Развитие воспитания в системе образования России
Курсовая работа
Развитие воспитания в системе
образования России
Оглавление
Введение
Дерево целей
Построение дерева целей
Расчет коэффициентов относительной важности
Дерево целей с рассчитанными КОВ
Деревья мероприятий
Дерево мероприятий для подцели «Разработка законодательства,
государственных программ»
Дерево мероприятий для подцели «Выделение ресурсов, поддержка
социально значимых воспитательных проектов»
Дерево мероприятий для подцели «Условия необходимые для
системы воспитания»
Дерево мероприятий для подцели «Повысить объем производства и
издания современной литературы, посвященной проблеме воспитания»
Дерево мероприятий для подцели «Установить минимальные цены
на периодические журналы, освещающие проблему воспитания и образования»
Дерево мероприятий для подцели «Курсы повышения квалификации»
Дерево мероприятий для подцели «Семинары по проблеме
воспитания»
Дерево мероприятий для подцели «Увеличить спортплощадки,
секции, кружки»
Дерево мероприятий для подцели «Доступность посещения театров,
кинозалов»
Сетевой график
Перечень работ
Сетевой график (последовательность работ)
Заключение
дерево целей воспитание квалификация
педагог
Введение
С помощью системного анализа можно исследовать различные
социально-экономические процессы и системы для лучшего понимания проблемы и
поиска мероприятий по ее разрешению. В данной расчетной работе мы с помощью
методов системного анализа рассмотрим воспитательную проблему, чтобы на уровне
современного образования развить физически, нравственно здоровую личность. Т.к.
данная проблема имеет множество аспектов, предполагающих различные варианты их
решения, она может считаться достаточно сложной и противоречивой. Для выбора
наиболее подходящих вариантов решения этой проблем, а также для создания плана
действий по реализации всего комплекса работ, обеспечивающих ее решение, мы
построим дерево целей и деревья мероприятий, рассчитаем коэффициенты
относительной важности и построим сетевой график выполнения работ.
Таким образом, можно определить цель данного исследования как создание
оптимального плана действий по усовершенствованию современного образования в
России.
Исходя из цели исследования, были поставлены следующие задачи:
- выявить проблемную ситуацию;
детализировать проблему;
- решить проблему с помощью методов системного анализа.
Объектом исследования - это как развить физически и нравственно здоровую
личность.
Предмет исследования - процесс разработки воспитания детей и молодежи.
Дерево целей
Теоретической основой написания работы послужили лекции и учебно-методический
комплекс Кричевского А.И.
Построение дерева целей
Расчет коэффициентов относительной
важности
Расчет коэффициентов относительной важности (КОВ) подцелей (1-ый уровень
дерева целей):
Матрица опроса экспертов:
Здесь эксперты присваивают ранги (места) подцелям, выполняя следующее
задание: «Расставьте подцели по местам исходя из их важности для достижения
главной цели».
Наша задача определить КОВ подцелей, т.е. их удельный вес в составе
главной цели.
Это значит, что более важной подцели должно соответствовать большое число
(в отличие от присвоение рангов в исходной матрице опроса), поэтому нам
необходимо выполнить расчет преобразования рангов по формуле: (max ранг - ранг эксперта).
Матрица преобразованных рангов:
|
Подцели
|
Эксперты
|
Сумма
|
КОВ
|
|
|
1
|
2
|
3
|
4
|
5
|
|
|
|
Разработать гос. стратегию
в вопросах воспитания детей и молодежи
|
3
|
2
|
3
|
2
|
2
|
12
|
0,387
|
|
Научно-методическая
обеспеченность
|
1
|
0
|
1
|
2
|
0
|
4
|
0,129
|
|
Повысить квалификацию
работникам образовательных учреждений
|
2
|
1
|
0
|
3
|
1
|
7
|
0,225
|
|
Разнообразие и доступность
инфраструктуры детского досуга
|
0
|
3
|
2
|
0
|
3
|
8
|
0,259
|
|
|
|
|
|
|
31
|
1
|
Вывод на основе расчета КОВ на первом уровне:
При детализации главная цель «Современное образование - развитие
физически, нравственно здоровой личности» была разбита на 4 неравнозначные
подцели:
разработать государственную стратегию в вопросах воспитания детей и
молодежи - 38,7%;
научно - методическая обеспеченность - 12,9%;
повысить квалификацию работникам образовательных учреждений - 22,5%;
разнообразие и доступность инфраструктуры детского досуга - 25,9%.
