Общий подход к оценке эффективности инвестиций. Система показателей эффективности инвестиционного проекта и требования к их определению
Министерство транспорта РФ
Новосибирская Государственная
Академия Водного Транспорта
Кафедра экономики транспорта и
хозяйственной деятельности
Курсовая работа
Дисциплина «Экономическая оценка
инвестиций»
Тема: «Общий подход к оценке
эффективности инвестиций. Система показателей эффективности инвестиционного
проекта и требования к их определению»
Выполнила: студентка НЗФ 5 курса ЭК
группа-1б Сопко А.А.
Проверила: канд. эк. наук, доцент Путилова Н.Н.
Новосибирск 2011
Оглавление
1. Государственная инвестиционная политика. Система
государственных гарантий
2. Исходные данные и
методические указания для выполнения расчетов по обоснованию варианта
инвестиционного проекта
. Расчёты
.1 Определение наиболее
привлекательного инвестиционного проекта по показателю чистого
дисконтированного дохода (ЧДД, NPV)
.1.1 Расчет доходов от
реализации продукции
.1.2 Расчет издержек на
производство продукции
.1.3 Расчет капитальных
вложений по инвестиционному проекту
.1.4 Определение реальных и
дисконтированных денежных потоков (ЧД и ЧДД)
.2 Определение индекса
доходности и срока окупаемости инвестиционного проекта
.3 Определение наиболее
привлекательного инвестиционного проекта в условиях инфляции
.4 Сравнение инвестиционных
проектов, имеющих различную продолжительность реализации
. Пространственная
оптимизация инвестиционного портфеля
. Оценка устойчивости
инвестиционного проекта
Введение
Инвестиции - это вложение денежного и реального капитала. Они
осуществляются в виде денежных средств, кредитов, ценных бумаг, а так же
вложение в движимое и недвижимое имущество, интеллектуальную собственность,
имущественные права и другие ценности. Целью данной работы является углубление,
закрепление и систематизация теоретических знаний, полученных при изучении
экономических дисциплин, а так же приобретение практических навыков по
выполнению экономических расчетов для оценки эффективности инвестиционных
проектов. Основной задачей курсовой работы является определение наиболее
привлекательного проекта в условиях инфляции, определение экономических
показателей СОД, ЧД, ИД и ДИСО, точки безубыточности и оптимизации
инвестиционного портфеля.
1. Государственная инвестиционная политика: понятие,
значение
Государственная инвестиционная политика - составная
часть социально-экономической политики, которая выражает отношение государства
к инвестиционной деятельности, она содержит: 1) определяет цели; 2) определяет
направления; 3) определяет формы государственного управления инвестиционной
деятельностью в Российской Федерации.
Основными целями государственной инвестиционной
политики являются: мобилизация финансовых ресурсов, необходимых для
инвестиционной деятельности; преодоление спада инвестиционной активности;
реализация государственных целевых комплексных программ строительства; обеспечение
структурных преобразований и повышение эффективности капитальных вложений.
Инвестиционная политика охватывает как государственные
инвестиции, так и инвестиции частных инвесторов и юридических лиц.
Объекты и субъекты:
Объекты инвестиционной деятельности: вновь создаваемые и
модернизированные фонды и оборотные средства, ценные бумаги, целевые денежные
вклады, научно-техническая продукция, имущественного права, права на интеллект
собственность.
Субъекты: инвесторы, заказчики, исполнители, пользователи объектов,
поставщики, банковские, страховые и посреднические организации, инвестиционные
биржи.
Инвестор - основной субъект, который осуществляет вложение собственных и
заемных средств, и обеспечивает их целевое использование.
Инвесторами могут быть: органы, уполномоченные управлять государственным
и муниципальным имуществом или имущественными правами; отечественные физические
(ФЛ) и юридические лица (ЮЛ); иностранные ФЛ и ЮЛ, государства, международные
организации.
Заказчиками могут быть: инвесторы, любые ФЛ и ЮЛ, уполномоченные
инвестором осуществляющие реализацию инвестиционного проекта, не вмешиваясь при
этом в предпринимательскую и иную деятельность другого участников инв.
процесса.
Пользователи: инвесторы, другие ФЛ и ЮЛ, государственные и муниципальные
органы, иностранные государства, международные организации.
К основным принципам инвестиционной политики государства на современном
этапе можно отнести:
снижение реальных процентных ставок до уровня, соответствующего
эффективности инвестиций в реальный сектор экономики на основе обеспечения
сбалансированного бюджета и дальнейшего снижения инфляции;
проведение налоговой реформы, предполагающей рассмотрение инвестиционных
возможностей субъектов рынка на основе упорядочения, упрощения и структурной
перестройки существующей налоговой системы, а также совершенствования
амортизационной политики;
осуществления процесса реформирования предприятий с целью повышения их
инвестиционной привлекательности;
формирование организационно-правовых предпосылок снижения инвестиционных
рисков с целью стимулирования сбережений населения, прямых инвестиций
внутренних и внешних инвесторов;
повышение эффективности использования бюджетных инвестиционных ресурсов
на основе их конкурсного размещения, смешанного государственно-коммерческого
финансирования приоритетных инвестиционных проектов, представления
государственных гарантий по частным инвестициям и усиления государственного
контроля за целевым использованием бюджетных средств.
Основные направления инвестиционной политики:
. Определение приоритетов в инвестиционной
деятельности. Приоритеты отдаются финансированию государственных целевых
программ, социальным объектам, а также инвестициям на расширение и модернизацию
основных фондов действующих производств и в меньшей степени во вновь начинаемое
строительство объектов. Центр тяжести перенести с нового строительства на
техническое перевооружение и реконструкцию предприятий.
. Оптимизация затрат на государственные программы
инвестиций с учетом реального положения дел в экономике. Предоставление
субсидий из бюджета жизненно важным отраслям народного хозяйства.
. Расширение прав предприятий-инвесторов в
инвестировании средств, отчисляемых от прибыли и амортизационных отчислений.
. Повышение эффективности капитальных вложений
сокращение сроков окупаемости затрат. В первую очередь инвестиции вкладывать в
те объекты, которые дают более быструю окупаемость.
Законом "Об инвестиционной деятельности в
Российской Федерации, осуществляемой в форме капитальных вложений",
предусмотрено:
) создание благоприятных условий для развития
инвестиционной деятельности, осуществляемой в форме капитальных вложений,
путем:
• совершенствования системы налогов, механизма
начисления амортизации и использования амортизационных отчислений;
• установления субъектам инвестиционной деятельности
специальных налоговых режимов, не носящих индивидуального характера;
• защиты интересов инвесторов;
• предоставления субъектам инвестиционной деятельности
льготных условий пользования землей и другими природными ресурсами, не противоречащих
законодательству РФ;
• расширения использования средств населения и иных
внебюджетных источников финансирования жилищного строительства и строительных
объектов социально-культурного назначения;
• создания и развития сети информационно-аналитических
центров, осуществляющих регулярное проведение рейтингов и публикацию
рейтинговых оценок субъектов инвестиционной деятельности;
• принятия антимонопольных мер;
• расширения возможностей использования залогов при
осуществлении
кредитования;
• развития финансового лизинга в РФ;
• проведения переоценки основных фондов в соответствии
с темпами инфляции;
• создания возможностей формирования субъектами
инвестиционной деятельности собственных инвестиционных фондов;
) прямое участие государства в инвестиционной деятельности,
осуществляемой в форме капитальных вложений, путем:
• разработки, утверждения и финансирования
инвестиционных проектов, осуществляемых Российской Федерацией совместно с
иностранными государствами, а также инвестиционных проектов, финансируемых за
счет средств федерального бюджета и средств бюджетов субъектов РФ;
• формирования перечня строек и объектов технического
перевооружения для федеральных государственных нужд и финансирования их за счет
средств федерального бюджета;
• предоставления на конкурсной основе государственных
гарантий по инвестиционным проектам за счет средств федерального бюджета, а
также за счет средств бюджетов субъектов РФ;
• размещения на конкурсной основе средств федерального
бюджета и средств бюджетов субъектов РФ для финансирования инвестиционных
проектов;
• проведения экспертизы инвестиционных проектов;
• защиты российских организаций от поставок морально
устаревших и материалоемких, энергоемких и ненаукоемких технологий,
оборудования, конструкций и материалов;
• разработки и утверждения стандартов (норм и правил)
и осуществления контроля за их соблюдением;
• вовлечения в инвестиционный процесс временно
приостановленных и законсервированных строек и объектов, находящихся в
государственной собственности;
• предоставления концессий российским и иностранным
инвесторам по итогам торгов в соответствии с законодательством РФ.
