Облік та аналіз фінансових інвестицій комерційного банку
Зміст
Вступ
1.
Теоретичні основи здійснення фінансових інвестицій банками
1.1
Сутність та види фінансових інвестицій комерційного
банку
1.2
Основні завдання, джерела інформації та основні
підходи до аналізу інвестиційних операцій банків
1.3
Використання концепції вартості грошей у часі та їх
дисконтування в процесі аналізу фінансових інвестицій банку
2.
Облік фінансових інвестицій комерційного банку
2.1
Характеристика ПАТ "Мегабанк"
.2
Облік цінних паперів у торговому портфелі банку
.3
Облік операцій цінних паперів у портфелі банку на продаж
.4
Особливості обліку цінних паперів у портфелі до погашення та інвестицій в
асоційовані і дочірні компанії
3.
Аналіз фінансових інвестицій комерційного банку
3.1
Аналіз динаміки і структури операцій банку з цінними
паперами
.2
Аналіз прибутку від операцій з цінними паперами ПАТ
"Мегабанк"
3.3
Проблемні аспекти функціонування ринку цінних паперів в Україні та перспективи
його розвитку
4.
Охорона праці і навколишнього середовища
4.1
Загальні питання охорони праці
4.2
Управління охороною праці на підприємстві
4.3
Перелік небезпечних і шкідливих виробничих факторів
4.4
Промислова санітарія
4.5
Електробезпека
4.6
Пожежна безпека
.7
Охорона навколишнього середовища
Висновки
Список
джерел інформації
Додатки
ВСТУП
Ринок цінних паперів
виступає складовою частиною фінансової системи держави, що характеризується
індустріальною й організаційно-функціональною специфікою. У більшості країн
банки грають на ринку цінних паперів найважливішу ключову роль.
Ринок цінних паперів
можна визначити як сукупність відносин, зв'язаних з купівлею, продажем і обігом
цінних паперів. Таким чином, ринок цінних паперів - досить широке поняття.
Банки, будучи кредитними організаціями, що здійснюють залучення і розміщення
засобів, також можуть бути учасниками ринку цінних паперів. Вони виступають у
ролі емітентів, інвесторів, посередників. Для здійснення інвестиційної і
посередницької діяльності на ринку цінних паперів, банкам необхідна крім
основної ліцензії, ліцензія професійного учасника ринку цінних паперів, яку для
банків видає Національний банк України. В даний час банки мають величезні
залучені вільні грошові кошти, але на них необхідно нараховувати і виплачувати
відсотки. Тому, ринок цінних паперів є найбільш конкурентною альтернативою
кредитному ринкові для розміщення засобів.
Проте у сучасних умовах
вони відіграють незначну роль. Це пояснюється тим, що стан розвитку фондового
ринку в Україні недостатньо високий. Але банки все ж залишаються одними з
основних учасників фондового ринку. До того ж, у найближчому часі можна
очікувати на продовження розвитку ринку цінних паперів. Саме тому вивчення
методів аналізу операцій банків з цінними паперами є надзвичайно важливим.
Метою дипломної роботи є
узагальнення теоретичних основ та розвиток методичних підходів до обліку і
аналізу фінансових інвестицій банків.
Об’єктом дослідження у
даній роботі є фінансово-інвестиційна діяльність банків.
Предметом дослідження -
методичне забезпечення процесу обліку і аналізу фінансово-інвестиційних
операцій банку.
Предмет і об’єкт роботи
досліджувалися на базі ПАТ "Мегабанк".
Для досягнення
поставленої мети були сформульовані наступні задачі:
- розглянути сутність та види фінансових інвестицій комерційного банку;
- визначити основні
завдання, джерела інформації та основні підходи до аналізу операцій банків з
цінними паперами;
- обґрунтувати
доцільність використання концепції вартості грошей у часі та їх дисконтування в
процесі аналізу цінних паперів;
- охарактеризувати
ПАТ "Мегабанк";
- дослідити порядок
обліку фінансово-інвестиційних операцій банку;
- проаналізувати
динаміку і структуру операцій банку з цінними паперами;
- розробити напрями
удосконалення аналізу прибутку від операцій з цінними паперами ПАТ
"Мегабанк" з застосуванням методів багатовимірного статистичного
аналізу;
- виявити
проблематичні аспекти функціонування ринку цінних паперів в Україні та
перспективи його розвитку.
При
написанні роботи були використані матеріали періодичних видань, підручники
зарубіжних і вітчизняних авторів, законодавства України.
При виконанні роботи були
використані такі загальнонаукові методи, як аналіз і синтез, індукція і
дедукція, аналогія і моделювання, абстрагування і конкретизація. У роботі
застосовані елементи економіко-статистичних методів збору та обробки
інформації: вибіркових досліджень, угрупувань, середніх величин, відносних
величин; економіко-математичні методи, економіко-математичне моделювання.
інвестиція облік цінний
папір
1. ТЕОРЕТИЧНІ ОСНОВИ
ЗДІЙСНЕННЯ ФІНАНСОВИХ ІНВЕСТИЦІЙ БАНКАМИ
1.1 Сутність та види
фінансових інвестицій комерційного банку
Банки мають право
надавати банківські та інші фінансові послуги в національній валюті на підставі
банківської ліценз
<#"652423.files/image001.gif">
Рисунок 1.1 - Банківські
операції з цінними паперами.
Емісійні операції -
пасивні операції, які здійснюються через випуск цінних паперів власного
боргу.
Інвестиційні операції
- активні операції із вкладення власних та залучених фінансових
ресурсів у фондові активи шляхом придбання відповідних цінних паперів на
фондовому ринку від свого імені.
Клієнтські операції
- посередницькі операції з цінними паперами, які здійснюються
банками від імені, за рахунок та на користь клієнтів.
Комерційний банк
проводить ту чи іншу операцію на фондовому ринку залежно від конкретно
визначеної мети банківської діяльності. Так, для формування і збільшення
власного капіталу та залучення ресурсів для використання в активних операціях
банк здійснюватиме емісійні операції [5]:
1) випуск акцій і
облігацій;
2) емісію векселів;
) випуск
депозитних та ощадних сертифікатів.
З метою одержання
прибутків від діяльності з цінними паперами, для забезпечення участі у
статутному капіталі інших підприємств та контролю над їх власністю банк
здійснюватиме інвестиційні операції:
1) арбітражну дилерську
діяльність, тобто виконання угод купівлі-продажу цінних паперів від свого імені
та за свій рахунок шляхом виставлення власних цін купівлі-продажу із
зобов'язанням їх купівлі та (або) продажу за заявленими цінами;
2) купівлю акцій з
метою утримування їх у своєму розпорядженні терміном більше ніж 1 рік.
Якщо метою банківської
діяльності на фондовому ринку виступає одержання доходу у вигляді комісійних
винагород від операцій з цінними паперами, то банк буде проводити клієнтські
операції:
1) андеррайтинг, тобто
гарантоване розміщення на ринку випусків цінних паперів клієнтів-емітентів;
2) брокерську
діяльність, тобто здійснення угод з цінними паперами як повірений чи
комісіонер, що діє на підставі договору доручення або комісії;
) діяльність з
управління цінними паперами, тобто здійснення від свого імені та за винагороду
протягом певного строку довірчого управління цінними паперами, що належать
іншій особі, в інтересах цієї або інших осіб;
) клірингову
діяльність: послуги з визначення взаємних зобов’язань (збирання, звірка,
коригування інформації щодо угод з цінними паперами і підготовка бухгалтерських
документів) та їх заліку з поставок цінних паперів і розрахунків за ними;
) депозитарну
діяльність: надання послуг зі збирання сертифікатів цінних паперів та (або)
обліку переходу прав на цінні папери;
) реєстраторську
діяльність: операції зі збирання, фіксації, обробки, зберігання та надання
інформації, що складає систему ведення реєстру власників цінних паперів;
) діяльність з
обслуговування клієнтських операцій з цінними паперами: надання
консультаційно-інформаційних послуг, що безпосередньо сприяють укладанню
цивільно-правових угод з цінними паперами між учасниками фондового ринку.
Серед найбільш важливих
завдань, для вирішення яких комерційні банки, власне, здійснюють формування та
управління портфелем цінних паперів у складі своїх активів, можна виділити такі
[6]:
- зменшення
вагомої частки кредитного ризику (за рахунок його урівноважування
високоякісними цінними паперами);
- стабілізація
доходу банку (за рахунок можливого зростання доходів від фондових операцій в
той час, коли доходи від кредитів падають);
- забезпечення
географічної диверсифікації (за допомогою вторинного фондового ринку цінні
папери, на відміну від банківських кредитів, можуть вільно обертатися в різних
регіонах);
- послідовне
підтримання ліквідності (за рахунок можливості динамічної трансформації
ресурсного портфеля в частині цінних паперів);
- забезпечення
високої гнучкості банківського портфеля активів (за рахунок його ефективної
реструктуризації на базі купівлі-продажу цінних паперів);
- страхування
ризику змін процентних ставок;
- створення
високоякісних видів застави (для забезпечення особливо важливих депозитів);
- підвищення
фінансових показників стійкості банківського балансу за рахунок володіння
пакетами цінних паперів достатньо високої якості.
Банківський портфель
цінних паперів - це сукупність усіх придбаних банком цінних паперів, паїв та
вкладень в інші компанії, які здійснені за рахунок коштів, що перебувають у
розпорядженні банку, з метою отримання доходів у вигляді відсотків, дивідендів,
прибутків від перепродажу та інших прямих і непрямих доходів.
Портфель цінних паперів
виконує ряд важливих функцій, що й спонукає менеджерів до перегляду структури
активів на його користь. Функції портфеля цінних паперів:
·
генерування доходів;
·
диверсифікація портфеля
активів з метою зниження ризиків;
·
зниження податкових
виплат;
·
можливість використання
як застави;
·
поліпшення фінансових
показників діяльності банку, оскільки цінні папери в цілому мають вищу якість
порівняно з іншими активами;
·
забезпечення гнучкості
портфелю активів, так як за рахунок цінних паперів можлива швидка
реструктуризація балансу банку;
·
стабілізація доходів
банку незалежно від фаз ділового циклу; коли відсоткові ставки на ринку
знижуються, дохідність цінних паперів зростає, і навпаки.
Отже, портфель цінних
паперів допомагає менеджменту банку досягти певних цілей і результатів, які
неможливо одержати інакше. Останнім часом банки все більше уваги приділяють
пошуку шляхів оптимізації структури портфелю цінних паперів та вибору стратегії
його формування.
До складу банківського
портфеля цінних паперів входить значна кількість фінансових інструментів, які
мають різні характеристики щодо ризику, інфляції, системи оподаткування, правил
обігу тощо. Перелік цінних паперів, що перебувають в обігу на конкретному
ринку, регламентується чинним законодавством кожної країни.
Згідно із Законом
України "Про цінні папери та фондовий ринок" в нашій державі можуть
випускатися та обертатися такі види цінних паперів [7]:
- акції;
- облігації
внутрішніх позик уряду;
- облігації
внутрішніх позик органів місцевої влади;
- казначейські
зобов'язання;
- облігації
підприємств (банків);
- ощадні
сертифікати;
- векселі;
- приватизаційні
папери;
- похідні
цінні папери (деривативи) - форвардні та ф'ючерсні контракти, опціони тощо;
- цінні
папери іноземних інвесторів, які допущені до обігу на території України.
На ринку цінні папери
можуть функціонувати в двох формах: документарній (паперовій) та
бездокументарній, тобто у вигляді електронних записів на рахунках.
Поняття банківського
портфеля цінних паперів тісно пов'язане з поняттям інвестиційного портфеля,
хоча вони не ідентичні. Між цими портфелями існують суттєві відмінності як за
видами активів, що їх формують, так і за виконуваними функціями [8].
Інвестиційний портфель
банку формується в результаті проведення інвестиційних операцій, під якими
розуміють діяльність із вкладення грошових коштів банку на відносно тривалий
період часу в цінні папери, нерухомість, статутні фонди підприємств, колекції,
дорогоцінні метали та інші об'єкти інвестування, ринкова вартість яких має
здатність зростати і приносити власнику дохід у вигляді процентів, дивідендів,
прибутків від перепродажу та інших прямих і непрямих доходів.
Отже, до складу
інвестиційного портфеля банку входять як фінансові, так і реальні інвестиції.
Фінансові інвестиції - це вкладення коштів у різноманітні фінансові інструменти,
такі як цінні папери, депозити, цільові банківські вклади, паї, частки,
вкладення в статутні фонди компанії тощо. Реальні інвестиції - це вкладення
коштів у матеріальні і нематеріальні активи. До матеріальних об'єктів
інвестування відносять: будинки, споруди, обладнання, дорогоцінні метали,
колекції, інші товарно-матеріальні цінності. До цієї групи включаються
інвестиції у відтворення й приріст основних та оборотних фондів, які
здійснюються у формі капітальних вкладень.
Інвестиції в
нематеріальні активи включають вкладення в патенти; ліцензії;
"ноу-хау"; технічну, науково-практичну, технологічну та
проектно-кошторисну документацію; майнові права, що випливають з авторського
права; досвід та інші інтелектуальні цінності; права користування землею,
водою, ресурсами, спорудами, обладнанням (оренда); інші майнові права. Із цієї
групи інвестицій іноді виділяють інновації - вкладення у нововведення та
інтелектуальну форму інвестування - вкладення у творчий потенціал суспільства.
У загальному випадку під інвестиціями розуміють довгострокове вкладення коштів,
звичайно на період понад 1 рік.
Отже, значна частина
портфеля цінних паперів банку входить до складу інвестиційного портфеля,
формуючи фінансові інвестиції. Водночас з огляду на довгостроковий характер
інвестування не всі цінні папери, які перебувають у банківському портфелі,
можуть бути класифіковані як інвестиції. Так, боргові зобов'язання у формі
цінних паперів - векселі, казначейські зобов'язання з періодом обігу до року,
деривативи не правомірно відносити до інвестиційних вкладень.
З огляду на сказане, усі
цінні папери доцільно поділити з погляду тривалості періоду обігу на два
основні класи:
- інструменти
грошового ринку, до яких відносяться цінні папери з періодом обігу до року і
які характеризуються низькою дохідністю, низьким ризиком і високою ліквідністю;
- інструменти
ринку капіталів, які мають строк погашення понад рік і в цілому
характеризуються вищою дохідністю та підвищеною ризиковістю, ліквідність
залежить від особливостей ринку.
Отже, лише вкладення в
інструменти ринку капіталів можуть бути віднесені до інвестицій. Інвестиційна
діяльність комерційних банків регламентується чинним законодавством, згідно з
яким у більшості країн банки можуть здійснювати як фінансові, так і реальні
інвестиції. За Законом України "Про банки і банківську діяльність"
інвестиційні операції комерційних банків пов’язуються як з придбанням цінних
паперів, так і з іншими непрямими вкладеннями коштів, такими як вкладення в
нерухомість, інтелектуальні цінності, науково-технічну продукцію, майнові права
і т. ін. [9].
З огляду на сказане, в
поняття портфеля цінних паперів банку вкладається ширший зміст щодо фінансових
інвестицій, оскільки до нього включаються як інвестиційні цінні папери, так і
інструменти короткострокового характеру (векселі, деривативи, короткострокові
казначейські зобов'язання). Крім того, перелік функцій портфеля цінних паперів
набагато ширший за функції, що їх виконує інвестиційний портфель.
Основною метою
здійснення інвестиційної діяльності банку з одержанням доходів у майбутньому в
будь-якій формі: дивідендів, прибутків від зростання вартості придбаних
активів, відсоткових виплат тощо. Портфель цінних паперів банку, крім
генерування доходів, виконує ряд інших важливих функцій, таких як підтримка
ліквідності, зниження ризику, стабілізація загальних доходів банку,
забезпечення гнучкості всього портфелю активів. Портфель інвестицій, особливо
реальних, навпаки, характеризується підвищеною ризиковістю, зменшує ліквідність
та можливості швидкої реструктуризації активів.
Далі йтиметься про
банківський портфель цінних паперів, а під інвестиціями розумітимемо лише
фінансову форму інвестування, тобто вкладення в довгострокові цінні папери,
паї, частки, статутні фонди тощо.
Національним банком
України запропоновано наступну класифікацію вкладень комерційних банків у цінні
папери:
- торговий
портфель цінних паперів;
- портфель
цінних паперів на продаж;
- портфель
цінних паперів до погашення;
- портфель
пайової участі (вкладення в асоційовані компанії);
- портфель
вкладень у дочірні компанії.
Перелік цінних паперів,
що входять до цих портфелів наведено у таблиці 1.1.
Таблиця 1.1 -
Класифікація вкладень комерційних банків у цінні папери
|
Цінні папери банка
|
Папери, що обліковуються
|
|
ЦП, які обліковуються в торговому портфелі
|
а) борговi цiннi папери, акцiї та iншi цiннi
папери з нефiксованим прибутком, що використовуються банком для отримання
прибуткiв у результатi короткотермiнових коливань цiни або дилерської маржi
та продажу в найближчий час; б) будь-якi iншi цiннi папери, що визначаються
банком на етапi первiсного визнання як такi, щодо яких банк має намiр i змогу
облiку за справедливою вартiстю з визнанням переоцiнки через прибутки/збитки
(крiм акцiй, якi не мають котирувальної цiни на активному ринку i справедливу
вартiсть яких неможливо достовiрно визначити).
|
|
ЦП в портфелі банка на продаж
|
а) борговi цiннi папери з фiксованою датою
погашення, якi банк не має намiру i/або змоги тримати до дати їх погашення
або за наявностi певних обмежень щодо облiку цiнних паперiв у портфелi до
погашення; б) цiннi папери, якi банк готовий продати у зв'язку iз змiною
ринкових вiдсоткових ставок, його потребами, пов'язаними з лiквiднiстю, а
також наявнiстю альтернативних iнвестицiй; в) акцiї та iншi цiннi папери з
нефiксованим прибутком, за якими неможливо достовiрно визначити справедливу
вартiсть; г) фiнансовi iнвестицiї в асоцiйованi та дочiрнi компанiї, що
придбанi та/або утримуються виключно для продажу протягом 12 мiсяцiв; д) iншi
цiннi папери, придбанi з метою утримання їх у портфелi на продаж.
|
|
ЦП в портфелі банку до погашення
|
облiковуються придбанi борговi цiннi папери з
фiксованими платежами або з платежами, що можна визначити, а також з
фiксованим строком погашення. Борговi цiннi папери вiдносяться до портфеля до
погашення, якщо банк має намiр та змогу утримувати їх до строку погашення з
метою отримання процентного доходу.
|
|
Інвестиції в асоційовані та дочірні компанії
|
належать акцiї та iншi цiннi папери з
нефiксованим прибутком емiтентiв, якi вiдповiдають визначенням асоцiйованої
або дочiрньої компанiї банку, за винятком таких цiнних паперiв, що придбанi
та/або утримуються виключно для продажу протягом 12 мiсяцiв з дати придбання.
|
Віднесення цінного
паперу до певного портфеля залежить від таких чинників:
- наміри
інвестора під час придбання: тривалість періоду та мета придбання;
- характеристики
цінного паперу, такі як ліквідність, дохідність та наявність активно діючого
ринку для даного паперу;
- фактичний
період зберігання у портфелі банку: цінні папери після календарного року зберігання
у портфелі банку на продаж переводяться до портфеля інвестицій.
При віднесенні цінного
паперу до того чи іншого портфеля менеджмент банку має обґрунтувати своє
рішення, для чого за кожним видом придбаних паперів заводиться справа, в якій
передбачається відображення такої інформації:
- сума та
обсяг емісії цінного паперу за номінальною, або ринковою вартістю;
- оцінка
фінансового стану емітента;
- наявність
та кількість брокерів, банків або інших установ, що забезпечують постійне
(майже постійне) котирування;
- рішення
менеджменту щодо рівня ліквідності ринку для даного цінного паперу.
У разі зміни намірів
банку щодо придбаних цінних паперів, або їх характеристик (зміна в фінансовому
стані емітента, рівні ліквідності ринку тощо) цінні папери можуть переводитись
з одного портфелю до іншого. За результатами щомісячного обов'язкового
перегляду портфеля цінних паперів на продаж, а також після закінчення річного
строку з дати їх придбання, цінні папери цього портфеля переводяться до
портфеля цінних паперів на інвестиції. Переведення цінних паперів з портфеля на
інвестиції у портфель на продаж також можливе, але за рекомендаціями НБУ
"має здійснюватись дуже рідко і бути обґрунтованим та проводитись лише за
відповідним наказом керівництва банку" [9]. Це означає, що цінні папери
довгострокового характеру повинні зберігатись банком до настання терміну їх
погашення. Звичайно, така регламентація обмежує можливості банку з проведення
деяких вигідних операцій з цінними паперами, але має на меті зменшення обсягів
спекулятивних операцій.
З погляду наведеної
раніше термінології та класифікації інвестицій, портфелі цінних паперів на
інвестиції, пайової участі та вкладень у дочірні компанії належать до
фінансових інвестицій банку. Портфель цінних паперів на продаж може бути сформований
з короткострокових цінних паперів (з періодом обігу до 1 року), боргових цінних
паперів (векселів), облігацій, акцій та інших цінних паперів з нефіксованим
прибутком, які придбані з метою подальшого продажу. Отже, до складу цього
портфеля можуть входити як інструменти грошового ринку, так і інструменти ринку
капіталів, тобто інструменти фінансового інвестування.
Як бачимо, велика
кількість цінних паперів, різноманітність їх характеристик, таких як дохідність
і ризик, правила обігу і оподаткування, багатофункціональність портфеля цінних
паперів значно ускладнюють процес його формування і управління, а також
завдання, що постають перед інвестиційним менеджментом кожного банку.
Комерційні банки
формують свої портфелі цінних паперів, виходячи з обраної керівництвом
інвестиційної політики та головної мети, якої прагне досягти банк у процесі
вкладення коштів у цінні папери. Після вивчення характеристик усіх цінних
паперів, які обертаються на ринку, інвестиційний менеджмент аналізує їх з
погляду того, чи підходять вони до портфеля банку. Наступним етапом є прийняття
рішення щодо купівлі чи продажу певних фінансових інструментів.
У банківській практиці
виділяють два основні підходи до управління портфелем цінних паперів, які
називають активною та пасивною інвестиційною політикою.
Для активної
інвестиційної політики є характерним [10]:
- активна
гра на підвищення з недооціненими цінними паперами;
- активна
гра на зниження з цінними паперами із завищеною ціною;
- великі
обороти за операціями купівлі-продажу цінних паперів;
- в
основному короткостроковий характер інвестицій;
- низький
рівень диверсифікації;
- висока
концентрація окремих ризикових цінних паперів;
- спекулятивний
характер і високий рівень ризиковості;
Головні характеристики
пасивної інвестиційної політики:
- інвестиції
мають більш довгостроковий характер;
- відсутність
значних оборотів за операціями купівлі-продажу цінних паперів;
- високий
рівень диверсифікації, частка окремих цінних паперів мала, ризик збалансований;
Відповідно до обраної
інвестиційної політики банківські портфелі цінних паперів поділяються на два
основних типи - активні та пасивні.
Пасивні портфелі цінних
паперів є добре диверсифікованими, а їх ліквідність, ризик і дохідність
відповідають середньоринковим. При формуванні таких портфелів менеджмент не
включає до їх складу різко недооцінених або високоризикових (спекулятивних)
цінних паперів, тобто банк ніби пливе за течією. Прикладом може бути формування
індексних портфелів, до яких входять ті самі цінні папери, на основі яких розраховується
певний фондовий індекс. Ринкова вартість такого портфеля прямує за рухом
фондового індексу. Перевагами є мінімізація витрат на аналітичну підтримку
індексного портфеля та витрат, пов'язаних з виходом на ринок (комісійні,
біржові, гарантійні внески тощо).
Активні портфелі
включають цінні папери, курси яких нині (або у перспективі) різко відхиляються
від цін, визначених середньоринковими умовами і можуть зазнавати сильних
коливань. Склад такого портфеля активно регулюється, спираючись на постійний
докладний аналіз кон'юнктури ринку. Характерною рисою активного портфелю є
наявність значних оборотів з операцій купівлі-продажу фінансових інструментів з
метою відновлення його складу. Активні портфелі формуються значною мірою
"проти ринку", тому інвестиційний менеджер постійно приймає рішення,
намагаючись "побити ринок", а не пливти за його течією. Виграш
досягається завдяки купівлі цінних паперів на нижніх точках поточних коливань
курсової вартості та продажу їх на ринку на верхніх точках.
Інший варіант формування
активного портфеля - це пошук та придбання недооцінених паперів, наприклад, у
розрахунку на одиницю переробленої емітентом нафти, газу і т. ін., порівняно з
цінними паперами аналогічних підприємств. У цьому разі активний портфель
забезпечує підвищену дохідність за рахунок тривалого росту курсової вартості
цінних паперів при тих самих значеннях ліквідності і ризику, що і в пасивному
портфелі. При формуванні активного портфеля інвестиції не мають довгострокового
характеру, а рівень диверсифікації незначний.
У цілому активний підхід
до управління портфелем цінних паперів містить велику спекулятивну складову і
характеризується не лише грою (спекуляцією) на майбутніх цінах та відсоткових
ставках, а й наданням дилерських послуг та постійних котирувань цін покупця та
продавця. Органи банківського нагляду в більшості країн несхвально ставляться
до спекулятивної торгівлі цінними паперами в банку, через що багато
інвестиційних менеджерів, особливо в невеликих банківських установах, віддають
перевагу пасивному портфелю. Але втручання регулюючих органів - це не єдина
перешкода для застосування активної інвестиційної політики. Багато банків, у
тому числі в розвинених країнах, стикаються з проблемами недостатньої кількості
досвідчених менеджерів та відсутності налагоджених ринків цінних паперів. У
результаті для більшості невеликих банків пасивна інвестиційна політика стає
єдино доступною. Великі міжнародні та регіональні банки, навпаки, дотримуються
активної політики і, незважаючи на регулятивні обмеження, час від часу грають
на майбутніх змінах ставок та курсів цінних паперів.
Склад та характер
портфеля цінних паперів банку визначається не тільки інвестиційною політикою, а
й метою, яку поставлено у процесі його формування та управління. Головна мета
процесу управління портфелем цінних паперів може бути по-різному визначена
менеджментом банку. Здебільшого банк формує портфель цінних паперів з метою
[11]:
а) максимізації
прибутків;
б) підтримки ліквідності
в) зниження ризику
активів.
При виборі мети
необхідно визначити пріоритети, оскільки одночасне досягнення всіх цілей на
практиці неможливе. Але менеджмент банку може прийняти рішення про розподіл
портфеля на кілька складових частин, кожна з яких слугуватиме досягненню певної
мети.
З погляду завдань, що
постають перед менеджментом у процесі формування банківського портфеля цінних
паперів, виділяють кілька типів портфелів.
Портфель росту
орієнтований на придбання цінних паперів, ринкова вартість яких швидко зростає.
Мета створення портфеля росту полягає в нарощуванні капіталу інвесторів. Тому
значна частина прибутків спрямовується на поповнення капіталу, а відсотки,
доходи, дивіденди виплачуються власникам у невеликому розмірі, або взагалі не
виплачуються. До складу такого портфеля включають насамперед акції; приватизаційні
папери; папери, що засвідчують право власності на паї; інші цінні папери з
невизначеним прибутком.
Портфель доходу слугує
для отримання високих поточних надходжень: рентних платежів, відсоткових
виплат, дивідендів. Для такого портфеля відношення стабільно отримуваного
доходу до ринкової вартості цінних паперів, що входять до його складу, вище за
середньоринкове значення. Відповідно ринкова вартість такого портфеля зростає
повільно. Портфель доходу формується здебільшого з ощадних сертифікатів, облігацій,
привілейованих акцій, казначейських зобов'язань.
Портфель ринкового
капіталу складається переважно з цінних паперів та паїв молодих компаній, що
проводять на ринку агресивну стратегію швидкого розширення. Формування такого
портфеля має на меті отримання надприбутків за рахунок придбання акцій,
приватизаційних паперів, векселів у момент, коли вони різко недооцінені на
ринку. До складу такого портфеля можуть входити деривативи, операції з якими
проводяться з метою одержання спекулятивних прибутків за рахунок сприятливих
змін у їх ціні. По суті, це спекулятивний портфель, який формується з метою
перепродажу цінних паперів, тільки-но ринкові ціни на них почнуть зростати.
