Стандартные методы оценки эффективности инновационной деятельности: чистая текущая стоимость, индекс доходности, внутренняя норма доходности

  • Вид работы:
    Контрольная работа
  • Предмет:
    Финансы, деньги, кредит
  • Язык:
    Русский
    ,
    Формат файла:
    MS Word
    148,41 Кб
  • Опубликовано:
    2014-01-10
Вы можете узнать стоимость помощи в написании студенческой работы.
Помощь в написании работы, которую точно примут!

Стандартные методы оценки эффективности инновационной деятельности: чистая текущая стоимость, индекс доходности, внутренняя норма доходности














Контрольная работа

Стандартные методы оценки эффективности инновационной деятельности: чистая текущая стоимость, индекс доходности, внутренняя норма доходности

Введение

Давно известна истина, что, прежде чем приступать к реализации какого-либо инвестиционного проекта, необходимо сделать его экономическое обоснование. Оно должно дать ответ о выгодности или нецелесообразности реализации инвестиционного проекта. При этом должны быть использованы самые надежные и апробированные методические подходы, что позволит свести инвестиционный риск к минимуму.

В бытность плановой (административно-командной) экономики в СССР действовала методика определения абсолютной и сравнительной эффективности капитальных вложений, которая была утверждена официальными органами в 1977 г. Эта методика была единой и широко использовалась на практике, и до сих пор ее никто не отменял.

С переходом экономики России на рыночные отношения вышеупомянутая методика уже морально устарела и не может в полной мере использоваться на практике. Прежде чем указать причины, почему эта методика морально устарела, необходимо коротко раскрыть ее суть.

Методика определения абсолютной и сравнительной эффективности капитальных вложений состояла как бы из двух методик: методики определения абсолютной эффективности капитальных вложений и методики определения сравнительной эффективности капитальных вложений.

Основным недостатком методики определения сравнительной эффективности капитальных вложений является то, что критерием для выявления лучшего варианта являются приведенные затраты, а не прибыль, которая в наибольшей степени отвечает требованиям рыночной экономики.

Кроме того, данная методика не может быть использована для экономического обоснования инвестиций, направляемых на улучшение качества продукции. Это связано с тем, что, как правило, с улучшением качества продукции увеличиваются издержки на производство и реализацию продукции за счет применения более качественных и дорогостоящих материалов, использования более высококвалифицированного труда и других факторов. Поэтому методика определения сравнительной эффективности капитальных вложений, в которой за основу сравнения взяты приведенные затраты, в этом случае не может быть применена.

Таким образом, с переходом России на рыночные отношения та методологическая база, которая была наработана и широко применялась в бытность плановой экономики, морально устарела и не может быть использована для экономического обоснования инвестиций. Поэтому перед учеными экономистами и практиками России появилась серьезная проблема - создание адекватной рыночной экономике методологической основы экономического обоснования инвестиций. В этих условиях большой теоретический и практический интерес представляют методические подходы по определению выгодности вложения инвестиций в странах с развитой рыночной экономикой. Рассмотрим базовые принципы и методические подходы, используемые в зарубежной практике и литературе для оценки эффективности реальных инвестиций.

Одним из таких принципов является оценка возврата инвестируемого капитала на основе показателя денежного потока «кэш-фло», формируемого за счет сумм чистой прибыли и амортизационных отчислений в процессе эксплуатации инвестиционного проекта. При этом показатель денежного потока может приниматься при оценке дифференцированного по отдельным годам эксплуатации инвестиционного проекта или как среднегодовой.

Вторым принципом оценки является обязательное приведение к настоящей стоимости как инвестируемого капитала, так и сумм денежного потока.

Третьим принципом оценки является выбор дифференцированной ставки процента (дисконтной ставки) в процессе дисконтирования денежного потока для различных инвестиционных проектов. Размер дохода от инвестиций (в реальном инвестировании таким доходом выступает денежный поток) формируется с учетом следующих четырех факторов: средней реальной депозитной ставки; темпа инфляции (или премии за инфляцию); премии за риск; премии за низкую ликвидность. Поэтому при сравнении двух инвестиционных проектов с различными уровнями риска должны применяться при дисконтировании различные ставки процента (более высокая ставка процента должна быть использована по проекту с более высоким уровнем риска).