2. Система государственных гарантий
Социально-экономические государственные гарантии - это гарантии
обеспечения социальных потребностей населения со стороны государства.
Эти гарантии реализуются по трём направлениям:
) Гарантии работающему населению на получение соответствующего уровня
дохода.
) Гарантии на удовлетворение потребностей населения в социальных услугах
(государство обеспечивает бесплатное здравоохранение, среднее образование,
подготовку кадров, развитие физкультуры и спорта и т.д).
) Гарантии гражданам утратившим средства к существованию на определённый
материальной поддержки.
Государственные социальные гарантии реализуются через систему социальных
стандартов и социальных нормативов.
Социальные стандарты - это стандарты в социальной сфере, которые
устанавливаются на законодательном уровне и требуют обязательного их
выполнения.
К социальным стандартам относят:
) Прожиточный минимум:
общий (средний);
минимальный для детей до 6лет;
минимальный для детей от 6 до 18 лет;
- минимальный для трудоспособного населения
минимальный для нетрудоспособного населения.
2) Минимальная заработная плата.
) Минимальная пенсия.
) Нормативная продолжительность рабочего времени и т.д.
Таблица
|
Показатель
|
Инвестиционный проект
|
|
№1
|
№2
|
№3
|
|
1 Производственная мощность
инвестиционного проекта, W, тыс.ед.
|
90
|
80
|
95
|
|
2 Порядок освоения
производственных мощностей, %
|
|
|
|
|
а) 1-й год работы, k1
|
24
|
20
|
30
|
|
б) 2-й год работы, k2
|
50
|
30
|
50
|
|
в) 3-й год и до ликвидации
проекта, k3
|
100
|
100
|
100
|
|
3 Цена реализации единицы
товара, ц
|
|
|
|
|
- на внутреннем рынке, руб.
|
460
|
420
|
470
|
|
- внешняя торговая цена, $
|
16
|
15
|
14
|
|
4 Курс доллара, руб.
|
30
|
30
|
30
|
|
5 Экспортная квота, %
|
25
|
10
|
15
|
|
6 Формирование капитала
предприятия, К
|
|
|
|
|
а) вклад российского
инвестора, тыс.руб.
|
|
|
|
|
- земля
|
920
|
800
|
925
|
|
- здания и сооружения
|
4100
|
4250
|
4400
|
|
- оборудование
|
6800
|
6100
|
6900
|
|
б) вклад иностранного
инвестора, тыс. $
|
|
|
|
|
- оборудование и ноу-хау
|
296
|
310
|
320
|
|
7Формирование издержек на
производство и реализацию продукции, И
|
|
|
|
|
а) материальные затраты на
единицу продукции, руб.
|
130
|
150
|
128
|
|
б) заработная плата с
учетом отчислением в страховые фонды, руб./ед.
|
110
|
110
|
120
|
|
в)
транспортно-заготовительные расходы на единицу продукции,
|
28
|
28
|
30
|
|
г) норма амортизационных
отчислений, а
|
|
|
|
|
- здания и сооружения, %
|
1,8
|
1,8
|
1,8
|
|
- оборудование, %
|
6
|
6
|
5,6
|
|
д) норматив отчислений в
ремонтный фонд,, b
|
|
|
|
|
- здания и сооружения, %
|
0,6
|
0,6
|
0,6
|
|
- оборудование, %
|
1,5
|
2
|
1,5
|
|
е) годовые накладные
расходы по предприятию, тыс. руб.
|
4350
|
4360
|
4350
|
|
ж) прочие налоги и сборы
(транспортный, земельный и др.), относимые на себестоимость, %
|
1
|
1
|
1
|
|
8 Налог на имущество, %
|
2,2
|
2,2
|
2,2
|
|
9 Налог на прибыль, %
|
20
|
20
|
20
|
|
11 Уровень инфляции, %
|
15
|
10
|
12
|
|
12 Условный жизненный цикл
проекта, лет
|
7
|
7
|
6
|
|
13 Норма дисконта
|
0,1
|
0,1
|
0,1
|
Социальные нормативы - характеризуют уровень развития общества.
По характеру удовлетворения потребностей социальные нормативы бывают:
* нормативы потребления;
* нормативы обеспечения;
* нормативы дохода.
По уровню удовлетворения потребностей нормативы бывают:
* нормативы минимального потребления;
* нормативы рационального потребления;
* статистические нормативы.
2. Исходные
данные и методические указания для выполнения расчетов по обоснованию варианта
инвестиционного проекта
Имеются три альтернативных инвестиционных проекта (ИП).
Требуется определить наиболее привлекательный вариант вложения средств.
Освоение производственной мощности производится поэтапно.
3. Расчёты
.1
Определение наиболее привлекательного инвестиционного проекта по показателю
чистого дисконтированного дохода (ЧДД, NPV)
3.1.1 Расчет
доходов от реализации продукции
Доходы предприятия от операционной деятельности формируются за счет
реализации продукции на внутреннем и внешнем рынках
, (1)
где
Двнут -доходы, полученные на внутреннем рынке, тыс. руб.;
Двнеш
- доходы от экспорта продукции, тыс. руб.
Д1
= 2592 + 7452 = 10044руб.
Д2
= 5400 + 51525 = 20925руб.
Д3-7
=10800 + 31050 = 41850руб.
Для
расчета доходов в рассматриваемом периоде предварительно определим объемы
реализации продукции внутри страны и за рубежом по годам (шагам)
рассматриваемого периода, которые, в свою очередь, зависят от освоения
производственной мощности и экспортной квоты.
, (2)
, (3)
где
цвнут, цвнеш - внутренняя и внешняя цена продукции,
соответственно, (перевод доллара в рубли - по текущему курсу валют) руб./ед.;
Wвнутt,
Wвнешt - объем
продаж на внутреннем и внешнем рынке, соответственно, на шаге t,
тыс. ед;
t - номер шага
(года реализации проекта);
T- горизонт
расчета ( год условной ликвидации объекта).
Двнутр1
= 460 * 16.2 = 7452руб.
Двнутр2
= 460 * 33,75 = 15525руб.
Двнутр3-7
= 460 * 67,5 = 31050руб.
Двнеш1
= (16 * 30) * 5,4 = 2592руб.
Двнеш2
= (16 * 30) * 11,25 = 5400руб.
Двнеш3-7
= (16 * 30) * 22,5 = 10800руб.
, (4)
где
Wпрt - проектный объем производства
на шаге t, в тыс. единицы;
kосвt
- коэффициент освоения производственной мощности объекта на шаге t, в
долях единицы;
kэксt
- экспортная квота на шаге t, в долях единицы.
Wпр1 = 0,24 * 90 = 21,6 тыс.ед.
Wпр2 = 0,50 * 90 = 45 тыс.ед.
Wпр3-7 = 1 * 90 = 90 тыс.ед.
Wвнеш1 = 0,25 * 21,6 = 5,4 тыс.ед.
Wвнеш2 = 0,25 * 45 = 11,25 тыс.ед.
Wвнеш3-7 = 0,25 * 90 = 22,5 тыс.ед.
(5)
Wвнут1 = 21,6 - 5,4 = 16,2 тыс.ед.
Wвнут2 = 45 - 11,25 = 33,75 тыс.ед.
Wвнут3-7 = 90 - 22,5 = 67,5 тыс.ед.
