|
Тип производства
|
Кз.о.
|
|
Массовое
|
1
|
|
Крупносерийное
|
Свыше 1 до 10 включительно
|
|
Среднесерийное
|
Свыше 10 до 20 включительно
|
|
Мелкосерийное
|
Свыше 20 до 40 включительно
|
|
Единичное
|
Свыше 40
|
Из
выше рассчитанного следует, что производство серийное, следует определить
партию запуска деталей. Ориентировочно величину партии 
можно
рассчитать по формуле:
где N - годовой объем выпуска, шт.;

- число
рабочих дней в году (365-Твых. - Тпразд.), дн.;

-
необходимый запас деталей на складе в днях, колеблется в пределах 3ч8 дней
· для единичного и мелкосерийного производства 3ч4 дней
· для среднесерийного производства 5ч6 дней
· для крупносерийного и массового производства 7ч8 дней
Серийное производство характеризуется ограниченной номенклатурой изделий
изготовленных или ремонтируемых периодически повторяющимися партиями, и
сравнительно большим объемам выпуска.
При серийном производстве широко используются универсальные станки, а
также специализированные и частично специальные станки.
Оборудование располагается не только по групповому признаку, но и по
потоку.
Технологическая оснастка универсальная, а также специальная и
универсально-сборная, что позволяет снизить трудоемкость и себестоимость
изготовления изделия.
Рабочие специализируются на выполнении только нескольких операций.
Технологический процесс дифференцирован, т.е. расчленен на отдельные
самостоятельные операции, переходы приемы, движения.
Себестоимость изделия - средняя.
1.4 Анализ заводского технологического процесса
Каждая деталь должна изготовляться с минимальными трудовыми и
материальными затратами. Эти затраты можно сократить в значительной степени от
правильного выбора варианта технологического процесса, его оснащения,
механизации и автоматизации, применения оптимальных режимов обработки и
правильной подготовки производства. На трудоёмкость изготовления детали
оказывают особое влияние её конструкция и технические требования на изготовление.
В заводском технологическом процессе деталь «Ось» обрабатывается
следующим образом:
005 Контрольная 065 Слесарная
Токарная 070 Разметочная
Токарная 075 Сверлильная
Токарная 080 Промывочная
Контрольная 085 Магнитная
Термическая 090 Контрольная
Пескоструйная 095 Покрытие
Токарная 100 Шлифовальная
Шлифовальная 105 Слесарная
Токарная 110 Промывочная
Разметочная 115 Магнитная
Фрезерная 120 Подготовительная
Как видно из выше перечисленных операций заводского технологического
процесса, здесь используется большое количество контрольных, слесарных,
разметочных операций и используются станки старых моделей универсальные с
ручным управлением.
Считаю, что в своем варианте технологического процесса обработки детали
«Ось» необходимо на некоторых операциях применить высокопроизводительные станки
с ЧПУ, что позволит:
- повысить производительность труда;
ликвидировать разметочные и слесарные операции;
сократить время на переналадку оборудования, на установку заготовок за
счет применения универсальных сборочных приспособлений;
сократить число операций;
сократить затраты времени и средств на транспортировку и контроль
деталей;
уменьшить брак;
сократить потребность в рабочей силе;
уменьшить число станков;
применить многостаночное обслуживание;
Кроме того на горизонтально-фрезерных и вертикально-сверлильной операциях
целесообразно применить специальные быстропереналадочные приспособления с
пневмозажимом, обеспечивающие надежное закрепление и точное базирование детали
в процессе обработки, а так же позволит:
- сократить время на переналадку оборудования;
обеспечить фиксированное и надежное положение заготовки в приспособлении;
освободит от предварительной разметки перед данной операцией
Применение специального высокопроизводительного режущего инструмента
обеспечивает высокую точность и необходимую шероховатость обрабатываемых
поверхностей.
1.5 Технико-экономическая оценка выбора метода получения
заготовки
Выбор метода получения заготовки является одним из важнейших факторов при
проектировании и разработке технологического процесса.
Вид заготовки и метод в значительной степени определяется материалом
детали, типом производства, а так же такими технологическими свойствами как
конструктивная форма и габаритные размеры детали.
В современном производстве одним из основных направлений развития
технологии механической обработки является использование чистовых заготовок с
экономичными конструктивными формами, т.е. рекомендуется переложить большую
часть процесса формообразования детали на заготовительную стадию и тем самым
снизить затраты и расход материала при механической обработке.
В дипломной работе для детали «Ось» применяю метод получения заготовки
горячую штамповку на кривошипных прессах.
При этом методе форма заготовки по своим размерам приближена к размерам
детали и этим самым снижается расход материала и время на изготовление детали
«Ось», а также уменьшается количество операций механической обработки и,
следовательно, уменьшается себестоимость данной детали.
1.6 Выбор технологических баз
Базой называют поверхность, заменяющую совокупность поверхностей, ось,
точку детали по отношению к которым ориентируются другие детали, обрабатываемые
на данной операции.
Для повышения точности обработки детали необходимо соблюдать принцип
совмещения (единства) баз, согласно которого при назначении технологических баз
для точной обработки заготовки в качестве технологических баз следует применять
поверхности, которые одновременно являются конструкторскими и измерительными
базами детали.
А также принцип постоянства баз, который заключается в том, что при
разработке технологического процесса необходимо стремиться к использованию
одной и той же технологической базы, не допуская без необходимости смены
технологических баз.
Стремление осуществить обработку по одной технологической базе
объясняется тем, что всякая смена баз увеличивает погрешность взаимного
расположения обрабатываемых поверхностей.
Проанализировав все выше названое, делаю вывод, что для обработки детали
«Ось» за базовые поверхности необходимо принять:
Операция 010 Токарная ЧПУ
Установ А: 61,8
Установ Б: ∅ 40,3
Операция 015 Горизонтально-фрезерная: ∅40,3
Операция 020 Вертикально-сверлильная: ∅40,3
Операция 025 Круглошлифовальная: отв. Ш24H9
1.7 Проектирование маршрутного технологического процесса
детали: последовательность обработки; выбор оборудования; выбор станочных
приспособлений; выбор режущих инструментов; выбор вспомогательных инструментов
При разработке технологического процесса руководствуются следующими
основными принципами:
- в первую очередь обрабатываю те поверхности, которые являются в
базовыми при дальнейшей обработке;
после этого обрабатывают поверхности с наибольшими припусками;
поверхности, обработка которых обусловлена высокой точностью взаимного
расположения поверхностей, необходимо обрабатывать с одного установа;
при обработке точных поверхностей следует стремиться к соблюдению двух
основных припусков: совмещение (единства) баз и постоянства баз
Последовательность обработки
Операция 005 Заготовительная
Операция 010 Токарная ЧПУ
Установ А
Установить, закрепить заготовку
Точить торец «чисто»
Точить фаску 1х450
Точить Ш40,4 мм на l=63,5-0,2
мм, выдержав R1
Точить фаску 1х450
Зенковать фаску 1х450
Установ Б
Переустановить, закрепить заготовку
Точить торец «чисто» выдержав l=79,5-0,2 мм
Точить фаску 1х450
Точить Ш60 мм на проход
Зенкеровать Ш23,8 мм на проход
Зенковать фаску 2,5х450
Развернуть Ш24H9 (+0,052)
Контроль исполнителем
Операция 015 Горизонтально-фрезерная
Установ А
Установить, закрепить деталь
Фрезеровать паз B=20H11 (+0,13) на l=9,5 мм, выдержав R1
Притупить острые кромки, припилить 2 фаски 0,5х450; 2 фаски 1х450
Установ Б
Переустановить, закрепить деталь
Фрезеровать паз B=20H11 (+0,13) на l=41 мм
Притупить острые кромки, припилить 2 фаски 0,5х450; 2 фаски 1х450
Контроль исполнителем
Операция 020 Вертикально-сверлильная
Установить, закрепить деталь
Сверлить 3 отв. Ш1,5 мм на проход, выдержав ∡1200, l=48 мм
Рассверлить 3 фаски 0,3х450
Контроль исполнителем
Операция 025 Термическая
Калить 35,5…40,5 HRC
Операция 030 Круглошлифовальная
Установить, закрепить деталь
1
Шлифовать Ш40f 
) на l=60
методом поперечной подачи
Контроль
исполнителем
Операция 035 Контрольная
Выбор оборудования
При выборе оборудования учитываются следующие факторы:
тип производства;
вид заготовки;
требования к точности обработки и шероховатости обрабатываемой
поверхности;
необходимая мощность;
годовая программа.
На основании вышеизложенного выбираю технологическое оборудование.
Операция 010 Токарная с ЧПУ
Токарно-винторезный станок с ЧПУ 16К20Ф3
Станок предназначен для токарной обработки наружных и внутренних
поверхностей деталей со ступенчатым и криволинейным профилем в осевом сечении
при полуавтоматическом цикле, заданной программой на перфоленте.
|
Параметры
|
Числовые значения
|
|
Наибольший диаметр
обрабатываемой заготовки:
|
|
|
над станиной
|
400
|
|
над суппортом
|
220
|
|
Наибольший диаметр прутка,
проходящего через отверстие шпинделя
|
53
|
1000
|
|
Шаг нарезаемой резьбы:
|
|
|
Метрической
|
до 20
|
|
Число скоростей шпинделя
|
22
|
|
Частота вращения шпинделя,
об/мин
|
12,5ч2000
|
|
Наибольшее перемещение
суппорта:
|
|
|
продольное
|
900
|
|
поперечное
|
250
|
|
Подача суппорта, мм/об
(мм/мин):
|
|
|
продольная
|
3ч1200
|
|
поперечная
|
1,5ч600
|
|
Число ступеней подач
|
б/с
|
|
Скорость быстрого
перемещения суппорта, мм/мин:
|
|
|
продольного и поперечного
|
4800
|
|
вертикального
|
2400
|
|
Мощность электродвигателя
главного привода, кВт
|
10
|
|
Габаритные размеры (без
ЧПУ):
|
|
|
Длина
|
3360
|
|
ширина
|
1710
|
|
высота
|
1750
|
|
масса, кг
|
4000
|
Операция 015 Горизонтально-фрезерная
Горизонтально-фрезерный широкоуниверсальный станок 6Р81Ш /10/
Станок предназначен для выполнения различных фрезерных работ, а так же
сверлильных и несложных расточных работ в заготовках из чугуна, стали и цветных
металлов. Станок может работать в полуавтоматическом и автоматическом режимах,
что дает возможность многостаночного оборудования.
Технические характеристики станка
|
Параметры
|
Числовые значения
|
|
Размеры рабочей поверхности
(ширина х длина), мм
|
250х1000
|
|
Наибольшее перемещение
стола; мм:
|
|
|
продольное
|
630
|
|
поперечное
|
200
|
|
вертикальное
|
350
|
|
Расстояние:
|
|
|
от оси оси горизонтального
шпинделя до поверхности стола
|
50-400
|
|
от оси вертикального
шпинделя до направляющих станины
|
250-845
|
|
от торца вертикального
шпинделя до поверхности стола
|
160-510
|
|
Наибольшее перемещение
гильзы вертикального шпинделя, мм
|
80
|
|
Угол поворота вертикальной
фрезерной головки,  , в
плоскости, параллельной:
|
|
|
продольному ходу стола
|
360
|
|
поперечному ходу стола:
|
|
|
от станины
|
90
|
|
к станине
|
45
|
|
Внутренний конус шпинделя
по ГОСТ 15945-82:
|
|
|
горизонтального
|
45
|
|
вертикального
|
Морзе
|
|
Число скоростей шпинделя:
|
|
|
горизонтального
|
16
|
|
вертикального
|
12
|
|
Частота вращения шпинделя,
об/мин:
|
|
|
горизонтального
|
50-1600
|
|
вертикального
|
45-2000
|
|
Число рабочих подач стола
|
16
|
|
Подача стола, мм/мин:
|
|
|
продольная
|
35-1020
|
|
поперечная
|
28-790
|
|
вертикальная
|
14-390
|
|
Скорость быстрого
перемещения стола, мм/мин:
|
|
|
продольного
|
2900
|
|
поперечного
|
2300
|
|
вертикального
|
1150
|
|
Мощность электродвигателя
привода главного движения, кВт
|
5,5
|
|
Габаритные размеры:
|
|
|
длина
|
1480
|
|
ширина
|
2045
|
|
высота
|
1890
|
|
Масса (без выносного
оборудования), кг
|
2530
|
Операция 020 Вертикально-сверлильная
Вертикально-сверлильный станок 2Н125
Станок предназначен для сверления, рассверливания, зенкерования,
развертывания отверстий, нарезания резьбы метчиком и подрезания торцов ножами.
|
Параметры
|
Числовые значения
|
|
Наибольший условный диаметр
сверления, мм
|
400х450
|
|
Рабочая поверхность стола
|
|
|
Наибольшее расстояние от
торца шпинделя до рабочей поверхности стола
|
700
|
|
Вылет шпинделя
|
250
|
|
Наибольшийход шпинделя
|
200
|
|
Наибольшее вертикальное
перемещение:
|
|
|
сверлильной головки
|
170
|
|
стола
|
270
|
|
Конус Морзе отверстия
шпинделя
|
3
|
|
Число скоростей шпинделя
|
12
|
|
Частота вращения шпинделя,
об/мин
|
45; 63; 90; 125; 180; 250;
355; 500; 710; 1000; 1400; 2000
|
|
Число подач шпинделя
|
9
|
|
Подача шпинделя, мм/об
|
0,1; 0,14; 0,2; 0,28; 0,4;
0,56; 0,8; 1,12; 1,6
|
|
Мощность электродвигателя
привода главного движения, кВт
|
2,2
|
|
КПД станка
|
0,8
|
|
Габаритные размеры, мм:
|
|
|
длина
|
915
|
|
ширина
|
785
|
|
высота
|
2350
|
|
масса, кг
|
880
|
Операция 030 Круглошлифовальная
Круглошлифовальный полуавтомат для врезного и продольного шлифования,
повышенной точности 3М151
Станок предназначен для наружного шлифования цилиндрических и пологих
конических поверхностей.
|
ПараметрыЧисловые значения
|
|
|
Наибольшие размеры
устанавливаемой заготовки:
|
|
|
диаметр
|
200
|
|
длина
|
700
|
|
Рекомендуемый наибольший
диаметр шлифования: наружного
|
60
|
|
Наибольшая длина
шлифования: наружного
|
700
|
|
Высота центров над столом
|
125
|
|
Наибольшее продольное
перемещение стола
|
705
|
|
Угол поворота в о:
|
|
|
по часовой стрелке
|
3
|
|
против часовой стрелки
|
10
|
|
Скорость автоматического
перемещения стола (бесступенчатое регулирование), м/мин
|
0,05-5
|
|
Частота вращения шпинделя
заготовки с бесступенчатым регулированием, об/мин
|
50ч500
|
|
Конус Морзе шпинделя
передней бабки и пиноли задней бабки
|
4
|
|
Наибольшие размеры
шлифовального круга:
|
|
|
наружный диаметр
|
600
|
|
высота
|
100
|
|
Перемещение шлифовальной
бабки:
|
|
|
наибольшее
|
185
|
|
на одно деление лимба
|
0,005
|
|
за один оборот толчковой
рукоятки
|
0,001
|
|
Частота вращения шпинделя
шлифовального круга, об/мин
|
|
|
при шлифовании наружном
|
1590
|
|
Скорость врезной подачи
шлифовальной бабки, мм/мин
|
0,1ч4,0
|
|
Мощность электродвигателя
привода главного движения, кВт
|
10
|
|
Габаритные размеры, мм:
|
|
|
длина
|
4605
|
|
ширина
|
2450
|
|
высота
|
2170
|
|
масса, кг
|
5600
|
Выбор станочных приспособлений
При разработке технологического процесса механической обработки детали
необходимо правильно выбрать приспособление, которое должно способствовать
повышению производительности труда, точности обработки, улучшению условий
труда, ликвидации предварительной разметки детали и выверки ее при установке на
станке.
Операция 010 Токарная ЧПУ
Приспособление: патрон самоцентрирующийся трёхкулачковый
ГОСТ 2675-80 входит в комплектность станка; центр вращающийся
ГОСТ 2675-80.
Операция 015 Горизонтально-фрезерная
Приспособление: специальное наладочное приспособление для фрезерования
детали со встроенным пневматическим цилиндром.
Операция 020 Вертикально-сверлильная
Приспособление: Головка делительная универсальная ГОСТ 8615-89;
жесткий цент ГОСТ 13214-79.
Операция 030 Круглошлифовальная
Приспособление: патрон поводковый для шлифовальных работ
ГОСТ 13334-67 Хомутик поводковый для шлифовальных работ
ГОСТ 16488-70
Выбор режущего инструмента
При выборе режущего инструмента необходимо стремиться принимать
стандартный инструмент, но иногда целесообразно принимать специальный,
комбинированный или фасонный инструмент, позволяющий совмещать обработку
нескольких поверхностей.
Правильный выбор режущей части инструмента имеет так же большое значение
для повышения производительности труда, повышения точности и качества
обрабатываемой поверхности.
Операция 010 Токарная с ЧПУ
Установ А
Переход 01, 02, 03, 04 Проходной упорный резец с пластинками из твердого
сплава Т15К6, 16х25 ГОСТ 18879-73 /7/
Техническая характеристика резца: Н=25 мм, В=16 мм, L=140 мм, n=7 мм, l=16 мм, r=1,0
мм.
Переход 05 Зенковка∡450 из быстрорежущей стали Р6М5 с коническим хвостовиком
ОСТ-2
Техническая характеристика зенковки: D=32 мм, L=145
мм, l=56 мм.
Установ Б
Переход 01, 02, 03 Проходной упорный отогнутый резец с твердосплавными
пластинками Т15К6, 16х25 ГОСТ 18879-73
Техническая характеристика резца: Н=25 мм, В=16 мм, L=140 мм, n=7 мм, l=16 мм, r=1,0
мм.
Переход 04 Зенкер цельный Ш23,8 мм из быстрорежущей стали Р6М5 с
коническим хвостовиком ГОСТ 12489-71
Техническая характеристика зенкера: D=23,8 мм, L=185
мм, l=86 мм.
Переход 05 Зенковка∡450 из быстрорежущей стали Р6М5 с коническим хвостовиком
ОСТ-2
Техническая характеристика зенковки: D=32 мм, L=145
мм, l=56 мм.
Переход 06 Развертка из быстрорежущей стали цельная Ш24H9 (+0,052) с коническим хвостовиком
ГОСТ 1672-80
Техническая характеристика развертки: D=24 мм, L=225
мм, l=34 мм
Операция 015 Горизонтально-фрезерная
Переход 01 Дисковая трехсторонняя фреза Ш125 со вставными ножами,
оснащенными твердым сплавом Т15К6, z=8 ГОСТ 5348-69
Техническая характеристика фрезы: D=100 мм, B=20
мм, d=32 мм, z=8 мм.
Переход 02 Надфиль плоский ГОСТ 1513-77
Техническая характеристика фрезы: L=130 мм.
Операция 020 Вертикально-сверлильная
Переход 01 Сверло спиральное ∅1,5 мм из быстрорежущей стали Р6М5 с
цилиндрическим хвостовиком ГОСТ 10902-77
Техническая характеристика сверла: d=1,5 мм, L =63 мм, l=28 мм.
Переход 02 Сверло спиральное ∅6 мм из быстрорежущей стали Р6М5 с
цилиндрическим хвостовиком ГОСТ 10902-77
Техническая характеристика сверла: d=6 мм, L =72 мм, l=34 мм
Операция 030 Круглошлифовальная
Переход 01 Шлифовальный круг 300х63х76 ПП 24А40НСМ25К8
ГОСТ 2424-83.
Техническая характеристика круга: D =300 мм, В =63 мм, d=76 мм.
.7.5 Выбор вспомогательного инструмента
При выборе вспомогательных инструментов пользуются теми принципами, что и
станочные приспособления.
На основании вышеописанного произвожу выбор вспомогательных инструментов.
На операции 010 Токарная ЧПУ:
Установ А
Переход 05 - применяю переходную втулку ГОСТ 13598-85
Установ Б
Переход 04, 05, 06 - применяю переходную втулку ГОСТ 13598-85.
1.8 Определение операционных припусков, допусков,
межоперационных размеров и размеров заготовки (на две поверхности произвести
расчет припусков аналитическим методом)
Выбор заготовки для дальнейшей механической обработки и установление
величин рациональных припусков и допусков на обработку является одним из весьма
важных этапов проектирования технологического процесса изготовления детали. От
правильности выбора заготовки, т.е. установления ее форм, размеров, припусков
на обработку, точности размеров и твердости материала в большей степени зависит
характер и число операций или переходов, трудоемкость изготовления детали,
величина расхода материала и инструмента и в итоге - стоимость изготовления
детали.
Определение припусков аналитическим методом
Аналитический метод определения припусков базируется на анализе
производственных погрешностей, возникающих при конкретных условиях обработки
заготовки.
Для наружных или внутренних поверхностей тел вращения операционные
припуски 2Zi min мкм определяются по формуле:
где
- высота
микронеровностей поверхности;

