Оптические приборы с дифракционной решеткой
Содержание
Вступление
.
Принцип Гюйгенса-Френеля
.1
Дифракция Фраунгофера от прямоугольного отверстия
.2
Дифракция Фраунгофера от щели
.3
Дифракция Фраунгофера от N щелей
.
Дифракционные решетки
.1
Вогнутые решетки
.2.1
Схемы установок вогнутых решеток
. Спектрографы.
Дифракционные спектрографы
.1
Приборы для массовых исследований
.2
Астроспектрографы
.3
Спектрографы для вакуумного ультрафиолета
.
Монохроматоры
.1
Монохроматоры с дифракционной решеткой
Использованная
литература
Вступление
Как сейчас известно свет носит двойственный характер,
то есть ему присущ корпускулярно-волновой дуализм. И одним из многих примеров
его волновой природы является дифракция.
Под дифракцией следует понимать любое отклонение от
прямолинейного распространения лучей, если только это отклонение не является
причиной обычных законов геометрической оптики - отражения или преломления.
Явления дифракции играют важнейшую роль в работе
оптических инструментов. Изображение, получаемое в любом оптическом приборе,
имеет дифракционное происхождение, так как пучки лучей, проходящие оптику
прибора, ограничены ее конечными размерами. Дифракционная структура изображения
определяет одну из важнейших характеристик оптического прибора - его
теоретическую разрешающую способность.
В обыденной жизни невооруженному глазу, как правило,
дифракционные явления недоступны из-за слишком малой интенсивности
дифракционных полос и малого масштаба картины. Однако иногда мы наблюдаем эти
явления, не подозревая, что имеем дело с эффектом дифракции. Если, прищурив
глаз, смотреть на какой-либо далекий источник света, то можно отчетливо видеть
цветную дифракционную картину - наши ресницы представляют собой грубую
дифракционную решетку, способную разложить белый свет в спектр.
1. Принцип
Гюйгенса-Френеля
Элементарная теория дифракции вытекает из рассмотрения
волновой природы света. Как известно, Френель, пользуясь принципом Гюйгенса,
дал так называемую теорию зон, объясняющую результат взаимодействия световых
волн при прохождении их через преграду. Он также рассмотрел случай
распространения свободной волны, объяснив прямолинейное направление
распространения света.
Принцип Гюйгенса может быть сформулирован следующим
образом: можно определить последующую форму любой заданной волновой
поверхности, представив себе, что из каждой точки этой поверхности исходит
элементарная сферическая волна, и построив огибающую этих волн. Принцип
Гюйгенса дает возможность утверждать неизбежность отступления световой волны от
прямолинейного распространения в случае наличия преграды.
Рассмотрим случай плоской волны. Пусть параллельный
фронт волны (рис.1.1) падает на диафрагму круглой формы. В соответствии с
принципом Гюйгенса каждую точку отверстия можно рассматривать как
самостоятельный источник света, испускающий элементарные волны. Элементарные
сферические поверхности будут иметь во всех точках отверстия MN одинаковые
радиусы сферы, а огибающая элементарных волновых поверхностей будет
представлять собой плоскость, заканчивающуюся участками сферы. Лучи,
ортогональные волновому фронту, попадают в область геометрической тени, как
показано на рисунке.
Принцип Гюйгенса, объясняя в общем виде явление
дифракции света, не затрагивал вопроса об интенсивности распространяющихся за
преградой световых волн. Как известно, Френель дополнил принцип Гюйгенса, введя
понятие об амплитуде и фазе колебаний элементарных волн и учитывая их
интерференцию.
Рис.1.1 Прохождение плоской волны
через преграду
Рассмотрим принцип Гюйгенса-Френеля в общем виде.
Окружим источник света I произвольной замкнутой поверхностью σ' (рис.1.2).
Рис. 1.2 Общий случай распространения волны
Будем утверждать, что можно получить значение
интенсивности световой волны в любой точке Р за пределами поверхности σ', если устранить источник света и
рассматривать каждую точку поверхности М1,М2,М3,...
как самостоятельный источник. Тогда действие в точке Р будет
определяться суммарным действием колебаний, исходящих из каждой точки
поверхности σ' с учетом их амплитуд и фаз, т. е. вопрос о
результирующем действии всей поверхности σ' и на точку Р есть задача интегрального
исчисления. Для отыскания интенсивности светового возбуждения в любой
произвольной точке Р можно постулировать следующее: каждый элементарный
участок поверхности σ' необходимо рассматривать как источник, амплитуда и
фаза которого равны амплитуде и фазе колебания, производимого в любой точке Мi волной, дошедшей от источника I. Выделим
на поверхности σ' элементарный участок dσ' = dσ. Пусть п - нормаль к элементарному участку dσ; r - расстояние от dσ до рассматриваемой точки Р. Френель дополнил
постулат следующими утверждениями: амплитуда световой волны, приходящей в точку
Р, зависит от расстояния r от элемента поверхности dσ до Р и от угла φ, который образован направлением на
точку Р и нормалью к поверхности do. Амплитуда в точке Р тем
меньше, чем больше угол φ или чем меньше cosφ. Введение ослабляющего множителя α'
=
cosφ являлось
произвольным в теории Френеля.
Хотя
суммирование элементарных колебаний от всей поверхности представляет собой
задачу интегрального исчисления, в простейших случаях оно может быть заменено
простым алгебраическим или графическим сложением элементарных колебаний.
Рассмотрим графическое сложение световых колебаний в точке при распространении
свободной сферической волны в однородной среде.
Рис. 1.3 Зоны Френеля
На
рис. 1.3 показан источник света I, который дает сферическую волну. В
соответствии с теорией Френеля ее можно разбить на зоны. Расстояния от крайних
точек М1 М2,... этих зон до точки Р увеличиваются
каждый раз на λ/2.
Таким образом, для точки Мк
расстояние составит r + kλ/2, где
r = М0Р. Разобьем каждую зону Френеля на большое число
малых подзон. Действие каждой такой подзоны может быть представлено вектором,
длина которого будет соответствовать амплитуде, а направление - фазе колебания.
На рис. 1.4 изображен вектор А, выражающий действие первой зоны Френеля. Первый
и последний векторы а, соответствующие первой и последней подзонам, должны быть
противоположны по направлению, так как оптические длины путей, дошедших до
точки Р, отличаются на λ/2 или их
фазы отличаются на п. Это определяет положение результирующего вектора
А, который перпендикулярен оси X. Если первую зону, Френеля разбить на
бесконечно большое число подзон, то ломаная линия выльется в полуокружность,
которая показана на рис. 1.4, а. Продолжая построение, можно получить
графический результат действия любого числа зон. На рис. 1.4, б представлен
результат действия двух зон, а на рис. 1.4, в - бесконечного числа зон.
Спираль получается в результате того, что длина элементарных векторов все время
уменьшается из-за действия ослабляющего множителя cosφ.