Такий портфель характеризується високим рівнем ризику і може приносити значні
збитки, оскільки за статистикою близько 80% молодих компаній банкрутують, а
проведення спекулятивних операцій на фондових та ф'ючерсних біржах призводило
до банкрутства навіть великі банки.
Збалансований портфель
має на меті досягнення кількох цілей: нарощування капіталу, отримання високого
доходу, підтримка ліквідності. До складу такого портфеля можуть входити цінні
папери зі швидко зростаючою ринковою вартістю, високоприбуткові цінні папери.
Висока ризиковість таких вкладень знижується шляхом придбання безризикових та
високоліквідних цінних паперів, завдяки чому ризики портфеля в цілому стають
збалансованими. Фактично при формуванні збалансованого портфеля застосовується
метод диверсифікації. Розмір вкладень розраховується так, що в разі реалізації
ризику - затримки виплат, необхідності реінвестування тощо, втрати не
носитимуть доленосного характеру (банкрутство, різке погіршення фінансового
стану) для інвестора.
Спеціалізований портфель
формується з огляду не на загальний цільовий критерій, а за окремими критеріями,
такими як вид цінних паперів, галузева чи регіональна належність, вид ризику,
період обігу тощо. Наприклад, залежно від певного критерію банк може сформувати
такі спеціалізовані портфелі цінних паперів:
- портфель
короткострокових цінних паперів;
- портфель
середньо- і довгострокових паперів з фіксованим доходом, сформований з
облігацій;
- галузевий
портфель, який складається із цінних паперів емітентів однієї галузі,
наприклад, енергетики чи нафтової промисловості;
- портфель
іноземних цінних паперів;
- портфель
державних цінних паперів - облігації уряду та місцевих органів влади,
казначейські зобов'язання.
Таким чином,
інвестиційна діяльність комерційних банків є дуже розгалуженою і різноплановою,
що передбачає наявність специфічних підходів до обліку та аналізу інвестиційних
операцій.
1.2 Основні завдання,
джерела інформації та основні підходи до аналізу інвестиційних операцій банків
Далі мову будемо вести
лише про активні операції комерційних банків, і насамперед ті, до здійснення
яких залучаються ресурси комерційного банку.
Оцінити, яке значення
комерційний банк надає операціям з ЦП, можна через аналіз частки ЦП у
кредитно-інвестиційному портфелі (далі - КІП) банку. Аналіз інвестиційних
операцій комерційного банку доцільно починати з контролю за дотриманням
комерційним банком вимог закону "Про банки і банківську діяльність"
та обов'язкових нормативів інвестування, які встановлені Інструкцією про
порядок регулювання діяльності банків в Україні (Постанова Правління НБУ № 368
від 28.08.2001 р.) [12]. Банки повинні дотримуватися двох нормативів
інвестування - нормативу інвестування в ЦП окремо за кожним емітентом (Н 11) та
нормативу загальної суми інвестування (Н12). Базою для розрахунку економічних
нормативів є регулятивний капітал банку. Серед інших обмежень - заборона банкам
інвестувати кошти в господарські товариства з повною відповідальністю.
Норматив інвестування в
ЦП окремо за кожним емітентом (Н11) установлюється для обмеження ризику па
одного емітента. Контролюючи дотримання банком цього нормативу, слід
враховувати акції та інші ЦП з нефіксованим прибутком, які перебувають у
власності банку, а також вкладення в асоційовані та дочірні компанії (у тому
числі пайову участь, не оформлену ЦП).
Сума коштів, які
інвестовані в акції (паї, частки) будь-якого емітента, не повинна перевищувати
15 % регулятивного капіталу банку, збільшеного на суму фінансових вкладень, які
зменшують регулятивний капітал банку. Нагадаємо, що регулятивний капітал
зменшують, по-перше, фінансові вкладення в статутні фонди інших банків, а
по-друге, фінансові вкладення, які становлять 10 % і більше статутного фонду
емітента.
Норматив загальної суми
інвестування (НІ2) встановлює обмеження на частку капіталу банку, яка може бути
використана банком для фінансових інвестицій до статутних фондів будь-яких
юридичних осіб. Загальна сума коштів, інвестованих банком в акції (паї, частки)
всіх емітентів, не повинна перевищувати 60 % регулятивного капіталу банку,
збільшеного на суму фінансових вкладень, які зменшують регулятивний капітал
банку.
Слід зазначити, що у
випадку своєчасного інформування НБУ, до розрахунку нормативів інвестування
комерційний банк не включає такі ЦП (якщо він не планує утримувати їх більше
одного року):
- придбані
банком ЦП у зв'язку з реалізацією права заставодержателя;
- придбані
банком ЦП у результаті андеррайтингу.
Якщо фінансова
інвестиція здійснена в акції іншого банку з метою створення фінансової
холдингової групи, зазначені вкладення також не включаються до розрахунку
нормативів інвестування.
Аналізуючи актив дочірнього
банку, слід враховувати, що останній не має права володіти акціями
материнського банку. У разі, якщо дочірній банк за будь-яких обставин набув
право власності на акції материнського банку, він зобов'язаний відчужити їх у
місячний термін.
Комерційні банки
використовують визначені НБУ поняття "ЦП на продаж" та "ЦП на
інвестиції" як аналоги короткострокових та довгострокових ЦП. Різниця між
портфелем ЦП на продаж та портфелем ЦП на інвестиції полягає у намірі інвестора
під час їх придбання (тобто на який період та з якою метою вони придбані), в
характеристиці самого ЦП (чи обертається він на активному ринку) та фактичного
періоду зберігання у портфелі банку (ЦП, що зберігаються більше, ніж
календарний рік, повинні належати до портфеля ЦП на інвестиції). Більше того, в
кінці кожного місяця банк повинен аналізувати можливість дотримання своїх
первісних намірів щодо зазначених ЦП на продаж і здійснювати за необхідності
перегляд їх класифікації, за результатом якого ЦП можуть за рішенням банку
переводитись у портфель ЦП на інвестиції.
Для розгляду питань,
пов'язаних з аналізом та оцінкою фінансових інвестицій комерційного банку,
наведемо ряд визначень, якими користуватимемось надалі (з посиланням на
джерела, зокрема Положення (стандарти) бухгалтерського обліку та нормативні
акти НБУ:
- активний
ринок - ринок для певного ЦП, на якому існує можливість у будь-який час продати
ЦП за ціною, що переважає на ньому під час виставлення ЦП на продаж (Інструкція
з бухгалтерського обліку операцій з цінними паперами установ комерційних банків
України);
- асоційоване
підприємство - підприємство, в якому інвестору належить блокувальний (понад 25
%) пакет акцій (голосів) і яке не є дочірнім або спільним підприємством
інвестора (пункт 4 П(С)БО 3). Слід зауважити, що термін "асоційована
компанія" НБУ використовує для компаній, в якій інвестор має значний вплив
(прямо або через дочірні компанії володіє 20 % або більшою часткою капіталу
компанії), тому комерційні банки змушені користуватись саме визначенням НБУ, а
не П(С)БО 12;
- ефективна
ставка процента - ставка процента, що визначається діленням суми річного
процента та дисконту (або різниці річного процента та премії) на середню
величину собівартості інвестиції (або зобов'язання) та вартості її погашення
(пункт З П(С)БО 12);
- метод
ефективної ставки процента - метод нарахування амортизації дисконту або премії,
за яким сума амортизації визначається як різниця між доходом за фіксованою
ставкою процента і добутком ефективної ставки та амортизованої вартості на
початок періоду, за який нараховується процент (пункт З П(С)БО 12);
- метод
участі в капіталі - метод обліку інвестицій, згідно з яким балансова вартість
інвестицій відповідно збільшується або зменшується на суму збільшення або
зменшення частки інвестора у власному капіталі об'єкта інвестування (пункт 4
П(С)БО 3).
Процедури оцінки та
відображення у звітності фінансових інвестицій викладено в єдиному
національному стандарті - П(С)БО 12 "Фінансові інвестиції". У
Міжнародних стандартах бухгалтерського обліку (далі - МСБО), на базі яких
розроблялися національні, ці процедури викладено в кількох документах: МСБО 27
"Консолідовані фінансові звіти та облік інвестицій у дочірні
підприємства", МСБО 28 "Облік інвестицій в асоційовані
підприємства", МСБО 31 "Фінансова звітність про частки у спільних
підприємствах".
Аналіз операцій банку з
ЦП - це ретельний розгляд та вивчення фактичного матеріалу з метою виявлення
причин, формулювання висновків та прийняття рішень [13]. Виявлення і перевірка
факторів, які мали місце в минулому і які є чинними сьогодні та впливатимуть на
найближче майбутнє, неминуче супроводять невизначеність і суб'єктивність
вибору. Тому на результати аналізу, незважаючи на наявність певних
формалізованих процедур, завжди впливатимуть суб'єктивні судження аналітика або
групи аналітиків. Зменшенню такого впливу слугує облікова політика банку, яка
формулює додаткові або уточнює існуючі вимоги щодо відображення у фінансовому
обліку подій, які мали місце в минулому. Аналіз майбутніх подій, у тому числі
можливість дотримання намірів банку щодо фінансових інвестицій, отримання
запланованих доходів, досягнення бажаного співвідношення
"ризик-дохідність" залишається значною мірою суб'єктивним і залежить
не лише від використовуваних методів та процедур, а й від особистих здібностей
аналітика. Загальновизнано, що можливості будь-якого аналізу є обмеженими,
оскільки обмеженою є доступна для аналізу інформація.
Інформаційні джерела для
аналізу діяльності комерційного банку поділяють-ся на внутрішні і зовнішні. До
внутрішніх відносять сформовані на певні звітні дати:
- баланс
комерційного банку;
- звіт
про фінансові результати;
- інформацію
про дотримання банком нормативів, визначених НБУ, а також:
- інвестиційну
політику банку;
- облікову
політику банку;
- інші
внутрішні документи банку щодо здійснення операцій з ЦП;
- дані
рахунків аналітичного обліку, на яких відображаються операції банку.
До зовнішніх
інформаційних джерел для аналізу діяльності комерційного банку на ринку цінних
паперів можна віднести:
- законодавство
України;
- нормативні
акти органів державного управління, включаючи нормативні акти НБУ;
- аналітичні
дані державних, інформаційних, рейтингових та інших установ щодо стану та
прогнозів розвитку економіки в цілому та окремих галузей;
- інформацію
щодо стану фінансового ринку, і зокрема ринку цінних паперів;
- інформацію
щодо фінансового стану емітентів цінних паперів.
Для аналізу
використовується в доступних межах інформація щодо фінансового ринку та ринку
ЦП, як від організаторів торгівлі ЦП (бірж, торговельно-інформаційних майданчиків)
та суб'єктів цього ринку, так і з інших джерел, яка зазвичай включає:
- процентні,
облікові, дисконтні ставки в національній та іноземних валютах;
- ставки
дохідності альтернативних вкладень, у тому числі ставки міжбанківського
кредитування та дохідність за державними борговими ЦП;
- фондові
індекси загальні, галузеві, організаторів торгівлі та деяких учасників ринку
ЦП;
- інформацію
щодо внесення ЦП до лістингу організатора торгівлі;
- інформацію
щодо пропозицій з купівлі-продажу ЦП;
- інформацію
щодо обсягів, цін та періодичності укладання угод з певними ЦП на
організованому ринку ЦП;
- умови
випуску та розміщення ЦП (оголошена дохідність, термін обігу, періодичність
виплат, наявність забезпечення, гарантування викупу емітентом тощо);
- показники
резервування, які впливають на оцінку ефективності діяльності банку з ЦП.
Достовірна інформація
щодо емітента ЦП, отримана з різних джерел, дає змогу банку здійснити більш
повний аналіз вкладень у ЦП такого емітента, у тому числі віднести його до
одного з п'яти класів за ступенем надійності (ризику вкладень) та, як правило,
включає:
- регулярну
фінансову звітність емітента;
- інформацію
про форму власності, власників, менеджмент емітента;
- інформацію
щодо стану та перспектив виробничої діяльності, наявність бізнес-планів;
- кредитну
історію, у тому числі випадки невиконання своїх зобов'язань.
Однією з основних
проблем аналізу й оцінювання вартості інвестицій банку є відповідність таких
вартісних оцінок і балансової вартості та ринкової (справедливої) вартості ЦП
емітента; ринкової вартості та внутрішньої вартості ЦП емітента.
Наявність активного
ринку не забезпечує уникнення помилок в аналізі та оцінці вартості ЦП. Навіть
розвинутий фондовий ринок США був нездатним передбачити як крах банку Penn
Central в 1970-х роках, так і падіння енергетичного гіганта Enrn вже на
початку нового тисячоліття. І коли порівняння балансової вартості активів банку
з ринковими цінами можливе в багатьох випадках, то оцінка відповідності
ринкової та внутрішньої ціни можлива лише за відкритості інформації щодо
емітента та наявності певних стандартів корпоративного управління. У США
підвищенню якості й кількості даних, що публікуються про фінансову діяльність
корпорацій, сприяли прийняття ряду документів Комісією з цінних паперів і бірж,
Радою з принципів бухгалтерського обліку (АРВ) та її наступницею - Радою зі
стандартів фінансового обліку (FASB), а також Комітетом з політики фінансового
обліку Федерації фінансових аналітиків. Низку документів у Російській Федерації
з цього приводу прийнято ФКЦБФР, асоціацією учасників фондового ринку (НАУФОР),
професійною асоціацією реєстраторів та депозитаріїв. В Україні питанням
корпоративного управління значну увагу приділяють Українська асоціація
інвестиційного бізнесу, професійна асоціація реєстраторів та депозитаріїв, FМІ
та ряд інших організацій.
Аналіз відповідності
балансової вартості фінансових інвестицій їх ринковій (справедливій) вартості
за відсутності активного ринку вимагає виконання оцінних процедур. Для вкладень
в асоційовані та дочірні компанії ці процедури є визначальними, оскільки частка
в статутному фонді, якою володіє банк, є значною, і в разі її продажу на ринку
цей продаж може суттєво вплинути на ціну, отже, ринок за цим вкладенням не
можна визнати активним.
Оцінна діяльність
полягає в отриманні висновку про вартість об'єкта оцінки або про величину
частки власника на конкретний момент часу.
Однак бізнес залежно від
обставин може оцінюватися по-різному. Тому для проведення оцінювання потрібно
точно визначити вартість. Вартість як економічна категорія має дуже широкий
спектр значень, тож залежно від ситуації термін "вартість" може
трактуватися по-різному. Професійні оцінювачі використовують поняття ринкової
вартості, а також інвестиційної вартості та ліквідаційної вартості.
Ринкова вартість -
найбільш вірогідна ціна, за якою даний актив може бути відчужений на відкритому
ринку в умовах конкуренції, коли сторони діють розумно, маючи у своєму
розпорядженні всю необхідну інформацію, а на величині операції не відбиваються
які-небудь надзвичайні обставини. Зауважимо, що відкритий ринок не обов'язково
означає його активність.
Наведемо невеличке
пояснення до цього визначення. Справді, покупець погодиться інвестувати кошти
тільки в тому випадку, якщо поточна вартість очікуваних доходів буде не меншою
від ціни придбання. Так само продавець активів за нормальних умов не буде
продавати свою власність, якщо поточна вартість очікуваних доходів перевищує
ціну продажу. Отже, укладання угоди купівлі-продажу може відбутися лише за
ціною, рівною приведеній вартості доходів, які забезпечують володіння цим
активом. Питання приведення вартості майбутніх доходів до поточного моменту
розглянемо дещо пізніше.
Отже, в основі оцінки
активів або бізнесу в цілому лежить припущення, що їх сьогоднішня вартість рівна
вартості майбутніх вигод (прибутків), які власник може отримати внаслідок
володіння даними активами (бізнесом).
Визначення інвестиційної
та ліквідаційної вартості активів наведено в Методиці оцінки державних
корпоративних прав.
Інвестиційна вартість враховує
індивідуальні вимоги інвестора до інвестицій і розглядається як вартість, яку
готовий заплатити інвестор під час реалізації певного інвестиційного проекту
(визначається виходячи з бізнес-плану цього проекту).
Ліквідаційна вартість -
це вартість, за якою активи (сума активів), що є об'єктом оцінки, можуть бути
реалізовані на відкритому конкурентному ринку в обумовлений (як правило,
обмежений у часі) термін. Безперечно, у разі недостатньої ліквідності ринку, що
має місце в Україні, ліквідаційна вартість може бути істотно нижчою від інших
оцінок вартості.
Найпоширенішими є такі
підходи до оцінки вартості бізнесу: "ринковий підхід до оцінки
бізнесу"; "прибутковий підхід до оцінки бізнесу".
Ринковий підхід
передбачає, що вартість може бути визначена за допомогою аналізу продажу
порівнянних активів, який відбувався протягом останнього часу.
Оцінюючи бізнес,
аналітик аналізує порівнянні акціонерні компанії і порівнянні операції, щоб
визначити вартість даної компанії. Використання цього підходу дуже чутливе до
вибору аналогів, вимагає ретельного аналізу і коректування порівнянних
показників.
Прибутковий підхід
передбачає визначення насамперед очікуваних майбутніх доходів інвестора (метод
дисконтованих грошових потоків). Згідно з прибутковим підходом аналітик оцінює
майбутні вигоди (доходи) від володіння активами і трансформує ці доходи в
поточну вартість, використовуючи норму дисконту, яка враховує ризики, пов'язані
з реалізацією цих вигод. Як спрощений прийом, що використовує прибутковий
підхід, аналітик може капіталізувати деякий нормалізований рівень безперервно
змінних вигід (доходів) - так званий метод капіталізації прибутку. Цей метод
найчастіше застосовується як один із варіантів прибуткового підходу до оцінки
бізнесу діючого підприємства. Як і інші варіанти прибуткового підходу, він
заснований на базовому припущенні, відповідно до якого вартість частки
власності в підприємстві рівна поточній вартості майбутніх доходів, які принесе
ця власність.
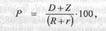
Досить поширеним методом
оцінки акцій є оцінка з позиції очікуваної дохідності. Дохід інвестора (Р)
прогнозується за рахунок двох складових - дивідендів та зростання курсової
вартості. Якщо інвестор вимагає премії за ризик в розмірі r %, а дохідність
безризикових інвестицій становить R %, то вартість акції інвестор може оцінити
за формулою [8]:
де D - дивіденд на
акцію;- зростання курсової вартості.
При цьому планована
інвестором дохідність має дві складові - дохідність за безризиковими операціями
та премію за ризик. Часто в розрахунках передумовою є саме визначена інвестором
дохідність.
Крім порівняння
балансової та справедливої вартості, важливим елементом аналізу є оцінка
вартості, за якою банк придбав ЦП (здійснив фінансову інвестицію) або продав
ЦП.
Коротко розглянемо три
функції аналізу цінних паперів - опис, оцінка, критичний аналіз.
1 Функція опису. Мстою
описового аналізу є аналіз і тлумачення фактів, що стосуються певного випуску
ЦП, а також приведення результатів до порівнянного вигляду, що легко
сприймається. Опис може здійснюватись на кількох рівнях деталізації.
Нижнім (елементарним)
рівнем є рівень, який зустрічається в бізнес-пресі, при публікаціях річних
звітів. У цьому випадку аналіз здійснюється безпосередньо зі звітів, без
коригування показників на індекси інфляції, без аналізу джерел формування
доходів.
Наступний рівень
описового аналізу передбачає ретельне вивчення компаній, щоб зрозуміти джерела
прибутковості в минулому й теперішньому часі і дати висновок про імовірність
отримання прибутку в майбутньому. Цей аналіз повинен охоплювати такі важливі
чинники і події:
- злиття
і поглинання;
- зміни
асортименту продукції;
- географічне
розширення ринків;
- зміна
частки ринку;
- напруженість
іноземної конкуренції;
- використання
потужностей.
Необхідно також провести
детальне зіставлення з компаніями тієї самої галузі або галузей. Найважливіше
те, що описовий аналіз, виходячи з особливого набору економічних припущень, дає
можливість прогнозувати майбутню здатність отримувати прибуток або виплачувати
дивіденди.
Другою функцією аналізу
ЦП є оцінка їх вартості. Аналітик повинен бути готовий до визначення ціни ЦП,
виходячи з відносної привабливості ЦП, що розглядаються як об'єкти
інвестування. При цьому слід враховувати, що іноді на ринку виникають такі
спекулятивні ситуації, коли ніякі затрати сил та часу не дають змоги подолати
невизначеність поведінки ринкової ціни. Особливо це стосується ситуації з
маніпулюванням ринком, коли певна група учасників ринку впливає на формування
штучної ціни, вводячи в оману інших учасників, маючи на меті отримання
спекулятивних доходів.
Третьою функцією аналізу
є критичний аналіз ЦП. Наприклад, метою аналізу облігацій підприємства є
перевірка того, чи зможе емітент в майбутньому погасити відсотки й основну суму
боргу. Загальноприйнятий підхід вимагає спочатку перевірити кредитну історію, а
потім, зробивши прогноз доходів, пересвідчитися, чи буде в майбутньому емітент
захищений від різних несприятливих можливостей, чи ні. На підставі таких оцінок
експерти-аналітики можуть присвоювати облігаціям рейтингові класи, що дає змогу
зіставляти поточні показники очікуваної прибутковості та ризикованості різних
облігацій.
Кожна акція має
номінальну вартість, яка є часткою від ділення розміру статутного фонду
емітента на кількість акцій. Купівля-продаж акцій під час первинного розміщення
відбувається за емісійною вартістю, яка часто збігається з номінальною. У
процесі діяльності акціонерного товариства - емітента акцій вартість його
чистих активів змінюється, і реальна вартість акцій визначається як співвідношення
вартості чистих активів емітента до кількості акцій.
На ринку корпоративних
цінних паперів найважливішою частиною функції оцінки є аналіз і оцінка акцій.
При цьому метою є оцінка ризику і прибутковості, на основі якої з переліку
наявних на ринку акцій вибираються недооцінені (а тому прийнятні для купівлі) і
переоцінені (тобто ті з портфеля, які підлягають продажу).
Існують три загальні
концепції, або підходи, до аналізу й оцінки звичайних акцій.
Перший підхід, або
передбачення, полягає в оцінці майбутньої ринкової ефективності. При цьому
підході інвестор визначає перелік акцій, які, на його думку, зростуть у ціні в
короткотерміновій перспективі (в наступні 6-12 місяців). Зрозуміло, що такий
прогноз цін є ризикованим і містить суттєвий суб'єктивний фактор. Аналітик
повинен передбачити перспективи компанії-емітента і визначити, позитивно чи
негативно позначаться ці перспективи на ціні ЦП компанії. Для цього підходу
головне - не визначити, яка буде внутрішня вартість акції, а передбачити, яку
ціну за неї даватимуть на ринку.
Другий і третій підходи
являють собою явну оцінку внутрішньої вартості і відносної вартості.
Другий підхід (оцінка
внутрішньої вартості) намагається оцінювати акції незалежно від їх ринкової
ціни. Оцінка внутрішньої вартості - це спроба визначити, ту ціну, за яку вони
продавалися б, якби нормальний ринок зміг дати їм правильну ціну. Сутність
цього підходу полягає в тому, що ринкова вартість розглядається як похідна від
внутрішньої вартості (ринкова вартість залежить тією чи іншою мірою від
внутрішньої вартості).
Третій підхід (оцінка
відносної вартості) спрямований не на внутрішню, а на відносну вартість. При
цьому підході аналітики прагнуть визначити відносну вартість акції в термінах
існуючого ринкового рівня цін. Наприклад, можна задати рівень капіталізації для
конкретного рівня капіталізації прибутків чи рівень дивідендів якої-небудь
вибраної групи акцій відносно поточного рівня капіталізації для групи галузевих
акцій або порівнянної групи акцій зростання, до яких можна віднести акції, що
оцінюються.
Аналіз структури
операцій банку з ЦП доцільно проводити як у розрізі аналізу структури портфеля
на певну дату, так і розглядаючи в динаміці зміну структури.
Частка державних ЦП у
портфелі на інвестиції зменшується, проте зростає частка боргових ЦП
недержавних установ (банків та небанківських установ). Це пояснюється широким
виходом на фондовий ринок корпоративних облігацій, які поступово витісняють з
портфеля на продаж такий борговий інструмент, як вексель. Оскільки вкладення в
акції інших банків зменшують регулятивний капітал банку, акції, випущені
банками, становлять незначну частину портфелів. Обсяг акцій, які входять до
портфеля на продаж, обмежено лімітами, котрі, як правило, встановлює банк для
проведення спекулятивних операцій. Додатковою причиною невеликого обсягу
портфелю акцій є жорсткі вимоги НБУ щодо їх резервування, що зменшує
привабливість такого фондового інструменту для банку. Балансова вартість акцій
у портфелі на інвестиції майже не змінюється, оскільки ними оформлена участь
банку в акціонерних товариствах, у діяльності яких зацікавлений банк (лізингова
компанія, страхове товариство). Частина такої участі обліковується в складі
асоційованих та дочірніх компаній (пенсійний фонд, консалтингова компанія).
1.3 Використання концепції
вартості грошей у часі та їх дисконтування в процесі аналізу фінансових
інвестицій банку
Оцінка й аналіз боргових
ЦП та інших строкових цінних паперів вимагає використання концепції вартості
грошей у часі.
Принцип вартості грошей
у часі, який є наріжним каменем у сучасному фінансовому менеджменті, свідчить:
"сьогоднішні надходження є ціннішими від майбутніх". Вартість грошей
у часі змінюється з урахуванням норми прибутковості на грошовому ринку і ринку
ЦП. Як норма прибутковості може виступати норма позикового відсотка або норма
виплати дивідендів за звичайними і привілейованими акціями.
З принципу вартості
грошей у часі випливає два важливі наслідки:
- необхідність
врахування чинника часу під час проведення фінансових операцій;
- некоректність
(з погляду аналізу довгострокових фінансових операцій) простого додавання
грошових величин, що стосуються різних періодів часу.
Не виключений випадок,
коли фінансові інвестиції внаслідок зменшення їх балансової вартості досягають
нульової вартості і відображаються в бухгалтерському обліку у складі фінансових
інвестицій за нульовою вартістю, оскільки зменшення балансової вартості
фінансових інвестицій відображається в бухгалтерському обліку тільки на суму,
що не веде до від'ємного значення вартості фінансових інвестицій.
Зауважимо, що вибір
одного з наведених методів визначається намірами банку щодо фінансових
інвестицій:
- інвестиції,
що придбані та утримуються в портфелі на продаж, відображаються за справедливою
вартістю;
- інвестиції,
що утримуються підприємством у портфелі на інвестиції, відображаються за
амортизованою собівартістю;
- інвестиції
в асоційовані й дочірні підприємства відображаються за вартістю, що визначена
за методом участі в капіталі (крім інвестицій, які придбані та утримуються на
продаж до 12 місяців з дати придбання, які обліковуються та відображаються за
справедливою вартістю).
Ураховуючи, що
Національний банк України прийняв нову редакцію Інструкції з бухгалтерського
обліку операцій з ЦП, слід зауважити, що і в новій редакції планується використовувати
певні методи обліку фінансових інвестицій для кожного з портфелів ЦП, а саме:
- інвестиції
в торговельному портфелі - за ринковою вартістю;
- інвестиції
в портфелі на продаж - за собівартістю для акцій та амортизованою собівартістю
для боргових ЦП;
- інвестиції
в портфелі до погашення - за амортизованою собівартістю;
- інвестиції
в асоційовані (дочірні) підприємства - за методом участі в капіталі.
Дохід (дивіденди або
проценти) за фінансовими інвестиціями відображається банком у випадку їх визнання
згідно з П(С)БО 15 "Дохід" у такому порядку:
проценти визнаються у
тому звітному періоді, до якого вони належать, виходячи з бази їх нарахування
та строку користування відповідними активами;
дивіденди визнаються у
періоді прийняття рішення емітентом про їх виплату (а не протягом періоду їх
фактичного отримання).
Аналіз операцій банку з
ЦП вимагає перевірити обґрунтованість визначення балансової вартості ЦП та
обсяги сформованих резервів. При цьому увагу слід звернути на відмінності в
порядку розрахунку резервів для портфеля ЦП на продаж та ЦП на інвестиції. Якщо
портфель ЦП на продаж включає в себе пакети ЦП різних емітентів, правило нижчої
вартості застосовується за окремими складовими портфеля (групами ЦП) без
взаємної компенсації за групами (тобто, якщо ринкова (розрахункова) вартість
певної групи ЦП істотно вища від її балансової вартості, використовувати таке
перевищення для інших груп ЦП забороняється. І навпаки, для ЦП з портфеля на
інвестиції така взаємна компенсація прямо передбачена, і спеціальний резерв
формується лише у разі сумарного перевищення балансової вартості ЦП на
інвестиції над сумою ринкових (розрахункових) вартостей складових портфеля ЦП
на інвестиції.