На основе анализа КОВ мы видим, что эксперты определили важнейшей
подцелью в достижении главной цели разработку гос. стратегии в вопросах
воспитания детей и молодежи (0,387). Из этого следует, что эксперты считают,
что именно разработке государственных стратегий следует уделить наибольшее
внимание. На 2 -ом месте оказалась подцель «Разнообразие и доступность
инфраструктуры образовательных учреждений» - 0,259. Она также важна, т.к.
детский досуг означает, что меньше детей будет слоняться по улицам. На третьем
месте повышение квалификации работникам образовательных учреждений - 0,225
означает, что профессионализм необходим для работников этой сферы деятельности.
И последнее по весомости подцель - научно-методическая обеспеченность - 0,129,
что необходимо для совершенствования в вопросах воспитания.
Все эти подцели в детализированном виде представляют нашу главную единую
цель и поэтому, эффективно разрабатывая программы для достижения всех этих
подцелей и достигая их, мы достигаем и главную цель.
Расчет КОВ дерева целей второй уровень.
Матрица опроса экспертов.
При определении КОВ подцелей 2 -го уровня, мы используем ту же методику,
что и на первом уровне, рассматривая последовательность разбиения подцелей 1 -
го уровня на составные части. При этом мы вначале определяем пропорцию, в
которой данная подцель разбивается на составные части, а затем в такой же
пропорции разделяем КОВ вышестоящей подцели. Это обеспечит выполнение следующих
необходимых требований расчета КОВ.
сумма КОВ подцелей равна КОВ вышестоящей подцели (цели);
сумма КОВ всех подцелей одного уровня дерева целей равна 1.
|
Подцели
|
Эксперты
|
|
|
1
|
2
|
3
|
4
|
5
|
|
Разработка
законодательства, государственных программ
|
1
|
2
|
2
|
3
|
1
|
|
Выделение ресурсов,
поддержка социально значимых воспитательных проектов
|
3
|
1
|
3
|
2
|
3
|
|
Создать условия необходимые
для формирования системы воспитания подрастающего поколения
|
2
|
3
|
1
|
1
|
2
|
Матрица преобразованных рангов:
|
Подцели
|
Эксперты
|
Сумма
|
|
КОВ
|
|
|
1
|
2
|
3
|
4
|
5
|
|
|
|
|
Разработка
законодательства, государственных программ
|
2
|
1
|
1
|
0
|
2
|
6
|
0,4
|
0,155
|
|
Выделение ресурсов,
поддержка социально значимых воспитательных проектов
|
0
|
2
|
0
|
1
|
0
|
3
|
0,2
|
0,077
|
|
Создать условия необходимые
для формирования системы воспитания подрастающего поколения
|
1
|
0
|
2
|
2
|
1
|
6
|
0,4
|
0,155
|
|
|
|
|
|
|
15
|
1
|
0,387
|
Матрица опроса экспертов:
|
Подцели
|
Эксперты
|
|
|
1
|
2
|
3
|
4
|
5
|
|
Повысить объем производства
и издания современной литературы, посвященной проблеме воспитания
|
2
|
1
|
1
|
2
|
1
|
|
Установить минимальные цены
на периодические журналы, освещающие проблемы воспитания и образования для образовательных
учреждений
|
1
|
2
|
2
|
1
|
2
|
Матрица преобразованных рангов:
|
Подцели
|
Эксперты
|
Сумма
|
|
КОВ
|
|
|
1
|
2
|
3
|
4
|
5
|
|
|
|
|
Повысить объем производства
и издания современной литературы, посвященной проблеме воспитания
|
0
|
1
|
1
|
0
|
0
|
2
|
0,4
|
0,052
|
|
Установить минимальные цены
на периодические журналы, освещающие проблемы воспитания и образования для
образовательных учреждений
|
1
|
0
|
0
|
1
|
1
|
3
|
0,6
|
0,077
|
|
|
|
|
|
|
5
|
1
|
0,129
|
Матрица опроса экспертов:
|
Подцели
|
Эксперты
|
|
|
1
|
2
|
3
|
4
|
5
|
|
Курсы повышения
квалификации
|
2
|
2
|
1
|
2
|
1
|
|
Семинары по проблеме
воспитания
|
1
|
1
|
2
|
1
|
2
|
Матрица преобразования рангов:
|
Подцели
|
Эксперты
|
Сумма
|
|
КОВ
|
|
|
1
|
2
|
3
|
4
|
5
|
|
|
|
|
Курсы повышения
квалификации
|
0
|
0
|
1
|
0
|
1
|
2
|
0,4
|
0,09
|
|
Семинары по проблеме
воспитания
|
1
|
1
|
0
|
1
|
0
|
3
|
0,6
|
0,135
|
|
|
|
|
|
|
5
|
1
|
0,225
|
Матрица опроса экспертов:
|
Подцели
|
Эксперты
|
|
|
1
|
2
|
3
|
4
|
5
|
|
Увеличить спортивные
площадки, секции, кружки
|
1
|
1
|
2
|
1
|
1
|
|
Доступность посещения
театров, кинозалов, цирк и т.д.
