Реконструкция системы электроснабжения завода ОАО 'Тагат' имени С.И. Лившица
СОДЕРЖАНИЕ
ВВЕДЕНИЕ
Краткая
характеристика предприятия
Исходные
данные для проектирования
1.
Проектирование внутрицеховых электрических сетей
1.1
Определение расчетной нагрузки цеха методом коэффициента максимума
1.2 Расчет
освещения цеха
1.2.1 Расчет
рабочего освещения цеха методом коэффициента использования
.2.2 Проверка
светового потока точечным методом
1.2.3
Аварийное освещение
1.2.4 Расчет
освещения во вспомогательных помещениях
1.2.5 Расчет
осветительной сети
1.3 Выбор
проводов, кабелей, шин, распределительных шкафов и их проверка. Выбор элементов
ПРА и ЗА
1.4
Определение суммарной нагрузки с учетом освещения
.5 Выбор
числа и мощности трансформаторов цеховой подстанции
.6 Расчет
токов короткого замыкания
2.
Проектирование системы внутризаводского электроснабжения
2.1 Расчет
электрических нагрузок
2.1.1 Расчет
силовых нагрузок завода
2.1.2 Расчет
осветительной нагрузки цехов
.1.3
Освещение территории завода
.1.4
Определение суммарной нагрузки
2.2
Картограмма электрических нагрузок завода
.3
Определение центра электрических нагрузок
.4
Компенсация реактивной мощности
2.5 Выбор
числа и мощности трансформаторов цеховых ТП
2.6 Выбор
сечения кабелей внутризаводского электроснабжения
.7
Корректировка расчетной нагрузки
.8
Технико-экономический расчет схемы внешнего электроснабжения
.9 Расчет
токов короткого замыкания
.10
Компоновка главной понизительной подстанции
.10.1 Выбор
трансформаторов ГПП
2.10.2 Выбор
выключателей высокого напряжения
2.10.3 Выбор
трансформаторов напряжения и трансформаторов тока
.10.4 Выбор
разъединителей, отделителей и короткозамыкателей
.10.5 Выбор
разрядников
.10.6 Выбор
высоковольтных предохранителей
3. Расчет
релейной защиты и автоматики
3.1 Расчет
релейной защиты трансформаторов, установленных на ГПП
3.1.1 Защита
от повреждения внутри кожуха и от понижения уровня масла
3.1.2 Защита
от повреждений на выводах и от внутренних повреждений трансформатора
3.1.3 Защита
от токов внешних многофазных КЗ
3.2 Расчет
релейной защиты асинхронных двигателей
3.2.1 Защита
двигателей от междуфазных коротких замыканий
.2.2 Защита
электродвигателей от перегрузки
.2.3 Защита
от понижения напряжения
3.2.4 Защита
электродвигателей от замыканий на землю в сети 6-10 кВ
3.3 Расчет
релейной защиты блоков линия-трансформатор
3.3.1
Быстродействующая защита от многофазных коротких замыканий
3.3.2
Максимальная токовая защита от внешних коротких замыканий
.3.3
Максимальная токовая защита при перегрузке
3.4 Релейная
защита конденсаторных установок
4. Учет
электроэнергии
.
Технико-экономические расчеты
.
Безопасность жизнедеятельности
6.1
Заземление и защитные меры электробезопасности
.2 Меры
защиты от прямого и косвенного прикосновения
.3 Расчет
заземляющих устройств выше 1 кВ
.4 Расчет
заземляющих устройств до 1 кВ
.5 Расчет
молнезащиты
7. Спецчасть
ЗАКЛЮЧЕНИЕ
СПИСОК ИСПОЛЬЗУЕМОЙ
ЛИТЕРАТУРЫ
ВВЕДЕНИЕ
Эффективное и надежное функционирование современного промышленного
предприятия немыслимо без хорошо продуманной, рациональной и оптимально
разработанной системы электроснабжения. Кропотливая разработка, с учетом всех
фактов, системы электроснабжения обеспечивает наиболее эффективное
использование средств и ресурсов, выделенных на данные работы. Современное
неустойчивое экономическое положение большинства отечественных промышленных
предприятий вынуждает делать особый упор при проектировании системы
электроснабжения промышленного предприятия на последний фактор (эффективное
использование средств).
Основные задачи, решаемые инженерами-энергетиками в процессе
проектирования систем электроснабжения состоят в обработке всего объема
информации, относящейся к области электроэнергетики на данном промышленном
предприятии, и в решении следующих вопросов: рациональное проектирование новых
энергетических объектов и реконструкции старых, уменьшение удельных
капиталовложений и себестоимости распределения электроэнергии. При
проектировании системы электроснабжения современного промышленного предприятия
возникает необходимость решать все эти задачи комплексно и найти оптимальное
соотношение между всеми этими вопросами.
Электрическое хозяйство современного промышленного предприятия
представляет собой сложную систему, состоящую из множества взаимосвязанных и
взаимодействующих элементов. При проектировании важно правильно учесть
характер, степень взаимодействия и влияния друг на друга элементов системы.
Поэтому проектирование ведется с учетом иерархичности систем электроснабжения
от высших уровней к низшим, от энергосистемы к отдельным электроприемникам.
Принятие очередного технического решения должно учитывать и базироваться на
технических решениях, принятых для более высокого уровня иерархии.
Немаловажное значение при принятии проектных решений имеет также выбор
оптимального сочетания экономичности для рассматриваемого варианта. Как
известно, необходимое увеличение надежности всегда приводит к непомерному
увеличению капиталовложений, нередко превышающих возможный ущерб при аварии.
Большинство решений данного проекта приняты на основании технических
условий (степени надежности, номинальных и расчетных параметров, места
установки, соответствию существующим нормам и правилам, удобство эксплуатации и
ремонта и др.), однако при наличии равноценных в техническом отношении
вариантов решения принимались на основе сравнения по экономическим показателям.
Основное внимание при проектировании системы электроснабжения современного
предприятия уделяется разработке схемы внутризаводского электроснабжения,
отвечающей в основном требованиям к системам электроснабжения промышленного
предприятия:
надежность электроснабжения потребителей;
соответствие исходным данным;
удобство и простота эксплуатации и ремонта;
защищенность работающего и обслуживающего систему персонала;
экономическая обоснованность и целесообразность.
Краткая
характеристика предприятия
Открытое акционерное общество «Тамбовгальванотехника» имени С.И. Лившица
основано в 1941 году, с 1961 года работает в области гальванопроизводства и по
сегодняшний день является единственным в стране специализированным предприятием
по проектированию и изготовлению автоматических и механизированных линий, а
также другого оборудования для нанесения гальванических, химических и
анодизационных покрытий.
За время работы специалистами завода спроектировано, изготовлено и
внедрено на предприятиях страны и за рубежом более 8000 гальванических линий.
Кроме того, на предприятии выпускаются очистные сооружения для гальваностоков,
системы защиты атмосферы гальванических цехов (специальные защитные камеры с
вентиляционной системой) и очистки вентиляционных выбросов, позволяющие
комплексно решать вопросы, связанные с сохранением экологической безопасности
среды, экономией дорогостоящих материалов и водных ресурсов. Также ОАО
«Тамбовгальванотехника» имени С.И. Лившица изготавливает воздуховоды для
приточной и вытяжной вентиляции из различного материала (полипропилен,
нержавеющая сталь, оцинкованная сталь) и различного сечения, фильтры
волокнистые разной производительности для санитарной очистки аспирационного
воздуха отходящего от гальванических ванн и дополнительно доукомплектовать их
емкостью для гидрозатвора.
За период своей деятельности при проектировании гальванического
оборудования получено 84 авторских свидетельства на изобретения, 3 патента на
изобретения и 6 свидетельств на промышленные образцы.
Сегодня любое изделие проектируется, изготавливается и сдается заказчику
под его конкретные технические условия.
ОАО «ТАГАТ» им. С.И. Лившица предлагает:
Линии автооператорные автоматические и механизированные.
Линии кареточные овальные подвесочные, конвейерного типа.
Системы управления. Режим работы - ручной, механизированный, автоматический.
Управление автооператорами, плавный разгон и торможение. Контроль температуры,
уровня концентрации раствора в ваннах, управление выпрямителями, световая и
звуковая сигнализации.
Ванны для подготовки поверхности и нанесения покрытий. В зависимости от
требований процесса ванны оборудуются кожухами вентиляции, барботерами,
элементами нагрева или охлаждения, токоподводящими элементами, крышками,
механизмами качания штанг. В зависимости от агрессивности раствора ванны
изготавливаются из сталей углеродистых или нержавеющих, титана, полипропилена,
полиэтилена, футеруются поливинилхлоридным пластикатом, фторопластом.
Установка хромирования длинномерных штоков УГ-4. Размер штока: диаметр -
80-100 мм; длина - 2500-10000 мм. Производительность до 1000 шт./год. Конструкция
запатентована.
Комплексы для очистки сточных вод (КОС) гальванического производства
базируются на следующих методах очистки: реагентный, электрокоагуляционный,
ионообменный, сорбционный, электрофлотационный. Данные методы очистки
применяются в зависимости от требуемой производительности комплекса,
необходимостью замкнутого или частичного водооборота, исходных концентраций
загрязняющих компонентов в стоках, требований региональных природоохранных
организаций по ПДК загрязняющих компонентов в очищенной воде при сбросе её в
канализацию, и согласно другим требованиям заказчика.
модуль доочистки;
вакуум-фильтр барабанного типа;
фильтр-пресс.
Средства малой механизации:
ванны колокольные ВК-5, 10, 20, 40М. Объем колокола - 5, 10, 20, 40
литров;
установка барабанная УПН-3 для покрытия мелких деталей насыпью. Загрузка
в барабан: по массе - 40 кг; по поверхности - 6 м2;
колокол наливной КН-6, 12 объем колокола - 6, 12 дм3;
Автооператоры подвесные, портальные и консольные грузоподъемностью от 50
- 1000 кг;
Барабаны для нанесения гальванических и химических покрытий различных
типоразмеров и перфорацией из полипропилена, нержавеющей стали.
Барабан переносной БП-2 объем- 2,3 дм3. загрузка - до 2,5 кг.
Корзины титановые для анодов различных типоразмеров и перфорацией.
Сушильные камеры с интенсивным процессом сушки, с осциллирующим барабаном
для сушки мелких деталей насыпью, а также сушильные камеры и сушильные шкафы по
заданию заказчика.
Фильтровальные установки для фильтрации сернокислых медных и никелевых,
кислых (кроме хромовокислых), щелочных, аммиакатных и цианистых электролитов от
механических загрязнений.
Насосы химстойкие для перекачивания сернокислых медных и никелевых,
кислых (кроме хромовокислых), щелочных, аммиакатных, цианистых и нейтральных
растворов.
Запасные части для различных узлов гальванического оборудования.
Технический уровень оборудования позволил поставлять его в 32 страны
мира, в т.ч. Кубу, Корею, Иран и на равных конкурировать со многими известными
фирмами, а с некоторыми осуществлять сотрудничество.
Конкурентоспособность оборудования и отдельных узлов (сушильные камеры,
ванны, подвески, анодные корзины и др.) позволило поставлять его в Израиль,
Англию, Австрию, Швецию.
ОАО «ТАГАТ» имени С.И. Лившица предлагает гальваническое оборудование любой
сложности в том числе многопроцессные линии с компьютерной системой управления
на базе промышленных компьютеров и контроллеров фирмы «BECKHOFF».
Применение современных лакокрасочных материалов, комплектующих изделий,
рекомендаций по технологическим процессам и блескообразующим добавкам
(совместная работа с ЗАО «Экомет» г. Москва) позволяет предприятию выполнять
требования заказчиков полностью.
В ежегодном конкурсе по программе «100 лучших товаров России» получены
дипломы:
Установка покрытия мелких деталей насыпью УПН-3.
Ванна колокольная ВК-40М (типовой представитель ВК-10, ВК-20).
Установка фильтровальная.
В целях всестороннего удовлетворения требований заказчиков, помимо
контрольной сборки оборудования и испытаний его на холостом ходу на
заводе-изготовителе, ОАО «ТАГАТ» имени С.И. Лившица обеспечивает, по
договоренности с заказчиком, шеф-монтаж или полный монтаж оборудования со
сдачей его «под ключ», а также обеспечение необходимыми запчастями и
комплектующими изделиями в процессе эксплуатации.
Исходные данные для проектирования
Таблица 1
Ведомость установленных мощностей цеха
|
Позиция
|
Наименование
|
Обозначение
|
P, кВт
|
|
|
|
|
1
|
Вертикально фрезерный станок
|
СФ 35-010
|
5,5
|
0,12
|
0,65
|
1,17
|
|
2
|
Токарно-винторезный станок
|
1К62
|
7
|
0,15
|
0,65
|
1,17
|
|
3
|
Горизонтально фрезерный станок
|
6Р82Г
|
5,5
|
0,12
|
0,65
|
1,17
|
|
4
|
Токарно-винторезный станок
|
16К20
|
7
|
0,15
|
0,65
|
1,17
|
|
5
|
Поперечно строгальный станок
|
7М37
|
7
|
0,12
|
0,6
|
1,33
|
|
6
|
Токарно-винторезный станок
|
1М63
|
7
|
0,12
|
0,65
|
1,17
|
|
7
|
Токарно-винторезный станок
|
Кусон-3
|
15
|
0,15
|
0,65
|
1,17
|
|
8
|
Настольно сверлильный станок
|
2М112
|
1,5
|
0,12
|
0,6
|
1,33
|
|
9
|
Вертикально сверлильный станок
|
2Н135
|
2,2
|
0,12
|
0,5
|
1,73
|
|
10
|
Отрезной станок
|
Н-1
|
3
|
0,12
|
0,4
|
2,29
|
|
11
|
Завивочный станок
|
|
2,2
|
0,12
|
0,5
|
1,73
|
|
12
|
Стенд для испытания тросов
|
|
5
|
0,12
|
0,6
|
1,33
|
|
13
|
Зубофрезерный станок
|
532
|
7
|
0,17
|
0,65
|
1,17
|
|
14
|
Зубофрезерный станок
|
5К32А
|
7
|
0,17
|
0,65
|
1,17
|
|
15
|
Зубодолбёжный станок
|
5М14
|
5
|
0,2
|
0,6
|
1,33
|
|
16
|
Токарно-винторезный станок
|
16К20
|
7
|
0,12
|
0,65
|
1,17
|
|
17
|
Стенд очистки масел
|
СОГ-94
|
10
|
0,12
|
0,6
|
1,33
|
|
18
|
Стеллаж механизированный
|
|
5
|
0,06
|
0,65
|
1,17
|
|
19
|
Стеллаж механизированный
|
|
5
|
0,06
|
0,65
|
1,17
|
|
20
|
Стеллаж механизированный
|
|
5
|
0,06
|
0,65
|
1,17
|
|
21
|
Стеллаж механизированный
|
|
5
|
0,06
|
0,65
|
1,17
|
|
22
|
Ножницы гильотинные
|
Н3121
|
10
|
0,12
|
0,4
|
2,29
|
|
23
|
Ножницы высечные
|
Н4518
|
5
|
0,12
|
0,5
|
1,73
|
|
24
|
Зиг машина
|
С237
|
3
|
0,12
|
0,5
|
1,73
|
|
25
|
Долбёжный станок
|
7А420
|
3
|
0,12
|
0,4
|
2,29
|
|
26
|
Настольно сверлильный станок
|
СНВ-1
|
1,5
|
0,12
|
0,6
|
1,33
|
|
27
|
Сварочный автомат
|
ВДГ-1
|
15
|
0,3
|
0,35
|
2,68
|
|
28
|
Сварочный автомат
|
ТИР630
|
21
|
0,3
|
0,35
|
2,68
|
|
29
|
Установка пламенной резки
|
СА-401
|
28
|
0,3
|
0,5
|
1,73
|
|
30
|
Сварочный выпрямитель
|
ВД 401
|
25
|
0,5
|
0,35
|
2,68
|
|
31
|
Станок для алмазной заточки инструмента
|
3Л631
|
1,5
|
0,2
|
0,65
|
1,17
|
|
32
|
Точильно-шлифовальный станок
|
3Б634
|
3
|
0,12
|
0,4
|
2,29
|
Таблица 2
Ведомость установленных мощностей завода
|
№ п.п.
|
Наименование
|
Рном (кВт)
|
cos φ
|
Kc
|
Категория по надежности
|
Среда
|
|
1
|
Админ. корпус 2 этажа
|
330
|
0,85
|
III
|
Норм.
|
|
2
|
Инженер. корпус 4 этажа
|
506
|
0,95
|
0,2
|
III
|
Норм.
|
|
3
|
Гараж №1
|
241
|
0,65
|
0,3
|
III
|
Норм.
|
|
4
|
Гараж №2
|
50
|
0,65
|
0,3
|
III
|
Норм.
|
|
5
|
Гальванический цех
|
1 410
|
0,65
|
0,35
|
II
|
Норм.
|
|
6
|
Компрессорная
|
1 130
|
0,8
|
0,6
|
II
|
Норм.
|
|
7
|
Склад №1
|
130
|
0,55
|
0,1
|
III
|
Норм.
|
|
8
|
Склад №2
|
120
|
0,55
|
0,1
|
III
|
Норм.
|
|
9
|
Склад №3
|
150
|
0,55
|
0,1
|
III
|
Норм.
|
|
10
|
Склад №4
|
25
|
0,55
|
0,1
|
III
|
Норм.
|
|
11
|
Склад №5
|
95
|
0,55
|
0,1
|
III
|
Норм.
|
|
12
|
Винило-сборочный участок
|
1850
|
0,65
|
0,35
|
III
|
Норм.
|
|
13
|
Грузовая проходная
|
12
|
0,8
|
0,6
|
III
|
Норм.
|
|
14
|
РМУ
|
164
|
0,65
|
0,3
|
III
|
Норм.
|
|
15
|
Литейный цех
|
1 226
|
0,7
|
0,25
|
II
|
Норм.
|
|
16
|
Диспетчерская
|
37
|
0,6
|
0,1
|
III
|
Норм.
|
|
17
|
Бытовые помещения 2 этажа
|
336
|
0,8
|
0,3
|
III
|
Норм.
|
|
18
|
Механический цех
|
1041
|
0,7
|
04
|
III
|
Норм.
|
|
19
|
Стенд испытания кругов
|
74
|
0,65
|
0,15
|
III
|
Норм.
|
|
Цех №1
|
|
|
|
|
|
|
20
|
Механо-сборочный цех
|
1 837
|
0,7
|
0,4
|
III
|
Норм.
|
|
21
|
Бытовые помещения 3этажа
|
296
|
0,8
|
0,3
|
III
|
Норм.
|
|
Цех №2
|
|
|
|
|
|
|
22
|
Сварочно-сборочный цех
|
1 605
|
0,65
|
0,35
|
II
|
Норм.
|
|
23
|
Бытовые помещения 2 этажа
|
105
|
0,8
|
0,3
|
III
|
Норм.
|
|
24
|
Участок футировки
|
532
|
0,65
|
0,3
|
III
|
Норм.
|
|
25
|
Покрасочный участок
|
185
|
0,65
|
0,3
|
III
|
Норм.
|
|
26
|
Дробеструйный участок
|
437
|
0,85
|
0,5
|
II
|
Норм.
|
|
Цех №3
|
|
|
|
|
|
|
27
|
Бытовые помещения 1 этаж
|
58
|
0,85
|
0,3
|
III
|
Норм.
|
|
28
|
Слесарно-сборочный цех
|
2 156
|
0,7
|
0,4
|
III
|
Норм.
|
|
29
|
Заготовительный цех
|
525
|
0,65
|
0,35
|
III
|
Норм.
|
|
30
|
Инструментальный цех
|
1952
|
0,7
|
0,4
|
III
|
Норм.
|
|
31
|
Столярный цех
|
1095
|
0,6
|
0,3
|
III
|
Норм.
|
|
32
|
Участок сборки и испытания готовой продукции
|
870
|
0,6
|
025
|
III
|
Норм.
|
|
33
|
Склад готовой продукции
|
201
|
0,55
|
0,1
|
III
|
Норм.
|
1. Проектирование внутрицеховых электрических сетей
.1 Расчёт электрических нагрузок цеха методом
коэффициента максимума
Расчет электрических нагрузок выполняем методом упорядоченных диаграмм.
Этот метод расчета электрических нагрузок, который сводится к определению
максимальных расчетных нагрузок группы электроприёмников.
где:
- максимальная активная мощность
- максимальная реактивная мощность
- максимальная полная мощность
- коэффициент максимума активной мощности
- коэффициент максимума реактивной мощности
- средняя активная мощность за наиболее нагруженную смену
- средняя реактивная мощность за наиболее нагруженную смену
где:
- номинальная активная групповая мощность, приведённая к
длительному режиму, без учёта резервных электроприёмников
- коэффициент использования электроприёмников, определяется
на основании опыта эксплуатации ([1],табл. 1.5.1, с.24 )
- коэффициент реактивной мощности
([1],табл. 1.5.3, с.26)
при отсутствии таблиц коэффициент максимума можно определить по формуле:
где:
- средний коэффициент использования группы
электроприёмников:
где:
- суммарная активная мощность за смену группы
электроприёмников
- суммарная номинальная активная мощность группы
электроприёмников
- эффективное число электроприёмников
([11], табл. 1.5.2, с. 25)
где:
- фактическое число электроприёмников в группе
- показатель силовой сборки в группе:
где:
- номинальная, приведённая к длительному режиму, активная
мощность, наибольшая в группе
- номинальная, приведённая к длительному режиму, активная
мощность, наименьшая в группе
В соответствии с практикой проектирования систем электроснабжения
установлено, что:
при
и
эффективное число электроприёмников вычисляется по формуле:
В тех случаях когда
следует принимать
при
принимать
при
и
расчётная максимальная нагрузка принимается
где:
- коэффициент загрузки
Расчётный ток для РП рассчитывается по формуле:
Данные расчётов сведём в таблицу:
Таблица 3.1
Расчёт электрических нагрузок цеха (РП1)
|
Наименование РУ и приёмников
|
Нагрузка установленная
|
Нагрузка средняя за смену
|
Нагрузка максимальная
|
|
|
n
|
KИ
|
cos
|
tg
|
m
|
|
|
|
|
|
|
|
|
|
|
|
1
|
2
|
3
|
4
|
5
|
6
|
7
|
8
|
9
|
10
|
11
|
12
|
13
|
14
|
15
|
16
|
17
|
|
РП -1
|
|
Вертикально фрезерный станок
|
5,5
|
1
|
0,12
|
0,65
|
1,17
|
|
0,66
|
0,77
|
|
|
|
|
|
|
|
|
|
Токарно-винторезный станок
|
7
|
1
|
0,15
|
0,65
|
1,17
|
|
1,05
|
1,23
|
|
|
|
|
|
|
|
|
|
Горизонтально фрезерный станок
|
5,5
|
1
|
0,12
|
0,65
|
1,17
|
|
0,66
|
0,77
|
|
|
|
|
|
|
|
|
|
Токарно-винторезный станок
|
7
|
1
|
0,15
|
0,65
|
1,17
|
|
1,05
|
1,23
|
|
|
|
|
|
|
|
|
|
Поперечно строгальный станок
|
7
|
1
|
0,6
|
1,33
|
|
0,84
|
1,12
|
|
|
|
|
|
|
|
|
|
Токарно-винторезный станок
|
7
|
1
|
0,12
|
0,65
|
1,17
|
|
0,84
|
0,98
|
|
|
|
|
|
|
|
|
|
Токарно-винторезный станок
|
15
|
1
|
0,15
|
0,65
|
1,17
|
|
2,25
|
2,63
|
|
|
|
|
|
|
|
|
|
Настольно сверлильный станок
|
1,5
|
1
|
0,12
|
0,6
|
1,33
|
|
0,18
|
0,24
|
|
|
|
|
|
|
|
|
|
Вертикально сверлильный станок
|
2,2
|
1
|
0,12
|
0,5
|
1,73
|
|
0,26
|
0,45
|
|
|
|
|
|
|
|
|
|
Токарно-шлифовальный станок
|
3
|
1
|
0,12
|
0,4
|
2,29
|
|
0,36
|
0,82
|
|
|
|
|
|
|
|
|
|
Завивочный станок
|
2,2
|
1
|
0,12
|
0,5
|
1,73
|
|
0,26
|
0,45
|
|
|
|
|
|
|
|
|
|
Стенд для испытания тросов
|
5
|
1
|
0,12
|
0,6
|
1,33
|
|
0,6
|
0,8
|
|
|
|
|
|
|
|
|
|
Долбёжный станок
|
3
|
1
|
0,12
|
0,4
|
2,29
|
|
|
|
|
|
|
|
|
|
|
|
|
Итого по РП
|
71,7
|
13
|
0,119
|
0,71
|
0,99
|
10
|
8,17
|
11,49
|
14,1
|
10
|
2,13
|
1
|
17,40
|
11,49
|
20,85
|
31,72
|
Таблица 3.2
Расчёт электрических нагрузок цеха (РП2)
|
Наименование РУ и приёмников
|
Нагрузка установленная
|
Нагрузка средняя за смену
|
Нагрузка максимальная
|
|
|
n
|
KИ
|
cos
|
tg
|
m
|
|
|
|
|
|
|
|
|
|
|
|
1
|
2
|
3
|
4
|
5
|
6
|
7
|
8
|
9
|
10
|
11
|
12
|
13
|
14
|
15
|
16
|
17
|
|
РП - 2
|
|
Зубофрезерный станок
|
7
|
1
|
0,17
|
0,65
|
1,17
|
|
1,19
|
1,392
|
|
|
|
|
|
|
|
|
|
Зубофрезерный станок
|
7
|
1
|
0,17
|
0,65
|
1,17
|
|
1,19
|
1,392
|
|
|
|
|
|
|
|
|
|
Зубодолбёжный станок
|
5
|
1
|
0,2
|
0,6
|
1,33
|
|
1
|
1,33
|
|
|
|
|
|
|
|
|
|
Токарно винторезный станок
|
7
|
1
|
0,12
|
0,65
|
1,17
|
|
0,84
|
0,983
|
|
|
|
|
|
|
|
|
|
Стенд очистки масел
|
10
|
1
|
0,12
|
0,6
|
1,33
|
|
1,2
|
1,596
|
|
|
|
|
|
|
|
|
|
Стеллаж механизиров
|
5
|
2
|
0,06
|
0,65
|
1,17
|
|
0,3
|
0,351
|
|
|
|
|
|
|
|
|
|
Ножницы гильотинные
|
10
|
1
|
0,12
|
0,5
|
1,73
|
|
1,2
|
2,076
|
|
|
|
|
|
|
|
|
|
Станок для алмазной заточки инструмента
|
1,5
|
1
|
0,2
|
0,65
|
1,17
|
|
0,3
|
0,351
|
|
|
|
|
|
|
|
|
|
Итого по РП
|
57,5
|
9
|
0,13
|
0,61
|
1,31
|
6,67
|
7,52
|
9,822
|
12,37
|
9
|
2,293
|
1,1
|
17,25
|
10,8
|
20,352
|
30,96
|
Таблица 3.3
Расчёт электрических нагрузок цеха (РП3)
|
Наименование РУ и приёмников
|
Нагрузка установленная
|
Нагрузка средняя за смену
|
Нагрузка максимальная
|
|
|
n
|
KИ
|
cos
|
tg
|
m
|
|
|
|
|
|
|
|
|
|
|
|
1
|
2
|
3
|
4
|
5
|
6
|
7
|
8
|
9
|
10
|
11
|
12
|
13
|
14
|
15
|
16
|
17
|
|
РП - 3
|
|
Сварочный выпрямитель
|
25
|
1
|
0,5
|
0,35
|
2,68
|
|
12,5
|
33,5
|
|
|
|
|
|
|
|
|
|
Стеллаж механизиров
|
5
|
2
|
0,06
|
0,65
|
1,17
|
|
0,3
|
0,351
|
|
|
|
|
|
|
|
|
|
Зиг машина
|
3
|
1
|
0,12
|
0,5
|
1,73
|
|
0,36
|
0,623
|
|
|
|
|
|
|
|
|
|
Ножницы высечные
|
5
|
1
|
0,12
|
0,5
|
1,73
|
|
0,6
|
1,038
|
|
|
|
|
|
|
|
|
|
Отрезной станок
|
3
|
1
|
0,12
|
0,4
|
2,29
|
|
0,36
|
0,824
|
|
|
|
|
|
|
|
|
|
Итого по РП
|
46
|
6
|
0,31
|
0,37
|
2,54
|
8,33
|
14,42
|
36,687
|
39,42
|
6
|
1,91
|
1,1
|
27,54
|
40,36
|
48,86
|
74,32
|
Таблица 3.4
Расчёт электрических нагрузок цеха (РП4)
|
Наименование РУ и приёмников
|
Нагрузка установленная
|
Нагрузка средняя за смену
|
Нагрузка максимальная
|
|
|
n
|
KИ
|
cos
|
tg
|
m
|
|
|
|
|
|
|
|
|
|
|
|
1
|
2
|
3
|
4
|
5
|
6
|
7
|
8
|
9
|
10
|
11
|
12
|
13
|
14
|
15
|
16
|
17
|
|
РП - 4
|
|
Настольно сверлильный станок
|
1,5
|
1
|
0,12
|
0,6
|
1,33
|
|
0,18
|
0,239
|
|
|
|
|
|
|
|
|
|
Сварочный автомат
|
1
|
0,3
|
0,35
|
2,68
|
|
4,5
|
12,06
|
|
|
|
|
|
|
|
|
|
Сварочный автомат
|
21
|
1
|
0,3
|
0,35
|
2,68
|
|
6,3
|
16,884
|
|
|
|
|
|
|
|
|
|
Установка пламенной резки
|
28
|
1
|
0,3
|
0,5
|
1,73
|
|
8,4
|
14,28
|
|
|
|
|
|
|
|
|
|
Итого по РП
|
65,5
|
4
|
0,3
|
0,41
|
2,24
|
18,33
|
19,38
|
43,463
|
47,59
|
3
|
2,32
|
1,1
|
44,96
|
47,81
|
65,63
|
99,81
|
1.2
Расчёт освещения цеха
.2.1 Расчет освещения помещения методом коэффициента
использования
Условия среды в цехе нормальные, поэтому для освещения
выбираем светильники типа ЛПО 12-2х40 ([3], табл. З-7, с.54). Технические
данные светильника сводим в таблицу 4.
Таблица 4
Технические данные светильника
|
Габаритные размеры, мм
|
Масса, кг
|
|
Длина
|
Ширина
|
Высота
|
|
|
1296
|
214
|
95
|
7
|
Коэффициентом
использования
называют отношение потока, падающего на освещаемую
поверхность, ко всему потоку ламп.
Зависимость
от площади помещения, высоты и формы учитывают
комплексной характеристикой - индексом помещения
:
где,
S -
площадь помещения (м2);
и
- соответственно длина и ширина помещения, м;
h - расчетная
высота (м);
где, H - высота помещения (м);
- расстояние от перекрытия до лампы светильника (м);
- высота рабочей поверхности (м);
Для cтаночного отделения:
Приминаем
.
По таблице 5-1 [3], задаемся коэффициентами отражения:
для пола
;
для стен
;
для пола
.
Для светильников типа ЛПО 12-2х40 при
по таблице 5-10 [3], определяем
коэффициент использования
.
Определяем количество рядов светильников по формуле:
где, L - расстояние между рядами;
где, λ - коэффициент, зависящий от кривой светораспределния
светильника.
В нашем случае светильник ЛПО имеет в поперечной плоскости сечения кривую
светораспределения типа Д - косинусная; λ=1,4; ([3], табл. 4-16, с 123).
