Силовой и кинематический расчет привода
Техническое задание
- электродвигатель; 2 - плоскоременная передача;
3 - редуктор; 4 - муфта
Крутящий момент на валу потребителя 
Частота вращения вала потребителя 
Срок службы 2 года
Сменность работы 2
1. Силовой и
кинематический расчет редуктора
.1 Определение КПД
Требуемая мощность двигателя
Выбираем асинхронный двигатель АИР132М4
номинальной мощностью 11 кВт, с синхронной частотой вращения 1500 об/мин и
асинхронной частотой 1448 об/мин.
1.2 Разбивка общего передаточного отношения
между передачами
Требуемое общее передаточное отношение
Фактическое значение передаточного отношения
погрешность находится в допустимых пределах
1.3 Определение мощностей, угловых скоростей и
вращающих моментов на валах привода
Мощности
.4 Частоты вращения элементов привода

1.5 Вращающие моменты на элементах
привода
Номер вала Мощность, Вт Вращающий
момент, H
мЧастота вращения,
|
об/мин
|
|
|
|
Вал
двигателя
|
|
|
|
|
I вал
|
|
|
|
|
II вал
|
|
|
|
2. Расчёт
передач привода
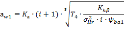
2.1 Расчёт плоскоременной передачи
2.1.1 Диаметр ведущего шкива из условия тяговой
способности
По найденному значению подбираем диаметр шкива
по ГОСТ 17383-70
2.1.2 Диаметр ведомого шкива

- коэффициент относительного
проскальзывания
Полученный диаметр округляем по ГОСТ
17383-70

2.1.3 Фактическое передаточное значение
Отклонение передаточного значения от требуемой
величины отклонение не превышает допустимой
величины
2.1.4 Межосевое расстояние
2.1.5 Угол обхвата малого шкива

2.1.6 Длина ремня
Согласно ГОСТ 1769-84 примем длину
ремня 
2.1.7 Действительное межосевое расстояние
передачи
2.1.8 Скорость ремня
2.1.9 Выбираем тип ремня и допускаемое удельное
давление для одной прокладки согласно ГОСТ 23831-79
Выбираем резинотканевые ремни с прокладками из
ткани БКНЛ.
Наибольшая допустимая нагрузка 
Расчетная толщина прокладки 
2.1.10 Для резинотканевых ремней отношение
минимального диаметра шкива к толщине ремня равно 2.
2.1.11 Расчётная толщина ремня
2.1.12 Расчётная число прокладок
Принимаем 
2.1.13 Окончательная толщина ремня

2.1.14 Коэффициент угла обхвата
2.1.15 Коэффициент, учитывающий влияние скорости
ремня
2.1.16 Коэффициент режима работы
Для двухсменной работы с постоянной
нагрузкой 
2.1.17 Коэффициент, учитывающий угол
наклона линии центров передачи 
для угла наклона меньше 
2.1.18 Допускаемая рабочая нагрузка
на 1 мм ширины прокладки из условия сцепления ремня со шкивом

2.1.19 Окружная сила
2.1.20 Ширина ремня
Согласно стандартному ряду ширины
ремня принимаем 
2.1.21 Предварительное натяжение
ремня


2.1.22 Натяжение ветвей


2.1.23 Натяжение в ремне от силы 
2.1.24 Напряжение изгиба в ремне

- модуль упругости ремней
2.1.25 Натяжение от центробежной
силы

- плотность резинотканевого ремня
2.1.26
Максимальное
напряжение

2.1.27 Частота пробега ремня (косвенная
проверка долговечности ремня)

2.1.28 Нагрузка на валы передачи
.2 Расчет закрытой цилиндрической
косозубой передачи
2.2.1 Задаём материал и твёрдость
рабочих поверхностей зубьев
Принимаем, что
Термообработка шестерни - улучшение
до средней твердости 
Термообработка колеса - улучшение до
средней твердости 
Марки сталей одинаковы для шестерни
и колеса - сталь 45.
Ориентировочное значение
допускаемого контактного напряжения при расчете на выносливость (при
коэффициенте долговечности 
)
2.2.2 Определяем допускаемые
напряжения, не вызывающие опасной контактной усталости
Определяем базовый предел контактной
выносливости материалов зубьев
Определяем коэффициент долговечности