-
глубина поверхностного дефектного слоя;

-
суммарное значение пространственных геометрических отклонений;

-
погрешность установки
Определяем промежуточные припуски и промежуточные размеры при обработке
поверхности отверстия ∅24Н9 (+0,052).
Для наглядности и простоты определения промежуточных припусков и размеров
составляем таблицу.
Таблица 1.5 - Расчеты припусков, допусков и промежуточных размеров на
данную поверхность
|
Поверхность детали и
маршрут ее обработки
|
Точность заготовки и
обрабатываемой поверхности
|
Допуск на размер d, мм
|
Элементы припуска, мкм
|
Промежуточные размеры
заготовки, мм
|
Промежуточные припуски, мм
|
|
|
|
Rz
|
T
|
r0
|
ey
|
Dmax
|
Dmin
|
2Zmax
|
2Zmin
|
|
Заготовка-штамповка
|
II кл.
|
1,4
|
160
|
200
|
861
|
-
|
19,912
|
21,22
|
-
|
-
|
|
Однократное растачивание
|
Н12
|
0,13
|
50
|
40
|
51
|
200
|
23,712
|
23,72
|
3,8
|
2,5
|
|
Нарезание резьбы
|
Н9
|
0,062
|
10
|
20
|
-
|
12
|
24,062
|
24
|
0,35
|
0,28
|
Проверка:
Tdзаг - Tdд = 
-
62 = (3758+352) - (2488 + 284)
мкм
= 1338 мкм
Рис. 1.1 - Схема расположения полей припусков и допусков по
обрабатываемой поверхности
Определяем
промежуточные припуски и промежуточные размеры при обработке поверхности вала ∅40f7
.
Для наглядности и простоты определения промежуточных припусков, допусков
и размеров составляем таблицу /10/
Таблица 1.6 - Расчеты припусков, допусков и промежуточных размеров на
данную поверхность
|
Вид заготовки и
технологическая операция
|
Точность заготовки и
обрабатываемой поверхности
|
Допуск на размер d, мм
|
Элементы припуска, мкм
|
Промежуточные размеры заготовки,
мм
|
Промежуточные припуски, мм
|
|
|
|
Rz
|
T
|
r0
|
ey
|
Dmax
|
Dmin
|
2Zmax
|
2Zmin
|
|
Заготовка-штамповка
|
II кл.
|
1,4
|
160
|
200
|
-
|
43,295
|
41,95
|
-
|
-
|
|
Черновое точение
|
Н12
|
0,25
|
50
|
50
|
25,8
|
200
|
40,495
|
40,25
|
2,8
|
1,7
|
|
Чистовое точение
|
Н8
|
0,39
|
25
|
25
|
-
|
12
|
40,025
|
39,99
|
0,47
|
0,26
|
|
Термообработка шлифование
|
F7
|
0,025
|
5
|
15
|
|
|
39,975
|
39,96
|
0,05
|
0,04
|
Проверка:
Tdзаг - Tdд = 
-
25 = (2818+468+54) - (1668+257+40)
мкм
= 1375 мкм
Рис. 1.2 - Схема расположения полей припусков и допусков по
обрабатываемой поверхности
Расчет припусков, допусков, межоперационных размеров табличным способом
На остальные поверхности заготовки припуски, допуски, межоперационные
размеры считаю табличным способом, полученные данные свожу в таблицу
Таблица 1.7 - Расчет припусков, допусков и промежуточных размеров на
остальные поверхности
|
Последовательность
обработки
|
Квалитет точности
|
Шероховатость
|
Допуски dмм
|
Величина припуска
|
Расчетный размер, мм
|
Предельный размер, мм
|
Предельный припуск, мм
|
|
|
|
|
|
|
Dmax
|
Dmin
|
2zmax
|
2zmin
|
|
Заготовка-штамповка l=82,3
Однократное получист точение l=79,5
|
IIкл h12
|
- 12,5
|
1,7 0,35
|
- 1,0
|
80,15 79,15
|
81,85 79,5
|
80,15 79,15
|
- 2,35
|
- 1,0
|
|
Заготовка-штамповка ∅62 Однократное получист точение ∅60
|
IIкл h12
|
- 12,5
|
1,7 0,3
|
- 1,0
|
62,7 61,7
|
64,4 62
|
62,7 61,7
|
- 2,4
|
- 1,0
|
Таблица 1.8 - Межоперационные размеры поверхностей заготовки
|
Последовательность
обработки
|
Операционный размер
|
Последовательность
обработки
|
Операционный размер
|
Заготовка-штамповка
Æ82,4 Однократное точение Æ
Заготовка-штамповка
Æ43,4
Черновое
точение
Чистовое
точение
Шлифование
Æ
Æ
|
Æ
|
|
|
Заготовка-штамповка