Принимаем N=4
Определяем число светильников в ряду:
где, E - норма освещенности для помещения
(лк);
S -
площадь (м2);
- коэффициент минимальной освещенности;
k -
коэффициент запаса ([3], таблица 4-9, с. 118);
- поток выбранного светильника (лм).
Для данного помещения: E=200
(лк); z=1,15; k=1,5:
Исходя из конструктивных особенностей помещения, принимаем n=20. Результаты вычислений запишем в
таблицу 5
Таблица 5
Результаты расчета методом коэффициента использования
|
Помещение
|
Тип лампы
|
AхBхH (м)
|
h (м)
|
i
|
η %
|
(лк)
|
Ф (лк)
|
N
|
n
|
|
Станочное отделение
|
ЛПО 12-2х40
|
|
3,1
|
|
53
|
|
2450
|
4
|
20
|
.2.2 Расчёт светящей линии
Излучатели, длина которых превышает половину расчётной высоты
, рассматриваются как светящие линии.
Характеристиками светящих линий являются продольная и поперечные кривые силы
свет элементов, образующих линию, и линейная плотность светового потока ламп
Ф'.
Продольная кривая часто характеризуется параметром m. Для светильников с рассеивателями
приближенно можно считать m
равным 1,25, а для светильников с экранирующими решетками, создающими в
продольной плоскости защитные углы 15-30-45°, - m равным 1,5-2,0-3,0 соответственно.
Плотность потока определяется делением суммарного потока ламп в линии Ф
на ее длину L, причем линии с равномерно
распределенными по их длине разрывами
рассматриваются при расчете как
непрерывные, если
< 0,5 h, и
под L понимается габаритная длина линии.
Для протяженных линий с такими же разрывами можно считать
где Ф - поток ламп в сплошном элементе длиной
.
При
> 0,5h для
каждого сплошного участка линии отдельно определяется Ф' и создаваемая этим
участком освещенность.
Расчетные графики и таблицы позволяют определить относительную
освещенность
(т. е, освещенность при Ф'= 1000 лм/м и h = 1м), причем непосредственно
определяется освещенность точек, лежащих против конца линии. Величина
зависит от светораспределения
светильника и геометрических размеров. Освещенность других точек определяется
путем разделения линий на части или дополнения их воображаемыми отрезками,
освешенность от которых затем вычитается (рис. 1).
Рис. 1
При общем равномерном освещении контрольные точки, как правило,
выбираются посередине между рядами светильников.
Для определения
наиболее удобны графики линейных изолюкс. При пользовании
ими по плану обмеряются размеры р и L (рис. 2) находятся отношения p' = ph и L' = L h и для точки на графике с
координатами р' и L' определяется
.
Рис. 2
Линии, для которых L'> 4, при расчетах практически могут
рассматриваться как неограниченно длинные.
Светильник ЛПО 12-2х40 относится к 11 группе ([2],рис. 6-50, с.203).
Рис. 3
Суммирование значений
от ближайших рядов или их частей, освещающих точку, дает
, принимается коэффициент
и находится необходимая линейная
плотность потока. Значение
чаще всего можно принимать в пределах 1,1-1,2; оно зависит
от коэффициентов отражения поверхностей помещения, характера
светораспределения, тщательности учета «удаленных» светильников. Тогда линейная
плотность потока:
На основании этого осуществляется компоновка линий.
Рис. 4
Зададим контрольную точки A, она
освещается 8-ю «полурядами» (Рис. 4). Результаты занесём в таблицу:
Таблица 6
Расчет освещения точечным методом
|
№
|
p
|
L
|
p'
|
L'
|
|
|
1-А
|
1,55
|
5
|
0,5
|
1,61
|
71
|
|
2-А
|
1,55
|
5
|
0,5
|
1,61
|
71
|
|
3-А
|
4,65
|
5
|
1,5
|
1,61
|
16
|
|
4-А
|
7,75
|
5
|
2,5
|
1,61
|
4,5
|
|
5-А
|
1,55
|
34
|
0,5
|
|
77
|
|
6-А
|
1,55
|
34
|
0,5
|
|
77
|
|
7-А
|
4,65
|
34
|
1,5
|
|
21
|
|
8-А
|
7,75
|
34
|
2,5
|
|
7
|
|
=383,5
|
Приведём расчёт для точки А.
Принимая
= 1,1, находим:
В каждом ряду полный поток ламп должен составить:
где
- длинна помещения.
Тогда определим количество светильников в ряду:
где а - количество ламп в светильнике,
- поток создаваемый одной лампой
Для освещения используются лампы ЛТБ - 40,
([3],табл. 2-12, с.23).
Принимаем n = 20
светильников 2 X 40 Вт, которые хорошо вписываются в ряд, заполняя его почти
без разрывов (при лампах большей мощности ряд имел бы разрывы).
Что совпадает с предыдущими расчётами. Значит светильники подобраны
верно.
.2.3 Проверка светового потока
методом удельной мощности
Метод удельной мощности применяют для расчёта мощности осветительных
установок при общем равномерном освещении горизонтальных поверхностей. Под
удельной мощностью понимают отношение суммарной мощности источников света к
площади освещаемой поверхности. Этот способ разработан на основе метода
коэффициента использования светового потока, даёт более простое решение задачи,
но и менее точное. В его основе лежит формула мощности лампы:
где
- удельная мощность, Вт/м2;
- площадь помещения, м2;
- число ламп в осветительной установке.
Из таблицы ([3], табл.5-45, с.164)
Для данной лампы мощностью 40 Вт относительная погрешность равна:
что удовлетворяет допустимым отклонениям
.
1.2.4 Расчет аварийного освещения
Расчет аварийного освещения, исходя из ПУЭ ([1], пункт 6.1.23) для
данного производственного помещения не требуется.
1.2.5 Расчет освещения во вспомогательных помещениях
Удельная мощность
(в ваттах на квадратный метр), т. е.
частное от деления суммарной мощности ламп на площадь помещения, является
важнейшим энергетическим показателем осветительной установки, широко
используемым для оценки экономичности решений, для самоконтроля расчетов (при
наличии достаточного опыта) и для предварительного определения осветительной
нагрузки на начальных стадиях проектирования.
На всех стадиях разрешается взамен полного
светотехнического расчета определять мощность или число ламп по таблицам
удельной мощности (хотя в ответственных случаях рекомендуются более точные
формы расчета), но только для общего равномерного освещения при отсутствии
требующих учета затенений и в пределах тех «паспортных данных», для которых
составлены таблицы.
К «паспортным данным» таблиц удельной мощности и к
учитываемым ими параметрам при лампах накаливания относятся:
тип светильников, освещенность, коэффициент запаса
(при его значениях, отличающихся от указанных в таблицах, допускается
пропорциональный пересчет значений удельной мощности), коэффициенты отражения
поверхностей помещения, значения расчетной высоты.
Порядок пользования таблицами при люминесцентных
лампах следующий:
выбираются все решения по освещению помещения, включая
число светильников N,
по таблице ([3], табл.5-45, с.164) находится удельная
мощность
ω;
определяется единичная мощность лампы по формуле:
выражаем из формулы:
Расчет проводим упрощенным методом удельной мощности:
Бытовка:
Светильники: ЛПО 12-2х40
;
;
.
Определяем расчётную высоту:
Определяем площадь помещения:
Определяем удельную мощность ([3], таблица 5-43, с. 163):
.
Определяем количество светильников:
Приминаем количество светильников: N=6.
Для остальных помещений расчеты проводим аналогично.
Их результаты сведем в таблицу:
Таблица 7
Вспомогательные помещения
|
Помещение
|
Тип светильника
|
AхBхH (м)
|
S (м2)
|
|
Pсв (Вт)
|
W
|
N
|
|
Бытовка
|
ЛПО 12-2х40
|
|
30
|
2,7
|
80
|
13,4
|
6
|
|
Комната мастера
|
ЛПО 12-2х40
|
|
16
|
2,7
|
80
|
8,4
|
4
|
|
Кладовая
|
ЛПО 12-2х40
|
|
16
|
2,7
|
80
|
8,4
|
4
|
1.2.6 Расчёт осветительной сети
Мощность отходящей линии с учетом ПРА для щита рассчитывают как:
где:
- активная мощность линии (кВт);
- число светильников в линии;
- мощность одного светильника (кВт).
Момент линии, питающей сеть, определяют следующим образом:
где:
- полная мощность щита, определяемая суммированием мощностей
отходящих линий (кВт);
- длина линии, питающей сеть, м.
Момент отходящих линий определяют по формуле:
Сечение кабеля, питающего сеть, выбирают по расчетному току, вычисляемому
по формуле:
из условия
Определяем сечение кабеля :
где:
= 72 -
коэффициент для трехфазной линии 380/220 В (табл. 12-9 [2]);
- сечение кабеля, мм2;
- коэффициент приведения моментов (табл. 12-10 [2])
Определяем потерю напряжения в линии, питающей щит:
Определяем располагаемую потерю напряжения:
Для отходящих линий сечение провода определяют:
где:
= 12 -
коэффициент для однофазных линий 220 В.
Потеря напряжения для выбранного провода отходящей линии:
По полученным расчетным данным выбирают щит, выключатели которого
проверяют по условию:
Рассмотрим расчёт кабеля (ввода) и одной отходящей линии ЩО. Остальные
провода рассчитываются аналогично.
Определяем момент линии питающей сети:
Мощность отходящей линии с учетом ПРА:
Определяем момент отходящей линии:
Где
- приведенная длина до центра нагрузок
Определяем сечение кабеля питающего сеть:
Для питания щита выбираем кабель ВВГ 4 ´ 4 мм2 (табл. 11-3 [2])
Определяем потерю напряжения в линии, питающей щит:
Определяем располагаемую потерю напряжения:
Определяем сечение провода для линии 1:
Выбираем провод ВВГ 3´2,5 (табл. 11-1 [3]).
Для остальных отходящих линий расчет проводим аналогично.
Определяем потери напряжения в линии 1:
Для остальных отходящих линий расчет проводим аналогично.
Определяем расчетный ток щита:
Определяем расчетный ток отходящей линии:
Выбираем осветительный щиток типа ЩО 41-5203 (табл. 11-18 [3]):
автоматический выключатель на вводе:
ВА 51Г-31, ток расцепителя 20А. (табл. А.6 [11])
; 20 >
14,73 (А)
автоматический выключатель на отходящей линии 1:
ВА 51Г-31,ток расцепителя 10А. (табл. А.6 [11])
4 10 >
7,66 (А)
Данные расчетов сводим в таблицу:
Выбор оборудования ЩО
|
№ линии
|
P (кВт)
|
L (м)
|
M
|
SP
|
Тип провода (кабеля)
|
|
IP (А)
|
Тип автомата
|
Iном.р (А)
|
|
ЩО-5-3108-54УХЛ4
|
|
ввод
|
9,2
|
26
|
239,2
|
1,17
|
ВВГ 4 ´ 4
|
4,17
|
14,73
|
ВА 51 Г-31
|
20
|
|
1
|
1,6
|
9
|
44,8
|
0,895
|
ВВГ 3 ´ 2,5
|
1,49
|
7,66
|
ВА 51 Г-31
|
10
|
|
2
|
1,6
|
12,1
|
49,76
|
0,994
|
ВВГ 3 ´ 2,5
|
1,65
|
7,66
|
ВА 51 Г-31
|
10
|
|
3
|
1,6
|
15,2
|
54,72
|
1,09
|
ВВГ 3 ´ 2,5
|
1,82
|
7,66
|
ВА 51 Г-31
|
10
|
|
4
|
1,6
|
18,3
|
59,68
|
1,19
|
ВВГ 3 ´ 2,5
|
1,99
|
7,66
|
ВА 51 Г-31
|
10
|
|
5
|
1,12
|
12,1
|
18,15
|
0,32
|
ВВГ 3 ´ 2,5
|
0,61
|
5,35
|
ВА 51 Г-31
|
10
|
|
6
|
-
|
12,1
|
-
|
2,5
|
ВВГ 3 ´ 2,5
|
-
|
25
|
ВА 51 Г-31
|
31,5
|
|
7
|
-
|
15,5
|
-
|
2,5
|
ВВГ 3 ´ 2,5
|
-
|
25
|
ВА 51 Г-31
|
31,5
|
|
8
|
-
|
15,7
|
-
|
2,5
|
ВВГ 3 ´ 2,5
|
-
|
25
|
ВА 51 Г-31
|
31,5
|
.3 Выбор проводов, кабелей, шин, распределительных шкафов и
их проверка. Выбор автоматических выключателей и ПР
При эксплуатации электросетей длительные перегрузки проводов и кабелей,
КЗ вызывают повышение температуры токопроводящих жил больше допустимой.
Это приводит к преждевременному износу изоляции, следствием чего может
быть пожар, взрыв во взрывоопасных помещениях, поражение персонала.
Для предотвращения этого линия ЭСН имеет аппарат защиты, отключающий
повреждённый участок.
Аппаратами защиты являются: автоматические выключатели, предохранители с
плавкими вставками и тепловые реле, встраиваемые в магнитные пускатели.
Автоматические выключатели являются наиболее совершенными аппаратами
защиты.
Наиболее современными автоматами являются выключатели серии ВА. Они имеют
уменьшенные габариты, совершенные конструктивные узлы и элементы. Работают в
сетях переменного и постоянного тока и применяются в распределительных
устройствах в виде различных комбинаций (ПР 85, ПР 87).
Произведём выбор автоматов и ПР ([11],табл.А.6 - А.8).
Аппараты управления и защиты выбираются по следующим условиям:
. Номинальное напряжение
. Номинальный ток расцепителя
.Номинальный ток выключателя
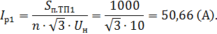
Определяем расчетный ток от вертикально фрезерного станка до РП1:
Выбираем автоматический выключатель ВА 51-37, с током автомата 100A и током расцепителя 20A, Kутр=1,35, Kэм = 7 и Iоткл = 3,5 (кА).
Аналогично выбираем автоматические выключатели для других станков, и заносим
полученные сведения в таблицу:
Таблица 9
Выбор автоматических выключателей для станков
|
Наименование станка
|
А
|
А
|
А
|
А
|
Тип АВ
|
|
|
кА
|
|
РП1
|
|
|
|
|
|
|
|
|
|
Вертикально фрезерный станок
|
12,86
|
16,09
|
100
|
20
|
ВА51Г-31
|
1,35
|
7
|
3,5
|
|
Токарно-винторезный станок
|
16,36
|
20,48
|
100
|
25
|
ВА51Г-31
|
1,35
|
7
|
3,5
|
|
Горизонтально фрезерный станок
|
12,86
|
16,09
|
100
|
20
|
ВА51Г-31
|
1,35
|
7
|
3,5
|
|
Токарно-винторезный станок
|
16,36
|
20,48
|
100
|
25
|
ВА51Г-31
|
1,35
|
7
|
3,5
|
|
Поперечно строгальный станок
|
17,73
|
22,18
|
100
|
25
|
ВА51Г-31
|
1,35
|
7
|
3,5
|
|
Токарно-винторезный станок
|
16,36
|
20,48
|
100
|
25
|
ВА51Г-31
|
1,35
|
7
|
3,5
|
|
Токарно-винторезный станок
|
35,06
|
43,88
|
100
|
50
|
ВА51Г-31
|
1,35
|
7
|
5
|
|
Настольно сверлильный станок
|
3,80
|
4,75
|
100
|
6,3
|
ВА51Г-31
|
1,35
|
7
|
2
|
|
Вертикально сверлильный станок
|
6,69
|
8,37
|
100
|
10
|
ВА51Г-31
|
1,35
|
7
|
2
|
|
Токарно-шлифовальный станок
|
11,40
|
14,26
|
100
|
20
|
ВА51Г-31
|
1,35
|
7
|
3,5
|
|
Завивочный станок
|
6,69
|
8,36
|
100
|
10
|
ВА51Г-31
|
1,35
|
7
|
2
|
|
Стенд для испытания тросов
|
12,66
|
15,84
|
100
|
20
|
ВА51Г-31
|
1,35
|
7
|
3,5
|
|
Долбёжный станок
|
11,40
|
14,26
|
100
|
20
|
ВА51Г-31
|
1,35
|
7
|
3,5
|
|
РП2
|
|
|
|
|
|
|
|
|
|
Зубофрезерный станок
|
16,38
|
20,48
|
100
|
25
|
ВА51Г-31
|
1,35
|
7
|
3,5
|
|
Зубофрезерный станок
|
16,38
|
20,48
|
100
|
25
|
ВА51Г-31
|
1,35
|
7
|
3,5
|
|
Зубодолбёжный станок
|
12,68
|
15,84
|
100
|
20
|
ВА51Г-31
|
1,35
|
7
|
3,5
|
|
Токарно-винторезный станок
|
16,38
|
20,48
|
100
|
25
|
ВА51Г-31
|
1,35
|
7
|
3,5
|
|
Стенд очистки масел
|
25,35
|
31,69
|
100
|
40
|
ВА51Г-31
|
1,35
|
7
|
5
|
|
Стеллаж механизиров
|
11,70
|
14,63
|
100
|
25
|
ВА51Г-31
|
1,35
|
7
|
3,5
|
|
Стеллаж механизиров
|
11,70
|
14,63
|
100
|
25
|
ВА51Г-31
|
1,35
|
7
|
3,5
|
|
Ножницы гильотинные
|
38,03
|
47,53
|
100
|
50
|
ВА51Г-31
|
1,35
|
7
|
5
|
|
Станок для алмазной заточки инструмента
|
3,51
|
4,39
|
100
|
6,3
|
ВА51Г-31
|
1,35
|
7
|
2
|
|
РП3
|
|
|
|
|
|
|
|
|
|
Сварочный выпрямитель
|
108,65
|
135,82
|
160
|
160
|
ВА51Г-33
|
1,2
|
10
|
12,5
|
|
Стеллаж механизиров
|
11,70
|
14,63
|
100
|
25
|
ВА51Г-31
|
1,25
|
10
|
3,5
|
|
Стеллаж механизиров
|
14,63
|
100
|
25
|
ВА51Г-31
|
1,25
|
10
|
3,5
|
|
Зиг машина
|
9,13
|
11,41
|
100
|
12,5
|
ВА51Г-31
|
1,25
|
10
|
3,5
|
|
Ножницы высечные
|
15,21
|
19,01
|
100
|
20
|
ВА51Г-31
|
1,25
|
10
|
3,5
|
|
Отрезной станок
|
11,4
|
14,26
|
100
|
20
|
ВА51Г-31
|
1,25
|
10
|
3,5
|
|
РП4
|
|
|
|
|
|
|
|
|
|
Настольно сверлильный станок
|
3,80
|
4,75
|
100
|
6,3
|
ВА51Г-31
|
1,25
|
10
|
2
|
|
Сварочный автомат
|
65,19
|
81,49
|
160
|
100
|
ВА51Г-33
|
1,25
|
10
|
12,5
|
|
Сварочный автомат
|
91,27
|
114,09
|
160
|
125
|
ВА51Г-33
|
1,25
|
10
|
12,5
|
|
Установка пламенной резки
|
85,18
|
106,48
|
160
|
125
|
ВА51Г-33
|
1,25
|
10
|
12,5
|
Выбираем кабели из условия, что
Для вертикально фрезерного станка 1 ток
,
следовательно
выбираем кабель АВВГ (4
4)с током
Выбранный
кабель проверяем по потере напряжения
08 (В)
Проверяем
по длительно-допустимом току ([4], пункт 1.3.10):
Аналогично
подбираем кабели для остальных станков, для всех приёмников выбираем кабель
АВВГ и заносим данные в таблицу:
Таблица 10
Выбор кабелей для станков
|
Наименование станка
|
кВт
|
cosφ
|
А
|
А
|
Марка кабеля
|
Ом/км
|
Ом/км
|
м
|
%
|
|
РП1
|
|
|
|
|
|
|
|
|
|
|
Вертикально фрезерный станок
|
5,5
|
0,65
|
16,09
|
27
|
АВВГ (4 4)7,810,10714,50,55
|
|
|
|
|
|
|
|
|
|
|
|
|
|
|
|
Токарно-винторезный станок
|
7
|
0,65
|
20,48
|
34
|
АВВГ (4 6)5,210,111,20,36
|
|
|
|
|
|
Горизонтально фрезерный станок
|
5,5
|
0,65
|
16,09
|
27
|
АВВГ (4 4)7,810,107150,57
|
|
|
|
|
|
Токарно-винторезный станок
|
7
|
0,65
|
20,48
|
34
|
АВВГ (4 6)5,210,118,70,60
|
|
|
|
|
|
Поперечно строгальный станок
|
7
|
0,6
|
22,18
|
34
|
АВВГ (4 6)5,210,117,80,58
|
|
|
|
|
|
Токарно-винторезный станок
|
7
|
0,65
|
20,48
|
34
|
АВВГ (4 6)5,210,120,20,65
|
|
|
|
|
|
Токарно-винторезный станок
|
15
|
0,65
|
43,88
|
50
|
АВВГ (4 10)3,120,09922,30,94
|
|
|
|
|
|
Настольно сверлильный станок
|
1,5
|
0,6
|
4,75
|
21
|
АВВГ (4 2,5)12,50,116230,38
|
|
|
|
|
|
Вертикально сверлильный станок
|
2,2
|
0,5
|
8,37
|
21
|
АВВГ (4 2,5)12,50,11634,60,84
|
|
|
|
|
|
Токарно-шлифовальный станок
|
3
|
0,4
|
14,26
|
27
|
АВВГ (4 4)7,810,10725,10,53
|
|
|
|
|
|
Завивочный станок
|
2,2
|
0,5
|
8,37
|
21
|
АВВГ (4 2,5)12,50,11630,90,75
|
|
|
|
|
|
Стенд для испытания тросов
|
5
|
0,6
|
15,84
|
27
|
АВВГ (4 4)7,810,10732,81,13
|
|
|
|
|
|
Долбёжный станок
|
3
|
0,4
|
14,26
|
27
|
АВВГ (4 4)7,810,10727,30,57
|
|
|
|
|
|
РП2
|
|
|
|
|
|
|
|
|
|
|
Зубофрезерный станок
|
7
|
0,65
|
20,48
|
34
|
АВВГ (4 6)5,210,1150,48
|
|
|
|
|
|
Зубофрезерный станок
|
7
|
0,65
|
20,48
|
34
|
АВВГ (4 6)5,210,110,20,33
|
|
|
|
|
|
Зубодолбёжный станок
|
5
|
0,6
|
15,84
|
27
|
АВВГ (4 4)7,810,10711,30,39
|
|
|
|
|
|
Токарно винторезный станок
|
7
|
0,65
|
20,48
|
34
|
АВВГ (4 6)5,210,18,90,29
|
|
|
|
|
|
Стенд очистки масел
|
10
|
0,6
|
31,69
|
50
|
АВВГ (4 10)3,120,099140,38
|
|
|
|
|
|
Стеллаж механизиров
|
5
|
0,65
|
14,63
|
27
|
АВВГ (4 4)7,810,10718,10,62
|
|
|
|
|
|
Стеллаж механизиров
|
5
|
0,65
|
14,63
|
27
|
АВВГ (4 4)7,810,10721,20,73
|
|
|
|
|
|
Ножницы гильотинные
|
10
|
0,5
|
47,53
|
70
|
АВВГ (4 16)1,950,095230,43
|
|
|
|
|
|
Станок для алмазной заточки инструмента
|
1,5
|
0,65
|
4,39
|
21
|
АВВГ (4 2,5)12,50,11615,20,23
|
|
|
|
|
|
РП3
|
|
|
|
|
|
|
|
|
|
|
Сварочный выпрямитель
|
25
|
0,35
|
135,82
|
35
|
АВВГ (3 50+ 1 25)0,6250,085140,20
|
|
|
|
|
|
Стеллаж механизиров
|
5
|
0,65
|
14,63
|
27
|
АВВГ (4 4)7,810,107120,41
|
|
|
|
|
|
Стеллаж механизиров
|
5
|
0,65
|
14,63
|
27
|
АВВГ (4 4)7,810,1079,40,32
|
|
|
|
|
|
Зиг машина
|
3
|
0,5
|
11,41
|
21
|
АВВГ (4 2,5)12,50,11611,10,37
|
|
|
|
|
|
Ножницы высечные
|
5
|
0,5
|
19,01
|
27
|
АВВГ (4 4)7,810,10710,20,35
|
|
|
|
|
|
Отрезной станок
|
3
|
0,4
|
14,26
|
27
|
АВВГ (4 4)7,810,10717,50,37
|
|
|
|
|
|
РП4
|
|
|
|
|
|
|
|
|
|
|
Настольно сверлильный станок
|
1,5
|
0,12
|
4,75
|
21
|
АВВГ (4 2,5)12,50,11613,80,23
|
|
|
|
|
|
Сварочный автомат
|
15
|
0,3
|
81,49
|
85
|
АВВГ (3 25+ 1 16)1,250,09180,16
|
|
|
|
|
|
Сварочный автомат
|
21
|
0,3
|
114,09
|
135
|
АВВГ (3 50+ 1 25)0,6250,0856,50,10
|
|
|
|
|
|
Установка пламенной резки
|
28
|
0,3
|
106,48
|
135
|
АВВГ (3 50+ 1 25)0,6250,08510,20,19
|
|
|
|
|
Аппараты управления и защиты для распределительных
пунктов выбираются по следующим условиям:
Номинальное
напряжение
;
Номинальный
ток расцепителя
;
Номинальный
ток выключателя
.
Определяем расчётный ток от РП1 до трансформатора
А
Выбираем
автоматический выключатель ВА 51Г-31, с током автомата 100 А и током
расцепителя 40 А,
,
и
.
Аналогично
выбираем автоматические выключатели для других сборок, и заносим полученные
сведения в таблицу 11:
Таблица 11
Выбор автоматических выключателей для РП
|
Силовая сборка
|
, А , А , А , АМарка  , кА
|
|
|
|
|
|
|
|
|
РП1
|
31,72
|
34,892
|
100
|
40
|
ВА 51Г-31
|
1,25
|
10
|
5,0
|
|
РП2
|
30,96
|
34,056
|
100
|
40
|
ВА 51Г-31
|
1,25
|
10
|
5,0
|
|
РПЗ
|
74,32
|
81,752
|
100
|
100
|
ВА 51Г-31
|
1,25
|
10
|
7,0
|
|
РП4
|
99,81
|
109,791
|
160
|
125
|
ВА 51Г-33
|
1,25
|
10
|
12,5
|
Выбираем кабели из условия, что
Для РП-1 ток
, следовательно выбираем кабель АВВГ (3х35+1х16) с током
Выбранный кабель проверяем по потере напряжения
(В)
Аналогично подбираем кабели для остальных сборок:
Таблица 12
Выбор кабелей для силовых сборок
|
№
|
Силовая сборка
|
 , А , АСечение провода,мм2 , мОм/м , мОм/м , м %
|
|
|
|
|
|
|
|
|
1
|
2
|
5
|
6
|
7
|
8
|
9
|
10
|
11
|
|
1
|
РП1
|
0,71
|
31,72
|
100
|
АВВГ (3х35+1х16)
|
0,894
|
0,088
|
25,2
|
0,25
|
|
2
|
РП2
|
0,61
|
30,96
|
100
|
АВВГ (3х35+1х16)
|
0,894
|
0,088
|
14,5
|
0,16
|
|
3
|
РП3
|
0,37
|
74,32
|
175
|
АВВГ (3х70+1х35)
|
0,625
|
0,085
|
43,8
|
0,45
|
|
4
|
РП4
|
0,41
|
99,81
|
175
|
АВВГ (3х70+1х35)
|
0,625
|
0,085
|
50,6
|
0,75
|
Тип распределительного пункта для четырёх групп электроприёмников выберем
ПР 85:
РП-1: ПР 85-3-005-54-УХЛ2 ([11],табл. А.7, с.186)
РП-2: ПР 85-3-005-54-УХЛ2 ([11],табл. А.7, с.186)
РП-3: ПР 85-3-002-54-УХЛ2 ([11],табл. А.7, с.186)
РП-4: ПР 85-3-046-54-УХЛ2 ([11],табл. А.7, с.186)
1.4 Определение суммарной нагрузки с учётом освещения.
Суммарную нагрузку цеха находят путем простого арифметического сложения
полных суммарных мощностей силовой и осветительной нагрузки:
Для того чтобы найти
сначала
проведём ряд вычислений:
Расчетная мощность освещения:
где:
- коэффициент спроса осветительной нагрузки.
Тогда
1.5 Выбор числа и мощности трансформаторов цеховой подстанции
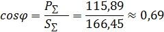
Найдём коэффициент мощности cos φ для всего цеха:
Минимально допустимый коэффициент мощности равен 0,92, следовательно,
требуется компенсация реактивной мощности.
Рассчитаем КУ и данные сведём в таблицу:
Таблица 13
Расчёт компенсирующего устройства
|
Параметры
|
|
|
кВт
|
кВАр
|
кВА
|
|
Без КУ
|
0,69
|
1,049
|
115,89
|
116,58
|
166,45
|
|
С КУ
|
0,99
|
0,09
|
115,89
|
10,43
|
116,36
|
|
Потери
|
|
|
2,327
|
11,636
|
|
|
ВН с КУ
|
|
|
118,217
|
22,066
|
120,259
|
Исходя из этого выбираем КУ: УКН-0,38-100-У3
Фактический
будет:
легко определить из
:
, что находится в нужном диапазоне.
Определим потери в трансформаторе:
.6 Выбор числа и мощности трансформаторов цеховой
подстанции
Находим мощность трансформатора исходя из того, что цех имеет ТРЕТЬЮ
группу по надёжности электроснабжения, а также от данного трансформатора
питаются механический цех и бытовые помещения принадлежащие также к третьей
категории, значит коэффициент загрузки можно взять равным (0,9-0,95)
Выбираем трансформатор ТМ - 1000/0,4
Для защиты трансформатора используем МТЗ 1000/0,4.
Выбираем трансформаторную КТП:
КНТП 1000/10
Шкаф ВН: ВН-11
Шкаф НН: ШНЛ-2М
Номинальный ток трансформатора:
Линия без электро двигателя,следовательно, выбираем автоматический
выключатель на низкой стороне:
Автоматический выключатель ВА 53-43:
;
;
;
Выберем защитный аппарат для КУ:
Находим номинальный ток конденсаторной установки:
Выбираем Автоматический выключатель ВА 51Г-33:
;
;
;
;
)
.7 Расчёт токов КЗ
Точки КЗ выбираются на шинах и на вводах в электроприемник. Точки КЗ
нумеруются сверху вниз, начиная от источника.
Для определения токов КЗ используются следующие соотношения:
1) 3 - фазного, (кА):
где:
- линейное напряжение в точке КЗ, (кВ);
- полное сопротивление до точки КЗ, (Ом)
) 2 - фазного, (кА):
) 1 - фазного, (кА):
где:
- фазное напряжение в точке КЗ, (кВ);
- сопротивление петли «фаза-ноль», (Ом);
- сопротивление трансформатора однофазному замыканию, (Ом)
4) Ударного тока, (кА):
где:
- ударный коэффициент, определяется по графику ([11], рис.
1.9.1.,с.59)
Рис. 5
) Действующее значение ударного тока, (кА):
где:
- коэффициент действующего значения тока:
) Сопротивления определяются следующим образом:
для трансформаторов по табл. 1.9.1 [11]
- для коммутационной аппаратуры по табл. 1.9.3. [11]
для питающих линий по табл. 1.9.5 - 1.9.7. [11].
Сопротивления на ВН приводится к НН по формулам:
где:
и
- сопротивления, приведенные к НН, (Ом);
и
- сопротивления, приведенные к ВН, (Ом).