- базовое число циклов напряжений

- эквивалентное число циклов
изменения контактных напряжений

- показатель степени кривой
усталости

- время работы передачи

- число вхождений рассчитываемой
стороны зуба в зацепление за 1 оборот колеса


- коэффициент, учитывающий форму
циклограммы нагружений

при постоянном режиме нагружения

так как 
Определяем минимальный коэффициент
запаса прочности

при термообработке «улучшение»
Определяем значение коэффициентов

-коэффициент, учитывающий влияние
исходной шероховатости сопряженных поверхностей зубьев

- коэффициент, учитывающий влияние
окружной скорости колес

- коэффициент, учитывающий размер
зубчатого колеса
На этапе проектировочного расчета 
Расчётное допускаемое напряжение для косозубых
колес
2.2.3 Определяем ориентировочное значение
межосевого расстояния передачи

- вспомогательный коэффициент, для
косозубой передачи 

- коэффициент ширины шестерни
относительно межосевого расстояния

- коэффициент ширины шестерни
относительно ее диаметра
При симметричном расположении колес
относительно опор 

- коэффициент, учитывающий
неравномерность распределения нагрузки по длине контактных линий

2.2.4
Определяем число зубьев колёс
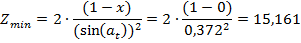
Проверяем отсутствие подрезания зубьев колес

- коэффициент смещения исходного
профиля 

- длительный угол профиля зубьев в
торцевом сечении

- угол профиля исходного контура

- угол наклона зубьев по
делительному цилиндру

подрезания зубьев не будет
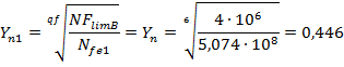
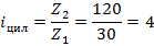
.2.5 Уточненное значение
передаточного числа
2.2.6 Определяем делительный
нормальный модуль зубьев

- угол зацепления
при 

Округляем до стандартного 
2.2.7 Межосевое расстояние передачи
при стандартном модуле зубьев
2.2.8 Уточненное
значение коэффициента ширины венца
2.2.9 Рабочая ширина венца зубчатой
передачи

2.2.10 Геометрические и
кинематические параметры колес
Делительные диаметры
Начальные диаметры
Диаметры впадин при нарезании
реечным инструментом

Диаметры вершин

Основные диаметры

Углы профилей зубьев на окружности
вершин
Коэффициент торцевого перекрытия
Осевой шаг зубьев
Коэффициент осевого перекрытия
Суммарный коэффициент перекрытия

Основной угол наклона линии зуба

Окружная скорость колес на начальных
цилиндрах
Скорость меньше 10 м/с,
следовательно, назначаем степень точности передачи 8
Проверочный расчёт на сопротивление
контактной усталости активных поверхностей зубьев
2.2.11 Расчётное контактное
напряжение в полюсе зацепления

- коэффициент, учитывающий
механические свойства материалов колес для стальных колес 

- коэффициент, учитывающий форму
сопряженых поверхностей зубьев в полюсе зацепления

- коэффициент, учитывающий
суммарную длину контактных линий
Так как 

- окружная сила на делительном
цилиндре в торцовом сечении

- коэффициент нагрузки при расчете
по контактным сечениям

- коэффициент, учитывающий внешнюю
динамическую нагрузку за пределами зацпления

- коэффициент, учитывающий
внутреннюю динамическую нагрузку

- удельная динамическая окружная
сила

- коэффициент, учитывающий влияние
твердости поверхности зубьев

- коэффициент, учитывающий влияние
разности шагов зубьев шестерни и колеса

- коэффициент, учитывающий
неравномерность распределения нагрузки по длине контактных линий, зависит от 

- коэффициент, учитывающий
неравномерность распределения нагрузки между зубьями из-за погрешности
изготовления
.2.12 Уточненное значение
допускаемого контактного напряжения

смазка подшипников вал привод
2.2.13 Проверка сопротивления активных поверхностей
зубьев контактной
Сопротивление зубьев контактной усталости
обеспечивается, так как допускается 5% перегрузка. Усталостного разрушения
зубьев не будет.
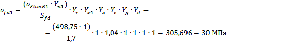
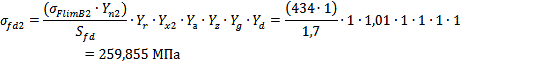
Первоначальный расчёт на сопротивление усталости
зубьев при изгибе
2.2.14 Напряжения изгиба в опасных сечения на
переходных поверхностях зубьев шестерни и колеса