|
2
|
2
|
1
|
2
|
2
|
Матрица преобразования рангов:
|
Подцели
|
Эксперты
|
Сумма
|
|
КОВ
|
|
|
1
|
2
|
3
|
4
|
5
|
|
|
|
|
Курсы повышения
квалификации
|
1
|
1
|
0
|
1
|
1
|
4
|
0,8
|
0,207
|
|
Семинары по проблеме
воспитания
|
0
|
0
|
1
|
0
|
0
|
1
|
0,2
|
0,052
|
|
|
|
|
|
|
5
|
1
|
0,259
|
Дерево целей с рассчитанными КОВ
Вывод на основе расчета КОВ на 2 -ом уровне дерева целей.
На основе исследования второго уровня подцелей можно определить участие
подцели в достижении главной подцели более подробно.. Из рисунка видно, что
достаточно весомой подцелью эксперты сочли «Увеличить спортивные площадки,
секции, кружки» (20,7%). Эксперты подсчитали, что для здорового развитие
необходимо занять досуг детей и иметь хорошую физическую форму. Также важную
роль играет разработка законодательства и гос. программы для создания
необходимых условий формирования системы воспитания подрастающего поколения
(15,5%). Немаловажную роль играет каменданский час для несовершеннолетних
детей. Еще важны семинары для работников образовательных учреждений (13,5%), где
научат правильно вести себя с трудными подростками.
Далее по важности идет подцель «Курсы повышения квалификации» (0,9%).
Время не стоит на месте и работник образовательного учреждения должен быть
всегда современным и грамотным. Конечно, для всего этого нужны ресурсы для
поддержки социально значимых воспитательных проектов (7,7%), а также повысить
свои знания за счет периодических журналов (7,7%). Для этого надо повысить
объем производства и издания современной литературы (5,2%) .Ну и конечно,
доступное посещение театров, кинозалов и т.п. (5,2%).
Полученные значения КОВ, позволяют нам оценить в какой степени реализации
той или иной подцели продвигает нас к главной цели. Таким образом, мы,
используя КОВ как критерий уровня достижения цели при достижении отдельных
подцелей, что необходимо при управлении всем процессом выполнения мероприятий
по достижении цели.
Дерево мероприятий
Дерево мероприятий для подцели
«Разработка законодательства, государственных программ»
Критерии, которые необходимо брать в учет при взвешивании альтернатив:
эффективность варианта;
сложность реализации варианта;
затраты времени на подготовку варианта;
денежные затраты на реализацию варианта.
Расчет весовых коэффициентов критериев семейства 1.
Матрица опроса экспертов:
|
Критерии (факторы)
|
Эксперты
|
|
1
|
2
|
3
|
4
|
5
|
|
Эффективность варианта
(время до получения результата)
|
1
|
2
|
3
|
1
|
1
|
|
Сложность реализации
варианта
|
3
|
4
|
2
|
3
|
|
Затраты времени на
подготовку
|
2
|
3
|
4
|
4
|
4
|
|
Денежные затраты на
реализацию варианта
|
4
|
1
|
1
|
3
|
2
|
Матрица преобразованных рангов:
|
Критерии (факторы)
|
Эксперты
|
Сумма
|
КВ
|
|
1
|
2
|
3
|
4
|
5
|
|
|
|
Эффективность варианта
(время до получения результата)
|
3
|
2
|
1
|
3
|
3
|
12
|
0,4
|
|
Сложность реализации
варианта
|
1
|
0
|
2
|
2
|
1
|
6
|
0,2
|
|
Затраты времени на
подготовку
|
2
|
1
|
0
|
0
|
0
|
3
|
0,1
|
|
Денежные затраты на
реализацию варианта
|
0
|
3
|
3
|
1
|
2
|
9
|
0,3
|
|
|
|
|
|
|
30
|
1
|
Расчет весов альтернатив 1 -го семейства. Фактор - 1 эффективность
варианта (время до получения результата).