Данные расчета сводим в таблицу:
Таблица 15
Расчёт токов КЗ
|
№
|
R,Ом
|
X,Ом
|
Z,Ом
|
|
|
q
|
,кА
|
,кА
|
,кА
|
,Ом
|
,кА
|
|
1
|
38,580
|
8,82
|
39,56
|
4,374
|
1,000
|
1,000
|
5,019
|
7,097
|
4,346
|
15
|
6,667
|
|
2
|
92,468
|
16,11
|
97,895
|
4,965
|
1,000
|
1,000
|
2,244
|
3,173
|
1,943
|
89,03765
|
2,055
|
|
3
|
78,053
|
14,71
|
83,987
|
4,579
|
1,000
|
1,000
|
2,615
|
3,699
|
2,265
|
60,93936
|
2,787
|
|
4
|
90,065
|
14,55
|
94,769
|
5,202
|
1,000
|
1,000
|
2,318
|
3,278
|
2,007
|
89,82719
|
2,040
|
|
5
|
92,465
|
9,040
|
43,769
|
3,495
|
1,000
|
1,000
|
2,251
|
3,183
|
1,949
|
90,75198
|
2,023
|
|
6
|
20,890
|
10,190
|
28,081
|
1,879
|
1,000
|
1,000
|
7,822
|
11,062
|
6,774
|
24,947
|
5,123
|
|
7
|
228,723
|
43,854
|
232,889
|
5,216
|
1,000
|
1,000
|
0,992
|
1,402
|
0,859
|
455,448
|
0,442
|
|
8
|
173,830
|
43,422
|
179,171
|
4,003
|
1,000
|
1,000
|
1,289
|
1,823
|
1,116
|
302,514
|
0,626
|
|
9
|
232,628
|
43,907
|
236,735
|
5,298
|
1,000
|
1,000
|
0,976
|
1,380
|
0,845
|
419,892
|
0,474
|
|
10
|
212,905
|
27,573
|
214,683
|
7,722
|
1,000
|
1,000
|
1,076
|
1,521
|
0,932
|
379,857
|
0,517
|
|
11
|
208,216
|
27,483
|
210,022
|
7,576
|
1,000
|
1,000
|
1,100
|
1,555
|
0,952
|
370,479
|
0,528
|
|
12
|
220,720
|
27,723
|
222,454
|
7,962
|
1,000
|
1,000
|
1,038
|
1,468
|
0,899
|
395,487
|
0,499
|
|
13
|
185,054
|
27,911
|
187,147
|
6,630
|
1,000
|
1,000
|
1,234
|
1,745
|
1,069
|
324,174
|
0,591
|
|
14
|
402,978
|
44,970
|
405,479
|
8,961
|
1,000
|
1,000
|
0,570
|
0,805
|
0,493
|
760,332
|
0,279
|
547,978
|
46,316
|
549,932
|
11,831
|
1,000
|
1,000
|
0,420
|
0,594
|
0,364
|
1050,255
|
0,206
|
|
16
|
311,509
|
44,988
|
314,741
|
6,924
|
1,000
|
1,000
|
0,734
|
1,038
|
0,635
|
577,520
|
0,358
|
|
17
|
501,728
|
29,287
|
502,582
|
17,131
|
1,000
|
1,000
|
0,460
|
0,650
|
0,398
|
957,477
|
0,225
|
|
18
|
371,646
|
29,213
|
372,792
|
12,722
|
1,000
|
1,000
|
0,619
|
0,876
|
0,536
|
697,327
|
0,302
|
|
19
|
328,691
|
28,624
|
329,935
|
11,483
|
1,000
|
1,000
|
0,700
|
0,990
|
0,606
|
611,417
|
0,340
|
|
20
|
179,213
|
27,203
|
181,266
|
6,588
|
1,000
|
1,000
|
1,274
|
1,802
|
1,103
|
312,479
|
0,609
|
|
21
|
154,205
|
22,044
|
155,773
|
6,995
|
1,000
|
1,000
|
1,483
|
2,097
|
1,284
|
262,395
|
0,703
|
|
22
|
189,316
|
22,233
|
190,617
|
8,515
|
1,000
|
1,000
|
1,212
|
1,713
|
1,049
|
332,617
|
0,578
|
|
23
|
147,432
|
21,914
|
149,052
|
6,728
|
1,000
|
1,000
|
1,549
|
2,191
|
1,342
|
248,848
|
0,733
|
|
24
|
144,743
|
22,410
|
146,468
|
6,459
|
1,000
|
1,000
|
1,577
|
2,230
|
1,365
|
243,474
|
0,746
|
|
25
|
242,424
|
24,628
|
243,672
|
9,844
|
1,000
|
1,000
|
0,948
|
1,340
|
0,821
|
438,848
|
0,456
|
|
26
|
266,635
|
24,959
|
267,801
|
10,683
|
1,000
|
1,000
|
0,862
|
1,220
|
0,747
|
487,271
|
0,416
|
|
27
|
145,913
|
24,876
|
148,018
|
5,866
|
1,000
|
1,000
|
1,560
|
2,206
|
1,351
|
245,846
|
0,740
|
|
28
|
291,063
|
25,154
|
292,148
|
11,571
|
1,000
|
1,000
|
0,790
|
1,118
|
0,685
|
536,127
|
0,383
|
|
29
|
110,225
|
24,081
|
112,825
|
4,577
|
1,000
|
1,000
|
2,047
|
2,895
|
1,773
|
175,679
|
0,956
|
|
30
|
195,795
|
24,675
|
197,344
|
7,935
|
1,000
|
1,000
|
1,170
|
1,655
|
1,013
|
345,596
|
0,560
|
|
31
|
175,489
|
24,397
|
177,177
|
7,193
|
1,000
|
1,000
|
1,303
|
1,843
|
1,129
|
304,984
|
0,622
|
|
32
|
240,825
|
22,312
|
241,856
|
10,794
|
1,000
|
1,000
|
0,955
|
1,350
|
0,827
|
435,634
|
0,459
|
|
33
|
181,737
|
22,115
|
183,078
|
8,218
|
1,000
|
1,000
|
1,261
|
1,784
|
1,092
|
317,458
|
0,601
|
|
34
|
238,750
|
22,897
|
239,845
|
10,427
|
1,000
|
1,000
|
0,963
|
1,362
|
0,834
|
431,487
|
0,463
|
|
35
|
287,975
|
22,625
|
288,862
|
12,728
|
1,000
|
1,000
|
0,799
|
1,131
|
0,692
|
529,935
|
0,387
|
|
36
|
124,875
|
21,252
|
126,670
|
5,876
|
1,000
|
1,000
|
1,823
|
2,578
|
1,579
|
204,934
|
0,852
|
|
37
|
118,938
|
22,743
|
121,092
|
5,230
|
1,000
|
1,000
|
1,907
|
2,697
|
1,652
|
193,075
|
0,891
|
|
38
|
121,250
|
23,058
|
123,423
|
5,259
|
1,000
|
1,000
|
1,871
|
2,646
|
1,620
|
197,705
|
0,876
|
|
39
|
|
|
|
|
|
|
|
|
|
609,360
|
0,325
|
|
40
|
|
|
|
|
|
|
|
|
|
585,891
|
0,342
|
|
41
|
|
|
|
|
|
|
|
|
|
563,250
|
0,378
|
|
42
|
|
|
|
|
|
|
|
|
|
542,341
|
0,405
|
|
43
|
|
|
|
|
|
|
|
|
|
145,697
|
1,092
|
|
44
|
|
|
|
|
|
|
|
|
|
93,963
|
1,447
|
|
45
|
|
|
|
|
|
|
|
|
|
123,518
|
1,220
|
|
46
|
|
|
|
|
|
|
|
|
|
127,626
|
1,118
|
Рис. 6
Рис. 7
Рис. 8
Рис. 9
Рис. 10
Рис. 11
2. Проектирование системы внутризаводского электроснабжения
Проектирование системы внутризаводского электроснабжения является одной
из основных задач при проектировании нового и реконструкции уже существующего
промышленного предприятия. Оптимально спроектированная система электроснабжения
позволяет эффективно использовать ресурсы, надежно защищать оборудование и
персонал предприятия на случай аварий, оптимально использовать производственные
мощности предприятия.
При проектировании рассматривают следующие вопросы:- расчет электрических нагрузок;- нахождение оптимального расположения
силового оборудования;-
выбор рационального уровня напряжения питающей сети и схемы электроснабжения;- выбор различного силового
оборудования, коммутационной аппаратуры.
При необходимости, проектируя систему внешнего электроснабжения,
рассматривают и дополнительные вопросы, например компенсация реактивной
мощности и т.д.
2.1 Расчет электрических нагрузок
Основой рационального решения комплекса технико-экономических вопросов
при проектировании электроснабжения современного промышленного предприятия
является правильное определение ожидаемых электрических нагрузок. От правильной
оценки ожидаемых нагрузок зависят капитальные затраты в схеме электроснабжения,
расход цветного металла, потери электроэнергии и эксплуатационные расходы.
Электрическая нагрузка характеризует потребление электроэнергии
отдельными приемниками, группой приемников в целом по цеху и заводу. Значения
электрических нагрузок определяют выбор всех элементов и технико-экономические
показатели проектируемой системы электроснабжения.
При проектировании и эксплуатации систем электроснабжения промышленных
предприятий основными являются три вида нагрузок: активная мощность P, реактивная мощность Q и ток I. Определение расчетных нагрузок выполняют от высших к низшим
ступеням системы электроснабжения. В настоящее время в практике проектирования
применяют несколько методов определения электрических нагрузок:- коэффициента спроса;- упорядоченных диаграмм;- удельных плотностей нагрузок;- удельного потребления энергии на
единицу продукции.
2.1.1 Расчет силовой нагрузки цехов
Сущность метода коэффициента спроса состоит в следующем: по известным
значениям установленной мощности нагрузки и коэффициента спроса для группы
однородных по режиму приемников находим расчетную нагрузку по приведенным ниже
выражениям:- активную РР
(кВт)

,
где
kС -
коэффициент спроса;РН - номинальная (установленная) мощность
нагрузки (кВт);- реактивную QР (кВАр)
,
где
tgj - коэффициент реактивной мощности, соответствует cosj;- полная SР (кВА)
Для
примера рассмотрим расчет нагрузки инженерного корпуса.
РН1
= 506 (кВт)cosj = 0,95, kС = 0,2 [2,
таблица 30.4]
Согласно
(1), (2) и (3)
= 0,2 × 587 = 101,2 (кВт)
= 101,2 ×0,329 =
,26
(кВАр)
(кВА)
Расчет
нагрузок для остальных цехов проводим аналогично и результаты расчета, а также
справочные коэффициенты (cosj и kС) сводим
в таблицу:
Таблица 16
Расчетные силовые нагрузки цехов, их коэффициенты спроса и мощности
|
№ п.п.
|
Наименование
|
Рном (кВт)
|
Kc
|
tg φ
|
Рр(кВт)
|
Qр(кВАр)
|
Sр(кВА)
|
|
1
|
Админ. корпус 2 этажа
|
330
|
0,85
|
0,3
|
0,620
|
99,00
|
61,35
|
116,47
|
|
2
|
Инженер. корпус 4 этажа
|
506
|
0,95
|
0,2
|
0,329
|
101,20
|
33,26
|
106,53
|
|
3
|
Гараж №1
|
241
|
0,65
|
0,3
|
1,169
|
72,30
|
84,53
|
111,23
|
|
4
|
Гараж №2
|
50
|
0,65
|
0,3
|
1,169
|
15,00
|
17,54
|
23,08
|
|
5
|
Гальванический цех
|
1 410
|
0,65
|
0,35
|
1,169
|
493,50
|
576,97
|
759,23
|
|
6
|
Компрессорная
|
1 130
|
0,8
|
0,6
|
0,750
|
678,00
|
508,50
|
847,50
|
|
2 АД 630/10
|
1260
|
0,8
|
0,9
|
0,750
|
1 134,00
|
850,50
|
1 417,50
|
|
7
|
Склад №1
|
130
|
0,55
|
0,1
|
1,518
|
13,00
|
19,74
|
23,64
|
|
8
|
Склад №2
|
120
|
0,55
|
0,1
|
1,518
|
12,00
|
18,22
|
21,82
|
|
9
|
Склад №3
|
150
|
0,55
|
0,1
|
1,518
|
15,00
|
22,78
|
27,27
|
|
10
|
Склад №4
|
25
|
0,55
|
0,1
|
1,518
|
2,50
|
3,80
|
4,55
|
|
11
|
Склад №5
|
95
|
0,55
|
0,1
|
1,518
|
9,50
|
14,43
|
17,27
|
|
12
|
Винило-сборочный участок
|
1850
|
0,65
|
0,35
|
1,169
|
647,50
|
757,01
|
996,15
|
|
13
|
Грузовая проходная
|
12
|
0,8
|
0,6
|
0,750
|
7,20
|
5,40
|
9,00
|
|
14
|
РМУ
|
164
|
0,65
|
0,3
|
1,169
|
49,20
|
57,52
|
75,69
|
|
15
|
Литейный цех
|
1 226
|
0,7
|
0,25
|
1,020
|
306,50
|
312,69
|
437,86
|
|
16
|
Диспетчерская
|
37
|
0,6
|
0,1
|
1,333
|
3,70
|
4,93
|
6,17
|
|
17
|
Бытовые помещения 2 этажа
|
336
|
0,8
|
0,3
|
0,750
|
100,80
|
75,60
|
126,00
|
|
18
|
Механический цех
|
1041
|
0,7
|
0,4
|
1,020
|
416,40
|
424,81
|
594,86
|
|
19
|
Стенд испытания кругов
|
74
|
0,65
|
0,15
|
1,169
|
11,10
|
12,98
|
17,08
|
|
Цех №1
|
|
|
|
|
|
|
|
|
20
|
Механо-сборочный цех
|
1 837
|
0,7
|
0,4
|
1,020
|
734,80
|
749,65
|
1 049,71
|
|
21
|
Бытовые помещения 3этажа
|
296
|
0,8
|
0,3
|
0,750
|
88,80
|
66,60
|
111,00
|
|
Цех №2
|
|
|
|
|
|
|
|
|
22
|
Сварочно-сборочный цех
|
1 605
|
0,65
|
0,35
|
1,169
|
561,75
|
656,76
|
864,23
|
|
23
|
Бытовые помещения 2 этажа
|
105
|
0,8
|
0,3
|
0,750
|
31,50
|
23,63
|
39,38
|
|
24
|
Участок футировки
|
532
|
0,65
|
0,3
|
1,169
|
159,60
|
186,59
|
245,54
|
|
25
|
Покрасочный участок
|
185
|
0,65
|
0,3
|
1,169
|
55,50
|
64,89
|
85,38
|
|
26
|
Дробеструйный участок
|
437
|
0,85
|
0,5
|
0,620
|
218,50
|
135,41
|
257,06
|
|
Цех №3
|
|
|
|
|
|
|
|
|
27
|
Бытовые помещения 1 этаж
|
58
|
0,85
|
0,3
|
0,620
|
17,40
|
10,78
|
20,47
|
|
28
|
Слесарно-сборочный цех
|
2 156
|
0,7
|
0,4
|
1,020
|
862,40
|
879,82
|
1 232,00
|
|
29
|
Заготовительный цех
|
525
|
0,65
|
0,35
|
1,169
|
183,75
|
214,83
|
282,69
|
|
|
|
|
|
|
|
|
|
|
30
|
Инструментальный цех
|
1952
|
0,7
|
0,4
|
1,020
|
780,80
|
796,58
|
1 115,43
|
|
31
|
Столярный цех
|
1095
|
0,6
|
0,3
|
1,333
|
328,50
|
438,00
|
547,50
|
|
32
|
Участок сборки и испытания готовой продукции
|
870
|
0,6
|
0,25
|
1,333
|
217,50
|
290,00
|
362,50
|
|
33
|
Склад готовой продукции
|
201
|
0,55
|
0,1
|
1,518
|
20,10
|
30,52
|
36,55
|
|
Итого:
|
22 041
|
|
|
|
8448,30
|
8406,61
|
11988,32
|
1.1.2 Расчет осветительной нагрузки цехов
При расчете электрической нагрузки цехов промышленного предприятия
учитывают также и осветительную нагрузку. Расчет ведут с учетом обеспечения
требуемых нормальных и комфортных условий работы персонала,
санитарно-гигиенических норм, техники безопасности. Для этого необходимо
правильно выбрать тип светильника.
На основании СНиП 11-4-79 основными источниками искусственного освещения
являются люминесцентные лампы, широко применяющиеся и в настоящее время. Их
применение обусловлено рядом преимуществ по сравнению с лампами накаливания:
более долгий срок службы, высокий световой поток и лучшие светотехнические характеристики.
Недостаток - нежелательно использовать при температуре в помещении ниже плюс 10°С. Это условие для данного
предприятия можно не рассматривать, т.к. все помещения в холодное время
отапливаются. Также желательно применять люминесцентные лампы в помещениях, где
есть естественное освещение. Выбор светильников ведут по таблице 3-2 [3].
Для цеховых помещений с нормальными условиями окружающей среды выбираем
светильники УПД ДРЛ 700, УПД ДРЛ 400. В бытовых помещениях - ЛПО 12-2х40.Для
расчета осветительной нагрузки цехов промышленного предприятия существует
несколько методов:-
точечный;- через удельную
мощность освещения;-
коэффициента использования и т.д.Расчет ведем по удельной мощности освещения на
единицу производственной площади. Нагрузка определяется по цеху в целом при
условии ее равномерного распределения по всей его площади. Данный метод
заключается в следующем: для конкретного заданного цеха по его площади,
требуемой освещенности и типу светильника выбирают удельную мощность освещения.
Затем находят ориентировочное значение осветительной нагрузки:
,
где
F - площадь цеха, для которого находится осветительная
нагрузка, м2;
W - удельная
мощность освещения, кВт/м2.Определяют ориентировочное число
светильников:
,
где
n - число ламп в светильнике;
Рсв
- мощность лампы светильника, кВт.
На
следующем этапе округляют ориентировочное число светильников до ближайшего
целого. Уточняют мощность, необходимую для освещения данного цеха:
,
где
N¢ - уточненное число светильников;
В
заключение находят расчетные нагрузки освещения по описанному выше методу. Для
примера рассмотрим расчет мощности осветительной нагрузки склада №1. Окружающая
среда в рассматриваемом здании нормальная, высота до рабочей поверхности 1 м
поэтому выбираем светильники типа УПД ДРЛ 400. Норма освещенности для склада -
50 (Лк) [4, таблица 2-1], W = 6,7 (Вт/м2) [3, таблица 5.41], F =
389 (м2).
Округляем
N1 до 3,
тогда
где
kС = 0,6
согласно таблице 9 [5].
Учитывая
потери в низковольтных сетях найдём суммарную активную нагрузку освещения:
Для выбранных светильников cos j =
0,92 (tgj = 0,43), расчетная реактивная
нагрузка равна:
Расчет осветительной нагрузки остальных цехов проводим аналогично и
результаты расчета сводим в таблицу 17.
Таблица 17
Расчёт
осветительной нагрузки
|
№ п.п.
|
Наименование
|
S(м2)
|
Тип светильника
|
E (лк)
|
n
|
W Вт/м2
|
Росв (Вт)
|
N
|
N'
|
Р'осв (кВт)
|
kc
|
Росв. Р1 (кВт)
|
Cos φ
|
tg φ
|
Росв. Р1 кВт
|
Qосв. Р1 кВАр
|
Sосв. Р1 кВА
|
|
1
|
Админ. корпус 2 этажа
|
1 348
|
ЛПО 12 2х40
|
200
|
2
|
40
|
9
|
24 255,0
|
303,19
|
303
|
24,26
|
0,8
|
19,40
|
0,95
|
0,33
|
20,37
|
6,70
|
21,45
|
|
2
|
Инженер. корпус 4 этажа
|
868
|
ЛПО 12 2х40
|
200
|
2
|
40
|
9
|
15 624,0
|
195,30
|
195
|
15,62
|
0,8
|
12,50
|
0,95
|
0,33
|
13,12
|
4,31
|
13,81
|
|
3
|
Гараж №1
|
720
|
УПД ДРЛ 400
|
100
|
1
|
400
|
5,4
|
3 888,0
|
9,72
|
10
|
3,89
|
0,95
|
3,69
|
0,92
|
0,43
|
3,88
|
1,65
|
4,22
|
|
4
|
Гараж №2
|
94
|
ЛПО 12 2х40
|
100
|
2
|
40
|
5,4
|
506,3
|
6,33
|
6
|
0,51
|
0,95
|
0,48
|
0,95
|
0,33
|
0,50
|
0,17
|
0,53
|
|
5
|
Гальванический цех
|
674
|
УПД ДРЛ 700
|
200
|
1
|
700
|
5,4
|
7 276,5
|
10,40
|
10
|
7,28
|
0,95
|
6,91
|
0,92
|
0,43
|
7,26
|
3,09
|
7,89
|
|
6
|
Компрессорная
|
417
|
УПД ДРЛ 700
|
200
|
1
|
700
|
6,7
|
5 581,1
|
7,97
|
8
|
5,58
|
0,95
|
5,30
|
0,92
|
0,43
|
5,57
|
2,37
|
6,05
|
|
7
|
Склад №1
|
228
|
УПД ДРЛ 400
|
50
|
1
|
400
|
13
|
1 478,8
|
3,70
|
4
|
1,48
|
0,7
|
1,04
|
0,92
|
0,43
|
1,09
|
0,46
|
1,18
|
|
8
|
Склад №2
|
271
|
УПД ДРЛ 400
|
50
|
1
|
400
|
11,2
|
1 519,0
|
3,80
|
4
|
1,52
|
0,7
|
1,06
|
0,92
|
0,43
|
1,12
|
0,48
|
1,21
|
|
9
|
Склад №3
|
496
|
УПД ДРЛ 400
|
50
|
1
|
400
|
6,7
|
1 661,6
|
4,15
|
4
|
1,66
|
0,7
|
1,16
|
0,92
|
0,43
|
1,22
|
0,52
|
1,33
|
|
10
|
Склад №4
|
189
|
УПД ДРЛ 400
|
50
|
1
|
400
|
7,9
|
746,6
|
1,87
|
2
|
0,75
|
0,7
|
0,52
|
0,92
|
0,43
|
0,55
|
0,23
|
0,60
|
|
11
|
Склад №5
|
217
|
УПД ДРЛ 400
|
50
|
1
|
400
|
5,3
|
575,7
|
1,44
|
1
|
0,58
|
0,7
|
0,40
|
0,92
|
0,43
|
0,42
|
0,18
|
0,46
|
|
12
|
Винило-сборочный участок
|
1 811
|
УПД ДРЛ 700
|
300
|
1
|
700
|
5,4
|
29 342,3
|
41,92
|
42
|
29,34
|
0,95
|
27,88
|
0,92
|
0,43
|
29,27
|
12,47
|
31,81
|
|
13
|
Грузовая проходная
|
273
|
ЛПО 12 2х40
|
100
|
2
|
40
|
6,7
|
1 829,1
|
22,86
|
23
|
1,83
|
0,8
|
1,46
|
0,95
|
0,33
|
1,54
|
0,51
|
1,62
|
|
14
|
РМУ
|
667
|
ЛПО 12 2х40
|
200
|
2
|
40
|
5,4
|
7 198,2
|
89,98
|
90
|
7,20
|
0,95
|
6,84
|
0,95
|
0,33
|
7,18
|
2,36
|
7,56
|
|
15
|
Литейный цех
|
1 131
|
УПД ДРЛ 700
|
200
|
1
|
700
|
5,4
|
12 214,8
|
17,45
|
17
|
12,21
|
0,85
|
10,38
|
0,92
|
0,43
|
10,90
|
4,64
|
11,85
|
|
16
|
Диспетчерская
|
52
|
ЛПО 12 2х40
|
100
|
2
|
40
|
6,5
|
338,0
|
4,23
|
4
|
0,34
|
0,8
|
0,27
|
0,95
|
0,33
|
0,28
|
0,09
|
0,30
|
|
17
|
Бытовые помещения 2 этажа
|
581
|
ЛПО 12 2х40
|
200
|
2
|
40
|
9
|
10 449,0
|
130,61
|
131
|
10,45
|
0,8
|
8,36
|
0,95
|
0,33
|
8,78
|
2,88
|
9,24
|
|
18
|
Механический цех
|
1 505
|
УПД ДРЛ 700
|
200
|
1
|
700
|
5,4
|
16 254,0
|
23,22
|
23
|
16,25
|
0,95
|
15,44
|
0,92
|
16,21
|
6,91
|
17,62
|
|
19
|
Стенд испытания кругов
|
125
|
ЛПО 12 2х40
|
100
|
2
|
40
|
5,4
|
675,0
|
8,44
|
8
|
0,68
|
0,6
|
0,41
|
0,95
|
0,33
|
0,43
|
0,14
|
0,45
|
|
Цех №1
|
|
|
|
|
|
|
|
|
|
|
|
|
|
|
|
|
|
|
20
|
Механо-сборочный цех
|
6 336
|
УПД ДРЛ 700
|
200
|
1
|
700
|
5,4
|
68 428,8
|
97,76
|
98
|
68,43
|
0,95
|
65,01
|
0,92
|
0,43
|
68,26
|
29,08
|
74,19
|
|
21
|
Бытовые помещения 3этажа
|
942
|
ЛПО 12 2х40
|
200
|
2
|
40
|
9
|
16 947,0
|
211,84
|
212
|
16,95
|
0,8
|
13,56
|
0,95
|
0,33
|
14,24
|
4,68
|
14,98
|
|
Цех №2
|
|
|
|
|
|
|
|
|
|
|
|
|
|
|
|
|
|
|
22
|
Сварочно-сборочный цех
|
4 394
|
УПД ДРЛ 700
|
300
|
1
|
700
|
5,4
|
71 174,7
|
101,68
|
102
|
71,17
|
0,95
|
67,6
|
0,92
|
0,43
|
71,00
|
30,24
|
77,17
|
|
Продолжение таблицы 17
|
|
23
|
Бытовые помещения 2 этажа
|
919
|
ЛПО 12 2х40
|
200
|
2
|
40
|
9
|
16 537,5
|
206,72
|
207
|
16,54
|
0,8
|
13,23
|
0,95
|
0,33
|
13,89
|
4,57
|
14,62
|
|
24
|
Участок футировки
|
1 500
|
УПД ДРЛ 700
|
200
|
1
|
700
|
5,4
|
16 200,0
|
23,14
|
23
|
16,20
|
0,95
|
15,39
|
0,92
|
0,43
|
16,16
|
6,88
|
17,56
|
|
25
|
Покрасочный участок
|
943
|
УПД ДРЛ 700
|
200
|
1
|
700
|
5,4
|
10 187,1
|
14,55
|
15
|
10,19
|
0,9
|
9,17
|
0,92
|
0,43
|
9,63
|
4,10
|
10,46
|
|
26
|
Дробеструйный участок
|
1 188
|
УПД ДРЛ 700
|
200
|
1
|
700
|
5,4
|
12 833,1
|
18,33
|
18
|
12,83
|
0,95
|
12,19
|
0,92
|
0,43
|
12,80
|
5,45
|
13,91
|
|
Цех №3
|
|
|
|
|
|
|
|
|
|
|
|
|
|
|
|
|
|
|
27
|
Бытовые помещения 1 этаж
|
557
|
ЛПО 12 2х40
|
200
|
2
|
40
|
4,5
|
5 008,5
|
62,61
|
63
|
5,01
|
0,8
|
4,01
|
0,95
|
0,33
|
4,21
|
1,38
|
4,43
|
|
28
|
Слесарно-сборочный цех
|
4 214
|
УПД ДРЛ 700
|
200
|
1
|
700
|
5,4
|
45 505,8
|
113,76
|
114
|
45,51
|
0,95
|
43,23
|
0,92
|
0,43
|
45,39
|
19,34
|
49,34
|
|
29
|
Заготовительный цех
|
2 286
|
УПД ДРЛ 700
|
200
|
1
|
700
|
5,4
|
24 684,8
|
35,26
|
35
|
24,68
|
0,95
|
23,45
|
0,92
|
0,43
|
24,62
|
10,49
|
26,76
|
|
|
|
|
|
|
|
|
|
|
|
|
|
|
|
|
|
|
|
|
30
|
Инструментальный цех
|
2 200
|
УПД ДРЛ 700
|
200
|
1
|
700
|
5,4
|
23 760,0
|
33,94
|
34
|
23,76
|
0,95
|
22,57
|
0,92
|
0,43
|
23,70
|
10,10
|
25,76
|
|
31
|
Столярный цех
|
1 570
|
УПД ДРЛ 700
|
200
|
1
|
700
|
5,4
|
16 950,6
|
24,22
|
24
|
16,95
|
0,95
|
16,10
|
0,92
|
0,43
|
16,91
|
7,20
|
18,38
|
|
32
|
Участок сборки и испытания готовой продукции
|
2 010
|
УПД ДРЛ 700
|
200
|
1
|
700
|
5,4
|
21 708,0
|
31,01
|
31
|
21,71
|
0,95
|
20,62
|
0,92
|
0,43
|
21,65
|
9,22
|
23,54
|
|
33
|
Склад готовой продукции
|
1 938
|
УПД ДРЛ 400
|
50
|
1
|
400
|
5,4
|
5 231,3
|
13,08
|
13
|
5,23
|
0,7
|
3,66
|
0,95
|
0,33
|
3,84
|
1,26
|
4,05
|
|
Итого
|
|
|
|
|
|
|
|
|
|
|
|
|
|
|
475,99
|
194,17
|
514,35
|
2.1.3 Расчет наружного освещения
Наружное освещение может выполняться как светильниками, так и
прожекторами. Безусловных экономических преимуществ ни одна из этих систем не
имеет.
Преимуществами прожекторного освещения являются: возможность освещения
больших открытых площадей без установки на них опор и прокладки сетей,
облегчение эксплуатаций за счет резкого снижения количества мест, требующих
обслуживания. К недостаткам прожекторного освещения можно отнести: слепящее
действие, большая пульсация освещенности, резкие тени от объектов.
При освещении светильниками лампы ДРЛ следует использовать для освещения
основных транспортных дорог завода с нормой освещенности более 4 лк. Для
охранного освещения должны применяться светильники с лампами накаливания.
Высота установки светильников выбирается с учетом требований ограничения
слепящего действия. Экономически целесообразным является увеличение высоты.
Традиционная высота установки колеблется от 6 до 10 м. Выбираем 8 м.Для
охранного освещения выбираем светильники - СПП 200М с лампами Б200-220 [3,
табл. 9-1].Расстояние между светильниками выбранного типа определяется
расчетом. Вначале определяют световой поток, который необходим для обеспечения
требуемой освещенности по формуле:
где L - нормированная яркость (для
территории завода 0,4 кд/м2, для охранного освещения 0,05 кд/м2),
k- коэффициент запаса, hL - коэффициент использования по
яркости для выбранного светильника, с учетом условий установки [3, табл. 9-3] (
)
Далее определяется площадь, которую способен осветить выбранный
светильник:
где Фсв - световой поток от лампы в светильнике (2450 лм.)
Для охранного освещения выбранные светильники следует устанавливать на
расстоянии 50 м. Суммарная длина охранной зоны завода составляет 1141 м.
Следовательно, для освещения потребуется 23 светильника. Для наружного
освещения транспортных дорог завода выбираем [3, табл. 9-1] светильник СЗП-500М
с широкой симметричной кривой светораспределения. В светильники устанавливаем
лампы Г500-220. Световой поток от лампы в светильнике 8300 лм. Устанавливаем
светильники в наиболее оживленных местах движения (перекрестки) и на подъездах
к цехам. Следовательно для освещения дорог потребуется 35 светильников.