Однократное
точение
Æ

Заготовка-штамповка
Æ21,2
Зенкерование
Развертывание
Æ
|
Æ
|
|
|
|
1.9 Определение нормы расхода (вычислить коэффициент
использования материала и коэффициент использования заготовки)
Для определения нормы расхода материала необходимо определить массу
заготовки. Массу заготовки рассчитывают исходя из его объема и плотности
материала. Необходимо стремиться к тому, чтобы форма и размеры заготовки были
близки к форме и размерам готовой детали, что уменьшает трудоемкость
механической обработки, сокращает расход материала, режущего инструмента,
электроэнергии и т.д.
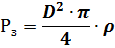
Массу
заготовки 
рассчитывают
по формуле:
где
-
плотность материала, гр./см3

- общий
объем заготовки, см3.
Обычно сложную фигуру заготовки необходимо разбить на элементарные части
правильной геометрической формы и определить объемы этих элементарных частей.
Сумма элементарных объемов составит общий объем заготовки.
Объем цилиндрической трубы V, см3
рассчитываем по формуле:
где
-
наружный диаметр цилиндрической трубы, см

-
внутренний диаметр цилиндрической трубы, см
h - высота цилиндрической трубы, см.

см3

см3

см3
Правильный выбор способа получения заготовки характеризуется двумя
коэффициентами:
Ким - коэффициент использования материала
Киз - коэффициент использования заготовки
Рассчитать коэффициент использования заготовки Киз по формуле:
Киз

где
- масса
детали, гр

- масса
заготовки, гр
Киз=
Рассчитать
коэффициент использования материала Ким по формуле:
Ким

где

- масса
потерь металла (угар, облой, на отрезку и т.д.)
Ким

Коэффициент использования материала колеблется в следующих пределах:
для отливки 0,65 ч 0,75…0,8
для штамповки 0,55ч 0,65…0,75
для проката 0,3ч 0,5
Произведя расчеты коэффициента использования материала и коэффициента
использования заготовки делаю вывод, что эти коэффициенты лежат в допустимых
пределах, следовательно, выбранный метод получения заготовки правильный.
1.10 Определение режимов резания, мощности для двух
Определение режимов резания и мощности можно производить двумя методами:
- аналитическим (по эмпирическим формулам);
табличным
Расчет режимов резания для двух разнохарактерных операций или переходов
по эмпирическим формулам
Производим расчет режимов резания и мощности для разнохарактерных
операций и переходов по эмпирическим формулам
Операция 010 Токарная ЧПУ
Установ Б
Переход 01 Точить торец «чисто» выдержав l=79,5-0,2 мм
Глубина резания: t=1,0 мм
Подача: S=0,5 мм/об /10/
Скорость резания V, м/мин:
где Cv = 350; x=0,15; y=0,35;
m=0,2 /7/
T -
стойкость резца, мин (Т=60 мин)
Kv -
коэффициент, влияющий на скорость резания
Kv = Kmv × Knv × Kuv × KTv× KTc × Kц× Kr
где Кmv - коэффициент, учитывающий влияние
физико-механических свойств обрабатываемого материала на скорость резания
где Kф - коэффициент, характеризующий
группу стали по обрабатываемости
(Kф=0,8)
nv -
показатель степени (nv=1,0)
Кmv=
0,8 
Кnv - коэффициент, учитывающий влияние
состояния поверхности заготовки на скорость резания (Кnv=0,8) /9/
Кuv - коэффициент, учитывающий влияние
инструментального материала на скорость резания (Кuv=1,15) /9/
КTv - коэффициент, учитывающий стойкость
инструмента в зависимости от количества одновременно работающих инструментов (КTv=1,0)/9/
КTс - коэффициент, учитывающий
стойкость инструмента в зависимости от количества одновременно обслуживающих
станков (КTс=1,0)
Кц - коэффициент, учитывающий влияние главного угла в плане ц (Кц=0,7)
Кr - коэффициент, учитывающий влияние
радиуса r при вершине резца (Кr=0,94)
/9/
Kv = 0,56 × 0,8 × 1,15 × 1,0 × 1,0 × 0,7 × 0,94 ≈ 0,34
Отсюда скорость резания V, м/мин:
Частота вращения заготовки, n об/мин:
где V - скорость резания, м/мин- диаметр
обрабатываемой поверхности, мм

об/мин
Согласно условия обработки принимаем:
nпр= 359 об/мин
Сила резания, PZ Н:
PZ = 10·Cp·tx ·Sy·Vn·Kp
где Cp = 300; х=1,0; y=0,75; n= -0,15 /7/
Кр - коэффициент, влияющий на силу резания
Кр = Kmp·Kцp·Kgp·Klp·Krp
где Kmp - коэффициент, учитывающий влияние
качества обрабатываемого материала на силу резания
Kmp = 
где n - показатель степени (n=0,75) /9/
Kmp = 
≈
1,31
Кцр - коэффициент, учитывающий влияние главного угла в плане
на силу резания (Кцр=0,89) /9/
Кgр - коэффициент, учитывающий влияние
переднего угла на силу резания (Кgр=1,0) /9/ Кlр - коэффициент, учитывающий влияние угла наклона главного лезвия на силу
резания (Кlр =1,0). Кrp - коэффициент, учитывающий влияние
радиуса при вершине на силу резания (Кrp=0,87).
Кр = 1,31 × 0,89 × 1,0 × 1,0 × 0,87 ≈ 1,01
Отсюда сила резания PZ Н:
PZ = 10 × 300 × 1,01,0 × 0,50,75 × 70-0,15 × 1,01 ≈ 947 Н
Минутная подача Sm,
мм/мин
Sm = So × nпр
где So - подача на оборот заготовки, мм/об;
nпр -
принятая частота вращения заготовки об/мин
Sm = 0,5 × 359 ≈ 180 мм/мин
Эффективная мощность резания Ne, кВт:

,
где

- сила
резания, Н

-
скорость резания, м/мин

кВт
Эффективная мощность рассчитана правильно, если выполняется условие: 1,08
кВт £ 10 × 0,75
1,08 кВт £ 7,5 кВт
Операция 015 Горизонтально-фрезерная
Переход
01 Фрезеровать разы в размер 20H
Глубина
резания: 
9 мм
Ширина
фрезерования B = 20 мм
Подача:
Sz. =0,06 мм/зуб /10/
Скорость резания V, м/мин:
где
Cv = 690; 
m =
0,35; x = 0,3; y = 0,4; u = 0,1; p = 0 /5/
T -
стойкость фрезы, мин (Т=120 мин); /7/
B -
ширина фрезерования, мм. B = 20
мм
Kv -
коэффициент, влияющий на скорость резания
Kv = Kmv × Kuv × Klv
где Кmv - коэффициент, учитывающий влияние
физико-механических свойств обрабатываемого материала на скорость резания
где Kф - коэффициент, характеризующий
группу стали по обрабатываемости (Kф=0,8)
nv -
показатель степени (nv=1,0)
Кmv=
0,8
Кuv - коэффициент, учитывающий влияние
инструментального материала на скорость резания (Кuv=1,0)
Kv = 0,54 × 0,8 × 1,0 ≈ 0,5
Отсюда скорость резания V, м/мин:
Частота вращения шпинделя, n
об/мин:
где обозначения прежние
n
об/мин
Согласно условия обработки и паспортных данных станка принимаю:
nд=500 об/мин
Действительная скорость резания Vд, м/мин:
где обозначения прежние
Минутная подача Sm,
мм/мин:
Sm = Sz × z × nд,
где обозначения прежние
Sm =0,06·8·500=240 мм/мин
Согласно условия обработки и паспортных данных станка принимаю:
Sm = Sv =200 мм/мин, тогда действительная
подача на зуб фрезы:

мм/зуб
Сила резания, Pz Н:
где
Cp = 261; x = 0,9; y=0,8; u = 1,1; 
= 1,1; w =
0,1 /7/
где Kp - коэффициент, влияющий на силу
резания
где Kmp - коэффициент, учитывающий влияние
качества обрабатываемого материала на силу резания
Kmp = 
где n - показатель степени (n=0,3) /9/
Kmp = 
≈
1,12 Отсюда сила резания, Pz Н:
Мощность на резание Nрез, кВт:
где обозначения прежние

кВт
Проверяем достаточно ли мощность привода станка
Мощность
на шпинделе станка N_(шп,)
где обозначения прежние
Эффективная мощность резания рассчитана правильно, если выполняется
условие:
,56 кВт £ 6 Следовательно, обработка возможна.
Расчет режимов резания и мощности для остальных операций и переходов по
действующим нормативам Для удобства дальнейшего использования рассчитанных
режимов резания составляем таблицу
Таблица 1.9 - Расчет режимов резания по операциям технологического
процесса
|
Глубина резанияt,
мм
|
Подача S
мм/об SZ мм/зуб
|
Скорость резания V,
мм/мин
|
Частота вращения n,
об/мин
|
Фактическая скорость
резания Vф м/мин
|
Минутная подача Sm
мм/мин
|
Мощность на резание Nр, кВт
|
|
Операция 010 Токарная ЧПУ
Переход 01 Точить торец «чисто»
|
|
1,0
|
0,5
|
130
|
755
|
-
|
378
|
3,4
|
|
Переход 02 Точить фаску
1х450
|
|
1,0
|
0,3
|
146
|
1074
|
-
|
322
|
162,4
|
|
Переход 03 Точить Ш40,4 мм
на l=63,5-0,2 мм, выдержав R1
|
|
1,5
|
0,3
|
146
|
1074
|
-
|
378
|
2,4
|
|
Переход 04 Точить фаску
1х45о
|
|
1,0
|
0,3
|
146
|
1074
|
-
|
378
|
2,4
|
|
Переход 05 Зенкеровать
фаску 1х45о
|
|
1,0
|
0,8
|
9
|
234
|
-
|
187
|
0,9
|
|
Установ Б Переход 02 Точить
фаску 1х45о
|
|
1,0
|
0,3
|
146
|
7560
|
-
|
255
|
2,4
|
|
Переход 03 Точить Ш60 мм на
проход
|
|
1,0
|
0,3
|
146
|
750
|
-
|
255
|
2,4
|
|
Переход 04 Зенкеровать
Ш23,8 мм на проход
|
|
1,3
|
0,8
|
9
|
285
|
-
|
228
|
2,2
|
|
Переход 05 Зенковать фаску
2,5х450
|
|
2,5
|
0,8
|
9
|
234
|
-
|
187
|
0,9
|
|
Переход 06 Развернуть Ш24H9
(+0,052)
|
|
1,5
|
1,1
|
6,8
|
91
|
-
|
100
|
0,1
|
|
Операция 020
Вертикально-сверлильная Переход 01 Сверлить 3 отв. Ш1,5 мм на проход,
выдержав ∡1200, l=48 мм
|
|
0,75
|
0,1
|
19,2
|
1,67
|
35,5
|
0,8
|
|
Переход 02 Рассверлить 3
фаски 0,3х450
|
|
0,3
|
0,56
|
21,5
|
355
|
6,14
|
199
|
0,8
|
|
Операция 030
Круглошлифовальная Переход 01 Шлифовать Ш40f  ) на l=60
мм методом поперечной подачи
|
|
0,2
|
0,003
|
32
|
250
|
-
|
0,66
|
3,52
|
1.11 Определение норм времени по операциям
Техническая норма времени на обработку заготовки является основным параметром
для расчета стоимости изготовляемой детали, числа производственного
оборудования, заработной платы и планирования производства. Техническую норму
времени определяют на основе технических возможностей технологической оснастки,
режущего инструмента, станочного оборудования и правильной организации рабочего
места.
Определение норм времени для операции, выполняемой на станке с ЧПУ
Операция 010 Токарная ЧПУ
Время автоматической работы станка Та, мин:
Та = Тоа + Тва
где Тоа - основное время автоматической работы станка, мин;
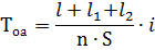
Тва - вспомогательное время работы станка по программе, мин.
где l - длина обрабатываемой поверхности в
направлении подачи, мм;
l1 -
величина врезания, мм;
l2 -
величина перебега, мм;- частота вращения детали, об/мин;
S -
подача на оборот детали, мм/об;- число проходов.