Матрица опроса экспертов:
|
Альтернативы
|
Эксперты
|
|
1
|
2
|
3
|
4
|
5
|
|
Определение конкретных
целей и задач воспитания
|
1
|
1
|
2
|
1
|
2
|
|
Моделирование
воспитательного пространства в целях обеспечения самоопределения личности
|
2
|
2
|
1
|
2
|
1
|
Матрица преобразованных рангов:
|
Альтернативы
|
Эксперты
|
Сумма
|
КВ
|
|
1
|
2
|
3
|
4
|
5
|
|
|
|
Определение конкретных
целей и задач воспитания
|
1
|
1
|
0
|
1
|
0
|
3
|
0,6
|
|
Моделирование
воспитательного пространства в целях обеспечения самоопределения личности
|
0
|
0
|
1
|
0
|
1
|
2
|
0,4
|
|
|
|
|
|
|
5
|
1
|
Фактор 2 - сложность реализации варианта
Матрица опроса экспертов:
|
Альтернативы
|
Эксперты
|
|
1
|
2
|
3
|
4
|
5
|
|
Определение конкретных
целей и задач воспитания
|
2
|
2
|
2
|
2
|
1
|
|
Моделирование
воспитательного пространства в целях обеспечения самоопределения личности
|
1
|
1
|
1
|
1
|
2
|
Матрица преобразованных рангов:
|
Альтернативы
|
Эксперты
|
Сумма
|
КВ
|
|
1
|
2
|
3
|
4
|
5
|
|
|
|
Определение конкретных
целей и задач воспитания
|
0
|
0
|
0
|
0
|
1
|
1
|
0,2
|
|
Моделирование
воспитательного пространства в целях обеспечения самоопределения личности
|
1
|
1
|
1
|
1
|
0
|
4
|
0,8
|
|
|
|
|
|
|
5
|
1
|
Фактор 3 - затраты времени на подготовку.
Матрица опроса экспертов:
|
Альтернативы
|
Эксперты
|
|
1
|
2
|
3
|
4
|
5
|
|
Определение конкретных
целей и задач воспитания
|
1
|
1
|
1
|
1
|
2
|
|
Моделирование
воспитательного пространства в целях обеспечения самоопределения личности
|
2
|
2
|
2
|
2
|
1
|
Матрица преобразованных рангов:
|
Альтернативы
|
Эксперты
|
Сумма
|
КВ
|
|
1
|
2
|
3
|
4
|
5
|
|
|
|
Определение конкретных
целей и задач воспитания
|
1
|
1
|
1
|
1
|
0
|
4
|
0,8
|
|
Моделирование
воспитательного пространства в целях обеспечения самоопределения личности
|
0
|
0
|
0
|
0
|
1
|
1
|
0,2
|
|
|
|
|
|
|
5
|
1
|
Фактор 4 - денежные затраты на реализацию варианта:
Матрица опроса экспертов:
|
Альтернативы
|
Эксперты
|
|
1
|
2
|
3
|
4
|
5
|
|
Определение конкретных
целей и задач воспитания
|
1
|
2
|
1
|
2
|
1
|
|
Моделирование
воспитательного пространства в целях обеспечения самоопределения личности
|
2
|
1
|
2
|
1
|
2
|
Матрица преобразованных рангов:
|
Альтернативы
|
Эксперты
|
Сумма
|
КВ
|
|
1
|
2
|
3
|
4
|
5
|
|
|
|
Определение конкретных
целей и задач воспитания
|
1
|
0
|
1
|
0
|
1
|
3
|
0,6
|
|
Моделирование
воспитательного пространства в целях обеспечения самоопределения личности
|
0
|
1
|
0
|
1
|
0
|
2
|
0,4
|
|
|
|
|
|
|
5
|
1
|
Итоговая таблица расчета альтернатив семейства 1:
|
Критерии (факторы)
|
КВ
|
Применение существующих
норм
|
Самостоятельный расчет
|
Сумма
|
|
Эффективность варианта
(время до получения результата)
|
0,4
|
0,6
|
0,4
|
1
|
|
Сложность реализации
варианта
|
0,2
|
0,2
|
0,28
|
1
|
|
Затраты времени на
подготовку
|
0,1
|
0,8
|
0,2
|
1
|
|
Денежные затраты на реализацию
варианта
|
0,3
|
0,6
|
0,4
|
1
|