Рис. 1.4 Графическое построение результирующего вектора:
а - для первой центральной зоны; б - двух зон; в -
свободной волны
Таким образом, действие всей свободной волны в точке Р
сводится к действию половины первой зоны, так как результирующая амплитуда
равна А/2. При этом значение фазы в точке Р отличается на π/2 от действительного. Подобное
рассмотрение дает также представление об интенсивности светового возбуждения в
рассматриваемой точке при наличии преграды, находящейся на пути распространения
световой волны. Однако теория Френеля имеет ряд недостатков: а) аналитические и
графические вычисления, выполненные на основе постулатов Френеля, правильно
задают значения амплитуды (интенсивности) результирующей световой волны, но не
всегда верно отражают ее фазу; б) интуитивное введение ослабляющего множителя (cosφ) также является недостатком теории;
в) в формулировке Френеля не полностью учитывается действие волновой
поверхности, так как не рассматривается действие части сферической волны,
обращенной в сторону, противоположную точке Р (см. рис. 1.3).
Отсутствие обратной волны в теории Френеля в известной
степени оправдывается введением ослабляющего множителя. Для φ = 90° cos φ = 0; таким образом, как бы исчезает
обратная волна. Однако это недостаточно убедительно, так как точечный источник
реально излучает в пределах сферы. Все перечисленные недостатки устраняются при
строгом решении задачи дифракции.
1.1
Дифракция Фраунгофера от прямоугольного отверстия
Рассмотрим распределение интенсивности при дифракции в
параллельных лучах от отверстия прямоугольной формы. Этот случай имеет важное
значение для работы оптических инструментов и в особенности спектральных
приборов, в которых входным зрачком является входная щель прибора.
Рис. 1.5 Дифракция Фраунгофера от прямоугольного отверстия
На рис. 1.5 параллельный пучок лучей от источника
света небольших размеров I падает на экран прямоугольной формы. Линза L2
собирает дифрагированные пучки в фокальной плоскости F. Определим световое поле на экране, используя выражение
(1.1)
где С' - комплексная амплитуда; k -
волновое число.
В соответствии с
примем следующее значение Ф:
Ф =(α - α0) ξ + (β + βо)η. (1.2)
Где α и β являются направляющими косинусами
дифрагированных пучков, а α0 и βо - направляющими косинусами для падающих пучков.
Положение источника следует выбрать таким образом, чтобы он располагался на оси
отверстия, как это показано на рис. 1.5. В этом случае α0=
β0 = 0.
Вычисление интеграла (1) элементарно. В качестве
площадки dξ здесь естественно выбрать прямоугольник - dσ
=
dξ dη. Тогда
интегральное выражение (1) можно представить в виде
(1.3)
В (1.3) осуществлен переход от комплексного выражения
светового колебания к косинусному его выражению. Пределы интегралов
соответствуют размерам прямоугольного отверстия 2А и 2В. Интегрирование
в этом случае дает
(1.4)
Множитель 4АВ = S представляет собой
площадь прямоугольного отверстия. Для интенсивности на экране F в любой
его точке получим
(1.5)
где I0 = (C'kS)2 -
интенсивность прямо проходящего света;
(1.6)
Проанализируем выражение (1.5). Очевидно,
интенсивность IР = I0, если функции U = 0 и W =
0. Таким образом, на оси системы имеем максимальную интенсивность. В других
направлениях дифракции, когда α и β не равны нулю, будут присутствовать
второй и третий множители выражения (1.5).
Минимумы интенсивности наблюдаются в тех направлениях,
для которых функции U = пπ и W = тπ, где п и т - целые числа. Учитывая (1.6),
получим, что направление на минимумы определяется следующими соотношениями:
Теперь можно представить картину распределения
интенсивности в плоскости экрана. В центре картины имеем максимальную
освещенность - «световую гору». По двум взаимно перпендикулярным направлениям
будут, как показывают последние выражения, появляться минимумы освещенности под
такими углами α и β, которым соответствуют целочисленные
значения п и т. Между минимумами должны располагаться добавочные максимумы.
Общее распределение интенсивности близко к прямоугольной форме. Световое поле,
соответствующее рассматриваемому случаю, изображено на рис. 1.1.2. Здесь
прямоугольная форма максимумов заменена круглой. Размер кружка условно
изображает интенсивность. Как видно из рисунка, картина будет больше вытянута в
направлении, соответствующем меньшей стороне прямоугольного отверстия. Слева на
рисунке показана форма прямоугольного отверстия, имеющего площадь 2А х
2В.
Рис. 1.6 Схематическое представление распределения интенсивности от
прямоугольного отверстия
1.2
Дифракция Фраунгофера от щели
Этот случай является частным случаем дифракции от
прямоугольного отверстия и соответствует тому, что один из размеров
прямоугольника, например размер 2В, больше или равен 2А. При когерентном
освещении такого вытянутого прямоугольника (щели) дифракционная картина очень
резко сузится и приблизится к оси X, так как дифракция от размера 2В не
будет играть заметной роли.
Рассмотрим случай некогерентного освещения щели. Пусть
источник света представляет собой длинную светящуюся нить. В этом случае в
каждую точку плоскости щели по ее длине попадают световые волны, имеющие разные
фазы колебаний. Это значит, что в разных точках щели необходимо складывать
интенсивности, а не амплитуды. Третий множитель в выражении (1.5) с учетом
(1.6) будет представлять собой следующий вид:
(1.7)
Вследствие того, что волновое число k - большая
величина, пределы интегрирования W1 и W2 могут
быть заменены на - ∞ и + ∞. Численное значение интеграла (1.1.7),
имеющего пределы +∞, известно. Интеграл типа
(sin2
W/W2)dW= п.
Поэтому
вместо третьего множителя формулы (1.5) получим постоянный множитель π/(kB). Таким
образом, распределение интенсивности на экране будет соответствовать выражению:
(1.8)
Функцию
U = kαA
целесообразно несколько
преобразовать, введя вместо направляющего косинуса угол дифракции φ (рис. 1.7).
Рис. 1.7 Дифракция от щели
Тогда
(1.9)
Размер 2А обозначим теперь буквой а (ширина
щели). Положение минимумов определим через угол дифракции. Величина IР
= 0, если aπ sin
φλ = k, т.
е.
(1.10)
где к = 1, 2, 3,.... В направлении φ = λ/а располагается первый дифракционный минимум.
Определим положение добавочных дифракционных
максимумов, которые будут расположены между минимумами. Для этого необходимо
производную |sin U/U| приравнять нулю. Эта операция даст трансцендентное
уравнение вида tg и = и. Оно решается графоаналитическим путем.
Пересечение тангенциальной кривой tg и = х и прямой и = х даст
корни этого трансцендентного уравнения. Максимумы функции получатся в тех
местах, где и = 2,86π/2; и = 4,92π/2 и т. д. Однако интенсивность таких
максимумов весьма мала. Если подставить соответствующие значения для и в
(1.8), то отношение интенсивностей последовательных максимумов будет составлять
1: 0,047 : 0,017 : 0,008. Единица соответствует центральному главному
максимуму.
На рис. 1.8 показано распределение интенсивности в
зависимости от углов дифракции φ.
Рис. 1.8 Распределение интенсивности при дифракции
Фраунгофера от щели
1.3
Дифракция Фраунгофера от N щелей
Рассмотрим теперь случай N щелей. Будем
считать, что N - большое число. Тогда, по существу, имеем прозрачную
дифракционную решетку. На рис. 1.9 иллюстрируется действие N щелей.
Здесь наряду с явлением дифракции от каждой отдельной щели происходит еще
сложение многих колебаний, исходящих из каждой щели в рассматриваемом
направлении φ. В фокальной плоскости собирательной линзы L (условно
обозначенной прямой), например, в точках F1 и F2
получим результат обоих явлений.