Суммарная мощность наружного освещения:
cos φ =1, kc =1,S=22,1 кВА1.1.4
Определение суммарной нагрузки завода
Суммарную нагрузку цехов и всего предприятия в целом находят путем
простого арифметического сложения соответствующих значений активной и
реактивной силовой и осветительной нагрузки. После определяют полную суммарную
мощность.
Суммарные нагрузки всего предприятия используют в дальнейших расчетах.
Результаты сложения сводим в таблицу:
Таблица 18
Суммарные нагрузки с учетом освещения
|
№п.п.
|
Наименование
|
P(кВт)
|
Q(кВАр)
|
S(кВА)
|
|
1
|
Админ. корпус 2 этажа
|
119,37
|
68,05
|
137,41
|
|
2
|
Инженер. корпус 4 этажа
|
114,32
|
37,58
|
120,34
|
|
3
|
Гараж №1
|
76,18
|
86,18
|
115,02
|
|
4
|
Гараж №2
|
15,50
|
17,70
|
23,53
|
|
5
|
Гальванический цех
|
500,76
|
580,06
|
766,31
|
|
6
|
Компрессорная
|
683,57
|
510,87
|
|
2 АД 630/10
|
1 134,00
|
850,50
|
1 417,50
|
|
7
|
Склад №1
|
14,09
|
20,20
|
24,63
|
|
8
|
Склад №2
|
13,12
|
18,70
|
22,84
|
|
9
|
Склад №3
|
16,22
|
23,30
|
28,39
|
|
10
|
Склад №4
|
3,05
|
4,03
|
5,05
|
|
11
|
Склад №5
|
9,92
|
14,61
|
17,66
|
|
12
|
Винило-сборочный участок
|
676,77
|
769,48
|
1 024,75
|
|
13
|
Грузовая проходная
|
8,74
|
5,91
|
10,54
|
|
14
|
РМУ
|
56,38
|
59,88
|
82,25
|
|
15
|
Литейный цех
|
317,40
|
317,34
|
448,83
|
|
16
|
Диспетчерская
|
3,98
|
5,03
|
6,41
|
|
17
|
Бытовые помещения 2 этажа
|
109,58
|
78,48
|
134,79
|
|
18
|
Механический цех
|
432,61
|
431,72
|
611,18
|
|
19
|
Стенд испытания кругов
|
11,53
|
13,12
|
17,46
|
|
Цех №1
|
|
|
|
|
20
|
Механо-сборочный цех
|
803,06
|
778,72
|
1 118,62
|
|
21
|
Бытовые помещения 3этажа
|
103,04
|
71,28
|
125,29
|
|
Цех №2
|
|
|
|
|
22
|
Сварочно-сборочный цех
|
632,75
|
687,00
|
933,99
|
|
23
|
Бытовые помещения 2 этажа
|
45,39
|
28,19
|
53,43
|
|
24
|
Участок футеровки
|
175,76
|
193,48
|
261,39
|
|
25
|
Покрасочный участок
|
65,13
|
68,99
|
94,87
|
|
26
|
Дробеструйный участок
|
231,30
|
140,87
|
270,82
|
|
Цех №3
|
|
|
|
|
27
|
Бытовые помещения 1 этаж
|
21,61
|
12,17
|
24,80
|
|
28
|
Слесарно-сборочный цех
|
907,79
|
899,16
|
1 277,72
|
|
29
|
Заготовительный цех
|
208,37
|
225,32
|
306,90
|
|
Продолжение таблицы 18
|
|
|
|
|
30
|
Инструментальный цех
|
804,50
|
806,67
|
1 139,27
|
|
31
|
Столярный цех
|
345,41
|
445,20
|
563,48
|
|
32
|
Участок сборки и испытания готовой продукции
|
239,15
|
299,22
|
383,05
|
|
33
|
Склад готовой продукции
|
23,94
|
31,79
|
39,80
|
|
Охранное освещение:
|
4,6
|
|
|
|
Наружное освещение:
|
17,5
|
|
|
|
Итог по заводу:
|
8 946,39
|
8 600,78
|
12 410,13
|
.2 Картограмма электрических нагрузок завода
Подстанция (главная понизительная - ГПП, главная распределительная - ГРП, цеховая
трансформаторная ТП) является одним из основных звеньев системы
электроснабжения промышленного предприятия. Поэтому оптимальное размещение
подстанций на территории промышленного предприятия - важнейший вопрос при
построении рациональных схем электроснабжения.
ГПП предназначена для приема электроэнергии от энергосистемы,
преобразования ее в энергию пониженного напряжения и распределения по
территории промышленного предприятия. Для определения местоположения ГПП при
проектировании системы электроснабжения на генеральный план наносят картограмму
нагрузок, позволяющую наглядно представить распределение электрических нагрузок
на территории предприятия.
Картограмма нагрузок предприятия представляет собой размещенные по
генеральному плану окружности, площади которых в выбранном масштабе равны
расчетной нагрузке соответствующих цехов
,
где Pi - активная мощность i-го цеха, кВт;ri - радиус окружности, м;m - масштаб, кВт/м2.
Откуда
Каждый
круг разделяют на секторы, соответствующие осветительной и силовой нагрузкам.
Тогда картограмма дает представление не только о значении нагрузок, но и об их
структуре. Угол сектора осветительной нагрузки в градусах рассчитывают по
формуле:
,
где
Росв - активная мощность осветительной нагрузки (кВт);
Р
- суммарная мощность (кВт).
2.3
Определение центра электрических нагрузок
Для
каждого здания наносится своя окружность, центр которой совпадает с центром
электрических нагрузок (ЦЭН) здания, который в свою очередь является
символическим центром потребления электрической энергии здания. Нагрузки цеха
считают равномерно распределенными по площади цеха. Поэтому ЦЭН принимают
совпадающим с центром тяжести фигуры, изображающей цех в плане.
Проводя
аналогию между массами и электрическими нагрузками цехов Pi и Qi, координаты их центра определяют в соответствии со
следующими формулами:- активный ЦЭН
;
,
- реактивный ЦЭН
;
,
где
,
- координаты центра активных нагрузок по осям;
,
- координаты центра реактивных нагрузок по осям;xi, yi - координаты i-той нагрузки;Pi, Qi - i-тая активная и реактивная нагрузка соответственно.
Для
расчета принимаем m = 0,2 (кВт/м2).Данные для определения ЦЭН
и построения картограммы нагрузок сводим в таблицу:
Таблица 19
Картограмма электрических нагрузок
|
№ п.п.
|
Наименование
|
P(кВт)
|
Q(кВАр)
|
x(м)
|
y(м)
|
r(м)
|
αo
|
|
1
|
Админ. корпус 2 этажа
|
119,37
|
68,05
|
603
|
253
|
13,784
|
61,443
|
|
2
|
Инженер. корпус 4 этажа
|
114,32
|
37,58
|
631
|
136
|
13,489
|
41,327
|
|
3
|
Гараж №1
|
76,18
|
86,18
|
433
|
333
|
11,011
|
18,328
|
|
4
|
Гараж №2
|
15,50
|
17,70
|
476,5
|
400,5
|
4,968
|
11,725
|
|
5
|
Гальванический цех
|
500,76
|
580,06
|
583
|
410,5
|
28,231
|
5,218
|
|
6
|
Компрессорная
|
683,57
|
510,87
|
45,75
|
414
|
32,984
|
2,932
|
|
7
|
Склад №1
|
14,09
|
20,20
|
502
|
410,5
|
4,735
|
27,776
|
|
8
|
Склад №2
|
13,12
|
18,70
|
530,5
|
410,5
|
4,569
|
30,643
|
|
9
|
Склад №3
|
16,22
|
23,30
|
432,5
|
383
|
5,081
|
27,104
|
|
10
|
Склад №4
|
3,05
|
4,03
|
430
|
411
|
2,203
|
64,794
|
|
11
|
Склад №5
|
9,92
|
14,61
|
407,5
|
447,5
|
3,974
|
15,351
|
|
12
|
Винило-сборочный участок
|
676,77
|
769,48
|
263
|
311,5
|
32,820
|
15,569
|
|
13
|
Грузовая проходная
|
8,74
|
5,91
|
639
|
368
|
3,729
|
63,312
|
|
14
|
РМУ
|
56,38
|
59,88
|
238
|
390
|
9,473
|
45,847
|
|
15
|
Литейный цех
|
317,40
|
317,34
|
50,25
|
334
|
22,476
|
12,365
|
|
16
|
Диспетчерская
|
3,98
|
5,03
|
665
|
321
|
2,518
|
25,656
|
|
17
|
Бытовые помещения 2 этажа
|
109,58
|
78,48
|
337
|
390
|
13,206
|
28,836
|
|
18
|
Механический цех
|
432,61
|
431,72
|
288,5
|
390
|
26,240
|
13,492
|
|
19
|
Стенд испытания кругов
|
11,53
|
13,12
|
476,5
|
418
|
4,283
|
13,283
|
|
Цех №1
|
|
|
|
|
|
|
|
20
|
Механо-сборочный цех
|
803,06
|
778,72
|
336
|
102,8
|
35,751
|
30,599
|
|
21
|
Бытовые помещения 3этажа
|
103,04
|
71,28
|
366
|
21,25
|
12,806
|
49,738
|
|
|
|
|
|
|
|
22
|
Сварочно-сборочный цех
|
632,75
|
687,00
|
99,5
|
129,8
|
31,734
|
40,393
|
|
23
|
Бытовые помещения 2 этажа
|
45,39
|
28,19
|
76,5
|
30,25
|
8,500
|
110,173
|
|
24
|
Участок футировки
|
175,76
|
193,48
|
75
|
236,8
|
16,725
|
33,099
|
|
25
|
Покрасочный участок
|
65,13
|
68,99
|
24,5
|
179,3
|
10,181
|
53,214
|
|
26
|
Дробеструйный участок
|
231,30
|
140,87
|
24,5
|
92,25
|
19,187
|
19,924
|
|
Цех №3
|
|
|
|
|
|
|
|
27
|
Бытовые помещения 1 этаж
|
21,61
|
12,17
|
498
|
71,75
|
5,864
|
70,096
|
|
28
|
Слесарно-сборочный цех
|
907,79
|
899,16
|
498
|
120,8
|
38,011
|
18,001
|
|
29
|
Заготовительный цех
|
208,37
|
225,32
|
416
|
119,8
|
18,211
|
42,541
|
|
30
|
Инструментальный цех
|
804,50
|
806,67
|
130,5
|
371
|
35,783
|
10,606
|
|
31
|
Столярный цех
|
345,41
|
445,20
|
492,8
|
237
|
23,447
|
17,623
|
|
32
|
Участок сборки и испытания готовой продукции
|
239,15
|
299,22
|
205,8
|
263,5
|
19,510
|
32,596
|
|
33
|
Склад готовой продукции
|
23,94
|
31,79
|
228,5
|
22,5
|
6,173
|
57,807
|
Заводскую ГПП размещают вблизи центра активных электрических нагрузок,
что сокращает протяженность, стоимость и потери в питающих и распределительных
сетях электроснабжения предприятия.
2.4 Компенсация реактивной мощности
Большая часть приемников в процессе работы потребляет из сети помимо
активной мощности реактивную. Передача значительного количества реактивной
мощности по линиям через трансформаторы системы электроснабжения невыгодна
из-за возникновения дополнительных потерь активной мощности и энергии во всех
ее элементах, а также из-за возникновения дополнительных потерь напряжения.
Оптимальную величину коэффициента мощности на предприятии получают путем
компенсации реактивной мощности как естественными мерами (за счет улучшения
режимов работы приемников), так и за счет установки компенсирующих устройств в
соответствующих точках системы электроснабжения.
Мощность компенсирующего устройства Qк определяют как разность между реактивной нагрузкой
предприятия QS и предельной реактивной мощностью,
предоставляемой предприятию энергосистемой по условию режима его работы Qэ
,
где
- тангенс угла, отвечающий установленным предприятием условиям получения
мощности. Компенсирующие устройства устанавливают на стороне 10 кВ предприятия.
Для
данного предприятия коэффициент мощности
, откуда
,
,
,
.
Тогда
по формуле (50) получим:
Выбираем
компенсирующую установку УКЛ-10,5-2400 УЗ [8, таблица 3.239].
Реактивная
мощность после компенсации:
(кВАр)
где
n - количество конденсаторных установок.
Полная
мощность завода после компенсации:
2.5
Выбор числа и мощности трансформаторов цеховых ТП
Для
рационального построения схемы электроснабжения предприятия существенное
значение имеет правильный технически и экономически обоснованный выбор числа и
мощности трансформаторов как для главных, так и для цеховых подстанций.
Выбор
числа трансформаторов, типа и схемы питания подстанций обусловлен величиной и
характером электрических нагрузок, размещением нагрузок на генплане предприятия,
а также производственными, архитектурно-строительными и эксплуатационными
требованиями. Кроме того, следует учитывать конфигурацию производственных
помещений, расположение технологического оборудования, условие окружающей
среды, условие охлаждения, требования пожарной и электрической безопасности,
тип применяемого оборудования.
Надежность
электроснабжения предприятия, цехов достигается за счет применения
двухтрансформаторных подстанций (при преобладании потребителей первой и второй
категории), которые, как правило, работают раздельно. При этом соблюдается
условие, что при аварии одного из трансформаторов, второй обеспечивает
потребляемую мощность полностью или с некоторым ограничением.
В
практике проектирования при выборе трансформаторов:- стремятся к возможно большей однотипности трансформаторов и
оборудования трансформаторных подстанций (ТП) на всем предприятии в целом;- производят выбор фундамента или камеры с учетом возможности установки
в будущем более мощного трансформатора;- предусматривают
работу трансформаторов на цеховых и главных ТП раздельной.
Для
электроснабжения потребителей применяем комплексные трансформаторные подстанции
(КТП) с трансформаторами серии ТМ.
Для
увеличения эффективности электроснабжения цехов предприятия, повышения
управляемости электроснабжения, уменьшения расходов на покупку оборудования
снабжения электроэнергией некоторых цехов осуществляем от одной цеховой ТП.
ТП
№1 - гараж №1, гараж №2, гальванический цех, диспетчерская, склад №1, склад №2,
склад №3, склад №4, склад №5, грузовая проходная, стенд испытания кругов;
ТП
№2 - сварочно-сборочный цех, бытовые помещения (2 цех);
ТП
№3 - механо-сборочный цех, бытовые помещения (1 цех), заготовительный цех;
ТП
№4 - административная корпус, инженерный корпус, столярный цех;
ТП
№5 - слесарно-сборочный цех, бытовые помещения (3 цех);
ТП№6
- РМУ, механический цех, бытовые помещения;
ТП
№7 - компрессорная, литейный цех;
ТП
№8 - инструментальный цех;
ТП
№9 - винило-сборочный участок, участок сборки и испытания готовой продукции,
склад готовой продукции;
ТП
№10 - участок футеровки, покрасочный участок, дробеструйный участок
Таблица 20
Распределение объектов по ТП
|
№ТП
|
№ по плану
|
Наименование объекта
|
Суммарные нагрузки
|
|
|
|
P(кВт)
|
Q(кВАр)
|
S(кВА)
|
|
1
|
3,4, 5, 7, 8, 9, 10, 11, 13, 16, 19
|
гараж №1, гараж №2, гальванический цех, диспетчерская,
склад №1, склад №2, склад №3, склад №4, склад №5, грузовая проходная, стенд
испытания кругов
|
673,08
|
788,82
|
1 037,85
|
|
2
|
22,23
|
сварочно-сборочный цех, бытовые помещения (2 цех)
|
678,14
|
715,19
|
987,43
|
|
3
|
20,21, 29
|
механо-сборочный цех, бытовые помещения (1 цех),
заготовительный цех
|
1114,47
|
1075,32
|
1550,81
|
|
4
|
1, 2, 31
|
административная корпус, инженерный корпус, столярный цех
|
579,11
|
550,83
|
821,23
|
|
5
|
27, 28
|
слесарно-сборочный цех, бытовые помещения (3 цех)
|
929,40
|
911,33
|
1302,52
|
|
6
|
14, 17, 18
|
РМУ, механический цех, бытовые помещения
|
598,57
|
570,09
|
828,21
|
|
7
|
6, 15
|
компрессорная, литейный цех
|
1000,97
|
828,21
|
1302,21
|
|
8
|
30
|
инструментальный цех
|
804,50
|
806,67
|
1139,27
|
|
9
|
12, 32, 33
|
винило-сборочный участок, участок сборки и испытания
готовой продукции, склад готовой продукции
|
939,87
|
1100,49
|
1447,60
|
|
10
|
24, 25, 26
|
участок футировки, покрасочный участок, дробеструйный
участок
|
472,19
|
403,33
|
627,08
|
Мощность трансформатора ТП находят по формуле:
,
где
Sтр -
полная мощность трансформатора,
кВА;Sп - передаваемая мощность,
кВА;n -
количество трансформаторов на ТП;
КЗ
- коэффициент загрузки.
При
проектировании электроснабжения промышленных предприятий применяют следующие
коэффициенты загрузки:
- при преобладании
нагрузок I категории
;
- при преобладании
нагрузок II категории
;
- при нагрузках III
категории
.
Для
примера рассмотрим выбор трансформаторов для ТП №3.
Из
таблицы 1 группа по надежности электроснабжения четырёх потребителей, питаемых
от данной ТП - III. Следовательно, на ТП №1 применяем один источник
питания.
По
таблице 4 находим полную передаваемую мощность ТП №3.
Мощность
двух трансформаторов ТП №1 по формуле (33) равна:
Выбираем
трансформатора ТМ 1000 [6, Кн. 2, таблица 29-1. Уточняем фактический
коэффициент загрузки трансформаторов ТП №3:
Подстанцию
необходимо проверить на перегрузочную способность в аварийном режиме, если она
питает потребителей I и II категории по надежности электроснабжения.
Перегрузочная способность - это способность оставшегося в работе
трансформатора, при выходе из строя другого, выдержать необходимое время
требуемую перегрузку. Коэффициент перегрузки вычисляют следующим образом:
Если
условие выполняется, следовательно, выбранные трансформаторы подходят для
установки.
Выбор
трансформаторов и их проверка для других ТП проводим аналогично. Результаты
расчета и параметры трансформаторов сводим в таблицу.
Таблица 21
Число, тип, мощность и параметры силовых трансформаторов.
|
№
|
Кат. над.
|
S расч. (кВА)
|
Nт
|
Sт (кВА)
|
Тип тр-ра
|
Uвн /Uнн
|
Pхх (кВт)
|
Pкз (кВт)
|
Iхх (%)
|
Uкз (%)
|
Kз
|
Kпер
|
|
1
|
II
|
1 037,85
|
2
|
630
|
ТМ-630/0,4
|
10/0,4
|
1,25
|
7,6
|
1,7
|
5,5
|
0,82
|
1,65
|
|
2
|
II
|
987,43
|
2
|
630
|
ТМ-630/0,4
|
10/0,4
|
1,25
|
7,6
|
1,7
|
5,5
|
0,78
|
1,57
|
|
3
|
III
|
1 550,81
|
1
|
1 600
|
ТМ-1600/0,4
|
10/0,4
|
2,35
|
18
|
1,3
|
6,5
|
0,97
|
0,97
|
|
4
|
III
|
821,23
|
1
|
1 000
|
ТМ-1000/0,4
|
10/0,4
|
1,9
|
11,6
|
1,7
|
5,5
|
0,82
|
0,82
|
|
5
|
III
|
1 302,52
|
1
|
1 600
|
ТМ-1600/0,4
|
10/0,4
|
2,35
|
18
|
1,3
|
6,5
|
0,81
|
0,81
|
|
6
|
III
|
828,21
|
1
|
1 000
|
ТМ-1000/0,4
|
10/0,4
|
1,9
|
11,6
|
1,7
|
5,5
|
0,83
|
0,83
|
|
7
|
II
|
1 302,21
|
2
|
1 000
|
ТМ-1000/0,4
|
10/0,4
|
1,9
|
11,6
|
1,7
|
5,5
|
0,65
|
1,30
|
|
8
|
III
|
1 139,27
|
1
|
1 600
|
ТМ-1600/0,4
|
10/0,4
|
2,35
|
18
|
1,3
|
6,5
|
0,71
|
0,71
|
|
9
|
III
|
1 447,60
|
1
|
1 600
|
ТМ-1600/0,4
|
10/0,4
|
18
|
1,3
|
6,5
|
0,90
|
0,90
|
|
10
|
II
|
627,08
|
2
|
400
|
ТМ-400/0,4
|
10/0,4
|
0,83
|
5,5
|
2,1
|
4,5
|
0,78
|
1,57
|
Расчет потерь мощности в трансформаторах. Потери мощности в
трансформаторах слагаются из потерь активной и реактивной мощности. Потери
активной мощности состоят, в свою очередь, из потерь на нагрев обмоток
трансформатора, зависящих от тока нагрузки, и потерь нагревания в стали, не
зависящих от тока нагрузки. Потери активной мощности выражают следующей
формулой:
,
где
- потери мощности короткого
замыкания трансформатора (потери в обмотках) при номинальной нагрузке, кВт;
- потери мощности холостого хода трансформатора (потери в стали), кВт;
КЗ
- коэффициент загрузки трансформатора,n - количество трансформаторов.
Потери
реактивной мощности также слагаются из двух составляющих: потерь, вызванных
рассеянием магнитного потока в трансформаторе и зависящих от квадрата тока
нагрузки, и потерь на намагничивание трансформатора, не зависящих от тока
нагрузки и определяемых током холостого хода Iхх. Потери реактивной мощности определяют из следующего
выражения:
,
где
- потери реактивной мощности в
трансформаторе, кВАр;
- потери реактивной мощности в трансформаторе при холостом ходе потери
на перемагничивание), кВАр;
- потери реактивной мощности рассеяния в трансформаторе при номинальной
нагрузке, кВАр.
В
свою очередь:
,
где
Sтр. н -
номинальная мощность трансформатора, кВА;Iхх - холостой ток трансформатора, %.
,
где Uк - напряжение короткого замыкания трансформатора, %.
Для примера рассмотрим расчет потерь мощности в трансформаторе ТП №6. Согласно
таблице 7:
Sтр.
н = 1000 кВА, КЗ
= 0,83,
,
,
,
.
Тогда получаем:
Мощность с учетом потерь мощности в трансформаторах, необходимую для
дальнейших расчетов (например, при выборе кабельных линий) определяют следующим
образом:
,
где
Рп - активная мощность с учетом потерь мощности в трансформаторах,
передаваемая по кабельной линии, кВт;
Р
- активная мощность согласно таблице 4, кВт.
Аналогично
находят реактивная мощность, передаваемая по кабельной линии (КЛ):
,
Полную
мощность рассчитывают по формуле:
Для
ТП №6:
Для
остальных ТП расчет потерь мощности, а также мощностей, передаваемых по КЛ,
определяем аналогично. Результаты расчета сводим в таблицу:
Таблица 22
Потери мощности в трансформаторе и мощности, передаваемые по КЛ
|
№
|
Pрасч (кВт)
|
Qрасч. (кВАр)
|
ΔPт (кВт)
|
Qхх (кВАр)
|
Qн (кВАр)
|
ΔQт (кВАр)
|
Pп (кВт)
|
Qп (кВАр)
|
Sп (кВА)
|
|
1
|
673,08
|
788,82
|
5,08
|
10,71
|
34,65
|
33,17
|
678,16
|
822,00
|
1 065,64
|
|
2
|
678,14
|
715,19
|
4,83
|
10,71
|
34,65
|
32,06
|
682,97
|
747,25
|
1 012,34
|
|
3
|
1 114,47
|
1 075,32
|
19,26
|
20,8
|
104
|
118,50
|
1 133,73
|
1 193,82
|
1 646,37
|
|
4
|
579,11
|
550,83
|
9,72
|
17
|
55
|
54,09
|
588,83
|
604,92
|
844,19
|
|
5
|
929,40
|
911,33
|
14,28
|
20,8
|
104
|
89,72
|
943,68
|
1 001,05
|
1 375,73
|
|
6
|
598,57
|
570,09
|
9,86
|
17
|
55
|
54,73
|
608,43
|
624,81
|
872,11
|
|
7
|
1 000,97
|
828,21
|
6,26
|
17
|
55
|
45,66
|
1 007,23
|
873,87
|
1 333,47
|
|
8
|
804,50
|
806,67
|
11,48
|
20,8
|
104
|
73,53
|
815,98
|
880,20
|
1 200,24
|
|
9
|
939,87
|
1 100,49
|
17,08
|
20,8
|
104
|
105,93
|
956,95
|
1 206,42
|
1 539,87
|
|
10
|
472,19
|
403,33
|
3,35
|
8,4
|
18
|
22,33
|
475,54
|
425,66
|
638,22
|
2.6 Компенсация реактивной мощности РП
Приемники и преобразователи электроэнергии, имеющие в конструкции обмотки
(электродвигатели, трансформаторы и др.), потребляют не только активную
мощность, но и реактивную. При передаче по элементам системы электроснабжения
реактивной мощности (РМ), объективно необходимой для преобразования
электроэнергии, в них возникают потери активной мощности, за которые
расплачивается предприятие-потребитель. Альтернативой дополнительной плате за
электроэнергию является установка в сети предприятия источников реактивной
мощности (ИРМ). Компенсация реактивных нагрузок в сети потребителя позволяет:
снизить плату поставщику за потребленную электроэнергию;
уменьшить токовые нагрузки элементов системы электроснабжения (кабельных
и воздушных линий, трансформаторов), обеспечив возможность расширения
производства;
улучшить качество электроэнергии за счет уменьшения отклонений напряжения
от номинального значения.
Если генерируемая реактивная мощность становится больше потребляемой, то
напряжение в сети повышается. При дефиците реактивной мощности напряжение в
сети понижается.
Компенсация реактивных нагрузок может осуществляться за счет
перевозбуждения имеющихся синхронных электродвигателей (СД) напряжением 6-10 кВ
или путем размещения в сети конденсаторных установок высокого (ВКБ) и низкого
(НКБ) напряжения.
Мощность компенсирующего устройства Qк определяют как разность
между реактивной нагрузкой предприятия QS и предельной реактивной мощностью,
предоставляемой предприятию энергосистемой по условию режима его работы Qэ:
,
где
- тангенс угла, отвечающий установленным предприятием условиям получения
мощности.
Конденсаторные
установки могут быть установлены как на ГПП, так и в сети 10 - 0,38 кВ.
Мощность конденсатора пропорциональна его емкости и квадрату напряжения,
поэтому удельная стоимость ВКБ оказывается примерно вдвое меньшей, чем НКБ.
Однако постоянная составляющая затрат для ВКБ оказывается выше за счет большей
стоимости подключения к сети. Для более точного выбора необходимо производить
технико-экономические расчеты. Для данного расчета примем, что компенсирующие
устройства установлены на стороне 10 кВ РП предприятия.
Определим
полную суммарную нагрузку на РП:=2008,97 кВт=1584,21 кВА
рS=2558,2
кВА
Для
данного предприятия коэффициент мощности
, откуда
. Тогда:
Выбираем
компенсирующую установку УКЛ(П)56-10,5-450 У3.Реактивная мощность после
компенсации:
кВАр,
где
n - количество конденсаторных установок. Полная мощность после компенсации:
кВА
.7
Выбор сечения кабелей внутризаводского электроснабжения
Для
передачи электрической энергии от трансформаторов ГПП до цеховых ТП на
территории предприятия применяются кабельные линии (КЛ).Выбор оптимального
сечения КЛ обеспечивает надежное электроснабжение, экономию цветных металлов,
оптимальное соотношение цена-качество выбранного кабеля.
На
первом этапе выбирают кабель по экономической плотности тока. Сечение кабеля
находят по формуле:
,
где
jэк -
экономическая плотность тока, А/мм2;
Iр - расчетный ток, протекающий по кабелю,
А.
,
где
Sп -
передаваемая по кабелю полная мощность, кВА;
n - число
параллельно работающих КЛ;
Uн - номинальное напряжение, кВ.
После
нахождения Fэк
значение найденного сечения округляют до ближайшего стандартного. Закончив
выбор кабеля, обязательно производят его проверку по длительно допустимому
току, допустимой перегрузке и потерям напряжения.
Для
прокладки кабельных сетей по территории завода применяем кабель марки для сетей
выше 1 кВ.
КЛ
прокладываем в воздухе и по стенам зданий на специальных конструкциях.
Для
примера рассмотрим выбор КЛ от ГПП к ТП №1.Из таблицы 8 передаваемая к ТП №4
мощность
.
Расчетный
ток:
Сечение кабеля по экономической плотности тока jэк = 1,6 А/мм2 [1, таблица 1.3.36] при годовом числе
часов использования максимальной нагрузки Tmax, более 3000 и менее 5000 часов для
кабелей с бумажной изоляцией с алюминиевыми жилами для промышленных
предприятий, работающих в одну смены
Tmax = 1500 (ч/год).
Исходя из электродинамической стойкости принимаем F = 70 (мм2).1) Из таблицы
1.3.18 [11] для выбранного сечения длительно допустимый ток
Iдд = 130 (А).
следовательно, кабель проходит по длительно допустимому току.2) Проверяем
кабель по допустимой перегрузке на период ликвидации послеаварийного режима.
Находим для этого коэффициент предварительной загрузки (только для двухтрансформаторных
ТП):
Исходя
из kЗ, по
таблице 1.3.2 [11] определяют коэффициент допустимой перегрузки на период
ликвидации послеаварийного режима при длительности максимума 6 часов: kд = 1,25.Должно выполнятся следующее условие:
следовательно,
выбранный кабель проходит по допустимой перегрузке.
)
Проверяем кабель по потерям напряжения в нормальном и аварийном режимах. В
нормальном:
,
где
Pп, Qп - передаваемая по кабелю активная (кВт) и реактивная
(кВАр) мощности соответственно;
r0, x0 -
активное и реактивное сопротивление соответственно (Ом/км);
L - длина линии
(м);
Uн - номинальное напряжение (кВ).Потеря напряжения в
процентах:
Должно
выполнятся следующее условие:
, где
.
Проверку
в аварийном режиме осуществляют аналогично, учитывая, что
, т.к. передаваемая мощность увеличивается.
Для
КЛ от ГПП к ТП №4 r0 = 0,447
(Ом/км), x0 = 0,0612
(Ом/км) [7, таблица 6.80], L =181(м) [таблица 9 ПЗ].
Потери
напряжения в нормальном режиме:
(В);
Потери
напряжения в аварийном режиме:
Следовательно,
кабель проходит по потере напряжения. Выбор и проверку остальных КЛ от ГПП до
ТП проводим аналогично. Результаты расчета и параметры КЛ сводим в таблицу:
.8 Расчет потерь в кабельных линиях
Электрический ток, проходя по КЛ, вызывает потери мощности на нагрев.
Потери мощности должны быть компенсированы генераторами электростанций.
Электрическая нагрузка, как правило, имеет переменный характер, и поэтому
потери мощности в линиях будут изменяться с изменением нагрузки.