- коэффициент нагрузки при расчете
на изгиб

- коэффициент, учитывающий
внутреннюю динамическую нагрузку, возникающую в зацеплении при расчете на изгиб

- удельная динамическая окружная
сила при расчете на изгиб

- коэффициент, учитывающий влияние
вида зубчатой передачи

- коэффициент, учитывающий
неравномерность распределения нагрузки по длине контактных линий, зависит от 

- коэффициент, учитывающий
неравномерность распределения нагрузки между зубьями из-за погрешности
изготовления

- ширина венца зубчатой
передачи

- коэффициент, учитывающий форму
зуба и концентрацию напряжения при 

числе зубьев эквивалентного колеса

- коэффициент, учитывающий влияние
наклона зубьев
Принимаем 

- коэффициент, учитывающий влияние
перекрытия зубьев
2.2.15 Допускаемое напряжение
изгиба, не вызывающее усталостной поломки зуба

- базовый предел изгибной
выносливости

- коэффициент долговечности при
изгибе

- базовое число циклов нагружений

- эквивалентное число циклов
напряжений изгиба


- показатель степени кривой
усталости при расчете на сопротивление усталости при изгибе
Принимаем 

- минимальный коэффициент запаса
прочности

- коэффициент, учитывающий
шероховатости переходной поверхности

- коэффициент, учитывающий размеры
зубчатого колеса

- коэффициент, учитывающий влияние
двустороннего приложения нагрузки

- коэффициент, учитывающий способ
получения заготовки зубчатого колеса

- коэффициент, учитывающий влияние
шлифования переходной поверхности зубьев

- коэффициент, учитывающий влияние
деформационного упрочнения переходной поверхности

Сопротивление зубьев усталости при
изгибе обеспечивается. Усталостной поломки зубьев в пределах расчетного срока
службы не будет.
3. Ориентировочный
расчёт валов
Валы предполагается изготовить из
стали 45 с термообработкой "улучшение": 
, 

- допускаемые напряжения кручения
для материала, заниженные в 5-6 раз для учета изгибающих моментов.
Для первого вала:

так как на конце вала расположен
шкив

- под уплотнение крышки подшипника
и подшипник.
Принимаем 
под подшипник шариковый
радиально-упорный однорядный.
Для второго вала:

согласно ГОСТ 6636-69

- под уплотнение крышки подшипника
и подшипник.
Принимаем 
под подшипник шариковый
радиально-упорный.

В соответствии с ГОСТ 6636-69
принимаем 
4. Выбор
способа и типа смазки подшипников и передач
Так как окружная скорость колеса 
, то применяем картерную систему
смазки окунанием тихоходного колеса. Так как скорость свыше 
, но меньше 
и контактные напряжения 
, то выбираем вязкость масла 
. В соответствии с вязкостью масла
выбираем его марку И-Г-А-32.
При картерной системе смазки для
смазки подшипников применяют то же самое масло, что и для колес. При окружной
скорости колес больше 
разбрызгивание масла внутри
редуктора достаточно интенсивное, образуется "масляный" туман,
которого достаточно для смазки подшипников. Для одноступенчатого редуктора
объем масляной ванны определяется из расчета 
на 
передаваемой мощности
Но уровень масла не должен превышать
25% высоты зуба быстроходного колеса.
Контроль за уровнем масла осуществляется с
помощью жезлового маслоуказателя.
5. Первая
эскизная компоновка редуктора
Толщина стенки редуктора
Принимаем 
Расстояние от внутренней поверхности
стенки редуктора:
до боковой поверхности вращающейся
части 
до боковой поверхности подшипников
качения 
Радиальный зазор от поверхности
вершин зубьев до внутренней поверхности стенки редуктора

Расстояние от боковых поверхностей
элементов, вращающихся вместе с валами, до неподвижных наружных частей
редуктора