Отвлечемся пока от дифракции от каждой отдельной щели.
Направления на дифракционные минимумы при дифракции от щели не зависят от
положения щели, поэтому все выводы, вытекающие из (1.8), остаются в силе.
Найдем взаимную интерференцию N когерентных
колебаний. Сначала приведем элементарное рассмотрение. Волны, идущие через
систему щелей без отклонения от первоначального направления, в точку О приходят
без разности фаз. Все световые векторы имеют одинаковое направление и
алгебраически складываются в этой точке. Результирующий вектор равен А=а'N, если
а' - амплитуда падающего излучения. Таким образом, максимально возможная
интенсивность в точке О определяется следующим произведением:
Здесь С - некоторый коэффициент пропорциональности.
Соседние интерферирующие лучи для разных значений ср
будут иметь различную разность фаз б (разность хода А). Она будет определяться
расстоянием между соседними щелями d (см. рис. 1.9):
(1.12)
где φ - угол дифракции.
Рис. 1.9 Интерференция N пучков
Рассмотрим интерференцию N пучков.
Воспользуемся тем обстоятельством, что проекция результирующего вектора на
некоторое направление (ось X) равна сумме проекций складывающихся
колебаний. На основании этого получим
(1.13)
где А - амплитуда результирующего колебания; δ0 - фаза результирующего колебания; δ
- разность фаз между
соседними пучками.
Представим выражение (1.13) в комплексном виде
(1.14)
где k - номер луча.
В правой части выражения (1.14) присутствует сумма
геометрической прогрессии, поэтому
(1.15)
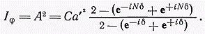
Интерес представляет интенсивность Iφ в направлениях, перпендикулярных к
оси линзы L. Для получения значения Iφ умножим левую и правую части (1.15)
на сопряженные выражения. Результат умножения представим в виде
(1.16)
Заменяя суммы в скобках в (1.16) через синусы, после
некоторых преобразований получим:
(1.17)
В (1.17) амплитуда а' может быть выражена через
интенсивность падающего света I0 с учетом соотношения (1.11). Тогда
окончательно получим
(1.18)
Здесь через υ обозначена половинная разность фаз υ
=
δ/2. Для получения
полной картины учтем теперь дифракционное распределение, даваемое отдельной
щелью решетки, состоящей из N щелей. Пропускание системы в целом
определится произведением (1.18) и (1.8). Тогда
(1.19)
Получена формула прозрачной дифракционной решетки. По
(1.12) и (1.9) найдем выражения для функций υ и U:
(1.20)
где d - постоянная решетки;
(1.21)
где а - ширина щели.
Второй множитель формулы (1.19) определяет
интерференцию N пучков, а третий множитель - дифракцию от каждой
отдельной щели.
Рассмотрим смысл второго множителя формулы. Строение
этого множителя показывает, что минимумы образуются в тех направлениях, для
которых sin Nv - 0. Это будет иметь место, когда Νυ
= к, где к =
1, 2, 3,.... Исключение составляют числа, кратные N. При к = mN,
где m - целое число, υ будет кратно π:
ν
=
mπ. (1.22)
В этом случае (1.19) дает неопределенность вида 0/0,
которая раскрывается в Ν2. Тогда (1.19) приобретает вид
= I0 (sin2 U)/U2.
(1.23)
Если в (1.23) не принимать во внимание второй
множитель, который, как будет видно дальше, только корректирует распределение
интенсивности, то (1.23) показывает, что интенсивность при условии (1.22)
близка к интенсивности падающего света, т.е. очень велика. В результате
перераспределения энергии вместо минимума возникает главный дифракционный
максимум. Условие главного дифракционного максимума получается из (1.22) при
учете (1.20)
sin
φ = тλ, (1.24)
где число т = 0, 1, 2,
3,... называется порядком спектра.
На основании приведенного
здесь анализа можно заключить, что рассматриваемая решетка дает множество
минимумов при любом целочисленном значении k. Это число должно принять N
- 1 значение, чтобы стать кратным числу N. Пусть дифракционная решетка
имеет размер 100 X 100 мм. Тогда при 600 шт./мм число k = 60 000. Это
значит, что число k должно иметь 59 999 значений, чтобы достичь
значения, отвечающего главному дифракционному максимуму. Затем с изменением
угла φ
число k примет еще такое же число
значений, и тогда получим условие второго главного дифракционного максимума.
Иначе говоря, главные дифракционные максимумы первого, второго и более высоких
порядков будут находиться на достаточно большом угловом расстоянии друг от
друга. Наличие большого числа минимумов между главными максимумами и их
дискретный характер определяют появление дополнительных дифракционных
максимумов.
Можно определить условие для
них, если взять производную от первой степени второго множителя в выражении
(1.19) и приравнять ее нулю: |sin Nv//sin v |' = 0.
Дифференцирование этого выражения дает
tg v = tg Nv. (1.25)
Этому условию должна
удовлетворять функция υ
= nd sin
φ/λ, чтобы в направлении φ возник дополнительный дифракционный максимум. Однако
определять направление на дополнительные максимумы в явном виде не
представляется целесообразным, так как их интенсивность весьма мала. Можно
показать, что
(1.26)
Подставляя (1.26) в (1.25),
получим
(1.27)
Множитель N2, стоящий
в знаменателе формулы (1.27), определит весьма малое численное значение
интенсивности добавочных максимумов. Это позволяет не принимать их во внимание.
Таким образом, анализ смысла второго множителя формулы (1.19) приводит к
картине, которая изображена на рис. 1.10.
Рис. 1.10 Распределение
интенсивности при интерференции от N пучков
Рассмотрим роль третьего
множителя формулы (1.19). Этот множитель дает минимумы при тех значениях
функции U, которые кратны π:
= κπ, (1.28)
где к = 1, 2, 3,...
Учитывая (1.21), получим
условие первого минимума
а = sin φ' =
λ. (1.29)
Из-за малого размера щели а
угол φ'
= λ/α будет велик.
Рис. 1.11 Результат
совместного действия интерференции N пучков и дифракции от щели
В результате совместного действия явлений, описываемых обоими множителями
формулы (1.19), получим картину, представленную на рис. 1.11. Здесь Δφ'
- угловой размер
дифракционного максимума от одной щели. Внутри этого максимума расположены
главные дифракционные максимумы нулевого, первого, второго и третьего порядков
с угловой шириной δφ. Интенсивность главных максимумов не
одинакова и уменьшается для рассматриваемой системы от нулевого к максимумам
больших порядков.
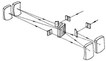
2.
Дифракционные решетки
В оптике решетками называют все пространственные
периодические структуры (чаще всего такие структуры имеют вид параллельных
штрихов), которые оказывают влияние на амплитуду и/или фазу оптического
излучения. Период решетки g равен расстоянию между одноименными точками
соседних штрихов. Пространственная частота решетки равна l/g. Пространственная
периодическая структура решетки обусловливает возникновение дифракционных
эффектов. В некоторых областях применения решеток дифракционными эффектами
можно пренебречь, в то время как принцип действия дифракционных решеток основан
именно на этом явлении. Волна, падающая на дифракционную решетку, в результате
дифракции на штрихах разбивается на отдельные когерентные волны, которые
интерферируют (многолучевая интерференция) и формируют вследствие этого в
определенных направлениях резкие максимумы интенсивности.