|
Итоговые оценки
|
1
|
0,54
|
0,46
|
1
|
Расчет весовых коэффициентов критериев семейства 2:
Матрица опроса экспертов:
|
Критерии (факторы)
|
Эксперты
|
|
1
|
2
|
3
|
4
|
5
|
|
Эффективность варианта
(время до получения результата)
|
1
|
2
|
2
|
4
|
3
|
|
Сложность реализации
варианта
|
2
|
3
|
1
|
1
|
4
|
|
Затраты времени на
подготовку
|
4
|
4
|
4
|
3
|
2
|
|
Денежные затраты на
реализацию варианта
|
3
|
1
|
3
|
2
|
1
|
Матрица преобразованных рангов:
|
Критерии (факторы)
|
Эксперты
|
Сумма
|
КВ
|
|
1
|
2
|
3
|
4
|
5
|
|
|
|
Эффективность варианта
(время до получения результата)
|
3
|
2
|
2
|
0
|
1
|
8
|
0,267
|
|
Сложность реализации
варианта
|
2
|
1
|
3
|
3
|
0
|
9
|
0,3
|
|
Затраты времени на
подготовку
|
0
|
0
|
0
|
1
|
2
|
0,1
|
|
Денежные затраты на
реализацию варианта
|
1
|
3
|
1
|
2
|
3
|
10
|
0,333
|
|
|
|
|
|
|
30
|
1
|
Расчет весов альтернатив 2-го семейства:
Фактор 1 - эффективность варианта (время до получения результата)
Матрица опроса экспертов:
|
Альтернативы
|
Эксперты
|
|
1
|
2
|
3
|
4
|
5
|
|
Баланс гос., общественного
и семейного воспитания
|
2
|
2
|
1
|
1
|
1
|
|
Обновление содержания и
структуры воспитания на основе отечественных традиций и современного опыта
|
1
|
1
|
2
|
2
|
2
|
Матрица преобразованных рангов:
|
Альтернативы
|
Эксперты
|
Сумма
|
КВ
|
|
1
|
2
|
3
|
4
|
5
|
|
|
|
Баланс гос., общественного
и семейного воспитания
|
0
|
0
|
1
|
1
|
1
|
3
|
0,6
|
|
Обновление содержания и
структуры воспитания на основе отечественных традиций и современного опыта
|
1
|
1
|
0
|
0
|
0
|
2
|
0,4
|
|
|
|
|
|
|
5
|
1
|
Фактор 2 - сложность реализации варианта
Матрица опроса экспертов:
|
Альтернативы
|
Эксперты
|
|
1
|
2
|
3
|
4
|
5
|
|
Баланс гос., общественного
и семейного воспитания
|
2
|
1
|
1
|
2
|
2
|
|
Обновление содержания и
структуры воспитания на основе отечественных традиций и современного опыта
|
1
|
2
|
2
|
1
|
1
|
Матрица преобразованных рангов:
|
Альтернативы
|
Эксперты
|
Сумма
|
КВ
|
|
1
|
2
|
3
|
4
|
5
|
|
|
|
Баланс гос., общественного
и семейного воспитания
|
0
|
1
|
1
|
0
|
0
|
2
|
0,4
|
|
Обновление содержания и
структуры воспитания на основе отечественных традиций и современного опыта
|
1
|
0
|
0
|
1
|
1
|
3
|
0,6
|
|
|
|
|
|
|
5
|
1
|
Фактор 3 - затраты времени на подготовку
Матрица опроса экспертов:
|
Альтернативы
|
Эксперты
|
|
1
|
2
|
3
|
4
|
5
|
|
Баланс гос., общественного
и семейного воспитания
|
1
|
1
|
1
|
2
|
2
|
|
Обновление содержания и
структуры воспитания на основе отечественных традиций и современного опыта
|
2
|
2
|
2
|
1
|
1
|
Матрица преобразованных рангов:
|
Альтернативы
|
Эксперты
|
Сумма
|
КВ
|
|
1
|
2
|
3
|
4
|
5
|
|
|
|
Баланс гос., общественного
и семейного воспитания
|
1
|
1
|
1
|
0
|
0
|
3
|
0,6
|
|
Обновление содержания и
структуры воспитания на основе отечественных традиций и современного опыта
|
0
|
0
|
0
|
1
|
1
|
2
|
0,4
|
|
|
|
|
|
|
5
|
1
|
