Кинематический и силовой расчёт привода
Введение
Редуктор - агрегат состоящий из колёс и
шестерней, в данном случае из червячного колеса и червяка. Данный редуктор
предназначен для изменения направления приложения силы. Его выбор обоснован
экономией пространства, т.к. обслуживание двигателя становиться неудобным, так
же данный редуктор изменяет скорость вращения вала, т.к. при данной мощности
двигателя скорость вращения вала не приемлема в данном случае, редуктор
действует на уменьшение скорости вращения вала.
1. Выбор электродвигателя. Кинематический и
силовой расчет привода.
.1 Выбор электродвигателя
.1.1 Принимаются следующие значения кпд [1, с.
5, табл. 1.1]
.1.2 Общий кпд определяется по формуле
.1.3 Требуемая мощность электродвигателя
определяется по формуле:
По требуемой мощности и синхронной частоте
вращения по ГОСТ 19523-81 [2, с.406] подбирается необходимый электродвигатель.
4АМ132s8У3
.2 Кинематический расчет привода
.2.1 Определяется общее передаточное число
привода по формуле:
.2.2 Производится разбивка общего передаточного
числа на частные составляющие
Принимается предварительно по ГОСТ 2144-76 [2,
с.45, табл. 2.3] передаточное число редуктора U2 =40.
Передаточное число клиноременной передачи
определяется по формуле:
1.2.3 Определяются частоты вращения валов
привода по формулам:
вал
вал
вал
.2.4 Определяются угловые скорости валов привода
по формулам:
вал
вал
вал
.3 Силовой расчет привода
.3.1 Определяются мощности на валах привода по
формулам:
вал
вал
вал
1.3.2 Определяются вращающие моменты на валах
привода по формуламвал
вал
вал
Все полученные силовые и кинематические
параметры сводятся в таблицу 1.
Таблица 1 - Силовые и кинематические параметры
привода
|
№
вала
|
n,
об/мин
|
ω,
рад/сек
|
Р,
кВт
|
Т,
Нм
|
Передаточное
число
|
|
|
|
|
|
Uобщ
|
U1
|
U2
|
|
I
вал
|
720
|
75,36
|
3.84
|
50,95
|
102,85
|
2,57
|
40
|
|
II
вал
|
280,15
|
29,32
|
3,64
|
124,14
|
102,85
|
2,57
|
|
III
вал
|
7
|
0.73
|
2,52
|
3452,05
|
102,85
|
2,57
|
40
|
2. Расчет клиноременной передачи
.1 По номограмме [1, с. 134] по частоте вращения
ведущего шкива и передаваемой мощности принимается необходимое сечение ремня
«Б».
.2 Определяется диаметр ведущего шкива по
формуле:
где Т1 - вращающий момент, Нмм.
Из полученного интервала по ГОСТ 17383-73 [1,
с.120] подбирается необходимый диаметр ведущего шкива
.3 Определяется диаметр ведомого шкива по
формуле [1, с.120, ф. 7.3]:
где ε
= 0,02 - коэффициент проскальзывания ремня.
По ГОСТ 17383-73 [1, с.120] подбирается
необходимый диаметр ведомого шкива
.
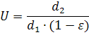
.4 Уточняется передаточное число передачи по
формуле:
.5 Определяется межосевое расстояние:
минимальное межосевое расстояние
определяется по формуле:
где Т0 - высота сечения ремня.
- максимальное межосевое расстояние
определяется по формуле:
- расчетное межосевое расстояние определяется по
формуле:
Расчетное межосевое расстояние округляется до целого
числа.
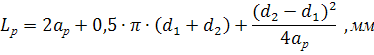
.6 Определяется расчетная длина ремня по формуле
[1, с.121, ф. 7.7]:
По ГОСТ 1284.1-80 [1, с.131] принимается длина
ремня
.7 Определяется угол обхвата ведущего шкива по
формуле:
.8 Определяется число ремней в передаче по
формуле
где
-
мощность передаваемая общим ремнем, кВт определить из таблицы [1, с.132, ф.