Потери мощности в линии слагаются из потерь активной и реактивной
мощности:- активные
потери:
,
где
r0 -
активное сопротивление линии, Ом/км; L - длина линии, км;
Uном - номинальное напряжение линии, кВ - реактивные потери:
,
где Рп, Qп - передаваемая по кабелю активная
(кВт) и реактивная (кВАр) мощности соответственно; x0 - реактивное сопротивление линии, Ом/км
Таблица 23
Результаты расчёта по выбору КЛ 10 кВ и их параметры
|
Кабельная линия
|
№ ТП
|
№ КЛ
|
Sп (кВА)
|
n
|
Iр (А)
|
Fэк (мм2)
|
F (мм2)
|
Iдд (А)
|
Kпер.
|
R0 (мОм/м)
|
X0 (мОм/м)
|
L (м)
|
ΔU (В)
|
ΔU (%)
|
ΔUа (%)
|
|
от ГПП до
|
ТП1
|
КЛ 1
|
1 065,64
|
2
|
30,76
|
21,97
|
70
|
130
|
0,47
|
0,447
|
0,0612
|
26
|
0,92
|
0,01
|
-
|
|
ТП2
|
КЛ 2
|
1 012,34
|
2
|
29,22
|
20,87
|
70
|
130
|
0,45
|
0,447
|
0,0612
|
366
|
12,85
|
0,13
|
-
|
|
ТП3
|
КЛ 3
|
1 646,37
|
1
|
95,05
|
67,90
|
70
|
130
|
-
|
0,447
|
0,0612
|
266
|
15,42
|
0,15
|
-
|
|
ТП4
|
КЛ 4
|
844,19
|
1
|
50,66
|
34,81
|
70
|
130
|
-
|
0,447
|
0,0612
|
181
|
5,43
|
0,05
|
-
|
|
ТП5
|
КЛ 5
|
1 375,73
|
1
|
79,43
|
56,73
|
70
|
130
|
-
|
0,447
|
0,0612
|
228,5
|
11,04
|
0,11
|
-
|
|
ТП6
|
КЛ 6
|
872,11
|
1
|
50,35
|
35,97
|
70
|
130
|
-
|
0,447
|
0,0612
|
194
|
6,02
|
0,06
|
-
|
|
ТП8
|
КЛ 8
|
1 200,24
|
1
|
69,3
|
49,50
|
70
|
130
|
-
|
0,447
|
0,0612
|
241
|
10,09
|
0,10
|
|
ТП9
|
КЛ 9
|
1 539,87
|
1
|
88,9
|
63,50
|
70
|
130
|
-
|
0,447
|
0,0612
|
271
|
13,59
|
0,14
|
-
|
|
ТП10
|
КЛ 10
|
638,22
|
2
|
18,42
|
13,16
|
70
|
130
|
0,28
|
0,447
|
0,0612
|
421
|
10,05
|
0,10
|
-
|
|
РП
|
КЛ 11
|
2 122,29
|
2
|
61,27
|
43,76
|
70
|
130
|
0,94
|
0,447
|
0,0612
|
293,5
|
27,59
|
0,28
|
-
|
|
от РП до
|
ТП7
|
КЛ 7
|
1 333,47
|
2
|
38,49
|
27,50
|
70
|
130
|
0,59
|
0,447
|
0,0612
|
20
|
1,01
|
0,01
|
-
|
|
АД1
|
КЛ 12
|
630
|
1
|
41,57
|
25,98
|
70
|
130
|
-
|
0,447
|
0,0612
|
10
|
140
|
3,59
|
-
|
|
АД2
|
КЛ 13
|
630
|
1
|
41,57
|
25,98
|
70
|
130
|
-
|
0,447
|
0,0612
|
10
|
140
|
3,59
|
-
|
Для примера рассмотрим расчет потерь в кабельной линии КЛ3:
r0 = 0,447 (Ом/км),
0
= 0,0612(Ом/км),
L =
266 (м).
3,22
(кВт);
0,44
(кВАр).
Расчет потерь для других КЛ аналогичен. Данные расчета сводим в таблицу
10.Общую суммарную нагрузку предприятия определяют путем арифметического
сложения соответствующих значений активной и реактивной нагрузок, передаваемых
по КЛ, с активными и реактивными потерями в этих линиях.
Таблица 24
Потребители мощности в кабельных линиях
|
№ КЛ
|
ΔP (кВт)
|
ΔQ (кВАр)
|
ΔS (кВА)
|
Pп (кВт)
|
Qп (кВАр)
|
Sп (кВА)
|
|
КЛ 1
|
0,13
|
0,02
|
0,13
|
678,29
|
822,02
|
1 065,74
|
|
КЛ 2
|
1,68
|
0,23
|
1,69
|
684,65
|
747,48
|
1 013,64
|
|
КЛ 3
|
3,22
|
0,44
|
3,25
|
1 136,95
|
1 194,26
|
1 648,91
|
|
КЛ 4
|
0,58
|
0,08
|
0,58
|
589,41
|
605,00
|
844,65
|
|
КЛ 5
|
1,93
|
0,26
|
1,95
|
945,61
|
1 001,31
|
1 377,25
|
|
КЛ 6
|
0,66
|
0,09
|
0,67
|
609,09
|
624,90
|
872,63
|
|
КЛ 7
|
0,16
|
0,02
|
0,16
|
1 007,39
|
873,89
|
1 333,61
|
|
КЛ 8
|
1,55
|
0,21
|
1,57
|
817,53
|
880,41
|
1 201,45
|
|
КЛ 9
|
2,87
|
0,39
|
2,90
|
959,82
|
1 206,81
|
1 541,97
|
|
КЛ 10
|
0,77
|
0,10
|
0,77
|
476,30
|
425,77
|
638,86
|
|
КЛ 11
|
5,91
|
0,81
|
5,96
|
2 014,88
|
685,02
|
2 128,14
|
|
КЛ 12
|
0,32
|
0,04
|
0,33
|
504,32
|
514,23
|
720,26
|
|
КЛ 13
|
0,32
|
0,04
|
0,33
|
504,32
|
514,23
|
720,26
|
|
Итого:
|
8436,74
|
8984,46
|
11620,11
|
.9 Корректировка расчетной нагрузки
Для уточнения расчётных нагрузок необходим расчёт потерь мощности в
трансформаторах. Ввиду малой мощности потерь, по сравнению с электрической
нагрузкой, их определят приближённым методом. Погрешности таких методов считают
приемлемыми при 30 и даже 50%. Так потери активной и реактивной мощностей в
трансформаторах и преобразователях определяют по формулам:
,
,
где
kP и kQ - коэффициенты потерь.
SP -
расчётная полная нагрузка.
Коэффициенты
этой формулы для всех силовых трансформаторов независимо от их номинальных
мощностей, напряжений их КПД считают равными: kP=0,02
(кВт/ВА), kQ=0,1 (кВАр/ВА).
По
формулам определяют потери активной и реактивной мощностей. С учётом полученных
потерь уточняется нагрузка.
,
.
Вычисляется
полная мощность. По полученным нагрузкам уточняем коэффициент мощности
.
,
,
,
,
,
2.10 Технико-экономический расчет схемы внешнего
электроснабжения
От выбора схемы электроснабжения зависят капитальные и эксплуатационные
расходы, а также надежность электроснабжения.
Завод низковольтного оборудования содержит потребителей II-ой и III-ей категории, поэтому питание необходимо обеспечить
от двух независимых источников питания. При выборе схемы будем пользоваться
только стандартными значениями напряжений и стандартными аппаратами.
Питание электроэнергией предприятия осуществляется от внешнего источника
электроснабжения. Напряжение трансформируется на ГПП предприятия.
Рассмотрим два варианта внешнего электроснабжения:1. По схеме с
напряжением энергосистемы 110 кВ.2. По схеме с напряжением энергосистемы 35 кВ.
Вариант 1. Длина линии 8,9 км. Количество параллельных линий: n = 2.
Экономическая плотность тока: jЭ = 1,1 А/мм2 [1, таблица
1.3.36].
Передаваемая мощность: SП = 9720,28 (кВА).
Ток в линиях в нормальном режиме в общем виде:
(37)
Экономическое
сечение провода:
Принимаем
по условиям механической прочности F = 70 мм2 (провод марки
АС-70/11). Длительно-допустимые тока нагрузки для выбранных по экономической
плотности тока проводов IД.Д = 265 А [1, таблица 1.3.29].
Линию
выполняем на железобетонных проходных и стальных анкерно-угловых опорах [2,
стр. 381-382].
Таблица 24
Опоры ЛЭП на напряжение 110кВ
|
Тип
|
Проходные
|
Анкерно-угловые
|
|
Шифр
|
ПП 110-1
|
У 110-1-9
|
|
Условное обозначение
|
П-1Ц-ЖБ-С
|
АУ-1Ц-СТ-С
|
Удельная стоимость такой линии для III района по гололеду:
Кл.уд = 752,15 (тыс. руб./км).
Тогда на всю линию потребуется:
Кл = 752,15 × 8,9 ·2 = 13388,27 (тыс. руб.)
На территории завода устанавливаем КТПБ-110/10-4-2Х6300-34У1 [5, стр.
593]. Подстанция укомплектована на заводе-изготовителе двумя блоками с
отделителями и неавтоматической перемычкой со стороны линии. При расчетной
нагрузке в 9720,28 кВА устанавливаем два трансформатора по 6300 кВА.
Технические данные трансформатора: ТМН-6300/110, мощность 6300 кВА,
напряжение 110/10, потери мощности холостого хода 10 кВт и короткого замыкания
44 кВт, ток холостого хода 1%, цена 5000 тыс. рублей.
Коэффициент загрузки трансформаторов при расчетной мощности:
в
аварийном режиме (работает только один трансформатор ГПП) перегрузка составит
54%:
учитывая,
что SП -
максимальная мощность, определяется в получасовом интервале суточного графика
нагрузки завода, то выбранный трансформатор можно принять для электроснабжения
данного предприятия
Строительство
КТП с данными трансформаторами:
Ктп
= 40059,12 тыс. руб (составляется из элементов КТПБ по прейскуранту №15-05).
Подстанцию
необходимо доукомплектовать двумя короткозамыкателями и четырьмя
разъединителями.
Блок
разъединителя Б-10-3/2 с разъединителем РНДЗ-2-110/100 стоит 20,6 тыс. рублей
(4 блока - 82,4 тыс. рублей).
Блок
короткозамыкателя и разрядника Б-110-1К с короткозамыкателем КЗ-110Б-1У стоит 8
тыс. рублей (2 блока - 16 тыс. рублей).
Тогда
капитальные затраты на п/ст:
Кп/с
= 40059,12 + 82,4 + 16 = 40157,52 тыс. руб.
Суммарные
капитальные затраты:
КΣ = Кл + Кп/с = 13388,27 +
40157,52 = 53447,39 тыс. руб.
Эксплуатационные
расходы определяем по формуле:
где
CП -
стоимость потерь в течении года;
CА - суммарные годовые отчисления на амортизацию и
эксплуатационные затраты.
Потери
в линии определяются по удельным потерям, которые для принятого провода
АС-70/11 составляют DPн.1км = 7,5 (кВт/км) [11, стр. 56]
Коэффициент
загрузки линии:
з=Sр/Sдл.доп,
где
Sдл.доп = √3 ·U · IД.Д = 1,73 · 110 · 265 = 50429,5 (кВА)з=
0,25
Потери
в линии:
DPл = N × l × DPн.1км × K2з
= 2 · 8,9 · 7,5 · 0,252 = 8,12 (кВт)
Определим
потери в трансформаторах подстанции.
Реактивные
потери холостого хода:
ΔQхх = Iхх∙Sном
тр / 100 = 1∙6300 / 100= 63
(кВАр)
Реактивные
потери короткого замыкания:
ΔQкз = Uкз ∙
Sном тр /
100 = 10,5∙6300 / 100= 661,5 (кВАр)
Приведенные
потери активной мощности:
К.з.:
ΔРкз.р = ΔРкз + Кэк · ΔQкз = 44 + 0,33 · 661,5 = 262,30 (кВт)
Х.х:
ΔРхх.р = ΔРхх + Кэк · ΔQхх = 10 + 0,33 · 63= 30,79 (кВт),
где
Кэк - отношение мощностей [кВт] и [кВАр].
Полные
потери в трансформаторах:
ΔРт
= 2 · (ΔРхх.р +К2з
· ΔРкз.р) = 2 · (30,79+ 0,71 2 ·
262,30) = 118,71 (кВт)
Суммарные
потери в линиях и трансформаторах:
ΔРΣ = ΔРт + ΔРл = 118,71 + 8,01 = 126,83 (кВт)
Стоимость
потери 1 (кВт.ч) электроэнергии при TMAX = 2250 часов [7, таблица
6.30] составляет сЭ = 1,73 руб.
Тогда
при условии, что Ти = 6400 часов стоимость потерь определяется:
Стоимость
потерь электроэнергии определяется:
Определяем
общие и амортизационные затраты.
Нормы
амортизационных отчислений на ВЛ 35-150 кВ kВЛ = 2,8%, на подстанции
kП = 9,4 %.
Амортизационные
выплаты:
Определяем
годовые затраты:
Определяем
суммарные затраты:
Вариант
2
Длина
линии: L = 8,9 км. Количество параллельных линий: n = 2.
Экономическая
плотность тока: jЭ = 1,1 А/мм2 [1, таблица 1.3.36].
Передаваемая
мощность: SП = 9 720,28 (кВА).
Ток
в линии в нормальном режиме в общем виде:
Экономическое
сечение провода:
Принимаем
F = 95 мм2 (провод марки АС-70/11). Длительно-допустимые тока
нагрузки для выбранных по экономической плотности тока проводов IД.Д
= 330 А [4, таблица 4.8].
Линию
выполняем на железобетонных проходных и стальных анкерно-угловых опорах [2,
стр. 381-382].
Таблица 25
Опоры ЛЭП на напряжение 35кВ
|
Тип
|
Проходные
|
Анкерно-угловые
|
|
Шифр
|
ПБ 35-1
|
У 35-3-3
|
|
Условное обозначение
|
П-1Ц-ЖБ-С
|
АУ-1Ц-СТ-С
|
Удельная
стоимость такой линии для III
района по гололеду: Кл.уд = 652,15 (тыс. руб./км).
Тогда на всю
линию потребуется: Кл = 652,15 × 8,9 ·2 = 13 388,27 (тыс. руб.).
На территории
завода устанавливаем КТПБ-35/10-11-2Х6300-34У1 [5, стр. 593]. Подстанция
укомплектована на заводе-изготовителе выключателями в перемычке и отделителями
в цепях трансформатора, следовательно, не требуется установка дополнительного
оборудования. При расчетной нагрузке в 8963,63 кВА устанавливаем два
трансформатора по 6300 кВА. электроснабжение силовой
осветительный защита
Технические
данные трансформатора: ТМНС-6300/35, мощность 6300 кВА, напряжение 35/10,
потери мощности холостого хода 8 кВт и короткого замыкания 46,5 кВт, напряжение
короткого замыкания 7,5%, ток холостого хода 0,8%, цена 4500 тыс. рублей.
Строительство
КТП с данными трансформаторами: Ктп = 39 887,8 тыс. руб.
(составляется из элементов КТПБ по прейскуранту №15-05).Суммарные капитальные
затраты:
КΣ = Кл + Кп/с =
13388,27 + 39887,8 = 53276,07 тыс. руб.
Эксплуатационные
расходы определяем по формуле:
где
CП -
стоимость потерь в течении года;CА -
суммарные годовые отчисления на амортизацию и эксплуатационные затраты.
Потери
в линии определяются по удельным потерям, которые для принятого провода
АС-95/16 составляют
DPн.1км = 7,5 (кВт/км) [11, стр. 56]Коэффициент загрузки
линии:
Kз=Sр/Sдл.доп,
где
Sдл.доп = √3
·U · IД.Д = 1,73
· 35 · 330 = 971 568,34 (кВА)
Kз= 0,62
Потери
в линии:
DPл = N × l × DPн.1км × K2з = 2 ·
8,9 · 7,5 · 0,622 = 51,75 (кВт)
Определим
потери в трансформаторах подстанции.
Реактивные
потери холостого хода:
ΔQхх = Sном тр · Iхх / 100 = 6300 · 0,8 / 100 = 63 (кВАр)
Реактивные
потери короткого замыкания:
ΔQкз = Sном тр · Uкз / 100 = 6300 · 7,5 / 100 = 472,5
(кВАр)
Приведенные
потери активной мощности:
К.з.: ΔРкз.р = ΔРкз + Кэк · ΔQкз = 46,5 + 0,33 · 472,5 = 199,93 (кВт)
Х.х: ΔРхх.р = ΔРхх + Кэк · ΔQхх = 8 + 0,33 · 63 = 30,79 (кВт),
где Кэк
- отношение мощностей [кВт] и [кВАр].
Полные потери
в трансформаторах:
ΔРт = 2 · (ΔРхх.р +К2з · ΔРкз.р) = 2 · (30,79 + 0,772
· 199,93) = 105,12 (кВт)
Суммарные
потери в линиях и трансформаторах:
ΔРΣ = ΔРт + ΔРл = 105,12 + 51,75=
156,87 кВт
Стоимость
потери 1 кВт.ч электроэнергии при TMAX = 2250 часов [7, таблица 6.30] составляет сЭ =
1,73 руб.
Тогда при
условии, что Ти = 6400 часов стоимость потерь определяется:
Стоимость
потерь электроэнергии в трансформаторах:
Определяем
общие и амортизационные затраты.
Нормы
амортизационных отчислений на ВЛ 35-150 кВ kВЛ = 2,8%, на подстанции kП = 9,4 %.
Амортизационные
выплаты:
Определяем
годовые затраты:
Определяем
суммарные затраты:
На
основании технико-экономического расчетов принимаем первый вариант
электроснабжения завода, т.к. он экономически более выгоден.
Таким
образом, завод питается напряжением 110 кВ.2.11 Расчет токов короткого
замыкания
Коротким
замыканием (КЗ) называют всякое непредусмотренное нормальными условиями работы
замыкание между фазами, а в системах с заземленной нейтралью (или
четырехпроводных) также замыкание одной или нескольких фаз на землю (или на
нулевой провод).
Для
выбора аппаратов и проводников, для определения воздействия на несущие
конструкции при расчете токов КЗ исходят из следующих положений:- все источники, питающие рассматриваемую точку,
работают с номинальной нагрузкой;- синхронные машины
имеют автоматические регуляторы напряжения и устройства быстродействующей
форсировки возбуждения;
- КЗ наступает в момент времени, когда ток КЗ имеет максимальное
значение;
- электродвижущие силы всех источников питания совпадают по фазе;
- расчетное напряжение каждой ступени принимают на 5% выше номинального
напряжения сети.
Учитывают
влияние на токи КЗ присоединенных к данной сети синхронных компенсаторов,
синхронных и асинхронных двигателей. Влияние асинхронных электродвигателей на
токи КЗ не учитывают при:
а)
единичной мощности электродвигателей 100 кВт, если электродвигатели отдалены от
места КЗ одной ступенью трансформации;
б)
любой мощности, если они отдалены от места КЗ двумя или более ступенями
трансформации или если ток от них может поступать к месту КЗ только через те
элементы, через которые проходит основной ток КЗ от сети, которые имеют
существенное сопротивление (линия, трансформаторы и т.д.).
Расчетная
схема для определения токов КЗ представляет собой схему в однолинейном
исполнении (рисунки 1, 2), в которую введены генераторы, компенсаторы,
синхронные и асинхронные электродвигатели, оказывающие влияние на ток КЗ, а
также элементы системы электроснабжения (линия, трансформаторы), связывающие
источники электроэнергии с местом КЗ.
По
расчетной схеме составляют схему замещения, в которой трансформаторные связи
заменяют электрическими (рисунки 3, 4). Элементы системы электроснабжения
(СЭС), связывающие источники электроэнергии с местом КЗ, вводят в схему
замещения сопротивлениями, а источники электроэнергии - сопротивлениями и ЭДС.
Сопротивления и ЭДС схемы замещения должны быть приведены к одной ступени
напряжения.
Расчет,
как правило, проводят в базисных величинах.
Принимаем:- полную базисную мощность Sб = 100 МВА;- базисное
напряжение первой ступени Uб1 = 115
кВ.Тогда базисный ток первой ступени:
Базисные
напряжение и ток второй ступени:
;
Базисные
напряжение и ток третьей ступени:
;
Сопротивления
элементов схемы замещения СЭС на следующих этапах расчета определяют через
базисные величины.
Находим
сопротивления для основных элементов схемы замещения СЭС: системы, ВЛ,
трансформаторов, КЛ.
Система- сопротивление системы:
,
,
- ЭДС системы:
)
Воздушная линия- реактивное сопротивление ВЛ:
,
где
х0 - удельное реактивное сопротивление ВЛ, Ом/км [5, таблица 83];
L - длина линии,
км.- активное сопротивление ВЛ:
,
где
r0 -
удельное активное сопротивление ВЛ, Ом/км.- полное сопротивление ВЛ:
,
Найдем
сопротивление в базисных величинах ВЛ
,
)Трансформатор- реактивное сопротивление трансформатора с учетом РПН:
,
,
где
Uк min, Uк
max - минимальное и максимальное напряжение короткого
замыкания соответственно (%);
Sтр н - номинальная мощность трансформатора (МВА);
Uн min, Uн max - номинальное
минимальное и максимальное напряжение трансформатора, кВ.- активное сопротивление трансформатора без РПН:
,
где
DРк - мощность короткого замыкания, МВт.- полное сопротивление трансформатора:
,
Рассчитаем
параметры схемы замещения трансформатора Т1 ГПП.
Uк min = 6,8%; Uк max = 8,2%; Uн
min = 92,378 (кВ); Uн max = 127,622 (кВ);
Sтр н = 6,3 (МВА).
;
0,696;
1,603.
)
Кабельная линия- реактивное сопротивление:
,
где
хКЛ - реактивное сопротивление КЛ, Ом;- активное сопротивление:
,
где
rКЛ -
активное сопротивление КЛ, Ом.- полное
сопротивление КЛ:
,
Найдем
сопротивление КЛ1 в базисных величинах.
,
,
.
Перевод
параметров схемы замещения остальных элементов СЭС проводим аналогично.
Результаты сводим в таблицу 26 и 27.
Таблица 26
Параметры
схемы замещения
|
Элемент
|
E
|
R
|
Xmin
|
Xmax
|
Zmin
|
Zmax
|
|
Система
|
1,0522
|
|
0,0227
|
0,0318
|
0,0227
|
0,0318
|
|
ВЛ
|
|
0,046
|
0,093
|
0,104
|
|
ГПП (Т1, Т2)
|
|
|
0,696
|
1,603
|
0,696
|
1,603
|
|
КЛ 1
|
|
0,105
|
0,014
|
0,106
|
|
КЛ 2
|
|
1,484
|
0,203
|
1,498
|
|
КЛ 3
|
|
1,078
|
0,148
|
1,089
|
|
КЛ 4
|
|
0,734
|
0,100
|
0,741
|
|
КЛ 5
|
|
0,926
|
0,127
|
0,935
|
|
КЛ 6
|
|
0,787
|
0,108
|
0,794
|
|
КЛ 7
|
|
0,081
|
0,011
|
0,082
|
|
КЛ 8
|
|
0,977
|
0,134
|
0,986
|
|
КЛ 9
|
|
1,099
|
0,150
|
1,109
|
|
КЛ 10
|
|
1,707
|
0,234
|
1,723
|
|
КЛ 11
|
|
1,190
|
0,163
|
1,201
|
|
АД1
|
1,063
|
|
0,21
|
0,21
|
|
АД2
|
1,063
|
|
0,21
|
0,21
|
Таблица 27
Сопротивления трансформаторов
|
№
|
Uк (%)
|
S (кВА)
|
R
|
X
|
Z
|
|
1
|
5,5
|
630
|
1,094
|
7,919
|
7,994
|
|
2
|
5,5
|
630
|
1,094
|
7,919
|
7,994
|
|
3
|
6,5
|
1 600
|
1,020
|
3,685
|
3,823
|
|
4
|
5,5
|
1 000
|
1,052
|
4,989
|
5,098
|
|
5
|
6,5
|
1 600
|
1,020
|
3,685
|
3,823
|
|
6
|
5,5
|
1 000
|
1,052
|
4,989
|
5,098
|
|
7
|
5,5
|
1 000
|
1,052
|
4,989
|
5,098
|
|
8
|
6,5
|
1 600
|
1,020
|
3,685
|
3,823
|
|
9
|
6,5
|
1 600
|
1,020
|
3,685
|
3,823
|
|
10
|
4,5
|
400
|
1,247
|
10,204
|
10,280
|
Расчет ведем
для токов трехфазного КЗ, т.к. этот режим наиболее тяжелый.
Ток КЗ
находят по формуле:
,
,
где
Еэкв - эквивалентная ЭДС;
Zэкв - эквивалентное сопротивление цепи КЗ.
После
нахождения тока КЗ в базисных величинах переводят его значение в именованные
единицы.
Найдем
ток КЗ в точке К1. Расчетная схема для расчета тока КЗ имеет следующий вид
(рис. 16):
Рис.
16
Для
дальнейшего расчета преобразуем расчетную схему в эквивалентную принципиальную
схему в базисных величинах (рис. 17).
Рис.
17
Все
параметры схемы замещения элементов СЭС берем из таблицы 26 и 27 ПЗ.
Находим
эквивалентную ЭДС:
Эквивалентное
сопротивление:
Ток
КЗ:
Ток
КЗ в именованных величинах:
;
Расчет
токов КЗ для остальных точек замыкания по стороне высокого напряжения проходит
аналогично. Его результаты сводим в таблицу 28.При выборе коммутационных
аппаратов необходимо проводить его проверку на электродинамическую стойкость.
Проверка осуществляется по воздействию ударного тока КЗ и максимальному
значению тока КЗ.
Ударный
ток КЗ рассчитывают по формуле:
,
где
- ток КЗ, протекающий через аппарат, А;
Ку
- ударный коэффициент.
По
[13] принимаем Ку = 1,8.(74)
Максимальное
действующие значение ударного тока КЗ определяют по формуле:
Определим
ударные токи КЗ в точке К1.
(кА)
(кА)
Таблица 28
Результаты
расчета токов короткого замыкания
|
ГПП
|
|
Шина 1
|
|
№
|
Imaxб
|
Iminб
|
Zэmax
|
Zэmin
|
Imax(кА)
|
Imin(кА)
|
Kу
|
iу(кА)
|
Iу(кА)
|
|
К1
|
8,303
|
7,747
|
0,136
|
0,127
|
4,185
|
3,904
|
1,8
|
10,654
|
6,320
|
|
К2
|
1,277
|
0,605
|
1,739
|
0,824
|
7,032
|
3,328
|
|
17,901
|
10,619
|
|
КЗ до трансформатора
|
|
К3
|
1,132
|
0,57
|
1,845
|
0,929
|
6,227
|
3,136
|
1,8
|
15,851
|
9,403
|
|
К4
|
0,453
|
0,325
|
3,236
|
2,320
|
2,493
|
1,788
|
|
6,347
|
3,765
|
|
К5
|
0,551
|
0,372
|
2,827
|
1,911
|
3,027
|
2,047
|
|
7,706
|
4,571
|
|
К6
|
0,673
|
0,424
|
2,479
|
1,563
|
3,701
|
2,334
|
|
9,420
|
5,588
|
|
К7
|
0,599
|
0,394
|
2,673
|
1,758
|
3,291
|
2,164
|
|
8,378
|
4,970
|
|
К8
|
1,025
|
0,501
|
2,005
|
0,829
|
5,567
|
2,977
|
|
13,857
|
9,037
|
|
КЗ после трансформатора
|
|
К9
|
0,118
|
0,107
|
9,838
|
8,923
|
17,020
|
15,436
|
1,8
|
43,326
|
25,700
|
|
К10
|
0,102
|
0,094
|
11,230
|
10,314
|
14,724
|
13,524
|
|
37,482
|
22,233
|
|
К11
|
0,183
|
0,158
|
6,650
|
5,735
|
26,482
|
22,836
|
|
67,413
|
39,987
|
|
К12
|
0,158
|
0,139
|
7,577
|
6,662
|
22,797
|
20,042
|
|
58,031
|
34,423
|
|
К13
|
0,189
|
0,162
|
5,581
|
27,210
|
23,376
|
|
69,266
|
41,087
|
|
К14
|
0,221
|
0,186
|
5,668
|
4,753
|
31,955
|
26,793
|
|
81,344
|
48,251
|
|
Шина 2
|
|
К15
|
8,303
|
7,747
|
0,136
|
0,127
|
4,185
|
3,904
|
1,8
|
10,654
|
6,320
|
|
К16
|
1,277
|
0,605
|
1,739
|
0,824
|
7,032
|
3,328
|
|
17,901
|
10,619
|
|
КЗ до трансформатора
|
|
К17
|
1,132
|
0,57
|
1,845
|
0,929
|
6,227
|
3,136
|
1,8
|
15,851
|
9,403
|
|
К18
|
0,453
|
0,325
|
3,236
|
2,320
|
2,493
|
1,788
|
|
6,347
|
3,765
|
|
К19
|
0,651
|
0,416
|
2,532
|
1,617
|
3,579
|
2,285
|
|
9,110
|
5,404
|
|
К20
|
0,582
|
0,386
|
2,725
|
1,809
|
3,198
|
2,123
|
|
8,141
|
4,829
|
|
К21
|
0,545
|
0,37
|
2,847
|
1,932
|
2,995
|
2,032
|
|
7,624
|
4,522
|
|
К22
|
1,025
|
0,501
|
2,005
|
0,829
|
5,567
|
2,977
|
|
13,857
|
9,037
|
|
КЗ после трансформатора
|
|
К23
|
0,118
|
0,107
|
9,838
|
8,923
|
17,020
|
15,436
|
1,8
|
43,326
|
25,700
|
|
К24
|
0,102
|
0,094
|
11,230
|
10,314
|
14,724
|
13,524
|
|
37,482
|
22,233
|
|
К25
|
0,157
|
0,138
|
7,631
|
6,715
|
22,616
|
19,903
|
|
57,572
|
34,150
|
|
К26
|
0,187
|
0,161
|
6,548
|
5,632
|
26,963
|
23,193
|
|
68,637
|
40,714
|
|
К27
|
0,183
|
0,158
|
6,671
|
5,755
|
26,388
|
22,766
|
|
67,173
|
39,845
|
|
К28
|
0,221
|
0,186
|
5,668
|
4,753
|
31,955
|
26,793
|
|
81,344
|
48,251
|
|
РП
|
|
Шина 1
|
|
К29
|
5,856
|
4,941
|
1,002
|
0,904
|
3,478
|
2,545
|
1,8
|
8,841
|
5,896
|
|
К30
|
0,532
|
0,345
|
3,127
|
2,632
|
2,753
|
1,848
|
|
7,024
|
4,132
|
|
КЗ до трансформатора
|
|
К31
|
0,491
|
0,317
|
3,845
|
2,942
|
2,433
|
1,538
|
1,8
|
6, 851
|
3,943
|
|
КЗ после трансформатора
|
|
К32
|
0,124
|
0,115
|
8,943
|
8,040
|
20,616
|
17,933
|
1,8
|
48,328
|
27,731
|
|
Расчет токов КЗ для АД-630/10 (методом наложения)
|
|
К33
|
1,125
|
0,633
|
9,153
|
8,250
|
5,843
|
3,422
|
1,8
|
69,341
|
43,512
|
|
Шина 2
|
|
К34
|
5,856
|
4,941
|
1,002
|
0,904
|
3,478
|
2,545
|
1,8
|
8,841
|
5,896
|
|
К35
|
0,532
|
0,345
|
3,127
|
2,632
|
2,753
|
1,848
|
|
7,024
|
4,132
|
|
КЗ до трансформатора
|
|
К36
|
0,491
|
0,317
|
3,845
|
2,942
|
2,433
|
1,538
|
1,8
|
6, 851
|
3,943
|
|
КЗ после трансформатора
|
|
К37
|
0,124
|
0,115
|
8,943
|
8,040
|
20,616
|
17,933
|
1,8
|
48,328
|
27,731
|
|
Расчет токов КЗ для АД-630/10 (методом наложения)
|
|
К38
|
1,125
|
0,633
|
9,153
|
8,250
|
5,843
|
3,422
|
1,8
|
69,341
|
43,512
|
|
|
|
|
|
|
|
|
|
|
|
2.10 Компоновка главной понизительной подстанции
.10.1 Выбор трансформаторов ГПП
На территории завода устанавливаем КТПБ-110/10-4-2Х6300-34У1 [5, стр.