мин

мин

мин

мин

мин

мин

мин

мин

мин

мин
Тоа =0,06+0,03+0,25+0,03+0,02+0,03+0,12+0,41+0,71+0,03 = 1,69 мин
Тва = Твха + Тост
где Твха - время выполнения автоматических вспомогательных ходов (подвод
детали или инструмента от исходных точек в зоны обработки и отвод, установка
инструмента на размер), мин;
где dxx - длина холостого хода, мм;
Sxx - скорость холостого хода, м/мин;

- число
технологических участков.

мин
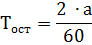
Тост - время технологических пауз (остановок, подачи вращения шпинделя
для проверки размеров, осмотра или смены инструмента), мин
где а - количество остановок
2 Время вспомогательной ручной работы Тв, мин:
где
- вспомогательное время на установку и снятие детали,
мин
где а=0,0760; х = 0,170; у = 0,15

-
вспомогательное время, связанное с выполнением операции, мин

,
где а=0,36; b= 0,00125; c=0,04; d=0,022; a=0
Xо Yо Zо - нулевые координаты;
k -
число корректоров в наладке;
lпл -
длина перфоленты, м (lпл=0,5
м)

-
вспомогательное время, перекрываемое на контрольные измерения детали, мин
где k = 0,0187; z = 0,21; u =
0,330 /11/
D -
измеряемый диаметр, мм
L -
измеряемая длина, мм
Тв = 0,25 + 0,58 + 0,16 = 0,99 мин
3 Подготовительно-заключительное время Тпз, мин:
Тпз = а + в × nu + c × Pp + d × Pnn
где а =11,3; в = 0,8; c =
0,5; d = 0,4
nu -
число режущих инструментов;
Рр - число установленных исходных режимов работы станка (Рр=2);
Рnn - число размеров, набираемых
переключателями на пульте управления (Рnn = 2 ч 3)
Т nз = 11,3 + 0,8 × 4 + 0,5 × 2 + 0,4 × 3 = 16,7 мин
После определения Тв производят его корректировку в зависимости от
серийности производства.
4 Поправочный коэффициент серийности:
где а=4,17; х =0,216;

,
где
nпр - производительная партия деталей, шт. (раздел 1.4)
5 Штучное время Тшт, мин:
где (аорг + аотл) - процент времени на организационное и техническое
обслуживание рабочего места и отдыха (аорг + аотл) = 10% /2/
Время обработки партии деталей:

+ Тnз
где
обозначения прежние
Т
= 3,44× 280 + 16,7 = 980 мин
Определение норм времени для операций, выполняемых на универсальных
станках
Операция 015 Горизонтально-фрезерная
Установ А
Переход 01
Основное время работы станка То, мин:
где L - путь, пройденный инструментом, мм:
L = l + l1 + l2
где l - длина обрабатываемой поверхности,
мм;
l1 -
величина врезания инструмента, мм;
l2 -
величина перебега инструмента, мм;- частота вращения детали, об/мин;- число
проходов.

мин
2 Вспомогательное время Тв, мин:
где

-
вспомогательное время на установку и снятие детали, мин

- вспомогательное время, связаное с переходом, мин

- вспомогательное время, связаное с контрольными
измерениями, мин

);
Установ Б
Переход 01
1 Основное время работы станка То, мин:

мин

Вспомогательное
время Тв, мин:

мин

мин
3 Оперативное время Топер, мин:
где обозначения прежние
Топер = 0,48 + 1,0 = 1,48 мин
4 Время на обслуживание рабочего места Тобс, мин:
Тобс =3,5% от Топер
5 Время на отдых и личные надобности Тотл, мин:
Тотл = 4% от Топер
6 Норма штучного времени Тшт, мин:
где К - суммарный процент времени на обслуживание рабочего места и
времени на отдых и личные надобности
7 Подготовительно-заключительное время Тпз, мин:
где

-
подготовительно-заключительное время на наладку станка, инструмента и
приспособлений, мин


-
подготовительно-заключительное время на дополнительные приёмы, мин


-
подготовительно-заключительное время на получение инструмента и приспособлений
до начала и сдачу их после окончания обработки, мин

= 7 мин
8 Штучно-калькуляционное время Тшк, мин:
Операция 020 Вертикально-сверлильная
Переход 01
Основное время работы станка То, мин:

мин
2 Вспомогательное время Тв, мин:
Переход 02
1 Основное время работы станка То, мин:

мин
2 Вспомогательное время Тв, мин:


мин

мин
3 Оперативное время Топер, мин:
Топер = 0,93 + 0,79= 1,72 мин
4 Время на обслуживание рабочего места Тобс, мин:
Тобс =4% от Топер
5 Время на отдых и личные надобности Тотл, мин:
Тотл = 4% от Топер
6 Норма штучного времени Тшт, мин:
7 Подготовительно-заключительное время Тпз, мин:

8 Штучно-калькуляционное время Тшк, мин:
Операция 030 Круглошлифовальная
Переход 01
Основное время работы станка То, мин:

где
- длина
хода стола, мм/дв. ход

-
припуск на обработку на сторону, мм

-
минутная продольная подача, мм/мин

-
поперечная подача, мм/об

мин
2 Вспомогательное время Тв, мин:

3 Оперативное время Топер, мин:
Топер = 0,3+ 0,81= 1,11 мин
4 Время на обслуживание рабочего места Тобс, мин:
Тобс =9% от Топер
5 Время на отдых и личные надобности Тотл, мин:
Тотл = 4% от Топер
6 Штучное времени Тшт, мин:
7 Подготовительно - заключительное время Тпз, мин:

8 Штучно-калькуляционное время Тшк, мин:
Для удобства дальнейших расчетов все полученные данные свожу в таблицу
Таблица 1.10 - Нормы времени по всем операциям технологического процесса
|
Наименование операции
|
То
|
Тв
|
Топер
|
Тшт
|
Тпз
|
Тшк
|
|
Операция 010 Токарная ЧПУ
|
2,18
|
0,99
|
3,17
|
3,44
|
16,7
|
3,5
|
|
Операция 015 Горизонтально
- фрезерная
|
0,48
|
1,0
|
1,48
|
1,59
|
31
|
1,7
|
|
Операция 020 Вертикально -
сверлильная
|
0,93
|
0,79
|
1,72
|
1,86
|
20
|
1,93
|
|
Операция 030
Круглошлифовальная
|
0,3
|
0,81
|
1,11
|
1,25
|
20
|
1,32
|
|
 8,45
|
Расчет и кодирование программ на заданные операции
Основываясь на все выше произведенные расчеты, произвожу расчет и
кодирование управляющей программы для операции 010Токарная с ЧПУ.
Чтобы удобнее было рассчитать координаты опорных точек и режимов резания
построю траекторию движения инструментов по переходам.
Таблица 1.11 - Траектория движения инструмента
|
№ точки
|
X
|
Z
|
S
|
F
|
G
|
L
|
W
|
A
|
P
|
T
|
M|
|
|
00
|
|
|
33000
|
0,1
|
|
|
|
|
|
1
|
|
|
01
|
70
|
0
|
|
|
|
|
|
|
|
|
08
|
|
02
|
-1
|
|
|
0,1
|
|
|
|
|
|
|
|
|
03
|
|
2
|
|
1
|
|
|
|
|
|
|
|
|
04
|
38
|
0
|
|
|
|
|
|
|
|
|
|
|
05
|
|
|
|
0,1
|
|
|
|
|
|
|
|
|
06
|
40
|
|
|
|
|
|
|
|
|
|
|
|
07
|
|
-64,5
|
|
|
|
|
|
|
|
|
|
|
08
|
58
|
|
|
|
|
|
|
|
|
|
|
|
09
|
60
|
|
|
|
|
|
|
|
|
|
09
|
|
10
|
65
|
|
|
1
|
01
|
0,1
|
227
|
0
|
0,2
|
|
|
|
11
|
|
10
|
|
|
|
|
|
|
|
|
|
|
12
|
|
|
2150
|
0,05
|
|
|
|
|
|
2
|
|
|
13
|
0
|
0
|
|
|
|
|
|
|
|
|
08
|
|
14
|
26
|
|
|
|
|
|
|
|
|
|
|
|
15
|
24
|
-1
|
|
|
|
|
|
|
|
|
08
|
|
16
|
|
-80
|
|
0,05
|
|
|
|
|
|
|
|
|
17
|
22
|
|
|
1
|
|
|
|
|
|
|
|
|
18
|
|
2
|
|
|
|
|
|
|
|
|
09
|
|
19
|
|
|
|
|
|
|
|
|
|
|
02
|
|
20
|
|
|
3300
|
0,1
|
|
|
|
|
|
1
|
|
|
21
|
70
|
0
|
|
|
|
|
|
|
|
|
08
|
|
22
|
-1
|
|
|
1
|
|
|
|
|
|
|
|
|
23
|
|
2
|
|
|
|
|
|
|
|
|
|
|
24
|
58
|
0
|
|
|
|
|
|
|
|
|
|
|
25
|
60
|
|
|
|
|
|
|
|
|
|
|
|
26
|
|
-16
|
|
|
|
|
|
|
|
|
|
|
27
|
70
|
|
|
1
|
01
|
0,1
|
227
|
0
|
0,2
|
|
09
|
|
28
|
|
10
|
|
|
|
|
|
|
|
|
|
|
29
|
|
|
2250
|
0,05
|
|
|
30
|
26
|
0
|
|
|
|
|
|
|
|
|
|
|
31
|
|
|
|
0,1
|
|
|
|
|
|
|
|
|
32
|
24
|
-1
|
|
|
|
|
|
|
|
|
|
|
33
|
22
|
|
|
1
|
|
|
|
|
|
|
|
|
34
|
|
10
|
|
|
|
|
|
|
|
|
|
|
35
|
|
|
|
|
|
|
|
|
|
|
02
|
По составленным табличным данным произвожу кодирование программы:
Установ А
Т1S3300F0,1
X70ZOE M08
F0,1
X-1
Z2F1
X38Z0
F0,1
X40С1
Z -
64,5
X58
X60С1M09F1E
Т2S2150F0,05ZOEM08Z-1F0,05F1EM09
Установ Б
Т1S3300F0,1
X70ZOE M08
X-1F1
Z2
X58Z0
X60С1
Z-16
X70 F1M09
Z10E
Т2S2250F0,05ZOE,1Z-1F1E02
Контроль программы
При подготовке программы, как правило, возникают ошибки, которые
исправляются в процессе отладки и внедрения программы.
Ошибки возникают при задании исходных данных в процессе расчета и записи
УП на программоноситель. Соответственно различают ошибки геометрические,
технологические и ошибки перфорации или записи на магнитную ленту.
Геометрические ошибки появляются при неправильном задании размеров
детали, заготовки и т.д. Для выявления геометрических ошибок применяются
различного типа графические устройства, например, координатные и графические
дисплеи. Технологические ошибки связаны с непрерывным выбором режущего
инструмента, режимов резания, последовательности обработки детали на станке.
Ошибки записи программы на программоноситель появляются вследствии неправильных
действий технологов при набивке информации или в результате сбоев в работе
устройства подготовки данных. Эти ошибки появляются в процессе контроля
управляющей программы координатографе или на станках с ЧПУ.
2. Конструкторская часть
.1 Описание конструкции и расчет станочного приспособления
Назначение устройства и принцип работы проектируемого приспособления
Делительная головка с цанговым зажимом предназначена для обработки пазов
на фрезерной операции деталей типа «Ось».
Принцип действия приспособления заключается в следующем: Сжатый воздух из
сети через штуцер(19) подается в пневмоцилиндр(20), образованный в корпусе
приспособления и действует на поршень(22). Развиваемая в результате этого сила
передается через упорный шарикоподшипник(37) на три штыря(25), которые
поднимают стакан(4), помещенный в направляющей стальной гильзе(7).
Поднимаясь, стакан конусным отверстием сжимает конус цанги(5).
Обрабатываемая деталь при этом закрепляется.
При отключении подачи воздуха пальцы(9) под действием пружины (8)
возвращают стакан в исходное положение.
Для перехода на следующую позицию цангу вместе с обрабатываемой деталью
поворачивают рукояткой(29). Для движения по часовой стрелке эксцентриковый
диск(27) выталкивает фиксатор(14) из паза делительного диска(28), а собачка(30)
под действием пружины(31) попадает в очередной его паз.
При обратном движении рукоятки(29) собачка(30) поворачивает делительный
диск(28) с диском(3) и укрепленной на нем цангой(5) с обрабатываемой деталью до
тех пор, пока фиксатор(14) не попадет в следующий паз делительного диска и тем
самым не зафиксирует поворот детали на 900.
Колпачок(6) предохраняет прорези цанги от попадания стружки при
фрезеровании.
Расчет и точность
Погрешностью базирования называется отклонение фактически достигнутого
положения, определяется как предельное поля рассеивания расстояние между
технологической и измерительной базами в направлении выдерживаемого размера.
Суммарная погрешность при выполнении любой операции механической
обработки состоит из:
1 погрешность установки заготовки;
погрешность настройки станка
погрешность обработки, возникающей в процессе изготовления детали.
Значение погрешности базирования определяют следующими расчетами:


где

-
погрешность установки заготовки;

-
погрешность настройки станка;

-
погрешность обработки, возникающей в процессе изготовления детали;
д
- допуск на размер.
Погрешностью
установки 
- одна
из составляющих суммарной погрешности выполняемого размера детали. Она
возникает при установке обрабатываемой заготовки в приспособлении и
складывается из погрешности базирования, погрешности закрепления и погрешности
положения заготовки, зависящий от точности приспособления и определяемой
ошибками изготовления и сборки его установленных элементов и их износа при
работе.