7.8];
- коэффициент длины
ремня, определить из таблицы;
- коэффициент угла
обхвата, определить из таблицы [1, с.135];
- коэффициент
количества ремней, определить из таблицы [1, с.135];
- коэффициент
условия работы, определить из таблицы [1, с.136, табл. 7.10]
2.9 Определяется ширина обода шкива по формуле
[1, с.138]:
где e - канавка, мм;
f - канавка, мм.
Все полученные параметры клиноременной передачи
сводятся в таблицу 2.
Таблица 2 - Параметры клиноременной передачи
|
№
п/п
|
Наименование
параметра
|
Обозначение
|
Размер,
мм
|
|
1
|
Тип
ремня
|
|
Лёгкий
|
|
2
|
Диаметр
ведущего шкива
|
d1
|
140
|
|
3
|
d2
|
355
|
|
4
|
Фактическое
передаточное число
|
U
|
40
|
|
5
|
Расчетное
межосевого расстояния
|
aр
|
389
|
|
6
|
Длина
ремня
|
Lр
|
1600
|
|
7
|
Угол
обхвата ведущего шкива
|
|
148,49
|
|
8
|
Число
ремней в передаче
|
z
|
5
|
|
9
|
Ширина
шкива
|
B
|
101
|
3. Расчет закрытой червячной передачи
Исходные данные
Вращающий момент на червяке Т1=3,64Нм
Вращающий момент на червячном колесе Т2=124,14Нм
Передаточное число U=40
Число заходов червяка z=2
Условие работы передачи - длительная
эксплуатация нереверсивным движением с постоянной нагрузкой
Частота вращения вала червяка n=280 об/мин
Проектный расчет
. Выбор материала для изготовления червячной
передачи и определения допускаемых напряжений.
.1 Выбор материала для изготовления червяка и
червячного колеса.
Так как к передаче не предъявляются специальные
требования, то для изготовления червячного колеса применяем бронзу БрА9ЖЗЛ
Для изготовления червяка применяем сталь 45 с
закалкой до твердости HRC 45 с последующим шлифованием.
.2 Определяется ориентировочная скорость
скольжения по формуле
=4,3*10-3*W1*3√Т2, м/с
=4,3*10-3*148,49*3√2,52=0,86 м/с
.3 Определяется допускаемое контактное
напряжение.
Для червячных колёс из условий стойкости против
заедания с учетом выбранного материала для изготовления червячного колеса и
червяка при скорости скольжения Vs=0,86 [1, c. 68] методом интерполяции
принимается
н=179 МПа
.4 Определяется допускаемое напряжение изгиба
Для червячных колёс, выполненных из бронзы при
нереверсивном движении допускаемые напряжения изгиба определяются по формуле
[σof]=Kfl*[σof]
где Kfl=0,543 - коэффициент, принимаемый при
длительной работе с числом циклов нагружения N>25*107 по [1, c. 67]
[σof]=98МПа-основное
допускаемое напряжение изгиба для червячных колёс принимается по таблице 4.8.
[1, c. 66]
[σof]=0,543*98=53МПа
. Определяется межосевое расстояние из условия
контактной выносливости зубьев по формуле [1, c. 61, ф 4.19]
аw=(Z2/q+1)*3√((170/((Z2/q)*[ σ
of])))2T2Kн),мм
где Z2-число зубьев колеса=2*40=80=20-
коэффициент диаметра червяка принимаемый предварительно из эмпирической
зависимости q=0?25*Z2=20 [2, c. 390]
Кн=1,2 - коэффициент нагрузки принимаемый
предварительно
аw=(80/20+1)*3√((170/((80/20)179))2124,14*103*1,2)=102
мм
. Определяется модуль зацепления по формуле [1,
c. 61, ф 4.20]
=2*aw/(Z2+q),мм
=2*26/(80+20)=2,04 мм
по ГОСТ 2144 - 76 принимается m=2,50
окончательно принимается по таблице4.2 [1, c.
56] q=20
.Уточняется межосевое расстояние при стандартных
значениях "m" и "q"
aw=m(q+Z2)/2,мм
=2,5(20+80)/2=125мм
. Определяются основные размеры червяка по
формулам
.1 делительный диаметр червяка
=qm,мм
=20*2,5=50мм
.2
диаметр вершин витков червяка=d1+2m,мм
=50+2*2,5=55мм
.3
диаметр впадин витков червяка
=50-2,4*2,5=44мм
.4
длина нарезанной части червяка
>(11+0,06Z2)m+25,мм
>(11+0,06*80)2,5+25=172,5мм
Принимаем
b1=173
.5
делительный угол подъёма витка червяка принимается по табл.