593]. Подстанция укомплектована на заводе-изготовителе двумя блоками с
отделителями и неавтоматической перемычкой со стороны линии. При расчетной
нагрузке в 9720,28 (кВА) устанавливаем два трансформатора по 6300 (кВА).
Технические данные трансформатора:
ТМН-6300/110, мощность 6300 кВА,
напряжение 110/10,
потери мощности холостого хода 10 кВт и короткого замыкания 44 кВт,
ток холостого хода 1%,
цена 5000 тыс. рублей.
Коэффициент загрузки трансформаторов при расчетной мощности:
в
аварийном режиме (работает только один трансформатор ГПП) перегрузка составит
54%:
учитывая,
что SП -
максимальная мощность, определяется в получасовом интервале суточного графика
нагрузки завода, то выбранный трансформатор можно принять для электроснабжения
данного предприятия.
2.10.2 Выбор выключателей высокого напряжения
Выключатель - это коммутационный аппарат, предназначенный для включения и
отключения тока. Он является основным аппаратом в электрических установках и
служит для отключения и включения в цепи в любых режимах: длительная нагрузка,
перегрузка, КЗ, холостой ход, несинхронная работа. Наиболее тяжелой и
ответственной операцией является отключение токов КЗ и включение на
существующее КЗ.
Предварительно выбирают выключатель по номинальному напряжению и току.
Например, для выключателя, установленного на низкой стороне
трансформатора Т1 ГПП:-
номинальное напряжение Uном = 10 кВ;- расчетный ток, протекающий через
участок установки
,
где
SП - полная
мощность после компенсации, кВА.
Выбираем
выключатель ВР1-10-20/630 У2Технические данные выбранного выключателя:
- номинальное
напряжение Uн В = 10
кВ;- номинальный ток Iн В = 630 А;
- номинальный ток
отключения Iоткл В =
20 кА;- предельный сквозной ток iдин В = 52 кА;
- действующее
значение предельного сквозного тока Iдин В = 20 кА.
Проверяем
выбранный выключатель:
По
напряжению
(10 = 10)
кВ
По
длительному току
(561,87<630)
А
По
отключающей способности
(7,032<20)
кА
По
электродинамической стойкости
(17,901<52)
кА
По
отключению полного тока КЗ с учетом апериодической составляющей
,
где
bн -
нормированное процентное содержание апериодической составляющей тока КЗ [11,
кривая 8,1];
iа - апериодическая составляющая тока в момент времени t, А:
.
,
где
с - собственное время отключения для выключателя типа
ВР1-10-20/630 У2;
- ступень
селективности, с;
с для быстродействующих
защит.
с
Апериодическая
составляющая тока КЗ
кА
кА
кА (9,845
<39,598) кА
По
термической стойкости
,
где
Вк - импульс квадратичного тока, кА2×с;
Iт, tт - допустимое значение (кА) и время действия (с) тока термической
стойкости соответственно.
Для
выбранного выключателя
Iт =20 кА, tт = 3 с.
,
где
tП -
приведенное время КЗ, с.
,
где
с - приведенное время для
периодической составляющей тока КЗ;
- приведенное время
апериодической составляющей тока КЗ, с.
с
с
кА2×с
кА2×с
(76,8<1200) кА2×с
Выбранный
выключатель ВР1-10-20/630 У2 прошел проверку по всем параметрам. Проверка
показала, что выключатель может быть установлен на участке сети.
Выбор
и проверка выключателей, установленных на других участках сети проводим
аналогично. Значения полных мощностей SП для вычисления расчетных токов на участках берем из
таблицы 9 ПЗ. Данные выбора сводим в таблицу
.10.3 Выбор трансформаторов напряжения и трансформаторов тока
Для контроля за режимом работы электроприемников, а также для
производства денежного расчета с энергоснабжающей организацией применяются
контрольно-измерительные приборы на подстанциях, присоединяемые к цепям высшего
напряжения через измерительные трансформаторы напряжения и тока.Результаты
выбора трансформаторов напряжения [9, таблица 2.8.12] сводим в таблицу 20.
Таблица 30
Результаты выбора трансформаторов напряжения
|
Тип
|
Номинальное напряжение, В
|
Класс точности
|
S н, ВА
|
S пред, ВА
|
|
ВН
|
НН
|
|
|
|
|
НТМИ-10-66
|
110000
|
100, 100/3
|
0,5
|
120
|
960
|
|
НОМ-10
|
10000
|
100
|
0,5
|
75
|
640
|
Трансформаторы тока выбирают по номинальному напряжению и номинальному
первичному току. Проверяют по электродинамической и термической стойкости и
токам КЗ.
Таблица 29
Результаты выбора выключателей
|
Место
|
Тип
|
UH, кВ
|
UHА кВ
|
I раб мах, А
|
IH, А
|
IK3, кА
|
I OTKЛ, кА
|
IУ, кА
|
I ДИН В, кА
|
I ДИН_В кА
|
Ik+ia, кА кАBK, кА2*сI2T*tT, кА2*с
|
|
|
|
|
ВЛ
|
ВВК-110Б-20
|
110
|
110
|
45,66
|
1000
|
2,679
|
31,5
|
4,045
|
31,5
|
6,820
|
80
|
3,789
|
62,367
|
11,147
|
2977
|
|
ВВОД
|
ВР1-10-20/630У2
|
10
|
10
|
502,26
|
630
|
7,032
|
20
|
10,619
|
20
|
17,901
|
52
|
9,945
|
39,598
|
76,806
|
1200
|
|
СЕКЦ
|
ВР1-10-20/630У2
|
10
|
10
|
251,13
|
630
|
7,032
|
20
|
10,619
|
20
|
17,901
|
52
|
9,945
|
39,598
|
76,806
|
1200
|
|
КЛ 1
|
ВР1-10-20/630У2
|
10
|
10
|
74,36
|
630
|
6,227
|
20
|
9,403
|
20
|
15,851
|
52
|
4,564
|
39,598
|
16,178
|
1200
|
|
КЛ 2
|
ВР1-10-20/630У2
|
10
|
10
|
36,18
|
630
|
2,493
|
20
|
3,765
|
20
|
6,347
|
52
|
4,443
|
39,598
|
15,327
|
1200
|
|
КЛ 3
|
ВР1-10-20/630У2
|
10
|
10
|
97,05
|
630
|
3,027
|
20
|
4,571
|
20
|
7,706
|
52
|
4,105
|
39,598
|
13,087
|
1200
|
|
КЛ 4
|
ВР1-10-20/630У2
|
10
|
10
|
92,25
|
630
|
3,701
|
20
|
5,588
|
20
|
9,420
|
52
|
7,572
|
39,598
|
44,526
|
1200
|
|
КЛ 5
|
ВР1-10-20/630У2
|
10
|
10
|
39,43
|
630
|
3,291
|
20
|
4,970
|
20
|
8,378
|
52
|
6,387
|
39,598
|
31,678
|
1200
|
|
КЛ 6
|
ВР1-10-20/630У2
|
10
|
10
|
60,31
|
630
|
3,579
|
20
|
5,404
|
20
|
9,110
|
52
|
5,389
|
39,598
|
22,548
|
1200
|
|
КЛ 7
|
ВР1-10-20/630У2
|
10
|
10
|
59,30
|
630
|
2,433
|
20
|
3,943
|
20
|
6, 851
|
52
|
4,191
|
39,598
|
13,641
|
1200
|
|
КЛ 8
|
ВР1-10-20/630У2
|
10
|
10
|
23,93
|
630
|
3,198
|
20
|
4,829
|
20
|
8,141
|
52
|
4,047
|
39,598
|
12,718
|
1200
|
|
КЛ 9
|
ВР1-10-20/630У2
|
10
|
10
|
41,20
|
630
|
2,995
|
20
|
4,522
|
20
|
7,624
|
52
|
6,546
|
39,598
|
30,788
|
1200
|
|
КЛ10
|
ВР1-10-20/630У2
|
10
|
10
|
21,35
|
630
|
5,567
|
20
|
9,037
|
20
|
13,857
|
52
|
5,124
|
39,598
|
23,564
|
1200
|
|
КЛ11
|
ВР1-10-20/630У2
|
10
|
10
|
92,25
|
630
|
3,478
|
20
|
5,896
|
20
|
8,841
|
52
|
4,443
|
39,598
|
13,087
|
1200
|
|
АД1
|
ВР1-10-20/630У2
|
10
|
10
|
41,57
|
630
|
6,418
|
20
|
9,691
|
20
|
16,338
|
52
|
9,077
|
39,598
|
66,529
|
1200
|
|
АД2
|
ВР1-10-20/630У2
|
10
|
10
|
41,57
|
630
|
6,418
|
20
|
9,691
|
20
|
16,338
|
52
|
9,077
|
39,598
|
66,529
|
1200
|
Условия выбора:
1)
;
)
;
)
;
)
.
Значения полных мощностей SП для вычисления расчетных токов на
участках берем из таблицы 9 ПЗ.
Значениями токов КЗ задаемся из таблицы 28. Результаты выбора сводим в
таблицу 31.
Таблица 31
Результаты выбора трансформаторов тока
|
Место
|
Тип
|
UH,кВ
|
UHА,кВ
|
Iраб мах, А
|
IH,А
|
iУ, кА
|
iм ДИН, кА
|
BK, кА2*с
|
I2T*tT, кА2*с
|
|
КЛ
|
1
|
ТПЛ-10М
|
10
|
10
|
74,36
|
100
|
9,403
|
52
|
16,178
|
71
|
|
КЛ
|
2
|
ТПЛ-10М
|
10
|
10
|
36,18
|
50
|
3,765
|
17,5
|
15,327
|
71
|
|
КЛ
|
3
|
ТПЛ-10М
|
10
|
10
|
97,05
|
100
|
4,571
|
52
|
13,087
|
71
|
|
КЛ
|
4
|
ТПЛ-10М
|
10
|
10
|
92,25
|
100
|
5,588
|
52
|
44,526
|
71
|
|
КЛ
|
5
|
ТПЛ-10М
|
10
|
10
|
39,43
|
50
|
4,970
|
17,5
|
31,678
|
71
|
|
КЛ
|
6
|
ТПЛ-10М
|
10
|
10
|
60,31
|
100
|
5,404
|
52
|
22,548
|
71
|
|
КЛ
|
7
|
ТПЛ-10М
|
10
|
10
|
59,30
|
100
|
52
|
13,641
|
71
|
|
КЛ
|
8
|
ТПЛ-10М
|
10
|
10
|
23,93
|
50
|
4,829
|
17,5
|
12,718
|
71
|
|
КЛ
|
9
|
ТПЛ-10М
|
10
|
10
|
41,20
|
50
|
4,522
|
17,5
|
30,788
|
71
|
|
КЛ
|
10
|
ТПЛ-10М
|
10
|
10
|
21,35
|
50
|
9,037
|
17,5
|
23,564
|
71
|
|
КЛ
|
11
|
ТПЛ-10М
|
10
|
10
|
92,25
|
100
|
5,896
|
52
|
13,087
|
71
|
|
ВВОД
|
ТПЛ-10М
|
10
|
10
|
502,26
|
600
|
16,480
|
100
|
64,46
|
1200
|
|
СЕКЦ
|
ТПЛ-10М
|
10
|
10
|
251,13
|
300
|
16,480
|
100
|
64,46
|
768
|
|
ВЛ
|
ТФЗМ-110Б
|
110
|
110
|
57,73
|
75
|
6,820
|
15
|
11,04
|
2977
|
.10.4 Выбор разъединителей, отделителей и короткозамыкателей
Разъединитель - это контактный коммутационный аппарат, предназначенный
для отключения и включения электрической цепи без тока или с незначительным
током, который для обеспечения безопасности имеет между контактами в
отключенном положении изоляционный промежуток. При ремонтных работах
разъединителем создается видимый разрыв между частями, оставшимися под
напряжением, и аппаратами, выведенными в ремонт.
Отделитель внешне не отличается от разъединителя, но у него для
отключения есть пружинный привод.
Короткозамыкатель - коммутационный аппарат, предназначенный для создания
искусственного КЗ в электрической цепи при повреждении трансформатора. В
установках 110 кВ применяют один полюс короткозамыкателя.
Разъединители и отделители выбирают по номинальному напряжению,
номинальному длительному току, а в режиме КЗ проверяют на термическую и
электродинамическую стойкость. Для короткозамыкателей выбор по номинальному
току не требуется.
Условия выбора:
1)
;3)
;2)
;4)
.
Расчетные
данные получаем по формулам. Значения полных мощностей SП для вычисления расчетных токов на участках берем из
предыдущих таблиц. Результаты выбора сводим в таблицу 32.
Таблица 32
Результаты выбора разъединителей
|
Место
|
Тип
|
UH, кВ
|
UHА, кВ
|
Iраб мах, А
|
IH, А
|
iУ, кА
|
iм ДИН, кА
|
BK, кА2*с
|
I2T*tT, кА2*с
|
|
Отделители
|
|
|
|
|
|
|
|
|
|
ОД3-110У/800
|
ГПП
|
110
|
110
|
45,79
|
800
|
16,8
|
80
|
8,61
|
3,9
|
|
Короткозамыкатели
|
|
|
|
|
|
|
|
|
|
КЗ-110У
|
ГПП
|
110
|
110
|
-
|
-
|
16,8
|
32
|
8,61
|
3,9
|
|
Разъединители
|
|
|
|
|
|
|
|
|
|
ГПП
|
РНДЗ-1(2)-110/1000
|
110
|
110
|
30,76
|
1000
|
6,820
|
80
|
76,806
|
2977
|
|
ТП1
|
РВ-10/400
|
10
|
10
|
29,22
|
400
|
10,619
|
40
|
16,178
|
768
|
|
ТП2
|
РВ-10/400
|
10
|
10
|
95,05
|
400
|
9,403
|
40
|
15,327
|
768
|
|
ТП3
|
РВ-10/400
|
10
|
10
|
48,74
|
400
|
3,765
|
40
|
13,087
|
768
|
|
ТП4
|
РВ-10/400
|
10
|
10
|
79,43
|
400
|
4,571
|
40
|
44,526
|
768
|
|
ТП5
|
РВ-10/400
|
10
|
10
|
50,35
|
400
|
5,588
|
40
|
31,678
|
768
|
|
ТП6
|
РВ-10/400
|
10
|
10
|
38,49
|
400
|
4,970
|
40
|
22,548
|
768
|
|
ТП7
|
РВ-10/400
|
10
|
10
|
69,30
|
400
|
5,404
|
40
|
13,641
|
768
|
|
ТП8
|
РВ-10/400
|
10
|
10
|
88,90
|
400
|
3,943
|
40
|
12,718
|
768
|
|
ТП9
|
РВ-10/400
|
10
|
10
|
18,42
|
400
|
4,829
|
40
|
30,788
|
768
|
|
ТП10
|
РВ-10/400
|
10
|
10
|
30,76
|
400
|
4,522
|
40
|
23,564
|
768
|
На главной
понизительной подстанции устанавливаем КРУ серии К-47 [10, таблица 7.1].2.10.5
Выбор разрядников
Для
защиты изоляции от коммутационных и атмосферных перенапряжений применяют разрядники.
Выбирают разрядники по номинальному напряжению, исходя из условия
. Результаты выбора и технические характеристики
разрядников [9, таблица 27.23] сведем в таблицу 33.
Таблица 33
Результаты
выбора разрядников
|
Тип
|
Номинальное напряжение, кВ
|
Наибольшее допустимое напряжение разряда, кВ
|
Пробивное напряжение, кВ
|
Импульсное пробивное напряжение, кВ
|
|
|
|
не менее
|
не более
|
|
|
РВО-10
|
10
|
12,7
|
26
|
30,5
|
48
|
|
РВС-10М
|
110
|
100
|
170
|
195
|
265
|
.10.6 Выбор высоковольтных предохранителей
Для защиты трансформаторов напряжения, а также в целях снижения стоимости
распределительного устройства 6-10 кВ в подстанции вместо силовых выключателей
небольшой и средней мощности устанавливают высоковольтные предохранители.
Высоковольтные предохранители выбирают по конструктивному выполнению,
номинальному напряжению и току, предельному отключающему току. Условия выбора:
1)
;2)
;3)
.
Максимальный
расчетный ток находим по формуле. Полную мощность для трансформаторов
напряжения Sпред берем
из таблицы 15 ПЗ, а для блока линия-трансформатор - из таблицы 9 ПЗ. Значениями
токов КЗ задаемся из таблиц 28.
Результаты
выбора высоковольтных предохранителей [9, таблица 27.20] сводим в таблицу 34.
Таблица 34
Результаты выбора предохранителей
|
Тип
|
Местоустановки
|
Iраб,А
|
Iн, А
|
U,кВ
|
Uн,кВ
|
Iкз,кА
|
Iоткл.,кА
|
|
ПКН001-10
|
ТСН(ТМ-63)
|
3,63
|
7,5
|
10
|
10
|
7,032
|
12
|
|
ПКН001-10
|
НТМИ -10 - 66
|
0,05
|
7,5
|
10
|
10
|
7,032
|
12
|
3. Расчет релейной защиты и автоматики
.1 Расчет релейной защиты трансформаторов, установленных на
ГПП
В процессе эксплуатации возможны повреждения в трансформаторах и на их
соединениях с коммутационными аппаратами. Могут быть также опасные ненормальные
режимы работы, не связанные с повреждением трансформатора или его соединений.
Возможность повреждений и ненормальных режимов обуславливает необходимость
установки на трансформаторах защитных устройств. При этом учитываются
многофазные и однофазные короткие замыкания в обмотках и на выводах
трансформатора, а также «пожар стали» магнитопровода. Однофазные повреждения
бывают двух видов: на землю и между витками обмотки (витковые замыкания).
Наиболее вероятными являются многофазные и однофазные короткие замыкания на
выводах трансформаторов и однофазные витковые замыкания. Значительно реже
возникают многофазные короткие замыкания в обмотках. Защита от КЗ выполняется с
действием на отключение поврежденного трансформатора. Для ограничения размеров
разрушений целесообразно выполнять ее быстродействующей.
Замыкание одной фазы на землю представляет опасность для обмоток,
присоединенных к сетям с глухозаземленными нейтралями. В этом случае защита
должна отключать трансформатор и при однофазных коротких замыканиях в его
обмотку на землю. В сетях с нейтралямии, изолированными или заземленными через
дугогасящие реакторы, защита от однофазных замыканий на землю с действием на
отключение устанавливается на трансформаторе в том случае, если такая защита
имеется в сети.
Ненормальные режимы работы трансформатора обусловлены внешними короткими
замыканиями и перегрузками. В этих случаях в обмотках трансформатора появляются
большие токи (сверхтоки). Особенно опасны токи, проходящие при внешних коротких
замыканиях; эти токи могут значительно превышать номинальный ток
трансформатора. В случае длительного прохождения тока (что может быть при
коротких замыканиях на шинах или при не отключившемся повреждении на отходящем
от шин присоединении) возможны интенсивный нагрев изоляции обмоток и ее
повреждение. Вместе с этим при коротком замыкании понижается напряжение в сети.
Поэтому на трансформаторе должна предусматриваться защита, отключающая его при
появлении сверхтоков, обусловленных не отключившимся внешним коротким
замыканием.
Перегрузка трансформаторов не влияет на работу системы электроснабжения в
целом, так как она обычно не сопровождается снижением напряжения. Кроме того,
сверхтоки перегрузки относительно невелики и их прохождение допустимо в течение
некоторого времени, достаточного для того, чтобы персонал принял меры к
разгрузке. На подстанциях без дежурного персонала защита от перегрузки должна
действовать на разгрузку или отключение.
К ненормальным режимам работы трансформаторов относится также недопустимое
понижение уровня масла, которое может произойти, например, вследствие
повреждения бака.
3.1.1 Защита от повреждения внутри кожуха и от понижения
уровня масла
Тип защиты - газовая, реагирующая на образование газов, сопровождающих
повреждение внутри кожуха трансформатора, в отсеке переключателя отпаек
устройства регулирования коэффициента трансформации (в отсеке РПН), в
приставных кабельных вводах непосредственного подключения к маслонаполненным
кабелям 110 - 220 кВ, а также действующая при чрезмерном понижении уровня
масла. В качестве реле защиты используется газовое реле.
Типовыми схемами защиты предусматривается в соответствии с [1]
возможность перевода действия отключающего контакта газового реле (кроме реле
отсека РПН) на сигнал и выполнения раздельной сигнализации от сигнального и
отключающего контактов реле. Газовое реле отсека РПН должно действовать только
на отключение. При выполнении газовой защиты с действием на отключение
принимаются меры для обеспечения надежного отключения выключателей
трансформатора при кратковременном замыкании соответствующего контакта газового
реле.
Установка газовой защиты обязательна для всех трансформаторов,
номинальная мощность которых 6,3 МВА и более, а также для внутрицеховых
понижающих трансформаторов номинальной мощностью 630 кВА и более. Допускается
предусматривать газовую защиту и для трансформаторов номинальной мощностью 1-4
МВА.
Защита от повреждений внутри кожуха трансформатора, сопровождающихся
выделением газа, может быть выполнена и с помощью реле давления, а защита от
понижения уровня масла - реле уровня в расширителе трансформатора.
3.1.2 Защита от повреждений на выводах и от внутренних
повреждений трансформатора
Продольная дифференциальная токовая защита, действующая без выдержки
времени на отключение поврежденного трансформатора от неповрежденной части
электрической системы и других электроустановок с помощью выключателей.
Выполняется на трансформаторах номинальной мощностью 6,3 МВА и более, а также
для трансформаторов номинальной мощностью 4 МВА, если они работают параллельно
на шины низшего напряжения. Защита может применяться и на трансформаторах
меньшей мощностью (но не менее 1000 кВА), если выполняется хотя бы одно из двух
условий: токовая отсечка не удовлетворяет требованиям чувствительности, а
максимальная токовая защита имеет выдержку времени более 0,5 с; трансформатор
установлен в районе, подверженному землетрясениям. Трансформаторы тока для
продольной дифференциальной токовой защиты устанавливаются со всех сторон
защищаемого трансформатора.
Для двухобмоточных трансформаторов, имеющих схему соединения обмоток Y/D, вторичные обмотки трансформаторов тока на стороне высшего
напряжения, как правило, соединяются в треугольник, а на стороне низшего
напряжения - в неполную звезду, при этом в дифференциальной цепи
устанавливаются два реле.
Продольная дифференциальная токовая защита осуществляется с применением
реле тока, обладающих улучшенной отстройкой от бросков намагничивающего тока,
переходных и установившихся токов небаланса. Чувствительность дифференциальной
защиты проверяется при КЗ на выводах с учетом влияния на ток, протекающий в
реле, регулирования напряжения (РПН) при работе устройства автоматического
регулирования коэффициента трансформации.
Наименьшее значения коэффициента чувствительности - 2.
Расчет дифференциальной защиты принято записывать в виде таблиц.
Таблица 35
Расчет дифференциальной защиты трансформаторов
|
Наименованная величина
|
Рассчитанные величины
|
|
ВН
|
НН
|
|
1. Первичный ном. ток защищаемого трансформатора
|
|
|
|
2. Схема соединения обмоток тр-ра
|
Y
|
D
|
|
3. Схема соединения обмоток ТТ
|
D
|
Y
|
|
4. Коэффициент схемы
|
|
|
|
5. Расчетный коэффициент ТТ
|

|
|
|
6. Действительный Кт
|
Кт1=60
|
Кт2=120
|
|
7. Вторичный ток в плечах защиты
|
  
|
|
|
8. Ток срабатывания реле
|
  
|
|
За основную сторону принимают ту, у которой больший вторичный ток, то
есть принимаем сторону с низким напряжением.
Выбираем ток срабатывания защиты по двум условиям:1. Отстройка от броска
тока намагничивания
где КН=1,3 для РНТ - 560,
КН=1,5 для ДЗТ - 11
. Отстройка от тока небаланса
,
где
Кап- коэффициент апериодичности, равен 2;
Кодн
- коэффициент однотипности, равен 0,5;
-
максимальная токовая погрешность, по ПУЭ должна быть не больше 10
Тогда
ток срабатывания защиты будет равен:
Приведем
большее значение
к стороне ВН:
Находим
коэффициент чувствительности
Следовательно,
выбранная защита РНТ-560 проходит по чувствительности.
.1.3
Защита от токов внешних многофазных коротких замыканий
Защита
предназначена для отключения внешних КЗ при отказе защиты или выключателя
смежного поврежденного элемента, а также для выполнения функций ближнего
резервирования по отношению к основным защитам трансформатора (дифференциальной
и газовой). В качестве защиты трансформатора от токов внешних КЗ используются:
токовые
защиты шин секций распределительных устройств низшего и средних напряжений,
подключенных к соответствующим выводам трансформатора;
максимальная
токовая защита с пуском напряжения, устанавливаемая на стороне высшего
напряжения (ВН) защищаемого трансформатора.
Непосредственное
включение реле защиты от токов внешних КЗ в токовые цепи дифференциальной
защиты не допускается.
Пуск
напряжения комбинированный - с одним реле напряжения обратной
последовательности и одним реле понижения напряжения, включенным на междуфазное
напряжение, или симметричный - с тремя реле напряжения, включенными на
междуфазное напряжение.
На
шинах низкого напряжения защита выполняется двумя реле РТ - 40, фильтр-реле
напряжения обратной последовательности РНФ - 1М и минимальное реле напряжения
РН - 56/160.Расчетные уставки:
Н = 1,2; kСЗП =
2; kВ = 0,85.
Ток
срабатывания защиты:
Т = 120
Ток
срабатывания реле:
Коэффициент
чувствительности:
Ч
Коэффициент
трансформации измерительного трансформатора напряжения:
Напряжение
срабатывания фильтр-реле:

Напряжение
срабатывания минимального реле напряжения:
Выбираем
реле напряжения РН-56/100.Определяем время срабатывания защиты
Выбираем
реле времени РВ-225 с пределами регулирования времени 0,25-3,5 сек.На
секционный выключатель ставим токовую отсечку
Iс.з=kн×Ik2max ,Iс.з=kн×Ik2max = 1,3×6474 = 8416,2(А),с.р=kсх×Iс.з/kт = 1×8416,2/120 = 70,14(А).
Выбираем
реле РТ-40/100 с параллельным соединением обмоток.Для защиты трансформатора от
перегрузок используем МТЗ с действием на сигнал
Находим
ток срабатывания реле
Выбираем
реле тока РТ-40/10.
Находим
время срабатывания защиты
Выбираем
реле времени РВ-144 с пределом плавкого регулирования времени 1-20 сек и
промежуточное реле РП-25.
3.2
Расчет релейной защиты асинхронных двигателей
.2.1
Защита двигателей от междуфазных коротких замыканий
Для
защиты АД от многофазных КЗ в обмотках статора выбираем токовую отсечку на реле
РТ-40. Схема соединения ТТ - неполная звезда. ТО является быстродействующей
защитой и быстро отключает повреждённый участок.Для выбора трансформатора тока
определим номинальный ток электродвигателя:
где
- номинальная мощность электродвигателя, кВт;
-
номинальное напряжение двигателя, кВ;
-
номинальный коэффициент мощности двигателя
К
установке принимаем трансформатор тока ТПЛ-10-М
,
Коэффициент
трансформации трансформатора тока:
Определяем
ток срабатывания защиты:
где
- коэффициент пуска двигателя;
-
коэффициент отстройки.
Ток
срабатывания реле:
Устанавливаем
реле РТ-40/100.
Коэффициент
чувствительности:
Коэффициент
чувствительности удовлетворяет условиям, и установка продольной
дифференциальной токовой защиты не требуется.
3.2.2
Защита электродвигателей от перегрузки
Перегруз
является симметричным режимом, поэтому защита выполняется одним реле,
включенным в одну из фаз. Используем те же трансформаторы тока, что и для
токовой защиты (коэффициент трансформации
,
коэффициент схемы
).Ток срабатывания защиты определяется из условия
отстройки от номинального тока двигателя:
где
- коэффициент отстройки;
-
коэффициент возврата.
Ток
срабатывания реле:
Выбираем
реле РТ-40/10 с последовательным соединением катушек. По времени защита
отстраивается от времени пуска:
где
- время пуска электродвигателя (10 сек);
- время
селективности (0,5 сек).
Защита
от перегрузки также выполняет функции защит от:- сверхтоки при обрыве фаз;-
витковое замыкание обмоток статора, по ПУЭ необязательна.
.2.3
Защита от понижения напряжения
Для
выполнения защиты будем использовать реле напряжения типа РН - 54, которое
имеет коэффициент возврата
.
Выбираем
трансформатор напряжения типа НОМ-10.
,
.
Коэффициент
трансформации трансформатора напряжения:
Напряжение
срабатывания реле отстраиваем от минимального рабочего напряжения, которое
составляет 80% от номинального:
И
от максимального допустимого значения напряжения, 130%:
Напряжение
срабатывания реле напряжения:
где
- коэффициент отстройки;
-
коэффициент возврата;
-
минимальное и максимальное напряжение работы электродвигателя;
Напряжение
срабатывания реле:
Выбираем
реле напряжения РН - 56/160 и РН - 53/200.Время срабатывания защиты принимаем
20 сек. Выбираем реле времени РВ - 01 с пределами регулирования от 0,1 до 50
сек.
3.2.4
Защита электродвигателей от замыканий на землю в сети 6-10 кВ
В
соответствии с ПУЭ селективная защита обязательна при
и
и
и
.Ток
срабатывания выбирается, так же как и для защит других элементов от этого
повреждения:
где
где:
С - ёмкость фазы двигателя;
Iф.эл. - собственный
ёмкостной ток фазы двигателя.
Ёмкость
фазы двигателя:
Устанавливаем
реле РТ-40/100
3.3
Расчет релейной защиты блоков линия-трансформатор
.3.1
Быстродействующая защита от многофазных коротких замыканий
Для
расчета РЗА воспользуемся ранее приведенными таблицами токов короткого
замыкания и выбора мощностей трансформатора.
ТП
№1.Блок кабельная линия-трансформатор
Токовая
отсечка: быстродействующая защита от многофазных коротких замыканий в кабельной
линии.
Отстраивается
от токов коротких замыканий за трансформатором.
IС.З=КН×Ik11max ,IС.З= 1,3×5,750= 7,475(кА),
где
Котс= 1,3 - коэффициент отстройки.
Если
коэффициент чувствительности получается меньше 1,2, то токовую отсечку не устанавливаем,
так как время срабатывания МТЗ менее 0,5 сек., что допускается ПУЭ. Дальнейший
расчет для остальных ТП сводим в таблицу 36.
Таблица 36
Результаты расчета токовой отсечки
|
№ ТП
|
kотс.
|
Ikmax (кА)
|
Iсз (кА)
|
Iк.мин. (кА)
|
Kч
|
Kч
|
|
1
|
1,3
|
6,227
|
8,275
|
3,136
|
0,315
|
1,2
|
|
2
|
1,3
|
2,493
|
2,295
|
1,788
|
0,523
|
1,2
|
|
3
|
1,3
|
3,027
|
3,853
|
2,047
|
0,453
|
1,2
|
|
4
|
1,3
|
3,701
|
4,953
|
2,334
|
0,416
|
1,2
|
|
5
|
1,3
|
3,291
|
4,196
|
2,164
|
0,441
|
1,2
|
|
6
|
1,3
|
3,579
|
4,508
|
2,285
|
0,307
|
1,2
|
|
7
|
1,3
|
2,433
|
3,222
|
1,538
|
0,537
|
1,2
|
|
8
|
1,3
|
3,198
|
4,084
|
2,123
|
0,445
|
1,2
|
|
9
|
1,3
|
2,995
|
3,853
|
2,032
|
0,453
|
1,2
|
|
10
|
1,3
|
5,567
|
7,229
|
2,977
|
0,381
|
1,2
|
.3.2 Максимальная токовая защита от внешних коротких
замыканий
Ток срабатывания МТЗ выбирается из условий несрабатывания защиты в
режимах после отключения близкорасположенного к.з.