Корисність цінних
паперів зменшується, якщо їх балансова вартість перевищує оцінену суму
очікуваного відшкодування, що спричинена погіршенням фінансового стану емітента
цінних паперів.
Свідченням про зменшення
корисності цінних паперів можуть бути відомості про:
- фінансові
труднощі емітента;
- фактичне
розірвання контракту внаслідок невиконання умов договору або прострочення
виплати процентів чи основної суми;
- високу
ймовірність банкрутства або іншу фінансову реорганізацію емітента;
- визнання
збитку від зменшення корисності цих цінних паперів у попередньому звітному
періоді;
- зникнення
активного ринку для цих цінних паперів через фінансові труднощі емітента.
Зменшення корисності
цінних паперів відображається в бухгалтерському обліку шляхом формування
резерву на суму перевищення балансової вартості цінних паперів над оціненою
сумою очікуваного відшкодування.
Згідно з Методикою
визначення класу емітента та оцінки фінансового стану емітента, фактор ризику
ЦП визначається класом, до якого належить емітент ЦП, з урахуванням якого
зменшується на відповідний процент розрахункова вартість ЦП (таблиця 1.2).
Клас емітента
визначається банком самостійно на підставі результатів проведеного аналізу
доступних даних про емітента. При цьому відсутність у банку регулярної
фінансової звітності емітента є підставою для віднесення такого емітента до
класу "Д". Отже, перевірка обґрунтованості формування банком резервів
під знецінення ЦП передбачає аналіз достовірності висновків банку про
віднесення емітента ЦП до одного з класів згідно з внутрішніми документами
банку.
Таблиця 1.2 - Фактори
ризику за класами емітентів цінних паперів)
|
Клас емітента
|
Фактор ризику (процент зменшення
вартості ЦП)
|
|
А
|
0
|
|
Б
|
5
|
|
В
|
20
|
|
Г
|
50
|
|
Д
|
100
|
Для визначення
розрахункової вартості ЦП, які не мають активного ринку (категорії 2 та 4),
банк здійснює аналіз дисконтованої у часі оціночної суми доходу як майбутніх
грошових потоків на підставі реальної оцінки обсягу та часу виникнення таких
потоків і фактора дисконту, що ґрунтується на ставках КІВОR за аналогічний
термін часу. Визначена у такий спосіб сума використовується для розрахунку
дисконтованої оціночної суми доходу інвестора від групи ЦП.
Для пайових ЦП (простих
акцій) визначаються дві розрахункові величини:
) оціночна сума доходу
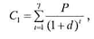
інвестора від ЦП, дисконтована на сім років з періодом дисконту один рік під
поточну ставку КІВОR найтривалішого строку:
де С1 -
дисконтована оціночна сума доходу (частки в середньому чистому прибутку
емітента);
Р - оціночна сума доходу;- фактор
дисконту, який дорівнює ставці КІВОR найтривалішого строку;- параметр для
визначення суми (кількість періодів, установлена НБУ, - 7 років);
) оцінка вартості ЦП як вартості
частки участі інвестора в капіталі емітента:
РВ = fmin(С1,С2), (1.3)
де Сі - оціночна
вартість частки участі інвестора;
К - капітал емітента
(розмір капіталу емітента визначається як різниця між сукупними активами та
сукупними зобов'язаннями емітента);
р - процент участі
інвестора в статутному фонді емітента.
Виходячи із принципу
обережності, розрахункова вартість пайових ЦП без урахування фактора ризику емітента
визначається як менша величина із двох обчислених:
Для боргових ЦП
(облігацій, депозитних сертифікатів, векселів) визначаються також дві
розрахункові величини:
1) оцінка процентних
доходів, дисконтована за кожний період сплати такого доходу під відповідну за
строком ставку КІВОR:

(1.4)
де С3 -
оцінка дисконтованих майбутніх доходів;
Р - оціночна сума доходу;- фактор
дисконту, який визначається на підставі ставки КІВОR;
і - параметр для визначення суми
(кількість періодів сплати доходу);- кількість періодів до дати погашення
цінного папера;
2) оцінка дисконтованої
вартості погашення (номінальна вартість ЦП, дисконтована під відповідну за
строком ставку КІВОR):

, (1.5)
де С4 - оцінка
дисконтованої вартості погашення;- фактор дисконту, який визначається на
підставі ставки КІВОR;- номінальна вартість цінного папера;- кількість періодів
до дати погашення цінного папера.
Для ЦП, номінал яких виражено в
національній валюті України, фактор дисконту d для формул визначається виходячи
зі ставки КІВОR на дату переоцінки та періоду дисконтування:
рік: d = (КІВОR-90 / 100 %);
квартал: d = (КІВОR-90 / 100 %) × 90 / 360;
місяць: d = (КІВОR-30 / 100 %) × 30 / 360;
тиждень: d = (КІВОR-07 /100 %) × 7 / 360,
де КІВОR-90, КІВОR-30, КІВОR-07 -
ставка КІВОR на 90, 30 та 7 днів відповідно.
Розрахункова вартість ЦП,
скоригована на фактор ризику емітента, визначається як скоригована сума двох
обчислених величин (для дисконтних цінних паперів завжди величина Сз
= 0):

, (1.6)
де Vс -
відкоригована на ризик емітента розрахункова ринкова вартість ЦП;
С3, - оцінка
дисконтованих майбутніх доходів;
С4 - оцінка
дисконтованої вартості погашення;- процент зменшення розрахункової вартості для
даного класу емітента.
Періодом дисконтування
для акцій вибирається рік, а для боргових ЦП період дисконтування може
вибиратися банком самостійно, з урахуванням терміну до погашення боргових ЦП.
Як правило, банки вибирають такі періоди дисконтування:
- рік,
якщо до дати погашення залишилось не менше одного року;
- квартал,
якщо до дати погашення залишилось менше одного року, але не менше одного
кварталу;
- місяць,
якщо до дати погашення залишилось менше одного кварталу, але не менше одного
місяця;
- тиждень,
якщо до дати погашення залишилось менше, ніж один місяць.
Оскільки кількість
періодів дисконтування в наведених вище формулах використовується як степеневий
показник, слід підраховану кількість періодів дисконтування округлити до
найближчого цілого числа.
2. ОБЛІК ФІНАНСОВИХ
ІНВЕСТИЦІЙ КОМЕРЦІЙНОГО БАНКУ
Публічне акціонерне товариство
"МЕГАБАНК" діє на ринку банківських послуг з 1990 року.
Банк здійснює банківську
діяльність згідно з ліцензією Національного банку України №163 від
14.10.2011р., операції з іноземною валютою згідно з генеральною ліцензією на
здійснення валютних операцій Національного банку України №163 від 14.10.2011р.,
діяльність на фондовому ринку з торгівлі цінних паперів згідно до ліцензій
Державної комісії з цінних паперів та фондового ринку України АВ №493221 від
23.10.2009р. (брокерська діяльність), АВ №493222 від 23.10.2009р. (дилерська
діяльність), АВ №493223 від 23.10.2009р. (андеррайтинг), АВ №493224 від
23.10.2009р. (діяльність з управління цінними паперами) та депозитарну
діяльність згідно до ліцензій Державної комісії з цінних паперів та фондового ринку
України АВ №493225 від 23.10.2009р. (діяльність зберігача), АВ №493226
(діяльність з ведення реєстру власників іменних цінних паперів).
До складу акціонерів ПАТ
"МЕГАБАНК" входять Європейський банк реконструкції та розвитку
(EBRD), Кредитна установа для відбудови (KfW) та Міжнародна Фінансова
Корпорація (IFC).
Регіональна мережа
"МЕГАБАНКУ" нараховує 189 підрозділів у 24 регіонах України.
ПАТ "МЕГАБАНК"
надає повний спектр класичних банківських послуг, якими користується 484 тисячі
клієнтів, у тому числі 131 тисяча отримувачів пенсії та інших видів соціальних
виплат.
На сьогодні
"МЕГАБАНК" входить до Асоціації українських банків (АУБ), Асоціації
"Український кредитно-банківський союз" (УКБС), Харківського
банківського союзу, Асоціації "Незалежна асоціація банків України",
Європейської Бізнес Асоціації, Американської торгової палати в Україні,
Асоціації "Фондове Партнерство", ПрАТ "Всеукраїнський
депозитарій цінних паперів", ПАТ "Українська біржа", ПрАТ
"Фондова біржа "ПФТС", Асоціації "Українські Фондові Торговці",
Професійної асоціації реєстраторів та депозитаріїв (ПАРД), Фонду гарантування
вкладів фізичних осіб, Української міжбанківської валютної біржі (УМВБ),
Асоціації "Український союз учасників НСМЕП". Також банк є партнером
компанії "Western Union", партнером-учасником міжнародних систем
грошових переказів "MoneyGram", "UniStream",
"Migom", "Анелік" та "Алюр". "МЕГАБАНК"
- це перший в Україні банк, який почав впроваджувати Національну систему
масових електронних платежів (НСМЕП). Крім того, банк є членом міжнародних
платіжних систем "Master Card" та "Visa International".
Специфічна
особливість "МЕГАБАНКУ" - унікальний банківський продукт Єдиний
розрахунковий центр (ЄРЦ) <#"652423.files/image007.gif"> (2.1)
де Нмл - норматив
миттєвої ліквідності;
Ккр - кошти на
кореспондентському рахунку;
Ка - кошти в
касі;
Рп - поточні
рахунки для розрахунку нормативу ліквідності.
Нормативне
значення Нмл має бути не меншим ніж 20%.
Дані для
розрахунків річних нормативів ліквідності ПАТ "МЕГАБАНК" за 2007 -
2011 роки наведені у таблиці 2.1.
Таблиця 2.1 -
Дані для розрахунків річних нормативів ліквідності ПАТ "МЕГАБАНК" за
2007 - 2011 роки (тис.грн.)
|
Показники
|
Станом на 01.01
|
|
2008 р.
|
2009 р.
|
2010 р.
|
2011 р.
|
2012 р.
|
|
Кошти на кореспондентському
рахунку
|
93202
|
74636
|
114821
|
100788
|
149716
|
|
Кошти в касі
|
57023
|
30046
|
41616
|
76591
|
78679
|
|
Активи первинної та вторинної
ліквідності
|
58763
|
59235
|
51247
|
60024
|
61452
|
|
Зобов’язання банку
|
284580
|
373485
|
513071
|
701775
|
932925
|
|
Ліквідні активи
|
65214
|
54213
|
55678
|
56432
|
56765
|
|
Короткострокові зобов’язання
|
42578
|
43651
|
44589
|
44956
|
45871
|
|
Поточні рахунки для розрахунку
нормативу
|
35613
|
37812
|
35987
|
39561
|
42156
|
Норматив поточної
ліквідності визначається за формулою (2.2.):
, (2.2)
де Нпл - норматив
поточної ліквідності;
Апв - активи
первинної та вторинної ліквідності;
Рп - поточні
рахунки для розрахунку нормативу ліквідності;
Зб - зобов’язання
банку.
Нормативне
значення Нпл має бути не меншим ніж 40%.
Норматив короткострокової ліквідності визначається за формулою (2.3).
(2.3)
де Нкл - норматив
короткострокової ліквідності;
Ал - ліквідні
активи;
Рп - поточні
рахунки для розрахунку нормативу ліквідності;
Зк -
короткострокові зобов’язання.
Нормативне
значення Нкл має бути не меншим ніж 60%.
Дані річних
показників ліквідності ПАТ "МЕГАБАНК" у 2007 - 2011 р. наведені у
таблиці 2.2.
Таблиця 2.2 -
Дані річних показників ліквідності ПАТ "МЕГАБАНК" у 2007 - 2011 р., %
|
Норматив ліквідності
|
Станом на 01.01
|
|
2008 р.
|
2009 р.
|
2010 р.
|
2011 р.
|
2012 р.
|
|
Миттєвої ліквідності (має бути не
менше 20%)
|
64,13
|
53,07
|
63,21
|
63,72
|
67,22
|
|
Поточної ліквідності (має бути не
менше 40%)
|
56,12
|
48,99
|
56,31
|
55,32
|
73,11
|
|
Короткострокової ліквідності (має
бути не менше 60%)
|
37,82
|
35,86
|
37,60
|
36,98
|
71,63
|
Кредитний ризик
характеризується ймовірністю виконання умов кредитної угоди позичальником, що
може спричинити збитки. Кредитний ризик може виникати як за балансовими, так і
за позабалансовими зобов’язаннями контрагентів.
З широкого кола
інструментів захисту від кредитних ризиків ПАТ "МЕГАБАНК" найчастіше
використовуються такі:
- диверсифікація
кредитних вкладень;
- всебічна
оцінка кредитоспроможності позичальника;
- забезпеченість
позик;
- страхування
кредитів.
В процесі кредитної
діяльності ПАТ "МЕГАБАНК" чітко дотримується вимог Національного
банку щодо формування та використання резервів для відшкодування можливих
втрат.
З метою недопущення
надлишкового ринкового ризику, відповідними банківськими службами здійснюється
аналіз і прогнозування динаміки різноманітних показників, що характеризують
стан ринкового середовища, зокрема процентної ставки та валютних курсів.
Однією зі складових
аналізу є визначення чутливості банку до зміни ринкового середовища та розробка
заходів щодо її мінімізації, підвищенню мобільності банку.
Використовуючи надану
Управлінням стратегічного планування та економічного аналізу необхідну
інформацію, відповідні структури банку мінімізують ринковий ризик, пов’язаний з
їхньою безпосередньою діяльністю.
Для мінімізації
операційного ризику, пов’язаного з можливими помилками або незаконними діями
персоналу, у банку встановлено обмеження повноважень конкретного співробітника,
лімітів на здійснення операцій від імені банку. Зокрема, під час роботи на
міжбанківському ринку дилери Управління казначейства керуються встановленими
для них особистими лімітами, лімітами на стоп-профіт і стоп-лос при проведенні
арбітражних операцій, лімітами на банки-контрагенти.
У банку діє система верифікації
та авторизації усіх платежів. Платежі еквівалентом більш п’ятисот тисяч доларів
США вимагають додаткової авторизації. Тільки після авторизації Головою
Правління банку чи Заступником Голови Правління платежі йдуть за призначенням.
З метою зменшення ризику
в банку постійно здійснюється робота з підвищення кваліфікації персоналу,
удосконалення системи контролю за проведенням банківських операцій та надання
послуг клієнтам.
Правовий ризик є
об’єктом уваги юридичної служби банку. Зменшення ризику досягається шляхом
постійного удосконалення кваліфікації співробітників юридичного відділу,
недопущення помилкових тлумачень законів та нормативних актів, прогнозування
можливих змін законодавства і пов’язаних з ними наслідків для становища Банку,
підвищення мобільності Банку з метою зменшення його вразливості з боку
нестабільної правової ситуації в країні.
Огляд методичної
літератури з аналізу банківської діяльності свідчить, що на сьогодні єдина
система показників, які в узагальнюючому вигляді характеризують фінансовий стан
банків, остаточно ще не склалася. Кожний банк використовує свої самостійно
розроблені методики
Для формування
загального уявлення про стан банку проведемо оцінку фінансової стійкості та
ефективності управління.
За допомогою вказаних
видів оцінок проаналізуємо фінансовий стан ПАТ "МЕГАБАНК" (таблиця
2.3).
Таблиця 2.3 - Алгоритм
розрахунку й економічний зміст показників, що характеризують фінансову
стійкість
|
Найменування показника
|
Алгоритм розрахунку за балансом
|
Економічний зміст показника визначає
|
|
Коефіцієнт надійності
|
Співвідношення
власного капіталу (К) до залучених коштів ( ).
Рівень залежності банку від залучених коштів
|
|
|
Коефіцієнт фінансового важеля
|
Співвідношення
зобов’язань банку (З) і капіталу (К), розкриває здатність банку залучати
кошти на фінансовому ринку
|
|
|
Коефіцієнт участі власного
капіталу у формуванні активів
|
Розкриває
достатність сформованого власного капіталу (К) в активізації та покритті
різних ризиків
|
|
|
Коефіцієнт захищеності власного
капіталу
|
Співвідношення
капіталізованих активів і
власного капіталу (К). Показує, яку частину капіталу розміщено в нерухомість
|
|
|
Коефіцієнт захищеності дохідних
активів
|
Сигналізує
про захист дохідних активів (Ад) (що чутливі до зміни процентних
ставок) мобільним власним капіталом
|
|
|
Коефіцієнт мультиплікатора
капіталу
|
Ступінь
покриття активів (А) (акціонерним) капіталом
|
|
Після цього на основі
даних балансу розрахуємо вибрані показники, проаналізуємо їх рівень, тенденції
і зробимо висновок про рівень фінансової стійкості банку.
Таблиця 2.4 - Вихідні
дані для розрахунку основних коефіцієнтів фінансової стійкості ПАТ
"МЕГАБАНК" (тис.грн.)
|
Назва показників
|
Умовні позначення
|
Станом на 01.01
|
Темп росту, %
|
|
|
2008
|
2009
|
|
|
Вихідні дані, тис. грн.
|
|
|
Власний капітал
|
|
57868
|
60912
|
105,26
|
|
Засновницький (акціонерний)
капітал
|
34852348520
|
|
|
|
|
Залучені кошти
|
 284580373485131,24
|
|
|
|
|
Активи загальні
|
342448434397126,85
|
|
|
|
|
Активи дохідні
|
292464360942123,41
|
|
|
|
|
Активи недохідні
|
4998473455146,96
|
|
|
|
|
Активи капіталізовані
|
296794076913737
|
|
|
|
|
Вихідні дані, тис. грн.
|
|
Умовні позначення
|
Станом на 01.01
|
|
2010
|
Темп росту, %
|
2011
|
Темп росту, %
|
2012
|
Темп росту, %
|
|
|
81607
|
133,98
|
110354
|
135,23
|
187799
|
170,18
|
|
44188126,7950104113,39115000229,52
|
|
|
|
|
|
|
|
513071137,38701775136,78932925132,94
|
|
|
|
|
|
|
|
594678136,90812129136,581120724138,00
|
|
|
|
|
|
|
|
505489140,05671015132,75972816144,98
|
|
|
|
|
|
|
|
89189121,42141114158,22147908104,81
|
|
|
|
|
|
|
|
45320111,1667920149,8771050104,61
|
|
|
|
|
|
|
В таблиці 2.5 приведений
розрахунок основних коефіцієнтів фінансової стійкості ПАТ "МЕГАБАНК".
Таблиця 2.5 - Розрахунок
основних коефіцієнтів фінансової стійкості ПАТ "МЕГАБАНК"
|
Назва показників
|
Умовні позначення
|
Станом на 01.01
|
Оптимальне значення
|
|
|
2008
|
2009
|
|
|
Коефіцієнт надійності (ряд 1: ряд
3)
|
0,200,16Не
менше 5%
|
|
|
|
|
Коефіцієнт "фінансового
важеля" (ряд 3: ряд 1)
|
4
: 926 : 13У межах 1:20
|
|
|
|
|
Коефіцієнт участі власного
капіталу у формуванні активів (ряд 1: ряд 4)
|
0,160,14Не
менше 10%
|
|
|
|
|
Коефіцієнт захищеності власного
капіталу (ряд 7: ряд 1)
|
0,510,67-
|
|
|
|
|
Коефіцієнт захищеності дохідних
активів власним капіталом (ряд 1- ряд 6): ряд 5
|
0,03-
0,04-
|
|
|
|
|
Коефіцієнт мультиплікатора
капіталу (ряд 4: ряд 2)
|
9,8312,4612,0-15,0
|
|
|
|
|
Продовження розрахунку
|
|
Умовні позначення
|
Станом на 01.01
|
|
2010
|
2011
|
2012
|
Оптимальне значення
|
|
0,160,160,20Не
менше 5%
|
|
|
|
|
|
6
: 296 : 364 : 97У межах 1:20
|
|
|
|
|
|
0,140,140,17Не
менше 10%
|
|
|
|
|
|
0,560,620,38-
|
|
|
|
|
|
-
0,02- 0,050,04-
|
|
|
|
|
|
13,4616,219,7512,0-15,0
|
|
|
|
|
З наведених у таблиці
2.5 даних видно, що коефіцієнт надійності (співвідношення капіталу банку і
залучених коштів за мінімально допустимого значення не менше 5,0%) на протязі
проаналізованого періоду коливався з 16,0% - 20,0%, і станом на 01.01.2012
становив 20,0%. Таким чином, банк має високу надійність, тобто він досяг того
рівня, за якого не залежить від випадкових обставин у залученні вільних коштів
грошового ринку, бо має вдосталь своїх, дешевих, які можна розміщати в кредити
господарюючим суб’єктам та в інвестиції.
Дані тієї ж таблиці
показують, що коефіцієнт фінансового важеля при максимально допустимому
співвідношенні 1 : 20 на протязі аналізованого періоду коливався в межах 4:97 -
6:36. Це свідчить також і про те, що банк підвищив активність щодо залучення
вільних коштів на грошовому ринку, навіть за високого забезпечення власними.
Коефіцієнт участі
власного капіталу у формуванні активів з 01.01.2008 р. по 01.01.2012 р.
знаходився на досить стабільному рівні 0,14 (14%), а на 01.01.2012р.
спостерігався зріст даного показника до 0,17 (17%) - це найбільший показник за
останні п’ять періодів. А за оптимального значення не менше 10% і підтверджує
вище встановлену тенденцію його високої ролі.
Дані таблиці 2.2
свідчать про тенденцію спаду захищеності дохідних активів власним капіталом (на
01.01.2012 р. - 0,38 проте, як на 01.01.2008 р. - цей показник складав 0,51)
спадаючим вкладенням його також у свої власні капіталізовані активи - основні
засоби і нематеріальні активи.
Також банк значно
посилив захист дохідних активів власним капіталом. Так якщо на 01.01.2008 р.
коефіцієнт захищеності дохідних активів власним капіталом мав позитивне значення
(0,03), а на протязі 2008 - 2010 років цей показник не виходив з негативного
значення (-0,02 - - 0,05). Це свідчить про те, що розмір власного капіталу за
мінусом недохідних активів на протязі 2008 - 2010 років не покривав дохідних
активів. А на 01.01.2012р коефіцієнт захищеності дохідних активів власним
капіталом знову набув позитивного значення (0,04) - це говорить про те, що
розмір власного капіталу за мінусом недохідних активів покриває дохідні активи,
на що вплинуло два фактори: зростання капіталу і скороченням темпів зростання
обсягу недохідних активів [13].
Отже, банк за рік
поліпшив менеджмент пасивів і активів, підвищивши забезпеченість власними
коштами і скоротивши темпи зростання обсягу недохідних активів.
Що стосується
коефіцієнта мультиплікатора капіталу, який характеризує ступінь покриття
активів акціонерним капіталом, то за оптимального співвідношення 12,0 - 15,0
разів він на 01.01.2008р становив 9,83 (що не відповідає оптимальному
значенню). А на протязі 2008-2010 років значення коефіцієнта мультиплікатора
капіталу відповідає оптимальному значенню (коливалося в межах з 12,46 до
16,21). На 01.01.2012р. знову значення вищенаведеного коефіцієнту набуває
тенденцію спаду. Це свідчить, насамперед, що темп зростання активів перевищує
темп зростання акціонерного капіталу і, по-друге, - про наявність тенденцій
зниження використання "потужностей" із залучення їх з акціонерного
капіталу, але це вже сигнал про необхідність поліпшити менеджмент власного
капіталу.
Отже, крім коефіцієнта
мультиплікатора капіталу, всі основні показники взяті нами для аналізу
фінансової стійкості банку, мають тенденцію до поліпшення (коефіцієнт
надійності, участі власного капіталу у формуванні активів, захищеності дохідних
активів власним капіталом) або стабілізації чи незначної зміни (коефіцієнт
"фінансового важеля").
Звідси можна зробити
висновок, що фінансова стійкість ПАТ "МЕГАБАНК" достатньо забезпечена
його капіталом і останній може захищати банк від імовірних ризикованих втрат
сьогодні і в близькому майбутньому.
Аналіз ефективності
управління. Результативним показником діяльності банку є величина одержаного
прибутку. Рівень окупності прибутком статутного і загального капіталу, активів
(у тому числі дохідних), а також витрат банку характеризує їх рентабельність.
Оскільки в сучасних
умовах витрати часто зростають незалежно від рівня господарської фінансової
діяльності банку, а під впливом погіршення загальної економічної ситуації в
державі, то прибуток, який часто за масою невисокий, не може характеризувати
рівень окупності. Тому рівень ефективності управління банком необхідно
визначати поряд з віддачею прибутком ще і доходом.
За цим принципом і
сформована на підставі даних наведеного вище балансу система основних
алгоритмізованих показників, які детально характеризують ефективність
управління банком (таблиця 2.6), здійснено їх розрахунок для аналізу
досягнутого рівня і тенденції в часі - як за дохідністю, так і прибутковістю
(таблиця 2.7-2.8).
Таблиця 2.6 - Алгоритм
розрахунку й економічний зміст показників, що характеризують ефективність
управління банком
|
Найменування показника
|
Алгоритм розрахунку
|
Економічний зміст показника
визначає
|
|
Загальний рівень рентабельності
|
Розмір
балансового прибутку на
1 грн доходу
|
|
|
Окупність витрат доходами
|
Розмір
доходу на
1 грн. витрат
|
|
|
3. Чиста процентна маржа
|
К3 = %дох - % витр × Сер заг активи 100 %
|
Розкриває рівень дохідності
активів від процентної різниці
|
|
Чистий спред
|
Розкриває
рівень дохідності активів від процентних операцій
|
|
|
Інший операційний дохід
|
Свідчить
про рівень дохідності активів від інших
нетрадиційних послуг
|
|
|
"Мертва точка"
прибутковості банку
|
Показує
мінімальну дохідну маржу для покриття всіх витрат, після чого банк починає
заробляти прибуток
|
|
Вихідні дані (за останні
п’ять періодів) для розрахунку основних коефіцієнтів ефективності управління
ПАТ "МЕГАБАНК" представлені в таблиці 2.7.