Погрешностью
настройки станка 
возникает
при установке режущего инструмента на размер, а также вследствие неточности
копиров и упоров для автоматического получения размера на детали.
Погрешность
обработки 
,
возникающая в процессе изготовления детали на станке объясняется:
1 Геометрической неточностью станка;
Деформацией технологической системы под действием сил резания;
Неточность изготовления и износа режущего инструмента и приспособления.
Температурными деформациями технологической системы.
Еу = 0,02+0+0,03=0,05 мм
,05+0,03+0,03 ≤ 0,13 мм
0,11 мм ≤ 0,13 мм
Определение усилия зажима
Для
определения усилия зажима 
необходимо
рассчитать силу резания 
на
операцию, для которой спроектировано приспособление.
Сила
резания на данную операцию рассчитана в пункте 1.10, то все данные для расчета
беру оттуда.
Для
обеспечения надежности зажима заготовки необходимо определить коэффициент
запаса по формуле:
где

-
гарантированный коэффициент запаса


-
коэффициент, учитывающий увеличение сил резания из-за случайных неровностей на
обрабатываемых поверхностях


-
коэффициент, характеризующий увеличение сил резания, в следствии затупления
режущего инструмента


-
коэффициент, учитывающий увеличение сил резания при прерывистом резании


-
коэффициент, характеризующий сил закрепления в зажимном механизме


-
коэффициент, характеризующий экономику ручных зажимных механизмов


-
коэффициент, учитывающий наличие моментов, стремящихся провернуть заготовку,
установленную плоской поверхностью

Так
как 
то
принимаем 
Необходимая
сила зажима определяется по формуле:
Площадь поршня пневмоцилиндра определяется по формуле:
где

-
давление в сети 
=0,38МПа
Диаметр пневмоцилиндра определяется по формуле:

,

=126 мм
Принимаю
стандартный диаметр пневмоцилиндра
Определяю действительную силу зажима цилиндра

Н
Определяю время срабатывания цилиндра
где

- ход
штока

-
скорость хода штока, м/с
Расчет экономической целесообразности приспособления
Расчет экономической целесообразности применения проектируемого
приспособления основывается на сопоставлении затрат и экономической
целесообразности.
где

- годовая
экономия без учета годовых затрат на приспособление, руб.
Р
- годовые затраты на приспособления
Годовая
экономия определяется по формуле
де
- штучное
время при обработке детали без приспособления 
=1,52 мин

-
штучное время на операцию после внедрения приспособления

= 0,45
мин

-
часовая ставка по эксплуатации рабочего места для типа производства

= 25
руб./час
N - годовая
программа выпуска
N=18000 шт.

= 3373
руб.
Годовые затраты определяются по формуле:
где 
-
стоимость приспособления
А
- коэффициент амортизации
А=0,56
В-коэффициент,
учитывающий ремонт и хранение приспособлений
В=0,11
Р = 4500 × (0,56+0,11)=3015 руб.
Согласно
производственным расчетам и условию целесообразности 
, в моем
случае это условие выполняется.
Из этого делаю вывод, что применение спроектированного приспособления
экономически целесообразно.
2.2 Описание конструкции и расчет специального режущего
инструмента
При конструировании режущего инструмента необходимо выполнить некоторые
условия:
- найти наивыгоднеишие углы заточек;
определить силы, действующие на режущие части;
подобрать наиболее подходящий материал для режущей части и соединительной
части инструмента;
установить допустимые отклонения на размеры рабочей и соединительной
частей инструмента в зависимости от условий работы и требуемой точности и
качества обрабатываемой поверхности;
произвести необходимые расчеты элементов режущего инструмента и при
необходимости произвести расчеты на прочность и жесткость;
разработать рабочий чертеж инструмента с необходимыми техническими
требованиями на эксплуатацию и его изготовление;
произвести расчет экономических расходов инструментальных материалов.
На основании выше изложенных условий произвожу расчет дисковой
трехсторонней фрезы для фрезерования пазов в размер 20h11 на операции 015
Фрезерная
Исходные данные для расчета:
материал заготовки 30ХГСА;
припуск на обработку t=9 мм
тип и модель станка Горизонтально-фрезерный 6Р81Ш -
горизонтально-фрезерный широкоуниверсальный.
-
мощность электродвигателя 
приспособление:
специальное наладочное приспособление для фрезерования детали со встроенным
пневматическим цилиндром.
Предварительно
задаемся:
ширина
фрезы: В=20 мм
диаметр
фрезы D=125 мм
- число зубьев z = 8
Рассчитываем отверстия под оправки:
где Мсум - суммарный момент действующий на оправки
R -
равнодействующая сила

-
расстояние между опорами фрезерной оправки
Получаем диаметр отверстия фрезы
Принимаем ближайшее значение диаметра фрезы d=40 мм
Определяет шаг зубьев фрезы
2.3 Описание конструкции и расчет контрольно - измерительной
оснастки
Повышение качества продукции во многом зависит от правильной организации
технического контроля и применение прогрессивных методов контроля.
Рост объема выпуска однородной продукции требует обеспечение однородности
основных параметров в каждом изделии и сохранения необходимого уровня качества
выпускаемой продукции в процессе производства. Для проверки размера 40f7 после шлифования проектирую
калибр-скобу
TD=25
мкм
EI=50
мкм
ES=25 мкм
Определение номинальных размеров отклонений и исполнительных размеров
рабочих калибров-пробок для проверки размера определяются по формулам:
Исполнительный размер калибра-скобы
Р-ПР=39,969+0,004 мм
Исполнительный размер калибра-скобы
Р-НЕ=39,948+0,004 мм
На основании полученных размеров строю поля допусков калибра-скобы,
которые представлены в графической части дипломного проекта.
3. Организация работы участка и
производственные расчеты
Планирование участка рабочих мест на участке
механического цеха зависит от величины завода, характера производства,
особенностей и объема производственного задания, габаритных размеров и массы
обрабатываемых заготовок.
Состав производственных участков определяется
изготавливаемых изделий, видом технологического процесса, объемом производства.
Производственный участок служит для размещения на нем оборудования, служащего
для выполнения технологических процессов обработки.
3.1 Определение годового приведенного
объема выпуска деталей и уточнение номенклатуры обрабатываемых деталей на
участке
Годовой объем выпуска деталей, т.е. условное
количество типовых деталей, трудоемкость обработки которых равна трудоемкости
всех деталей, закрепленных за участком, определяется по формуле:
Nпр = 
, шт.
где Fd -
действительный годовой фонд времени работы оборудования, час
Fd
где ч.д.г. - число выходных дней в году - 365;
в.д. - число выходных дней в году - 104;
п.д. - число праздничных дней - 9;
п.п.д. - число предпраздничных дней - 8;

-
продолжительность смены - 8 часов;
С
- количество смен - 2;

-
коэффициент, учитывающий время прибытия станка в ремонте.
|
Категория станка
|
Крупные станки
|
Средние станки
|
Мелкие станки
|
Автоматические станки
|
|
nр
|
0,9…0,94
|
0,95…0,97
|
0,96…0,98
|
0,88…0,9
|
Fd

-
коэффициент загрузки оборудования принимаемый равным
от
0,8 до 0,85
Тштт
min - норма времени на ведущей операции
детали-представителя, мин
Тштт
min = 1,25 мин
В качестве ведущей операции принимается операция с
наименьшей нормой времени.
а - коэффициент допустимых потерь на переналадку
оборудования:
а = 0,03 - 0,05 для крупносерийного производства
а = 0,06 - 0,08 для среднесерийного производства
а = 0,09 - 0,1 для мелкосерийного производства
а = 0,13 - 0,16 для массового производства
Принимаю а = 0,05
Fd
Для организации участка принимаю:
Nnp =151680 шт.
Годовой объем выпуска определяется по формуле:
Nгод = 
,
где
n30 - интервал коэффициентов закрепления операции, для
рассчитанного типа производства.
В моем случае интервал составляет от 1 до 10 для
крупносерийного типа производства.
Nгод
Принимаю
Nгод = 10000 шт. согласно заданию
Для уточнения номенклатуры деталей, обрабатываемых на
участке, определяем число наименований деталей по формуле:
(3.4)

наим
Принимаю mд = 15 наименований.
3.2 Определение размера партии
деталей
Определяю количество деталей в партии. Минимальный размер
партии определяется по формуле:
nп = 
nп = 
Принимаю nп = 350 шт.
Расчетная величина партии корректируется таким
образом, чтобы она была не менее 0,5 сменного (суточного) выпуска и кратна
годовому выпуску:

Nсм =

где Топ см - оперативное время за смену, принимается
равным 200 мин
Топ - оперативное время на ведущей операции
определяется по формуле:
Топ = Тo+Тв,
Топ = 0,3+0,81 = 1,11 мин

Nсм =

Принимаю
nп = 350, так как 
Nсм =
90 < nп = 350 и 
3.3 Определение норм
штучно-калькуляционного времени по всем операциям технологического процесса
Определяю норму штучно-калькуляционного времени по
формуле:
Тш.к.
= 
Таблица 3.1 - Определение нормы
штучно-калькуляционного времени
|
№ операции
|
Тшт, мин
|
Тпз, мин
|
пп, шт.
|
Тшк, мин
|
|
010 Токарная с ЧПУ
|
3,44
|
16,7
|
350
|
3,49
|
|
015 Фрезерная
|
1,59
|
31
|
|
1,68
|
|
020 Сверлильная
|
1,86
|
20
|
|
1,92
|
|
030 Шлифовальная
|
1,25
|
20
|
|
1,3
|
|
|
|
|
∑ТШК = 8,39
|
Трудоемкость детали-представителя:
Тд
= 
Тд
= 
Годовая трудоемкость детали производителя:
Тгод
=
Тгод
3.4 Определение потребного количества оборудования
Расчетное количество станков определяю по формуле:
Sрасч = 
Расчетное количество станков (дробное) округляется в
большую сторону, таким образом, получают принятое количество станков - Sпр
Коэффициент загрузки оборудования данного типа
определяется по формуле:
Кз
= 
Средний коэффициент загрузки оборудования определяю по
формуле:
Кз
= 
Таблица 3.2 - Потребное количества оборудования
|
№ операции
|
Тшк1
|
Тшк2 (дозагрузка 2-ой
деталью)
|
Тшк3 (дозагрузка 3-ей
деталью)
|
Тшк общ
|
Nпр., шт.
|
Fл, час
|
Sрасч, шт.
|
Sпр, шт.
|
К3
|
|
010
|
3,49
|
2,65
|
2,12
|
8,26
|
151680
|
3896
|
5,37
|
6
|
0,9
|
|
015
|
1,68
|
1,15
|
1,08
|
3,91
|
|
|
2,6
|
3
|
0,87
|
|
020
|
1,92
|
1,24
|
1,18
|
4,34
|
|
|
2,62
|
3
|
0,87
|
|
030
|
1,3
|
1,24
|
0,95
|
3,49
|
3
|
0,79
|
|
К3 ср.=0,86
|
3.5 Определение коэффициента
многостаночности, численности производственных рабочих, их средней квалификации
и производительности труда
Определение коэффициента многостаночности
Многостаночное обслуживание обеспечивает рост
производительности труда и уменьшения потребности в рабочей силе.
Тзан = Твсп+Та.н.+Тпер, (мин)
где Твсп - вспомогательное время операции, мин
Та.н. - время активного наблюдения (0,1-0,3 мин)
Тпер - время перехода от станка к станку (0,2-0,4 мин)
|
№ операции
|
Твсп
|
Та.н
|
Тпер
|
Тзан
|
|
010
|
0,99
|
0,3
|
0,4
|
1,69
|
|
015
|
1,0
|
0,3
|
0,4
|
1,7
|
|
020
|
0,78
|
0,3
|
0,4
|
1,48
|
|
030
|
0,81
|
0,3
|
0,4
|
1,51
|
Норма многостаночности обслуживания или количество
станков-дублеров, на которых может работать один рабочий многостаночник,
определяется по формуле:
Sм = 
где Тм.а. - машинно-автоматическое время операции
Sм - Определяется в меньшую сторону и принимается в
соответствии с наличием станков на данной операции.
Рассчитываю коэффициент многостаночности для операций,
выполняемых на станках с ЧПУ.
Таблица 3.4 - Коэффициент многостаночности
|
№ операции
|
|
Тм.а
|
Sм
|
|
010
|
1,69
|
2,18
|
2
|
|
015
|
1,7
|
0,48
|
1
|
|
020
|
1,78
|
0,93
|
1
|
|
030
|
1,51
|
0,3
|
1
|
Определение численности производственных рабочих, их
среднего квалификации и уровня производительности труда
Численность производственных рабочих рассчитывается по
каждой профессии и разряду, исходя из трудоемкости работ по формуле:
Rn = 
, (чел.)
где Fдр -
эффективный годовой фонд рабочего времени Fдр =1767 час
Fдр
, час
где