Таблица
1 - Доходы от реализации продукции по инвестиционному проекту №1
|
Показатель, единицы
измерения
|
Год (шаг)
|
Итого
|
|
|
1
|
2
|
3
|
4
|
5
|
6
|
7
|
|
|
Проектный объем
производства продукции, тыс. ед.
|
21,6
|
45
|
90
|
90
|
90
|
90
|
90
|
516,6
|
|
Объем реализации на внешнем
рынке, тыс.ед.
|
5,4
|
11,25
|
22,5
|
22,5
|
22,5
|
22,5
|
22,5
|
129,15
|
|
Объем реализации на
внутреннем рынке, тыс. ед.
|
16,2
|
33,75
|
67,5
|
67,5
|
67,5
|
67,5
|
67,5
|
387,45
|
|
Доходы на внешнем рынке,
тыс.руб.
|
2592
|
5400
|
10800
|
10800
|
10800
|
10800
|
10800
|
61992
|
|
Доходы на внутреннем рынке,
тыс.руб.
|
7452
|
15525
|
31050
|
31050
|
31050
|
31050
|
31050
|
178227
|
|
Общая сумма доходов по
проекту, тыс.руб.
|
10044
|
20925
|
41850
|
41850
|
41850
|
41850
|
41850
|
240219
|
Таблица 2 - Доходы от реализации продукции по инвестиционному проекту №2
|
Показатель, единицы
измерения
|
Год (шаг)
|
Итого
|
|
|
1
|
2
|
3
|
4
|
6
|
7
|
|
|
Проектный объем
производства продукции, тыс. ед.
|
16
|
24
|
80
|
80
|
80
|
80
|
80
|
440
|
|
Объем реализации на внешнем
рынке, тыс.ед.
|
1,6
|
2,4
|
8
|
8
|
8
|
8
|
8
|
44
|
|
Объем реализации на
внутреннем рынке, тыс. ед.
|
14,4
|
21,6
|
72
|
72
|
72
|
72
|
72
|
396
|
|
Доходы на внешнем рынке,
тыс.руб.
|
720
|
1080
|
3600
|
3600
|
3600
|
3600
|
3600
|
19800
|
|
Доходы на внутреннем рынке,
тыс.руб.
|
6048
|
9072
|
30240
|
30240
|
30240
|
30240
|
30240
|
166320
|
|
Общая сумма доходов по
проекту, тыс.руб.
|
6768
|
10152
|
33840
|
33840
|
33840
|
33840
|
33840
|
186120
|
Таблица 3 - Доходы от реализации продукции по инвестиционному проекту №3
|
Показатель, единицы
измерения
|
Год (шаг)
|
Итого
|
|
|
1
|
2
|
3
|
4
|
5
|
6
|
|
|
Проектный объем
производства продукции, тыс. ед.
|
28,5
|
47,5
|
95
|
95
|
95
|
95
|
456
|
|
Объем реализации на внешнем
рынке, тыс.ед.
|
4,275
|
7,125
|
14,25
|
14,25
|
14,25
|
14,25
|
68,4
|
|
Объем реализации на
внутреннем рынке, тыс. ед.
|
24,225
|
40,375
|
80,75
|
80,75
|
80,75
|
80,75
|
387,6
|
|
Доходы на внешнем рынке,
тыс.руб.
|
1795,5
|
2992,5
|
5985
|
5985
|
5985
|
5985
|
28728
|
|
Доходы на внутреннем рынке,
тыс.руб.
|
11385,8
|
18976,3
|
37952,5
|
37952,5
|
37952,5
|
37952,5
|
182172
|
|
Общая сумма доходов по
проекту, тыс.руб.
|
13181,3
|
21968,8
|
43937,5
|
43937,5
|
43937,5
|
43937,5
|
210900
|
3.1.2 Расчет
издержек на производство продукции
Издержки на производство продукции подразделяются на постоянные и
переменные.
, (6)
где
Иt -
издержки на шаге t, тыс.руб.;
Иперt
- переменные издержки на шаге t, тыс.руб;
Ипостt
- постоянные издержки на шаге t, тыс. руб.
И1
= 5788,8 + 4835,83 = 10624,63 тыс.руб.
И2
= 12060 + 5207,36 = 17267,36 тыс.руб.
И3-7
= 24120 + 5921,84 = 30041,84 тыс.руб.
Переменные
издержки включают материальные затраты, заработную плату, отчисления в
социальные фонды, - транспортно-заготовительные расходы.
МЗt
= мз * Wпрt (7)
МЗ1
= 130 * 21,6 = 2808 тыс.руб.
МЗ2
= 130 * 45 = 5850 тыс.руб.
МЗ3-7
= 130 * 90 = 11700 тыс.руб.
ЗПt
= зп * Wпрt (8)
ЗП1
= 110 * 21,6 = 2376 тыс.руб.
ЗП2
= 110 * 45 = 4950 тыс.руб.
ЗП3-7
= 110 * 90 = 9900 тыс.руб.
ТЗРt
= тзр * Wпрt (9)
ТЗР1
= 28 * 21,6 = 604,8 тыс.руб.
ТЗР2
= 28 * 45 = 1260 тыс.руб.
ТЗР3-7
= 28 * 90 = 2520 тыс.руб.
К
постоянным издержкам относятся амортизация, ремонт, накладные расходы.
Аt
= С * а (10)
Где:
С - стоимость основных средств;
а
- норма амортизационных отчислений.
С
= осв.произ.мощ. * вклад (11)
Ремонт
= С * b (12)
b - норматив
отчислений в ремонтный фонд.
Таблица
4.- Стоимость основных средств (первоначальная), тыс.руб. №1
|
|
Год (шаг)
|
|
Наименование основных
средств
|
1
|
2
|
3
|
4
|
5
|
6
|
7
|
|
Здания и сооружения
|
4100
|
4100
|
4100
|
4100
|
4100
|
4100
|
4100
|
|
Оборудование отечественное
|
1632
|
3400
|
6800
|
6800
|
6800
|
6800
|
6800
|
|
Оборудование импортное
|
2131,2
|
4440
|
8880
|
8880
|
8880
|
8880
|
8880
|
|
Итого оборудования
|
3763,2
|
7840
|
15680
|
15680
|
15680
|
15680
|
15680
|
|
Всего основных средств
|
7863,2
|
11940
|
19780
|
19780
|
19780
|
19780
|
19780
|
Таблица 5 - Стоимость основных средств (первоначальная), тыс.руб. №2
|
|
Год (шаг)
|
|
Наименование основных
средств
|
1
|
2
|
3
|
4
|
5
|
6
|
7
|
|
Здания и сооружения
|
4250
|
4250
|
4250
|
4250
|
4250
|
4250
|
4250
|
|
Оборудование отечественное
|
1220
|
1830
|
6100
|
6100
|
6100
|
6100
|
6100
|
|
Оборудование импортное
|
1860
|
2790
|
9300
|
9300
|
9300
|
9300
|
9300
|
|
Итого оборудования
|
3080
|
4620
|
15400
|
15400
|
15400
|
15400
|
15400
|
|
Всего основных средств
|
7330
|
8870
|
19650
|
19650
|
19650
|
19650
|
19650
|
Таблица 6 - Стоимость основных средств (первоначальная), тыс.руб. №3
|
|
Год (шаг)
|
|
Наименование основных
средств
|
1
|
2
|
3
|
4
|
5
|
6
|
|
Здания и сооружения
|
4400
|
4400
|
4400
|
4400
|
4400
|
4400
|
|
Оборудование отечественное
|
2070
|
3450
|
6900
|
6900
|
6900
|
6900
|
|
Оборудование импортное
|
2880
|
4800
|
9600
|
9600
|
9600
|
9600
|
|
Итого оборудования
|
4950
|
8250
|
16500
|
16500
|
16500
|
16500
|
|
Всего основных средств
|
9350
|
12650
|
20900
|
20900
|
20900
|
20900
|
При расчете амортизационных отчислений и расходов на ремонт необходимо
учесть порядок освоения производственной мощности. Здания и сооружения
полностью сдаются в эксплуатацию на начальном этапе реализации инвестиционного
проекта, оборудование - в соответствии со вторым пунктом задания на курсовую
работу. Стоимость основных средств для расчета амортизации по годам реализации
инвестиционного проекта, представить в табличной форме.
Годовые накладные расходы не зависят от уровня освоения производственной
мощности.
