

.5.3 Коэффициент использования материалов

Ким=

Ким= = 0,76

2.6 Расчет фонда заработной платы рабочих

.6.1 Расчет сдельной расценки

 

р

р

 

Кмн=1,1 при nоб=3 ст

Кмн=1,2 при nоб=4-5 ст

Счх - часовая тарифная ставка р/час

Кмн - коэффициент доплат за многостаночное обслуживание

р

р

 р

Таблица 5 - Расчет зарплаты основных рабочих

Показатели

Формула для расчета

Сумма руб

1 2 3 4 5 6 7 8 9 10 11 12

Прямой фонд заработной платы Премия за бездефектное изготовление продукции Итого фонд основной зарплаты Доплаты за отпуск, за выполнение гос обязанностей Районный коэффициент Итого фонд дополнительной зарплаты Всего общий фонд зарплаты основных рабочих Премия фонда материального поощрения Итого общий фонд зарплаты основных рабочих с учетом премий из фонда материального поощрения Среднемесячная зарплата основных рабочих Страховые взносы во внебюджетные фонды Общий фонд зарплаты с начислением страховых взносов

Зпр= Nср∑рср П= Зпр0,6 Фосн=Зпр+П Зд=Фосн Рк=0,15( Фосн+Зд) Фдоп=Зд+Рк Фобщ=Фосн+Фдоп П*=Зпр0,5 Фобщ+П*   Нсоц= Фобщ0,3 Фобщ+Нсоц

2243610 1346166 3589776 358977 592313 951290 4182089 1121805 5303894 24555 1254626 536715


2.6.2 Расчет заработной платы вспомогательных рабочих

Методика расчета фонда зарплаты вспомогательных рабочих аналогична расчету фонда зарплаты основных рабочих, однако, при расчете прямого фонда заработной платы при повременно-премиальной оплате труда есть свои особенности - расчет для контролеров и наладчиков выполняется отдельно

Зпр кон = Сч конFефРкон

Зпр кон = 41,041873= 15375 р

Зпр н = 52,921873= 396476 р

Зпр = Зпр кон + Зпр н

Зпр = 153735+396476 = 550211 р

Таблица 6 - Расчет заработной платы вспомогательных рабочих

Показатели

Формула для расчета

Сумма руб

1 2 3 4 5 6 7 8 9 10 11 12

Прямой фонд заработной платы Премия за бездефектное изготовление продукции Итого фонд основной зарплаты Доплаты за отпуск, за выполнение гос обязанностей Районный коэффициент Итого фонд дополнительной зарплаты Всего общий фонд зарплаты вспомогательных рабочих Премия фонда материального поощрения Итого общий фонд зарплаты вспомогательных рабочих с учетом премий из фонда материального поощрения Среднемесячная зарплата вспомогательных рабочих Страховые взносы во внебюджетные фонды Общий фонд зарплаты с начислением страховых взносов

Зпр= Nср∑рср П= Зпр0,4 Фосн=Зпр+П Зд=Фосн Рк=0,15( Фосн+Зд) Фдоп=Зд+Рк Фобщ=Фосн+Фдоп П*=Зпр0,5 Фобщ+П*   Нсоц= Фобщ0,3 Фобщ+Нсоц

550011 22004 770015 77001 1270052 204053 974068 275005 1249073 17348 292220 1266288


2.6.3 Расчет затрат по заработной плате ИТР

Оплата труда ИТР осуществляется по системе должностных окладов.

Таблица 7 - Расчет заработной платы ИТР

Показатели

Формула расчета

1 2 3 4 5 6 7 8 9 10 11

Количество рабочих Месячный оклад Прямой фонд заработной платы Всего прямой фонд заработной платы Районный коэффициент Итого общий фонд зарплаты Премия фонда материального поощрения Итого общий фонд зарплаты с учетом премий из фонда материального поощрения Среднемесячная зарплата  Страховые взносы во внебюджетные фонды Общий фонд зарплаты с начислением страховых взносов

Рсм Ок Зпр= Рсм12Ок Зпр  Рк=0,15Зпр Фдоп=Зпр+Рк П*=Зпр0,5 Фобщ+П*   Нсоц= Фобщ0,3 Фобщ+Нсоц

1 16000 192000 192000 28800 220800 96000 316800 26400 9500 315840


Таблица 8 - Сводная ведомость фонда заработной платы участка

Категория работающих

Фонд основной зарплаты

Фонд дополни тельной зарплаты

Общий фонд

Премии из ФМП

Общий фонд с ЕСН

Средне месячная зарплата

1

2

3

4

5

6

7

8

1 2 3

Основные рабочие Вспомагательные рабочие ИТР

3589776 550011 192000

951290 204053 28800

182089 974068 220800

1121805 275005 96000

5436715 1266288 315840

24555 17348 26400

ИТОГО

445945

1159673

5260152

1459833

6866996

22399


Зср=

Зср= = 22399 р

2.7 Калькуляция цеховой себестоимости

Калькуляция цеховой себестоимости определяет затраты на изготовление одной детали.