-
коэффициент, учитывающий использование номинального фонда времени из-за неявки
на работу.
где 
- потери
номинального фонда времени из-за невыхода на работу.

= 9…12%
Fдр
час
Таблица 3.5 - Численности производственных рабочих
|
№ опер.
|
Тшк
|
Nпр
|
Fдр
|
Sм
|
Sрасч
|
Sпр
|
|
010
|
8,26
|
151760
|
1767
|
2
|
5,9
|
6
|
|
015
|
3,81
|
|
|
1
|
5,45
|
6
|
|
020
|
4,34
|
|
|
1
|
6,01
|
6
|
|
030
|
3,49
|
|
|
1
|
5,29
|
6
|
Таблица 3.6 - Количество оборудования и численности производственных
рабочих
|
№ оп.
|
Sпр шт
|
Профессия рабочего
|
Раз ряд
|
Т мин
|
Nпр шт
|
Fдр,
час
|
Rn чел
|
|
010
|
6
|
Оператор
|
2
|
8,26
|
151760
|
1767
|
6
|
|
015
|
3
|
Фрезерщик
|
3
|
3,81
|
|
|
6
|
|
020
|
3
|
Сверловщик
|
3
|
4,34
|
|
|
6
|
|
030
|
3
|
Шлифовщик
|
4
|
3,49
|
|
|
6
|
|
Sпр = 15
|
Итого
|
|
|
|
|
Rn=24
|
Средний разряд производственных рабочих:
iср= 
где
i - разряд рабочего.
iср= 
Принимаю iср = 3 разряд
Производительность труда производственных рабочих
определяется по формуле:
Птр
= 
,
В связи с дозагрузкой типовыми деталями производим перерасчет
трудоемкости детали:
Тд
= 
Тд
= 
Тгод
Птр
= 
Выработка одного рабочего 1769 н-час в год при FДР = 1767 н-час является нормальной,
т.к. практически равна нормативу.
3.6 Расчет численности наладчиков и
их квалификации
Расчет наладчиков ведется по каждому типу станков
производится по формуле:
Rn = 
где Snp -
число станков данного типа на участке, требующем отладки
С - число смен
Нобс - норма обслуживания одного наладчика в смену
К - коэффициент, учитывающий расходы на невыходы рабочего
по уважительным причинам (принимать К = 0,9)
Таблица 3.7 - Расчет численности наладчиков
|
№ опера рации
|
Наименование станка
|
Количество станков Snp, шт
|
Количество смен, С
|
Норма обслуживания Нобс
|
Число наладчиков RH, чел.
|
РРазряд i
|
|
010
|
Токарно-винторезный с ЧПУ
16К20Ф3 16К20ФЗ
|
6
|
2
|
6
|
1
|
6
|
|
015
|
Горизонтально-фрезерный
6Р81Ш
|
3
|
|
-
|
-
|
-
|
|
020
|
Вертикально-сверлильная
2Н125
|
3
|
|
-
|
-
|
-
|
|
030
|
Круглошлифовальная 3М151
|
3
|
|
-
|
-
|
-
|
|
Итого:
|
∑Sпр = 15
|
|
∑Rн=1
|
|
3.7 Расчет площадей и планировки
участка
Производственная площадь участка определяется по
формуле:
Fyч =ѓ 
Snp,
м2
где ѓ - норма площади, приходящейся на один станок.
ѓ = 15 - 25 м2
Fпр = 
Вспомогательная площадь участка определяется по
формуле:
Fвсп = (0,3/0,4)

Fyч
Fвсп = 0,4 
345 =
138 м2
Общая площадь проектируемого участка определяется по
формуле:
Fобщ = Fуч + Fвсп,
м2
Fобщ = 345 + 138 = 485 м2
Таблица 3.8 - Ведомость оборудование участка
|
№ опер.
|
Тип станка
|
Модель
|
Кол-во
|
Коэфф.
|
Мощность, кВт
|
Оптовая цена, руб.
|
Стоимость оборудования
|
|
|
|
|
|
Одного станка
|
Всех станков
|
Одного станка
|
Всех станков
|
|
|
010
|
Токарно-винторезный с ЧПУ
|
16К20Ф
|
6
|
0,9
|
10
|
60
|
800000
|
4800000
|
4740000
|
|
015
|
Горизонтально-фрезерный
|
6Р81Ш
|
3
|
0,87
|
5,5
|
16,5
|
470000
|
1410000
|
9700000
|
|
020
|
Вертикально-сверлильный
|
2Н125
|
3
|
0,87
|
2,2
|
6,6
|
235000
|
7050000
|
243000
|
|
030
|
Кругло-шлифовальный
|
3М151
|
3
|
0,79
|
10
|
30
|
560000
|
1680000
|
2310000
|
|
Итого
|
|
|
|
|
113,2
|
|
58140000
|
16993000
|
Планировка проектируемого участка
Высоту цеха принимаем 5 метров по нормативам. При планировке участка
необходимо стремиться получить, возможно короткую технологическую линию, чтобы
деталь «Ось» совершала кратчайший путь а процессе изготовления.
Участок расположен в одноэтажном здании с шириной пролета 18 метров и
шагом колонн 12 метров. Станки располагаются в порядке хода технологического
процесса. Наиболее предпочтительно располагать технологическое оборудование
вдоль пролета цеха.
В начале пролета расположен склад заготовок, в конце хода
технологического процесса расположен склад готовых изделий. Площадь складов
заготовок и готовых изделий принимается в процентах 10-15% от производственной
площади участка. Принимаю площадь каждого склада равную:
Fскл = 10% 
Fуч
Fскл = 0,1
м2
На планировке участка предусмотрен продольный проход между рядами
станков, рабочее место мастера и контролера площадью 4-6 м2 каждый.
Для уборки стружки предусмотрен закрытый транспортер, имеющий люки для
сбора стружки.
Инструментально-раздаточная кладовая, заточное отделение, умывальники,
раздевалка расположены на территории цеха, в который входит участок.
3.8 Организация рабочих мест и их
обслуживание
Создание благоприятных условий труда
В организацию рабочего места необходимо включить
достаточно труда и умения.
Рабочее место должно отвечать рациональному выполнению
производственного плана, экономии затрат рабочего времени и повышению
работоспособности рабочего.
Как правило, снабжение материала осуществляется
согласно сменному заданию вспомогательными рабочими из цехового склада.
Передача изделий от станка к станку осуществляется небольшими порциями (или
поштучно) непосредственно производственными рабочими с помощью ручных тележек; кран-балок
и других средств.
.9 Организация обслуживания
инструментов станков с ЧПУ
Обеспечение рабочих мест инструментом может
осуществляться путем предварительной комплектации инструмента в ИРК, подноски
его к рабочим местам и передачи наладчику с принудительной сменой инструмента,
централизованной заточкой. В известных случаях инструмент получают в ИРК сами
рабочие по марочной системе. Затупившийся инструмент обеспечивают в ИРК.
При обслуживании станков с ЧПУ может осуществляться
настройка инструмента вне станка на участках предварительной настройки. В этом
случае в ИРК комплектуется инструмент согласно специальному заданию и вместе
передается на участок предварительной настройки, где слесарь производит
доукомплектовку инструмента к станку, возвращает обработанный инструмент.
3.10
Организация разработки управляющих программ
Успешная
эксплуатация станков с ЧПУ требует создания на предприятиях специальной
технологической службы-отдела программного управления, который имеет в своем
составе технологическое бюро, бюро записи, бюро расчетное и контроля программ.
Задачи, решение которых возложены на отдел, подразделяются на три группы:
Технико-экономические
задачи, связанные с перспективой внедрения станков;
Подготовка
программ для станков с ЧПУ;
Обслуживание станков;
Подготовка
программ для станков с ЧПУ включает:
разработку
технологического процесса обработки детали;
- составление программ разработки и записи их на перфоленту и магнитную
ленту;
контроль программ и устранение обнаруженных ошибок;
перезапись программ по мере их изнашивания;
учет и хранение программ;
отладку и внедрение программ.
3.11 Организация технического обслуживания и ремонта станков
с ЧПУ
На современном увеличивается выпуск сложного оборудования, такого как
станки, с числовым программным управлением, которое требует высокого уровня
эксплуатации и технического обслуживания.
В процессе эксплуатации оборудование изнашивается и теряет точность, т.е.
подвергается физическому износу. Особое значение в профилактике сложного
оборудования имеет систематическое межремонтное обслуживание станков. В
производственных объединениях в структуре предусмотрены два отдела: отдел
главного механика и отдел главного энергетика, которые осуществляют ремонт и
надзор за оборудованием. В производственных цехах такие функции выполняют
службы цехового механика и энергетика. Задачей ремонтной службы является
современное и качественное осуществление ремонта и надзор за оборудование для
удлинения сроков его службы. К ним относятся: удлинение периода работы
оборудования без ремонта, организация и механизация работ. Система
планово-предусмотрительного ремонта представляет собой комплекс технических и
организационных мероприятий по уходу, обслуживанию и ремонту оборудования,
осуществляемых в плановом порядке и носящих предусмотрительный характер.
3.12 Система мер по обеспечению качества продукции
Для обеспечения высокого качества продукции при ее изготовлении
необходимо воздействовать на факторы, влияющие на качество. К их числу
относятся следующие:
- качество технической документации;
качество поступающих заготовок или материалов;
точность технологического оборудования;
качество режущего, измерительного инструмента и другой технологической
оснастки;
своевременный контроль качества изделий в процессе производства;
ритмичность работы;
соблюдение трудовой и технологической дисциплины;
- стимулирование бездефектной сдачи и повышение качества продукции.
4.
Технико-экономические расчеты
.1 Определение годового расхода и
стоимости основных материалов по участку
деталь станок технологический маршрутный
Определение затрат на основные материалы производятся
по следующим исходным данным:
- марка материала;
виду исходной заготовки;
массе заготовки;
массе реализуемых отходов.
Стоимость материала и отходов принимается по
прейскурантным ценам или заводским данным.
Годовой расход основных материалов определяется на
основе нормы расхода материала на деталь величина, которой определяется по
формуле:
Qгод = 
Мгод
=
Годовая масса отходов (стружки) определяется по
формуле:
Qгод = 
Qгод = 
Стоимость основных материалов определяется с учетом
расхода материалов за вычетом реализуемых отходов по формуле:
М
= Qгод 
Цм 
Кт - Qотх 
Цотх
где Цм - цена 1 т материала, руб.
Kт - коэффициент, учитывающий транспортно-заготовительные
расходы
(Kт=1,05
- 1,1)
Цотх - заготовительная цена 1 т отходов, руб.
М
= 110,7 
16000
1,1-27,3 
2500=1878310
руб
4.2 Расчет годового фонда заработной производственных рабочих
и величина их среднемесячного заработка
Фонд зарплаты производственных рабочих состоит из
основной Ф0 и дополнительной заработной платы Фд и определяется по формуле:
Фгод= Ф0 + Фд
где Ф0 - основная заработная плата, руб.
Фд - дополнительная заработная плата, руб.
Фгод = 1801958 + 198215 = 2000173
руб.
Годовой фонд основной заработной платы (сдельщиков)
определяется по формуле:
Ф0
= 
где 
сд -
сдельная расценка на операцию, руб.