Результаты расчета издержек по каждому инвестиционному проекту
представлены в табличной форме
Таблица 7. - Издержки на производство продукции по инвестиционному
проекту №1, в тыс.руб
|
Показатель
|
Год (шаг)
|
Итого
|
|
1
|
2
|
3
|
4
|
5
|
6
|
7
|
|
|
Материальные затраты
|
2808
|
5850
|
11700
|
11700
|
11700
|
11700
|
11700
|
67158
|
|
Расходы на заработную плату
|
2376
|
4950
|
9900
|
9900
|
9900
|
9900
|
9900
|
56826
|
|
Транспортно-заготовительные
расходы
|
604,8
|
1260
|
2520
|
2520
|
2520
|
2520
|
2520
|
14464,8
|
|
Итого переменные издержки
|
5788,8
|
12060
|
24120
|
24120
|
24120
|
24120
|
24120
|
138448,8
|
|
Амортизация оборудования
|
225,792
|
470,4
|
940,8
|
940,8
|
940,8
|
940,8
|
5400,192
|
|
Амортизация зданий и
сооружений
|
73,8
|
73,8
|
73,8
|
73,8
|
73,8
|
73,8
|
73,8
|
516,6
|
|
Итого амортизация
|
299,59
|
544,20
|
1014,60
|
1014,60
|
1014,60
|
1014,60
|
1014,6
|
5916,79
|
|
Ремонт оборудования
|
56,45
|
117,60
|
235,20
|
235,20
|
235,20
|
235,20
|
235,20
|
1350,05
|
|
Ремонт зданий и сооружений
|
24,6
|
24,6
|
24,6
|
24,6
|
24,6
|
24,6
|
24,6
|
172,20
|
|
Итого ремонт
|
81,05
|
142,20
|
259,80
|
259,80
|
259,80
|
259,80
|
259,80
|
1522,25
|
|
Накладные расходы
|
4350
|
4350
|
4350
|
4350
|
4350
|
4350
|
4350
|
30450
|
|
Прочие налоги, относимые на
себестоимость
|
105,19
|
170,96
|
297,44
|
297,44
|
297,44
|
297,44
|
297,44
|
1763
|
|
Итого постоянные расходы
|
4835,83
|
5207,36
|
5921,84
|
5921,84
|
5921,84
|
5921,84
|
5921,84
|
39652
|
|
Всего расходов
|
10624,6
|
17267,4
|
30041,8
|
30041,8
|
30041,8
|
30041,8
|
30041,8
|
178101
|
Таблица 8. - Издержки на производство продукции по инвестиционному
проекту №2, в тыс.руб
|
Показатель
|
Год (шаг)
|
Итого
|
|
|
1
|
2
|
3
|
4
|
5
|
6
|
7
|
|
|
Материальные затраты
|
2400
|
3600
|
12000
|
12000
|
12000
|
12000
|
12000
|
66000
|
|
Расходы на заработную плату
|
1760
|
2640
|
8800
|
8800
|
8800
|
8800
|
8800
|
48400
|
|
Транспортно-заготовительные
расходы
|
448
|
672
|
2240
|
2240
|
2240
|
2240
|
2240
|
12320
|
|
Итого переменные издержки
|
4608
|
6912
|
23040
|
23040
|
23040
|
23040
|
23040
|
126720
|
|
Амортизация оборудования
|
184,8
|
277,2
|
924
|
924
|
924
|
924
|
924
|
5082
|
|
Амортизация зданий и
сооружений
|
76,5
|
76,5
|
76,5
|
76,5
|
76,5
|
76,5
|
76,5
|
535,5
|
|
Итого амортизация
|
261,30
|
353,70
|
1000,50
|
1000,50
|
1000,50
|
1000,50
|
1000,50
|
5617,5
|
|
Ремонт оборудования
|
61,60
|
92,40
|
308,00
|
308,00
|
308,00
|
308,00
|
308,00
|
1694
|
|
Ремонт зданий и сооружений
|
25,5
|
25,5
|
25,5
|
25,5
|
25,5
|
25,5
|
25,5
|
178,50
|
|
Итого ремонт
|
87,10
|
117,90
|
333,50
|
333,50
|
333,50
|
333,50
|
333,50
|
1872
|
|
Накладные расходы
|
4360
|
4360
|
4360
|
4360
|
4360
|
4360
|
4360
|
30520
|
|
Прочие налоги, относимые на
себестоимость
|
93,16
|
117,44
|
287,34
|
287,34
|
287,34
|
287,34
|
287,34
|
1647
|
|
Итого постоянные расходы
|
4801,56
|
4949,04
|
5981,34
|
5981,34
|
5981,34
|
5981,34
|
5981,34
|
39657
|
|
Всего расходов
|
9409,6
|
11861
|
29021,3
|
29021,3
|
29021,3
|
29021,3
|
29021,3
|
166377
|
Таблица 9. - Издержки на производство продукции по инвестиционному
проекту №3, в тыс.руб
|
Показатель
|
Год (шаг)
|
Итого
|
|
|
1
|
2
|
3
|
4
|
5
|
6
|
|
|
Материальные затраты
|
3648
|
6080
|
12160
|
12160
|
12160
|
12160
|
58368
|
|
Расходы на заработную плату
|
3420
|
5700
|
11400
|
11400
|
11400
|
11400
|
54720
|
|
Транспортно-заготовительные
расходы
|
855
|
1425
|
2850
|
2850
|
2850
|
2850
|
13680
|
|
Итого переменные издержки
|
7923
|
13205
|
26410
|
26410
|
26410
|
26410
|
126768
|
|
Амортизация оборудования
|
277,2
|
462
|
924
|
924
|
924
|
924
|
4435,2
|
|
Амортизация зданий и
сооружений
|
79,2
|
79,2
|
79,2
|
79,2
|
79,2
|
79,2
|
475,2
|
|
Итого амортизация
|
356,40
|
541,20
|
1003,20
|
1003,20
|
1003,20
|
1003,20
|
4910,40
|
|
Ремонт оборудования
|
74,25
|
123,75
|
247,50
|
247,50
|
247,50
|
247,50
|
1188,00
|
|
Ремонт зданий и сооружений
|
26,4
|
26,4
|
26,4
|
26,4
|
26,4
|
26,4
|
158,40
|
|
Итого ремонт
|
100,65
|
150,15
|
273,90
|
273,90
|
273,90
|
273,90
|
1346,40
|
|
Накладные расходы
|
4350
|
4350
|
4350
|
4350
|
4350
|
4350
|
26100
|
|
Прочие налоги, относимые на
себестоимость
|
127,30
|
182,46
|
320,37
|
320,37
|
320,37
|
320,37
|
1591
|
|
Итого постоянные расходы
|
4934,35
|
5223,81
|
5947,47
|
5947,47
|
5947,47
|
5947,47
|
33948
|
|
Всего расходов
|
12857,35
|
18428,81
|
32357,47
|
32357,47
|
32357,47
|
32357,47
|
160716
|
3.1.3 Расчет
капитальных вложений по инвестиционному проекту
Таблица 10 - Инвестиции по проекту №1, тыс.руб
|
Показатель
|
Год (шаг)
|
Итого
|
|
1
|
3
|
4
|
5
|
6
|
7
|
|
|
Земля
|
920
|
0
|
0
|
0
|
0
|
0
|
0
|
920
|
|
Здания и сооружения
|
4100
|
0
|
0
|
0
|
0
|
0
|
0
|
4100
|
|
Оборудование отечественное
|
1632
|
1768
|
3400
|
0
|
0
|
0
|
0
|
6800
|
|
Оборудование импортное
|
2131,2
|
2308,8
|
4440
|
0
|
0
|
0
|
0
|
8880
|
|
Итого оборудования
|
3763,2
|
4076,8
|
7840
|
0
|
0
|
0
|
0
|
15680
|
|
Всего инвестиций
|
8783,2
|
4076,8
|
7840
|
0
|
0
|
0
|
0
|
20700
|
При расчете инвестиций учитываем исходные данные по освоению
производственной мощности. Распределение инвестиций по годам представляем в
табличной форме.
Таблица 11 - Инвестиции по проекту №2, тыс.руб
|
Показатель
|
Год (шаг)
|
Итого
|
|
1
|
2
|
3
|
4
|
5
|
6
|
7
|
|
|
Земля
|
800
|
0
|
0
|
0
|
0
|
0
|
0
|
800
|
|
Здания и сооружения
|
4250
|
0
|
0
|
0
|
0
|
0
|
0
|
4250
|
|
Оборудование отечественное
|
1220
|
610
|
4270
|
0
|
0
|
0
|
0
|
6100
|
|
Оборудование импортное
|
1860
|
930
|
6510
|
0
|
0
|
0
|
0
|
9300
|
|
Итого оборудования
|
3080
|
1540
|
10780
|
0
|
0
|
0
|
0
|
15400
|
|
Всего инвестиций
|
8130
|
1540
|
10780
|
0
|
0
|
0
|
0
|
20450
|
Таблица 12 - Инвестиции по проекту №3, тыс.руб
|
Показатель
|
Год (шаг)
|
Итого
|
|
1
|
2
|
3
|
4
|
5
|
6
|
|
|
Земля
|
925
|
0
|
0
|
0
|
0
|
0
|
925
|
|
Здания и сооружения
|
4400
|
0
|
0
|
0
|
0
|
0
|
4400
|
|
Оборудование отечественное
|
2070
|
1380
|
3450
|
0
|
0
|
0
|
6900
|
|
Оборудование импортное
|
2880
|
1920
|
4800
|
0
|
0
|
0
|
9600
|
|
Итого оборудования
|
4950
|
3300
|
8250
|
0
|
0
|
0
|
16500
|
|
Всего инвестиций
|
10275
|
3300
|
8250
|
0
|
0
|
0
|
21825
|
3.1.4
Определение реальных и дисконтированных денежных потоков (ЧД и ЧДД)
Чистый дисконтированный доход определяется по следующей формуле:
, (13)
где
Е - норма дисконта (доходности)
Pt -
результат, полученный на шаге t, в данном случае доходы реализации инвестиционного
проекта на шаге t (приток денежных средств), тыс.руб;
Зt
- суммарные текущие и единовременные ( инвестиционные) затраты на шаге t
(отток денежных средств), тыс.руб.
