Токовая защита линий электропередач
Введение
Электрические машины и аппараты,
линии электропередачи и другие части электрических установок и электрических
сетей постоянно находятся под напряжением и обтекаются током, вызывающим их
нагрев. Поэтому в процессе эксплуатации могут возникать повреждения, приводящие
к коротким замыканиям (КЗ).
Короткие замыкания возникают из-за
пробоя или перекрытия изоляции, обрывов проводов, ошибочных действий персонала
(включения под напряжение заземленного оборудования, отключения разъединителей
под нагрузкой) и других причин.
В большинстве случаев в месте КЗ
возникает электрическая дуга с высокой температурой, приводящая к разрушениям
токоведущих частей, изоляторов и электрических аппаратов. При КЗ к месту
повреждения подходят большие токи (токи КЗ), измеряемые тысячами ампер, которые
перегревают неповрежденные токоведущие части и могут вызвать дополнительные
повреждения, т. е. развитие аварии. Одновременно в сети, электрически связанной
с местом повреждения, происходит глубокое понижение напряжения, что может
привести к остановке электродвигателей и нарушению параллельной работы
генераторов.
В большинстве случаев развитие
аварий может быть предотвращено быстрым отключением поврежденного участка
электрической установки или сети при помощи специальных автоматических
устройств, получивших название релейная защита, которые действуют на отключение
выключателей.
При отключении выключателей
поврежденного элемента гаснет электрическая дуга в месте КЗ, прекращается
прохождение тока КЗ и восстанавливается нормальное напряжение на неповрежденной
части электрической установки или сети. Благодаря этому сокращаются размеры или
даже совсем предотвращаются повреждения оборудования, на котором возникло КЗ, а
также восстанавливается нормальная работа неповрежденного оборудования.
Таким образом, основным назначением
релейной защиты является выявление места возникновения КЗ и быстрое
автоматическое отключение выключателей поврежденного оборудования или участка
сети от остальной неповрежденной части электрической установки или сети.
Кроме повреждений электрического
оборудования, могут возникать такие нарушения нормальных режимов работы, как
перегрузка, замыкание на землю одной фазы в сети с изолированными нейтралями,
выделение газа в результате разложения масла в трансформаторе или понижение
уровня масла в его расширителе и др. В указанных случаях нет необходимости
немедленного отключения оборудования, так как эти явления не представляют
непосредственной опасности для оборудования и могут самоустраниться. Поэтому
при нарушении нормального режима работы на подстанциях с постоянным
обслуживающим персоналом, как правило, достаточно дать предупредительный сигнал
персоналу подстанции, На подстанциях без постоянного обслуживающего персонала и
в отдельных случаях на подстанциях с постоянным обслуживающим персоналом
производится отключение оборудования, но обязательно с выдержкой времени.
Таким образом, вторым назначением
релейной защиты является выявление нарушений нормальных режимов работы
оборудования и подача предупредительных сигналов обслуживающему персоналу или
отключение оборудования с выдержкой времени.
Если назначением релейной защиты
является в первую очередь отключение оборудования, то в функции
электроавтоматики входит его включение. В чистом виде к электроавтоматике
относят автоматическое повторное включение (АПВ) и автоматическое включение
резервного питания или механизма (сокращенно автоматический ввод резерва АВР).
Целью данной курсовой работы
является: токовая защита линий электропередач.
В соответствии с поставленной целью
в курсовой работе рассматриваются следующие вопросы:
рассматриваются общие сведения о
релейной защите в сетях 6-10 кВ;
раскрывается основные требования,
предъявляемые к релейной защите; основные органы токовых защит; а так же
рассматриваются ступени токовых защит таких как: токовая отсечка без выдержки
времени, токовая отсечка с выдержкой времени, максимальная токовая защита;
производится расчет уставки релейной
защиты и проверяется пригодность трансформаторов тока.
1. Общие сведения
.1 Общие сведения о релейной защите
в сетях 6-10 кВ
Электротехническое оборудование,
непосредственно участвующее в процессе производства, преобразования, передачи и
распределения электроэнергии (генераторы, трансформаторы, выключатели),
называется первичным, а электрические схемы соединений этого
электрооборудования - схемами электрических соединений первичных цепей. Монтаж
первичных цепей выполняется шинами и кабелями.
Все устройства, аппараты и приборы,
с помощью которых осуществляется управление первичным электрооборудованием и
контроль за его работой, называют вторичными. К ним относят: приборы и аппараты
дистанционного, автоматического и телемеханического управления; устройства
сигнализации; релейную защиту и автоматику; электроизмерительные приборы;
приборы и аппараты регулирования и контроля; источники и преобразователи
электроэнергии, служащие для питания вторичных устройств (источники
оперативного тока).