На рисунке показаны принципы действия прозрачных
(рис., а-в) и отражающих (рис., г, д) дифракционных решеток.
Соседние участки штрихов могут отличаться коэффициентами пропускания или
отражения, т. е. участки штрихов влияют на амплитуду волны (амплитудные
решетки; рис. 7.17.3, г) или фазу волны (фазовые решетки б, в, д). Так
как повлиять на фазу волны можно только за счет разности оптических путей пd,
то действие фазовых решеток может быть основано на различной толщине d (б,
д) и/или на различии показателей преломления п (в) участков
штриха.
Прозрачные решетки состоят в самом простом случае из
прозрачных и непрозрачных (а также сильно рассеивающих) полос. Сильно
рассеивающие участки получают, например, в результате нанесения алмазным
инструментом рисок на плоскую стеклянную поверхность. С оригинальной
высококачественной решетки могут быть получены методом прессования хорошие
пластмассовые копии (реплики). Решетки с не очень высокой пространственной
частотой могут быть также изготовлены фотографическим способом. Для этого
вручную или на плоттере вычерчивается увеличенное изображение структуры
решетки. Далее это изображение проецируется с уменьшением на фотослой с высокой
разрешающей способностью. В результате специальной обработки фотослоев получают
«фазовые голограммы», свойства которых показаны на рис., б, в. Одним из
эффективных методов изготовления и тиражирования фазовых решеток (б) является
прессование. Отражательную решетку чаще всего изготавливают обработкой алмазным
инструментом напыленных на плоскую пластину алюминиевых или (для ИК-области)
золотых слоев. Наряду с этим дорогостоящим методом изготовления решеток с
помощью высокоточной делительной машины, все больше решеток производится
голографическим методом. В этом методе на слой специального светочувствительного
материала - фоторезиста - падают две когерентные волны (эти волны возникают в
результате деления одного лазерного пучка), направление распространения которых
незначительно отличается. После интерференции этих двух волн на слое
фоторезиста возникают интерференционные полосы. После специальной обработки
толщина слоя (профиля штриха) изменяется соответственно величине экспозиции.
Напыление алюминиевого слоя завершает процесс изготовления отражательной
решетки.
Наряду с плоскими решетками применяются также вогнутые
решетки, т. е. отражательные решетки, которые нанесены на вогнутую поверхность.
Вогнутая решетка сочетает в себе свойства диспергирующего и фокусирующего
элементов. Использование вогнутых решеток позволяет, например, упростить схему
монохроматора.
.1
Вогнутые решетки
Принцип действия. В 1882 г. Роуланд предложил
совместить фокусирующие свойства вогнутого зеркала с диспергирующими свойствами
нарезанной па его поверхности дифракционной решетки. Такие решетки получили
название вогнутых и широко сейчас применяются. Вогнутая решетка позволяет до
предела упростить схему спектрального прибора за счет исключения специальной
фокусирующей оптики. Для получения спектра необходима только щель и вогнутая
решетка. Благодаря использованию таких решеток стала доступной область далекого
вакуумного ультрафиолета (к < 500 А). Точное измерение длин
волн в сложных спектрах сейчас также не мыслится без большой вогнутой решетки.
Полная теория погнутой решетки достаточно сложна, и мы приведем здесь лишь
наиболее простые рассуждения и основные выводы.
Как правило, решетка наносится на поверхность сферы,
хотя решетка, нанесенная на торические и эллипсоидальные поверхности, обладает
известными преимуществами. Будем считать, что размеры заштрихованной части
решетки и высота штриха малы по сравнению с радиусом сферы г, на которую она
нанесена. Середину среднего штриха решетки назовем ее центром. Проведем круг,
диаметр которого равен радиусу кривизны решетки. Этот круг касается решетки в
ее центре и лежит в плоскости, перпендикулярной штрихам. Такой круг называется
кругом Роуланда.
Рассмотрим ход монохроматических лучей, падающих на
решетку из точки S, лежащей на этом круге. Пусть А и В -
два соседних штриха решетки. Лучи SA и SB падают па эти штрихи
под углами ψ и ψ + Δψ. Дифрагированные лучи АР и ВР
идут под углами φ и φ + φΔ и пересекаются в точке Р. Центр
кривизны решетки обозначим через С. Пусть
Условие максимума, как и для плоской решетки, получим,
приравняв разность хода соседних лучей целому числу длин волн:
(2.1)
Продлим лучи SB до точки G и РВ до
точки F так, чтобы SG=SA и PF - = РА. Тогда можно
написать

или
(2.2)
где t = АВ - постоянная решетки. Таким образом,
мы получили ту же формулу для положения главных максимумов, что и для плоской решетки.
Покажем теперь, что вогнутая решетка, в отличие от
плоской, обладает фокусирующим действием. Это значит, что лучи с длиной волны λ,
исходящие из точки S и
лежащие в плоскости, перпендикулярной штрихам решетки, образуют независимо от
угла падения ψ главный дифракционный максимум в одной и той же точке Р. Для
этого продифференцируем (2.2) по ψ и φ при постоянных λ
и к и перейдем и
конечным разностям
(2.3)
Из рис. 2.10 видно, что
(2.4)
Аналогично

(2.5)
С другой стороны,
(2.6)
Подставляя в (2.3) значения
Δψ и Δφ
из (2.4), (2.5) и
используя равенства (2.6), получаем
(2.7)
Чтобы это уравнение удовлетворялось при любых φ и r]·, необходимо и достаточно,
чтобы одновременно
или же
(2.8)
Уравнения (2.8) являются уравнениями окружности в
полярных координатах. Диаметр этой окружности равен радиусу кривизны решетки r,
т. е. получаем уравнение круга Роуланда. Таким образом, если точка S лежит
на круге Роуланда, то на том же круге лежит и точка Р, в которой
образуется главный дифракционный максимум для лучей данной длины волны λ.
Естественно, что для
лучей разных длин волн λι, λ2, и т. д. главные дифракционные максимумы в
соответствии с (2.2) образуются в разных точках Р1, Р2
и т. д. Однако все эти точки лежат па этом же круге, образуя на нем спектр
источника, помещенного в S. В уравнение, определяющее этот круг, не
входит постоянная решетки. Это значит, что любая решетка с радиусом г будет
давать спектр, лежащий на одной и той же окружности.
Из этого рассмотрения не следует, что лучи, идущие из
точки S, но не лежащие в плоскости роуландовского круга, также
фокусируются в точке Р.
Наоборот, легко показать, что решетка обладает
значительным астигматизмом и изображение точки S представляет собой
отрезок прямой, параллельной штрихам решетки.
Выражение для разрешающей силы вогнутой решетки
совпадает с соответствующим выражением для плоской решетки. Угловая дисперсия,
как и в случае плоской решетки, получается дифференцированием равенства (2.2)
по λ.