Фактор 4 - денежные затраты на реализацию варианта:
Матрица опроса экспертов:
|
Альтернативы
|
Эксперты
|
|
1
|
2
|
3
|
4
|
5
|
|
Баланс гос., общественного
и семейного воспитания
|
2
|
2
|
1
|
2
|
1
|
|
Обновление содержания и
структуры воспитания на основе отечественных традиций и современного опыта
|
1
|
1
|
2
|
1
|
2
|
Матрица преобразованных рангов:
|
Альтернативы
|
Эксперты
|
Сумма
|
КВ
|
|
1
|
2
|
3
|
4
|
5
|
|
|
|
Баланс гос., общественного
и семейного воспитания
|
0
|
0
|
1
|
0
|
1
|
2
|
0,4
|
|
Обновление содержания и
структуры воспитания на основе отечественных традиций и современного опыта
|
1
|
1
|
0
|
1
|
0
|
3
|
0,6
|
|
|
|
|
|
|
5
|
1
|
Итоговая таблица расчета альтернатив семейства 2
|
Критерии (факторы)
|
КВ
|
Опыт аналогичного предприятия
|
Применение норм,
указанных в теоретических источниках
|
Сумма
|
|
Эффективность варианта
(время до получения результата)
|
0,267
|
0,6
|
0,4
|
1
|
|
Сложность реализации
варианта
|
0,3
|
0,4
|
0,6
|
1
|
|
Затраты времени на
подготовку
|
0,1
|
0,6
|
0,4
|
1
|
|
Денежные затраты на реализацию
варианта
|
0,333
|
0,4
|
0,6
|
1
|
|
Итоговые оценки
|
1
|
0,473
|
0,527
|
1
|
Расчет весовых коэффициентов критериев семейства 3:
Фактор 1 - эффективность варианта (время до получения результата)
Матрица опроса экспертов:
|
Альтернативы
|
Эксперты
|
|
1
|
2
|
3
|
4
|
5
|
|
Взаимодействие семьи и пед.
коллективов
|
2
|
1
|
2
|
2
|
2
|
|
Создать условия для
самореализации
|
1
|
2
|
1
|
1
|
1
|
Матрица преобразованных рангов:
|
Альтернативы
|
Эксперты
|
Сумма
|
КВ
|
|
1
|
2
|
3
|
4
|
5
|
|
|
|
Взаимодействие семьи и пед.
коллективов
|
0
|
1
|
0
|
0
|
0
|
1
|
0,2
|
|
Создать условия для
самореализации
|
1
|
0
|
1
|
1
|
1
|
4
|
0,8
|
|
|
|
|
|
|
5
|
1
|
Фактор 2 - сложность реализации варианта
Матрица опроса экспертов:
|
Альтернативы
|
Эксперты
|
|
1
|
2
|
3
|
4
|
5
|
|
Взаимодействие семьи и пед.
коллективов
|
1
|
1
|
2
|
1
|
2
|
|
Создать условия для
самореализации
|
2
|
2
|
1
|
2
|
1
|
Матрица преобразованных рангов:
|
Альтернативы
|
Эксперты
|
Сумма
|
КВ
|
|
1
|
2
|
3
|
4
|
5
|
|
|
|
Взаимодействие семьи и пед.
коллективов
|
1
|
1
|
0
|
1
|
0
|
3
|
0,6
|
|
Создать условия для
самореализации
|
0
|
0
|
1
|
0
|
1
|
2
|
0,4
|
|
|
|
|
|
|
5
|
1
|
Фактор 3 - затраты времени на подготовку
Матрица опроса экспертов:
|
Альтернативы
|
Эксперты
|
|
1
|
2
|
3
|
4
|
5
|
|
Взаимодействие семьи и пед.
коллективов
|
1
|
1
|
2
|
2
|
|
Создать условия для
самореализации
|
2
|
2
|
1
|
1
|
1
|
Матрица преобразованных рангов:
|
Альтернативы
|
Эксперты
|
Сумма
|
КВ
|
|
1
|
2
|
3
|
4
|
5
|
|
|
|
Взаимодействие семьи и пед.
коллективов
|
1
|
1
|
0
|
0
|
0
|
2
|
0,4
|
|
Создать условия для
самореализации
|
0
|
0
|
1
|
1
|
1
|
3
|
0,6
|
|
|
|
|
|
|
5
|
1
|
Фактор 4 - денежные затраты на реализацию варианта:
Матрица опроса экспертов:
|
Альтернативы
|
Эксперты
|
|
1
|
2
|
3
|
4
|
5
|
|
Взаимодействие семьи и пед.