Связь между вторичными устройствами
и первичным электрооборудованием, взаимодействие между отдельными аппаратами и
приборами, передача ими аварийных и предупредительных сигналов, а также
импульсов и команд на исполнительные механизмы и устройства осуществляются
соединением этих приборов и аппаратов между собой и с исполнительными
устройствами проводами и контрольными кабелями, которые составляют вторичные
цепи.
Схемы электрических соединений
вторичных устройств называют схемами вторичных цепей.
Аппараты и приборы вторичных
устройств, расположенные в одном месте и относящиеся к одному и тому же
присоединению, устанавливают на общей панели щита или пульта, в общем шкафу и
др. Они соединяются между собой (в пределах панели) изолированными проводами.
При расположении аппаратов и приборов в разных помещениях или на разных панелях
их соединяют контрольными кабелями.
При эксплуатации действующих
электроустановок могут быть повреждения и нарушения нормальных режимов их
работы из-за неисправности изоляции или неправильных действий обслуживающего
персонала, что приводит к коротким замыканиям и перегрузкам. Большинство
повреждений связано с разрушением изоляции, что приводит к замыканиям между
фазами или между фазами и землей. Распространенным видом ненормального режима
является перегрузка, в результате которой возможен недопустимый перегрев и
повреждение изоляции, сопровождающиеся замыканием на землю или между фазами.
Для ликвидации аварий и нарушения нормальной работы, опасных для
электрооборудования, во всех электрических цепях имеется защита.
В сетях напряжением до 1000 В для
защиты от коротких замыканий и перегрузок устанавливают плавкие предохранители
или автоматические выключатели с расцепителями, воздействующие на отключающий
механизм автомата при прохождении токов к. з. или токов перегрузки. В
электроустановках напряжением свыше 1000 В применяют релейную защиту; плавкие
предохранители для защиты от коротких замыканий используют редко.
Релейной защитой называют
специальное устройство, состоящее из реле и других аппаратов, которые
предназначены для предотвращения аварий или их развития при повреждениях и
ненормальных режимах работы, либо для обеспечения автоматического отключения
поврежденной части электроустановки или сети. Основным элементом релейной
защиты является реле. Если повреждение не представляет для установки
непосредственной опасности, релейная защита должна привести в действие
сигнальные устройства.
Автоматическое отключение
защищаемого элемента служит для предотвращения развития аварии и сохранения в
работе всех неповрежденных элементов электроустановки. Релейная защита,
срабатывающая на сигнал, приводит в действие сигнальное устройство (звонок,
сирену, световое табло), извещающее обслуживающий персонал о необходимости
принятия мер для устранения неисправности и восстановления нормального режима
работы защищаемого элемента или всей электроустановки.
В современных электрических системах
релейная защита тесно связана с автоматикой, предназначенной для быстрого
автоматического восстановления нормального режима работы и питания
потребителей, например устройство автоматического включения резервного питания
(АВР) для электроприемников 1-и категории и автоматическое повторное включение
(АПВ).
Устройство АВР служит для
восстановления электроснабжения с помощью автоматического ввода резервного
источника питания при отключении основного источника как на напряжение 6-10,
так и на 0,23-0,4 кВ. Для автоматического включения резерва в сетях напряжением
до 1 кВ в качестве коммутационных аппаратов применяют автоматические
выключатели и контакторы, а в сетях напряжением 3-10 кВ - преимущественно
выключатели с пружинным приводом, работающие на переменном оперативном токе.
На промышленных предприятиях
автоматическое включение резерва выполняется главным образом на секционных
выключателях. При отключении одной из питающих линий или трансформатора
действием АВР включается секционный выключатель и восстанавливается
электроснабжение обесточенной секции.
Устройство АПВ предназначено для
наиболее быстрого восстановления электроснабжения объектов. Любое короткое
замыкание в сети сопровождается действием соответствующей защиты и отключением
линии, что приводит к перерыву электроснабжения объектов. Но в ряде случаев
короткие замыкания носят кратковременный характер и нарушенная изоляция
восстанавливается с помощью устройств АПВ, например при поверхностных разрядах
на изоляторах, кратковременном перекрытии проводов воздушных линий и т. п.
Релейная защита служит для
автоматического отключения с наименьшим временем защищаемого элемента при
повреждении, а также при возникновении условий, угрожающих повреждением
(например, при резком снижении уровня масла в трансформаторе) или нарушением
нормального режима работы всей электроустановки (например, при недопустимости
снижения напряжения или частоты), для сигнализации о нарушении нормального
режима работы защищаемого элемента, а также о возникновении повреждения, не
представляющего непосредственной опасности для элемента или всей
электроустановки.
.2 Основные требования,
предъявляемые к релейной защите
В соответствии с назначением
релейная защита должна удовлетворять ряду требований, основными из которых
являются быстрота, селективность и надежность действия, а также
чувствительность.