Ширина фланцев S, соединенных болтом
диаметром

- в зависимости от диаметра болта
Толщина фланца боковой крышки 
Высота головки болта 
Диаметры болтов, соединяющих:
Редуктор с рамой 
Корпус с крышкой у бобышек
подшипников 
Корпус с крышкой по периметру
соединений 
Крышку редуктора со смотровой
крышкой 
Крышку подшипникового узла с
корпусом 
В результате эскизной компоновки
получаем расчетные схемы валов:
быстроходный
тихоходный
6. Предварительный
расчёт валов
6.1 Расчёт ведущего вала
Сила, нагружающая вал от ременной передачи
Усилия в зацеплении колес
окружная
сила
радиальная сила
осевая сила
Построим эпюру моментов

Вал предполагается изготовить из стали 45 с
термообработкой улучшение.

Допускаемые напряжения при
симметричном цикле
Окончательно принимаем:

- диаметр под подшипник
6.2 Расчёт ведомого вала
Сила от муфты
Согласно значению крутящего момента выбираем
муфту глухую диаметром 40 мм

Построим эпюру моментов

Вал предполагается изготовить из стали 45 с
термообработкой улучшение.

Допускаемые напряжения при
симметричном цикле
Окончательно принимаем:

- диаметр под подшипник
7. Подбор
и расчёт подшипников качения
7.1 Ведущий вал
Так как имеются осевые усилия,
выбираем подшипники радиально-упорные диаметром 40 мм 36208К угол 
Схема расположения подшипников
Устанавливаем подшипники "в распор"
Так как результирующая осевая сила направлена на
подшипник В, определяем соотношение определяем соотношение

где 
- коэффициент вращения, 
так как вращается внутреннее кольцо
Проводим расчет для подшипника А,
как наиболее нагруженного
следовательно 
Эквивалентная динамическая радиальная нагрузка
где 
- коэффициент безопасности,
учитывающий характер внешней нагрузки

- коэффициент, учитывающий
температуру подшипникового узла
Проводим расчет для подшипника В
следовательно 
Эквивалентная динамическая
радиальная нагрузка
Проверяем ресурс подшипника А
Требуемый ресурс подшипника
обеспечен
7.2 Ведомый вал
Так как имеются осевые усилия,
выбираем подшипники радиально-упорные диаметром 50 мм 46110 угол 
Схема расположения подшипников
Устанавливаем подшипники "в распор"
Так как результирующая осевая сила направлена на
подшипник А, определяем соотношение определяем соотношение

где 
- коэффициент вращения, 
так как вращается внутреннее кольцо
Проводим расчет для подшипника А
следовательно 
Эквивалентная динамическая радиальная нагрузка
где 
- коэффициент безопасности,
учитывающий характер внешней нагрузки

- коэффициент, учитывающий
температуру подшипникового узла
Проводим расчет для подшипника В
следовательно 
Эквивалентная динамическая
радиальная нагрузка
Проверяем ресурс подшипника А
Требуемый ресурс подшипника
обеспечен
8. Подбор
и расчёт шпоночных соединений
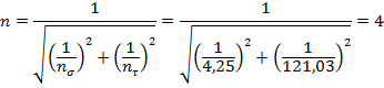
Размеры поперечного сечения шпонки определяются
в зависимости от диаметра вала
Длина шпонки определяется в зависимости от длины
ступицы
8.1 Ведущий вал
1) 
Следовательно, выбираем призматическую
шпонку со следующими характеристиками 
Напряжение смятия
где 
- коэффициент внешней динамической
нагрузки
Напряжение среза
Размеры шпонок выбраны таким образом, что
определяющими являются напряжения смятия.
Для прессовых посадок допускаемые
значения напряжения смятия составляют 
Таким образом, расчетное значение
напряжения смятия не превышает допустимую величину.
2) 
Следовательно, выбираем шпонку со следующими
характеристиками