Таблиця 2.7 - Вихідні
дані для розрахунку основних коефіцієнтів ефективності управління ПАТ
"МЕГАБАНК" за доходом (тис.грн.)
|
Назва показників
|
Умовні позначення
|
Станом на 01.01
|
Темп
змін, %
|
|
|
2008
|
2009
|
|
|
Вихідні дані, тис. грн.
|
|
Балансовий прибуток
|
3876249326127,25
|
|
|
|
|
Доходи загальні
|
8261287530105,95
|
|
|
|
|
Процентні доходи
|
5612457637102,70
|
|
|
|
|
Непроцентні доходи
|
2648829893112,86
|
|
|
|
|
Інші операційні доходи
|
10031021101,80
|
|
|
|
|
Процентні витрати
|
3653137888103,72
|
|
|
|
|
Середньорічні активи загальні
|
341843423479123,88
|
|
|
|
|
Середньорічні активи недохідні
|
3899564351165,02
|
|
|
|
|
Надані кредити середньорічні
|
200924295156146,90
|
|
|
|
|
Підпроцентні зобов’язання
|
128168372551290,67
|
|
|
|
|
Витрати загальні
|
8011183318104,00
|
|
|
|
|
Витрати непроцентні
|
4358045430104,25
|
|
|
|
|
Вихідні дані, тис. грн.
|
|
Умовні позначення
|
Станом на 01.01
|
|
2010
|
Темп
змін, %
|
2011
|
Темп змін, %
|
2012
|
Темп змін, %
|
|
65211132,2075925116,4392525121,86
|
|
|
|
|
|
|
|
103612118,37124993120,64157311125,86
|
|
|
|
|
|
|
|
5723799,3175821132,47100501132,55
|
|
|
|
|
|
|
|
46375155,1449172106,0356810115,53
|
|
|
|
|
|
|
|
3796371,79342590,234454130,04
|
|
|
|
|
|
|
|
37888-48376127,6863609131,49
|
|
|
|
|
|
|
|
566487133,77792121139,831012027127,76
|
|
|
|
|
|
|
|
81998127,42114421139,54118821103,85
|
|
|
|
|
|
|
|
356396120,75511863143,62821014160,40
|
|
|
|
|
|
|
|
497347133,50618426124,35931350150,60
|
|
|
|
|
|
|
|
97305116,79116997120,24141534120,97
|
|
|
|
|
|
|
|
59417130,7968621115,4977925113,56
|
|
|
|
|
|
|
|
|
|
|
|
|
|
|
|
Таблиця 2.8 - Розрахунок
основних коефіцієнтів ефективності управління ПАТ "МЕГАБАНК" за
доходом
|
Назва показників
|
Умовні позначення
|
Станом на 01.01
|
Темп змін
|
|
|
2008
|
2009
|
|
|
Загальний рівень рентабельності
(ряд 1 : ряд 2)
|
0,470,56+
0,09
|
|
|
|
|
Коефіцієнт окупності витрат
доходами (ряд 2 : ряд 11)
|
1,031,05+
0,02
|
|
|
|
|
Чиста процентна маржа (рівень
дохідності активів) (ряд 3 - ряд 6) : (ряд 7)×100
|
5,734,66-
1,07
|
|
|
|
|
Чистий спред (рівень дохідності
процентних операцій) [(ряд 3 : ряд 9)×100]
- [(ряд 6 : ряд 10)× 100]
|
7,579,36+
1,79
|
|
|
|
|
Інший операційний дохід (на
середньорічні активи) (ряд 5 : ряд 7)
|
0,0020,002-
|
|
|
|
|
Мертва точка прибутковості (ряд 12
- ряд 4) : (ряд 7 - ряд 8)
|
0,060,04-
0,02
|
|
|
|
|
Умовні позначення
|
Станом на 01.01
|
|
2010
|
Темп змін
|
2011
|
Темп змін
|
2012
|
Темп змін
|
|
0,63+
0,070,61- 0,020,59- 0,02
|
|
|
|
|
|
|
|
1,06+
0,011,07+ 0,011,11+ 0,04
|
|
|
|
|
|
|
|
3,42-
1,243,47+ 0,053,65+ 0,18
|
|
|
|
|
|
|
|
8,44-
0,926,99- 1,455,41- 1,58
|
|
|
|
|
|
|
|
0,007+
0,0050,004- 0,0030,004-
|
|
|
|
|
|
|
|
0,03-
0,010,03-0,02- 0,01
|
|
|
|
|
|
|
|
|
|
|
|
|
|
|
Так, загальний рівень
рентабельності за доходом (таблиця 2.8), показуючи розмір балансового
прибутку на 1 гри доходу (він досягав рівня 47 коп. за 2007 рік і 59 коп. за
2011 р.), водночас характеризує, що структура доходів, яка склалася, забезпечує
тенденцію до зростання прибутку й відображає ефективність наданих послуг і
здійснюваних банківських операцій.
Чиста процентна маржа,
яка мала в зазначені роки відповідно рівні 5,73% і 3,65%, розкриває не
тільки рівень дохідності активів від процентної різниці, а й характеризує
ефективність контролю банку за дохідними активами і дешевими ресурсами. Ця
різниця є головним видом надходжень для підтримання ліквідності, платою за
ризики за кредитними, інвестиційними та лізинговими операціями. Зниження рівня
процентної маржі підвищує ризикованість банківських операцій і одночасно знижує
ефективність управління.
Чистий спред, що
перебував на рівні 7,57 % за 2007 р. і 5,41 % за 2011р., показує не тільки зниження
рівня дохідності від процентних операцій, а й характеризує, яка різниця
склалася між ціною придбання ресурсів і ціною від розміщення їх в активи
(переважно в кредитний портфель).
Як видно із таблиці 2.8
"мертва точка" прибутковості банку (вона показує, яка
мінімальна дохідна маржа повинна бути для покриття всіх витрат, після якої
можна заробляти прибуток) з 6 коп. за 2007 р. знизилася до 2 коп. на гривню
робочих активів за підсумками 2011 р. Як видно з таблиці 2.8, це сталося
завдяки значному зростанню непроцентних доходів і скороченню неробочих активів,
тоді як непроцентні витрати зросли незначно. Отже, банк провів ефективну роботу
щодо забезпечення випереджаючому зростання непроцентних доходів порівняно з
аналогічними витратами.
Отже на основі проведеного
аналізу можна зробити висновок щодо фінансового стану ПАТ "МЕГАБАНК"
:
) в основному в усіх
аспектах фінансовий стан надійний;
2) виявлені проблеми,
які може вирішити керівництво банку;
3) фінансовий стан в
основному стабільний, отже, банк може пристосуватися до умов економічної
кон'юнктури, що змінюється;
4) занепокоєність
органів нагляду обмежується фіксуванням виявлених під час перевірки або аналізу
звітності проблем, які може вирішити керівництво банку.
2.2 Облік цінних паперів у торговому
портфелі банку
Бухгалтерський облік цінних паперів
ґрунтується на загальноприйнятих у міжнародній практиці принципах та стандартах
і ведеться відповідно до Інструкції з бухгалтерського обліку операцій із
цінними паперами в банках України (затверджена Постановою № 358 Правління НБУ
від 03.10.2005 р.).
Необхідність запобігання ризикам, що
притаманні операціям із цінними паперами, потребує чіткого дотримання основних
принципів їх оцінки та обліку, насамперед таких, як обачність, нарахування
доходів і витрат (у періоді, до якого вони належать), перевага суті операції
над формою.
Відповідно до вказаних принципів
банки оцінюють і відображують активи, що виникають за операціями з цінними
паперами, з достатньою мірою обережності, щоб не допустити перенесення
фінансових ризиків на наступні періоди; цей принцип передбачає ведення рахунків
з обліку резервів, що створюються під активи у формі цінних паперів. При
застосуванні принципу нарахування не дозволяється переоцінювати активи чи
доходи і недооцінювати витрати.
|
Операції з цінними паперами
|
|
АКТИВНІ - Операції з ЦП в торговому портфелі
- Операції
з ЦП в портфелі банку на продаж - Операції з ЦП в портфелі банку до
погашення - Інвестиції
в асоційовані та дочірні компанії (Процентний дохід, дивідендний дохід,
торговельний дохід)
|
ПАСИВНІ Власні акції - капітал (дивіденди)
Власні боргові зобов'язання (процентні витрати)
|
Рисунок 2.1 - Класифікація операцій
банків із цінними паперами
Інвестиції банку в цінні папери з
метою їх оцінки та відображення в бухгалтерському обліку класифікують таким
чином:
- операції з цінними паперами у
торговому портфелі;
- операції з цінними
паперами у портфелі банку на продаж;
- операції з цінними
паперами у портфелі банку до погашення;
- інвестиції в
асоційовані та дочірні компанії.
Цінні папери, які придбані та/або
зберігаються за дорученням і за кошти клієнтів, а також згідно з договорами про
довірче управління, обліковують на позабалансових рахунках.
У бухгалтерському обліку операцій
банків України з цінними паперами використовують рахунки, визначені Планом
рахунків бухгалтерського обліку банків України, класифіковані за видами цінних
паперів (боргові, акції та інші папери з нефіксованим прибутком), їх емітентами
(банки, небанківські фінансові установи, небанківські нефінансові установи), а
також за складовими балансової вартості цінного папера (номінальна вартість,
дисконт (премія), нараховані проценти, переоцінка, резерви). Окремо (в першому
класі Плану рахунків бухгалтерського обліку банків України) обліковують цінні
папери, які Національний банк України приймає за операціями рефінансування
банків, а також емітовані ним (рисунок 2.2).
Рисунок 2.2 - Структура відображення
в Плані рахунків банку активних операцій із цінними паперами за групами
рахунків
Важливим питанням в обліку цінних
паперів є їх оцінка. Наприклад, придбані цінні папери (крім цінних паперів у
торговому портфелі, інвестицій в асоційовані та дочірні компанії) початково
оцінюють і відображають у бухгалтерському обліку за справедливою вартістю, до
якої додають витрати на операції з придбання таких цінних паперів.
Цінні папери в торговому портфелі
початково оцінюють за справедливою вартістю. Витрати на операції з придбання
таких цінних паперів визнають за рахунками витрат під час їх первинного
визнання.
Витрати на операції з придбання
боргових цінних паперів у портфель на продаж або в портфель до погашення відображають
за рахунками з обліку дисконту (премії) на дату їх придбання.
На кожну наступну після визнання
дату балансу всі цінні папери, придбані банком, оцінюють за їхньою справедливою
вартістю, крім:
а) цінних паперів, що утримуються до
погашення;
б) акцій та інших цінних паперів із
нефіксованим прибутком у портфелі банку на продаж, справедливу вартість яких
неможливо достовірно визначити;
в) інвестицій в асоційовані та
дочірні компанії.
Справедлива вартість цінних паперів,
що перебувають в обігу на організаційно оформлених ринках, визначається за
їхньою ринковою вартістю. Бувають випадки, коли встановити котирування ринкових
цін на цінні папери неможливо. Тоді банки застосовують для визначення
справедливої вартості такі методи:
- посилання на ринкову ціну
іншого подібного інструменту;
- аналіз
дисконтованих грошових потоків. Застосовуючи аналіз дисконтованих грошових
потоків, банки використовують ставку дисконту, яка дорівнює чинній нормі
прибутковості фінансових інструментів, що мають в основному такі самі умови й
характеристики;
- інші методи, що
забезпечують достовірне визначення справедливої вартості цінних паперів,
визначені відповідними внутрішніми документами банку.
Акції та інші цінні папери з
нефіксованим прибутком у портфелі банку на продаж, справедливу вартість яких
достовірно визначити неможливо, відображують на дату балансу за їхньою
собівартістю з урахуванням зменшення їхньої корисності.
Цінні папери, що утримує банк до їх
погашення, відображують на дату балансу за амортизованою собівартістю з
використанням ефективної ставки процента.
За інвестиціями в асоційовані та
дочірні компанії, облік яких здійснюється за методом участі в капіталі,
інвестор має складати консолідовану фінансову звітність.
Усі цінні папери, крім цінних
паперів, які обліковуються в торговому портфелі, переглядають на зменшення
корисності. Зменшення корисності визнається на кожну дату балансу, якщо є
об'єктивні докази щодо подій, які мають вплив на очікувані майбутні грошові
потоки за цінними паперами.
Об'єктивними доказами, що свідчать
про зменшення корисності цінних паперів, можуть бути відомості:
- про фінансові труднощі
емітента;
- фактичне розірвання
контракту внаслідок невиконання умов договору або прострочення виплати
процентів чи основної суми;
- високу ймовірність
банкрутства тощо.
Зменшення балансової вартості цінних
паперів унаслідок визнання зменшення їхньої корисності відображається в
бухгалтерському обліку лише на суму, що не призводить до від'ємного значення
їхньої вартості. Якщо балансова вартість таких цінних паперів досягає нуля, то
в бухгалтерському обліку їх відображають за нульовою вартістю до прийняття
банком рішення про їх списання.
За борговими цінними паперами окремо
обліковують накопичені проценти, дисконт або премію. Бухгалтерський облік
нарахування процентів здійснюється залежно від умов випуску цінних паперів, але
не рідше ніж раз на місяць протягом періоду від дати придбання цінного папера
до дати його продажу або погашення.
Дисконт або премія за борговими
цінними паперами в портфелях банку на продаж і до погашення амортизується
протягом періоду з дати придбання до дати погашення за методом ефективної
ставки процента. Сума амортизації дисконту або премії нараховується одночасно з
нарахуванням процентів. Сума амортизації дисконту збільшує процентний дохід за
цінними паперами, а сума амортизації премії зменшує його.
Боргові цінні папери, акції та інші
цінні папери з нефіксованим прибутком, придбані банком з метою отримання
прибутку від короткотермінових коливань ринкової ціни, обліковують у торговому
портфелі банку. Цінні папери відображують на дату балансу виключно за
справедливою (ринковою) вартістю.
До основних правил обліку цінних
паперів у торговому портфелі банку можна віднести:
- цінні папери, що придбані в
торговий портфель, обліковують за справедливою вартістю з визнанням переоцінки
через прибутки/збитки;
- під час кожної
зміни їхньої ринкової вартості та на дату балансу за даними останнього у
звітному періоді котирування на офіційно організованому ринку здійснюється
переоцінка цінних паперів та нарахування процентного доходу;
- амортизація
дисконту (премії) за борговими цінними паперами в торговому портфелі не
здійснюється;
- не допускається
переведення цінних паперів із торгового портфеля в інші портфелі банку або
навпаки - з інших портфелів цінних паперів у торговий портфель;
- аналітичний облік
цінних паперів за цими групами рахунків ведеться в розрізі їх емітентів та
випусків.
У торговому портфелі обліковують
окремо цінні папери з нефіксованим прибутком та боргові цінні папери. У Плані
рахунків бухгалтерського обліку в банках цінні папери в торговому портфелі
відображають в 1-му та 3 класах залежно від їхньої ліквідності (див. таблицю
2.9 та таблицю 2.10).
Таблиця 2.9 - Структура групи
рахунків, де обліковуються цінні папери з нефіксованим прибутком у торговому
портфелі банку
|
Номери рахунків
|
Назва та характеристика рахунку
|
|
300 3002 3003 3005
|
Акції та інші цінні папери з нефіксованим
прибутком у торговому портфелі банку А Акції та інші цінні папери з
нефіксованим прибутком, що випущені банками, у торговому портфелі банку А
Акції та інші цінні папери з нефіксованим прибутком, що випущені
небанківськими фінансовими установами, у торговому портфелі банку А Інші
акції та цінні папери з нефіксованим прибутком у торговому портфелі банку
|
|
Призначення рахунків: облік інвестицій банку в
акції та інші цінні папери з нефіксованим прибутком у торговому портфелі
банку. За дебетом рахунків проводять суми цінних паперів, що придбані або
переведені з іншого портфеля банку. За кредитом рахунків проводять суми цінних
паперів у разі їх продажу або переведення до іншого портфеля.
|
Таблиця 2.10 - Структура групи
рахунків, де обліковують боргові цінні папери в торговому портфелі банку
|
Номери рахунків
|
Назва та характеристика рахунку
|
|
140 1400 1401 1402 1403 1404
|
Боргові цінні папери, що рефінансуються
Національним банком України, у торговому портфелі банку А Облігації
внутрішньої державної позики,що рефінансуються Національним банком України, у
торговому портфелі банку А Облігації зовнішньої державної позики, що рефінансуються
Національним банком України, у торговому портфелі банку А Боргові цінні
папери органів державної влади та місцевого самоврядування, що рефінансуються
Національним банком України, у торговому портфелі банку А Боргові цінні
папери, випущені банками та небанківськими фінансовими установами, що
рефінансуються Національним банком України, у торговому портфелі банку А
Боргові цінні папери нефінансових підприємств, що рефінансуються Національним
банком України, у торговому портфелі банку
|
|
301 3010 3011 3012 3013 3014
|
Боргові цінні папери в торговому портфелі
банку А Боргові цінні папери органів державної влади в торговому портфелі
банку А Боргові цінні папери органів місцевого самоврядування в торговому
портфелі банку А Боргові цінні папери, випущені банками, у торговому портфелі
банку А Боргові цінні папери, випущені небанківськими фінансовими установами,
у торговому портфелі банку А Боргові цінні папери нефінансових підприємств у
торговому портфелі банку
|
|
Призначення рахунків: облік номінальної вартості
боргових цінних паперів у торговому портфелі банку. За дебетом рахунків
проводять суми номінальної вартості боргових цінних паперів, що придбані. За
кредитом рахунків проводять суми номінальної вартості цінних паперів, що
продані.
|
Облік операцій із вкладень у цінні
папери можна розглядати в розрізі: придбання; переоцінки; визнання доходу;
продажу; визначення результату від торгівлі.
На дату операції вартість придбаних
у торговий портфель цінних паперів обліковується за позабалансовими рахунками:
А Активи до отримання та депозити до
розміщення за спотовими контрактами - облік вартості цінних паперів до
отримання
П Активи до відправлення та депозити
до залучення за спотовими контрактами - облік грошових коштів до відсилання.
У разі придбання акцій та інших
цінних паперів із нефіксованим прибутком на дату розрахунку здійснюють такі
проведення:
Дт Рахунки для обліку цінних паперів
у торговому портфелі банку (3002, 3003, 3005)
Кт Рахунки для обліку
грошових коштів, рахунки клієнтів - на суму договору.
Одночасно сума списується з
позабалансових рахунків.
Боргові цінні папери відображають в
обліку за складовими частинами: номінальною вартістю, дисконтом чи премією.
Окремо відображають нараховані доходи, якщо цінні папери банк купує між датами
сплати купонів. Цінні папери обліковують із дисконтом, якщо під час первинного
визнання вартість придбання нижча від їхньої номінальної вартості. Дисконт
обліковується на контрактивних рахунках:
КА Неамортизований дисконт за
борговими цінними паперами, що рефінансуються Національним банком України, у
торговому портфелі банку
КА Неамортизований дисконт за
борговими цінними паперами в торговому портфелі банку.
Призначення рахунків: облік
неамортизованого дисконту за борговими цінними паперами, що придбані з
дисконтом.
За кредитом рахунку проводять суми
неамортизованого дисконту за цінними паперами, що придбані.
За дебетом рахунку проводять суми
амортизації дисконту під час нарахування доходів за звітний період; суми
неамортизованого дисконту в разі продажу цінних паперів.
Якщо при первинному визнанні є
перевищення вартості цінних паперів над їхньою номінальною вартістю, то цінні
папери обліковують з премією, яку обліковують на рахунках:
А Неамортизована премія за борговими
цінними паперами, що рефінансуються Національним банком України, у торговому
портфелі банку
А Неамортизована премія за борговими
цінними паперами в торговому портфелі банку.
Призначення рахунку: облік
неамортизованої премії за борговими цінними паперами, що придбані з премією.
За дебетом рахунку проводять суми
неамортизованої премії за цінними паперами, що придбані.
За кредитом рахунку проводять суми
амортизації премії під час нарахування доходів за звітний період; суми
неамортизованої премії в разі продажу цінних паперів.
У разі придбання боргових цінних
паперів на дату розрахунку:
Дт Рахунки для обліку цінних паперів
у торговому портфелі банку (1400-1404, 3011-3014)
Дт/Кт 1407, 3017 / 1406, 3016 - на
суму дисконту / премії
Кт Рахунки для обліку грошових
коштів, рахунки клієнтів - на суму договору.
У разі придбання банком купонного
цінного папера між датами сплати купонів у бухгалтерському обліку:
Дт Рахунки для обліку цінних паперів
у торговому портфелі банку (1400-1404, 3011-3014)
Дт 1408, 3018 - на суму накопичених
процентів
Дт/Кт 1407, 3017 / 1406, 3016 - на
суму дисконту / премії
Кт Рахунки для обліку грошових
коштів, рахунки клієнтів - на номінальну вартість.
Цінні папери в торговому портфелі
банку підлягають переоцінці в разі зміни їхньої справедливої вартості.
Переоцінка обліковується на окремих рахунках у кожній групі рахунків, де
обліковується цінні папери в торговому портфелі:
АП Переоцінка боргових цінних
паперів, що рефінансуються Національним банком України, у торговому портфелі
банку
АП Переоцінка акцій та інших цінних
паперів з нефіксованим прибутком у торговому портфелі банку
АП Переоцінка боргових цінних
паперів у торговому портфелі банку.
Призначення рахунку: облік
результатів переоцінки до справедливої вартості боргових цінних паперів, що
обліковуються в торговому портфелі банку.
За дебетом рахунку проводять суми
збільшення вартості (дооцінки) боргових цінних паперів; списані суми уцінки за
цінними паперами під час їх продажу.
За кредитом рахунку проводять суми
зменшення вартості (уцінки) боргових цінних паперів; списані суми дооцінки за
цінними паперами під час їх продажу.
Результат переоцінки відображується
за відповідним аналітичним рахунком балансового рахунку 6203 "Результат
від торгових операцій із цінними паперами в торговому портфелі банку".
За збільшення ринкової вартості
цінних паперів здійснюються такі проведення:
1 На суму дооцінки за акціями та
іншими цінними паперами з нефіксованим прибутком:
Дт 3007 Переоцінка акцій та інших
цінних паперів з нефіксованим прибутком у торговому портфелі банку - на суму
дооцінки
Кт 6203 Результат від торгових
операцій із цінними паперами в торговому портфелі банку
2 На суму дооцінки за борговими
цінними паперами
Дт Рахунки переоцінки боргових
цінних паперів у торговому портфелі банку (1405, 3015) - на суму дооцінки
Кт 6203 Результат від торгових
операцій із цінними паперами в торговому портфелі банку.
У разі зменшення ринкової вартості
цінних паперів у бухгалтерському обліку здійснюють такі проведення:
3 На суму уцінки за акціями та
іншими цінними паперами з нефіксованим прибутком
Дт 6203 Результат від торгових
операцій із цінними паперами в торговому портфелі банку
Кт 3007 Переоцінка акцій та інших
цінних паперів з нефіксованим прибутком у торговому портфелі банку - на суму
уцінки
4 На суму уцінки за борговими
цінними паперами
Дт 6203 Результат від торгових
операцій із цінними паперами в торговому портфелі банку
Кт Рахунки переоцінки боргових
цінних паперів у торговому портфелі банку (1405, 3015) - на суму уцінки.
За борговими цінними паперами з
фіксованим прибутком банк визнає процентні доходи. Від володіння цінними
паперами з невизначеним доходом банк отримує дивіденди.
Нарахування процентів за купонними
цінними паперами здійснюється, починаючи з дати придбання, за ставкою процента
купона і відображується в обліку такими бухгалтерськими проведеннями:
Дт Рахунки для обліку нарахованих
процентів за цінними паперами в торговому портфелі банку (1408, 3018)
Кт Рахунки для обліку процентних
доходів за цінними паперами у торговому портфелі банку (6056, 6057).
У разі надходження коштів на
погашення заборгованості за нарахованими процентами в бухгалтерському обліку
здійснюють такі проведення:
Дт Рахунки для обліку грошових
коштів та банківських металів, рахунки клієнтів
Кт Рахунки для обліку нарахованих
процентів (1408, 3018).
Нарахування доходу за акціями в
торговому портфелі банку у формі дивідендів здійснюється у звітному періоді,
коли емітентом прийнято рішення про їх виплату, і відображується в обліку таким
бухгалтерським проведенням:
Дт Рахунки для обліку нарахованих
доходів (3008)
Кт 6300 Дохід у формі дивідендів.
На суму отриманих дивідендів у
бухгалтерському обліку здійснюється таке проведення:
Дт Рахунки для обліку грошових
коштів та банківських металів, рахунки клієнтів
Кт Рахунки для обліку нарахованих
доходів (3008).
Амортизація дисконту за борговими
цінними паперами в торговому портфелі банку відображується в обліку одночасно з
нарахуванням процентів:
Дт Рахунки для обліку
неамортизованого дисконту (1406, 3016)
Кт Рахунки для обліку
процентних-доходів за цінними паперами у торговому портфелі банку (6056, 6057)
Амортизація премії за борговими
цінними паперами в торговому портфелі банку відображується:
Дт Рахунки для обліку процентних
доходів за цінними паперами у торговому портфелі банку (6056, 6057)
Кт Рахунки для обліку
неамортизованої премії (1407, 3017).
У разі реалізації цінних паперів із
торгового портфеля банку прибуток чи збиток (різниця між ціною реалізації та
балансовою вартістю) відображується банком-продавцем за відповідним аналітичним
рахунком 6203 "Результат від торгових операцій із цінними паперами в
торговому портфелі банку". При цьому банк-продавець на дату розрахунку
припиняє визнавати цінні папери і здійснює такі бухгалтерські проведення:
1 За акціями та іншими цінними
паперами з нефіксованим прибутком:
Дт Рахунки для обліку грошових
коштів, рахунки клієнтів
Дт/Кт Рахунки для обліку переоцінки
цінних паперів у торговому портфелі банку (3007)
Кт Рахунки для обліку цінних паперів
у торговому портфелі банку (3002, 3003, 3005)
Дт/Кт 6203 Результат від торгових
операцій із цінними паперами в торговому портфелі банку
2 За борговими цінними паперами:
Дт Рахунки грошових коштів та
банківських металів, рахунки клієнтів
Кт Рахунки для обліку нарахованих
доходів за цінними паперами у торговому портфелі банку - на суму нарахованих
доходів за цінними паперами, що реалізуються, до дати продажу
Кт Рахунки для обліку цінних паперів
у торговому портфелі банку (1400-1404, 3011-3014) - на суму номіналу
Дт/Кт Рахунки для обліку
неамортизованого дисконту/ премії за цінними паперами у торговому портфелі
банку (1406, 3016/1407, 3017) - на суму дисконту/премії Дт/Кт Рахунки для
обліку переоцінки цінних паперів у торговому портфелі банку (1405, 3015)
Дт/Кт 6203 Результат від торгових
операцій із цінними паперами в торговому портфелі банку
3 Комісійні витрати, здійснені під
час продажу акцій та інших цінних паперів із нефіксованим прибутком або
боргових цінних паперів, відображують таким бухгалтерським проведенням:
Дт 7103 Комісійні витрати за
операціями з цінними паперами
Кт Рахунки для обліку грошових
коштів, рахунки клієнтів.
2.3 Облік операцій цінних паперів у
портфелі банку на продаж
У портфелі цінних паперів на
продаж можна обліковувати акції, інші цінні папери з нефіксованим
прибутком та боргові цінні папери.
Придбані в портфель на продаж цінні
папери відображають за балансовими рахунками груп 141, 143, 310 та 311 Плану
рахунків (див. таблиці 2.11 та 2.12).
Таблиця 2.11 - Структура групи
рахунків, де обліковуються цінні папери з нефіксованим прибутком у портфелі
банку на продаж
|
Номери рахунків
|
Назва та характеристика рахунку
|
|
310 3102 3103 3105
|
Акції та інші цінні папери з нефіксованим
прибутком у портфелі банку на продаж А Акції та інші цінні папери з
нефіксованим прибутком, що випущені банками, у портфелі банку на продаж А
Акції та інші цінні папери з нефіксованим прибутком, що випущені
небанківськими фінансовими установами, у портфелі банку на продаж А Інші
акції та цінні папери з нефіксованим прибутком у портфелі банку на продаж
|
|
Призначення рахунків: облік інвестицій банку в
акції та інші цінні папери з нефіксованим прибутком у тому числі інвестицій,
що не оформлені цінними паперами, у портфелі банку на продаж. За дебетом
рахунків проводять суми цінних паперів та інвестицій, що не оформлені цінними
паперами, які придбані або переведені з інших портфелів банку За кредитом
рахунків проводять суми цінних паперів та інвестицій, що не оформлені цінними
паперами, у разі їх продажу або переведення до інших портфелів банку.
|
Таблиця 2.12 - Структура групи
рахунків, де обліковують боргові цінні папери в портфелі банку на продаж
|
Номери рахунків
|
Назва та характеристика рахунку
|
|
141 1410 1411 1412 1413 1414
|
Боргові цінні папери, що рефінансуються
Національним банком України, у портфелі банку на продаж А Облігації
внутрішньої державної позики,що рефінансуються Національним банком України, у
портфелі банку на продаж А Облігації зовнішньої державної позики, що
рефінансуються Національним банком України, у портфелі банку на продаж А
Боргові цінні папери органів державної влади та місцевого самоврядування, що
рефінансуються Національним банком України, у портфелі банку на продаж А
Боргові цінні папери, випущені банками та небанківськими фінансовими
установами, що рефінансуються Національним банком України, у портфелі банку
на продаж А Боргові цінні папери нефінансових підприємств, що рефінансуються
Національним банком України, у портфелі банку на продаж
|
|
143 1430
|
Боргові цінні папери, емітовані Національним
банком України, у портфелі банку на продаж А Боргові цінні папери, емітовані
Національним банком України, у портфелі банку на продаж
|
|
311 3110 3111 3112 3113 3114
|
Боргові цінні папери в портфелі банку на
продаж А Боргові цінні папери органів державної влади в портфелі банку на
продаж А Боргові цінні папери органів місцевого самоврядування в портфелі
банку на продаж А Боргові цінні папери, випущені банками, у портфелі банку на
продаж А Боргові цінні папери, випущені небанківськими фінансовими
установами, у портфелі банку на продаж А Боргові цінні папери нефінансових
підприємств у портфелі банку на продаж
|
|
Призначення рахунків: облік номінальної
вартості боргових цінних паперів у портфелі банку на продаж. За дебетом
рахунків проводять суми номінальної вартості цінних паперів, що придбані або
переведені з інших портфелів банку. За кредитом рахунків проводять суми
номінальної вартості цінних паперів, що продані, погашені або переведені до
інших портфелів банку.
|
Аналітичний облік цінних паперів за
балансовими рахунками груп 141, 143, 310 та 311 ведеться в розрізі їх емітентів
та випусків. Придбання цінних паперів у портфель на продаж на дату операції
обліковують за загальними правилами на позабалансових рахунках.