Для ограничения размеров повреждений
необходимо, чтобы короткое замыкание отключалось возможно быстрее. Однако не
всегда можно выполнить защиту, обладающую одновременно быстродействием и
селективностью, поэтому применяют релейную защиту, действующую с выдержкой
времени.
Селективность, или избирательность,-
это свойство защиты отключать только поврежденный участок электрической сети,
оставляя включенными исправные линии. Достигается это настройкой защиты на
определенные выдержки времени и ток срабатывания. При неселективном действии
защиты могут отключаться выключатели неповрежденных соседних элементов сети или
установки. Ступень селективности в электрических сетях напряжением 6-10 кВ
обычно выбирают от 0,5 до 0,7 с.
Надежностью называется безотказное
действие защиты во всех случаях, на которые она рассчитана. Не должно быть
случаев неправильного действия защиты при возникновении повреждений или
ненормальных режимов работы. Надежность защиты обеспечивается прежде всего
простотой схемы, уменьшением числа реле и контактов, качеством аппаратуры и
монтажных работ, правильной эксплуатацией.
Чувствительностью называют свойство
защиты реагировать на самые незначительные повреждения и нарушения нормального
режима работы, которые могут возникнуть на защищаемых элементах.
Чувствительность релейной защиты должна обеспечить ее действие при минимальных
токах к. з., т. е. при коротком замыкании в конце защищаемого участка или через
какое-то переходное сопротивление.
Релейная защита состоит из основных
и вспомогательных реле. Существует большое количество защит различного
назначения, в частности в промышленных электроустановках применяют
разнообразные релейные защиты.
Рисунок 1.1 Схемы максимальной
токовой защиты с реле прямого действия: а - двумя, б - одним; 1 - трансформатор
тока, 2 - выключатель, 3 - реле прямого действия
Наиболее распространена максимальная
токовая защита от токов к. з. или с выдержкой времени, или с мгновенным
отключением. Катушки реле включают в цепи вторичных обмоток трансформаторов
тока.
Простейшая максимальная токовая
защита выполняется с помощью двух или одного реле прямого действия, встроенных
в привод выключателя. В схеме с двумя реле прямого действия (рисунок 1.1, а) в
их катушках проходит фазный ток, а в схеме с одним реле (рисунок 1.1, б) его
катушка для большей чувствительности защиты включена на разность токов двух
фаз.
Встроенное реле прямого действия
представляет собой электромагнит с сердечником. При прохождении нормального
рабочего тока сердечник электромагнита не будет втягиваться внутрь катушки. В
случае короткого замыкания сердечник втянется в катушку и освободит защелку
привода, удерживающую выключатель во включенном положении, после чего
выключатель под действием отключающих пружин отключится.
Для отключения с выдержкой времени к
сердечнику электромагнита пристроен часовой механизм, удерживающий сердечник от
мгновенного втягивания в катушку. Выключатель отключится только по истечении
времени работы часового механизма.
Максимальная токовая защита
выполняется так, чтобы при коротком замыкании сработала защита поврежденного
оборудования электроустановки и отключила его выключатель. При отказе данной
защиты должна сработать защита ближайшего к месту повреждения элемента
электросети и отключить его выключатель.
Селективность срабатывания защиты
обеспечивается разницей уставок по времени соседних ступеней на 0,5- 0,7 с,
причем большую выдержку должна иметь ступень, отстоящая дальше от места
повреждения. Максимальная токовая защита с реле прямого действия не всегда
может обеспечить условия селективности или чувствительности защиты. Кроме того,
не во все приводы могут быть встроены реле прямого действия. В этих случаях
максимальная токовая защита осуществляется с помощью реле косвенного действия,
которые обычно устанавливают в пределах распределительного устройства: в
камерах КРУ, на фасадах и стенах камер, выходящих в коридор управления, и т. п.
Защиту элементов с дистанционным управлением размещают также на панели щита
управления.
Схема максимальной токовой защиты с
одним реле косвенного действия на оперативном переменном токе от
трансформаторов тока показана на рисунок 1.2, а. Реле включено на разность
токов двух фаз во вторичных обмотках трансформаторов тока. Отключение
выключателей осуществляется отключающей катушкой привода. Нормально отключающая
катушка обесточена, так как она зашунтирована замкнутыми контактами реле. В
случае короткого замыкания в цепи защищаемого элемента реле срабатывает и
размыкает контакты, шунтирующие отключающую катушку. При этом ток от
трансформаторов тока пройдет через отключающую катушку привода, сердечник
электромагнита втянется внутрь катушки и освободит защелку, в результате чего
выключатель отключится.