Аналогично при сравнении двух инвестиционных проектов с различными общими периодами инвестирования (ликвидностью инвестиций) более высокая ставка процента должна применяться по проекту с большей продолжительностью реализации.

Наконец, четвертым принципом оценки является вариация форм используемой ставки процента для дисконтирования в зависимости от целей оценки. При расчете различных показателей эффективности инвестиций в качестве ставки процента, выбираемой для дисконтирования, могут быть использованы: средняя депозитная или кредитная ставка; индивидуальная норма доходности инвестиций с учетом уровня инфляции, уровня риска и уровня ликвидности инвестиций; альтернативная норма доходности по другим возможным видам инвестиций; норма доходности по текущей хозяйственной деятельности и т.п.

В мировой практике наиболее широкое распространение получила методика оценки эффективности реальных инвестиций на основе системы следующих взаимосвязанных показателей.

Рассмотрим сущность этих показателей более подробно.

.       
Чистая дисконтированная (текущая) стоимость

Анализируя научные труды ученых, можно прийти к выводу, что наиболее распространенным методом экономического обоснования инвестиций является метод на основе сопоставления чистой дисконтированной стоимости (NPV) и реальных инвестиций (К), т.е. в этом случае критерием для экономического обоснования инвестиций служит дисконтированная стоимость (NPV).

Если: NPV > К > 0 - проект следует принимать;

NPV < К < 0 - проект следует отвергнуть.

NPV - один из важнейших показателей и критериев эффективности инвестиций, который в ряде случаев выступает как самостоятельный и единственный.

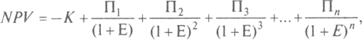
Среди ученых нет единого подхода при определении чистой дисконтированной стоимости. Одни из них, в частности Роберт Пиндайк и Даниэль Рубинфельд, предлагают определять чистую дисконтированную стоимость на основе будущих доходов, полученных при реализации проекта. Под будущими доходами они понимают чистую прибыль. Согласно их точки зрения чистую дисконтированную стоимость необходимо определять по формуле


где К - инвестиции, необходимые для реализации проекта;

П1; П2, П3,…, Пn - чистая прибыль, полученная по отдельным годам от реализации проекта;

Е - норматив приведения затрат к единому моменту времени - норма дисконта.

Уравнение дает описание чистой прибыли фирмы от инвестиций. Фирме следует производить капиталовложения только тогда, когда чистая прибыль положительна, т.е. только в том случае, если NPV > 0.

Другие авторы предлагают определять будущий дисконтированный доход на основе чистой прибыли и амортизационных отчислений:


где А1, А2, А3,…, Аn - амортизационные отчисления в n-м периоде.

Нам представляется такой подход к определению NPV более объективным и правильным, так как амортизационные отчисления - средства, необходимые для осуществления процесса воспроизводства основных производственных фондов, остаются в распоряжении предприятия, т.е. это приток денежных средств, а не отток.

Основой для исчисления NPV является «План денежных потоков». В его основе лежит метод анализа денежных потоков (cash-flows).

Выражение «кэш-фло» из английского языка прочно вошло в лексикон экономистов практически всех развитых стран и стало не менее популярным, чем «маркетинг» и «контроллинг». Сегодня в развитых странах не существует ни одной организации - будь то финансовый институт, банк, инвестиционный фонд, промышленное предприятие или консультационная фирма, действующие в условиях рыночной экономики, которая не использует анализ «кэш-фло» в своей инвестиционной деятельности. Это связано с тем, что анализ денежных потоков лежит в основе «классических» методов инвестиционного анализа и используется в наиболее известных методиках планирования и оценки эффективности инвестиционных проектов.

NPV зависит от ставки дисконта, и эта зависимость представлена на рис.

Зависимость NPV от ставки дисконта

Правильный выбор величины ставки дисконта является важнейшим моментом при экономическом обосновании инвестиций.