коллективов
|
2
|
2
|
1
|
1
|
2
|
|
Создать условия для самореализации
|
1
|
1
|
2
|
2
|
1
|
Матрица преобразованных рангов:
|
Альтернативы
|
Эксперты
|
Сумма
|
КВ
|
|
1
|
2
|
3
|
4
|
5
|
|
|
|
Взаимодействие семьи и пед.
коллективов
|
0
|
0
|
1
|
1
|
0
|
2
|
0,4
|
|
Создать условия для
самореализации
|
1
|
1
|
0
|
0
|
1
|
3
|
0,6
|
|
|
|
|
|
|
5
|
1
|
Итоговая таблица расчета альтернатив семейства 3
|
Критерии (факторы)
|
КВ
|
Проведение эксперимента
|
Наблюдение за
исполнителем
|
Сумма
|
|
Эффективность варианта
(время до получения результата)
|
0,267
|
0,2
|
0,8
|
1
|
|
Сложность реализации
варианта
|
0,3
|
0,6
|
0,4
|
1
|
|
Затраты времени на
подготовку
|
0,1
|
0,4
|
0,6
|
1
|
|
Денежные затраты на
реализацию варианта
|
0,333
|
0,4
|
0,6
|
1
|
|
Итоговые оценки
|
1
|
0,407
|
0,593
|
1
|
Теперь все результаты расчетов отражаем непосредственно на дереве
мероприятий и выполняем окончательные расчеты весомости каждого альтернативного
варианта мероприятий по достижению подцели «Разработка законодательства,
государственных программ».
В дереве мероприятий каждая веточка представляет собой отдельный
альтернативный вариант мероприятий достижения подцели. Определение коэффициента
весомости варианта осуществляется путем перемножения полученных выше весов
альтернатив в каждой веточке. Например, коэффициенты весомости вариантов
мероприятий 1-го дерева рассчитываются следующим образом:
.54*0,473 = 0,255
.54*0,527 = 0,285 (max)
.46*0,407 = 0,187
,46*0.593 = 0,273
Дерево мероприятий для подцели
«Разработка законодательства, государственных программ»
Полученные значения весомости каждого варианта получены с учетом не
только тех критериев (факторов), которые мы формулировали при расчете каждого
семейства, но и учетом коэффициентов весомости (КВ) каждого критерия.
Результаты расчетов говорят о том, что, исходя из выбранных критериев
оценки альтернатив, наибольший вес получил альтернативный вариант достижения
подцели «Обновление содержания и структуры воспитания на основе отечественных
традиций и современного опыта » - применение существующих норм, указанных в
теоретических источниках. Для реализации этого варианта необходимо будет
осуществлять мероприятия по подборке и поиску информации в соответствующих
источниках.
Дерево мероприятий
для подцели «Выделение ресурсов, поддержка социально значимых воспитательных
проектов»
Таким образом, для создания дополнительного денежного фонда нужно
привлекать инвесторов.
Дерево мероприятий
для подцели «Создать условия необходимые для формирования системы воспитания
подрастающих поколений»
Результаты расчетов говорят о том, что достигнуть цели «Создать условия
необходимые для формирования системы воспитания подрастающих поколений »
наиболее эффективно можно с помощью воспитания общечеловеческих и национальных
ценностей.
Дерево мероприятий
для подцели «Повысить объем производства издания современной литературы,
посвященной проблемам воспитания»
Для достижения этой подцели необходимо будет подготовить познавательные
программы о воспитании детей и молодежи и показать по телевидению.
Дерево мероприятий для подцели
«Установить минимальные цены на периодические журналы, освещающие проблемы
воспитания и образования»
Следовательно, наиболее подходящим вариантом является предоставление
льготы для общеобразовательных учреждений.
Дерево мероприятий
для подцели «Курсы повышения квалификации»
Расчеты и сопоставление всех вариантов говорят о том, что наиболее
эффективным способом достижения этой подцели является предоставление
необходимых льгот для работников данной сферы деятельности.
Дерево мероприятий
для подцели «Семинары по проблеме воспитания»
Необходим обмен опытом между образовательными учреждениями.
Дерево мероприятий
для подцели «Увеличить спортивные площадки, секции, кружки»
Расчеты и сопоставление всех вариантов говорят о том, что наиболее
эффективным способом достижения этой подцели является занятие в спортивном
зале, при школьных секциях.