Рисунок 1.2 Схемы максимальной
токовой защиты с реле косвенного действия и дешунтированием отключающей катушки
контактами реле: а - с одним реле, б - с двумя реле, в - с одним реле, но с
двумя парами контактов
Схема такой же защиты с двумя реле
косвенного действия показана на рисунке 2, б. Каждое реле включено на фазный
ток вторичной обмотки трансформаторов тока. При прохождении в каком-либо реле
тока к. з. его контакты разомкнутся и дешунтируют цепь отключающей катушки
выключателя, включенную на разность токов двух фаз.
Для защиты применяют индукционные
токовые реле с выдержкой времени с усиленными размыкающими контактами. Контакты
размыкаются с помощью диска, который приводится во вращение магнитным полем
катушки реле при прохождении в ней тока к. з. После отключения выключателя диск
под действием пружины возвращается в исходное положение, и контакты реле вновь
замыкаются. Реле при очень больших токах к. з. мгновенно отключают выключатель,
для чего в них встроен электромагнит токовой отсечки, при повороте якоря
которого контакты мгновенно размыкаются.
Недостатком защиты с дешунтированием
отключающей катушки нормально замкнутыми контактами реле является возможность
ложного срабатывания ее при любом случайном размыкании контактов, например от
вибрации. В схеме, показанной на рисунке 1.2, в, этот недостаток устранен:
дешунтирование отключающей катушки произойдет только после предварительного
замыкания нормально разомкнутых верхних контактов и последующего размыкания
нормально замкнутых нижних контактов реле. При случайном размыкании нижних
контактов выключатель не отключится, так как цепь отключающей катушки останется
разомкнутой.
В схемах максимальной токовой защиты
часто применяют электромагнитные токовые реле без выдержки времени, работающие
на принципе притяжения сердечника электромагнита при прохождении в обмотке реле
тока к. з. В защитах с выдержкой времени электромагнитное реле применяют вместе
с реле времени.
Газовая защита силовых
трансформаторов осуществляется с помощью газового реле, устанавливаемого в
рассечку трубопровода и соединяющего расширитель с баком трансформатора.
Выделяющиеся газы приводят в действие простой механизм реле.
Рисунок 1.3 Газовое реле ПГ-22: 1 -
корпус, 2,5 - нижний и верхний ртутные контакты, 3 - опорный стержень для
крышки, 4 - соединительный провод, 6 - крышка реле, 7 - фарфоровый изолятор, 8
- зажим, 9 - экран, 10 - рамка для рабочих элементов, 11, 16 - оси вращения
верхнего и нижнего поплавков, 12, 15 - верхний и нижний поплавки, 13 - груз, 14
- скоба, 17-пробка спускного отверстия
Газовое реле (рисунок 1.3)
представляет собой металлический корпус (резервуар) 1, в который встроены два
расположенных один над другим поплавка 12 и 15, снабженных ртутными контактами
5 и 2. Поплавки могут поворачиваться на осях 11 и 16, опирающихся на
подшипники. Нормально корпус реле заполнен трансформаторным маслом, а ртутные
контакты разомкнуты. При повреждениях в трансформаторе выделяющиеся газы
поднимаются к расширителю, скапливаются в верхней части реле и вытесняют оттуда
масло. Из-за понижения уровня масла верхний поплавок опускается, вращаясь
вокруг оси, ртуть в его колбочке переливается, замыкает ртутные контакты и
приводит в действие предупреждающую сигнализацию. При опускании нижнего
поплавка замыкаются ртутные контакты, действующие на отключение трансформатора.
При коротком замыкании в
трансформаторе процесс газообразования протекает интенсивно, под действием
газов масло выбрасывается в сторону расширителя, оба поплавка опрокидываются и
трансформатор отключается мгновенно.
2. Токовые защиты
.1 Основные органы токовых защит
Токовые защиты содержат три ступени,
являются относительно селективными и могут осуществлять как ближнее, так и
дальнее резервирование. Быстродействующая первая ступень защиты - токовая
отсечка без выдержки времени - имеет только измерительный орган, а вторая и
третья ступени - токовая отсечка с выдержкой времени и максимальная токовая
защита - содержат два органа: измерительный и выдержки времени. Вторую ступень
выполняют с независимой от тока выдержкой времени, а третью - с независимой и с
зависимой. В качестве примера на рисунке 2.1 приведена в однофазном изображении
принципиальная совмещенная схема аппаратной (релейноконтактной) максимальной токовой
защиты на оперативном постоянном токе. Функции измерительного органа выполняют
реле тока КА, входящие в измерительную часть схемы. Они реагируют на
повреждения или нарушения нормального режима работы и вводят и действие орган
выдержки времени, если он имеется. Реле могут включаться как на полные фазные
токи, так и на их симметричные составляющие. Для повышения чувствительности
защиты иногда используют комбинированный измерительный орган, в котором наряду
с реле тока имеются реле напряжения KV. В качестве органа выдержки времени
можно использовать отдельное реле времени KT. Наряду с этим в одном реле тока
могут быть объединены оба органа защиты.