Придбані акції та інші цінні папери
з нефіксованим прибутком на дату розрахунку відображають за балансовими
рахунками таким бухгалтерським проведенням:
Дт Рахунки з обліку цінних паперів
(3102, 3103, 3105)
Кт Рахунки грошових коштів, поточні
рахунки - на суму придбання (собівартості).
Витрати на операції, пов'язані з
придбанням боргових цінних паперів у портфель на продаж, відображають за
рахунками з обліку дисконту (премії) під час первинного визнання цих цінних
паперів. У разі придбання боргових цінних паперів із дисконтом на дату
розрахунку здійснюють такі бухгалтерські проведення:
Дт Рахунки для обліку цінних паперів
(1410, 1411, 1412, 1413,1414, 1430, 3110, 3111, 3112, 3113, 3114) - на суму
номіналу
Кт Рахунки неамортизованого дисконту
(1416, 1436, 3116) - на суму дисконту
Кт Рахунки грошових коштів, поточні
рахунки - на суму придбання (собівартості).
Якщо боргові цінні папери придбані з
премією на дату розрахунку: Дт Рахунки для обліку цінних паперів (1410, 1411,
1412, 1413,1414, 1430, 3110, 3111, 3112, 3113, 3114) - на суму номіналу
Дт Рахунки неамортизованої премії
(1417, 1437, 3117) - на суму премії
Кт Рахунки грошових коштів, поточні
рахунки - на суму придбання (собівартості).
У разі придбання банком купонного
цінного папера з накопиченими процентами на дату розрахунку в бухгалтерському
обліку здійснюють такі проведення:
Дт Рахунки для обліку цінних
паперів - на суму номіналу
Дт Рахунки накопичених процентів
(1418, 1438, 3118) - на суму накопичених процентів
Дт/Кт Рахунки
неамортизованих дисконту/премії (1416, 1436, 3116/1417, 1437,3117) - на суму
дисконту/премії
Кт Рахунки грошових коштів,
поточні рахунки - на суму придбання з урахуванням накопичених процентів.
За борговими цінними паперами в
портфелі банку на продаж банк визнає процентні доходи, у тому числі процентні
доходи у формі амортизації дисконту (премії). Від володіння цінними паперами з
невизначеним доходом банк отримує дивіденди. Дохід за борговими цінними
паперами визнається аналогічно торговому портфелю цінних паперів.
Нарахування процентів за купонними
цінними паперами здійснюється, починаючи з дати придбання, за ставкою процента
купона і відображується в обліку:
Дт Рахунки для обліку нарахованих
процентів за цінними паперами в портфелі банку на продаж (1418, 1438, 3118)
Кт Рахунки для обліку процентних
доходів за цінними паперами в портфелі банку на продаж (6050, 6052, 6054).
У разі надходження коштів на
погашення заборгованості за нарахованими процентами в бухгалтерському обліку
здійснюють такі проведення:
Дт Рахунки для обліку грошових
коштів, рахунки клієнтів
Кт Рахунки для обліку нарахованих
процентів (1418,1438,3118).
Амортизація дисконту за борговими
цінними паперами в портфелі банку на продаж:
Дт Рахунки для обліку
неамортизованого дисконту (1416, 1436, 3116)
Кт Рахунки для обліку процентних
доходів за цінними паперами в портфелі банку на продаж (6050, 6052, 6054).
Амортизація премії за борговими
цінними паперами в портфелі банку на продаж впливає негативно на доходи та
зменшує їх:
Дт Рахунки для обліку процентних
доходів за цінними паперами в портфелі банку на продаж (6050, 6052, 6054)
Кт Рахунки для обліку
неамортизованої премії (1417, 1437, 3117).
Нарахування доходу за акціями в
портфелі банку на продаж у формі дивідендів здійснюється у звітному періоді,
коли емітентом прийнято рішення про їх виплату, і відображується в обліку
аналогічно до торгового портфеля:
Дт Рахунки для обліку нарахованих
доходів (3108)
Кт 6300 Дохід у формі дивідендів.
На суму отриманих дивідендів у
бухгалтерському обліку здійснюється таке проведення:
Дт Рахунки для обліку грошових
коштів, рахунки клієнтів
Кт Рахунки для обліку нарахованих
доходів (3108).
Цінні папери в портфелі банку на
продаж, які обліковуються за справедливою вартістю, підлягають переоцінці.
Обов'язково на дату балансу результат переоцінки відображають у капіталі за
аналітичним рахунком балансового рахунку 5102 "Результати переоцінки
цінних паперів у портфелі банку на продаж" на суму різниці між справедливою
вартістю цінного папера і його балансовою вартістю, визначеною на дату
переоцінки.
У разі збільшення їх справедливої
вартості в бухгалтерському обліку відображається:
Дооцінка акцій:
Дт Рахунки для обліку переоцінки
цінних паперів у портфелі банку на продаж (3107)
Кт 5102 Результати переоцінки цінних
паперів у портфелі банку на продаж - на суму дооцінки
Дооцінка боргових цінних
паперів:
Дт Рахунки для обліку переоцінки
цінних паперів у портфелі банку на продаж (1415,1435, 3115)
Кт 5102 Результати переоцінки цінних
паперів у портфелі банку на продаж - на суму дооцінки
3 Уцінка акцій у разі зменшення
їхньої справедливої вартості
Дт 5102 Результати переоцінки цінних
паперів у портфелі банку на продаж - на суму уцінки
Кт Рахунки для обліку переоцінки
цінних паперів у портфелі банку на продаж (3107).
Уцінка боргових цінних паперів у
разі зменшення їхньої справедливої вартості
Дт 5102 Результати переоцінки цінних
паперів у портфелі банку на продаж - на суму уцінки
Кт Рахунки для обліку переоцінки
цінних паперів у портфелі банку на продаж (1415, 1435, 3115).
Усі цінні папери в портфелі банку на
продаж на дату балансу підлягають перегляду на зменшення корисності. За акціями
та іншими цінними паперами з нефіксованим прибутком, які обліковують за
собівартістю, визначається сума втрат від зменшення корисності, яку
розраховують як різницю між їхньою балансовою вартістю та поточною вартістю
оцінених майбутніх грошових потоків, дисконтованих за поточною ринковою ставкою
доходу для подібного фінансового активу. Ця різниця визнається витратами
звітного періоду і відображається в бухгалтерському обліку таким проведенням:
Дт Рахунок витрат на формування
резерву (7703)
Кт Рахунок резервів під знецінення
цінних паперів у портфелі банку на продаж (3190).
Під час визнання зменшення
корисності за цінними паперами, що обліковуються в портфелі банку на продаж за
справедливою вартістю, сума уцінки, накопичена в капіталі на рахунку 5102
"Результати переоцінки цінних паперів у портфелі банку на продаж",
вилучається з капіталу і визнається в прибутках/збитках банку. У такому разі на
суму уцінки, що обліковувалася за рахунком 5102, здійснюється зворотне
бухгалтерське проведення:
Дт Рахунки переоцінки цінних паперів
(3107, 1435, 3115)
Кт Рахунок результатів переоцінки
(5102).
Одночасно на таку саму суму
формується резерв і відображається в обліку таким бухгалтерським проведенням:
Дт Рахунок витрат на формування
резерву (7703)
Кт Рахунки резервів під знецінення
цінних паперів в портфелі банку на продаж (1490, 3190).
Якщо за акціями та іншими цінними
паперами з нефіксованим прибутком визнано збиток від зменшення корисності, то в
разі збільшення в наступних періодах суми очікуваного відшкодування сума
сформованого резерву залишається незмінною.
Якщо в наступних періодах
відбувається збільшення справедливої вартості боргових цінних паперів у
портфелі на продаж, то на відповідну суму в межах раніше створеного резерву за
відповідними цінними паперами зменшується сума сформованого резерву і
відображається в бухгалтерському обліку зворотним проведенням:
Дт Рахунки резервів під знецінення
цінних паперів у портфелі банку на продаж (1490, 3190)
Кт Рахунок витрат на формування
резерву (7703).
Після повного сторнування суми
сформованого резерву надалі збільшення справедливої вартості боргових цінних
паперів відображається в обліку згідно із загальними правилами.
У разі списання знецінених цінних
паперів за рахунок резерву в бухгалтерському обліку здійснюють такі проведення:
1 За акціями та іншими цінними
паперами з нефіксованим прибутком:
Дт Рахунок резервів під знецінення
цінних паперів у портфелі банку на продаж (3190)
Кт Рахунки з обліку цінних паперів
(3102, 3103, 3105)
2 За борговими цінними паперами:
Дт Рахунки резервів під знецінення
цінних паперів у портфелі банку на продаж (1490, 1492, 3190, 3191)
Кт Рахунки з обліку цінних паперів
(1410-1414, 3111-3114) - на суму номіналу
Дт/Кт Рахунки 1416, 3116/1417, 3117
- на суму неамортизованого дисконту/премії
Кт Рахунки 1418,1419, 3118, 3119 -
на суму нарахованих (прострочених нарахованих) доходів.
Якщо резерв під знецінення цінних
паперів сформований не в повній сумі, то здійснюється його доформування.
Списані за рахунок резервів цінні
папери обліковують за позабалансовими рахунками:
Дт Рахунок списаної у збиток
заборгованості за цінними паперами (9613)
Кт Контррахунок 991.
Одночасно на суму списаної
заборгованості за нарахованими доходами за позабалансовими рахунками здійснюють
такі бухгалтерські проведення:
Дт Рахунки списаної за рахунок
спеціальних резервів заборгованості за нарахованими доходами (9600, 9601)
Кт Контррахунок 991.
У разі надходження коштів за цінними
паперами, що списані банком за рахунок резервів, у бухгалтерському обліку
здійснюють проведення:
Дт Рахунки для обліку грошових
коштів, рахунки клієнтів
Кт Рахунки 7703 Відрахування в
резерви під знецінення цінних паперів у портфелі банку на продаж, 7720
Відрахування в резерви під заборгованість за нарахованими доходами - якщо цінні
папери були списані протягом поточного року
Кт 6713 Повернення раніше списаної
безнадійної заборгованості від знецінення цінних паперів, 6717 Повернення
раніше списаних безнадійних доходів минулих років - якщо цінні папери були
списані протягом попередніх років.
3 Одночасно на суму виконаних
емітентом зобов'язань за позабалансовими рахунками здійснюють такі бухгалтерські
проведення:
Дт Контррахунок
Кт 9613 Списана у збиток
заборгованість за операціями з цінними паперами
Кт 960 Не сплачені в строк доходи.
Щодо безнадійної заборгованості за
цінними паперами та нарахованими на них доходами, яка списана за рахунок
резерву, виконують аналогічні бухгалтерські проведення після закінчення строку
позовної давності або в інших випадках, передбачених чинним законодавством
України.
У разі реалізації (продажу) акцій та
інших цінних паперів із нефіксованим прибутком, які обліковувалися в портфелі
на продаж за справедливою вартістю, на дату розрахунку банк-продавець на суму
переоцінки, яка була визнана в капіталі, здійснює такі зворотні бухгалтерські
проведення:
1 У разі наявності уцінки:
Дт 3107 Переоцінка акцій та інших
цінних паперів із нефіксованим прибутком у портфелі банку на продаж
Кт 5102 Результати переоцінки цінних
паперів у портфелі банку на продаж
2 У разі наявності дооцінки:
Дт 5102 Результати переоцінки цінних
паперів у портфелі банку на продаж
Кт 3107 Переоцінка акцій та інших
цінних паперів із нефіксованим прибутком у портфелі банку на продаж
Якщо за акціями та іншими
цінними паперами з нефіксованим прибутком, що продаються, були створені
резерви, то на дату розрахунку на суму раніше сформованих резервів:
Дт 3190 Резерви під знецінення
цінних паперів у портфелі банку на продаж
Кт 7703 Результати переоцінки цінних
паперів у портфелі банку на продаж
4 Реалізація акцій та інших цінних
паперів із нефіксованим прибутком з портфеля банку на продаж на дату
розрахунку:
Дт Рахунки для обліку
грошових коштів, поточні рахунки
Кт Рахунки для обліку
цінних паперів (3102, 3103, 3105)
Кт/Дт 6393 Результат від
продажу цінних паперів з портфеля банку на продаж - на різницю між вартістю
реалізації та балансовою вартістю цінних паперів, що реалізовуються.
Відображення в бухгалтерському
обліку продажу боргових цінних паперів на дату розрахунку здійснюється
проведеннями:
Дт Рахунки для обліку
грошових коштів, рахунки клієнтів
Кт Рахунки для обліку цінних
паперів (1410-1414, 1430,3110-3114) - на номінальну суму
Дт/Кт Рахунки неамортизованих
дисконту/премії (1416, 1436, 3116/1417, 1437, 3117) - на суму неамортизованого
дисконту/премії
Кт Рахунки для обліку
нарахованих доходів (1418,1438,3118, 1419, 3119) - на суму нарахованих доходів
(прострочених нарахованих доходів) за цінними паперами, що реалізовуються
Кт/Дт 6393 Результат від продажу
цінних паперів з портфеля банку на продаж - на суму різниці між вартістю
реалізації та балансовою вартістю цінних паперів, що реалізовуються.
Під час реалізації (продажу)
боргових цінних паперів з портфеля на продаж банк-продавець на дату розрахунку
одночасно з попередніми проведеннями здійснює такі зворотні бухгалтерські
проведення:
1 У разі наявності уцінки:
Дт 1415,1435,3115
Кт 5102 Результати переоцінки цінних
паперів у портфелі банку на продаж
2 У разі наявності дооцінки:
Дт 5102 Результати переоцінки цінних
паперів у портфелі банку на продаж
Кт 1415,1435,3115
3 У разі наявності резерву під
цінні папери:
Дт 1490 Резерви під знецінення
боргових цінних паперів, що рефінансуються НБУ, у портфелі банку на продаж,
3190 Резерви під знецінення цінних паперів у портфелі банку на продаж
Кт 7703 Відрахування в резерви під
знецінення цінних паперів у портфелі банку на продаж.
4 У разі наявності резерву під
нараховані доходи
Дт 1492 Резерви під заборгованість
за нарахованими доходами за борговими цінними паперами, що рефінансуються НБУ,
в портфелі банку на продаж, 3191 Резерви під заборгованість за нарахованими
доходами за борговими цінними паперами в портфелі банку на продаж
Кт 7720 Відрахування в резерви під
заборгованість за нарахованими доходами.
Цінні папери з портфеля банку на
продаж можуть бути переведені в портфель до погашення в разі закінчення строку,
протягом якого банк був позбавлений права формувати портфель до погашення.
2.4 Особливості обліку цінних
паперів у портфелі до погашення та інвестицій в асоційовані і дочірні компанії
У портфелі до погашення обліковують
придбані боргові цінні папери з фіксованими платежами або з платежами, які
можна визначити, а також із визначеним терміном погашення. Боргові цінні папери
належать до портфеля до погашення, якщо банк має намір та змогу утримувати їх
до терміну погашення з метою отримання процентного доходу.
Згідно з чинними правилами банк не
повинен первинно визнавати цінні папери в портфелі до погашення, якщо:
- немає фінансових ресурсів для
фінансування цінних паперів до погашення;
- є юридичне або інше
обмеження, яке може перешкодити намірові банку утримувати цінні папери до
погашення;
- протягом поточного
фінансового року або протягом двох попередніх фінансових років банк продав до
дати погашення значну суму інвестицій порівняно із загальною сумою інвестицій,
утримуваних до погашення.
Банк не повинен визнавати цінні
папери як утримувані до погашення, якщо:
- має намір утримувати цінні
папери протягом невизначеного часу;
- готовий продати їх
у разі змін ринкових ставок відсотка, ризиків, потреб ліквідності;
- умови випуску
безстрокових боргових цінних паперів передбачають сплату відсотків протягом
невизначеного часу (тобто немає фіксованого строку погашення);
- емітент має право
погасити цінні папери сумою, значно меншою, ніж їхня амортизована собівартість.
Цінні папери, за якими емітент
передбачає дострокове погашення, можуть бути визнані в портфелі до погашення,
якщо банк має намір і змогу утримувати їх до строку погашення.
Боргові цінні папери в портфелі до
погашення обліковують на рахунках 1-го та 3 класів Плану рахунків (таблиця
2.13). Структура груп рахунків з обліку цінних паперів у портфелі до
погашення аналогічна до інших портфелів.
Придбані боргові цінні папери
первинно оцінюють і відображують у бухгалтерському обліку за собівартістю (у
розрізі таких складових: номінальна вартість, дисконт або премія, сума
накопичених процентів на дату придбання). Комісійні витрати та інші витрати,
пов'язані з придбанням боргових цінних паперів, збільшують суму премії
(дисконту) на дату їх придбання.
Відображення в бухгалтерському
обліку операцій із придбання, нарахування доходів за борговими цінними паперами
в портфелі до погашення здійснюється аналогічно до порядку обліку вказаних
операцій за цінними паперами в портфелі на продаж.
Таблиця 2.13 - Структура групи
рахунків, де обліковують боргові цінні папери в портфелі банку до погашення
|
Номери рахунків
|
Назва та характеристика рахунку
|
|
142 1420 1421 1422 1423 1424 144 1440
321 3210 3211 3212 3213 3214
|
Боргові цінні папери, що рефінансуються
Національним банком України, у портфелі банку до погашення А Облігації
внутрішньої державної позики, що рефінансуються Національним банком України,
у портфелі банку до погашення А Облігації зовнішньої державної позики, що
рефінансуються Національним банком України, у портфелі банку до погашенні А
Боргові цінні папери органів державної влади та місцевого самоврядування, що
рефінансуються Національним банком України, у портфелі банку до погашення А
Боргові цінні папери, випущені банками та небанківськими фінансовими
установами, що рефінансуються Національним банком України, у портфелі банку
до погашення А Боргові цінні папери нефінансових підприємств, що
рефінансуються Національним банком України, у портфелі банку до погашення
Боргові цінні папери, емітовані Національним банком України, у портфелі банку
до погашення А Боргові цінні папери, емітовані Національним банком України, у
портфелі банку до погашення Боргові цінні папери в портфелі банку до
погашення А Боргові цінні папери органів державної влади в портфелі банку до
погашення А Боргові цінні папери органів місцевого самоврядування в портфелі
банку до погашення А Боргові цінні папери, випущені банками, у портфелі банку
до погашення А Боргові цінні папери, випущені небанківськими фінансовими
установами, у портфелі банку до погашення А Боргові цінні папери нефінансових
підприємств у портфелі банку до погашення
|
|
Призначення рахунків: облік номінальної
вартості боргових цінних паперів у портфелі банку до погашення За дебетом
рахунку проводять суми номінальної вартості цінних паперів, що придбані або
переведені з іншого портфеля банку За кредитом рахунку проводять суми
номінальної вартості цінних паперів,
що погашені або переведені до іншого портфеля банку
|
На дату балансу боргові цінні папери
в портфелі до погашення відображують за амортизованою собівартістю із
застосуванням методу ефективної ставки процента. Також банк повинен на дату
балансу визначати втрати від зменшення корисності боргових цінних паперів.
Банк постійно на дату балансу має
оцінювати свій намір та здатність утримувати цінні папери до погашення.
Переведення цінних паперів із портфеля до погашення до портфеля на продаж
можливе, якщо в банку виник сумнів щодо здатності утримувати цінні папери до
терміну погашення, і це було пов'язано, зокрема:
- з погіршенням
кредитоспроможності емітента;
- зміною податкового
законодавства;
- об'єднанням або
ліквідацією банку;
- зміною законодавства
та регулятивних вимог;
- зміною вимог до
капіталу;
- збільшенням
ризиків.
Під час погашення боргових цінних
паперів емітент сплачує номінальну вартість цінних паперів, а також проценти
(за купонними цінними паперами) за період між датою останньої сплати купона та
датою погашення. Облік нарахованих доходів за цінними паперами в портфелі банку
до погашення здійснюється аналогічно бухгалтерському обліку нарахованих доходів
за борговими цінними паперами в портфелі на продаж. На дату погашення цінних
паперів сума дисконту (премії) має бути повністю амортизована.
У разі настання строку погашення
цінних паперіву бухгалтерському обліку здійснюються такі проведення:
Дт Рахунки для обліку грошових
коштів, поточний рахунок (емітента).
Кт Рахунки для обліку цінних паперів
у портфелі до погашення (1420-1424, 1440, 3210-3214) - на номінальну вартість
цінних паперів
Кт Рахунки для обліку нарахованих
доходів за цінними паперами в портфелі до погашення (1428, 1448, 3218) - на
суму нарахованих процентів.
Якщо за погашеними цінними паперами
раніше було сформовано резерв під зменшення їхньої корисності, то здійснюють
такі бухгалтерські проведення:
Дт Рахунки для обліку резервів під
знецінення цінних паперів у
портфелі до погашення (1491, 3290)
Кт Рахунки для обліку відрахувань у спеціальні резерви (7704)
зменшення суми сформованого резерву.
У разі непогашення в термін цінних
паперів або процентів за ними банк зобов'язаний визнавати за такими цінними
паперами зменшення корисності. Боргові цінні папери, що не погашені у визначений
емітентом термін, обліковують за окремими аналітичними рахунками балансових
рахунків з обліку цінних паперів.разі необхідності продажу значної суми
інвестицій, утриму-_.аіх до погашення, цінні папери з портфеля банку до
погашення мають бути переведені в портфель на продаж. У такому разі банк має
анулювати портфель до погашення шляхом переведення залишку інвестицій у
портфель на продаж.
Не є порушенням намірів утримувати
портфель до погашення, якщо продаж цінних паперів з портфеля до погашення був
здійснений у таких випадках:
- не більше ніж за три місяці до
дати погашення;
- після того, як
отримано в основному всю початкову вартість фінансової інвестиції у формі
планових платежів або передоплати;
- значного погіршення
кредитоспроможності емітента;
- реорганізації
емітента;
- змін законодавчих
або регулятивних вимог;
- значного підвищення
регулятивних вимог до капіталу;
- у зв'язку з
непередбаченою подією, яка відбулася з незалежних від банку причин, яка не
повторюється і стосовно якої є докази, що банк не мав змоги її спрогнозувати.
До інвестицій в асоційовані та
дочірні компанії належать акції та інші цінні папери з нефіксованим прибутком
емітентів, які відповідають визначенням асоційованої або дочірньої компанії
банку, за винятком таких цінних паперів, що придбані та утримуються виключно
для продажу протягом 12 місяців із дати придбання.
Інвестиції в асоційовані та дочірні
компанії первинно оцінюють і відображають у бухгалтерському обліку за
собівартістю. Витрати на операції, пов'язані з придбанням інвестиції,
збільшують суму такої інвестиції на дату її придбання.
Інвестиції в асоційовані компанії
обліковують за методом участі в капіталі.
За інвестиціями в дочірні компанії,
облік яких здійснюється за собівартістю з урахуванням зменшення корисності,
інвестор складає консолідовану фінансову звітність.
Якщо вартість придбання інвестиції в
асоційовані та дочірні компанії перевищує частку банку-інвестора в справедливій
вартості чистих активів (придбаних ідентифікованих активів і зобов'язань) на
дату придбання, то виникає гудвіл. Гудвіл обліковується як складова вартості
інвестиції та оцінюється за собівартістю з урахуванням зменшення корисності.
Банк має щорічно здійснювати перевірку гудвілу на зменшення корисності.
Якщо частка банку в справедливій
вартості придбаних чистих активів (придбаних ідентифікованих активів і
зобов'язань) перевищує вартість придбання інвестиції в асоційовані та дочірні
компанії на дату придбання, то виникає негативний гудвіл. За наявності
негативного гудвілу банк має перевірити ідентифікацію та оцінку ідентифікованих
активів і зобов'язань та оцінку вартості придбання. Негативний гудвіл у повній
сумі має бути визнаний доходом під час первинного визнання інвестиції.
Інвестиції в асоційовані компанії
можуть бути переведені:
- в інвестиції в дочірні
компанії;
- у портфель на
продаж.
Інвестиції в дочірні компанії можуть
бути переведені:
- в інвестиції в асоційовані
компанії;
- у портфель на
продаж.
Інвестиції в асоційовані та дочірні
компанії відображають у бухгалтерському обліку відповідно за рахунками розділів
41 і 42 Плану рахунків:
Інвестиції в асоційовані компанії
- 4102 А Інвестиції в
асоційовані банки
- 4103 А Інвестиції в
асоційовані небанківські фінансові установи
- 4105 А Інвестиції в
інші асоційовані компанії
Інвестиції в дочірні компанії
- 4202 А Інвестиції в
дочірні банки
- 4203А Інвестиції в
дочірні небанківські фінансові установи
- 4205 А Інвестиції в
інші дочірні компанії
На дату отримання суттєвого впливу
(контролю) здійснені інвестиції в асоційовані та дочірні компанії відображають
у бухгалтерському обліку таким проведенням:
Дт Рахунки для обліку інвестицій
(4102,4103,4105,4202,4203,4205)
Якщо під час здійснення інвестицій
виникає негативний гудвіл, то в бухгалтерському обліку здійснюють такі
проведення:
Дт Рахунки для обліку інвестицій
(4102,4103,4105,4202,4203,4205) Кт Рахунки для обліку грошових коштів, поточні
рахунки - на суму вартості придбання
Кт 6310 Дохід від інвестицій в
асоційовані компанії, 6311 Дохід від інвестицій у дочірні компанії - на суму
різниці між вартістю придбання і часткою інвестора в справедливій вартості
ідентифікованих активів і зобов'язань.
За методом участі в капіталі
інвестиції відображають у річній фінансовій звітності банку за вартістю, що
визначається з урахуванням зміни загальної величини власного капіталу емітента,
крім тих, що є результатом операцій між банком і емітентом цінних паперів.
Інвестиції в асоційовані компанії обліковують за методом участі в капіталі, починаючи
з останнього дня місяця, в якому об'єкт інвестування відповідає критеріям
асоційованої компанії.
Застосування методу участі в
капіталі для обліку фінансових інвестицій припиняється з останнього дня місяця,
в якому об'єкт інвестування не відповідає критеріям асоційованої компанії.
Балансова вартість фінансових інвестицій збільшується (зменшується) на суму, що
є часткою банку в чистому прибутку (збитку) асоційованої компанії за звітний
період, із включенням цієї суми до складу доходу (втрат) банку від участі в
капіталі.
Визнання частки банку в чистому
прибутку (збитку) емітента відображається бухгалтерськими проведеннями:
- у разі збільшення балансової
вартості фінансової інвестиції:
Дт Рахунки інвестицій в асоційовані
компанії (4102, 4103, 4105)
Кт 6310 Дохід від інвестицій в
асоційовані компанії;
- у разі зменшення балансової
вартості фінансової інвестиції:
Дт 7310 Витрати від інвестицій в
асоційовані компанії
Кт Рахунки інвестицій в асоційовані
компанії (4102,4103,4105).
Балансова вартість фінансових
інвестицій збільшується (зменшується) на частку банку в сумі зміни загальної
величини власного капіталу емітента за звітний період (крім змін за рахунок
чистого прибутку (збитку) за звітний період) із включенням (виключенням) цієї
суми до іншого додаткового капіталу банку.
Визнання змін у власному капіталі
емітента відображається такими бухгалтерськими проведеннями:
- у разі збільшення вартості
фінансових інвестицій у зв'язку із збільшенням власного капіталу об'єкта
інвестування:
Дт Рахунки інвестицій в асоційовані
компанії (4102, 4103, 4105)
Кт 5103 Результати переоцінки
інвестицій в асоційовані компанії;
- у разі зменшення вартості
фінансових інвестицій у зв'язку із зменшенням власного капіталу об'єкта
інвестування:
Дт 5103 Результати переоцінки інвестицій
в асоційовані компанії
Кт Рахунки інвестицій в асоційовані
компанії (4102,4103,4105).
Якщо сума зменшення частки банку у
власному капіталі об'єкта інвестування більша від залишку за рахунком 5103
"Результати переоцінки інвестицій в асоційовані компанії", то таку
різницю списують за рахунок нерозподілених прибутків попередніх років.
Зменшення балансової вартості фінансових інвестицій в асоційовані компанії
відображається в бухгалтерському обліку лише на суму, що не призводить до
від'ємного значення вартості фінансових інвестицій. Фінансові інвестиції, що
внаслідок зменшення їхньої балансової вартості досягають нульової вартості,
відображають у бухгалтерському обліку
за нульовою вартістю. Балансова
вартість інвестицій в асоційовані компанії, які обліковують за методом участі в
капіталі, зменшується на суму визнаних дивідендів від об'єкта інвестування.