Напряжение смятия
Напряжение среза
Для прессовых посадок допускаемые
значения напряжения смятия составляют 
Таким образом, расчетное значение
напряжения смятия не превышает допустимую величину.
8.2 Ведомый вал
1) 
Следовательно, выбираем
призматическую шпонку со следующими характеристиками 
Напряжение смятия
Напряжение среза
Размеры шпонок выбраны таким образом, что
определяющими являются напряжения смятия.
Для прессовых посадок допускаемые
значения напряжения смятия составляют 
Таким образом, расчетное значение
напряжения смятия не превышает допустимую величину.
2) 
Следовательно, выбираем
призматическую шпонку со следующими характеристиками 
Напряжение смятия
Напряжение среза
Для прессовых посадок допускаемые
значения напряжения смятия составляют 
Таким образом, расчетное значение
напряжения смятия не превышает допустимую величину.
9. Проверочные
(уточненные) расчёты валов на сопротивление усталости
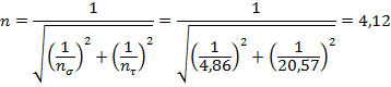
9. Ведущий
вал
Рассмотрим сечение А-А, с подшипником



- амплитуда цикла изменения
напряжения изгиба
9.2 Ведомый вал



- амплитуда цикла изменения
напряжения изгиба
Допуски и посадки для
сопрягаемых деталей:
|
Сопряжения
|
посадка
|
Отклонения
|
Зазоры,
мкм
|
Натяги,
мкм
|
|
|
Отверстия
|
|
|
|
|
верхнее
|
нижнее
|
верхнее
|
нижнее
|
max
|
min
|
max
|
min
|
|
Ведущий
вал
|
|
Подшипник
- вал
|
∅40  0-12+18+2--302
|
|
|
|
|
|
|
|
|
|
Шестерня
- вал
|
∅46
 +250+18+2270180
|
|
|
|
|
|
|
|
|
|
Корпус
- подшипник
|
∅80
 +3000-13530--
|
|
|
|
|
|
|
|
|
|
Корпус
- крышка
|
∅80
 +300-120-240270120--
|
|
|
|
|
|
|
|
|
|
Корпус
- крышка
|
∅80 +3000-54840--
|
|
|
|
|
|
|
|
|
|
Шкив
- вал
|
∅26
 +210+15+2230150
|
|
|
|
|
|
|
|
|
|
Шпонка
- вал
|
∅14 0-490-43430490
|
|
|
|
|
|
|
|
|
|
Шпонка
- вал
|
∅8 0-360-36360360
|
|
|
|
|
|
|
|
|
|
Ведомый
вал
|
|
Подшипник
- вал
|
∅50
 0-12+18+2--302
|
|
|
|
|
|
|
|
|
|
Колесо
- вал
|
∅54
 +300+21+2320212
|
|
|
|
|
|
|
|
|
|
Корпус
- подшипник
|
∅80  +3000-13430--
|
|
|
|
|
|
|
|
|
|
Корпус
- крышка
|
∅80  +300-120-240270120--
|
|
|
|
|
|
|
|
|
|
Муфта-вал
|
∅40 +250+18+2270180
|
|
|
|
|
|
|
|
|
|
Корпус
- крышка
|
∅80 +3000-54840--
|
|
|
|
|
|
|
|
|
|
Шпонка
- вал
|
∅14 0-490-43430490
|
|
|
|
|
|
|
|
|
|
Шпонка
- вал
|
∅12 0-490-43430490
|
|
|
|
|
|
|
|
|
|
|
|
|
|
|
|
|
|
|
|
Список использованной литературы
1. Иванов
М.Н., Финогенов В.А. Детали машин. Учебное издание. - Москва: Изд. «Высшая
школа», 2008
2. Курмаз
Л.В., Скойбеда А.Т. Детали машин. Справочное учебное
методическое
пособие. Москва: Изд. «Высшая школа», 2005
3. Митюрев
Е.А., Загорский В.К., Хитин Д.Ф. Допуски и посадки. Методические указания для
студентов. Уфа: Изд. УНИ, 1990
4. Сулейманов
А.С. Оформление пояснительных записок при курсовом проектировании. Методические
указания. Уфа: УГНТУ 1999
5. Сулейманов
А.С. Пример выполнения расчетной части проекта привода. Учебное-методическое
пособие. Уфа:УГНТУ 2002
6. Полканова
О.Г., Хлесткина В.Л. Расчет валов. Учебное методическое
пособие. Уфа:УГНТУ 2009
7. Комлев
А.А., Полканова О.Г. Ременные передачи. Учебно методическое
пособие. Уфа:УГНТУ 2004
8. Полканова
О.Г. Задания к курсовой работе. Учебное методическое
пособие. Уфа: УГНТУ 2002