сд
- коэффициент, учитывающий приработок (премию,
некоторые виды доплат за совмещение профессий)

= 1,2 /
1,4
Сдельная
расценка определяется по формуле:
Rсд =
где Сч - часовая тарифная ставка соответствующего
разряда
Кмн - коэффициент, учитывающий многостаночное
обслуживание, который определяется в зависимости от нормы обслуживания станков
рабочим-многостаночником и определяется по табл. 4.1
Таблица 4.1 - Определение коэффициента многостаночного
обслуживания
|
Кол-во станков
|
1
|
2
|
3
|
4
|
5
|
6
|
|
Кмн
|
1
|
0,65
|
0,48
|
0,39
|
0,35
|
0,32
|
№ операции
|
Тшк, мин
|
Разряд
|
Ставка за час, руб.
|
Sм
|
Кмн
|
Сдельная расценка, руб.
|
|
010
|
8,26
|
2
|
53,9
|
2
|
0,69
|
4,8
|
|
015
|
3,91
|
3
|
57,58
|
1
|
0,48
|
1,8
|
|
020
|
4,34
|
3
|
57,58
|
1
|
0,48
|
1,9
|
|
035
|
3,49
|
4
|
61,69
|
1
|
0,39
|
1,4
|
|
Итого:
|
|
SRсд
= 9,9
|
Ф0
= 9,9  1,2  151680 =
1801958 руб
Годовой фонд дополнительной зарплаты определяется в
размере 10-11% от основного фонда:
Фд
= (0,10-0,11) Ф0, руб
Фд=
0,11  1801958
= 198215 руб.
Среднемесячная зарплата производственных рабочих определяется
по формуле:
Зср
= 
Зср
= 
4.3 Определение себестоимости и НЧП детали представителя
Определение себестоимости детали представителя
При калькуляции себестоимости различают цеховую,
производственную и полную себестоимость.
Цеховая себестоимость детали - представителя состоит
из следующих статей:
- стоимости основных материалов, Мд
зарплаты производственных рабочих, Зпр
расходов по содержанию и эксплуатации оборудования,
Рсэо
цеховых накладных расходов, Нц
Сц = Мд + Зпр + Rсэо + Нц, руб
Сц = 123,9 + 20,6 + 20,6 + 13,8 =
178,9 руб
Стоимость основных материалов (за вычетом отходов) на
одно изделие определяется по формуле:
Мд
= mзаг  Цм  Ктр - (mзаг
- mд)  Цотх,
руб.
где Цм - цена 1 кг материала
Ктр - коэффициент, учитывающий
транспортно-заготовительные расходы
Ктр= 1,05-1,1
Цотх - цена 1 кг отходов (стружки)
Мд
= 0,730  160  1,1 -
(0,730 - 0,550)  25 =
123,9 руб.
Зарплата производственных рабочих на одну деталь
определяется по формуле:
где 30 - основная зарплата производственных рабочих
на одну деталь
30
= 
=
9,9  1,4 =
13,8 руб
Зд - дополнительная зарплата производственных рабочих
на одну деталь, определяющаяся в размере 10 * 12% от основной зарплаты:
Зд
= 0,12 13,9 =
1,6 руб.
Ос - отчисления в социальное страхование, определяется
в размере 34% от суммы основных и дополнительных зарплат на деталь:
Ос = 0,34 - (Зо + Зд), руб
Ос
= 0,34  (13,8 +
1,6) = 5,2 руб
Зпр = 13,8 + 1,6 + 5,2 = 20,6 руб.
Расходы по содержанию и эксплуатации оборудования
определяются в 150% от основной зарплате производственных рабочих
Rсэо =  , руб.
Rсэо = 
Цеховые накладные расходы определяются также в
процентном отношении к основной зарплате в размере 100%.
Нц
= , руб.
Производственная заводская себестоимость определяется
по формуле:
Сз = Сц + Н3, руб
где Н3 - общезаводские накладные расходы,
приходящиеся на 1 деталь, которые определяются в процентном отношении к
основной зарплате в = 80%
Нц
= , руб.
Сз = 178,9 + 11 = 189,9 руб
Полная себестоимость определяется по формуле:
Сп = Сз + Впр, руб
где Впр - внепроизводственные расходы, приходящиеся
на одну деталь, которые определяются в процентном отношении к заводской
себестоимости в размере у = 5 -15%
Впр
=
Впр=
 руб
Сп = 189,9 + 28,48 = 218,38 руб.
Оптовая цена, которая принимается для расчетов с
потребителями продукции, определяется:
Ц0 = Сп + Пн, руб
где Пн - прибыль, приходящаяся на одну деталь,
рассчитанная по нормативу рентабельности, которая составляет Rн = 40 + 60%
Пн
=
Пн
=
Цо = 218,38 + 56,38 = 74,76 руб.
Калькуляция цеховой себестоимости детали оформляется в
табл. 4.3
Таблица 4.3 - Калькуляция себестоимости изделия
|
№
|
Наименование статей
|
Сумма, руб.
|
|
1
|
Основные материалы
|
Мд
|
123,9
|
|
2
|
Основная зарплата рабочих
|
Зо
|
13,8
|
|
3
|
Дополнительная зарплата
рабочих
|
Зд
|
1,6
|
|
4
|
Отчисления в соцстрах
|
Ос
|
5,2
|
|
5
|
Расходы на содержание и
эксплуатацию оборудования
|
Rсэо
|
20,6
|
|
6
|
Цеховые расходы
|
Нц
|
13,8
|
|
7
|
Общезаводские расходы
|
Н3
|
11
|
|
ИТОГО заводская
производственная себестоимость
|
С3
|
189,9
|
|
8
|
Непроизводственные расходы
|
Впр
|
28,48
|
|
ВСЕГО полная себестоимость
|
Сп
|
218,38
|
|
9
|
Прибыль
|
Пн
|
56,68
|
|
10
|
Оптовая цена детали
|
Цо
|
274,76
|
Определение НЧП детали-представителя
Норматив чистой продукции определяется по формуле:
НЧП
= Зп + Кз  + Пн, руб
НЧП
= 20,6 + 1,5 + 56,68
= 108,2 руб.
Стоимость годового выпуска продукции определяется по
формуле:
- в оптовых ценах
В
= N  Ц0, руб
В
= 10000  274,76 =
2747600 руб.
- чистой нормативной продукции
W = N  HЧП, pyб
W = 10000  1081 =
1081800 руб.
4.4
Определение экономической эффективности проектируемого технологического
процесса с применением станков с ЧПУ
Составление исходных данных экономического сравнении вариантов
Обоснование принятых в проекте технологических решений
производится путем экономического сравнения разработанного варианта
технологического процесса с базовым вариантом, действующим на заводе.
При этом экономическое сравнение вариантов следует
вести только по измененным операциям, переведенным на полуавтоматы или станки с
ЧПУ.
Для этого нужно подготовить исходные данные и свести
их в табл. 4.4
Таблица 4.4 - Исходные данные по сравниваемым вариантам
|
№
|
Наименование данных
|
Варианты
|
|
|
1-й вариант (базовый)
|
2-й вариант (проектный)
|
|
1
|
Наименование операций
|
токарно-винторезная
|
токарная с ЧПУ
|
|
2
|
Деталь-представитель
|
Ось
|
|
3
|
Годовой приведенный объем
выпуска, Nnp, шт.
|
151680
|
|
4
|
Количество наименований
деталей, mд
|
15
|
|
5
|
Тип и модель станка
(например)
|
Токарно-винторезный 16К20
|
Токарно-винторезный с ЧПУ
16К20ФЗ
|
|
6
|
Норма штучного времени,
Тшк, мин
|
9,51
|
8,26
|
|
7
|
Площадь станка по габаритам
с учетом выносных устройств, f, м
|
3,57
|
5,75 (станок) 10,22 (с
шкаф.)
|
|
8
|
Мощность электродвигателя
станка, Nдв, кВт
|
7,5
|
10
|
|
9
|
Оптовая цена станка, Цст, руб.
|
420000
|
800000
|
|
10
|
Приспособление
|
3-х кулачковый патрон
|
|
11
|
Цена приспособления, Цпр,
руб.
|
входит в стоимость станка
|
|
12
|
Коэффициент
многостаночности
|
1
|
2
|
|
13
|
Количество смен, С
|
2
|
|
14
|
Продолжительность смены,
час
|
8,0
|
|
15
|
Действительный годовой фонд
времени работы оборудования, Fд, н-час
|
3896
|
|
16
|
Эффективный годовой фонд
рабочего времени, Fдр н-час
|
1767
|
|
|
17
|
Количество станков на
операцию, Sпр, шт.
|
7
|
6
|
|
18
|
Коэффициент загрузки
оборудования, Кзо
|
0,88
|
0,9
|
|
19
|
Количество рабочих -
производственных
|
14
|
6
|
|
- наладчиков
|
-
|
1
|
|
20
|
Разряд рабочих -
производственных
|
3
|
2
|
|
- наладчиков
|
-
|
6
|
|
21
|
Часовая тарифная ставка -
производственных рабочих
|
57,58
|
53,9
|
|
- наладчиков
|
-
|
76
|
Расчет суммы капитальных вложений по сравниваемым вариантам
При определении эффективности технологического
процесса в составе капитальных вложений, учитываются следующие затраты:
стоимость оборудования - Коб
стоимость специальных приспособлений - Кпр
стоимость производственных площадей - Кпл
стоимость служебно-бытовых помещений - Кбыт
Стоимость оборудования определяется по формуле:
Коб
= 
где Цст - оптовая цена станка, руб.
,1 - коэффициент, учитывающий затраты на
транспортировку и монтаж оборудования Первый вариант (базовый)
Коб1
= 420000 7 
Второй вариант (проектный)
Коб2
= 800000
Стоимость специальных приспособлений определяется по
формуле:
Кпр
=
где Цпр - цена комплекта специального приспособления,
руб.
Первый вариант (базовый)
Кпр1
= 12800 7 
Второй вариант (проектный)
Кпр2
= 22400
Стоимость производственной площади определяется по
формуле:
Кпл
=
где Цпл - стоимость 1 м производственной площади
для механических цехов
Цпл = 140-200 руб.
у - коэффициент, учитывающий дополнительную площадь
Таблица 4.5 - Определение дополнительной площади
|
f, м2
|
2,5
|
3/5
|
6/9
|
10/14
|
15/20
|
21/40
|
41/75
|
|
Y
|
5
|
4,5
|
4,0
|
3,5
|
3,0
|
2,5
|
2,0
|
Первый вариант (базовый)
Кпл1
= 150 3,57 
Второй вариант (проектный)
Кпл2
= 150
Стоимость служебно-бытовых объектов рассчитывается по
формуле:
Кбыт
= Цбыт ѓбыт (Rn Rн Rдоп), руб
где Цбыт - стоимость 1 м служебно-бытовых объектов
(принимается 150-200 руб.)
ѓбыт - площадь служебно-бытовых помещений,
приходящихся на 1 - го рабочего (принимается равной 7 м2)
Rn, Rн, Rдоп - количество производственных
рабочих, наладчиков, дополнительных рабочих (для станков с ЧПУ)
Первый вариант (базовый)
Кбыт1
= 150 7 
Второй вариант (проектный)
Кбыт2
= 150
Общая сумма капитальных вложений равна:
Первый вариант (базовый):
К1 = 323400 + 89600 + 16868 + 14700 =
444568 руб
Второй вариант (проектный):
К2 = 5280000 + 134400 + 43119 + 7350
= 5464909 руб.
Расчет технологической себестоимости механической
обработки годовой продукции по сравнительным вариантам
При экономическом сравнении вариантов в
технологическую себестоимость включаются затраты, зависящие от применяемой
техники и технологии, величина которых является различной для сравниваемых
вариантов.
Обоснование принятых в курсовой работе технологических
решений производится путем экономического сравнения проектного варианта
технологического процесса с базовым вариантом.
Технологическая себестоимость рассчитывается по
формуле:
Сгод = Зр + Зн + Э + Апр + Аусп + Аст
+ Апл + Стех.об + Апу
где Зр - заработная плата основных производственных
рабочих за выполнение годового объема выпуска деталей по сравниваемым
вариантам, руб.;
Зн - заработная плата наладчиков за год по
сравниваемым вариантам, руб.;
Э - затраты на силовую электроэнергию по сравниваемым
вариантам, руб.;
Апр - годовые затраты на ремонт и амортизацию
специальных приспособлений по сравниваемым вариантам, руб.;
Аусп - годовые затраты на сборку и разборку УСП, руб.;
Аст - годовые затраты на амортизационные отчисления на
полное восстановление оборудования по сравниваемым вариантам, руб.;
Стех.об - годовые затраты на техническое обслуживание
и ремонт устройств с ЧПУ по сравниваемым вариантам, руб.;
Апу - годовые затраты на подготовку и возобновление
управляющих программ по сравниваемым вариантам, руб.
Затраты на заработную плату производственным рабочим
по сравниваемым вариантам рассчитывается по формуле:
Зpi = 
где Км - коэффициент, учитывающий многостаночное
обслуживание
Таблица 4.6 - Определение многостаночного обслуживания
|
Sм
|
1
|
2
|
3
|
4
|
|
Км
|
1,0
|
0,65
|
0,48
|
0,39
|
з - коэффициент, учитывающий отчисления
з
= зпр зд зстр
где зпр - коэффициент, учитывающий премии
зд - коэффициент, учитывающий дополнительную зарплату
зстр - коэффициент, учитывающий отчисления в соцстрах
Затраты на заработную плату наладчиков по сравниваемым
вариантам рассчитывается по формуле:
Знi = Cчi Rнi Fдр з
Затраты на силовую электроэнергию по сравниваемым
вариантам рассчитывается по формуле:
Эi =
ЦкВтч  (Nдвi  Sпрi)  Fд  Kзоi  Kc,
руб
где ЦкВтч - цена одного кВтч по прейскуранту
ЦкВтч = 1,93 руб.
Кс = 0,5
Затраты на ремонт и амортизацию специальных
приспособлений по сравниваемым вариантам рассчитывается по формуле:
Апрi =  , руб
где Твып - средний срок выпуска изделия
ТВып = 2-5 года
Затраты на сборку и разборку УСП по сравниваемым
вариантам рассчитывается по формуле:
Ауспi =
(Цуспi  Sпр)  Чрд,
руб.
где Чрд - число дней в рассчитываемом периоде
Цупс
= Цсб + Цпрок  tдн
где Цсб - оптовая цена на сборку
Цпрок - цена проката за день
tдн - число дней проката = 2 дня
Затраты на амортизационные отчисления на полное
восстановление оборудования по сравниваемым вариантам рассчитывается по
формуле:
Астi =  , руб.
где ав = 5,3-5,6% - норма амортизационных
отчислений
Затраты на амортизацию и содержание производственной
площади по сравниваемым вариантам рассчитывается по формуле:
Аплi =
Нплi  (ѓi гi  Sпрi)
где Нпл = 140-200 руб./м2 - норма затрат на
амортизацию и содержание 1м2
у - коэффициент, учитывающий дополнительную площадь
Таблица 4.7 - Определение дополнительной площади
|
F, м2 I, M
|
2,5
|
3/5
|
6/9
|
10/14
|
15/20
|
21/40
|
41/75
|
|
У
|
5
|
4,5
|
4,0
|
3,5
|
3,0
|
2,5
|
2,0
|
Затраты на техническое обслуживание и ремонт устройств
с ЧПУ по сравниваемым вариантам рассчитывается по формуле:
Стех.об.i
=Нчпу Sпрi, руб.
где Нчпу = 3000-6000 руб. - норма затрат на
техническое обслуживание и ремонт устройств ЧПУ
Затраты на подготовку и возобновление управляющих
программ по сравниваемым вариантам рассчитывается по формуле:
Аnyi =
 , руб
Кпу
= Ап + Вк  Кк
где Ап - постоянная составляющая стоимости УП
Ап = 20-100 руб.
Вк - стоимость одного кадра УП
Вк=20-30 руб.
Полученные данные сводим в табл. 4.2
Таблица 4.8
|
№
|
Наименование затрат
|
Вари
|
анты
|
|
|
1-й вариант (базовый)
|
2-й вариант (проектный)
|
|
1
|
Заработная плата
производственным рабочим
|
12436362
|
1287573
|
|
2
|
Заработная плата наладчиков
|
-
|
156195,7
|
|
3
|
Силовая электроэнергия
|
17369537
|
203020,56
|
|
4
|
Ремонт и амортизация
специальных приспособлений
|
38826
|
58240
|
|
5
|
Сборка и разборка УСП
|
-
|
-
|
|
6
|
Амортизационные отчисления
на полное восстановление оборудования
|
171402
|
279840
|
|
7
|
Амортизация и содержание
производственной площади
|
3498,6
|
16905
|
|
8
|
Техническое обслуживание и
ремонт устройств с ЧПУ
|
-
|
18000
|
|
9
|
Подготовка и возобновление
управляющих программ
|
-
|
205,7
|
|
10
|
Итого технологическая
себестоимость
|
2823784
|
2019980
|
Определение суммы приведенных затрат по сравниваемым
вариантам и расчет годового экономического эффекта
Определение суммы приведенных затрат по сравниваемым
вариантам
Приведенные затраты по каждому варианту определяется
исходя из одного и того же объема выпуска деталей по формуле:
П
= Сгод + Ен  К, руб (4.43)
где Сгод - технологическая себестоимость годового
объема выпуска деталей по одному варианту
К - сумма капитальных вложений по тому же варианту
Ен - нормативный коэффициент эффективности капитальных
вложений E = 0,15
Первый вариант (базовый):
П1
= 2823784 + 0,15  444568 =
2890469,2 руб
Второй вариант (проектный):
П2
= 2019980 + 0,15  5464909
= 2102016,4 руб.
Экономическая эффективность применения станков с ЧПУ
определяется путем экономического сравнения с базовым вариантом по следующим
показателям:
годовому экономическому эффекту;
сроку окупаемости капитальных вложений;
численности высвобождаемых рабочих;
роста производительности труда.
Определение годового экономического эффекта
Годовой экономический эффект определяется по разности
приведенных затрат двух вариантов:
Эг = П1 - П2
ЭГ = 2890469,2 - 2102016,4 = 788449,8
руб
Определение срока окупаемости дополнительных капитальных
вложений
Если новый вариант технологии требует большую сумму
капитальных вложений по сравнению с базовым вариантом, то следует определить
срок окупаемости дополнительных капитальных вложений по формуле:
Т
=  ≤
Тн
где Тн - нормативный срок окупаемости (Тн = 6,6
года)
Т
=
Расчет количества высвобождаемых рабочих
Численность высвобождаемых рабочих определяется по формуле:
Чэ = (Rnl + Rн1) -
(Rn2 +Rh2 + Rдоп),
чел
Чэ =14 - (6 + 1) = 7 чел.
Рост производительности труда на одного рабочего по
сравниваемым вариантам определяется по формуле:
▲П=