Рисунок 2.1 Схема максимальной
токовой защиты на постоянном оперативном токе
В схемах токовых защит имеются также
вспомогательные реле, например промежуточные KL и указательные КН. Вместе с
реле времени они образуют логическую часть схемы. Промежуточное реле облегчает
работу контактов основных органов защиты и, вводя некоторое замедление,
предотвращает действие токовой отсечки без выдержки времени при работе
трубчатых разрядников. Указательное реле позволяет контролировать срабатывание
защиты. Защита действует на электромагнит отключения YАТ привода выключателя Q.
Коммутационная способность контакта
реле KL обычно не достаточна для размыкания цепи электромагнита отключения YАТ.
Поэтому в эту цепь последовательно с контактом KL включают вспомогательный
контакт выключателя Q, способный коммутировать ток электромагнита отключения.
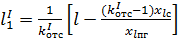
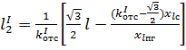
.2 Первая ступень токовой защиты от
междуфазных: коротких замыканий токовая отсечка без выдержки времен
Селективное действие первой ступени
токовой защиты (в дальнейшем первую ступень будем называть токовой отсечкой без
выдержки времени или просто отсечкой) достигается тем, что ее ток срабатывания
принимается большим максимального тока короткого замыкания, проходящего через
защиту при повреждении вне защищаемого элемента. Действие защиты при коротком
замыкании на защищаемом участке обеспечивается благодаря тому, что ток К3 в
сети, а следовательно, и в защите увеличивается по мере приближения места
короткого замыкания к источнику питания (рисунок 2.2), причем кривые изменения
тока короткого замыкания имеют различную крутизну в зависимости от режима работы
системы и вида К3 (кривые 1 и 2 на рисунке 2.2, а соответственно для
максимального и минимального режимов).
Рисунок 2.2 Выбор тока срабатывания
и определение защищаемой зоны токовой отсечки без выдержки времени
Выбор тока срабатывания
токовой отсечки радиальной линии (рисунок 2.2). Для схем с включением реле на
полные токи фаз расчетным при выборе тока срабатывания защиты А1 обычно
является трехфазное короткое замыкание у шин подстанции Б в точке К в
максимальном режиме. При этом 
и ток срабатывания реле
Так как токовая отсечка
без выдержки времени при внешних коротких замыканиях не срабатывает,
коэффициент возврата kв B при выборе тока 
не учитывается. При
определении 
необходимо иметь ввиду,
что отсечка не имеет выдержки времени. Поэтому в выражении (2.1) ток 
принимается равным
начальному (t = 0) действующему значению периодической составляющей тока
внешнего короткого замыкания. Влияние апериодической составляющей учитывается
коэффициентом отстройки 
. Ток срабатывания не
зависит от режима работы и места повреждения. Отсечка сработает, когда ток,
проходящий по защищаемой линии АБ (рисунок 2.2, а), больше или равен току
срабатывания защиты, т. е. 
Это условие выполняется
при коротком замыкании в пределах участка 
(максимальный режим)
или участка 
(минимальный режим)
защищаемой линии.
Таким образом, участки 
и 
являются зонами,
защищаемыми отсечкой. Они определяются точками пересечения кривых изменения
тока К3 1 и 2 с прямой 3, изображающей ток 
; следовательно, отсечка
защищает не всю линию, а только некоторую ее часть. Как следует из указанных
графиков, защищаемая зона тем больше, чем меньше ток срабатывания и чем больше
крутизна кривой изменения тока К3, которая определяется режимом работы и видом
короткого замыкания. Поэтому в зависимости от режима работы и вида короткого
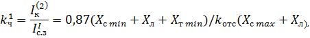
замыкания защищаемая зона отсечки изменяется. Чувствительность защиты
определяется длиной защищаемой зоны 
и коэффициентом чувствительности

. При К3 у места
установки защиты в минимальном режиме 
.
Если отсечка выполняет
функции дополнительной защиты, то её 
должен быть около 1,2.
Длину защищаемых зон 
и 
можно определить по
следующим выражениям:
при трехфазном КЗ

;
(2.3)
при двухфазном КЗ

,
(2.4)
где 
- сопротивление прямой
последовательности системы; 
-погонное сопротивление
прямой последовательности защищаемой линии. Сопротивления прямой и обратной
последовательности приняты одинаковыми.