Формулу для линейной дисперсии легко получить,
отсчитывая расстояния l вдоль круга Роуланда. Угол φ,
являясь вписанным в
окружность диаметра r, равен φ = l/r, откуда после дифференцирования по λ
находим выражение, связывающее
линейную и угловую дисперсию решетки:
(2.9)
Исключая из (2.3) и (2.39) dφ/dλ, для линейной дисперсии получил1
(2.10)
Изображение щели, даваемое вогнутой решеткой, обладает,
как и в случае плоской решетки, некоторой кривизной. Последняя, однако, мала и
может не приниматься во внимание для решеток обычно применяемых размеров. Если
решетка и щель расположены на круге Роуланда, то на этом же круге располагается
и спектр. Это следует из уравнении (2.8). Можно получить спектр и при другом
расположении щели и решетки. Однако детальные расчеты показывают, что при
расположении всех трех элементов установки (щель, приемник, решетка) на
роуландовском круге аберрации минимальны.
Расчет положения спектра проведен для «малой» решетки.
Если ее размеры сравнимы с радиусом, то кроме астигматизма появляются и другие
аберрации, ухудшающие контур спектральной линии.
.2.1 Схемы
установок вогнутых решеток
Известно большое количество типов установок вогнутых
решеток. В большинстве из них все три элемента - щель, решетка и фокальная
поверхность расположены на круге Роуланда. Однако только одна из них,
первоначально использованная самим Роуландом, называется установкой Роуланда.

В этой установке спектр всегда наблюдается в
направлении нормали к решетке (φ = 0). Однако осуществление этой схемы
требует довольно громоздких механических устройств и значительного места. Ее
преимущество (нормальная дисперсия) практически не окупается, и эта схема
сейчас не применяется. Не применяется в современных приборах и схема Абнеся. В
этой схеме при переходе от одной области спектра к другой должна перемещаться
входная щель, а следовательно и источник света. Кроме того, в ней очень трудно
сохранить необходимую степень параллельности штрихов решетки и ножей щели.
Наиболее удобна для применения с решетками всех радиусов кривизны, вплоть до
самых больших, схема Пашепа - Рунге. Здесь все три элемента жестко закреплены
на роуландовском круге. Обычно выбирается угол падения = 45°, но часто
используют и меньшие углы - до 10°. С помощью этой установки охватывается на
длинной пластинке или пленке наиболее широкая область спектра. В установке
отсутствуют подвижные части, что позволяет легко поддерживать неизменность
взаимного расположения элементов и делает ее более дешевой.
Однако приборы, построенные по схеме Пашепа - Рунге,
довольно громоздки, в особенности для решеток с радиусом более 2 м. Кроме
того, в этих условиях астигматизм решетки достаточно велик. С обеих этих точек
зрения более выгодна автоколлимационная установка Игля, для которой φ
~ ψ. Схема се
показана на рис. 2.14. Сейчас существует ряд модификаций этой схемы. Иногда
щель располагается над или под плоскостью круга Роуланда, а спектр образуется
но другую сторону от этой плоскости (пространственная установка) (рис. 2.15).
Щель иногда располагается на продолжении спектра, а иногда сбоку от него, и
свет направляется па решетку поворотным зеркалом или призмой.
При пространственной установке щель и ее изображение
оказываются не параллельными друг другу. Чтобы линии в спектре были
перпендикулярны направлению дисперсии прибора, щель приходится устанавливать
пол углом к штрихам решетки. Такой же поворот изображения щели имеет место у
всех спектральных приборов, в которых центры щели и ее изображения не лежат в
плоскости главного сечения диспергирующего элемента.
Установка Игля применяется главным образом для
спектрографов. Фотографируемый участок занимает сравнительно небольшую область
спектра. При переходе от одной области к другой приходится перемещать решетку,
одновременно менять угол ее поворота и угол поворота кассеты. Все три вида
перемещений достаточно точно осуществляются с помощью одного винта. Установка
Игля применяется для решеток всех радиусов кривизны, вплоть до самых больших.
Практически полного устранения астигматизма можно
добиться в схеме, предложенной Водсвортом. Здесь решетка освещается
параллельным пучком, создаваемым сферическим коллиматорным зеркалом М. Спектр
располагается на кривой, радиус кривизны которой вблизи вершины примерно равен
половине радиуса кривизны роуландовского круга.
Соответственно меньше и линейная дисперсия.
Астигматизм равен нулю па нормали к решетке и очень мал на достаточно большом
расстоянии по обе стороны от нее. Это существенно улучшает условия работы.
Для монохроматоров часто применяется схема Сейя -
Намиока, в которой спектр получается также не на круге Роуланда. Она особенно
удобна тем, что переход от одной длины волны к другой осуществляется вращением
решетки без перемещения остальных деталей установки.
При геометрии, указанной на рис. 2.18, аберрации
оказывается незначительными. Схема широко используется в небольших
монохроматорах, главным образом для вакуумной области спектра, где преимущества
простой кинематики особенно существенны.
3.
Спектрографы. Дифракционные спектрографы
Спектрограф. Так называется прибор для фотографической
регистрации спектра. Простейшая схема спектрографа показана на рис. 3.1. Его
основные элементы: щель S, диспергирующая система D, фокусирующая
оптика L1 и L2 и кассета с фотослоем Р, который
совмещается с фокальной поверхностью, определяемой оптикой прибора.

Щель обычно помещается в фокусе объектива L1
называемого коллиматорным. Объектив L2 - камерный -
строит монохроматические изображения щели на фокальной поверхности прибора.
Фокусирующая оптика может быть как линзовой, так и зеркальной. Широко
распространены автоколлимационные приборы, в которых один и тот же объектив
является одновременно и коллиматорным и камерным.
При широкой щели инструментальный контур спектрографа
- прямоугольный. У больших спектрографов при узких щелях инструментальный
контур определяется только явлением дифракции.
В настоящее время выпускается большое чисто
спектрографов, предназначенных для разных целой и разных областей спектра.
Самые малые модели характеризуются общей длиной спектра 5-10 мм, у
больших приборов длина спектра доходит до нескольких метров.
Спектрографы и другие спектральные приборы различаются
по области спектра, для которой они предназначены.
3.1
Приборы для массовых исследований
Большую дисперсию в широком диапазоне спектра удалось
получить только с помощью дифракционных спектрографов, дающих практически
одинаковую дисперсию во всем рабочем диапазоне. Наиболее широкое
распространение получили спектрографы большой дисперсии ДФС-8 и ДФС-13
(модернизированный ДФС-3), снабженные сменными дифракционными решетками 600 и
1200 штрих/мм.
Оба прибора имеют хорошее качество изображения. Их
оптические схемы почти одинаковы. На рис. 18.2 приводится оптическая схема
прибора ДФС-8. Свет от источника проходит осветительную систему, состоящую из
конденсоров 1, 2 и 3, входную щель 4, с помощью
поворотного зеркала 5 попадает на сферическое зеркало 6 и,
отразившись от него, падает на дифракционную решетку 7. Разложенный в спектр
пучок возвращается на зеркало 6 и после отражения от него собирается в
плоскости фотопластинки. Шкала длин волн 8, нанесенная на стеклянной
пластинке, освещается лампочкой 9 через матовое стекло 10 и с
помощью проекционного объектива 11 изображается на фотопластинке. Для
устранения наложения спектров высших порядков предусмотрены фильтры БС4, ЖС12 и
КС14. Светофильтр БС4 поглощает ультрафиолетовую область спектра короче 3000 А,
ЖС12 - часть видимой области спектра короче 5000 А, КС14 - область спектра
короче 7000 А.
Опишем вкратце конструкцию спектрографа ДФС-8,
типичную для дифракционных спектрографов, выпускаемых отечественными заводами.