, (14)
где
Иt -
издержки и налоги по операционной деятельности на шаге t
Аt
- амортизация основных средств на шаге t
Кt
- капитальные вложения (инвестиции) по проекту на шаге t
Для
определения налога на имущество и прибыль используем текущие ставки по налогам.
Результаты расчета налога на имущество по годам реализации инвестиционного
проекта показано в таблице 13-15.
Таблица 13 - Налог на имущество №1, в тыс.руб
|
Порядковый год реализации
проекта
|
Стоимость основных средств
на начало года
|
Годовая амортизация
|
Стоимость основных средств
на конец года
|
Среднегодовая стоимость
основных средств
|
Налог на имущество
|
|
1
|
7863,2
|
299,59
|
7563,61
|
7713,40
|
169,69
|
|
2
|
11790,20
|
544,20
|
11246,00
|
11518,10
|
253,40
|
|
3
|
19358,10
|
1014,60
|
18343,50
|
18850,80
|
414,72
|
|
4
|
18850,80
|
1014,60
|
17836,20
|
18343,50
|
403,56
|
|
5
|
18343,50
|
1014,60
|
17328,90
|
17836,20
|
392,40
|
|
6
|
17836,20
|
1014,60
|
16821,60
|
17328,90
|
381,24
|
|
7
|
17328,90
|
1014,60
|
16314,30
|
16821,60
|
370,08
|
|
Итого
|
111370,92
|
5916,79
|
105454,13
|
108412,53
|
2385,08
|
Таблица 14 - Налог на имущество №2, в тыс.руб
|
Порядковый год реализации
проекта
|
Стоимость основных средств
на начало года
|
Годовая амортизация
|
Стоимость основных средств
на конец года
|
Среднегодовая стоимость
основных средств
|
Налог на имущество
|
|
1
|
7330
|
261,30
|
7068,70
|
7199,35
|
158,39
|
|
2
|
8739,35
|
353,70
|
8385,65
|
8562,50
|
188,38
|
|
3
|
19342,50
|
1000,50
|
18342,00
|
18842,25
|
414,53
|
|
4
|
18842,25
|
1000,50
|
17841,75
|
18342,00
|
403,52
|
|
5
|
18342,00
|
1000,50
|
17341,50
|
17841,75
|
392,52
|
|
6
|
17841,75
|
1000,50
|
16841,25
|
17341,50
|
381,51
|
|
7
|
17341,50
|
1000,50
|
16341,00
|
16841,25
|
370,51
|
|
Итого
|
107779,35
|
5617,50
|
102161,85
|
104970,60
|
2309,35
|
Таблица 15 - Налог на имущество №3, в тыс.руб
|
Порядковый год реализации
проекта
|
Стоимость основных средств
на начало года
|
Годовая амортизация
|
Стоимость основных средств
на конец года
|
Среднегодовая стоимость
основных средств
|
Налог на имущество
|
|
1
|
9350
|
356,40
|
8993,60
|
9171,80
|
201,78
|
|
2
|
12471,80
|
541,20
|
11930,60
|
12201,20
|
268,43
|
|
3
|
20451,20
|
1003,20
|
19448,00
|
19949,60
|
438,89
|
|
4
|
19949,60
|
1003,20
|
18946,40
|
19448,00
|
427,86
|
|
5
|
19448,00
|
1003,20
|
18444,80
|
18946,40
|
416,82
|
|
6
|
18946,40
|
1003,20
|
17943,20
|
18444,80
|
405,79
|
|
Итого
|
100617,00
|
4910,40
|
95706,60
|
2159,56
|
При расчете сальдо денежных потоков учитываем тот факт, что амортизация
остается на предприятии, т.е. отток денежных средств уменьшается на величину
амортизационных отчислений.
Пнал.обл. = Д - И - Налогимущ. (15)
Пнал.обл.1 = 10044 - 10624,6 - 169,69 = -750,33;
Пнал.обл.2 = 20925 - 17267,36 - 253,4 = 3404,24;
Пнал.обл.3 = 41850 - 30041,84 - 414,72 = 11393,44;
Пнал.обл.4 = 41850 - 30041,84 - 403,56 = 11404,6;
Пнал.обл.5 = 41850 - 30041,84 - 392,4 = 11415,76;
Пнал.обл.6 = 41850 - 30041,84 - 381,24 = 11426,92;
Пнал.обл.7 = 41850 - 30041,84 - 370,08 = 11438,08.
Сальдо ден.поток.операт. = Д - И - А + А - Налогимущ.
- Налогприб. (16)
kдисконт. = 1/(1+Е)t (17)
kдисконт.1 = 1/(1+0,15)1 = 0,91;
kдисконт.2 = 1/(1+0,15)2 = 0,83;
kдисконт.3 = 1/(1+0,15)3 = 0,75;
kдисконт.4 = 1/(1+0,15)4 = 0,68;
kдисконт.5 = 1/(1+0,15)5 = 0,62;
kдисконт.6 = 1/(1+0,15)6 = 0,56;
kдисконт.7 = 1/(1+0,15)7 = 0,51;
Наиболее привлекательным считается инвестиционный проект №1, т.к. он
наибольший чистый дисконтированный доход равный 12930,39 тыс.руб.
Таблица 16 - Потоки денежных средств по инвестиционному проекту №1,
тыс.руб
|
Показатель
|
Год (шаг)
|
Итого
|
|
1
|
2
|
3
|
4
|
5
|
6
|
7
|
|
|
Операционная деятельность
|
|
1 Доходы от реализованной
продукции
|
10044
|
20925
|
41850
|
41850
|
41850
|
41850
|
41850
|
240219
|
|
2 Переменные издержки
|
5788,8
|
12060
|
24120
|
24120
|
24120
|
24120
|
24120
|
138448,8
|
|
3 Постоянные издержки
|
4835,83
|
5207,36
|
5921,84
|
5921,84
|
5921,84
|
5921,84
|
5921,84
|
39652,42
|
|
4 Всего издержек
|
10624,6
|
17267,4
|
30041,8
|
30041,8
|
30041,8
|
30041,8
|
30041,8
|
178101,2
|
|
в т.ч. амортизация
|
299,59
|
544,20
|
1014,60
|
1014,60
|
1014,60
|
1014,60
|
1014,60
|
5916,79
|
|
5 Налог на имущество
|
169,69
|
253,40
|
414,72
|
403,56
|
392,40
|
381,24
|
370,08
|
2385,08
|
|
6 Налогооблагаемая прибыль
|
-750,3
|
3404,2
|
11393,4
|
11404,6
|
11415,8
|
11426,9
|
11438,1
|
59732,7
|
|
7 Налог на прибыль
|
0,00
|
680,85
|
2278,69
|
2280,92
|
2283,15
|
2285,38
|
2287,62
|
12096,61
|
|
8 Чистая прибыль
|
0,00
|
2723,39
|
9114,75
|
9123,68
|
9132,61
|
9141,54
|
9150,46
|
48386,43
|
|
9 Сальдо денежных потоков
по операционной деятельности
|
-750,33
|
2723,39
|
9114,75
|
9123,68
|
9132,61
|
9141,54
|
9150,46
|
47636,10
|
|
10 Накопленное сальдо по
операционной деятельности
|
-750,33
|
1973,06
|
11087,81
|
20211,49
|
29344,10
|
38485,64
|
47636,10
|
-
|
|
11 Коэффициент
дисконтирования
|
0,91
|
0,83
|
0,75
|
0,68
|
0,62
|
0,56
|
0,51
|
4,87
|
|
12 Дисконтированное сальдо
по операционной деятельности
|
-682,12
|
2250,73
|
6848,05
|
6231,60
|
5670,63
|
5160,16
|
4695,63
|
30174,68
|
|
13 Накопленное
дисконтированное сальдо по операционной деятельности
|
-682,12
|
1568,62
|
8416,66
|
14648,26
|
20318,89
|
25479,05
|
30174,68
|
-
|
|
Инвестиционная
деятельность
|
|
1 Реальные инвестиции
|
8783,20
|
4076,80
|
7840,00
|
0,00
|
0,00
|
0,00
|
0,00
|
20700,00
|
|
2 Накопленные инвестиции
|
8783,20
|
12860,00
|
20700,00
|
20700,00
|
20700,00
|
20700,00
|
20700,00
|
-
|
|
3 Дисконтированные
инвестиции
|
7984,73
|
3369,26
|
5890,31
|
0,00
|
0,00
|
0,00
|
0,00
|
17244,29
|
|
4 Накопленные
дисконтированные инвестиции
|
7984,73
|
11353,98
|
17244,29
|
17244,29
|
17244,29
|
17244,29
|
17244,29
|
105560,17
|
|
Итоговый результат
|
|
1 Сальдо по операционной и
инвестиционной деятельности
|
-9533,53
|
-1353,41
|
1274,75
|
9123,68
|
9132,61
|
9141,54
|
9150,46
|
26936,10
|
|
2 Накопленное сальдо по
операционной и инвестиционной деятельности (ЧД)
|
-9533,53
|
-10886,94
|
-9612,19
|
-488,51
|
8644,10
|
17785,64
|
26936,10
|
-
|
|
3 Дисконтированное сальдо
по операционной и инвестиционной деятельности
|
-8666,84
|
-1118,52
|
957,74
|
6231,60
|
5670,63
|
5160,16
|
4695,63
|
12930,39
|
|
4 Накопленное
дисконтированное сальдо по инвестиционной и операционной деятельности (ЧДД)
|
-8666,84
|
-9785,37
|
-8827,63
|
-2596,03
|
3074,60
|
8234,76
|
12930,39
|
-
|
Таблица 17 - Потоки денежных средств по инвестиционному проекту №2,
тыс.руб.