Отримання дивідендів відображається
таким бухгалтерським проведенням:
Дт Рахунки для обліку грошових
коштів, рахунки клієнтів
Кт Рахунки інвестицій в асоційовані
компанії (4102, 4103, 4105) - на суму отриманих дивідендів.
Нарахування доходу у формі
дивідендів за інвестиціями банку в дочірні компанії, які обліковують за
собівартістю, здійснюється, якщо визнано право на отримання платежу, і
відображається в обліку:
Дт 4208 Нараховані доходи за
інвестиціями в дочірні компанії
Кт 6300 Дохід у формі дивідендів.
На суму отриманих дивідендів у
бухгалтерському обліку здійснюється таке проведення:
Дт Рахунки для обліку грошових
коштів, рахунки клієнтів
Кт 4208 Нараховані доходи за
інвестиціями в дочірні компанії.
Визнання зменшення корисності
інвестицій в асоційовані і дочірні компанії (у тому числі гудвілу)
відображається в обліку як витрати на рахунках 7-го класу:
Дт Рахунки втрат від інвестицій
(7310, 7311)
Кт Рахунки інвестицій (4102, 4103,
4105, 4202, 4203, 4205).
У разі продажу інвестицій в
асоційовані та дочірні компанії їх переводять у портфель цінних паперів на
продаж.
Розглянувши порядок здійснення
обліку інвестиційних операцій ПАТ "МЕГАБАНК", можна дійти висновку,
що в своїх обліковій діяльності Банк дотримується вимог чинного законодавства.
3.
АНАЛІЗ ФІНАНСОВИХ ІНВЕСТИЦІЙ КОМЕРЦІЙНОГО БАНКУ
3.1 Аналіз динаміки і
структури операцій банку з цінними паперами
Аналіз структури
операцій банку з цінними паперами доцільно проводити як у розрізі аналізу
структури портфеля на певну дату, так і розглядаючи в динаміці зміну структури.
Розглянемо узагальнену
інформацію щодо стану портфеля, яку банки щомісячно подають до Національного
банку України (форма № 391 фінансової та статистичної звітності). Усю
інформацію за рік для зручності наведемо в національній грошовій одиниці
України тільки за основними блоками, дещо перегрупуємо, виберемо за звітний
період лише квартальні дати окремо за портфелем на продаж та портфелем на
інвестиції (таблиця 3.1).
Таблиця
3.1 - Інформація щодо стану портфеля цінних паперів банку протягом 2011 р.,
тис.грн.
|
Показник
|
на 01.01.11
|
на 01.04.11
|
на 01.07.11
|
на 01.10.11
|
|
Цінні папери на продаж, усього:
|
3635
|
4262
|
4014
|
5920
|
|
державні цінні папери
|
0
|
0
|
0
|
0
|
|
бортові цінні папери, випущені
банками
|
0
|
0
|
2150
|
234
|
|
боргові цінні папери небанківських
установ, у т.ч.:
|
3550
|
4200
|
1850
|
5620
|
|
векселі
|
3550
|
3450
|
650
|
515
|
|
акції, випущені банками
|
0
|
0
|
0
|
0
|
|
акції небанківських установ
|
85
|
62
|
14
|
66
|
|
Цінні папери на інвестиції,
усього:
|
1865
|
2145
|
3687
|
3787
|
|
державні цінні папери
|
1200
|
1200
|
972
|
972
|
|
боргові цінні папери, випущені
банками
|
0
|
0
|
1000
|
0
|
|
боргові цінні папери небанківських
установ, у т.ч.:
|
200
|
480
|
1300
|
2400
|
|
векселі
|
200
|
180
|
180
|
200
|
|
акції, випущені банками
|
30
|
30
|
30
|
30
|
|
акції небанківських установ
|
340
|
340
|
290
|
290
|
|
Вкладений в асоційовані компанії
|
15
|
15
|
95
|
95
|
|
Вкладення в дочірні компанії
|
80
|
80
|
0
|
0
|
Як
видно з таблиці 3.1, у банку портфель цінних паперів па продаж за обсягами
перевищує портфель цінних паперів на інвестиції, практично щокварталу обсяги
портфелів зростають. Частка державних цінних паперів у портфелі на інвестиції
зменшується, проте зростає частка боргових цінних паперів недержавних установ
(банків та небанківських установ). Це пояснюється широким виходом на фондовий
ринок корпоративних облігацій, які поступово витісняють з портфеля па продаж
такий борговий інструмент, як вексель. Оскільки вкладення в акції інших банків
зменшують регулятивний капітал банку, акції, випущені банками, становлять
незначну частину портфелів. Обсяг акцій, які входять до портфеля на продаж,
обмежено лімітами, котрі, як правило, встановлює банк для проведення
спекулятивних операцій. Додатковою причиною невеликого обсягу портфелю акцій є
жорсткі вимоги Національного банку України щодо їх резервування, що зменшує
привабливість такого фондового інструменту для банку. Балансова вартість акцій
у портфелі на інвестиції майже не змінюється, оскільки ними оформлена участь
банку в акціонерних товариствах, у діяльності яких зацікавлений банк (лізингова
компанія, страхове товариство). Частина такої участі обліковується в складі
асоційованих та дочірніх компаній (пенсійний фонд, консалтингова компанія).
Рейтинг найкращих торгівців цінними паперами за ІІІ квартал 2011 року наведено
в таблиці 3.2.
Таблиця 3.2 - Рейтинг
найкращих торговців цінними паперами
|
Скорочена назва
|
ІІІ квартал 2011 р.
|
IІ квартал 2011 р.
|
|
Індекс 1
|
Індекс 2
|
Індекс 3
|
Індекс 4
|
Заг. індекс
|
Місце у рейтингу
|
Заг. індекс
|
Місце у рейтингу
|
|
КБ "Приватбанк"
|
995
|
996
|
999
|
988
|
3978
|
1
|
3984
|
1
|
|
"Райффайзен Банк Аваль"
|
997
|
992
|
996
|
993
|
3978
|
2
|
3914
|
5
|
|
АКБ "Форум"
|
984
|
968
|
982
|
966
|
3900
|
5
|
3793
|
13
|
|
Ощадбанк
|
938
|
960
|
930
|
961
|
3789
|
16
|
3924
|
4
|
|
АБ "Зевс"
|
996
|
891
|
995
|
889
|
3771
|
20
|
3742
|
19
|
|
АКБ "Мрія"
|
974
|
912
|
971
|
902
|
3759
|
22
|
3724
|
22
|
|
Промінвестбанк
|
944
|
932
|
942
|
936
|
3754
|
23
|
3739
|
20
|
|
Укрсоцбанк
|
990
|
887
|
989
|
887
|
3753
|
24
|
3931
|
3
|
За даними Національної
комісії із цінних паперів та фондового ринку (НКЦПФР), нині в Україні
функціонує близько 65,5 тисячі суб’єктів підприємницької діяльності акціонерної
форми власності. Сумарний обсяг емісії акцій, зареєстрованих НКЦПФР, за станом
на 31.12.2011 рік збільшився порівняно з 2010 на 3,53 млрд. грн. і становив
24,815 млрд. грн. Серед емітентів найбільша питома вага припадає на
підприємства ПАТ і лише друге місце посідають банки. Також можна сказати, що із
загального обсягу випущених у обіг акцій усього 21 % припадає на реально
залучені кошти, які можна інвестувати у виробництво, решта 79 % - це кошти від
емісії при здійснені корпоратизації, акціонування державних підприємств і
збільшення статутного фонду підприємств у разі індексації основних фондів.
Для прикладу, наведемо
перелік емітентів, за якими зареєстровано найбільші випуски акцій протягом 2011
року, що представленні в таблиці 3.3.
Таблиця
3.3 - Перелік емітентів, яким зареєстровано Комісією з цінних паперів найбільші
випуски акцій протягом 2011 року
|
Організаційно-правова форма
|
Назва емітента
|
Обсяг емісії,
млн. грн.
|
|
ПАТ
|
"Криворізький залізорудний
комбінат"
|
1250,46
|
|
ПАТ
|
"Райффайзен Банк Аваль"
|
495,00
|
|
ПАТ
|
Комерційний банк
"ПриватБанк"
|
430,00
|
|
ПАТ
|
"Екомобіль"
|
360,00
|
|
ПАТ
|
"ДніпроАЗОТ"
|
350,00
|
На
останню звітну дату за рахунками аналітичного обліку є можливість
проаналізувати структуру складових портфеля (в розрізі емітентів, їх
надійності, їх відношення до пов'язаних осіб банку, диверсифікації портфелів,
нарахованих процентних доходів та дивідендів, співвідношення балансових та
ринкових цін цінних паперів та за рядом інших показників). Так, у портфелі
банку на продаж, усі боргові цінні папери, випущені банками, належать одному
емітенту, серед боргових цінних паперів небанківських цінних паперів понад 90 %
становлять облігації і лише менше 10 % - векселі. У свою чергу, портфель
облігацій підприємств диверсифіковано у вкладення чотирьох емітентів. Більш
детально структура вкладень банку в облігації підприємств наведена в таблиця
3.4.
Таблиця
3.4 - Вкладення банку на 1 жовтня 2011 р., в облігації підприємств (портфель на
продаж)
|
Емітент облігацій
|
Номінальна вартість, тис. грн
|
Балансова вартість, тис. грн
|
Оголошена дохідність, %
|
Термін до погашення, днів
|
Примітки
|
|
ПАТ"АВК"
|
410
|
433
|
20; 16
|
472
|
20% на І і II квартали, 16% - на
III-IV квартали
|
|
ДМА "Бориспіль"
|
1800
|
1874
|
20
|
254
|
Щоквартально
|
|
ПрАТ " Київстар Дж.Ес.Ем ", серія D
|
1120
|
1120
|
12
|
182
|
Дохідність - в еквіваленті USD
|
|
ТОВ "Аркада-Фонд", серія
В
|
1640
|
1678
|
18
|
24
|
Щомісячно
|
|
Усього
|
4970
|
5105
|
X
|
X
|
X
|
Аналіз
наявних у портфелі банку облігацій показує, що портфель містить цінні папери з
різними термінами погашення, різних галузей, жоден з емітентів не є пов'язаною
з банком особою. Дохідність за облігаціями ПрАТ "Київстар Дж.Ес.Ем"
дещо нижча, але визначається в еквіваленті до доларів США, що зменшує ризики
від зміни валютного курсу. Балансова вартість вкладень вища від номінальної,
отже, реальна дохідність за облігаціями буде нижчою, ніж оголошено при їх
розміщенні, що відповідає загальній тенденції зниження дохідності протягом 2011
р.
Також
для прикладу наведемо данні НКЦПФР обсягів випуску облігацій за видами
емітентів у 2008-2011 роках, які наведено у таблиці 3.5.
Таблиця
3.5 - Обсяги зареєстрованих Комісією випусків облігацій за видами емітентів у
2008-2011 роках
|
Вид суб’єкта підприємницької
діяльності
|
2008 р.
|
2009 р.
|
2010 р.
|
2011 р.
|
|
Усього, у тому числі:
|
4274,62
|
4241,86
|
4106,59
|
12748,28
|
|
банки
|
87,38
|
329,16
|
217,93
|
2564,726
|
|
страхові компанії
|
25,15
|
7,00
|
112,00
|
41,9
|
|
інші підприємства
|
4162,09
|
3905,71
|
3776,66
|
10141,65
|
Емітенти,
що зареєстрували у 2011 році найбільші випуски облігацій, наведені у таблиці
3.6.
Таблиця
3.6 - Перелік емітентів, яким зареєстровано Комісією найбільші випуски
облігацій у 2011 році
|
Назва емітента
|
Обсяг випуску, млн. грн.
|
Відсоток від загального обсягу
емісій
|
|
КБ "ПриватБанк"
|
500
|
3,92
|
|
ПАТ АКІБ "УкрСиббанк"
|
450
|
3,53
|
|
АКБ "Промінвестбанк"
|
388,7
|
3,05
|
Можна
зазначити, що на кінець 2011 року чистий прибуток банків (ПАТ та емітентів
облігацій) становив 773,21 млн. грн. Лише 4 банки отримали збитки в розмірі
16,94 млн. грн. (позитивне сальдо склало756,27 млн. грн.). У 2011 році
порівняно з 2010 роком чистий прибуток банків збільшився на 323,72 млн. грн., а
чисті збитки банків також збільшилися на 9,59 млн. грн.
Наприкінці 2010 року
значно поліпшилася структура ринку. Протягом трьох кварталів 2011 року на
фондовому ринку спостерігається тенденція по збільшенню купівлі векселів. Дані
по купівлі та продажу векселів наведено у таблиці 3.7.
Таблиця 3.7 - Дані по
купівлі та продажу векселів за 2011 рік
|
Вид послуг
|
І кв.,
млн. грн.
|
ІІ кв.,млн. грн.
|
ІІІ кв.,
млн. грн.
|
|
купівля векселів
|
1 678
|
1 161,3
|
1 334,74
|
|
продаж векселів
|
1 115
|
917,1
|
950,48
|
|
Разом
|
2 793
|
2 078,4
|
2 285,22
|
У ІІІ кварталі було
куплено векселів на 173,44 млн.грн. більше ніж у ІІ кварталі, продано векселів
на 33,38 млн.грн. більше у порівнянні з ІІ кварталом 2011 р. Операцій з купівлі
акцій по комерційних угод здійснено у 5 разів менше, ніж операцій з векселями,
але на 35,84 млн.грн. більше ніж у ІІ кварталі. Продажа акцій збільшилась у ІІІ
кварталі на 3,07 млн.грн.півставлення обсягів та кількості виконаних угод по
видах цінних паперів представлено на рисунок 3.1.
Аналізуючи схему на
рисунку 3.1, слід зазначити, що на відміну від 90-х років, коли на ринку цінних
паперів обсяг виконаних угод по державних облігаціях складав більше 80 %
загального обсягу виконаних угод по всіх видах паперів, у подальшому найбільший
обсяг фіксується по угодах з векселями. Так, у звітному періоді 2011 року цей
показник становить 5 184,04 млн. грн., що складає 55,7 % загального обсягу
угод, але їхня вага в обсязі виконаних угод поступово зменшується, за рахунок
збільшення обсягів угод з акціями.
Друге місце на фондовому
ринку займають акції. Обсяг виконаних угод по акціях за ІІІ квартал 2011 року 2
780,4 млн. грн., що складає 29,7% від загальної кількості виконаних угод. По
кількості виконаних угод перше місце займають операції з акціями 105,5 тис.
шт., що складає 69% від загальної кількості виконаних угод. Кількість угод з
векселями становить лише 8,7% або 13,2 тис. шт.
Рисунок 3.1 - Обсяг та
кількість виконаних угод з різними видами цінних паперів за 2011 рік
Слід зазначити, що у ІІ
кварталі 2011 року спостерігалось збільшення обсягів операцій з ОВДП, але вже у
ІІІ кварталі обсяг угод з ОВДП зменшився на 156,6 млн. грн. Особливу увагу
привертають до себе операції з ощадними сертифікатами. Обсяг угод з цими
цінними паперами зростає. У І кварталі 2011 року обсяги операцій з ощадними
сертифікатами склали 3,4% від загального обсягу виконаних угод, у ІІ кварталі
-2,7% , а у ІІІ кварталі -6,3%. Аналіз звітності торговців цінними паперами у звітному кварталі
показує, що на біржах було здійснено угод банків на загальну суму 277,36 млн.
грн. або 3% від загального обсягу виконаних угод. У порівнянні з попереднім
кварталом обсяг угод на біржах зменшився на 86,94 млн. грн.
Слід зазначити, що обсяг
виконаних угод майже на 95% здійснений на не організованому ринку.
У ІІІ кварталі обсяг
операцій на цьому ринку збільшився у порівнянні з ІІ кварталом на 1 247,95 млн.
грн. Аналогічна ситуація у відношенні кількості виконаних угод на не
організованому ринку - 96% від загальної кількості виконаних угод. На рисунку
3.2 відображено кількість угод за місцем здійснення.
Рисунок 3.2 -
Співставлення в розрізі місця укладання кількості виконаних угод за 2011 рік
Операції з ОВДП
здійснювались лише на УМВБ. Обсяг виконаних угод з ОВДП склав 245,29 млн. грн.
Операції з акціями на організованому ринку займають друге місце, їх обсяг
складає 226,2 млн.грн., 5,05 млн. грн. операції з деривативами і лише 3,9 млн.
грн. становлять операції з векселями.
Найбільші обсяги
виконаних угод на організаційно оформленому ринку з акціями здійснено та
зареєстровано на ПФТС, що становить 200,99 млн. грн. або 99,9% від загального
обсягу здійснених та зареєстрованих усіх угод на ПФТС.
Проведення аналізу
даних, представлених торговцями цінними паперами за ІІІ квартал 2011 року
дозволяє зробити окремі висновки
- обсяг
угод, які торговці цінними паперами виконують на всіх видах ринку України
продовжує збільшуватись і становить вже за 9 місяців 2011 року понад 27 млрд.
грн., що можна порівняти з бюджетом країни;
- особливої
уваги заслуговує діяльність "чистих торговців" цінними паперами,
обсяги виконаних угод ними за ІІІ квартал складає 3 246,49 млн. грн. що
становить 35% від загального обсягу виконаних угод усіма торговцями цінними
паперами;
- постійно
зростає дисциплінованість торговців цінними паперами щодо надання звітності до
Комісії про свою діяльність;
- у
діяльності торговців цінними паперами позитивним є той факт, що зменшується
група торговців цінними паперами, яка надає звіти, але не здійснює діяльності з
цінними паперами;
- у
ІІІ кварталі 2011 року відбулися дуже незначні зменшення обсягів виконаних угод
з векселями (ІІ квартал-56%, ІІІ квартал-55,6%) , крім цього угоди з векселями
здійснюються переважно на неорганізованому ринку;
- до
негативних тенденцій слід віднести те, що переважне становище на ринку цінних
паперів продовжує займати вексель, обсяг виконаних угод з яким склав - 55,6%
від загального обсягу виконаних угод.
Спостерігаючи статистичний
зв’язок між ознаками, можна приблизно уявити значення результативного признаку
в вигляді деякої функції від величини декількох факторних ознак, при цьому
намагаючись, щоб дані, що спостерігаються, як можна ближче відображувалися
обраною функцією.
Функція, що відображає
статистичний зв’язок між ознаками, називається рівнянням регресії. Загальне
значення множинної регресії складається з аналізу зв’язку між декількома
незалежними змінними та залежною змінною.
У загальному випадку
лінійну по параметрах багатофакторну модель можна представити у наступному
вигляді:
t = a0 + a1f1(t) + a2f2(t)
+ … amfm(t), (3.1)
де ai
(I = 0,…, m) - невідомі оцінки параметрів ai;t -
незалежна змінна;i(t) - незалежні змінні;- період часу.
Для
побудови моделі визначимо змінні: залежна змінна - розмір прибутку від операцій
з цінними паперами (Пр); незалежні змінні: розмір загальних активів банку (ЗА),
розмір дохідних активів (ДА), чиста маржа операційного прибутку (М), розмір
простроченої заборгованості (ПЗ).
Багатофакторна
модель залежності обсягів прибутку банку від вищезазначених факторів буде мати
наступний вигляд:
Пр = a0
+ a1ЗА(t) + a2ДА(t) + a4ПЗ(t)
(3.2)
Вихідні
дані за 12 кварталів 2009-2011 рр. для побудови моделі наведено в таблиці 3.8.
Таблиця
3.8 - Вихідні дані для розрахунку багатофакторної моделі залежності розміру
прибутку від операцій з цінними паперами ВАТ "Мегабанк"
|
Період
|
Прибуток від операцій з цінними
паперами, тис. грн.
|
Загальні активи, тис.грн.
|
Дохідні активи, тис.грн.
|
Маржа операційного прибутку
|
Прострочена заборгованість,
тис.грн.
|
|
на 01.01.2009
|
413
|
254054
|
144323
|
0,07
|
11884,5
|
|
на 01.04.2009
|
918
|
288498
|
162198
|
0,09
|
20209,5
|
|
на 01.07.2009
|
1448
|
323698
|
178498
|
0,1
|
27525,5
|
|
на 01.10.2009
|
1836
|
351848
|
192319
|
0,05
|
40419
|
|
на 01.01.2010
|
720
|
372963
|
213635
|
0,024
|
18405
|
|
на 01.04.2010
|
1496,5
|
399048
|
242689
|
0,027
|
26863,5
|
|
на 01.07.2010
|
2126,5
|
415358
|
266849
|
0,023
|
47376,5
|
|
на 01.10.2010
|
2993
|
446248
|
293058
|
0,028
|
53727
|
|
на 01.01.2011
|
185
|
504678
|
340171
|
0,003
|
50212
|
|
на 01.04.2011
|
579
|
568412
|
393794
|
0,009
|
74500
|
|
на 01.07.2011
|
883
|
631512
|
446144
|
0,007
|
105000
|
|
на 01.10.2011
|
1158
|
690576
|
494529
|
0,005
|
149000
|
Так як
вихідні дані табл. 3.1 не є однорідними, то для подальшого розрахунку моделі
необхідно провести їх стандартизацію. Стандартизація необхідна для того, щоб
перейти до безрозмірних величин і визначити критичний кут нахилу при переломі
лінії тенденції.
Всі
розрахунки будемо проводити в програмному пакеті Statistica 6.0.
Стандартизовані
дані для розрахунку багатофакторної моделі залежності прибутку наведені у
таблиця 3.9.
Таблиця
3.9 - Стандартизовані дані для розрахунку багатофакторної моделі залежності
прибутку банку від операцій з цінними паперами
|
Період
|
Прибуток від
операцій з ЦП
|
Загальні активи
|
Дохідні активи
|
Маржа операційного прибутку
|
Прострочена заборгованість
|
|
01.01.2009
|
-1,01909669
|
-1,33963011
|
-1,18116212
|
1,00109348
|
1,23846339
|
|
01.04.2009
|
-0,388920574
|
-1,08774434
|
-1,02632836
|
1,59580248
|
-0,967937144
|
|
01.07.2009
|
0,272452381
|
-0,830330013
|
-0,885137302
|
1,89315699
|
-0,791858319
|
|
01.10.2009
|
0,756627298
|
-0,62447168
|
-0,765419409
|
0,406384484
|
-0,481542253
|
|
01.01.2010
|
-0,635999527
|
-0,470059648
|
-0,580779614
|
-0,366737217
|
-1,01136719
|
|
01.04.2010
|
0,332974245
|
-0,279302468
|
-0,329113043
|
-0,277530867
|
-0,807791094
|
|
01.07.2010
|
1,11913455
|
-0,160028954
|
-0,11983844
|
-0,396472667
|
-0,314091676
|
|
01.10.2010
|
2,20091694
|
0,0658667443
|
0,10718466
|
-0,247795417
|
-0,161250153
|
|
01.01.2011
|
-1,30361185
|
0,493159903
|
0,515278799
|
-0,991181668
|
-0,245847894
|
|
01.04.2011
|
-0,81194969
|
0,95924072
|
0,979762743
|
-0,812768967
|
0,33870685
|
|
01.07.2011
|
-0,432596146
|
1,42068515
|
1,43321992
|
-0,872239867
|
1,07276975
|
|
01.10.2011
|
-0,089430934
|
1,8526147
|
1,85233216
|
-0,931710768
|
2,13174574
|
Використовуючи
програмний пакет Statistica 6.0, отримаємо наступні результати оцінок
параметрів моделі (таблиця 3.10) та побудуємо модель.
Таблиця
3.10 - Параметри моделі
|
N = 12
|
Beta
|
|
Intercept
|
|
|
Загальні активи
|
1,36200
|
|
Дохідні активи
|
-1,26284
|
|
Маржа операційного прибутку
|
0,07812
|
|
Прострочена заборгованість
|
-0,20468
|
Таким
чином, модель буде мати наступний вигляд:
Пр =
1,36200 ×
ЗА(t) − 1,26284 × ДА(t) + 0,07812 × М − 0,20468×ПЗ(t) (3.3)
Економічний
зміст коефіцієнтів ai полягає в тому, що вони показують на скільки
одиниць зміниться залежний фактор Пр, якщо незалежний фактор Xi
зміниться на одиницю.
Важливим
моментом в аналізі багатофакторної моделі є з’ясування істотності впливу
незалежного фактора Xi на Y. Цей вплив можна оцінити за допомогою
перевірки істотності відмінності від нуля коефіцієнта ai. Якщо
коефіцієнт ai дійсно відмінний від нуля, то вважається, що фактор Xi
істотно впливає на Y, у противному випадку його вплив невеликий та його можна
виключити з моделі з метою її спрощення.
Таким
чином, можна зробити висновок про істотний вплив на розмір прибутку від
операцій з цінними паперами (залежну змінну) всіх незалежних факторів, при
цьому найвпливовішим фактором (a1 = 1,36200) є розмір загальних
активів банку. На розмір прибутку впливає також розмір чистої маржі
операційного прибутку (a3 = 0,07812).
Кореляція
факторів один з одним (тобто їх взаємозв’язок) наведена в таблиці 3.11.
Таблиця
3.11 - Кореляція факторів моделі
|
Variable
|
Загальні
активи
|
Дохідні
активи
|
Маржа операційного прибутку
|
Прострочена заборгованість
|
|
Загальні активи
|
1,000000
|
-0,990804
|
0,032515
|
0,532264
|
|
Дохідні активи
|
-0,990804
|
1,000000
|
0,073524
|
-0,598647
|
|
Маржа
операційного прибутку
|
0,032515
|
0,073524
|
1,000000
|
-0,236963
|
|
Прострочена
заборгованість
|
0,532264
|
-0,598647
|
-0,236963
|
1,000000
|
Спостерігається
зв’язок між розміром маржі операційного прибутку та дохідністю активів.
Збільшення маржі операційного прибутку позитивно впливає на дохідність операцій
з цінними паперами.
З табл.
3.4 можна зробити висновок, що фактори майже не корелюють, що позитивно впливає
на вірогідність моделі. Це пов’язано зі зменшенням обсягів активів внаслідок
невиконання клієнтами зобов’язань перед банком.
Для
оцінки підібраної лінійної множинної моделі та ступеня її адекватності
реальному економічному процесу використовують розрахунок коефіцієнту множинної
кореляції Multiple R. Цей коефіцієнт розраховується за формулою:
(3.4)
За результатами
розрахунків коефіцієнт множинної кореляції дорівнює 0,64681002.
Чим ближче коефіцієнт
множинної кореляції Multiple R до 1, тим краще підібрана модель для опису
залежності між досліджуваними економічними явищами.
Проведемо
графічний аналіз залишків на відповідність нормальному закону розподілу (рис.
3.1).
З
аналізу гістограми розподілу залишків можна зробити висновок про деяку
асиметрію в лівий бік.
Розглянемо
діаграму розсіювання залишків в залежності від дії незалежної змінної (рисунок
3.3, 3.4).
На
рисунку 3.3 зображена діаграма розсіювання залишків при зміні незалежної
змінної X1. Довірчий інтервал приведений для залишків змінної X1.
При позитивному впливі змінної всі значення повинні знаходитися усередині
довірчого інтервалу з вірогідністю 95%.
Рисунок
3.3 - Гістограма розподілу залишків
Майже
всі залишки знаходяться усередині довірчого інтервалу змінної, що свідчить про
адекватність побудованої моделі.
Рисунок
3.4 - Діаграма розсіювання залишків
Розглянемо
взаємозв’язок розміру прибутку від операцій з цінними паперами, обсягів
загальних та дохідних активів, простроченої заборгованості та чистої маржі
прибутку у графічному вигляді (рисунок 3.5).
Рисунок
3.5 - Взаємозв’язок між прибутком від операцій з цінними паперами та факторами,
що на нього впливають
За
останні три роки внаслідок неефективного використання залучених коштів
відбулося досить значне зниження маржі операційного прибутку, що мало
негативний вплив на розмір прибутку від операцій з цінними паперами банку.
Позитивний
вплив на прибутковість операцій з цінними паперами справило збільшення обсягів
загальних та дохідних активів.
Як
видно з рис. 3.3 основний вплив на зниження розміру отриманого у звітному році
прибутку від операцій з цінними паперами справило зменшення величини чистої
маржі операційного прибутку та досить значне збільшення обсягів простроченої
заборгованості.
Проведений
аналіз моделі у відповідності з таблицями регресійного аналізу свідчить про її
достатню адекватність.