Дерево мероприятий
для подцели «Доступность посещения театров, кинозалов, цирк и т.п»
Следовательно, с сотрудниками образовательных учреждений заключить
коллективные скидки на посещение культурных мероприятий.
Выводы по анализу вариантов мероприятий:
Проведя анализ коэффициентов весомости (КВ) мероприятий, необходимых для
реализации целей, мы выяснили, что необходимо выполнить следующий перечень
действий:
нужно обновление содержания структуры воспитания на основе отечественных
традиций и современного опыта;
чтобы выделить ресурсы на социально значимые проекты нужно привлекать
инвесторов;
воспитание у молодежи и детей общечеловеческих и национальных ценностей;
необходимо подготовить познавательные программы о воспитании и показать
по ТВ;
чтобы подготовить программу или выпустить журнал ныжны льготы;
а также предоставление льгот и работникам общеобразовательных учреждений;
обмен опытом между пед. Коллективом;
а для детей и молодежи больше заниматься в спортивных секциях и кружках;
и конечно коллективные скидки на посещение культурных мероприятий.
Сетевой график
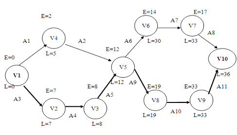
Перечень работ
|
Обозначение работы
|
Название (содержание)
работы
|
Длительность работы
(дней)
|
Предшествующие работы
|
|
А1
|
Обновление структуры
воспитания на современном опыте
|
2
|
|
|
А2
|
Выделение ресурсов
|
1
|
А1
|
|
А3
|
Поиск инвесторов
|
7
|
|
|
А4
|
Формирования системы
воспитания
|
1
|
А3
|
|
А5
|
Познавательные программы по
ТВ
|
4
|
А4
|
|
А6
|
Образовательным учреждениям
предоставить скидки на журналы и передачи
|
2
|
А5,А2
|
|
А7
|
Льготы работникам
образовательных учреждений на курсы повышения квалификации
|
3
|
А6
|
|
А8
|
Семинары по проблеме
воспитания
|
3
|
А7
|
|
А9
|
Обмен опытом
|
7
|
А5
|
|
А10
|
Увеличить спортплощадки
|
14
|
А9
|
|
А11
|
Скидки на коллективные
посещения культурных мероприятий
|
3
|
А6
|
Критический путь: V1 - V2 - V3 - V5 - V8 - V9 - V10. Таким образом,
выполнение всей работы по созданию современного образования займет 36 дней. Тем
не менее, часть работ имеет временной ресурс выполнения, что показано на
графике. Следовательно, выполнение этих работ может начаться позднее, чем
выполнение работ из критического пути, но так, чтобы быть выполненными к
завершению работ из критического пути.
Вывод. Анализ сетевого графика позволил определить, каким образом и в
какой последовательности следует выполнять работы по созданию в организации
службы контроля качества. Выявленные резервы времени на ее создание можно
использовать на выполнение других функций или на проверку выполненной работы.
Заключение
В заключении можно сделать вывод, что с помощью системного анализа мне
удалось рассмотреть данную проблему всесторонне. Выявив главную цель и
сформировав основные мероприятия, удалось найти наилучшее решение по
современному образованию - развитие физически, нравственно здоровой личности.
Необходимо осуществить следующие действия в такой последовательности:
|
Обновление структуры
воспитания на современном опыте
|
|
Выделение ресурсов
|
|
Поиск инвесторов
|
|
Формирования системы
воспитания
|
|
Познавательные программы по
ТВ
|
|
Образовательным учреждениям
предоставить скидки на журналы и передачи
|
|
Льготы работникам
образовательных учреждений на курсы повышения квалификации
|
|
Семинары по проблеме
воспитания
|
|
Обмен опытом
|
|
Увеличить спортплощадки
|
|
Скидки на коллективные
посещения культурных мероприятий
|
Проведя вышеперечисленные мероприятия последовательно можно провести
эффективную работу по созданию современного образования. Анализ дерева целей
позволил нам определить весомость подцелей и использовать КОВ для измерения
уровня достижения главной цели в зависимости от достижения локальных подцелей
нижнего уровня дерева целей. Деревья мероприятий помогли выбрать наиболее
эффективные варианты из множества альтернативных, которые обеспечивают
достижение локальных подцелей. Сетевой график позволяет построить оптимальный
план реализации мероприятий и отслеживать его выполнение. Несмотря на некоторые
упрощения и условность задачи вполне понятно, что методы системного анализа
вполне могут быть использованы в кадровом планировании при создании новой
службы в организации.