Используем
трех релейную схему, чтобы МТЗ реагировала на все виды коротких замыканий.
Третье реле устанавливается в обратный провод.Для проверки чувствительности
необходимо рассчитать однофазные короткие замыкания за трансформатором.
Дальнейший
расчет сводим в таблицу 37.
Таблица 37
Расчет однофазных коротких замыканий
|
№ ТП
|
U (В)
|
Z(1)тр(Ом)
|
I(1) (кА)
|
|
1
|
230
|
0,129
|
5348,84
|
|
2
|
230
|
0,129
|
5348,84
|
|
3
|
230
|
0,054
|
12777,78
|
|
4
|
230
|
0,081
|
8518,52
|
|
5
|
230
|
0,054
|
8518,52
|
|
6
|
230
|
0,081
|
8518,52
|
|
7
|
230
|
0,081
|
8518,52
|
|
8
|
230
|
0,054
|
8518,52
|
|
9
|
230
|
0,054
|
8518,52
|
|
10
|
230
|
0,129
|
3538,46
|
Коэффициент чувствительности
Ток
срабатывания реле
Выбираем
реле РТ-40/20
Время
срабатывания защиты принимаем
Выбираем
реле времени РВ- 225 с пределами плавного регулирования времени 0,25-3,5 сек.
Если
коэффициент чувствительности не достаточен, то используем пуск по напряжению.
Тогда принимаем К’СЗП=1 и расчет повторяется.
Расчет
МТЗ для остальных ТП сводим в таблицу 38.
Таблица 38
Расчет МТЗ
|
№ ТП
|
kн
|
k' сзп
|
kв
|
Iраб. Max (А)
|
Iсз (А)
|
I(1) кз.вн (кА)
|
Kч
|
Kч
|
K сх
|
Kт
|
I с.р. (А)
|
РТ-40
|
Tсз (сек)
|
|
1
|
1,15
|
1,7
|
0,85
|
30,76
|
70,75
|
5348,84
|
2,99
|
1,5
|
1
|
20
|
8,55
|
10
|
0,25
|
|
2
|
1,15
|
1,7
|
0,85
|
29,22
|
67,21
|
5348,84
|
2,57
|
1,5
|
1
|
20
|
4,16
|
10
|
0,25
|
|
3
|
1,15
|
1,7
|
0,85
|
95,05
|
218,62
|
12777,78
|
2,29
|
1,5
|
1
|
20
|
11,16
|
20
|
0,25
|
|
4
|
1,15
|
1,7
|
0,85
|
48,74
|
112,10
|
8518,52
|
2,41
|
1,5
|
1
|
20
|
10,61
|
20
|
0,25
|
|
5
|
1,15
|
1,7
|
0,85
|
79,43
|
182,68
|
8518,52
|
3,76
|
1,5
|
1
|
20
|
4,53
|
10
|
0,25
|
|
6
|
1,15
|
1,7
|
0,85
|
50,35
|
115,81
|
8518,52
|
2,46
|
1,5
|
1
|
20
|
6,94
|
10
|
0,25
|
|
7
|
1,15
|
1,7
|
0,85
|
38,49
|
88,54
|
8518,52
|
2,50
|
1,5
|
20
|
6,82
|
10
|
0,25
|
|
8
|
1,15
|
1,7
|
0,85
|
69,30
|
159,38
|
8518,52
|
3,89
|
1,5
|
1
|
20
|
2,75
|
10
|
0,25
|
|
9
|
1,15
|
1,7
|
0,85
|
88,90
|
204,48
|
8518,52
|
3,60
|
1,5
|
1
|
20
|
4,74
|
10
|
0,25
|
|
10
|
1,15
|
1,7
|
0,85
|
18,42
|
58,98
|
3538,46
|
2,88
|
1,5
|
1
|
20
|
2,46
|
10
|
0,25
|
.4 Релейная защита конденсаторных установок
Основной вид повреждений КУ - пробой конденсаторов, которые приводят к
двухфазным к.з. Возможны также ненормальные режимы: перегрузка конденсаторов
высшими гармониками тока и повышение напряжения. Защита от многофазных к.з.
предусматривается для всей КУ в целом.
В сетях выше 1 кВ она выполняется предохранителями или двухфазной токовой
отсечкой.
Ток срабатывания защиты принимается по условию
,
где
КОТС=2-2,5 для токовой защиты.
Коэффициент чувствительности
Ток
срабатывания реле
Выбираем
реле тока РТ-40/10 и промежуточное реле РП-25.Защита от перегрузки
предусматривается в тех случаях, когда возможна перегрузка высшими гармониками
тока из-за непосредственной близости мощных выпрямительных установок. Так как
их нет, то защиту от перегрузки не устанавливаем.Защита от повышения напряжения
устанавливается в зависимости от условий работы КУ. Напряжение срабатывания
принимается равным:
Выбираем
реле напряжения РН-53/160.Время срабатывания защиты принимаем tСЗ=4 мин.
4.
Учет электроэнергии
Согласно
1.5.11 [1] для предприятия, рассчитывающегося с электроснабжающей организацией
по максимуму заявленной мощности, следует предусматривать установку с
указателем максимума нагрузки при наличии одного пункта учета, при наличии двух
или более пунктов учета - применение автоматизированной системы учета
электроэнергии:
)
на стороне среднего и низшего напряжения силовых трансформаторов, если на
стороне высшего напряжения применение измерительных трансформаторов не
требуется для других цепей;
)
на трансформаторах собственных нужд, если электроэнергия, отпущенная на
собственные нужды, не учитывается другими счетчиками, при этом счетчики
рекомендуется устанавливать со стороны низшего напряжения.
Для
потребителей каждой тарификационной группы следует устанавливать отдельные
счетчики.
По
1.5.12 [1] счетчики реактивной электроэнергии должны устанавливаться на тех же
элементах схемы, на которых установлены счетчики активной энергии для
потребителей, рассчитывающихся за электроэнергию с учетом разрешенной к
использованию реактивной мощности.
Согласно
1.5.42 [1] на предприятиях следует предусматривать техническую возможность
установки (в условиях эксплуатации) стационарных или применение инвентарных
переносных счетчиков для контроля за соблюдением лимитов расхода электроэнергии
цехами и т.д.
По
1.5.44 [1] классы точности счетчиков технического учета активной электроэнергии
должны соответствовать значению 2,0.
Классы
точности счетчиков технического учета реактивной электроэнергии допускается
выбирать на одну ступень ниже соответствующего класса точности счетчиков
технического учета активной электроэнергии.
Класс
точности трансформаторов тока и напряжения для присоединения расчетных
счетчиков электроэнергии по 1.5.16 [1] должен быть не более 0,5. Допускается
использование трансформаторов напряжения класса точности 1,0 для включения
расчетных счетчиков класса точности 2,0.
Для
присоединения счетчиков технического учета допускается использование
трансформаторов тока класса точности 1,0, а также встроенных трансформаторов
тока класса точности ниже 1,0, если для получения класса точности 1,0 требуется
установка дополнительных комплектов трансформаторов тока.
Для
учета электроэнергии используем счетчик СЭТ-4ТМ.03М - счетчик электроэнергии
трехфазный многотарифный микропроцессорный универсальный. Применяется для учета
электроэнергии в энергосистемах и на промышленных предприятиях. Технический и
коммерческий учет межсистемных и сетевых перетоков, выработки и потребления
энергии.
Измерение
параметров сети. Может использоваться в составе любых автоматизированных систем
технического и коммерческого учета.
Совмещенный
учет электроэнергии в энергосистемах любого уровня.
Класс
точности (активной/реактивной энергии): 0,2/0,5
Номинальное
фазное напряжение: 127 (220)В;
Номинальный
ток: 1А; 10А;
Трехфазная
трехпроводная схема включения;
Электронный
тип отсчетного механизма;
Телеметрический
канал
5. Технико-экономические расчеты
Капиталовложения на сооружения СЭС цеха
Капиталовложение - это совокупные затраты материальных, трудовых и
денежных ресурсов, необходимых для создания новых, расширения действующих, а
так же реконструкции и технического перевооружения предприятий.
Определяем суммарные капиталовложения:
где
- транспортно складские расходы. По укрупненным показателям
принимаем в размере 17% от цены оборудования:
строительно-монтажные работы
ликвидационная стоимость
Таблица 39
Сметная ведомость на оборудование
|
№
|
Наименование оборудования
|
Цена (руб.)
|
Ко-во (шт., м)
|
Стоим. (руб.)
|
K тс (руб.)
|
K смр (руб.)
|
K сумм (руб.)
|
|
Автоматические выключатели
|
|
|
|
|
|
|
|
1
|
ВА 53-43(1600/1600)
|
41 927
|
1
|
41 927
|
7 128
|
20 964
|
70 018
|
|
2
|
ВА 51Г-33(160/160)
|
1 350
|
2
|
2 700
|
459
|
1 350
|
4 509
|
|
3
|
ВА 51Г-33(160/125)
|
1 142
|
3
|
3 426
|
582
|
1 713
|
5 721
|
|
4
|
ВА 51Г-33(160/100)
|
1 295
|
1
|
1 295
|
220
|
648
|
2 163
|
|
5
|
ВА 51Г-31(100/100)
|
993
|
1
|
993
|
169
|
497
|
1 658
|
|
6
|
ВА 51Г-31(100/50)
|
542
|
2
|
1 084
|
184
|
542
|
1 810
|
|
7
|
ВА 51Г-31(100/40)
|
452
|
3
|
1 356
|
231
|
678
|
2 265
|
|
8
|
ВА 51Г-31(100/31,5)
|
387
|
3
|
1 161
|
197
|
581
|
1 939
|
|
9
|
ВА 51Г-31(100/25)
|
306
|
11
|
3 366
|
572
|
1 683
|
5 621
|
|
10
|
ВА 51Г-31(100/20)
|
283
|
9
|
2 547
|
433
|
1 274
|
4 253
|
|
11
|
ВА 51Г-31(100/12,5)
|
144
|
1
|
144
|
24
|
72
|
240
|
|
12
|
ВА 51Г-31(100/10)
|
112
|
3
|
336
|
57
|
168
|
561
|
|
13
|
ВА 51Г-31(100/6,3)
|
100
|
3
|
300
|
51
|
150
|
501
|
|
Кабели, провода
|
|
|
|
|
|
|
|
14
|
АВВГ 4х16
|
42
|
23
|
963
|
164
|
481
|
1 608
|
|
15
|
АВВГ 4х10
|
30
|
29
|
866
|
147
|
433
|
1 447
|
|
16
|
АВВГ 4х6
|
20
|
112,4
|
2 230
|
379
|
1 115
|
3 724
|
|
17
|
АВВГ 4х4
|
14
|
171,8
|
2 405
|
409
|
1 203
|
4 017
|
|
18
|
АВВГ 4х2,5
|
11
|
78,8
|
881
|
150
|
440
|
1 471
|
|
19
|
АВВГ 3х70+1х35
|
189
|
95,9
|
18 077
|
3 073
|
9 039
|
30 189
|
|
20
|
АВВГ 3х50+1х25
|
112
|
39,2
|
4 380
|
745
|
2 190
|
7 315
|
|
21
|
АВВГ 3х35+1х16
|
85
|
92,5
|
7 889
|
1 341
|
3 945
|
13 175
|
|
22
|
АВВГ 3х25+1х16
|
63
|
9
|
569
|
97
|
284
|
949
|
|
23
|
ВВГ 4х4
|
89
|
6
|
534
|
91
|
267
|
892
|
|
24
|
ВВГ 3х2,5
|
37
|
143,2
|
5 233
|
890
|
2 616
|
8 738
|
|
Распределительные щиты
|
|
|
|
|
|
|
|
25
|
ПР-85-3-005-54-УХЛ2
|
4 600
|
2
|
9 200
|
1 564
|
4 324
|
15 088
|
|
26
|
ПР-85-3-002-54-УХЛ2
|
4 600
|
1
|
4 600
|
782
|
2 162
|
7 544
|
|
27
|
ПР-85-3-046-54-УХЛ2
|
4 600
|
1
|
4 600
|
782
|
2 162
|
7 544
|
|
Компенсатор
|
|
|
|
|
|
|
|
28
|
УКН-0,38-100-У3
|
46 760
|
1
|
46 760
|
7 949
|
21 977
|
76 686
|
|
Трансформатор
|
|
|
|
|
|
|
|
29
|
ТМ - 1000/0,4
|
358 318
|
1
|
358 318
|
60 914
|
168 409
|
587 642
|
|
Защита ТР
|
|
|
|
|
|
|
|
30
|
МТЗ 1000/0,4
|
5 786
|
1
|
5 786
|
984
|
2 719
|
9 489
|
|
ЩО
|
|
|
|
|
|
|
|
31
|
ЩО-5 -31-08-54УХЛ4
|
2 640
|
1
|
449
|
1 320
|
4 409
|
|
Светильники
|
|
|
|
|
|
|
|
32
|
ЛПО12 -2х40
|
450
|
94
|
42 300
|
7 191
|
21 150
|
70 641
|
|
Лампы
|
|
|
|
|
|
|
|
33
|
ЛТБ - 40
|
25
|
188
|
4 700
|
799
|
2 350
|
7 849
|
|
Комплектующие
|
|
|
|
|
|
|
|
34
|
Розетка
|
27
|
6
|
162
|
28
|
81
|
271
|
|
35
|
Выключатели
|
40
|
3
|
120
|
20
|
60
|
200
|
Суммарные капиталовложения составят:
Расчёт эксплуатационных затрат на содержание внутрицеховой СЭСОпределение
численности работников электротехнической службы и фонда заработной платы.
Суммарный объём работ по ремонту и обслуживанию оборудования:
где
- категория ремонтной сложности оборудования СЭС.
- категория ремонтной сложности электротехнологической части
основного производственного оборудования.
Таблица 40
Категория ремонтной сложности электрооборудования
|
№
|
Наименование оборудования
|
Категория ремонтной сложности
|
|
|
Ед. из.
|
Всего
|
|
Автоматические выключатели
|
|
|
|
1
|
ВА 53-43(1600/1600)
|
2
|
2
|
|
2
|
ВА 51Г-33(160/160)
|
2
|
6
|
|
3
|
ВА 51Г-33(160/125)
|
2
|
2
|
|
4
|
ВА 51Г-33(160/100)
|
2
|
4
|
|
5
|
ВА 51Г-31(100/100)
|
2
|
2
|
|
6
|
ВА 51Г-31(100/50)
|
2
|
4
|
|
7
|
ВА 51Г-31(100/40)
|
2
|
6
|
|
8
|
ВА 51Г-31(100/31,5)
|
2
|
6
|
|
9
|
ВА 51Г-31(100/25)
|
2
|
22
|
|
10
|
ВА 51Г-31(100/20)
|
2
|
18
|
|
11
|
ВА 51Г-31(100/12,5)
|
2
|
2
|
|
12
|
ВА 51Г-31(100/10)
|
2
|
6
|
|
13
|
ВА 51Г-31(100/6,3)
|
2
|
6
|
|
Кабели, провода
|
|
|
|
14
|
АВВГ 4х16
|
3
|
0,69
|
|
15
|
АВВГ 4х10
|
2
|
0,58
|
|
16
|
АВВГ 4х6
|
2
|
2,25
|
|
17
|
АВВГ 4х4
|
2
|
3,44
|
|
18
|
АВВГ 4х2,5
|
1,5
|
1,18
|
|
19
|
АВВГ 3х70+1х35
|
4,5
|
4,32
|
|
20
|
АВВГ 3х50+1х25
|
4
|
1,57
|
|
21
|
АВВГ 3х35+1х16
|
3,5
|
3,24
|
|
22
|
АВВГ 3х25+1х16
|
3,5
|
0,32
|
|
23
|
ВВГ 4х4
|
2
|
0,12
|
|
24
|
ВВГ 3х2,5
|
1,5
|
2,15
|
|
Распределительные щиты
|
|
|
|
25
|
ПР-85-3-005-54-УХЛ2
|
3
|
6
|
|
26
|
ПР-85-3-002-54-УХЛ2
|
3
|
3
|
|
27
|
ПР-85-3-046-54-УХЛ2
|
3
|
3
|
|
Компенсатор
|
|
|
|
28
|
УКН-0,38-100-У3
|
3
|
3
|
|
Трансформатор
|
|
|
|
29
|
ТМ - 1000/0,4
|
13
|
13
|
|
Защита ТР
|
|
|
|
30
|
МТЗ 1000/0,4
|
2,5
|
2,5
|
|
ЩО
|
|
|
|
1
|
ЩО-5 -31-08-54УХЛ4
|
2
|
2
|
|
Светильники
|
|
|
|
32
|
ЛПО 12-2 х40
|
1,2
|
112,8
|
|
Итого:
|
252,92
|
Таблица 41
Категория ремонтной сложности электротехнической части основного
производственного оборудования
|
№
|
Наименования станков
|
Pн (кВт)
|
N (шт.)
|
Категория ремонтной сложности
|
|
|
|
|
Ед. изд.
|
Всего
|
|
1
|
Вертикально фрезерный станок
|
5,5
|
1
|
2,1
|
2,1
|
|
2
|
Токарно-винторезный станок
|
7
|
2
|
2,1
|
4,2
|
|
3
|
Горизонтально фрезерный станок
|
5,5
|
1
|
2,1
|
2,1
|
|
4
|
Поперечно строгальный станок
|
7
|
1
|
2,1
|
2,1
|
|
5
|
Токарно-винторезный станок
|
7
|
1
|
2,1
|
2,1
|
|
6
|
Токарно-винторезный станок
|
15
|
1
|
2,6
|
2,6
|
|
7
|
Настольно сверлильный станок
|
1,5
|
1
|
1,3
|
1,3
|
|
8
|
Вертикально сверлильный станок
|
2,2
|
1
|
1,3
|
1,3
|
|
9
|
Отрезной станок
|
3
|
1
|
1,3
|
1,3
|
|
10
|
Завивочный станок
|
2,2
|
1
|
1,3
|
1,3
|
|
11
|
Стенд для испытания тросов
|
5
|
1
|
1,6
|
1,6
|
|
12
|
Зубофрезерный станок
|
7
|
2
|
2,1
|
4,2
|
|
13
|
Зубодолбёжный станок
|
5
|
1
|
1,6
|
1,6
|
|
14
|
Токарно-винторезный станок
|
7
|
1
|
2,1
|
2,1
|
|
15
|
Стенд очистки масел
|
10
|
1
|
2,1
|
2,1
|
|
16
|
Стеллаж механизированный
|
5
|
4
|
1,6
|
6,4
|
|
17
|
Ножницы гильотинные
|
10
|
1
|
2,1
|
2,1
|
|
18
|
Ножницы высечные
|
5
|
1
|
1,6
|
1,6
|
|
19
|
Зиг машина
|
3
|
1
|
1,3
|
1,3
|
|
20
|
Долбёжный станок
|
3
|
1
|
1,3
|
1,3
|
|
21
|
Настольно сверлильный станок
|
1,5
|
1
|
1,3
|
1,3
|
|
22
|
Сварочный автомат
|
15
|
1
|
2,6
|
2,6
|
|
23
|
Сварочный автомат
|
21
|
1
|
3,7
|
3,7
|
|
24
|
Установка пламенной резки
|
28
|
1
|
3,7
|
3,7
|
|
25
|
Сварочный выпрямитель
|
25
|
1
|
3,7
|
3,7
|
|
26
|
Станок для алмазной заточки инструмента
|
1
|
1,3
|
1,3
|
|
27
|
Точильно-шлифовальный станок
|
3
|
1
|
1,3
|
1,3
|
|
Итого:
|
|
32
|
|
62,3
|
Тогда суммарный объем работ:
Определяем трудоёмкость ремонтных операций по объекту. Для укрупнённых
расчётов, связанных с планированием и учётом работ в системе ППР и технического
обслуживания вводится понятие трудоёмкость ремонтных операций
:
где
- среднее количество малых, средних и капитальных ремонтов в
год.
- нормы времени на проведения
соответствующего вида работы на одну ремонтную единицу.
Год
Час
Определяем количество необходимого ремонтного персонала.
Ремонтный персонал - это персонал, обеспечивающий техническое
обслуживание и ремонт, монтаж, наладку и испытание электрооборудования.
Основными задачами ремонтного производства является: обеспечение
постоянной нормальной работоспособности оборудования; проведение мероприятий по
предупреждению физического износа; сокращение простоев оборудования в ремонте;
уменьшение времени и затрат на проведение ремонтных работ; модернизация
устаревших станков и машин.
Количество ремонтного персонала рассчитывается по формуле:
где Fэф = 1183 (час·год) - эффективный фонд
рабочего времени одного человека;
Кпр = 1,1 - коэффициент перевыполнения норм выработки.
Принимаем
человек.Определяем количество дежурного персонала по
формуле:
где СН - сменность работы оборудования;
НP = 550 - норматив обслуживания на
одного рабочего ремонтных единиц.
Принимаем
человек.
Общее количество рабочих электротехнической службы определим из
выражения:
Фонд заработной платы работников электротехнической службы определим из
выражения:
где
- число рабочих;
- тарифная ставка (руб./час);
- эффективный фонд рабочего времени одного человека в часах;
- коэффициент премиальной надбавки.
Расчёт дополнительных затрат на содержания и эксплуатацию СЭС цеха.
Затраты на основное и вспомогательные материалы для проведения ППР
энергетического оборудования. По укрупнённым показателям стоимости принимаем
1,5% от балансовой стоимости оборудования, то есть затраты на материалы:
Затраты на текущее обслуживание и ремонт электрооборудования по
укрупнённым показателям стоимости (УПС) принимаем 3% от ФЗП:
Затраты на амортизацию оборудования и устройств принимаем 6,4% от
стоимости оборудования:
Затраты на потери электроэнергии в трансформаторах определяем по формуле:
где
- потери холостого хода в трансформаторе (кВт),
для трансформатора ТМ 1000/0,4;
;
- ставка за мощность кВт в месяц (руб./кВт),
;
- время использования максимума нагрузки (час),
:
смена - 1500÷20002 смены - 2500÷4000
- ставка за энергию (коп/кВт∙ч),
- время включения в год (час),
:
смена - 2000
смены - 4000
смены - 6000
Затраты на потери электроэнергии в линиях определяем по формуле:
Тогда:
Смета затрат на содержание и эксплуатацию СЭС цеха
Таблица 42
Смета затрат на содержание и эксплуатацию СЭС цеха
|
Статьи затрат
|
Условное обозначение
|
Стоимость (руб.)
|
|
Годовой фонд заработной платы рабочим электротехнической
службы
|
ФЗП
|
596232
|
|
Затраты на основные и вспомогательные материалы
|
Зм
|
877467
|
|
Затраты на текущее обслуживание и ремонт
|
Зтор
|
17886,96
|
|
Амортизация
|
За
|
37310,59
|
|
Потери электроэнергии в трансформаторах
|
Зтр
|
3013494
|
|
Потери в линии
|
Злин
|
27 869,83
|
|
Итого:
|
|
718 178,99
|
Расчёт внутрицеховой себестоимости электрической энергии.
Годовой расход электрической энергии по цеху.
Годовой расход электрической энергии по цеху определяется по формуле:
где
- годовой расход электроэнергии (кВт∙ч/год) с силовыми
электроприемниками;
- годовой расход электроэнергии осветительными приборами
(кВт∙ч/год).
где
- расчетная активная мощность силовых электроприёмников
(кВт);
- время использования максимальной нагрузки (час/год).
где
- расчётная активная мощность осветительной нагрузки (кВт);
- максимальное время работы освещения (для 1-о сменного
предприятия
;
Определение внутрицеховой себестоимости электроэнергии.
Предприятия, суммарная договорная мощность которых 750 кВт·А и выше,
производят расчёт за электроэнергию по двухставочному тарифу.
Плата составит сумму фактического потребления электроэнергии и плату за
установленную, заявленную договором мощность:
α
β
Рассчитаем внутрицеховую себестоимость электроэнергии с учётом
эксплуатационных затрат:
Таблица 43
Основные технико-экономические показатели
|
Наименование показателя
|
Усл. обознач.
|
Ед. измер.
|
Кол-во
|
|
Годовое потребление
|
Wг
|
МВт*ч
|
198
|
|
Капитальные затраты на сооружения
|
ΣK
|
Тыс. руб.
|
961
|
|
Годовые затраты:
|
|
|
|
|
а) плата за электроэнергию
|
П
|
Тыс. руб.
|
419,821
|
|
б) эксплуатационные затраты
|
Эз
|
Тыс. руб.
|
718,179
|
|
Численность работников электротехнической службы
|
R
|
Чел.
|
8
|
|
Сменность работающего оборудования
|
Сн
|
|
1 смена
|
|
Внутрицеховая себестоимость 1 кВт*ч птребляемой
электроэнергии
|
Сц
|
Руб.
|
5,7
|
|
|
|
|
По причине сравнительно невысокой ремонтной сложности силовых
технологических установок, расположенных в цехе, для его надёжного
функционирования оказалось необходимо восемь человек ремонтного персонала, что
отразилось в малой доле годовых эксплуатационных затрат во внутрицеховой
себестоимости электроэнергии. Основную долю здесь составляет плата за
потреблённую электроэнергию и установленную мощность.
Технико-экономический расчет предприятия
Определяем годовой расход электроэнергии для осветительных установок:
где
- суммарная активная мощность освещения, кВт;
- максимальное время работы освещения.
Для односменной работы
Определяем годовой расход электроэнергии для силового
электрооборудования:
Годовой расход реактивной электроэнергии по заводу:
Годовой расход активной электроэнергии по заводу:
6. Безопасность жизнедеятельности
.1 Заземление и защитные меры электробезопасности
Во избежание поражения людей при прикосновении к конструкциям или
корпусам оборудования, оказавшимся под напряжением, применяют ряд защитных мер:
защитное заземление, выравнивание потенциалов, защитное отключение, разделяющие
трансформаторы, защитные средства и т.п.Защитное заземление от поражения
персонала электрическим током при повреждении оборудования. Другая защитная
мера - выравнивание потенциалов, которую применяют совместно с системой
заземления и другими защитными мероприятиями, достигается устройством контуров
заземления, внутри которых размещают электроустановки.
Внутри такого контура напряжение прикосновения и напряжение шага
значительно меньше, чем вне его. В ряде случаев невозможно достичь безопасных
условий работы без выравнивания потенциалов.
Эффективной защитой является устройство быстродействующего защитного
отключения электроустановки при однофазном замыкании на землю, которое
выполняют в тех случаях, когда необходимое защитное заземление осуществить
трудно.
В сетях до 1000 В в качестве защитной меры используют разделяющие
трансформаторы, что позволяет изолировать питание электроприемников от общей
электрической сети. Вторичная обмотка разделяющего трансформатора не
заземляется и прикосновение к ней не создает опасности, поскольку вторичная
сеть небольшая, то есть токи утечки малы и неопасны для человека. Разделяющие
трансформаторы следует применять при работе с переносными электроприемниками,
если они не выполнены на безопасное напряжение.
В качестве защитных мер используют также изолирующий инструмент,
подставки и другие защитные средства. Каждая из защитных мер обладает
преимуществами и недостатками и поэтому имеет свою область применения.
Проведение тока в землю и обеспечение безопасности прикосновения к
заземленным предметам для людей, обслуживающих электроустановку и находящихся
вблизи нее, является непростой задачей, в особенности в эффективно заземленных
сетях, где ток, на который должен быть рассчитан заземлитель, достигает многих
тысяч и даже десятков тысяч ампер, а также при неблагоприятных местных условиях
на площадках с большими удельным сопротивлением земли.
В электрических системах нельзя полностью исключить соприкосновение с
опасными напряжениями всюду, всегда и при всех условиях. Поэтому задачу
обеспечения безопасности следует понимать в смысле уменьшения вероятности
соприкосновения с опасными предметами, насколько это возможно и целесообразно.
Заземляющие устройства должны удовлетворять требованиям обеспечения
безопасности людей и защиты электроустановок, а также обеспечения
эксплуатационных режимов работы, §41.1 [9].
Все металлические части электрооборудования и электроустановок, которые
могут оказаться под напряжением вследствие нарушения изоляции, должны быть
заземлены. Металлические и другие проводящие части электроустановок, нормально
не находящиеся под напряжением, могут оказаться кратковременно или длительно
под напряжением вследствие нарушения изоляции. Прикосновение человека к таким
частям может привести к поражению его электрическим током. Опасность поражения
человека электрическим током может быть обусловлена также стеканием
электрического тока с какой-либо части электроустановки в землю и протеканием
электрического тока в земле при повреждении изоляции.
Согласно 1.7.32 [1] для защиты людей от поражения электрическим током при
повреждении изоляции должна быть применена, по крайней мере, одна из следующих
защитных мер: заземление, зануление, защитное отключение, разделительный
трансформатор, малое напряжение, двойная изоляция, выравнивание
потенциалов.1.7.45 [1]. При невозможности выполнения заземления, зануления и
защитного отключения, допускается обслуживание электрооборудования с
изолирующих площадок.
Изолирующие площадки должы быть выполнены так, чтобы прикосновение к
представляющим опасность незаземленным частям могло быть только с площадок: при
этом должна быть исключена возможность одновременного прикосновения к
электрооборудованию и частям другого оборудования и частям здания.
Согласно 1.7.51 [1] заземляющее устройство, которое выполняется с
соблюдением требований к его сопротивлению, должно иметь в любое время года
сопротивление не более 0,5 Ом, включая сопротивление естественных заземлителей.
В целях выравнивания электрического потенциала и обеспечения
присоединения электрооборудования к заземлителю на территории, занятой
оборудованием, следует прокладывать продольные и поперечные горизонтальные
заземлители и соединять их между собой в заземляющую сетку.
Горизонтальные заземлители следует прокладывать по краю территории,
занимаемой заземляющим устройством, так, чтобы они в совокупности образовывали
замкнутый контур.
Согласно §7.4 [13] при эксплуатации энергетического оборудования
используются следующие средства защиты, приспособления и инструменты:
а) средства защиты при работах в электроустановках;
б) общие средства защиты и спецодежда при эксплуатации энергетического
оборудования;
в) инструменты и приспособления.
К средствам защиты, применяемым при работах в электроустановках,
относятся: изолирующие защитные средства (штанги изолирующие, клещи
изолирующие, указатели напряжения, резиновые диэлектрические перчатки, боты и
т.д.); прочие защитные средства (переносные заземлители, защитные очки, плакаты
предупредительные, предохранительные пояса и др.).
В соответствии с Правилами персонал, обслуживающий электроустановки,
должен быть снабжен всеми необходимыми средствами защиты, обеспечивающими
безопасность его работы. Средства защиты должны находиться в качестве
инвентарных в распределительных устройствах, цехах, распределительных пунктах
электросетей, на трансформаторных подстанциях или входить в инвентарное
имущество оперативно-выездных бригад.
Во время эксплуатации средства защиты подвергаются периодическим
электрическим и механическим испытаниям и внеочередным испытаниям в случае
неисправности или после их ремонта.