Умови
нормальності закону розподілу залишків виконуються з незначними відхиленнями,
що свідчить про можливість її використання для встановлення залежності між
розміром прибутку від операцій з цінними паперами як залежної змінної та
обсягами загальних та дохідних активів, величиною чистої маржі операційного
прибутку та розміром простроченої заборгованості.
У
результаті проведеного аналізу можна стверджувати, що найбільший вплив на
розмір прибутку від операцій з цінними паперами справляє обсяг загальних
активів.
3.3 Проблемні
аспекти функціонування ринку цінних паперів в Україні та перспективи його
розвитку
На початок 2011 року
ринок цінних паперів в Україні має вже майже двадцятирічну історію. Звичайно, в
історичному аспекті термін досить короткий, але по основних характеристиках як
кількісним, так і якісним український фондовий ринок в основному сформувався.
Причому створювався він буквально на порожнім місці, оскільки звертання
облігацій внутрішньої позики колишнього СРСР (за які, до речі, правоприймачі
СРСР, у тому числі й Україна так до кінця і не розрахувалися). Ринком цінних
паперів у повному змісті цього поняття назвати ніяк не можна.
Серцем, ядром
національного ринку цінних паперів із самого початку його формування була і
сьогодні залишається Українська фондова біржа, створена і зареєстрована
Кабінетом Міністрів України восени 1991 року. За ці роки біржа сформувала
розповсюджену мережу регіональних центрів, філій і брокерських контор, що
функціонують у всіх областях України. При біржі створений Центральний
депозитарій цінних паперів і введена в дію система їхнього електронного обігу.
Все більший розмах здобувають біржові торги акціями, облігаціями, векселями,
похідними від цінних паперів опціонами і ф'ючерсами [15, 16].
Розширюється
позабіржовий ринок цінних паперів. Зараз на Україні працює велика кількість
фінансових посередників, що займаються фондовими операціями. Це банки,
інвестиційні фонди і компанії, довірчі суспільства, торговці цінними паперами.
Безупинно росте
кількість емітентів цінних паперів і обсяги їхньої емісії. Якщо раніше цінні
папери в основному випускали фінансово-кредитні інститути, то характерною
ознакою сьогодення є збільшення питомої ваги емітент-промислових підприємств.
Це результат поглиблення приватизаційних процесів.
Так дуже коротко можна
визначити основні риси нинішнього положення фондового ринку України.
У той же час подальший
розвиток національного фондового ринку стримується поруч об'єктивних і
суб'єктивних факторів. Саме головне з них це:
- криза
української економіки, високий рівень інфляції;
- відставання
існуючої законодавчої і нормативно-правової бази функціонування фондового ринку
і розвитку властивих йому реальних процесів (як приклад можна згадати ситуацію,
що склалася з трастами й іншими фінансовими посередниками);
- недостатність
державного регулювання національного ринку цінних паперів;
- слабка
розвинутість первинного ринку цінних паперів, невелика кількість операцій з
похідними від цінних паперів;
- відсутність
гарантій по операціях з цінними паперами, недовіра населення і його
психологічна непідготовленість до операцій на фондовому ринку;
- низька
купівельна спроможність населення, що заважає появі масового приватного
інвестора;
- відсутність
гарантій держави по захисту грошових заощаджень населення у цінних паперах [3].
Національні
фондові ринки світу все більше інтернаціоналізуються. Це цілком природно, адже
капітал узагалі має інтернаціональний характер і вільно переміщається в ті
країни і регіони, де його звертання дає найбільший приріст. Це стосується і
звертання капіталу у виді цінних паперів. Питання звертання в Україні цінних
паперів іноземних компаній не вирішений насамперед на законодавчому рівні. Отут
повинні бути прийняті державні нормативно-правові акти для рішення цих
принципових питань котирування і звертання в нашій країні: хто дає на цей
дозвіл, за якими критеріями й ін. Одночасно необхідно визначитися і зі строго
технічними питаннями: перевезення (або переклад) цінних паперів через границю,
механізм виплати дивідендів, валюта за яку продаються цінні папери й у якій
виплачуються дивіденди й ін.
Що
стосується виходу на світові ринки цінних паперів українських компаній, то тут
знову таки встають питання законодавчого характеру. Але є й інші. Серед них
один з найголовніших конкурентноздатність наших цінних паперів. Природно, що на
Заході будуть цікавитися тільки акціями високоприбуткових і перспективних
компаній. В нас же таких поки ще дуже мало.
Український
ринок цінних паперів продовжує залишатися суперечливим, тому що на фондовій
біржі діють старі фінансові інструменти (кредити, ваучери, акції) і незважаючи
на визначений рух уперед ринок не забезпечує фінансування економіки, тому що
йде продаж і перепродаж, гра на курсовій різниці. Крім того інфляція продовжує
знецінювати ринок у цілому і стримувати його розвиток, у зв'язку з чим ринок не
відображає стан економіки. І ще такої ситуації сприяє те, що розвиткові ринку
заважають криза платежів і розрив господарських зв'язків, що робить
проблематичним вкладення в цінні папери як вітчизняного, так і іноземного
капіталу.
Також
до основних проблем українського ринку цінних паперів можна віднести:
- розвиток інфраструктури фондового ринку - відродження фондових
бірж і створення організованих позабіржових систем торгівлі, створення
розрахунково-клірингових систем;
- підвищення інформаційної відкритості ринку, збільшення його
прозорості;
- створення повної законодавчої й іншої нормативної бази
функціонування, тому що без законодавчого регулювання ринок цінних паперів не
може виконувати свого основного призначення: бути джерелом засобів для
подолання інвестиційної кризи. Важливі положення закону - встановлення
однакових вимог при здійсненні професійної діяльності для кредитних організацій
і інших інвестиційних компаній;
- проблема дрібного інвестора. Ринок державних цінних паперів самий
ліквідний і надійних на сьогоднішній день закритий для дрібних і середніх
інвесторів, що так само створює проблеми для самого ринку, для мотивації діяльності
банку на цьому ринку, що породжує фінансові проблеми більш широкого характеру.
З однієї сторони не використовуються наявні нагромадження населення, з іншого
боку - бюджет не одержує можливих джерел покриття. У такий спосіб на ринку
виникають перекоси, оскільки він орієнтований на великі промислові фінансові
структури.
- недостача капіталовкладень, так інвестиційний потенціал банків у
7-8 разів менше, ніж необхідно, а в бюджеті грошей ні, а таки важко залучити
іноземний капітал, оскільки для нашого ринку характерний короткостроковий
характер; і головна причина - нестабільність як в економічної, так і в
політичній ситуації країни;
- подальша інтеграція з фондовими ринками розвинутих країн, хоча
слід зазначити, що на українському ринку присутній ряд західних компаній;
- незначний обсяг цінних паперів і невелика їхня розмаїтість, а
також залучення в ринковий оборот усе більшого числа акцій українських АТ.
- депозитарій, тому що немає великого визнання всіма головного
депозитарію й існує проблема з реєстраторами і реєстром. Центральний Банк буде
допомагати розвитку цієї інфраструктури в частині грошових розрахунків;
- недоліки системи українського бухгалтерського обліку, проблема, що
заважає перетворити Україну у світовий фондовий центр.
Для
подальшого успішного розвитку українського ринку цінних паперів має бути робота
з відродження довіри до ринку цінних паперів шляхом ліквідації сумнівних
фінансових структур, і необхідна жорсткість вимог до регулювання, стандартам і
правилам.
В даний
час ринок цінних паперів України є ще досить хитливим. Розвиток первинного
ринку, на погляд автора, буде можливим при здійсненні наступних умов. Більш
широка й активна приватизація підприємств, компаній і асоціацій приведуть до
появи нових видів цінних паперів, а також додаткових джерел капіталовкладень.
Тому що на нашому ринку немає посередників, та необхідно ще більш розвити такі
інститути, як інвестиційні банки і брокерські фірми, що могли б здійснювати
посередницьку функцію між емітентами і покупцями так, як це прийнято у світовій
практиці. І головним інститутом розміщення облігацій на первинному ринку
повинні стати інвестиційні банки, які хоча існують з 1991 - 1992 років, але
справжньої своєї сутності й на даний момент не відбивають, оскільки їхня
характерна риса - функція довгострокового кредитування.
Основними перспективами
розвитку сучасного ринку цінних паперів на нинішньому етапі є:
- концентрація і
централізація капіталів;
- інтернаціоналізація
і глобалізація ринку;
підвищення
рівня організованості і посилення державного контролю;
комп'ютеризація
ринку цінних паперів;
нововведення на
ринку;
сек’юритизація;
взаємодія з
іншими ринками капіталів.
Тенденції до
концентрації і централізації капіталів має два аспекти стосовно ринку цінних
паперів. З одного боку, на ринок залучають все нових учасників, для яких дана
діяльність стає основною, а з іншої - йде процес виділення великих, що ведуть
професіоналів ринку на основі як збільшення їхніх власних капіталів
(концентрація капіталу), так і шляхом їхнього злиття в ще більш великі
структури ринку цінних паперів (централізація капіталу). У результаті на
фондовому ринку з'являються торговельні системи які обслуговують велику частку
всіх операцій на ринку. У той же час ринок цінних паперів притягає усі великі
капітали суспільства.
Інтернаціоналізація
ринку цінних паперів означає, що національний капітал переходить границі країн,
формується світовий ринок цінних паперів, стосовно якого національні ринки
стають другорядними. Ринок цінних паперів приймає глобальний характер. Торгівля
на такому глобальному ринку ведеться безупинно. Його основу складають цінні
папери транснаціональних компаній.
Надійність ринку цінних
паперів і ступінь довіри до нього зі сторони масового інвестора прямо зв'язані
з підвищенням рівня організованості ринку і посилення державного контролю за
ним. Масштаби і значення ринку цінних паперів такі, що його руйнування пряме
веде до руйнування економічного прогресу. Держава повинна повернути довіру до
ринку цінних паперів, що б люди, що вкладають заощадження в цінні папери, були
упевнені в тім, що вони їх не втратять у результаті яких-небудь дій держави і
шахрайства. Всі учасники ринку тому зацікавлені в тім, щоб ринок був правильно
організований і твердо контролювався в першу чергу головним учасником ринку -
державою.
Новими інструментами
ринку цінних паперів є численні види похідних цінних паперів, створення нових
цінних паперів, їхніх видів і різновидів.
Нові системи торгівлі -
це системи торгівлі, засновані на використанні комп'ютерів і сучасних засобів
зв'язку, що дозволяють звісти торгівлю цілком в автоматичному режимі, без
посередників, без безпосередніх контрактів між продавцями і покупцями.
Розвиток ринку цінних
паперів зовсім не веде до зникнення інших ринків капіталів, відбувається процес
їхнього взаємопроникнення. З одного боку, ринок цінних паперів відтягає на себе
капітали , але з іншого боку - переміщає ці капітали через механізм цінних
паперів на інші ринки, тим самим сприяє їхньому розвиткові.
4.
ОХОРОНА ПРАЦІ І НАВКОЛИШНЬОГО СЕРЕДОВИЩА
4.1 Загальні питання охорони праці
Підвищення технічної оснащеності
підприємств, застосування нових матеріалів, конструкцій і процесів, збільшення
швидкостей і потужностей машин робить вплив на характер і частоту нещасних
випадків і захворювань на виробництві. Праця людини в сучасному
автоматизованому і механізованому виробництві є процесом взаємодії людини і
машини, причому центральне місце належить людині - оператору. Поліпшення умов
праці, підвищення його безпеки впливають на результати виробничої діяльності:
продуктивність праці, якість і вартість продукції, що випускається, а також
приводить до зниження виробничого травматизму, професійних захворювань,
зберігає здоров'я працівників і одночасно приводить до зменшення витрат на
оплату пільг і компенсацій за роботу в несприятливих умовах праці.
В існуючому законодавстві [1 ]
велику увагу надається питанням захисту працюючих від дії небезпечних і
шкідливих чинників виробничого середовища. В законі України про охорону
праці" (2002г.) сказано, що державна політика базується на принципах
пріоритету життя і здоров'я працівників по відношенню до результатів виробничої
діяльності підприємства, повної відповідальності власника за створення
безпечних і нешкідливих умов праці.
Використовуються економічні методи
для управління охороною праці на підприємстві. Створюються національні,
галузеві, регіональні програми з питань охорони праці, враховуючі різні напрями
економічної і соціальної політики держави. Встановлюються єдині нормативи по
охороні праці для всіх підприємств, організацій незалежно від форм власності.
Створюються страхові фонди.
4.2 Управління охороною праці на
підприємстві
Працедавець
зобов'язаний створити на робочому місці, в кожному структурному підрозділі,
умови праці, відповідні нормативно-правовим актам.
З цією метою
працедавець забезпечує функціонування системи управління охороною праці, а
саме:
створює відповідні
служби і призначає посадовців, які забезпечують рішення конкретних питань
охорони праці, затверджує інструкції про їх обов'язки, права і відповідальність
за виконання покладених на них функцій, а також контролює їх виконання;
розробляє за участю
сторін колективного договору і реалізує комплексні заходи для досягнення
встановлених нормативів і підвищення існуючого рівня охорони праці;
організовує
атестацію робочих місць на відповідність нормативним актам з охорони праці;
забезпечує
виконання необхідних профілактичних заходів у разі зміни умов праці;
упроваджує
прогресивні технології, досягнення науки і техніки, засоби механізації і
автоматизації виробництва, дотримує вимоги ергономіки, використовує позитивний
досвід в області охорони праці і тому подібне;
забезпечує належний
зміст будівель і споруд, виробничого устаткування і оснащення, моніторинг за їх
технічним станом;
забезпечує усунення
причин, які можуть привести до нещасних випадків, професійних захворювань, і
забезпечує здійснення профілактичних заходів, визначених комісіями за
підсумками розслідування цих причин;
організує
проведення аудиту охорони праці, лабораторних досліджень умов праці, дає оцінку
технічного стану виробничого устаткування і оснащення;
розробляє і
затверджує положення, інструкції, інші акти по охороні праці, які діють в межах
підприємства (далі - акти підприємства). Встановлює послідовність виконання
робіт і поведінки працівників на території підприємства, у виробничих
приміщеннях, на будівельних майданчиках, робочих місцях відповідно до державних
міжгалузевих і галузевих нормативних актів по охороні праці, забезпечує
безкоштовно працівників нормативно-правовими актами і актами підприємства по
охороні праці;
здійснює контроль
за дотриманням працівником технологічних процесів, правил поводження з
машинами, механізмами, устаткуванням і іншими засобами виробництва,
використовуванням засобів колективного і індивідуального захисту, виконанням
робіт щодо вимог по охороні праці;
організовує
пропаганду безпечних прийомів праці і співпраці з працівниками в області
охорони праці;
передбачає
термінові заходи для надання допомоги потерпілим, привертає при необхідності
професійні аварійно-рятівні формування у разі виникнення на підприємстві аварій
і нещасних випадків.
Працедавець несе
безпосередню відповідальність за порушення відзначених вимог[1
].
4.3 Перелік
небезпечних і шкідливих виробничих факторів
В даному розділі розглядається
робоче місце з
використанням персонального ЕОМ при виконанні дипломної роботи.
Характеристика приміщення, в якому
знаходиться комп'ютер: розміри приміщення:
-
площа: S = 6 × 10 = 60
м2; -
об'їм: V = 6 × 10 × 3,5
= 210
м3.
Згідно [2
],
норма площі на одного працюючого не повинна бути менше 6 м2. В
приміщенні, що розглядається, вісім робочих місць, таким чином необхідна площа:
Sнеобх. = 6 × 8 = 48м2.
Отже, приміщення відповідає вимогам [2 ].
Приміщення розташовано на другому поверсі чотириповерхової будівлі.
Приміщення пожежонебезпечне,
категорії В, оскільки в ньому знаходяться тверді матеріали, що згорають [3
].
Відповідно до обліку категорії пожежонебезпечності і поверховості будівлі, в
якій розміщено дане приміщення, ступінь вогнестійкості будівлі - ІІ [4 ].
Перелік основних небезпечних і
шкідливих виробничих чинників, які зустрічаються на робочому місці, що
розглядається, надано в таблиці 4.1 [5 ]
Таблиця 4.1- Небезпечні і шкідливі
виробничі чинники
|
Найменування чинників
|
Джерела виникнення
|
Характер дії на організм людини
|
Нормований параметр
|
|
1
|
2
|
3
|
4
|
|
Шум
|
Принтери, сканери, системні блоки
|
Розлади ЦНС, зниження слуху
|
Рівень звуку Lр,
дБА
|
|
Вібрація
|
Системні блоки ЕОМ
|
Розлади серцево-судинної системи, ЦНС
|
Рівень виброшвидкостіLv, дБ
|
|
М'яке рентгенівське випромінювання
|
Монітори ЕОМ
|
Стомлення, захворювання органів зору,
|
Еквівалентна доза, Р, мкР/ч
|
|
Електромагнітне випромінювання
|
Монітори ЕОМ
|
Пониження кров'яного тиску
|
Напруженість, Е, В/м
|
|
Ультрафіолетове інфрачервоне випромінювання
|
Монітори ЕОМ
|
Головний біль, сонливість, запаморочення.
|
Інтенсивність теплових випромінювань Е,
Вт/м2
|
|
Електростатичне поле
|
Комп'ютерна техніка
|
Головний біль, погіршення зору
|
Напруженість, Е,
кВ/м
|
|
Яскравість екрану
|
Монітор
|
Стомлення очей
|
Не більше 40 кд/м2
|
|
Підвищена іонізація повітря
|
Комп'ютер
|
Опромінювання
|
Кількість іонів в 1см3 n+
=1500 - 3000 n- = 3000 - 5000
|
Штучне освітлення
|
Поразка електрик-ним струмом
|
Uпр ≤ 36
|
|
Монотонність праці
|
Безперервна робота на ЕОМ
|
Стомлення ЦНС
|
-
|
4.4 Промислова санітарія
Метеорологічні умови вибираються
відповідно до вимог [6 ]. При роботах операторського типу, пов'язаних з великою
нервово-емоційною напругою, передбачені оптимальні значення параметрів
мікроклімату в приміщенні. Енерговитрати складають 139 Вт, оскільки роботи
виконуються сидячи. Категорія виконуваних робіт - Iа. Оптимальні норми
температури, відносної вологості, швидкості руху повітря в приміщенні в
холодний і теплий період року для категорії робіт Iа надані в таблиці 4.2.
Таблиця 4.2 - Оптимальні параметри
мікроклімату
|
Период
роки
|
Категорія виконуваних робіт
по енерговитратах
|
Температура, 0С
|
Відносна вологість, %
|
Швидкість руху повітря, м/с
|
|
Теплий
|
I а
|
23 - 25
|
40 - 60
|
0,1
|
|
Холодний
|
I а
|
22 - 24
|
40 - 60
|
0,1
|
Для забезпечення параметрів
мікроклімату в межах норми, оптимального рівня іонізації [n+
= (1500 ÷ 3000), n― = (3000 ÷ 5000)] в
см3 повітря [2 ], концентрації пилу нижче встановленого значення ГДК
= 4 мг/м3, в даному приміщенні передбачені прилади зволоження і
штучної іонізації повітря, а також кондиціонування повітря [7 ]. Вид опалювання
- центральний. Джерела надходження води - міський водопровід, діюча каналізація
- господарсько-побутова [8 ]
.
Передбачено
природне і штучне освітлення в приміщенні, в якому розташовано робоче місце. За
найменшим розміром об'єкту розрізнення, характеристики фону і контрасту об'єкту
розрізнення з фоном встановлюємо розряд зорових робіт - IIIв
Природне освітлення
- односторонньо бічне. Нормативне значення коефіцієнта природної освітленості
визначаємо по наступній формулі:
%
( 4.1 )
де еN
- коефіцієнт природної освітленості;н
- коефіцієнт природної освітленості для III розряду зорових робіт;
mN
- коефіцієнт світлового клімату (0,9);
номер
групи забезпеченості природним світлом
Необхідну сумарну площу світлових
отворів в приміщенні з одностороннім бічним освітленням, має розміри: L=10 м,
В= 6 м, H=3,5 м визначаємо по формулі:
м2; (4.2)
ок- світлова характеристика вікна
ок = 13,5;
кз - коефіцієнт запасу,
враховуючий зниження освітленості в процесі експлуатації скла, кз =
1,4;п - площа підлоги приміщення; Sп = L·В= 10
· 6 = 60м2;
кзд
- коефіцієнт, що враховує затемнення вікон протилежними будівлями, кзд
= 1;
- загальний
коефіцієнт світлопроникнення;
(4.3)
коефіцієнт, що
враховує вид матеріалу, що пропускає світло
0,8;
коефіцієнт, що
враховує вид палітурки;
0,8;
коефіцієнт, що
враховує вид несучих конструкційних матеріалів, при бічному освітленні;
1;
коефіцієнт, що
ураховує втрати світла в сонцезахисних пристроях;
0,65;
- коефіцієнт, що
враховує вплив відображеного світла при бічному освітленні, r1 =3,0;
0,8·0,8·1·0,65
=0,416
Сумарна
площа світлових отворів S0 = 16,36 м2
Штучне освітлення -
загальне рівномірне. Як джерела світла використовуємо люмінесцентні лампи типу
ЛТБ 80-2. Нормативне значення освітленості для IIIв розряду зорових робіт Еmin
складає 300 лк. Загальне освітлення виконано у вигляді переривчатих ліній
світильників ЛП033 виконання 001 прямого світла (П) з дзеркальними екранними
сітками і відбивачами. Основні характеристики освітлення, що передбачено в
приміщенні надані в таблиці 4.3
[9
].
Таблиця 4.3-
Характеристика освітлення
|
Площа підлоги, м2
|
Розряд зорових робіт
|
Освітлення
|
|
|
природне
|
штучне
|
|
|
Вид освітлення (верхнє, бічне)
|
КЕО еN %
|
Мінімальна освітленість, Еmin,
лк
|
|
60
|
IIIв
|
бічне
|
1,8
|
300
|
Шум є одним з найпоширеніших на
виробництві шкідливих чинників. У відповідності з [10] на робочому місці при
рішенні завдань потребуючої концентрації уваги рівні звуку і еквівалентні рівні
звуку не повинні перевищувати 50 дБА. Відповідно з [11]
рівень вібрації для категорії 3, тип „в", в умовах „комфорту" не
повинна перевищувати 75 дБ. Для зменшення рівня звуку і вібрації застосовуються
демпфуючі матеріали (гумова прокладка під принтер). Шумопоглинальні засоби
застосовуються не спаленні або тяжко спаленні спеціальні перфоровані плити,
панелі, мінеральна вата та інші.
Комп'ютер і в першу чергу монітор є
джерелами:
електростатичного поля;
слабих електромагнітних
випромінювань в низькочастотному і високочастотному діапазонах (2 Гц …400 Гц);
рентгенівського випромінювання;
ультрафіолетового, інфрачервоного і
випромінювання видимого діапазону.
Згідно [12],
встановлюються гранично допустимі значення напруженості електричного і
магнітного полів частотою 50 Гц залежно від часу перебування персоналу в
приміщенні. Напруженість електричного поля не перевищує 5 кВ/м, напруженість
магнітного поля на робочому місці не перевищує 8 кА/м, а напруженість
електростатичного поля не перевищує 20 кВ/м [13],
що дозволяє не регламентувати час перебування в приміщенні.
Потужність експозиційної дози
рентгенівського випромінювання на відстані 0,05 м від екрану не перевищує 0,1
мбер/час [14].
Рівні
всіх
можливих випромінювань достатньо низькі і не перевищують діючі норми. На
робочому місці, що вивчається, розміщений найбезпечніший монітор, в якому
створений додатковий металевий внутрішній контур, замкнутий на вбудований
захисний екран.
При організації робочого місця за
комп'ютером дотримувалися наступні розміри:
відстань від підлоги до сидіння
крісла дорівнює 440 мм;
відстань від сидіння крісла до
нижнього краю робочої поверхні 330 мм;
відстань від очей до дисплея 550 мм;
простір для ніг 770 мм;
відстань від ніжки столу до краю
робочої поверхні столу 640 мм;
М - відстань між передньою поверхнею
тіла і краєм робочої поверхні столу 80 мм;
відстань від очей до документації
500 мм;
оптимальна зона моторного поля 360
мм;
висота робочої поверхні 800 мм;
кут огляду документів 30!.
Екран дисплея по висоті розташований
на столі так, що кут між нормаллю до центру екрану і горизонтальною лінією
погляду складає 20!. Кут спостереження екрану в
горизонтальній площині не перевищує 60° [14,15].
Передбачені
перерви, що регламентуються, для відпочинку тривалістю 15 хвилин після кожних
двох годин роботи.
4.5 Електробезпека
При проектуванні систем
електропостачання, при монтажі силової електроустаткуванні і електричного
освітлення в будівлях і приміщеннях для ЕОМ необхідно дотримуватися вимог
нормативно-технічної документації (ПУЕ, ПТЕ, ПТБ і ін.).
Рід струму - змінний, напруга в
мережі 220 / 380В. ЕОМ
є однофазним споживачем електроенергії від трифазної чотирьох провідної мережі
з глухо заземленою нейтраллю змінного струму частотою 50 Гц. По ступені
небезпеки поразки електричним струмом приміщення ставиться до приміщень з
підвищеної небезпеки [16].
Працівник, що поступає на роботу,
обов'язково проходить ввідний і первинний інструктаж по техніці безпеки в цілях
профілактики нещасних випадків, а також знайомиться з інструктажем по
дотриманню заходів техніки безпеки при роботі з ПЕВМ.
4.6
Пожежна безпека
Категорія приміщення по
вибухо-пожежонебезпеки - В [3 ],
вогнестійкість будівлі - II [4 ].
Зона класу приміщення П-IIа. Ступінь захисту оболонки для вказаної пожежонебезпечної
зони - IР44[17].
Можливими причинами пожеж в
приміщенні може бути несправність електропроводки і електроустаткування,
коротке замикання в мережі, зберігання горючих матеріалів, блискавка і т.д.
Згідно [18]
пожежна безпека забезпечується системами запобігання пожежі, пожежного захисту
і організаційно-технічними заходами.
В системі запобігання пожежі
передбачені наступні заходи: контроль і профілактика ізоляції, наявність
плавких запобіжників в устаткуванні, блискавкозахист будівлі. Для даного класу
пожежонебезпечної зони приміщення П-IIа, з урахуванням кількості грозових годин
у рік (20 годин), встановлено ІІ категорію блискавкозахисту [19].
Система пожежного захисту передбачає
забезпечення вогнегасниками -ВВК-8.
Організаційними заходами пожежної
профілактики є навчання виробничого персоналу протипожежним правилам, видання
необхідних інструкцій і плакатів, засобів наочної агітації.
4.7 Охорона навколишнього середовища
На робочому місці, що розглядається,
відсутні відходи, що забруднюють навколишнє середовище, оскільки устаткування
(ПЕВМ, принтер) не є джерелом забруднення навколишнього середовища. Проте при
виробленні ресурсу устаткування стає повторною сировиною і підлягає
утилізації[20].
висновки
Узагальнено
операції банків з цінними паперами поділяються на такі напрямки: інвестиційні;
торговельні; комісійні та довірчі; кредитні (з використанням цінних паперів як
боргового інструменту або як предмета застави); підтримання ліквідності та
рефінансування комерційних банків; зберігання цінних паперів, депозитарна
діяльність та ведення реєстрів власників іменних цінних паперів; пасивні
операції, утому числі випуск власних цінних паперів.
Банківський портфель
цінних паперів - це сукупність усіх придбаних банком цінних паперів, паїв та
вкладень в інші компанії, які здійснені за рахунок коштів, що перебувають у
розпорядженні банку, з метою отримання доходів у вигляді відсотків, дивідендів,
прибутків від перепродажу та інших прямих і непрямих доходів.
До
складу банківського портфеля цінних паперів входить значна кількість фінансових
інструментів, які мають різні характеристики щодо ризику, інфляції, системи
оподаткування, правил обігу тощо. Перелік цінних паперів, що перебувають в
обігу на конкретному ринку, регламентується чинним законодавством кожної
країни.
Отже,
портфель цінних паперів допомагає менеджменту банку досягти певних цілей і
результатів, які неможливо одержати інакше. Останнім часом банки все більше
уваги приділяють пошуку шляхів оптимізації структури портфелю цінних паперів та
вибору стратегії його формування.