Для увеличения
защищаемой зоны и повышения чувствительности защиты коэффициент отстройки 
выбирается возможно
меньшим. Он определяется погрешностью в расчете тока К3, погрешностью реле и
наличием апериодической составляющей тока короткого замыкания. Для защиты с
электромагнитным реле типа РТ -40 при наличии выходного промежуточного реле
принимается 
=1,2…1,3; при
использовании отсечек индукционных реле тока PT-80 
=1,5...1,6, а для
отсечек с реле прямого действия РТМ 
= 1,8...2,0.
В рассмотренном случае
защищаемая зона охватывает только часть линии и токовую отсечку без выдержки
времени нельзя использовать в качестве единственной или основной защиты. Однако
в некоторых частных случаях, например, на радиальных линиях, питающих один
трансформатор (рисунок 2.2, б), с помощью токовой отсечки можно защитить всю
линию, если допустить ее срабатывание при повреждении в трансформаторе. В
данном случае это является целесообразным. Ток срабатывания при этом выбирается
по максимальному току короткого замыкания за трансформатором (точка К2) 
, а коэффициент
чувствительности проверяется по току 
при повреждении в точке
К1 в минимальном режиме работы системы электроснабжения. При этом коэффициент
чувствительности должен быть 
1,5. Можно определить
условие, при котором это выполняется. Для этого представим токи К3 и ток
срабатывания отсечки как:
С учетом этого
где 
- сопротивление системы
в максимальном и минимальном режимах; Xл сопротивление линии; 
- минимальное
сопротивление трансформатора.
Из этого выражения при 
1,5 и 
= 1,3 можно найти
соотношение между 

при котором отсечка,
отстроенная от тока 
, защищает всю линию.

.
Если линия подключена к
шинам системы бесконечной мощности (ХС = 0), допустимая длина линии будет
максимальной, ее сопротивление 
0,8
.
Выбор тока срабатывания
токовой отсечки магистральной линии (рисунок 2.3). Если защищаемая линия
является магистральной, обеспечивающей питание нескольких трансформаторов
(рисунок 2.3), то токовая отсечка должна быть отстроена не только от тока 
, при КЗ в точке 
, но и от наибольшего
тока, проходящего через защиту при трехфазных К3 на шинах низшего напряжения
трансформаторов в точках 
, 
и 
. В этом случае в
выражение (2.1) вместо 
вводится этот
максимальный ток. Из двух полученных значений тока срабатывания принимается
наибольшее. После этого необходимо проверить надежность отстройки токовой
отсечки от бросков тока намагничивания всех трансформаторов, подключенных к
защищаемой линии. При наличии трансформаторов на смежной линии БВ или подключенных
к шинам подстанции Б их броски токов намагничивания тоже необходимо учесть.
Суммарный бросок тока намагничивания определяется как

(2.4)
где k = 4...5 для
токовой отсечки с реле PT-80, РТМ, k = 3...4 для токовой отсечки с реле РТ-40.
Если 
окажется больше
принятого тока срабатывания отсечки 
то необходимо принять 
.
Рисунок 2.3 Защита
магистральной линии с односторонним питанием токовой отсечки без выдержки
времени
Выбор тока срабатывания
токовой отсечки с учетом обеспечения устойчивой работы синхронных
электродвигателей. При наличии в системе электроснабжения синхронных
электродвигателей появляются дополнительные требования к устройствам релейной
защиты системы электроснабжения. Так, все короткие замыкания в системе
электроснабжения, сопровождающиеся опасными для устойчивости синхронных
электродвигателей понижениями напряжения, должны отключаться быстродействующими
защитами. Для линии Л3, например, такой защитой обычно является токовая отсечка
без выдержки времени (рисунок 2.4, а).
Ток срабатывания для
радиальной линии Л3 выбирают по выражению (2.1). Однако для предотвращения
асинхронного режима синхронных электродвигателей М1, М2 при К3 на этой линии
необходимо ток срабатывания отсечки 
выбрать так, чтобы она
отключала линию, если остаточное напряжение на шинах подстанции В 
снижается до значения
Uкр, опасного для устойчивости работы электродвигателей. Расчетным является
трехфазное короткое замыкание на линии в минимальном режиме работы системы
электроснабжения. При этом остаточное напряжение 
снижается по мере
приближения точки КЗ к шинам и при повреждении в точке 
достигает значения Uкр
при токе, равном 
(рисунок 2.4, 6).
Поэтому все К3 между шинами подстанции В и точкой 
должны отключаться
токовой отсечкой. Это обеспечивается, если 
. Из схемы замещения
(рисунок 2.4, в) 
Таким образом, для
предотвращения асинхронного режима синхронного электродвигателя при К3 на линии
Л3 ток срабатывания ее токовой отсечки должен удовлетворять условию

, (2.5)
где 
= 1,1, а напряжение Uкр
для приближенных расчетов можно принять равным 0,5 
.