2.      Индекс доходности

Этот показатель является следствием предыдущего (NPV) и рассчитывается по формуле:


где Д0 - сумма денежного потока в настоящей сумме;

К - дисконтированные инвестиции.

В отличие от NPV индекс доходности является относительным показателем. Благодаря этому он очень удобен при выборе одного проекта из ряда альтернативных, имеющих примерно одинаковые значения NPV, либо при комплектовании портфеля с максимальным суммарным значением NPV.

Кроме того, индекс доходности в методическом отношении напоминает оценку по используемому ранее показателю «коэффициент эффективности капитальных вложений», который определяется по формуле


где Э - коэффициент эффективности капитальных вложений;

П - прибыль, полученная от реализации проекта;

К - капитальные вложения, необходимые для осуществления проекта.

Вместе с тем по экономическому содержанию это совершенно иной показатель, так как в качестве дохода от инвестиций выступает не прибыль, а денежный поток (чистая прибыль + амортизационные отчисления). Кроме того, предстоящий доход от инвестиций (денежный поток) приводится в процессе оценки к настоящей стоимости.

Показатель «индекс доходности» также может быть использован не только для сравнительной оценки, но и в качестве критериального при принятии инвестиционного проекта к реализации.

Очевидно, что если PI > 0, то проект следует принять;

PI < 1, то проект следует отвергнуть;

PI = 1, то проект ни прибыльный, ни убыточный.

Сравнивая показатели NPV и PI, следует обратить внимание на то, что результаты оценки эффективности инвестиций с их помощью находятся в прямой зависимости: с ростом абсолютного значения чистого приведенного дохода возрастет и значение индекса доходности и наоборот. Более того, при нулевом значении чистого приведенного дохода индекс доходности всегда будет равен единице. Это означает, что как критериальный показатель целесообразности реализации инвестиционного проекта может быть использован только один (любой) из них. При проведении сравнительной оценки следует рассматривать оба показателя, так как в этом случае они позволяют инвестору с разных сторон оценивать эффективность инвестиций.

капитальный вложение доходность стоимость

3.      Внутренняя норма доходности

Под внутренней нормой доходности (IRR) понимают значение ставки дисконтирования, при которой NPV проекта равен нулю:

= Е, при котором NPV = f(E) = 0.

Смысл расчета этого коэффициента при анализе эффективности планируемых инвестиций заключается в следующем: IRR показывает максимально допустимый относительный уровень расходов, которые могут быть ассоциированы с данным проектом. Например, если проект полностью финансируется за счет ссуды коммерческого банка, то значение IRR показывает верхнюю границу допустимого уровня банковской процентной ставки, превышение которой делает проект убыточным.

На практике любое предприятие финансирует свою деятельность, в том числе и инвестиционную, из различных источников.

Экономический смысл этого показателя заключается в следующем: предприятие может принимать любые решения инвестиционного характера, уровень рентабельности которых не ниже текущего значения показателя СС (или цены источника средств для данного проекта, если он имеет целевой источник). Именно с ним сравнивается показатель IRR, рассчитанный для конкретного проекта, при этом связь между ними такова:

Если IRR > СС, то проект следует принять;

IRR < СС, то проект следует отвергнуть;

IRR = СС, то проект ни прибыльный, ни убыточный.

Так высказывает свою точку зрения на этот показатель В.В. Ковалев[1]


Список литературы

капитальный вложение доходность стоимость

1.      Ковалев, В.В. Основы теории финансового менеджмента: учебно-практическое пособие / В.В. Ковалев. - Москва: Проспект, 2009. - 533 с.

.        Жилкина, А.Н. Управление финансами: финансовый анализ предприятия: учебник / А.Н. Жилкина. - Москва: Инфра-М, 2007. - 331 с.

.        Савчук, В.П. Управление финансами предприятия / В.П. Савчук. - Москва: БИНОМ. Лаборатория знаний, 2009. - 480 с.

Похожие работы на - Стандартные методы оценки эффективности инновационной деятельности: чистая текущая стоимость, индекс доходности, внутренняя норма доходности

 

Не нашли материал для своей работы?
Поможем написать уникальную работу
Без плагиата!
Без нейросетей!