при
Z1=2 и q=20 γ=5,50
Определяются
основные размеры червячного колеса по формулам
.1
делительный диаметр колеса
=Z2m,мм=80*2,5=200мм
.2
диаметр вершин зубьев колеса
=d2+2m,мм
=200+2*2,5=205мм
.3
диаметр впадин зубьев колеса
=d2-2,4m,мм=200-2,4*2,5=194мм
.4
наибольший диаметр колеса
<d2+(bm/(Z1+2)),мм
<205+(6*2,5/(2+2))=208,75мм
.5
ширина венца колеса
<0,75*da1,мм
<0,75*55=41,25мм
.6
условный угол обхвата червяка венцом колеса "2σ"
σ=b2/(da1-0,5*m)
σ=41,25/(55-0,5*2,5)=0,94
.
Определяется окружная скорость червяка
=("Пи"d1n1)/(60*1000),м/с
=(3,14*50*280,15)/(60*1000)=0,73м/с
.
Определяется фактическая скорость скольжения
=0,73/cosγ,м/с
=0,73/cos5,5=0,73м/с
Допускаемая
скорость скольжения для безоловянистых бронз Vs=8м/с по рекомендации [1, с. 65]
.
Определяется фактическое допускаемое контактное напряжение.
С
учетом фактической скорости скольжения Vs=0,73м/с для БрА9ЖЗЛ по таблице 4.9[1,
c. 68] ["какая то загогулина"] = 179МПа
.
Определяется фактический КПД червячной передачи по формуле
η=0,95(tgγ/tg(γ+pl))
где
pl- угол трения определяемый по таблице 4.4 [1, c. 59] с учетом скорости
скольжения (Vs=0,73м/с)
η=0,95(tg5,5/tg(5,5+3,1))=0,91
.
Выбирается степень точности червячной передачи.
По
рекомендациям [2, c. 380] при скорости скольжения Vs<1,5м/с применяется 8-ая
степень точности изготовления червячной передачи.
.
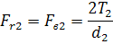
Определяются силы в зацеплении передачи
окружная
на червяке равна осевой силе на колесе вычисляется по формуле
=Fa2=2T1/d1,
Нмм
=2*3,64*103/50=145,6
Нмм
осевая
сила на червяке, равная окружной силе на колесе вычисляется по формуле [2, c.
385, ф 3.194]
Fa1=2T2/d2, Нмм
=2*124,14/200=1241,4 Нмм
радиальная сила на червяке, равная радиальной
силе на колесе вычисляется по формуле [2, c. 385, ф 3.195]
=Fr2=Ft2*tgα,
Нмм
где α=200
- угол зацепления=1241,4*0,364=451,86 Нмм
Определяется контактное напряжение по формуле
[1, c. 62, ф 4.23]
δн=170/(Z1/q)√(T2K((Z2/(q+1))3/aw3),
МПа
где К= Кв*Кv - коэффициент нагрузки; при
постоянной нагрузке Кв=1 по рекомендациям [1, c. 65] - коэффициент
неравномерной нагрузки.=1,15 - коэффициент динамической нагрузки, принимается
по таблице 4.7 [1, c 65]. С учетом скорости скольжения
=*1,15=1,15
δн=170/(80/20)√(124,14*103*1,15((80/(20+1))3/1023)=178,66
МПа
δн=178,66 МПа<[δн]=179
МПа
Прочность зубьев обеспечена
Недогрузка составляет
δн=([ δн]-δн)/[δн]*100=(179-178,66)/179*100=0,22
Что находится в пределах нормы (менее 15
процентов)
. Определяются напряжения изгиба зубьев колеса
по формуле
δf2=(1,2T2KYf2)/(Z2b2m2)
Где Yf2=2,08 - коэффициент формы зуба
определяется для эквивалентного числа зубьев по таблице 4.5 [1, c.