Основные узлы прибора укреплены на массивной литой станине и закрыты сверху
кожухом.
Щель спектрографа - переменной ширины от 0 до 0,4 мм
с ценой деления 0,001 мм и высотой 15 мм. Для дополнительной
фокусировки щель можно перемещать вдоль оптической оси микрометренным
барабанчиком, для совмещения направления щели со штрихами решетки -
поворачивать вокруг оптической оси с помощью другого барабанчика.
Кассета для фотопластинок 18 X 13 см крепится
на рамке кассетной части с помощью клинового зажима. Перемещение рамки в
вертикальном направлении производится по направляющим колонкам маховичком,
снабженным роликовым фиксатором, одно положение которого соответствует
перемещению рамки с кассетой на 1,5 мм; перемещение рамки отсчитывается
по миллиметровой шкале. Сферическое зеркало в оправе устанавливается на плате
при помощи установочных втулок. Между зеркалом и дифракционной решеткой
помещается узел шкалы длин волн с подсветкой. Шкала перемещается вдоль прибора
(при переходе к новому участку спектра) с помощью винта и карданного валика,
связанного с узлом решетки цилиндрическими шестернями и червячной парой. Для
приведения в кассетную часть различных областей спектра дифракционная решетка,
закрепленная в оправе и установленная на специальном столе, может
поворачиваться вокруг вертикальной оси; угол поворота решетки - от 6 до 37°.
Маховичок механизма, управляющего поворотом решетки и
продольным перемещением шкалы длин волн, для удобства пользования выведен в
сторону кассетной части. Непосредственно за щелью помещается шторный затвор;
включение и выключение его осуществляется специальной рукояткой. Под щелью на
расстоянии 225 мм от оси прибора укреплен рельс стандартного профиля, на
котором устанавливается конденсорная система; рельс может быть расположен
параллельно корпусу прибора или перпендикулярно ему, по усмотрению работающего
на приборе. Прибор устанавливается на четырех амортизаторах с целью исключить
влияние вибраций здания на качество изображения спектральных линий.
.2
Астроспектрографы
Особую группу дифракционных спектрографов составляют
астроспектрографы. В качестве примера рассмотрим прибор АСП-14, предназначенный
для детального исследования спектров звезд при большой и средней дисперсии.
Прибор этот отличается большими размерами. В
результате оптической неоднородности атмосферы и дефектов оптики телескопическое
изображение звезды в десятки раз превосходит диаметр кружка рассеяния ее
дифракционного изображения. При небольшом фокусном расстоянии коллиматора
спектрографа угловые размеры изображения звезды были бы слишком велики и для
уменьшения их пришлось бы использовать слишком узкую входную щель, что связано
с большими потерями энергии. Использовать камеру с небольшим фокусным
расстоянием также нельзя, так как тогда дисперсия будет недостаточной.
Зеркальный коллиматор АСП-14 (f = 1125 мм, 1 :
8) расположен на продолжении часовой оси телескопа. Три камеры системы Шмидта
размещаются вертикально. Малая и средняя камеры (f = 0,70 м f = 1,35 м)
и коррекционная пластина большой камеры вводятся в систему по рельсам.
Главное зеркало большой камеры (f = 3,35 м) и ее кассета неподвижны. В
приборе установлена дифракционная решетка 600 штрих/мм, с нарезанной
частью 280 X 300 мм. Концентрация энергии при 4400 А в третьем порядке
составляет около 40% при разрешении, близком к теоретическому. Линейные
дисперсии камер равны 12,6 и 2,4 А /мм во втором порядке и 8,4 и 1,6 A/мм
- в третьем. Длина спектра - 120, 220 и 530 мм. Вся система
заключена в теплоизолирующий кожух. Современные спектрографы для исследования
Солнца имеют очень высокую дисперсию (до нескольких мм/A) при общей
длине хода лучей 25-50 м, а иногда и более. Они очень чувствительны к
помехам, вызванным потоками воздуха в приборе, и поэтому их обычно делают
вакуумными. Из таких приборов мы упомянем АСП-12 (Главная астрономическая
обсерватория в Пулкове) и АСП-18 (Крымская астрономическая обсерватория).
Коллиматор и камера прибора АСП-12 имеют f = 7 м. Дифракционная решетка
600 штрих/мм, 140 X 150, обеспечивает дисперсию 2,4 A/мм в первом
порядке. Система работает при давлении порядка нескольких десятых долей мм
рт. ст. Прибор может быть использован и как монохроматор при
фотоэлектрической регистрации спектра. Прибор АСП-18 имеет два камерных
зеркала: одно для фотографирования спектра, второе для монохроматизации.
Фокусные расстояния зеркал камеры и коллиматора одинаковы и равны 10 м. Прибор
предназначен для башенного телескопа БСТ.
.3
Спектрографы для вакуумного ультрафиолета
Перейдем к приборам, работающим в дальнем
ультрафиолете. Для них разрежение воздуха внутри прибора зависит от исследуемой
области спектра и длины пути лучей в приборе. Так, например, в области 300-900
А, для того чтобы при длине пути 2 м общее поглощение не превышало 30%,
давление должно быть меньше 3*10-3мм рт.ст., а при 12 м -
не более 5*10-4ммрт. ст. Если учесть, что в узких линиях
коэффициент поглощения может быть велик, давление должно быть не выше 10-6
мм рт. ст. Часто приходится поддерживать различные давления:
относительно большое в камере источника света и значительно меньшее в
оптической части прибора.
Один из первых в Советском Союзе спектрографов для
вакуумной области спектра был сконструирован В. М. Чулановским. Прибор оказался
очень удачным и до настоящего времени по разрешению является лучшим среди
приборов такого же типа.
К конструкции этого прибора были предъявлены следующие
требования:
) время, идущее на откачку спектрографа и на замену
фотопластинки, должно быть максимально сокращено; должна быть исключена
возможность течи и отдачи газа внутри прибора;
) должна быть обеспечена возможность предварительной
установки решетки на новый участок спектра и облегчена фокусировка его на
пластинке;
) разрешающая сила решетки должна быть использована по
возможности полностью.
В этом приборе вогнутая решетка с радиусом кривизны 1 м,
1200 штрих/мм, 75 X 65 мм, была установлена по автоколлимационной
схеме Игля, обеспечивающей наименьшие габариты прибора и небольшой астигматизм
в изображении спектральной линии. Схема Игля облегчает работу в высоких
порядках спектра и дает возможность надежной интерполяции длин волн в силу
почти постоянной дисперсии.
Недостаток схемы Игля - небольшая интенсивность
дифрагированного света при малых углах падения. Это ограничивает рабочий
диапазон прибора со стороны коротких длин волн. При λ
< 400 А следует
применять схемы с большими углами падения и дифракции (схемы скользящего
падения лучей).
Корпус спектрографа Чулановского состоит из стальной
трубы, вылуженной оловом изнутри и снаружи; длина трубы 1150 мм, внутренний
диаметр - 164 мм. Со стороны решетки на трубу напаян толстый фланец,
наружная сторона которого хорошо отполирована и при откачке закрывается толстой
стеклянной пластиной. Это позволяет наблюдать за установкой решетки, ее
освещенностью и качеством смазки. Перемещение решетки и ее поворот производятся
при помощи двух шлифов, проходящих через пластину. Помещение для кассеты и щель
помещены внутри отливки, насаженной на пайке на другой конец трубы. Для защиты
фотопластинки от рассеянного света на отливку со стороны трубы насажена
диафрагма в виде усеченного конуса с невысокими ребрами внутри. Щель отделена от
корпуса спектрографа переходным краном, позволяющим сохранять в источнике света
нужное давление, когда при замене фотопластинки спектрограф наполняется
воздухом.