|
Показатель
|
Год (шаг)
|
Итого
|
|
1
|
2
|
3
|
4
|
5
|
6
|
7
|
|
|
Операционная деятельность
|
|
1 Доходы от реализованной
продукции
|
6768,00
|
10152,00
|
33840,00
|
33840,00
|
33840,00
|
33840,00
|
33840,00
|
186120,00
|
|
2 Переменные издержки
|
4608,00
|
6912,00
|
23040,00
|
23040,00
|
23040,00
|
23040,00
|
23040,00
|
126720,00
|
|
3 Постоянные издержки
|
4801,56
|
4949,04
|
5981,34
|
5981,34
|
5981,34
|
5981,34
|
5981,34
|
39657,30
|
|
4 Всего издержек
|
9409,56
|
11861,04
|
29021,34
|
29021,34
|
29021,34
|
29021,34
|
29021,34
|
166377,30
|
|
в т.ч. амортизация
|
261,30
|
353,70
|
1000,50
|
1000,50
|
1000,50
|
1000,50
|
1000,50
|
5617,50
|
|
5 Налог на имущество
|
158,39
|
188,38
|
414,53
|
403,52
|
392,52
|
381,51
|
370,51
|
2309,35
|
|
6 Налогооблагаемая прибыль
|
-2799,95
|
-1897,41
|
4404,13
|
4415,14
|
4426,14
|
4437,15
|
4448,15
|
17433,35
|
|
7 Налог на прибыль
|
0,00
|
0,00
|
880,83
|
883,03
|
885,23
|
887,43
|
889,63
|
4426,15
|
|
8 Чистая прибыль
|
0,00
|
0,00
|
3523,30
|
3532,11
|
3540,91
|
3549,72
|
3558,52
|
17704,56
|
|
9 Сальдо денежных потоков
по операционной деятельности
|
-2799,95
|
-1897,41
|
3523,30
|
3532,11
|
3540,91
|
3549,72
|
3558,52
|
13007,20
|
|
10 Накопленное сальдо по
операционной деятельности
|
-2799,95
|
-4697,36
|
-1174,06
|
2358,05
|
5898,96
|
9448,67
|
13007,20
|
-
|
|
11 Коэффициент
дисконтирования
|
0,91
|
0,83
|
0,75
|
0,68
|
0,62
|
0,56
|
4,87
|
|
12 Дисконтированное сальдо
по операционной деятельности
|
-2545,41
|
-1568,11
|
2647,11
|
2412,48
|
2198,63
|
2003,72
|
1826,08
|
6974,50
|
|
13 Накопленное
дисконтированное сальдо по операционной деятельности
|
-2545,41
|
-4113,52
|
-1466,41
|
946,07
|
3144,69
|
5148,42
|
6974,50
|
-
|
|
Инвестиционная
деятельность
|
|
1 Реальные инвестиции
|
8130,00
|
1540,00
|
10780,00
|
0,00
|
0,00
|
0,00
|
0,00
|
20450,00
|
|
2 Накопленные инвестиции
|
8130,00
|
9670,00
|
20450,00
|
20450,00
|
20450,00
|
20450,00
|
20450,00
|
-
|
|
3 Дисконтированные
инвестиции
|
7390,91
|
1272,73
|
8099,17
|
0,00
|
0,00
|
0,00
|
0,00
|
16762,81
|
|
4 Накопленные
дисконтированные инвестиции
|
7390,91
|
8663,64
|
16762,81
|
16762,81
|
16762,81
|
16762,81
|
16762,81
|
99868,60
|
|
Итоговый результат
|
|
1 Сальдо по операционной и
инвестиционной деятельности
|
-10929,95
|
-3437,41
|
-7256,70
|
3532,11
|
3540,91
|
3549,72
|
3558,52
|
-7442,80
|
|
2 Накопленное сальдо по
операционной и инвестиционной деятельности (ЧД)
|
-10929,95
|
-14367,36
|
-21624,06
|
-18091,95
|
-14551,04
|
-11001,33
|
-7442,80
|
-
|
|
3 Дисконтированное сальдо
по операционной и инвестиционной деятельности
|
-9936,32
|
-2840,84
|
-5452,07
|
2412,48
|
2198,63
|
2003,72
|
1826,08
|
-9788,31
|
|
4 Накопленное
дисконтированное сальдо по инвестиционной и операционной деятельности (ЧДД)
|
-9936,32
|
-12777,15
|
-18229,22
|
-15816,74
|
-13618,12
|
-11614,39
|
-9788,31
|
-
|
Таблица 18 - Потоки денежных средств по инвестиционному проекту №3,
тыс.руб
|
Показатель
|
Год (шаг)
|
Итого
|
|
1
|
2
|
3
|
4
|
5
|
6
|
|
|
Операционная деятельность
|
|
1 Доходы от реализованной
продукции
|
13181,25
|
21968,75
|
43937,50
|
43937,50
|
43937,50
|
43937,50
|
210900,00
|
|
2 Переменные издержки
|
7923,00
|
13205,00
|
26410,00
|
26410,00
|
26410,00
|
26410,00
|
126768,00
|
|
3 Постоянные издержки
|
4934,35
|
5223,81
|
5947,47
|
5947,47
|
5947,47
|
5947,47
|
33948,05
|
|
4 Всего издержек
|
12857,35
|
18428,81
|
32357,47
|
32357,47
|
32357,47
|
32357,47
|
160716,05
|
|
в т.ч. амортизация
|
356,40
|
541,20
|
1003,20
|
1003,20
|
1003,20
|
1003,20
|
4910,40
|
|
5 Налог на имущество
|
201,78
|
268,43
|
438,89
|
427,86
|
416,82
|
405,79
|
2159,56
|
|
6 Налогооблагаемая прибыль
|
122,12
|
3271,51
|
11141,14
|
11152,17
|
11163,21
|
11174,24
|
48024,39
|
|
7 Налог на прибыль
|
24,42
|
654,30
|
2228,23
|
2230,43
|
2232,64
|
2234,85
|
9604,87
|
|
8 Чистая прибыль
|
97,70
|
2617,21
|
8912,91
|
8921,74
|
8930,57
|
8939,39
|
38419,52
|
|
9 Сальдо денежных потоков
по операционной деятельности
|
97,70
|
2617,21
|
8912,91
|
8921,74
|
8930,57
|
8939,39
|
38419,52
|
|
10 Накопленное сальдо по
операционной деятельности
|
97,70
|
2714,91
|
11627,82
|
20549,56
|
29480,13
|
38419,52
|
-
|
|
11 Коэффициент
дисконтирования
|
0,91
|
0,83
|
0,75
|
0,68
|
0,62
|
0,56
|
4,36
|
|
12 Дисконтированное сальдо
по операционной деятельности
|
88,82
|
2162,98
|
6696,40
|
6093,67
|
5545,18
|
5046,05
|
25633,11
|
|
13 Накопленное
дисконтированное сальдо по операционной деятельности
|
88,82
|
2251,80
|
8948,20
|
15041,87
|
20587,05
|
25633,11
|
-
|
|
Инвестиционная
деятельность
|
|
1 Реальные инвестиции
|
10275,00
|
3300,00
|
8250,00
|
0,00
|
0,00
|
0,00
|
21825,00
|
|
2 Накопленные инвестиции
|
10275,00
|
13575,00
|
21825,00
|
21825,00
|
21825,00
|
21825,00
|
-
|
|
3 Дисконтированные
инвестиции
|
9340,91
|
2727,27
|
6198,35
|
0,00
|
0,00
|
0,00
|
18266,53
|
|
4 Накопленные
дисконтированные инвестиции
|
9340,91
|
12068,18
|
18266,53
|
18266,53
|
18266,53
|
18266,53
|
94475,21
|
|
Итоговый результат
|
|
1 Сальдо по операционной и
инвестиционной деятельности
|
-10177,30
|
-682,79
|
662,91
|
8921,74
|
8930,57
|
8939,39
|
16594,52
|
|
2 Накопленное сальдо по
операционной и инвестиционной деятельности (ЧД)
|
-10177,30
|
-10860,09
|
-10197,18
|
-1275,44
|
7655,13
|
16594,52
|
-
|
|
3 Дисконтированное сальдо
по операционной и инвестиционной деятельности
|
-9252,09
|
-564,29
|
498,05
|
6093,67
|
5545,18
|
5046,05
|
7366,58
|
|
4 Накопленное
дисконтированное сальдо по инвестиционной и операционной деятельности (ЧДД)
|
-9252,09
|
-9816,38
|
-9318,33
|
-3224,66
|
2320,52
|
7366,58
|
-
|
3.2
Определение индекса доходности и срока окупаемости инвестиционного проекта
инвестиционный проект
доход окупаемость
Индекс доходности характеризует (относительную) «отдачу проекта» на
вложенные в него средства. Индекс доходности рассчитываться как для
дисконтированных, так и для не дисконтированных денежных потоков.