63]=Z2/cos3"гамма"=80/cos35,5=82
δf2=(1,2*124,14*103*1,15*2,08)/(80*41,25*2,042)=25,94
δf2<[δf2]
прочность зубьев на изгиб обеспечена
.1 Предварительный расчет валов редуктора
Исходные данные
. Вращающий момент на ведущем валу T1=3,64 Нм
. Вращающий момент на ведомом валу Т2=124,14 Нм
. Допускаемое касательное напряжение на кручение
для ведомого вала [τк]=15...25МПа
.1.1 Ведущий вал
Диаметр вала определяется по формуле [1, c. 161,
ф 8.16]
в1>3√
((16Т1)/(π*[τк])), мм
в1>3√
((16*3,64*103)/(3,14*10))=12,28 мм
По
ГОСТ 6636 - 69 [1, c. 161] принимается dв1=13мм
.1.2
Ведомый вал
Диаметр
конца вала определяется по формуле [1, c. 161, ф 8.16]
в2>3√
((16Т1)/(π*[τк])),
ммв2>3√ ((16*124,14*103)/(3,14*25))=29,35 мм
Предварительно
( до подбор муфты ) принимается по ГОСТ 6636- 69 dв2=30мм
Предварительно
принимается диаметр вала шейки вала под подшипники=35 мм
Принимается
диаметр вала под колесомк2= dn2+(4...5), ммк2=35+5=40 мм
Принимается
dк2=40 мм
рисунок
2 - Вал ведущий
рисунок
3 - Вал ведомый
.2
Конструктивные размеры червяка и червячного колеса
Витки
червяка выполнены за одно целое с валом, его размеры определены в подразделе
3.1 (расчет червяка и червячного колеса).=50мм=55мм=44мм=173мм
Колесо
выполняется сборное, венец из бронзы, а ступица из стали.
Размеры
колеса принимаются из подраздела 3.1=200мм=205мм=194мм=41,25ммк2=40мм
Определяется
диаметр ступицы по формуле
dст=(1,6...1,9)dк2,мм
ст=(1,6...1,9)40=64...72
мм
Принимается
dст= 68мм
Определяется
длина ступицы по формуле
ст=(1,2...1,8)dк2,
мм
ст=(1,2...1,8)40=48...72
мм
Принимается
lст= 60 мм
Определяется
толщина диска
С=0,25b2,
мм
С=0,25*41,25=
10,31 мм
Определяется
толщина обода
δ=2m, мм
δ=2*2,04=4,08
мм
.3
Конструктивные размеры корпуса
Исходные
данные для расчета
.
Межосевое расстояние aw=102мм
Определяется
толщина стенок корпуса и крышки с учетом стальной сварной конструкции по
формуле
δ=0,04aw+1,
мм
δ=0,04*102+1=5,08
мм
Принимаем
δ=6мм
Определяется
толщина фланцевых поясов корпуса и крышки по формуле=1,5δ, мм
=1,5*6=9
мм
Определяется
толщина фланца нижнего пояса корпуса по формуле
=(2,25...2,75)δ, мм
р=(2,25...2,75)*14=31,5...38,5
мм
Принимается
р=35мм
Определяются
диаметры болтов
фундаментных=(0,03...0,036)aw+12,
мм=(0,03...0,036)102+12=16,08...15,672 мм
Принимаются
болты М16
крепящих
крышку и подшипники к корпусу=(0,7...0,75)d1, мм=(0,7...0,75)16=11,2...12 мм
Принимаются
болты М12
соединяющих
крышку с корпусом=(0,5...0,6)d1, мм=(0,5...0,6)16=8...9,6 мм
Принимаются
болты с резьбой М10
принимается
диаметр штифтов между корпусом и крышкой dн=8 мм
.4
Подбор муфты
Исходные
данные для расчета
.
Вращающий момент на ведомом валу редуктора Т=124,14 Нм
.
Тип муфты - муфта упругая втулочно-пальцевая (МУВП)
.
Диаметр конца вала редуктора(предварительный) dв2=30 мм
В
соответствии с кинематическим моментом Т=4000 Нм, что больше вращающего момента
на ведомом валу редуктора.