Таблица 9

Статьи калькуляции

Обозначение

Расчетная формула

Расчет

Значение

1

2

3

4

5

6

1 2 3 4 5 6

Основные материалы за вычетом отходов Основная зарплата Основных рабочих Дополнительная зарплата основных рабочих Страховые взносы во внебюджетные фонды Расходы на содержание и эксплуатацию оборудования Цеховые расходы

Мд Зо Здоп Нсоц Рсо Цр

См. п.2.5          

         

131 5,29 1,4 1,8 18,3 6,3

ИТОГО цеховая себестоимость

164


2.8 Расчеты экономической эффективности

Оценка технико-экономической эффективности предусматривает определение:

условно-годовой экономии от снижения себестоимости (Эуг)

годового экономического эффекта (Эг)

срока окупаемости дополнительных капитальных вложений (Ток)

роста производительности труда (Упт)

Условно-годовая экономия от снижения себестоимости - определяется в процессе анализа цеховой себестоимости детали

Определение расходов на содержание оборудования

Таблица 10 - Анализ цеховой себестоимости детали


Эуг= ( - Сцех)Nг; Эуг= ( - 164)200000= 600000 р

Годовой экономический эффект

Эг= ( - Сцех) Ен(Кпр - Кз)

, Сцех - цеховая себестоимость.

Ен = 0,15- нормативный коэффициент экономической эффективности.

Кпр, Кз - капитальные вложения в ОПФ (п. 2.4 таб. 4).

Кпр = ∑К

∑К = 3000856134

Кз = К1+ К4+ К6+

Кз = 2550000+293977125+29712+298494685

Эг =(167- 164) 200000 - 0,15(300856134 - 298494685)0,29 = 497276

Срок окупаемости дополнительных капитальных вложений

Ток =

Ток =  =1,37 лет

ТокТн = 7 лет - следовательно, проект экономически эффективен.

Анализ роста производительности труда основных рабочих

Упт =

Пт и ПТмн - выпуск продукции на одного рабочего с учетом многостаночного обслуживания

ПТмн =

ПТмн =  = 6175766

Пт =  

Пт = 2365187

Упт100%

δТ- снижение трудоемкости в %

δТ = (100%

Тпр - трудоемкость продукции (∑Тшт) = 6,16 мин

Тз - трудоемкость заводская = 7,40 мин

δТ = (100% = 23

Упт100% = 10,2

3. Заключительная часть

Технико-экономические показатели работы участка

Таблица 11

Наименование показателей

Ед. из-я

Расчетная формула

Значение по проекту

1

2

3

4

5

1 2 3 4 5 6 7 8 9 10 11 12 13

Абсолютные показатели Годовая программа выпуска Объем выпускаемой продукции в денежном выражении по себестоимости Общая стоимость ОПФ в т.ч 3.1 Зданий и сооружений 3.2 Производственного оборудования Количество производственного оборудования Численность ППП, в т.ч. 5.1 Основных рабочих 5.2 Вспомогательных рабочих 5.3 ИТР Общая площадь Фонд заработной платя участка Среднемесячная зарплата одного основного рабочего Среднемесячная зарплата одного рабочего Относительные показатели Выпуск продукции на одного основного рабочего Работающего по Тn Фондоотдача  Выпуск продукции с 1 м3площади

шт руб руб руб руб шт   чел чел чел чел м2 руб руб руб руб/чел руб/чел руб/руб шт

N Тn = NСцех Таб.4 итог гр.3 Таб.4 гр.3 (К1) Таб.2 гр.12 (К2) итог ∑Спр таб.2 гр.3 Таб.3 гр.4 итог Таб.3 гр.4 Таб.3 гр.4 Таб.3 гр.4 Sy = ∑СпрS Таб.8 итог гр.5 Таб.8 итог гр.8 Таб.8 итог гр.8 Пт =  Пт =  Фо =   

200000 32800000 300856134 2550000 38775696 17  25 18 6 1 255 5260152 22399 22399 1822222 1312000 0,10 128627

14 15 16 17 18

Трудоемкость изготовления единицы продукции Средняя загрузка оборудования Фондовооруженность труда Коэффициент использования материала Цеховая себестоимость единицы продукции

Н/час р/чел % руб

Тпр = ∑Тшт Кз ср. таб.2 гр.3 Фв =  Ким Таб.10 итог, Сцех

6,16 0,88 16714229 0,76 164


Выводы

Основной экономический результат приведенных технико-экономических мероприятий - экономия живого и овеществленного труда

В данном курсовом проекте предлагаемые мероприятия могут иметь следующие данные:

. Годовой экономический эффект Эг =497276 р.

. Срок окупаемости дополнительных капитальных вложений Ток =1,37 года.

. Рост производительности труда за счет многостаночного обслуживания Упт =10,2.

. Годовая экономия за счет снижения себестоимости Эуг =6000000 р.

. Экономия по материалам Эм =4000000 р

. Относительное высвобождение численности

основных рабочих Рвысв =15 чел

. Снижение трудоемкости единицы изделия:

абсолютное t =Тз - Тпр =1,24

в процентах δТ = 77%

Литература

1. Налоговый кодекс Российской Федерации.

. Постановление правительства РФ от 01.01.2002 №1.

. Грибов В.Д.Экономика организации (предприятия): учебное пособие - М.; КНОРУС, 2009.

. Миронов М.Г. Загородников С.В. Экономика отрасли (машиностроение): учебник - М.; ФОРУМ; ИНФРА - М., 2008.

. Савосина Т.И. Машиностроительное производство: учебное пособие для СПО Волгоград; Изд. Дом «Ин-Фплио», 2011.

Похожие работы на - Участок механической обработки детали типа фланец в условиях крупносерийного производства

 

Не нашли материал для своей работы?
Поможем написать уникальную работу
Без плагиата!
Без нейросетей!