(18)
ИД1
= 47636,1 / 20700 = 2,3;
ИД2
= 13007,2 / 20450 = 06;
ИД3
= 38419,52 / 21825 = 1,8.
ИДД1
= 30174,68 / 17244,29 = 1,7;
ИДД2
= 6974,5 / 16762,81 = 0,4;
ИДД3
= 25633,11 / 18266,53 = 1,4.
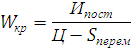
Срок,
по истечении которого инвестиции окупятся, и предприятие начнет получать чистую
прибыль, называется сроком окупаемости.
СОК
= 1/ИДД (19)
СОК1ИД
= 1 / 2,3 * 7 = 3года;
СОК1ИДД
= 1 / 1,7 * 7 = 4года.
Таблица
19 - Доходность и окупаемость инвестиционных проектов
|
Номер проекта
|
ЧД, тыс.руб.
|
ЧДД, тыс. руб.
|
ИД
|
ИДД
|
Срок окупаемости
инвестиций, год
|
Срок окупаемости
дисконтированных инвестиций, год
|
|
1
|
26936,1
|
12930,4
|
2,3
|
1,7
|
3,0
|
4,0
|
|
2
|
-7442,8
|
-9788,3
|
0,6
|
0,4
|
11,0
|
16,8
|
|
3
|
16594,5
|
7366,6
|
1,8
|
1,4
|
3,4
|
4,3
|
Наиболее привлекательным считается проект №1, т.к. он имеет наибольший
ИДД и наименьший СОК.
3.3
Определение наиболее привлекательного инвестиционного проекта в условиях
инфляции
Инфляция - это процесс выравнивания монетарным путем напряженности,
возникшей в какой-либо социально-экономической среде, которая сопровождается
повышением общего уровня цен и снижением покупательной способности денег.
Коэффициент дисконтирования с учетом инфляции (δ) рассчитывается по формуле:
, (20)
где
τ - уровень инфляции, в долях единицы.
Показатели
эффективности инвестиционного проекта с учетом инфляции представлены в
табличной форме
Таблица
20 Эффективность инвестиционного проекта с учетом инфляции №1
|
|
Год (шаг)
|
|
|
Показатель
|
1
|
2
|
3
|
4
|
5
|
6
|
7
|
Итого
|
|
1 Реальное сальдо
операционной деятельности, тыс.руб.
|
-750,33
|
2723,39
|
9114,75
|
9123,68
|
9132,61
|
9141,54
|
47636,10
|
|
2 Коэффициент дисконтирования
с учетом инфляции
|
0,79
|
0,62
|
0,49
|
0,39
|
0,31
|
0,24
|
0,19
|
-
|
|
3 Дисконтированное сальдо
операцион-ной деятельности с учетом инфляции, тыс.руб.
|
-593,15
|
1701,88
|
4502,70
|
3562,93
|
2819,31
|
2230,88
|
1765,26
|
15989,82
|
|
4 Сальдо инвестиционной
деятельности, тыс.руб.
|
8783,20
|
4076,80
|
7840,00
|
0,00
|
0,00
|
0,00
|
0,00
|
-
|
|
5Дисконтированное сальдо
инвестиционной деятельности с учетом инфляции, тыс.руб.
|
6943,24
|
2547,64
|
3872,97
|
0,00
|
0,00
|
0,00
|
0,00
|
13363,86
|
|
6 Дисконтированное сальдо
всех денежных потоков с учетом инфляции, тыс.руб.
|
-7536,39
|
-845,76
|
629,73
|
3562,93
|
2819,31
|
2230,88
|
1765,26
|
2625,96
|
|
7 . ЧДД*,
тыс.руб.
|
2625,96
|
|
8. Индекс доходности (ИДД*)
|
1,2
|
|
9. Срок окупаемости (СОК*),
лет
|
5,85
|
Таблица 21 Эффективность инвестиционного проекта с учетом инфляции №2
|
|
Год (шаг)
|
|
|
Показатель
|
1
|
2
|
3
|
4
|
5
|
6
|
7
|
Итого
|
|
1 Реальное сальдо
операционной деятельности, тыс.руб.
|
-2799,95
|
-1897,41
|
3523,30
|
3532,11
|
3540,91
|
3549,72
|
3558,52
|
13007,20
|
|
2 Коэффициент
дисконтирования с учетом инфляции
|
0,83
|
0,68
|
0,56
|
0,47
|
0,39
|
0,32
|
0,26
|
-
|
|
3 Дисконтированное сальдо
операционной деятельности с учетом инфляции, тыс.руб.
|
-2314,01
|
-1295,96
|
1988,81
|
1647,75
|
1365,17
|
1131,05
|
937,07
|
3459,89
|
|
4 Сальдо инвестиционной
деятельности, тыс.руб.
|
8130,00
|
1540,00
|
10780,00
|
0,00
|
0,00
|
0,00
|
0,00
|
-
|
|
5Дисконтированное сальдо
инвестиционной деятельности с учетом инфляции, тыс.руб.
|
6719,01
|
1051,84
|
6085,03
|
0,00
|
0,00
|
0,00
|
0,00
|
13855,88
|
|
6 Дисконтированное сальдо
всех денежных потоков с учетом инфляции, тыс.руб.
|
-9033,02
|
-2347,80
|
-4096,22
|
1647,75
|
1365,17
|
1131,05
|
937,07
|
-10396
|
|
7 . ЧДД*, тыс.руб.
|
-10395,98
|
|
8. Индекс доходности (ИДД*)
|
0,2
|
|
9. Срок окупаемости (СОК*),
лет
|
28,03
|
Таблица 22 Эффективность инвестиционного проекта с учетом инфляции №3
|
|
Год (шаг)
|
|
|
Показатель
|
1
|
2
|
3
|
4
|
5
|
6
|
Итого
|
|
1 Реальное сальдо
операционной деятельности, тыс.руб.
|
97,70
|
2617,21
|
8912,91
|
8921,74
|
8930,57
|
8939,39
|
38419,52
|
|
2 Коэффициент
дисконтирования с учетом инфляции
|
0,81
|
0,66
|
0,53
|
0,43
|
0,35
|
0,29
|
-
|
|
3 Дисконтированное сальдо
операционной деятельности с учетом инфляции, тыс.руб.
|
79,30
|
1724,32
|
4766,36
|
3872,64
|
3146,48
|
2556,49
|
16145,59
|
|
4 Сальдо инвестиционной
деятельности, тыс.руб.
|
10275,00
|
3300,00
|
8250,00
|
0,00
|
0,00
|
0,00
|
-
|
|
5Дисконтированное сальдо
инвестиционной деятельности с учетом инфляции, тыс.руб.
|
8340,10
|
2174,17
|
4411,86
|
0,00
|
0,00
|
0,00
|
14926,12
|
|
6 Дисконтированное сальдо
всех денежных потоков с учетом инфляции, тыс.руб.
|
-8260,80
|
-449,85
|
354,50
|
3872,64
|
3146,48
|
2556,49
|
1219,47
|
|
7 . ЧДД*,
тыс.руб.
|
1219,47
|
|
8. Индекс доходности (ИДД*)
|
1,1
|
|
9. Срок окупаемости (СОК*),
лет
|
5,55
|
При пересчёте с учётом инфляции мы получили:
· По проекту №1 ЧДД снизился на 10304,44 тыс.руб., ИДД снизился на 0,5;
срок окупаемости увеличился на 1,85 года.