Одним
зі шляхів збільшення прибутковості та зменшення ризиковості банківської системи
України є активізація діяльності кредитних установ на фондовому ринку, зокрема
шляхом формування власних інвестиційних портфелів за допомогою впровадження
сучасних фінансових інновацій. Розширення присутності комерційних банків на
ринку цінних паперів сприяло прискоренню трансформації економічних відносин в
Україні, адаптації вітчизняної фінансової системи до євростандартів та
інтеграції з міжнародними ринками капіталу.
Невід'ємною
складовою інвестиційного менеджменту в кредитних установах є проведення
фінансового обліку та аналізу для визначення об'єктів вкладення грошових
ресурсів. Традиційний підхід передбачає використання фундаментального або
технічного аналізів.
Бухгалтерський облік цінних паперів
ґрунтується на загальноприйнятих у міжнародній практиці принципах та стандартах
і ведеться відповідно до Інструкції з бухгалтерського обліку операцій із
цінними паперами в банках України (затверджена Постановою № 358 Правління НБУ
від 03.10.2005 р.).
В роботі запропоновано
методику аналізу прибутку від операцій з цінними паперами ПАТ
"МЕГАБАНК" з застосуванням методів багатовимірного статистичного
аналізу.
Можна
зробити висновок про істотний вплив на розмір прибутку від операцій з цінними
паперами (залежну змінну) всіх незалежних факторів, при цьому найвпливовішим
фактором є розмір загальних активів банку. На розмір прибутку впливає також
розмір чистої маржі операційного прибутку. Основний вплив на зниження розміру
отриманого у звітному році прибутку справило зменшення величини чистої маржі
операційного прибутку та досить значне збільшення обсягів простроченої
заборгованості.
Проведений
аналіз моделі у відповідності з таблицями регресійного аналізу свідчить про її
достатню адекватність. Умови нормальності закону розподілу залишків виконуються
з незначними відхиленнями, що свідчить про можливість її використання для
встановлення залежності між розміром прибутку від операцій з цінними паперами
як залежної змінної та обсягами загальних та дохідних активів, величиною чистої
маржі операційного прибутку та розміром простроченої заборгованості.
СПИСОК ДЖЕРЕЛ ІНФОРМАЦІЇ
1 Усоскин
В.М. Современный коммерческий банк: управление и операции. / В.М. Усрскин. -
М.: ИПЦ "Вазар-Ферро", 2010. - 228 с.
2 Банковское
дело: Учебник / Под редакцией Г.Н. Белоглазовой. - 5-е изд., перраб. и доп. -
М.: Финансы и статистика, 2010. - 592 с.
3 Дмитренко
М. Ощадно-кредитна система у контексті формування в Україні власної
інвестиційно-інноваційної політики. / М. Дмитренко // Вісник НБУ. - 2010. - №1.
- С. 16-18.
4 Маркова
О.М., Сахарова Л.С., Сидоров В.Н. Коммерческие банки и их операции. Учебное
пособие. / О.М. Маркова, Л.С.Сахарова, В.Н.Сидоров. - М.: Банки и биржи, ЮНИТИ,
2011. - 288 с.
5 Васюренко
О. В. Банківські операції: навч. посіб. / О. В. Васюренко. - [6-те вид.,
перероб. і доп.]. - К.: Знання, 2008. - 318 с.
Кириченко
О., Гіленко І., Ятченко А. Банківський менеджмент : Навч. посібн. /
О.Кириченко, І.Гіленко, А.Ятченко. - Київ "ОСНОВИ", 2004.- 456 с.
7 Про цінні папери та фондовий ринок :
Закон України від 23.02.2006 р. № 3480-ІV (зі змінами). - [Електрон. ресурс]. -
Режим доступу: <http://portal.rada.gov.ua>.
Банківські операції: Підручник. - 2-ге
вид., випр. і доп. / А.М. Мороз, М.І. Савлук, М.Ф. Пудовкіна та ін.; За ред.
д.е.н., проф.. А.М. Мороза. - К.: КНЕУ, 2009. - 476 с.
Про банки і банківську діяльність:
Закон України від 07.12.2000 р. № 2121-III (зі змінами та доповненнями)
[Електрон. ресурс]. - Режим доступу: http://portal.rada.gov.ua/.
Новые услуги и акции украинских банков.
- Интернет-сайт УФС - Новости. [Електрон. ресурс]. - Режим доступу:
<http://www.ufs.com.ua/news/> archive.php?Date=20050611#85311.
Проблеми планування портфеля активних
банківських операцій // Банківська справа. - 2011. - №2. - С. 17-19
Про затвердження Інструкції про порядок
регулювання діяльності банків в Україні: Постанова Правління Національного
банку України від 28.08.2001 № 368 (зі змінами та доповненнями) [Електрон.
ресурс]. - Режим доступу: <http://www.rada.gov.ua>.
Аналіз діяльності комерційного банку.
Навчальний посібник для студентів вищих навчальних закладів за спеціальністю
"Банківський менеджмент" / за ред. Проф. Ф.Ф. Бутинця та проф. А.М.
Герасимовича. - Житомир: ПП "Рута", 2002. - 384 с.
Івасів Б.С. Операції комерційних
банків: навчальний посібник. / Б.С.Івасів - К.: НМК ВО, 2009. - 284 с.
Аналіз операцій банків із векселями //
Вісник НБУ,грудень 2008. - № 10. - С.42-47
Брітченко І., Перепелиця Р. Роль
комерційних банків у розбудові фондового ринку України. / І. Брітченко,
Р.Перепелиця. // Вісник НБУ. - 2011. - №4. - С. 23-27.
Коцовська Р. Банківські операції / Р.
Коцовська. - Львів: Фенікс, 2007. - 315с.
Міщенко В. І. Банківські операції / В.
І. Міщенко, Н. Г. Слов’янська. - К.: Знання, 2007. - 796 с.
Вовчак О.Д. Банківська справа в
Україні: стан, проблеми та перспективи розвитку / О.Д. Вовчак // Фінанси
України. - 2010. - № 10. - С. 118 - С. 125.
Вовчак О.Д. Роль банків в економіці
України / О.Д. Вовчак // Фінанси України. - 2011. - № 10. - С. 100 - 109.
Волкова Н.И. Деньги, кредит, банки.
Учебное пособие. - Донецк. КИТИС, 2001. - 286 с.
Кириченко О. Банківський менеджмент:
навч. посіб. / О. Кириченко, І. Гіленко, А. Ятченко; за ред. О. Кириченко - К.:
Основи, 2007. - 671 с.
Кубів С. Банківська система України в
умовах глобалізації: % чи є альтернатива західному капіталу? // Вісник НБУ. -
2004. - № 10. - С. 38 - 39.
Про Національний банк України: Закон
України від 20.05.2000 р. № 689. (зі змінами та доповненнями) [Електрон.
ресурс]. - Режим доступу: <http://zakon.rada.gov.ua/>.
Пшик Б. Напрями діяльності українських
банків у сфері корпоративного фінансування./ Б. Пшик// Вісник НБУ. - 2005. -
№.7 - с. 40-44.
Тиркало Р.І., Щибиволок З.І. Фінансовий
аналіз комерційного банку: основи теорії, експрес-діагностика, рейтинг: Навч.
посібник. / Р.І.Тиркало, З.І. Щибиволок. - К.:2008. - 236 с.
Цивільний кодекс України [Електрон.
ресурс]. - Режим доступу:
http://zakon.rada.gov.ua/cgi-bin/laws/main.cgi?nreg=435-15.
Господарський кодекс України [Електрон.
ресурс]. - Режим доступу: http://zakon1.rada.gov.ua/cgi-bin/laws/main.cgi?nreg=436-15.
Інструкція про застосування Плану
рахунків бухгалтерського обліку банків України : Постанова Правління
Національного банку України від 17.06.2004 N 280 [Електрон. ресурс]. - Режим
доступу: <http://portal.rada.gov.ua>.
Фінансовий облік у банках : Навч.
посіб. // Г,П. Табачук, О.М. Сарахман, Т.М. Бречко. - К.: ЦУЛ, 2010. - 424 с.
Про бухгалтерський облік та фінансову
звітність в Україні : Закон України від 16.07.1999 р. № 996-ХІМ (зі змінами). -
[Електрон. ресурс]. - Режим доступу: http://portal.rada.gov.ua.
Положення про порядок формування
резерву під операції банків з цінними паперами, затверджене постановою
Правління НБУ від 02.02.2007 р. № 31 (зі змінами). - [Електрон. ресурс]. -
Режим доступу: <http://portal.rada.gov.ua>.
Положення про порядок здійснення
банками операцій з векселями в національній валюті на території України,
затверджене постановою Правління НБУ від 16.12.2002 р. № 508 (зі змінами). -
[Електрон. ресурс]. - Режим доступу: <http://portal.rada.gov.ua>.
Інструкція з бухгалтерського обліку
операцій з цінними паперами в банках України, затверджена постановою Правління
НБУ від 03.10.2005 р. № [Електрон. ресурс]. - Режим доступу:
<http://portal.rada.gov.ua>.
35 Халява
С. Прибутковість і ліквідність комерційних банків та управління грошовою
позицією. / С. Халява. // Вісник НБУ.-2000.-№ 12.-С.36.
36 Черкасов
В.Е. Финансовый анализ в коммерческом банке: Учебн. / В.Е. Черкасов. - М.:
ИНФРА-М, 2000. - 134 с.
37 Стратегія застосування Міжнародних
стандартів фінансової звітності в Україні, затверджена розпорядженням Кабінету
Міністрів України від 24.10.2007 р. № 911-р. - [Електрон. ресурс]. - Режим
доступу: http://portal.rada.gov.ua.
П(С)БО 12 "Фінансові
інвестиції", затверджене наказом МФУ від 26.04.2000 р. № 91. - [Електрон.
ресурс]. - Режим доступу: <http://portal.rada.gov.ua>.
IAS 28 Investments in Associates /
http:// www.iasplus.com
IAS 32 Financial Instruments:
Presentation / http:// www.iasplus.com
IFRS 5 Non-current Assets Held for Sale
and Discontinued Operations / http:// www.iasplus.com
Положення про організацію
бухгалтерського обліку та звітності в банках України: Постанова Правління
Національного банку України від 30.12.1998 №566 (зі змінами та доповненнями) [Електрон.
ресурс]. - Режим доступу: <http://www.rada.gov.ua>
Про фінансові послуги та державне
регулювання ринків фінансових послуг: Закон України вiд 12.07.2001 № 2664-III
(із змінами та доповненнями) [Електрон. ресурс]. - Режим доступу:
http://zakon.rada.gov.ua/cgi-bin/laws/main.cgi?nreg=2664-14.
Щибиволок З. І. Аналіз банківської
діяльності: навч. посіб. / З. І. Щибиволок. - [2-ге вид., стер.]. - К.: Знання,
2007. - 311 с.
Герасимович А. М. Аналіз банківської
діяльності / А. М. Герасимович, М. Д. Алексеєнко, І. М. Парасій-Вергуненко та
ін.; за ред. А.М. Герасимовича. - [2-е вид., без змін]. - К.: КНЕУ, 2006. - 599
с.
Галенко О.М. Методи економічного
аналізу цінних паперів для формування інвестиційного портфеля на фінансовому
ринку України: Автореф. дис... канд. екон. наук: 08.06.04 / Київський
національний економічний ун-т. - К., 1999. - 19с.
Про охорону праці : Закон України від
14 жовтня 1992 № 2694-XII http://portal.rada.gov.ua.
ГОСТ 12.0.003 - 74* ССБТ. Опасные и
вредные производственные факторы. Классификация. - Введ. 01.01.76.
ГОСТ 12.1.003-83* ССБТ. Шум. Общие
требования безопасности. - Введ. 01.01.1984.
ГОСТ 12.1.038-82 ССБТ.
Электробезопасность. Предельно-допустимые значения напряжений прикосновения и
токов - Введ.01.07.83.
СНиП II-4-79. Естественное и
искусственное освещение. Нормы проектирования. - М .: Стройиздат, 1980. -110с.
ДСанПіН 3.32-007-98Державні санітарні
правила і норми роботи з візуальними дисплейними терміналами
електронно-обчислювальних машин.-К., 1998 р.
ДСТУ ГОСТ 12.1.012:2008 Вібраційна
безпека. Загальні вимоги. - Введ. 2008.
ГОСТ 12.1.005-88 ССБТ. Общие
санитарно-гигиенические требования к воздуху рабочей зоны. - Введ. 01.01.89.
НПАОП 0.00 - 1.28 - 10 Правила охорони
праці під час експлуатації електронно-обчислювальних машин. Харків, 2010 р.
СНиП 2.04.05-91 Нормы проектирования.
Отопление, вентиляция и кондиционирование воздуха. - М.: Стройиздат, 1991
Правила охраны труда при эксплуатации
электронно-вычислительных машин. Харьков 1999 г.
Державні санітарні правила і норми
роботи з візуальними дисплейними терміналами електронно-обчислювальних машин
ДСанПіН 3.3.2.007, Київ 1998.
ПУЭ-87. Правила устройства
электроустановок. - М. :Энергоатомиздат, 1987.
ГОСТ 12.1.030-81 ССБТ.
Электробезопасность. Защитное заземление. Зануление. Введ.01.01.82.
ГОСТ 12.1.004-91 Пожарная безопасность.
Общие требования. Введ.01.01.92
НАПБ Б.03.002-2007 Норми визначення
категорій приміщень, будинків та зовнішніх установок за вибухопожежною та
пожежною небезпекою. Київ -2007.
ДБН В.1.1 - 7 - 2002 Державні
будівельні норми. Захист від пожежі. Пожежна безпека об’єктів будівництва. - К:
2002 - 41 с
НПАОП 40.1 - 1.32 - 01 Правила будови
електроустановок. Електрообладнання спеціальних установок. Київ-2001.
ДСТУ Б.В.2.5-36:2008 Улаштування блискавкозахисту
будівель і споруд.IEC 62305: "NEG" - Київ: МIНРЕГІОНБУД України 2008.
Про охорону навколишнього природного
середовища : Закон України 25.06.1991 № 1264-XII.
ДОДАТКИ
ДОДАТОК А
Баланс
ПАТ
"Мегабанк" за 2011 р.
|
Рядок
|
Найменування статті
|
На 01.01.2012р
|
На 01.01.2011р
|
|
АКТИВИ
|
|
|
|
1
|
Кошти в Національному банку
України та готівкові кошти банку
|
78679
|
76591
|
|
2
|
Цінні папери, що рефінансуються
Національним банком України
|
0
|
1807
|
|
2.1
|
Резерви під знецінення боргових
цінних паперів, що рефінансуються НБУ
|
0
|
0
|
|
2.2
|
Резерви у відсотках до активу
|
0
|
0
|
|
3
|
Кошти в інших банках
|
149716
|
100788
|
|
3.1
|
Резерви під заборгованість інших
банків
|
(797)
|
(1149)
|
|
3.2
|
Резерви у відсотках до активу
|
1
|
1
|
|
4
|
Цінні папери в торговому портфелі
банку
|
0
|
0
|
|
5
|
Цінні папери в портфелі банку на
продаж
|
81954
|
62647
|
|
5.1
|
Резерви під знецінення цінних
паперів у портфелі банку на продаж
|
(360)
|
(535)
|
|
5.2
|
Резерви у відсотках до активу
|
0
|
1
|
|
6
|
Кредити, що надані:
|
744385
|
501345
|
|
6.1
|
Юридичним особам
|
581398
|
433266
|
|
6.2
|
Фізичним особам
|
162987
|
68079
|
|
6.3
|
Резерви під заборгованість за
кредитами
|
(16210)
|
(8284)
|
|
6.4
|
Резерви у відсотках до активу
|
2
|
2
|
|
7
|
Цінні папери, що утримуються до
погашення
|
0
|
0
|
|
7.1
|
Резерви під знецінення цінних
паперів, що утримуються до погашення
|
0
|
0
|
|
7.2
|
Резерви у відсотках до активу
|
0
|
0
|
|
8
|
Інвестиції в асоційовані й дочірні
компанії
|
36
|
743
|
|
9
|
Основні засоби
|
70831
|
67601
|
|
10
|
Нематеріальні активи
|
219
|
319
|
|
11
|
Нараховані доходи до отримання:
|
4427
|
7778
|
|
11.1
|
У тому числі прострочені
нараховані доходи
|
1279
|
1740
|
|
11.2
|
У тому числі сумнівні нараховані доходи
|
818
|
236
|
|
|
11.3
|
Резерви під заборгованість за нарахованими
доходами
|
(2031)
|
(1787)
|
|
|
11.4
|
Резерви у відсотках до активу
|
97
|
90
|
|
|
12
|
Відстрочений податковий актив
|
1237
|
1172
|
|
|
13
|
Інші активи
|
8639
|
3152
|
|
|
13.1
|
Резерви під інші активи
|
(1)
|
(59)
|
|
|
13.2
|
Резерви у відсотках до активу
|
0
|
5
|
|
|
14
|
Довгострокові активи, призначені
для продажу
|
0
|
0
|
|
|
14.1
|
Резерви під зменшення корисності
інвестицій в асоційовані й дочірні компанії, що утримуються з метою продажу
|
0
|
0
|
|
|
14.2
|
Резерви у відсотках до активу
|
0
|
0
|
|
|
15
|
Усього активів
|
1120724
|
812129
|
|
|
ЗОБОВ’ЯЗАННЯ
|
|
|
|
|
16
|
Кошти банків
|
37249
|
24745
|
|
|
17
|
Кошти юридичних осіб
|
331885
|
264185
|
|
|
18
|
Кошти фізичних осіб
|
499073
|
365231
|
|
|
19
|
Ощадні (депозитні) сертифікати,
емітовані банком
|
0
|
0
|
|
|
20
|
Боргові цінні папери, емітовані
банком
|
1665
|
0
|
|
|
21
|
Нараховані витрати, що мають бути
сплачені
|
7444
|
4219
|
|
|
22
|
Відстрочені податкові зобов'язання
|
5721
|
|
|
23
|
Інші зобов'язання
|
49888
|
37470
|
|
|
24
|
Усього зобов'язань
|
932925
|
701775
|
|
|
ВЛАСНИЙ КАПІТАЛ
|
|
|
|
|
25
|
Статутний капітал
|
115000
|
50104
|
|
|
26
|
Власні акції (частки, паї), що
викуплені в акціонерів (учасників)
|
0
|
(256)
|
|
|
27
|
Емісійні різниці
|
138
|
0
|
|
|
28
|
Резерви, капіталізовані дивіденди
та інші фонди банку
|
42471
|
36995
|
|
|
29
|
Резерви переоцінки основних
засобів, у тому числі:
|
17493
|
17493
|
|
|
29.1
|
Резерви переоцінки нерухомості
|
17493
|
17493
|
|
|
29.2
|
Резерви переоцінки нематеріальних активів
|
0
|
0
|
|
|
30
|
Резерви переоцінки цінних паперів
|
1012
|
404
|
|
|
31
|
Прибуток/Збиток минулих років
|
405
|
0
|
|
|
32
|
Прибуток/Збиток поточного року
|
11280
|
5614
|
|
|
33
|
Усього власного капіталу
|
187799
|
110354
|
|
|
34
|
Усього пасивів
|
1120724
|
812129
|
|
|
|
|
|
|
|
ДОДАТОК Б
Баланс
ПАТ
"Мегабанк" за 2010 р.
|
Рядок
|
Найменування статті
|
На 01.01.2011р
|
На 01.01.2010р
|
|
АКТИВИ
|
|
|
|
1
|
Кошти в Національному банку
України та готівкові кошти банку
|
76591
|
41616
|
|
2
|
Цінні папери, що рефінансуються
Національним банком України
|
1807
|
0
|
|
2.1
|
Резерви під знецінення боргових
цінних паперів, що рефінансуються НБУ
|
0
|
0
|
|
2.2
|
Резерви у відсотках до активу
|
0
|
0
|
|
3
|
Кошти в інших банках
|
100788
|
114821
|
|
3.1
|
Резерви під заборгованість інших
банків
|
(1149)
|
(1257)
|
|
3.2
|
Резерви у відсотках до активу
|
1
|
1
|
|
4
|
Цінні папери в торговому портфелі
банку
|
0
|
0
|
|
5
|
Цінні папери в портфелі банку на
продаж
|
62647
|
41705
|
|
5.1
|
Резерви під знецінення цінних
паперів у портфелі банку на продаж
|
(535)
|
(398)
|
|
5.2
|
Резерви у відсотках до активу
|
1
|
1
|
|
6
|
Кредити, що надані:
|
501345
|
392527
|
|
6.1
|
Юридичним особам
|
433266
|
339075
|
|
6.2
|
Фізичним особам
|
68079
|
43469
|
|
6.3
|
Резерви під заборгованість за
кредитами
|
(8284)
|
(5504)
|
|
6.4
|
Резерви у відсотках до активу
|
2
|
2
|
|
7
|
Цінні папери, що утримуються до
погашення
|
0
|
0
|
|
7.1
|
Резерви під знецінення цінних
паперів, що утримуються до погашення
|
0
|
0
|
|
7.2
|
Резерви у відсотках до активу
|
0
|
0
|
|
8
|
Інвестиції в асоційовані й дочірні
компанії
|
743
|
14237
|
|
9
|
Основні засоби
|
67601
|
45018
|
|
10
|
Нематеріальні активи
|
319
|
302
|
|
11
|
Нараховані доходи до отримання:
|
7778
|
3238
|
|
11.1
|
У тому числі прострочені
нараховані доходи
|
1740
|
506
|
|
11.2
|
У тому числі сумнівні нараховані доходи
|
236
|
96
|
|
11.3
|
Резерви під заборгованість за нарахованими
доходами
|
(1787)
|
(512)
|
|
11.4
|
Резерви у відсотках до активу
|
90
|
26
|
|
12
|
Відстрочений податковий актив
|
1172
|
0
|
|
13
|
Інші активи
|
3152
|
4297
|
|
13.1
|
Резерви під інші активи
|
(59)
|
0
|
|
13.2
|
Резерви у відсотках до активу
|
5
|
0
|
|
14
|
Довгострокові активи, призначені
для продажу
|
0
|
0
|
|
14.1
|
Резерви під зменшення корисності
інвестицій в асоційовані й дочірні компанії, що утримуються з метою продажу
|
0
|
0
|
|
14.2
|
Резерви у відсотках до активу
|
0
|
0
|
|
15
|
Усього активів
|
812129
|
594678
|
|
ЗОБОВ’ЯЗАННЯ
|
|
|
|
16
|
Кошти банків
|
24745
|
47711
|
|
17
|
Кошти юридичних осіб
|
264185
|
159669
|
|
18
|
Кошти фізичних осіб
|
365231
|
269671
|
|
19
|
Ощадні (депозитні) сертифікати,
емітовані банком
|
0
|
0
|
|
20
|
Боргові цінні папери, емітовані
банком
|
0
|
4524
|
|
21
|
Нараховані витрати, що мають бути
сплачені
|
4219
|
2594
|
|
22
|
Відстрочені податкові зобов'язання
|
5925
|
0
|
|
23
|
Інші зобов'язання
|
37470
|
38902
|
|
24
|
Усього зобов'язань
|
701775
|
513071
|
|
ВЛАСНИЙ КАПІТАЛ
|
|
|
|
25
|
Статутний капітал
|
50104
|
44188
|
|
26
|
Власні акції (частки, паї), що
викуплені в акціонерів (учасників)
|
(256)
|
(5)
|
|
27
|
Емісійні різниці
|
0
|
0
|
|
28
|
Резерви, капіталізовані дивіденди
та інші фонди банку
|
36995
|
26329
|
|
29
|
Резерви переоцінки основних
засобів, у тому числі:
|
17493
|
430
|
|
29.1
|
Резерви переоцінки нерухомості
|
17493
|
25
|
|
29.2
|
Резерви переоцінки нематеріальних активів
|
0
|
405
|
|
30
|
Резерви переоцінки цінних паперів
|
404
|
405
|
|
31
|
Прибуток/Збиток минулих років
|
0
|
0
|
|
32
|
Прибуток/Збиток поточного року
|
5614
|
10665
|
|
33
|
Усього власного капіталу
|
110354
|
81607
|
|
34
|
Усього пасивів
|
812129
|
594678
|
|
|
|
|
|
ДОДАТОК В
Звіт ПАТ "Мегабанк" Про
фінансові результати за 2011 р.
|
Рядок
|
Найменування статті
|
На 01.01.2012р
|
На 01.01.2011р
|
|
1
|
2
|
3
|
4
|
|
1
|
Чистий процентний дохід:
|
36892
|
27445
|
|
1.1
|
Процентний дохід
|
100501
|
75821
|
|
1.2
|
Процентні витрати
|
(63609)
|
(48376)
|
|
2
|
Чистий комісійний дохід
|
48413
|
41839
|
|
2.1
|
Комісійний дохід
|
49590
|
42531
|
|
2.2
|
Комісійні витрати
|
(1177)
|
(692)
|
|
3
|
Торговельний дохід
|
2508
|
3032
|
|
4
|
Дохід у вигляді дивідендів
|
258
|
184
|
|
5
|
Дохід від участі в капіталі
|
0
|
0
|
|
6
|
Інший дохід
|
4454
|
3521
|
|
7
|
Усього доходів
|
92525
|
76021
|
|
8
|
Загальні адміністративні витрати
|
(24438)
|
(24791)
|
|
9
|
Витрати на персонал
|
(26290)
|
|
10
|
Втрати від участі в капіталі
|
(9)
|
(9)
|
|
11
|
Інші витрати
|
(13944)
|
(11650)
|
|
12
|
Прибуток від операцій
|
23377
|
13281
|
|
13
|
Чисті витрати на формування
резервів
|
(7600)
|
(5189)
|
|
14
|
Дохід/Збиток від довгострокових активів, призначених для продажу
|
0
|
0
|
|
15
|
Прибуток до оподаткування
|
15777
|
8092
|
|
16
|
Витрати на податок на прибуток
|
(4497)
|
(2478)
|
|
17
|
Прибуток після оподаткування
|
11280
|
5614
|
|
18
|
Чистий прибуток/збиток від продажу довгострокових активів, призначених
для продажу
|
0
|
0
|
|
19
|
Чистий прибуток/збиток банку
|
11280
|
5614
|
|
20
|
Чистий прибуток на одну просту акцію (грн.)
|
0,15
|
0,11
|
|
21
|
Скоригований чистий прибуток на одну просту акцію (грн.)
|
0,15
|
0,11
|
ДОДАТОК Г
Звіт ПАТ "Мегабанк" Про
фінансові результати за 2010 р.
|
Рядок
|
Найменування статті
|
На 01.01.2010
|
На 01.01.2009
|
|
1
|
2
|
3
|
4
|
|
1
|
Чистий процентний дохід:
|
19277
|
19749
|
|
1.1
|
Процентний дохід
|
57016
|
34532
|
|
1.2
|
Процентні витрати
|
(37739)
|
(14783)
|
|
2
|
Чистий комісійний дохід
|
33312
|
27725
|
|
2.1
|
Комісійний дохід
|
33825
|
28123
|
|
2.2
|
Комісійні витрати
|
(513)
|
(398)
|
|
3
|
Торговельний дохід
|
3401
|
582
|
|
4
|
Дохід у вигляді дивідендів
|
0
|
227
|
|
5
|
Дохід від участі в капіталі
|
5611
|
0
|
|
6
|
Інший дохід
|
20688
|
0
|
|
7
|
Усього доходів
|
(1241)
|
1021
|
|
8
|
Загальні адміністративні витрати
|
81047
|
49304
|
|
9
|
Витрати на персонал
|
(22501)
|
(17016)
|
|
10
|
Втрати від участі в капіталі
|
(21694)
|
(15343)
|
|
11
|
Інші витрати
|
(20)
|
0
|
|
12
|
Прибуток від операцій
|
(29428)
|
(12607)
|
|
13
|
Чисті витрати на формування
резервів
|
7405
|
4338
|
|
14
|
Дохід/Збиток від довгострокових активів, призначених для продажу
|
(492)
|
170
|
|
15
|
Прибуток до оподаткування
|
6913
|
4508
|
|
16
|
Витрати на податок на прибуток
|
(1154)
|
(2755)
|
|
17
|
Прибуток після оподаткування
|
5759
|
1753
|
|
18
|
Чистий прибуток/збиток від продажу довгострокових активів, призначених
для продажу
|
1
|
0
|
|
19
|
Чистий прибуток/збиток банку
|
5758
|
1753
|
|
20
|
Чистий прибуток на одну просту акцію (грн.)
|
0,15
|
0,05
|
|
21
|
Скоригований чистий прибуток на одну просту акцію (грн.)
|
0,15
|
0,05
|