Принимается
муфта с цилиндрическими отверстиями для соединения вала редуктора и рабочего
вала машины типа "1" на цилиндрические концы валов и исполнения
"2" для посадка на короткие концы валов
Диаметр
посадочного отверстия принимается d=35 мм. Окончательно принимается диаметр вала
dк1=85 мм.
Окончательно
принимается диаметр вала под колесомк2=45 мм=35 ммт2=40 мм
Длина
посадочной части муфты на вал l = 130 мм
Условное
обозначение муфты
Муфта
МУВП 4000 - 85 - 1.1 ГОСТ 214224 - 93
.5
Эскизная компоновка редуктора
Компоновочный
чертёж выполняют в двух проекциях - разруз по оси колеса и разрез по оси
червяка, намечают центр колеса и проводим 2 горизонтальные линии aw.
Вычерчиваем на 2-х проекциях упрощенно червяк и червячное колесо. Очерчиваем
внутренние стенки редуктора принимая зазор между стенкой и ступицей червячного
колеса 15мм. Намечаем подшипники роликовые конические для ведомого вала
редуктора и шариковые радиально-упорные для ведущего вала редуктора. По
размерам упрощенно изображаем подшипники ведущего и ведомого валов
Измерением
определяем размер от центра колеса до точки приложения реакции подшипника l1=
102 мм.
Измерением
определяем размер от точки приложения реакции до середины конца ведомого вала
l2= 134 мм.
.6.1 Определяются силы в зацеплении передачи
Окружная сила на червячном колесе равная осевой
силе на червяке
Окружная сила на червяке равная осевой силе на
червяке
Радиальные силы на червяке и червячном колесе
Где α=200-угол
зацепления
.7 Проверка прочности шпоночных соединений
Исходные данные для расчета:
. Материал шпоночных - сталь 45
нормализированная
. Размеры сечений шпонки и пазов длина шпонок по
ГОСТ 23360-78
. Допускаемое напряжение при смене стальной
ступицы
.7.1 Ведущий вал
6
Прочность шпоночных соединений обеспечена
.7.2 Ведомый вал
Прочность шпоночных соединений обеспечена
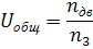
.8 Тепловой расчет редуктора
Определяем температуру масла в корпусе редуктора
=
где tв =
С
- температура окружающего воздуха=3640Bт - мощность на быстроходном валу
редуктора
= 7 об/мин
Кt=12Bт/
*гр
- коэффициент теплопередачи= 100 - площадь теплоотдающий поверхности корпуса
редуктора определяется по таблице 11.6 [2.c.274]=
=
.9 Посадки деталей редуктора
Посадки деталей редуктора назначают в
соответствии с рекомендацией по таблице 10.13[1, с. 263] ГОСТ 25347 - 82
Посадка червячного колеса под вал
Посадка муфты на вал по
Посадка шкива на ведущий вал по
Шейки валов под подшипники выполняем с
отклонениями вала K6
Отношение отверстий в корпусе под наружные
кольца подшипников H7
.10 Выбор сорта масла
Смазывание червячного зацепления производится
путем разбрызгивания масла брызговиками напресованными на вал червяка. Объём
масла определяется из расчета 0,25 дм3 масла на 1 кВт передаваемой мощности
=0.25*P
где P - мощность на ведущем валу редуктора
P=3,84кВт=0.25*3,84=0,96 дм3
По таблице 10.8 [1, с. 253] устанавливаем
вязкость масла. При контактных напряжениях 250МПа кинематическая вязкость масла
составит 32*10-6 м2/с. Сорт масла И30-А.
.11 Сборка редуктора
Перед сборкой внутреннюю полость корпуса
тщательно очищают и покрывают маслостойкой краской. Сборку редуктора производят
в соответствии с чертежом общего вида.начинают сборку с того, что на червячный
вал надевают крыльчатки и шариковые радиально-упорные подшипники,
предварительно нагрев их в масло до 80-1000С. Собранный червячный вал вставляют
в корпус.
При установке червяка, выполненного за одно
целое с валом, следует обратить внимание на то, что для прохода червяка его
диаметр должен быть меньше диаметра отверстия подшипников. В нашем случае
наружный диаметр червяка dв1=... , а наружный диаметр подшипников 36208 D= ...