Рисунок 2.4 Схема
электроснабжения (а) и выбор тока срабатывания токовой отсечки линии Л3 с
учетом устойчивой работы синхронных электродвигателей (б, в).
При этом ток 
рможет оказаться меньше
тока, полученного по (2.1) и токовая отсечка становится неселективной, т. е.
отключает линию Л3 и при внешних К3 (повреждение в точках К2, К3, К4). для
исправления неселективного действия токовой отсечки на линии Л3 необходимо
предусмотреть устройство АПВ. Действие его будет успешным, если внешние К3
будут отключаться быстродействующими защитами поврежденных элементов
(трансформаторов Т2, ТЗ и линии Л4) несколько раньше или по крайней мере
одновременно с действием неселективной отсечки линии Л3. В связи с этим не
рекомендуется выполнять неселективную отсечку с помощью реле РТМ из-за его
быстродействия. Для этой цели можно использовать реле РТ -40, а для создания замедления
замедления в схему отсечки вводится выходное промежуточное реле. Неселективная
отсечка линии Л3 не должна срабатывать при К3 за трансформаторами Т2 и ТЗ, а
также при повторном включении линии, когда по ней проходит ток, обусловленный
бросками тока намагничивания всех трансформаторов, получающих питание от этой
линии. В нашем случае это трансформаторы Т2 и Т3.
Выбор тока срабатывания
токовой отсечки линии с двусторонним питанием. Токовые отсечки используют также
на линиях с двусторонним питанием. В этом случае они устанавливаются с обеих
сторон защищаемой линии (защиты А1 и А2 на рисунок 2.5, а). Кривые 1 и 2
(рисунок 2.5, б) показывают изменение максимальных токов соответственно от
источников А и Б при перемещении короткого замыкания вдоль защищаемой линии.
Токи срабатывания отсечек должны быть выбраны таким образом, чтобы при внешних
коротких замыканиях (точки КА и КБ) защиты не действовали.
Рисунок 2.5 Выбор тока
срабатывания токовых отсечек без выдержки времени на линии с двусторонним
питанием
При повреждении в точке
КБ по защищаемой линии и через места установки защит от источника А проходит
максимальный ток 
. При этом защиты A1, А2
обеих сторон линии не должны срабатывать, т.е. 
. При повреждении в
точке КА по защищаемой линии и через места установки защит от источника Б
проходит максимальный ток 
. При этом защиты также
не должны действовать, т. е. 
.. Из двух значений
выбирается больший ток срабатывания, что является первым условием его выбора.
В данном случае (рисунок
2.5, б)

(2.6)
В эксплуатации возможны
случаи качаний генераторов источника А относительно генераторов источника Б и
выхода их из синхронизма. При этом по линии АБ могут проходить большие
уравнительные токи 
Отсечки в этом случае
не должны действовать, поэтому

(2.7)
Уравнение (2.7) это
второе условие выбора тока срабатывания отсечек на линиях с двусторонним
питанием. Определяющим является условие, которое дает большее значение тока
срабатывания.
Максимальный
уравнительный ток возникает, когда векторы эквивалентных ЭДС ЕА и ЕБ
соответственно источников А и Б смещены на угол 
(рисунок 2.5, в). При
этом, принимая ЕА = ЕБ = E, ток 
определяют по выражению
При определении
эквивалентных ЭДС ЕА и ЕБ и приведенных к шинам источников эквивалентных
сопротивлении прямой последовательности X1A и Х1Б систем генераторы вводятся в
расчетную схему переходными значениями E'd и X'd. При расчете тока,
возникающего во время несинхронного АПВ, используются сверхпереходные величины
E"d и X"d. Защищаемые зоны отсечек 
и 
; определяются
абсциссами точек пересечения кривых 1 и 2 с прямой 3, соответствующей току
срабатывания отсечек В рассматриваемом случае (рисунок 2.5, б) защищаемые зоны
перекрывают одна другую. При этом 
+ 
> l и повреждения в
средней части линии на длине 
+ 
) отключаются отсечками
с двух сторон. При коротких замыканиях на линии вне этой зоны срабатывает
только отсечка А1 или только отсечка А2. С противоположной стороны линия
отключается другой защитой.
В некоторых случаях при
наличии дополнительной линии связи между источниками А и Б отключение
защищаемой линии только отсечкой А1 или А2 может привести к увеличению тока,
проходящего по линии. При этом отсечка может отключить линию с другой стороны.
Такое поочередное действие защит называется каскадным.
.3 Вторая ступень
токовой защиты от междуфазных коротких замыканий - токовая отсечка с выдержкой
времени
Основной недостаток
токовой отсечки без выдержки времени состоит в том, что она защищает только
часть линии. Участок в конце линии за пределами зоны 
остается незащищенным.