Чтобы избежать течи, все закрывающие части
изготовлялись в виде матированных конических шлифов. Принципиально не
допускалось привинчивание внутренних частей снаружи через корпус прибора. Чтобы
избежать воздушных карманов, отверстия для винтов делались сквозными.
Форвакуумная откачка производилась масляным насосом. Высокий вакуум достигался
с помощью активированного угля из ореховой скорлупы, погружаемого в жидкий
воздух. Для закладки в прибор кассеты и откачки до готовности к съемке
требуется не более 5-6 мин.
Поворот и перемещение дифракционной решетки,
производимые с помощью шлифов, отсчитывались по нониусам. Установка решетки
проверялась фотографированием в видимом свете. Высокая точность установок
решетки позволяла пользоваться узкой щелью (порядка 2-3 мк) и добиться
лучшего использования разрешающей силы решетки.
Промышленный образец прибора такого же типа
выпускается под шифром ДФС-29. Рабочий диапазон прибора 500- 4000 А. Решетка с
радиусом кривизны 1 м, 1200 штрих/мм, 60х50 мм, установлена
по схеме Игля. Спектр фотографируется на 35 мм пленку длиной 180 мм участками
по 1500 А. Переход от одного участка к другому и смена кассеты производится без
нарушения вакуума в приборе.
Выпускавшийся ранее спектрограф ДФС-5 с вогнутой
решеткой радиусом 2 м, 1200 штрих/мм, построенный по схеме
Пашена-Рунге, дает возможность фотографировать за одну экспозицию весь рабочий
диапазон (500-2000 А) длиною 610 мм. Его существенным недостатком
является необходимость вскрытия прибора и откачки всего его объема при замене
пленки.
Очень удобным прибором с хорошим качеством спектра для
области 500-3000 А оказался двухметровый спектрограф нормального падения лучей
СП-99 [18.3]. Этот прибор может работать также и в качестве спектрометра. В
этом случае приемниками служат ВЭУ открытого типа или ФЭУ-31 с люминесцирующим
экраном; свечение экрана направляется на катод ФЭУ светопроводом из
сверхчистого стекловолокна марки БК-10.
Прибор построен по схеме Дауэлла (рис. 18.4).
Дифракционная решетка с радиусом кривизны R = 1996 мм, 1200 штрих/мм,
50X80 мм укреплена на конце рычага OD длиною R/2, который
в точке О соединен осью со вторым рычагом OS1 такой же длины.
На другом конце рычага OS1 вращающегося вокруг неподвижного
центра S1 входной щели, укреплены кассета и выходная щель S2.
При повороте рычага OS1 вокруг точки S1 происходит
одновременно разворот решетки, ее смещение вдоль оси и разворот кассеты, причем
все оптические элементы остаются на круге Роуланда. Угол поворота решетки в
диапазоне 0-3000 А составляет 11° 30', ее смещение вдоль оси S1D -
41 мм. Дисперсия прибора- 4,15 A/мм. Фотографирование
производится на фотопленку или фотопластинку размером 240x60 мм или
240x35 мм участками по 1000 А. Без перезарядки кассеты можно
сфотографировать более 20 спектров высотой 2 мм. Смена кассеты
производится без нарушения вакуума в приборе; камеры кассеты и источника света
могут быть герметически отключены от прибора. Откачка основной камеры и камеры
кассеты производится вакуумным агрегатом ВА-05-1 и форвакуумным насосом РВН-20.
Камера источника и входной щели откачиваются самостоятельной вакуумной системой
(ВА-01-1 и РВН-20).
В вакуумной области спектра при длинах волн короче 400
А применяются стеклянные вогнутые решетки без металлических покрытий со
скользящим падением луча. Угол падения составляет 80-89° и даже более.
Дисперсия прибора растет по мере увеличения угла падения. При увеличении
размеров решетки разрешающая сила сначала растет, достигает максимума, затем
начинает падать вследствие увеличения аберраций. Оптимальная ширина Lonm
решетки зависит от углов падения а и дифракции р и от радиуса кривизны
решетки R [14]
(3.1)
На рис. 18.5 представлена зависимость Lonm
от длины волны для различных углов падения и радиусов кривизны решетки 600 штрих/мм.
При увеличении ширины решетки сверх оптимального Lorun
наблюдается асимметричное искажение контура линии. Для того чтобы
получить при ширине решетки Lonm соответствующую ей
разрешающую силу, ширину входной щели следует брать равной
(3.2)
Так как практически невозможно использовать щель уже 1
мк, разрешающая сила лимитируется шириной щели.
У приборов со скользящим падением габариты тем меньше,
чем больше угол падения. Поэтому спектрографы с решетками больших радиусов
кривизны обладают сравнительно небольшими размерами. В самом большом из
известных пока спектрографов скользящего падения решетка 576 штрих/мм имеет
R = 13 м. Угол падения а = 89° 09'. В рабочем диапазоне 5-120 А
дисперсия меняется от 0,038 А/мм до 0,15 к/мм при 110 А.
Фотопластинки 50х2,5 см укрепляются в держателе, охватывающем весь
рабочий диапазон прибора длиною 1390 мм.
Существует много приборов небольших габаритов. Нашей
промышленностью был выпущен прибор ДФС-6 с решеткой R= 1 м, 600 штрих/мм,
а = 86°, рабочий диапазон 50-2000 А. Прибор обладает рядом конструктивных
недостатков, причем некоторые из них могут быть устранены в процессе
эксплуатации прибора.
В настоящее время этот прибор заменен прибором ДФС-26
[14] с решеткой 600 штрих/мм, R = 3 м, а = 85°. Рабочий диапазон
прибора 100-2200 А. Кассета 60x240 мм перемещается по кругу Роуланда и в
направлении, перпендикулярном дисперсии. Основной объем прибора, камера
источника и камера кассеты откачиваются независимыми вакуумными системами.
Приборы для ракетных исследований в вакуумной области
спектра построены по схемам скользящего падения.
4.
Монохроматоры
Монохроматором называется спектральный прибор,
выделяющий излучение в некоторой, обычно довольно узком интервале Δλ
который можно непрерывно
перемещать по спектру.
Конструктивно монохроматор обычно выполняется в виде
симметричных объективов L1 и L2, в фокусах которых
находятся исходная и выходная щели S1 и S2, и диспергирующего элемента D. Перестройкой
диспергирующего элемента можно вывести на выходную щель изображение входной
щели, соответствующе заданному участку спектра. Реже для перехода от одной
области спектра к другой перемещается выходная или входная щель.
Допустим, что щели достаточно широки и
инструментальный контур монохроматора определяется шириной геометрического
изображения щели без необходимости учета дифракции. Пусть а - ширина
изображения входной щели, а а' - ширина выходной щели. Световой поток,
выходящий из монохроматора, пропорционален площади перекрывающихся участков
выходной щели а' и изображения входной щели а (рис. а и
б). В случае равенства а и а' при перемещении изображения щели в фокальной
поверхности световой поток, проходящий через выходную щель, будет линейно
возрастать до максимального значения и затем линейно убывать. Инструментальный
контур представляет в этом случае равнобедренный треугольник (рис. а).