· По проекту №2 ЧДД ещё больше ухудшился с -9788,3 до
10395,98тыс.руб.; ИДД снизился ещё на 0,2 пункта; срок окупаемости увеличился
более чем на 11 лет;
· По проекту №3 ЧДД снизился более чем на 6000 тыс.руб.; ИДД
снизился с 1,4 до 1,1; срок окупаемости увеличился с 4,3 года до 5,55лет.
Таким образом самым выгодным по прежнему остаётся проект №1
3.4 Сравнение
инвестиционных проектов, имеющих различную продолжительность реализации
Инвестиционные проекты имеют разный срок реализации, поэтому необходимо
обеспечить их сопоставимость по фактору времени. Для этого рекомендуется
использовать метод цепного повтора. Порядок действий:
) определим наименьшее кратное сроков действия инвестиционных проектов -
наименьшее число, которое делится без остатка на срок реализации каждого из
рассматриваемых проектов - Тнкр;
Тнкр = 7 * 6 = 42.
) определим количество повторов (N) сроков реализации каждого проекта в течение найденного
наименьшего кратного срока;
N1 = 42 / 7 = 6 раз.
) Рассчитать ЧДД по каждому проекту с учетом наименьшего кратного
горизонта расчета. Количество шагов по проекту принимается равным количеству
повторов.
Критерием
выбора инвестиционного проекта является максимальное значение ЧДД, поэтому
лучшим инвестиционным проектом будет являться проект №1
4.
Пространственная оптимизация инвестиционного портфеля
Пространственная оптимизация инвестиций производится при необходимости
реализации всех проектов в условиях дефицита средств. В результате определяется
рациональная последовательность реализации инвестиционных проектов. Оптимизацию
инвестиционного портфеля провести с учетом наличия 75% необходимых
инвестиционных ресурсов.
К1
= 0,75 * (К1 + К2 + К3)
(21)
К1
= 0,75 * (20700 + 20450 + 21825) = 47231,25 тыс.руб.
Порядок
(последовательность) реализации инвестиционных проектов определяется индексом
доходности. В первую очередь реализуется проект с максимальным индексом
доходности; результат расчетов предоставляется в табличной форме.
Таблица
23 - Оптимальный вариант инвестиционного портфеля
|
Номер проекта
|
ИД
|
Капитальные вложения,
тыс.руб.
|
% освоения капитальных
вложений
|
ЧДД, тыс.руб.
|
|
1
|
1,7
|
20700
|
100
|
12930,39
|
|
3
|
1,4
|
21825
|
100
|
7366,58
|
|
2
|
0,4
|
4706,25
|
23
|
-2251,3
|
|
Итого
|
3,5
|
47231,25
|
|
18045,67
|
Сделаем проверку принятого решения, используя другую последовательность
реализации инвестиционных проектов.
Таблица 24 - Проверка принятого решения
|
Номер проекта
|
ИД
|
Капитальные вложения,
тыс.руб.
|
% освоения капитальных
вложений
|
ЧДД, тыс.руб.
|
|
3
|
1,4
|
21825
|
100
|
7366,58
|
|
2
|
0,4
|
20450
|
100
|
-9788,31
|
|
1
|
1,7
|
4956,25
|
24
|
3103,29
|
|
Итого
|
3,5
|
47231,25
|
|
681,56
|
Таблица 25 - Проверка принятого решения
|
Номер проектаИДКапитальные
вложения, тыс.руб.% освоения капитальных вложенийЧДД, тыс.руб.
|
|
|
|
|
|
2
|
0,4
|
20450
|
100
|
-9788,31
|
|
1
|
1,7
|
20700
|
100
|
12930,39
|
|
3
|
1,4
|
6081,25
|
28
|
2062,64
|
|
Итого
|
3,5
|
47231,25
|
|
5204,72
|
Сделав проверку мы видим что выбранный вариант является оптимальным, т.к.
суммарный ЧДД инвестиционного портфеля больше двух других и равен 18045,67
тыс.руб.
5. Оценка
устойчивости инвестиционного проекта
Для определения устойчивости инвестиционного проекта рекомендуется
рассчитать критический (безубыточный) годовой объем производства - это
минимальный объем производства продукции, при котором предприятие будет иметь
нулевой финансовый результат, т.е. доходы равны суммарным издержкам.
Критический объем (Wкр) рассчитывается с учетом разделения затрат,
относимых на себестоимость продукции, на переменные и условно-постоянные
(зависящие и не зависящие от объема производства).
(22)
Проект №1
Wкр1 = 5921,84 / (465-268) = 30,1
Проект №2
Wкр2 = 5981,34 / (423-288) = 44,3
Проект №3
Wкр3 = 5947,47 / (462,5-278) = 32,2
где Ц - усредненная цена единицы продукции, руб./ед.
(23)
Проект №1
Ц = (460*67,5+480*22,5) / 90 = 465 руб./ед.
Проект №2
Ц = (420*72+450*8) / 80 = 423 руб./ед.
Проект №3
Ц = (470*80,75+420*14,25) / 95 = 462,5 руб./ед.
, (24)
Проект
№1
Sпер1 = 24120 / 90 = 268 руб./ед.
Проект
№2
Sпер2 = 23040 / 80 = 288 руб./ед.
Проект
№3
Sпер3 = 26410 / 95 = 278 руб./ед.
где
Sперем -
удельные переменные издержки, руб./ед.
Проверка
устойчивости инвестиционного проекта производится по выбранному в пункте 3.1
инвестиционному проекту после полного ввода объекта в эксплуатацию.
Проверим правильность расчета Wкр
графическим методом. Построим соответствующий график с учетом рассчитанных в
курсовой работе конкретных значений показателей доходов и издержек. (см.
график)
Определим коэффициент финансовой устойчивости (прочности) выбранного
инвестиционного проекта (Кфу) и запас прочности (Кзфу):
(25)
Кфу1 = 90 / 30,1 = 2,99
Кфу2 = 80 / 44,3 = 1,8
Кфу3 = 95 / 32,2 = 2,95
(26)
Кзфу1 = (90 - 30,1) / 30,1 = 1,99
Кзфу2 = (80 - 44,3) / 44,3 = 0,8
Кзфу3 = (95 - 32,2) / 32,2 = 1,95
Вывод:
оценка устойчивости инвестиционных проектов показала, что все проекты финансово
устойчивы, т.к.
и имеют достаточно большой запас прочности (
)
Заключение
В курсовой работе был проведен сравнительный анализ трех инвестиционных
проектов в различных условиях, в ходе которого, выяснили, что наиболее
оптимальным из предложенных является инвестиционный проект №1:
по результатам оценки доходности и окупаемости данный проект имеет самый
высокий индексе доходности равный 2,3, наименьший срок окупаемости равный 3
года и наибольший ЧДД, который составил 26936,1 тыс. руб.
анализируя эффективность инвестиционных проектов с учетом инфляции, мы
получили следующие данные:
· По проекту №1 ЧДД снизился на 10304,44 тыс.руб., ИДД снизился на 0,5;
срок окупаемости увеличился на 1,85 года.
· По проекту №2 ЧДД ещё больше ухудшился с -9788,3 до
10395,98тыс.руб.; ИДД снизился ещё на 0,2 пункта; срок окупаемости увеличился
более чем на 11 лет;
· По проекту №3 ЧДД снизился более чем на 6000 тыс.руб.; ИДД
снизился с 1,4 до 1,1; срок окупаемости увеличился с 4,3 года до 5,55лет.
-
оценка устойчивости инвестиционных проектов показала, что все проекты финансово
устойчивы, т.к.
и имеют достаточно большой запас прочности (
). В первую очередь нужно вкладывать в деньги в первый
и третий проект, а во второй по остаточному принципу.
Также
можно пересмотреть проект №2: можно попробовать увеличить объем производства и
снизить себестоимость производимо продукции, т.к. эти показатели влияют на
увеличение прироста.