мм.
В начале сборки вала червячного колеса
закладывают шпонку и напрессовывают колесо до упора в бурт вала; затем надевают
распорную втулку и устанавливают роликовые конические подшипники, нагретые в
масле. Собранный вал укладывают в основании корпуса и нагревают крышку корпуса,
покрывая предварительно поверхность стыка фланцев спиртовым лаком. Для
центровки крышку устанавливают на корпус с помощью двух конических штифтов и
затягивают болты.
Закладывают в подшипниковые сквозные крышки
резиновые манжеты и устанавливают крышки с прокладками.
Регулировку радиально-упорных подшипников
производят набором тонких механических прокладок 1 и 2, устанавливаемых под
фланцы крышек подшипников.
Для регулировки червячного зацепления необходимо
весь комплект вала с червячным колесом смещать в осевом направлении до
совпадения средней плоскости колеса с осью червяка. Этого добиваются переносом
части прокладок 2 с одной стороны корпуса в другую. Чтобы при этом сохранилась
регулировка подшипников, суммарная толщина набора прокладок 2 должна оставаться
без изменения.
Ввертывают пробку маслоспускного отверстия с
прокладкой и маслоуказатель. Заливают в редуктор масло и закрывают смотровое
отверстие крышкой с отдушиной.
Собранный редуктор обкатывают и испытывают на
стенде.
.12 Расчет технического уровня редуктора
Определение массы редуктора.
Массу редуктора определяют по формуле [2, с.
276]
=µ*р*d1
*
=8*7400*50
*
=92,94
Определяем технический уровень редуктора.
γ =
По таблице 12.1 [2, с. 275] определяем уровень
спроектированного редуктора
Уровень редуктора - средний.
Таблица 4 - Параметры редуктора
|
№
|
Наименование
|
Обозначение
|
|
1
|
Тип
редуктора
|
Червячный
|
|
2
|
Передаточное
число
|
|
|
3
|
Передаваемая
мощность
|
|
|
4
|
Вращающий
момент на ведомом валу
|
|
|
5
|
Частота
вращения ведомого вала
|
|
Заключение
червячный вал шпоночный муфта
Перед сборкой внутреннюю полость корпуса
тщательно очищают и покрывают маслостойкой краской. Сборку редуктора производят
в соответствии с чертежом общего вида.начинают сборку с того, что на червячный
вал надевают крыльчатки и шариковые радиально-упорные подшипники,
предварительно нагрев их в масло до 80-1000С. Собранный червячный вал вставляют
в корпус.
При установке червяка, выполненного за одно
целое с валом, следует обратить внимание на то, что для прохода червяка его
диаметр должен быть меньше диаметра отверстия подшипников. В нашем случае
наружный диаметр червяка dв1=... , а наружный диаметр подшипников 36208 D= ...
мм.
В начале сборки вала червячного колеса
закладывают шпонку и напрессовывают колесо до упора в бурт вала; затем надевают
распорную втулку и устанавливают роликовые конические подшипники, нагретые в
масле. Собранный вал укладывают в основании корпуса и нагревают крышку корпуса,
покрывая предварительно поверхность стыка фланцев спиртовым лаком. Для
центровки крышку устанавливают на корпус с помощью двух конических штифтов и
затягивают болты.
Закладывают в подшипниковые сквозные крышки
резиновые манжеты и устанавливают крышки с прокладками.
Регулировку радиально-упорных подшипников
производят набором тонких механических прокладок 1 и 2, устанавливаемых под
фланцы крышек подшипников.
Для регулировки червячного зацепления необходимо
весь комплект вала с червячным колесом смещать в осевом направлении до
совпадения средней плоскости колеса с осью червяка. Этого добиваются переносом
части прокладок 2 с одной стороны корпуса в другую. Чтобы при этом сохранилась
регулировка подшипников, суммарная толщина набора прокладок 2 должна оставаться
без изменения.
Литература
1.
С.А. Чернавский "Курсовое проектирование деталей машин" 2008г. Москва
"Машиностроение"
2.
А.Е. Шайнблит "Курсовое проектирование деталей машин" 2012г.
Калининград "Янтарный сказ".