На рисунке 2.6 показана схема сети с двумя последовательно соединенными
участками АБ и БВ, для защиты которых установлены токовые отсечки без выдержки
времени 
и 
с токами срабатывания 
и 
, выбираемыми в
соответствии с (2.1). Отсечки имеют защищаемые зоны соответственно 
и
, которые охватывают
только часть линий. Участки l’ и l" в конце линий за пределами зон 
и 
остаются незащищенными.
В связи с этим возникает необходимость иметь вторую ступень токовой защиты.
Вместе с первой ступенью она должна обеспечить защиту всей линии и шины
приемной подстанции.
Выбор параметров второй
ступени рассмотрим на примере защиты линии АВ (рисунок 2.6). Так как вторая
ступень А”1 является относительно селективной, в ее действие необходимо ввести
выдержку времени. Для исключения излишних срабатываний защиты при коротких
замыканиях в зоне 
отсечки А’2 линии БВ
выдержка времени должна быть больше времени срабатывания 
этой отсечки на
некоторое время 
, называемое ступенью
селективности, т. е. должно выполняться условие 
. Ступень селективности
учитывает время отключения to.в выключателя Q2, погрешности во время действия 
защиты 
и 
защиты А’2, учитывается
также некоторое время запаса tзап. С учетом всего этого 
. В расчетах принимают 
, поэтому выдержка
времени 
второй ступени обычно
не превышает 0,5 с. При этом для сохранения селективности в случае повреждения
за пределами зоны 
(участок l")
отсечки А‘2 линии БВ достаточно, чтобы ток срабатывания 
второй ступени бьm
больше максимального тока KЗ, проходящего по линии АБ при повреждении в конце
защищаемой зоны 
отсечки линии БВ. Этот
ток, как следует из рисунка 2.6, равен току срабатывания 
токовой отсечки А’2
линии БВ. Поэтому селективность обеспечивается, если принять

(2.8)
где 
.
Рисунок 2.6 Защищаемые
зоны и время действия токовой защиты со ступенчатой характеристикой выдержки
времени
При таком выборе тока
срабатывания 
и выдержки времени 
в зону действия второй
ступени зашиты линии АБ входит участок l’ и шины приемной подстанции. Кроме
того, она обеспечивает дальнее резервирование в случае отказа отсечки А’2 при
коротких замыканиях на линии БВ вблизи шин подстанции Б и ближнее
резервирование в случае отказа А’1 первой ступени защиты линии АБ. Если
выдержка времени второй ступени оказывается приемлемой, то первая ступень может
отсутствовать. В общем случае от шин подстанции Б отходят несколько линий и,
кроме того, к шинам могут быть подключены понижающие трансформаторы. При этом
вторая ступень защиты А”1 на подстанции А должна быть отстроена по времени от
отсечек всех отходящих линий и от быстродействующих защит трансформаторов, а ее
ток срабатывания 
должен быть выбран по
наибольшему из токов КЗ, проходящих по линии при повреждении в конце защищаемых
зон отсечек отходящих линий и при коротком замыкании на шинах низшего напряжения
трансформаторов. Чувствительность второй ступени проверяется по минимальному
току повреждения при металлическом КЗ в конце защищаемой линии. При этом
коэффициент чувствительности должен быть 
1,3...1,5. Токовая
отсечка с выдержкой времени при соответствующем выборе ее параметров сохраняет
селективность и на линиях с двусторонним питанием.
токовая релейная защита
2.4 Третья ступень
токовой защиты от междуфазных коротких замыканий -максимальная токовая защита
Выбор выдержки времени.
Третья ступень токовой защиты, которую принято называть максимальной токовой
защитой, может выполняться с независимой и с ограниченно зависимой
характеристиками времени срабатывания. И в том, и в другом случае селективность
защиты можно обеспечить, если время срабатывания 
защиты А1 (рисунок
2.7), расположенной у источника питания, при коротком замыкании в точке К2 на
смежном участке в зоне действия защиты А2 (линия БВ) больше максимальной
выдержки времени 
защиты А2 на ступень
селективности 
. Если для защиты
используют реле РТВ, то ступень селективности увеличивают до 1 с.
Селективность должна
обеспечиваться и при К3 в точке. Для этого необходимо не только иметь 
> 
, но и 
> 
, 
- выдержка времени
защиты А3.
Выбор выдержек времени
максимальных токовых защит с независимой характеристикой. Выдержки времени у
максимальных токовых защит выбирают по ступенчатому принципу: начинают выбор с
наиболее удалённого от источника питания элемента и, по мере приближения к
источнику питания, увеличивают ее таким образом, что защита последующего
участка имеет выдержку времени на ступень селективности больше, чем
максимальная выдержка времени защиты предыдущего участка. На рисунке 2.8
показано согласование независимых выдержек времени:

; 
; 
Рисунок 2.7