где В1, В2 - выработка продукции на одного рабочего
по сравниваемым вариантам, шт.
В
= 
В1
=  = 10834
шт.
В2
= 
▲П
= 
В результате
расчетов установлена экономическая целесообразность применения станка с ЧПУ
модели 16К20Ф3 для обработки деталей типа «Ось». Годовой экономический эффект
составил 788449,8 руб., срок окупаемости дополнительных затрат - 1 год, рост
производительности труда составил 120%, количество высвобождаемых рабочих - 6
человек. 4.5
Оценка
технико-экономической эффективности спроектированного участка
|
№ п/п
|
Наименование показателей
|
Ед. изм.
|
Сумма
|
|
1. Выпуск продукции
|
|
1.1
|
Годовой выпуск в
натуральном выражении
|
шт.
|
10000
|
|
1.2
|
Годовой приведённый объём
выпуска
|
шт.
|
151680
|
|
1.3
|
Годовой выпуск по
трудоёмкости
|
час
|
21235
|
|
1.4
|
Годовой выпуск в оптовых
ценах
|
руб.
|
2747600
|
|
1.5
|
Годовой объём чистой
продукции
|
руб.
|
1082000
|
|
2. Оборудование и площади
|
|
2.1
|
Количество оборудования
|
ед.
|
15
|
|
2.2
|
Средняя загрузка
оборудования
|
%
|
86
|
|
2.3
|
Стоимость оборудования
|
руб.
|
8263000
|
|
2.4
|
Мощность оборудования
|
кВт
|
113
|
|
2.5
|
Площадь участка
|
2 М
|
485
|
|
3. Труд и зарплата
|
|
3.1
|
Количество рабочих а)
производственных
|
чел.
|
24
|
|
б) вспомогательных
|
чел.
|
1
|
|
3.2
|
Средний разряд
производственных рабочих
|
|
3
|
|
3.3
|
Производительность труда
|
час
|
1769
|
|
3.4
|
Среднемесячная зарплата
производственных рабочих
|
руб.
|
16836
|
|
4. Затраты на изделия
|
|
4.1
|
Трудоёмкость одного изделия
|
час
|
0,14
|
|
4.2
|
Полная себестоимость
изделия
|
руб.
|
218,38
|
|
4.3
|
Оптовая цена изделия
|
руб.
|
274,76
|
|
4.4
|
Норматив чистой продукции
|
руб.
|
108,2
|
|
5. Показатели экономической
эффективности
|
|
5.1
|
Численность высвобожденных
рабочих
|
чел.
|
6
|
|
5.2
|
Рост производительности
труда
|
%
|
120
|
|
5.3
|
Годовой экономический
эффект
|
руб.
|
788449
|
|
5.4
|
Срок окупаемости
|
лет
|
1
|
Заключение
В результате выполнения дипломного проекта был проведен анализ
технологичности конструкции, детали, разработан наиболее рациональный метод
получения заготовки, в результате чего коэффициент до использования материала
повысился до 0,77. Разработан более совершенный технологический процесс, в нем
предложено заменить устаревшее технологическое оборудование на более
совершенное и высокоскоростное. На одной операции был применен станок с
числовым программным управлением. Использование этого технологического
оборудования позволят сократить число слесарных операций, сократить машинное
время, повысить производительность труда. Эти изменения связаны с увеличением
годовой программы выпуска изделия.
В работе разработано специальное приспособление для фрезерования двух
пазов 20Н11, которое отсутствовало в базовом варианте.
Также введен специальный режущей инструмент - трехсторонняя дисковая
фреза для фрезерования паза 20Н11. Изменения, внесенные в конструкции
специальных станочных приспособлений разработанных в данной работе, является
экономически выгодным, расчеты приведены в данной записке.
В результате расчетов установлена экономическая целесообразность
применения станка с ЧПУ модели 16К20Ф3 для обработки деталей типа «Ось».
Годовой экономический эффект составил 788449 руб., рост производительности
дополнительных затрат 1 год, рост производительности труда 120%, количество
высвобождаемых рабочих 6 человек.
Список использованных источников
деталь станок технологический маршрутный
1 Общемашиностроительные норматива режимов резания для
технического нормирования работ на металлорежущих станках, часть 1 М.
Машиностроение, 1967 г.
Общемашиностроительные нормативы времени вспомогательного, на
обслуживание рабочего места и подготовительно-заключительного для технического
нормирования станочных работ. Серийное производство, М. Машиностроение, 1974 г.
Аверченков В.И. «Технология машиностроения» Сборник задач и
упражнений М. ИНФРАМ, 2005 г.
4 Андреев Г.Н. «Проектирование технологической оснасткой
машиностроительного производства» М. Высшая школа, 2001 г.
5 Ахумова А.В. Справочник нормировщика Л. Машиностроение,
1986 г.
Белова С.В. Охрана окружающей среды М. Высшая школа, 1991 г.
Белова С.В. Безопасность производственных процессов,
справочник 2 М. Машиностроение, 1985 г.
Вардашкин Б.Н, Данилевский В.В. Станочные приспособления
М. Машиностроение, 1985 г.
Добрыднев И.С. Курсовое проектирование по предмету
«Технология машиностроения» М. Машиностроение, 1985 г.
10 Косиловой А.Г, Мещерякова Р.К. Справочник технолога -
машиностроителя, том 2 М. Машиностроение, 1985 г.
Мягков В.П. «Допуски и посадки» справочник в двух томах М.
Машиностроение, 1978 г.
12 Скороходов Е.А. Общетехнический справочник М.
Машиностроение, 1989 г.
Сорокин В.Г. Марочник сталей и сплавов М. Машиностроение,
1989 г.
Похожие работы на - Технологический процесс обработки детали 'Ось'
|