Если входная и выходная щели имеют разную ширину, то инструментальный
контур будет трапецией (рис. б), которая тем ближе к прямоугольнику, чем уже
одна из щелей по сравнению с другой.
Монохроматоры разных конструкций применяются как
самостоятельные приборы для получения монохроматического излучения. Кроме того,
монохроматоры являются основной частью ряда спектральных приборов -
спектрометров, спектрофотометров и др.
Нередко используются также двойные монохроматоры,
представляющие собой два монохроматора, объединенные в одной конструкции,
причем выходная щель первого играет роль входной щели для второго.
.1
Монохроматоры с дифракционной решеткой
дифракционный решетка спектрограф
монохроматор
В дифракционных монохроматорах, не предназначенных для
вакуумной области спектра, обычно применяются плоские решетки и фокусирующая
оптика со сферическими или параболическими зеркалами. При конструировании
монохроматоров с небольшим фокусом и большой площадью диспергирующего элемента
приходится иметь дело с пучками, идущими под большим углом к оптической оси и с
зеркалами, имеющими большое относительное отверстие. Чтобы в этих условиях
избавиться от значительных
аберраций, приходится иногда пользоваться асферическими, в первую очередь
внеосевыми, параболическими зеркалами.
В дифракционных монохроматорах широко используются
схемы Эберта и Черни - Турнера. Схема Эберта, наиболее часто применяемая в
длиннофокусных монохроматорах и спектрографах с плоскими решетками, показана на
рис. 4.22.
Объективом коллиматора и камеры служит сферическое
зеркало 1. Пучок, идущий от щели 2 и отраженный от поворотного
плоского зеркала 3, после коллимирования зеркалом 1 падает на
решетку 4, которая может вращаться вокруг оси 5.
Дифрагированный свет после отражения от зеркала 1 падает
на выходную щель. В случае спектрографа он образует спектр на фокальной
поверхности прибора 6. Легко понять, что размеры зеркала в монохроматоре
лишь немного должны превышать размер дифракционной решетки. В спектрографе
разные участки зеркала служат для отражения разных частей спектра. Поэтому
размер зеркала в направлении дисперсии должен равняться сумме ширины решетки и
длины фотографируемого участка спектра. В короткофокусных монохроматорах пучки
падают на зеркало под большими углами к оси и схема Эберта приводит к
значительным аберрациям. Поэтому в таких монохроматорах чаще применяется схема
Черни - Турнера с двумя зеркалами. По такой схеме собран прибор МДР-2.
Объективами служат сферические зеркала с фокусом 400 мм. Прибор снабжен
тремя сменными решетками площадью 140 X 150 мм2, используемыми
в первом порядке. Решетки имеют 300 штр/мм для области спектра 1-2,5 мкм,
600 штр/мм для 0,5-1,25 мкм и 1200 штр/мм для 0,2-0,6 мкм.
При использовании всей площади решетки аберрации заметно снижают
разрешающую силу. Поэтому прибор снабжен двумя диафрагмами, уменьшающими
относительное отверстие прибора от 1 :2,5 до 1 : 10 или 1 : 15. При
использовании диафрагмы значительно уменьшается световой поток на выходе
прибора, но улучшается его монохроматичность.
На рисунке показан ход лучей в простом монохроматоре
Jarrell Ash, собранном по схеме Эберта. Фокусное расстояние зеркала 25 см. Прибор
снабжен сменными щелями постоянной ширины. Основной щели 0,1 мм соответствует
полоса пропускания 3,2 А. Применять более узкие щели невыгодно, так как
инструментальный контур уширен аберрациями и получить его уже 3-4 А нельзя. Два
монохроматора легко объединяются в один двойной(рис. 4.25). При этом легко
сочленяются механизмы вращения их решеток.
Такой «тандем-монохроматор» снабжен сменными решетками
1180 штр/мм с углом блеска для 3000 и 6000 А. Прибор снабжен устройством
для фотоэлектрического сканирования спектра.
По аналогичной схеме построен монохроматор СД,
выпускаемый мастерскими НИФИ ЛГУ. Прибор рассчитан на область спектра 0,25-1,3 мкм.
Фокусное расстояние коллиматорного зеркала 700 мм, размер
заштрихованной части решетки 80 X 70 мм2, обратная дисперсия
при работе во втором порядке для решетки, имеющей 600 штр/мм, - 12 А/мм.
В рассмотренных схемах дифракционных монохроматоров
имеются дополнительные плоские зеркала для поворота пучков. Они вызывают
дополнительные потери спета и служат причиной лишнего рассеянного излучения.
Свободен от этих недостатков монохроматор фирмы
Mc-Pherson со скрещенными пучками. Модель 218 имеет схему, показанную на рисунке.
Асферические зеркала имеют фокус 30 см. Шесть сменных дифракционных
решеток (75-2400 штр/мм) позволяют использовать прибор от 1050 А до 1С мкм.
Для работы в области длин волн короче 2000 А прибор можно откачивать.
Конструкция держателя решетки и самих решеток позволяет легко заменять их без
дополнительной фокусировки прибора. Монохроматор снабжен фотоэлектрическим
устройством, позволяющим регистрировать спектр, сканируя его вручную или
мотором с двенадцатью скоростями. Внешний вид прибора без откачивающей и
регистрирующей систем показан на рисунке.
Длиннофокусный монохроматор, построенный по схеме
Эбсрта, выпускается экспериментальными мастерскими НИФИ ЛГУ под названием
ДАС-1. Зеркало этого прибора имеет фокусное расстояние 2 м. Он
снабжается решеткой, имеющей 1200 или 600 штр/мм. площадью 8x9 см2.
При щелях 0,01 мм теоретическая разрешающая способность решетки
реализуется практически полностью. Сканирование спектра осуществляется
поворотом решетки, регистрация - фотоумножителем с записью на самопишущий потенциометр.
Схема Черни - Турнира используется в двойном
монохроматоре ДФС-12. В нем применено оригинальное расположение решеток «спиной
друг к другу» (рис. 4.28). Обе решетки вращаются вокруг одной оси, и это
обеспечивает автоматическое согласование углов поворота.
В двойных монохроматорах, построенных по другим
схемам, это обычно достигается прецизионными механическими устройствами. Спектр
регистрируется фотоэлектрически и записывается с помощью электронного
потенциометра.
Использованная
литература
1. Нагибина И.Μ. Интерференция и дифракция света. Учеб. пособие для приборостроительных
вузов оптических специальностей. 2-е изд., перераб. и доп.-Л.: Машиностроение,
Ленингр. отд-ние, 1985 г. 332 с.
2. Тарасов К.И. Спектральные приборы. Л., - «Машиностроение», 1968.
- 388с.
. Зайдель Α.Η. Техника и практика спектроскопии. -
М.: Наука, Главная редакция физико-математической литературы, 1972. - 372 с.
. Шредер Г., Трайбер X. Техническая оптика. - М.: Техносфера,
2006. - 424 с.
. Пейсахсон И.В. Оптика спектральных приборов. - Л.:
Машиностроение, 1975. - 312 с.