На средства защиты, прошедшие испытания, кроме инструмента с изолирующими
рукоятками и указателей напряжения до 1000 В, ставят штамп, установленной
Правилами формы. Регистрацию инструмента с изолирующими рукоятками и указателей
напряжения до 1000 В и предохранительных монтерских поясов проводят в журнале
учета и содержания защитных средств по их инвентарным камерам. У переносных
заземлений проверяется отсутствие механических повреждений (разрывов
проводников).
6.2 Меры защиты от прямого и косвенного прикосновения
.
Сверхнизкое(малое) напряжение(СНН) в электроустановках напряжением до 1кВ может
быть применено для защиты от поражения электрическим током при прямом и/или
косвенном прикосновениях в сочетании с защитным электрическим разделением цепей
или в сочетании с автоматическим отключением питания.
В качестве источника питания цепей СНН в обоих случаях следует применять
безопасный разделительный трансформатор в соответствии с ГОСТ 30030
«Трансформаторы разделительные и безопасные разделительные трансформаторы» или
другой источник СНН, обеспечивающий равноценную степень безопасности.
Токоведущие части цепей СНН должны быть электрически отделены от других
цепей так, чтобы обеспечивалось электрическое разделение, равноценное
разделению между первичной и вторичной обмотками разделительного
трансформатора.
Проводники цепей СНН, как правило, должны быть проложены отдельно от
проводников более высоких напряжений и защитных проводников, либо отделены от
них заземлённым металлическим экраном (оболочкой), либо заключены в
неметаллическую оболочку дополнительно к основной изоляции.
Вилки и розетки штепсельных соединителей в цепях СНН не должны допускать
подключение к розеткам и вилкам других напряжений.
Штепсельные розетки должны быть без защитного контакта.
При значениях СНН выше 25 В переменного или 60 В постоянного тока должна
быть также выполнена защита от прямого прикосновения при помощи ограждений, или
оболочек, или изоляции, соответствующей испытательному напряжению 500 В
переменного тока в течение 1 мин.
2.
При применении СНН в сочетании с электрическим разделением цепей открытые
проводящие части не должны быть преднамеренно присоединены к заземлителю,
защитным проводникам или открытым проводящим частям других цепей и к сторонним
проводящим частям, кроме случая, когда соединение сторонних проводящих частей с
электрооборудованием необходимо, а напряжение на этих частях не может превысить
значение СНН.
СНН в сочетании с электрическим разделением цепей следует применять,
когда при помощи СНН необходимо обеспечить защиту от поражения электрическим
током при повреждении изоляции не только в цепи СНН, но и при повреждении
изоляции в других цепях, например, в цепи, питающей источник. При применении
СНН в сочетании с автоматическим отключением питания один из выводов источника
СНН и его корпус должны быть присоединены к защитному проводнику цепи, питающей
источник.
3.
В случаях, когда в электроустановке применено электрооборудование с наибольшим
рабочим (функциональным) напряжением, не превышающим 50 В переменного или 120 В
постоянного тока, такое напряжение может быть использовано в качестве меры
защиты от прямого и косвенного прикосновения, если при этом соблюдены
требования 1-2.
6.3 Расчет заземляющих устройств выше 1 кВ
Заземлению подлежит оборудование 10 кВ. Оборудование на напряжение 0,4 кВ
присоединяется к нулевому проводу кабеля проложенному от ТП. Ток замыкания на
землю определяется по формуле
,
где
lk - общая длина электрически связанных между собой кабельных линий,
км;в - общая длина электрически связанных между собой воздушных
линий, км;k=1686 (м);в=0.
Сопротивление
заземления определяется по формуле
Rз £ 250/ Iз; Rз=250/1,686=148,27 (Ом)
Согласно ПУЭ, сопротивление заземления не должно превышать 4 Ом. Для
установок с малыми токами замыкания на землю.
Расчёт заземляющих устройств
В виду отсутствия данных о сопротивлениях естественных заземлителей, в
расчёте принимаем только искусственные заземлители.В качестве вертикальных
заземлителей используются электроды диаметром 16 (мм2), длиной 2,5
(м).
В качестве горизонтальных заземлителей используются стальные полосы 40х4
(мм) длиной 3 (м), погруженные ниже уровня земли на 0,7 (м).
Удельное сопротивление грунта r=50 (Ом×м) (чернозём).Расчётное сопротивление одного вертикального электрода
определяется по формуле:
,
где
lB-длина вертикального электрода, м;t1- глубина заложения , равная расстоянию от поверхности
земли до середины электрода, м
Количество
вертикальных электродов:- с учёта экранирования (расчётное):
Nв.р =
=
,
где ηв находится из таблицы 1.13.5 (<4> стр.91).
Принимаем Nв.р = 20.
Так как контурное ЗУ закладывается на расстоянии не менее 1 метра, то
длина по периметру закладки равна:
.
Тогда
расстояние между электродами уточняется с учётом формы объекта. По углам
устанавливают по одному вертикальному электроду, а оставшиеся - между ними.
Для
равномерного распределения электродов окончательно принимаем
Nв = 20, тогда:
;
.
Для
уточнения принимается среднее значение отношения
,
тогда
по таблице 1.13.5 (<4> стр.91) уточняются коэффициенты использования:
ηВ = F(Конт.;
2,96; 20) = 0,71
ηГ = F(Конт.;
2,96; 20) = 0,45
Определяются
уточнённые значения сопротивлений вертикальных и горизонтальных электродов:
,
где
- ширина полосы заземлителя, м;
t - уровень
заглубления, м;
КСЕЗ
- коэффициент сезонности, по таблице 1.13.2 (<4> стр. 91) принимаем
равным 4.
RВ =
=
.
Фактическое
сопротивление ЗУ:
,
следовательно
ЗУ эффективно.
Для
установок 0,4 кВ в качестве защитного заземления используется зануление. Для
этого внутри корпуса по стене проложена стальная полоса сечением 40х4 мм,
выполненная из стали марки Ст3. К этой полосе присоединены
металлические части оборудования 0,4 кВ. Присоединение осуществляется стальной
полосой или прутком сечением не менее 8 мм. Присоединение к полосе
осуществляется сваркой. Присоединение к оборудованию с помощью болтового
соединения.
6.4 Расчет заземляющих устройств ниже 1 кВ
Расчёт контура заземления
Размеры цеха: А×В = 15,5×43 м;
Напряжение ЛЭП
;
Длина линии от ГПП до ТП
;
Грунт в районе цеха - чернозём с удельным сопротивлением
;
Глубина заложения
;
Климатический район - 3;
Вид ЗУ - контурное;
Вертикальный электрод - пруток стальной
,
;
Горизонтальный электрод - полоса (40×4мм).
Расчётное сопротивление одного вертикального электрода определяется по
формуле:
где:
- коэффициент сезонности для вертикального заземлителя ([1],
табл. 1.13.2, с. 90).
Расчётный ток замыкания на землю:
Предельное сопротивление совмещённого ЗУ:
Требуемое сопротивление заземлителя по стороне НН:
Для расчёта принимается
,
Количество вертикальных электродов:- без учёта экранирования (расчётное):
Принимаем
.- с учётом экранирования:
где:
([1],
табл. 1.13.5, с. 90)
Принимается
Разместим ЗУ на плане и уточним расстояния:
Так как контурное ЗУ закладывается на расстоянии не менее 1 метра, то
длина по периметру закладки равна:
Тогда расстояние между электродами уточняется с учётом формы объекта. По
углам устанавливают по одному вертикальному электроду, а оставшиеся - между
ними. Для равномерного распределения электродов окончательно принимаем
, тогда:
Для уточнения принимается среднее значение отношения:
Далее уточняются коэффициенты использования (табл. 1.13.5 [1]):
Определяются уточнённые значения сопротивлений вертикальных и
горизонтальных электродов:
Фактическое сопротивление ЗУ:
1,3<4следовательно ЗУ эффективно.
.5 Расчет молниеотвода
Одним из нетехногенных, природных явлений, которое может привести к
возникновению ненормального (аварийного) режима функционирования системы
электроснабжения промышленного предприятия, технологического объекта, а также к
человеческим жертвам, выходу из строя электроустановок, нарушению
технологического процесса является гроза, а именно удары молний, сопровождающие
грозы и являющиеся «ударным» проявлением грозы. Наиболее опасным проявлением
грозы с точки зрения поражения зданий и сооружений является прямой удар молнии.
Производственные, жилые и общественные здания и сооружения в зависимости
от их назначения, а также интенсивности грозовой деятельности в районе их
местонахождения выделены в категории по степени устройства молниезащиты.
Молниезащита указанных объектов должна быть выполнена в соответствии с
категориями молниезащиты, для промышленных предприятий и технологических
объектов категория устройства молниезащиты и тип зоны защиты указаны в [9,
таблица 12.3].Здания и сооружения, отнесенные по устройству молниезащиты к I-ой и II-ой категориям, должны быть защищены от прямых ударов молнии,
электростатической и электромагнитной индукции и заноса высоких потенциалов
через наземные и подземные металлические конструкции. Здания и сооружения,
отнесенные по устройству молниезащиты к III-ей категории, должны быть защищены от прямых ударов
молнии и заноса высоких потенциалов через наземные металлические конструкции.
При ширине зданий и сооружений более 100 м должны выполняться мероприятия
по выравниванию потенциала внутри здания [4].
Под зоной защиты молниеотвода понимают часть пространства, внутри
которого здание или сооружение защищено от прямых ударов молнии с определенной
степенью надежности. Различают зоны защиты типа А, где степень надежности
составляет 99.5% и выше, и зону защиты типа Б со степенью надежности 95% и выше.
Молниеотводы располагают на растоянии не менее 5 м. от токоведущих частей
линии. Аналогично требование к заземлению молниеотводов на самой территории
открытой подстанции, сопротивление заземления молниеотводов на подходах линии
20 кВ и выше не должно превышать 25 Ом. В соответствии с ПУЭ, защиты закрытых
РУ и зданий станции от прямых ударов молнии не требуется.
Подходы ЛЭП к подстанции напряжением 20 кВ и выше на длине 1-2 км должны
быть защищены от прямых ударов молнии путем подвески защитных тросов (тросов
молниеотводов) или установки стержневых молниеотводов. Название молниеотвода
определяется типом молниеприемника.
Молниеотводы располагают на расстоянии не менее 5 м от токоведущих частей
линии. Заземляющее устройство молниезащиты выполняют аналогично заземляющим
устройствам электроустановок. В ряде случаев эти устройства можно объединять.
Необходимо отличать заземлители, входящие в комплекс защиты от прямого
удара молнии и заноса высоких потенциалов, от заземлителей, входящих в комплекс
защиты от вторичных воздействий молнии.
Тип, количество и взаимное расположение молниеотводов определяют
геометрическую форму зоны защиты [9, §12.2].
Молниеотводы должны иметь высоту h большую, чем высота защищаемого объекта hx, причем превышение молниеотвода над
защищаемым объектом называется его активной высотой -ha, то есть ha = h-hx.
Коэффициентом защиты кх стержневого молниеотвода называется
отношение радиуса зоны защиты rx к активной высоте ha, то есть kx = rx/ha.В качестве зоны защиты открытой
подстанции применяем 2 стержневых молниеотвода.
Определение параметров защищаемой зоны:
Примем высоту молниеотвода 20м и проверим защиту.
Наибольшая высота защищаемого объекта hx = 7м. Активная высота молниеотвода,
то есть превышение его над защищаемым объектом определяется по формуле:
Радиус
основания конуса на уровне земли
Вершина
конуса зоны защиты
Радиус
горизонтального сечения зоны защиты на высоте hх от уровня земли
При
L < h hC=h0=17 м; rСХ= rХ=12,47 м; rС= r0=21,2 м,
где
L -расстояние между молниеотводами, м;
hC - высота
зоны защиты посередине между молниеотводами, м;
rС - ширина совместной зоны защиты на уровне земли, м;
rСХ - ширина горизонтального сечения совместной зоны
защиты на высоте hX от уровня земли, м.
Надежность
молниезащиты.
Число
прорывов молний в год на защищаемый объект:
,
где
N - суммарное число ударов молнии в молниеотвод
защищаемого объекта;
Y = 10-3 -
вероятность прорыва молнии в зону защиты, принимаемая в соответствии с [9].
,
где
n = 0,06 км2×ч -
число ударов молнии в землю площадью 1 км2 за 1 ч грозы [9];
T = 60 - средняя
интенсивность грозовой деятельности для данной местности [9];
R = 3,5×h -
эквивалентный радиус окружности, описывающий площадь, с которой молниеотвод
«собирает» молнии, м.
.
Вероятность
прорыва не более 10-3, поражения возможно лишь раз в 4000 лет, что
значительно превышает срок службы и эксплуатации какого-либо электрического
оборудования или устройства.
7. Спецчасть
Токовые защиты от замыканий на землю
В электрических сетях среднего напряжения 6-35 кВ, работающих с
изолированной нейтралью или заземлением через резистор, в качестве защиты от
однофазных замыканий на землю, как правило, применяются токовые защиты нулевой
последовательности, основанные на использовании составляющих промышленной
частоты.
Существенное влияние на устойчивость функционирования защит оказывают
токи переходных процессов, возникающих в момент пробоя изоляции, в частности,
при дуговых перемежающихся однофазных замыканиях на землю. Наши авторы из
Иваново рассказывают о проведенных ими исследованиях переходных процессов и
выводах о повышении эффективности защит, сделанных по результатам этой работы.
Дуговой прерывистый характер тока в месте повреждения характерен прежде
всего для начальной стадии развития практически всех однофазных замыканий на
землю (ОЗЗ) в кабелях и электрических машинах. Особую опасность дуговые
перемежающиеся ОЗЗ, сопровождающиеся значительными перенапряжениями по всей
электрически связанной сети, представляют в кабельных сетях собственных нужд
электростанций и систем электроснабжения промпредприятий из-за возможности
переходов в двойные и многоместные замыкания, сопровождающихся повреждением и
отключением от релейной защиты двух и более электродвигателей. Поэтому
повышение эффективности защит от этого вида повреждений - актуальная задача.
Задача исследований
По применяемой в настоящее время методике влияние токов электромагнитных
переходных процессов при дуговых перемежающихся ОЗЗ на функционирование токовых
защит нулевой последовательности (ТЗНП) учитывается при выборе тока
срабатывания
из условия отстройки от собственного емкостного тока
защищаемого присоединения:
где
- коэффициент отстройки;
- собственный емкостный ток ОЗЗ защищаемого присоединения;
- коэффициент, учитывающий влияние переходных процессов.
Значение Кпер зависит от особенностей элементной базы, на которой
выполнены измерительные органы тока (ИОТ) ТЗНП, и алгоритмов обработки входных
токов и логических сигналов, а для микропроцессорных защит - от алгоритмов
функционирования измерительной и логической частей функции ТЗНП.
Для ИОТ на электромеханической элементной базе рекомендуется [5] значение
Кпер принимать равным 4-5, что значительно снижает чувствительность защиты и
ограничивает область ее применения. Для ТЗНП с ИОТ на микроэлектронной и
микропроцессорной базе значения Кпер приближенно принимаются равными 2,0-2,5.
Эффективность срабатываний ТЗНП при внутренних ОЗЗ оценивается
коэффициентом чувствительности при устойчивых металлических повреждениях:
где Котс = 1,2 - коэффициент отстройки;
Кч. мин = 1,2 для защиты с действием на сигнал и 1,5 для защиты с
действием на отключение (для ТЗНП электродвигателей рекомендуется принимать Кч.
мин = 2 [6]).
Из этого можно получить условие применимости ТЗНП в сетях с изолированной
нейтралью:
Для сети с высокоомным заземлением нейтрали через резистор RN при
≈
= 1 / 3Cω
условия применимости ТЗНП имеют вид:
Из формул следует, что при больших значениях коэффициента Кпер
чувствительность защиты и область ее применения значительно уменьшаются.
Исследования динамических режимов функционирования ТЗНП, обосновывающие
значения коэффициента Кпер для ТЗНП, выполненных на различной элементной базе,
насколько известно авторам, не проводились.
Поэтому основная задача данной работы - оценка влияния электромагнитных
переходных процессов при ОЗЗ на функционирование ТЗНП с измерительными органами
тока на различной элементной базе в целях уточнения методики выбора тока
срабатывания (т.е. значений Кпер в (1)) и области применения данной защиты в
сетях среднего напряжения, работающих с изолированной нейтралью или с
высокоомным заземлением нейтрали через резистор.
Выбор метода
Для исследования динамических режимов функционирования устройств релейной
защиты (УРЗ) обычно применяется математическое или физическое имитационное
моделирование. Математическое моделирование эффективно при исследовании переходных
процессов в электроэнергетических объектах и системах (ЭЭО и ЭЭС), однако
возможности его применения для анализа динамических режимов функционирования
УРЗ ограничены из-за трудностей или невозможности создания достаточно точных
математических моделей последних.
Для УРЗ на микропроцессорной базе создание математических моделей функций
защиты, имитирующих их работу в условиях влияния электромагнитных переходных
процессов, как правило, невозможно, т. к. методы и алгоритмы формирования и
обработки входных информационных и логических величин таких устройств -
коммерческая тайна производителей.
В качестве физической модели исследуемых ЭЭО во многих случаях можно
использовать программно-технические измерительные комплексы серии РЕТОМ (или их
аналоги), предназначенные для проверки характеристик и параметров настройки
УРЗ, а также анализа их работы.
Для исследования динамических режимов функционирования УРЗ можно
применять предусмотренную в устройствах серии РЕТОМ возможность воспроизведения
электромагнитного переходного процесса, записанного с COMTRADE-формате, и
фиксации реакции УРЗ на проложенное воздействие. Однако встроенные функции
устройства РЕТОМ не во всех случаях позволяют получить тестовые сигналы,
соответствующие реальным токам и напряжениям переходного процесса при
повреждениях в сложных ЭЭО.
Для формирования подобных тестовых сигналов целесообразно использовать
математическое моделирование сложного ЭЭО, например, с использованием
интегрированной системы моделирования Matlab с пакетом расширения Simulink, с
последующим преобразованием полученных на модели токов и напряжений в
COMTRADE-формат.
Таким образом, для исследования динамических режимов функционирования
системы «ЭЭО - УРЗ», и в частности ТЗНП сетей среднего напряжения, на наш
взгляд, наиболее эффективно применять метод имитационного
физико-математического моделирования с использованием соответствующего
программно-аппаратного комплекса.
Математическая модель электрической сети
Математическая модель сети 6-10 кВ для исследования динамических режимов
функционирования ТЗНП при дуговых прерывистых ОЗЗ, реализованная с
использованием системы Matlab и пакета расширения Simulink.
Трехфазная модель сети включает:
генерирующий источник;
две линии электропередачи:
Линия 1 и Линия 2 с распределенными параметрами;
эквивалентированную сеть, представленную схемой замещения с
сосредоточенными параметрами;
коммутационную аппаратуру: выключатели и ключ OZZ, имитирующий ОЗЗ в
заданной точке электрической сети;
виртуальные измерители тока и напряжения, имитирующие ТТ и ТН,
многоканальные осциллографы.
При необходимости к любой точке сети можно подключить и другие
виртуальные приборы.
Источник питания в схеме представлен фазными ЭДС eA, eB, eC,
индуктивностями LИ и активными сопротивлениями RИ в каждой фазе. Каждая фазная
ЭДС представляет собой сумму основной гармонической составляющей (50 Гц) и
высших гармоник до 15-й (и при необходимости выше) включительно.
Для моделирования сети с резонансным заземлением нейтрали через
дугогасящий реактор (ДГР) или через резистор в нейтраль генерирующего источника
включена параллельная RL цепь, моделирующая дугогасящий реактор с параметрами
RДГР и LДГР или заземляющий резистор RN.
Конфигурация сети, режим заземления нейтрали, параметры элементов,
положение точки и вид повреждения и др. могут изменяться в зависимости от целей
и задач исследований, а также особенностей принципа действия и (или) алгоритма
функционирования исследуемого УРЗ.
Банк тестовых сигналов
С учетом поставленной задачи под тестовым сигналом понимается ток 3I0 в
неповрежденном присоединении при внешнем дуговом перемежающемся ОЗЗ, полученный
для наиболее тяжелых (с точки зрения отстроенности ТЗНП от внешних повреждений)
расчетных условий.
Расчетные условия: место возникновения ОЗЗ в сети, частота и условия
возникновения повторных пробоев изоляции и гашения дуги тока ОЗЗ, параметры
сети и неповрежденного присоединения и др. зависят от особенностей исполнения
ТЗНП, определяемых элементной базой, принципом действия (алгоритмом
функционирования) защиты, диапазоном изменения уставок по току срабатывания.
Поэтому для различных исполнений ТЗНП в общем случае необходимы различные
тестовые сигналы.
При исследованиях условий отстроенности от внешних дуговых перемежающихся
ОЗЗ различных исполнений ТЗНП были приняты следующие расчетные условия:
сеть 6-10 кВ содержит только кабельные линии (КЛ) (волновые сопротивления
КЛ значительно меньше волновых сопротивлений воздушных линий (ВЛ), поэтому
амплитуды бросков переходного тока при дуговых перемежающихся ОЗЗ в кабельных
сетях больше);
суммарный емкостный ток сети IСΣ ≤ 20 А при номинальном
напряжении сети Uном = 10 кВ и IСΣ ≤ 30 А при Uном = 6 кВ;
максимальное значение собственного емкостного тока защищаемого
присоединения IС собс не превышает 25-30% от значения суммарного емкостного
тока сети IСΣ;
максимальная длина КЛ не превышает 6-8 км (по условиям допустимой потери
напряжения) при сечении жил 120-240 мм2;
ОЗЗ металлическое (переходное сопротивление в месте повреждения равно
нулю) на шинах защищаемого объекта;
время затухания свободных составляющих в токах переходного процесса при
ОЗЗ 3-5 мс [1-3 и др.];
дуговое перемежающееся ОЗЗ соответствует модели Петерсена или модели
Петерса и Слепяна;
при дуговом прерывистом ОЗЗ по модели Петерсена амплитуда переходного
тока при повторных пробоях может увеличиваться в 2-2,5 раза, по модели Петерса
и Слепяна - в 1,5-2 раза;
при ОЗЗ по модели Петерсена гашение дуги происходит не при первом, а при
последнем переходе через нуль среднечастотной (зарядной) составляющей тока
переходного процесса;
в ТЗНП используется наиболее распространенный тип трансформатора тока
нулевой последовательности (ТТНП) - ТЗЛМ с неразъемным сердечником (близкие
характеристики имеют ТТНП типа ТЗ и ТЗЛ).
Для приведенных основных расчетных условий на математической модели сети
(рис. 3) получены тестовые сигналы для исследования динамических режимов
функционирования ТЗНП, выполненной с применением наиболее часто используемых в
качестве ИОТ типов реле: электромагнитных реле типа РТ-40/0,2 и РТ-40/0,6,
электронного реле типа РТЗ-50, микроэлектронного реле РТЗ-51. Полученные
методом математического моделирования тестовые сигналы преобразовывались в
осциллограммы в COMTRADE-формате.
Результаты исследований и их оценка
Для определения минимальных значений коэффициента, обеспечивающих
устойчивость несрабатываний ТЗНП при внешних дуговых перемежающихся ОЗЗ, по
выражению (1) при Кпер = 1 определялся минимальный ток срабатывания I0 с.з.мин,
затем на вход ИОТ (реле тока КА, рис. 2) по схеме рис. 2 подавался расчетный
тестовый сигнал общей длительностью ~1 с, и ток срабатывания ТЗНП увеличивался
до обеспечения устойчивых несрабатываний защиты. Расчетное значение Кпер
определялось по формуле:
Осциллограммы иллюстрируют работу ТЗНП с реле типа РТ-40 при различных
значениях тока срабатывания I0 с.з (т.е. при различных значениях коэффициента
Кпер в (1)).С использованием созданного банка тестовых сигналов по изложенной
методике проведены исследования динамических режимов функционирования указанных
исполнений ТЗНП и определены минимальные значения коэффициента Кпер,
обеспечивающие устойчивые несрабатывания ТЗНП с различными исполнениями ИОТ при
наиболее тяжелых расчетных условиях внешнего дугового перемежающегося ОЗЗ.В
табл. 45 приведены основные параметры тестовых сигналов, в табл. 46 дано
сопоставление значений коэффициентов Кпер, рекомендуемых существующими
методиками расчетов уставок ТЗНП, и значений Кпер, полученных методом
физико-математического моделирования динамических режимов работы различных
исполнений ТЗНП.
Анализ результатов исследований позволяет сделать следующие основные
выводы: Рекомендуемые существующими методиками расчета уставок ТЗНП значения
коэффициента, учитывающего влияние электромагнитных переходных процессов на
работу защиты при дуговых прерывистых ОЗЗ, завышены, что значительно снижает
чувствительность при устойчивых замыканиях и ограничивает область применения
ТЗНП.
Таблица 45
Параметры тестовых сигналов для исследования динамических режимов
функционирования ТЗНП при дуговых прерывистых ОЗЗ в сети с изолированной
нейтралью
|
Тип ИОТ ТЗПН
|
А
|
А
|
А
|
Время затухания своб. составл. тока 3 , мс
|
Модель дугового ОЗЗ
|
Эффект. Знач. тока 3 ,А
|
Длительн. тестового сигнала, с
|
|
Реле РТ-40/0,2(параллельное соединение обмоток)
|
9,6
|
8
|
733
|
5
|
Петерсена
|
101
|
1
|
|
Реле РТ-40/0,6(параллельное соединение обмоток)
|
7
|
5,83
|
876
|
5
|
Петерсена
|
119
|
1
|
|
Реле РТ-40/0,6(Последовательное соединение обмоток)
|
5
|
4,17
|
780
|
5
|
Петерсена
|
107
|
1
|
|
РТЗ - 50
|
3,1
|
2,583
|
650
|
5
|
Петерсена
|
80
|
1
|
|
РТЗ -51
|
0,78
|
0,65
|
664
|
5
|
Петерсена и Слепяна
|
55
|
1
|
Таблица 46
Результаты оценки условий устойчивости несрабатываний различных
исполнений ТЗНП при внешних дуговых перемежающихся ОЗЗ в сети с изолированной
нейтралью
|
Тип ИОТ ТЗПН
|
Кпер
|
|
По существующей методике расчёта
|
Полученные на основе исследований
|
|
Реле РТ-40/0,2(параллельное соединение обмоток)
|
4-5
|
1,5
|
|
Реле РТ-40/0,2(последовательное соединение обмоток)
|
4-5
|
1,5
|
|
Реле РТ-40/0,6(параллельное соединение обмоток)
|
4-5
|
1,5-2
|
|
Реле РТ-40/0,6(Последовательное соединение обмоток)
|
4-5
|
1,5-2
|
|
РТЗ - 50
|
3-3,5
|
1,5-2
|
|
РТЗ -51
|
2-2,5
|
1
|
На основе проведенных методом физико-математического моделирования
исследований динамических режимов функционирования различных исполнений ТЗНП
показано, что значения коэффициента Кпер для различных исполнений ТЗНП могут
быть уменьшены в 1,5-3,0 раза (табл. 46).
Наиболее тяжелые условия с точки зрения несрабатываний ТЗНП при внешних
дуговых перемежающихся ОЗЗ имеют место в кабельных сетях 6 кВ, работающих с
изолированной нейтралью, при повреждении на шинах для линий максимально
возможной длины, выполненных кабелем наибольшего сечения.
С увеличением номинального напряжения Uном сети при одном и том же
максимальном собственном емкостном токе IС собс максимальная длина защищаемой
линии уменьшается, а отстроенность защиты от внешних ОЗЗ увеличивается.
Поведение ТЗНП с ИОТ на электромеханической элементной базе (реле типа
РТ-40) при дуговых прерывистых ОЗЗ определяется в основном эффективным
значением переходного тока, которое достигает наибольших значений при
повреждениях, протекающих по модели Петерсена.
Влияние переходных процессов на работу ИОТ на электромеханической
элементной базе уменьшается с увеличением входного сопротивления реле Zр
(например, реле РТ-40/0,2 и РТ-40/0,6, табл. 46), что объясняется шунтирующим
влиянием ветви намагничивания ТТНП.С увеличением частоты свободных составляющих
переходного тока 3I0 шунтирующее влияние ветви намагничивания ТТНП на работу
ТЗНП с ИОТ на электромеханической базе увеличивается, а влияние переходных
токов на работу ТЗНП соответственно уменьшается. Поэтому для ТЗНП с такими ИОТ,
применяемых на КЛ малой протяженности - до нескольких сотен метров (в сетях 6
кВ собственных нужд электростанций, в системах электроснабжения предприятий и
др.), значение Кпер в (1) можно уменьшить.
Поведение ТЗНП с ИОТ на электронной базе (реле РТЗ-50) при дуговых
прерывистых ОЗЗ определяется в основном временем затухания свободных
составляющих тока переходного процесса при пробое изоляции и амплитудой
переходного тока.
Наиболее эффективную отстройку от влияния переходных процессов при
внешних дуговых перемежающихся ОЗЗ обеспечивают ИОТ ТЗНП, имеющие ограничение
амплитуды входных сигналов во вторичных цепях реле при входных токах,
превышающих Iс.р, и отстройку по времени срабатывания, превышающую время
существования свободных составляющих переходного тока 3I0 (например, реле
РТЗ-51).В сетях, работающих с высокоомным заземлением нейтрали через резистор
или с резонансным заземлением нейтрали через ДГР, амплитуда переходного тока
при повторных пробоях не увеличивается; для таких сетей значение Кпер в (1)
может быть принято равным 1.
С увеличением отстроенности от внешних дуговых прерывистых ОЗЗ
эффективность функционирования ТЗНП при внутренних дуговых прерывистых
повреждениях уменьшается. Практически все исполнения ТЗНП в этих режимах
неработоспособны.
Выводы
На основе проведенных методом физико-математического моделирования
исследований показано, что значения коэффициента Кпер, учитывающего влияние на
функционирование ТЗНП электромагнитных переходных процессов при внешних дуговых
прерывистых ОЗЗ, могут быть уменьшены в 1,5-3 раза по сравнению с
рекомендуемыми существующими методиками расчета уставок, что позволяет
увеличить чувствительность защиты при устойчивых замыканиях и расширить область
ее применения.
Разработанные методика и банк тестовых сигналов могут быть применены не
только для исследования динамических режимов функционирования существующих
исполнений ТЗНП, но и для обоснования наиболее эффективных алгоритмов обработки
входных сигналов в микропроцессорных защитах от этого вида повреждений.
Физико-математическое имитационное моделирование функционирования может
быть использовано также для исследования и оценки эффективности
функционирования при дуговых перемежающихся повреждениях токовых направленных
защит от ОЗЗ, а также защит, основанных на использовании электрических величин
непромышленной частоты (высших гармоник, токов и напряжений переходного
процесса при ОЗЗ, «наложенных» токов).
ЗАКЛЮЧЕНИЕ
В ходе работы над дипломом систематизированы теоретические знания по
основным дисциплинам, полученные в течение обучения. В дипломном проекте
предложена, разработана и обоснована система электроснабжения завода
низковольтного оборудования. При расчете были освещены следующие направления:
расчет силовых и осветительных нагрузок предприятия; технико-экономический
расчет и обоснования рационального уровня питающего напряжения системы и
оптимальной схемы внешнего электроснабжения; определено оптимальное
местоположение главной понизительной подстанции найдено методом определения
центра электрических нагрузок; осуществлен выбор силовых трансформаторов
главной понизительной и цеховых подстанций с учетом передаваемой мощностью и
требуемой категорией надежности электроснабжения; рассмотрен вопрос оптимизации
электроснабжения путем установки компенсирующих устройств; произведен выбор
высоковольтного коммутационного оборудования, с последующей проверкой по ранее
рассчитанным токам короткого замыкания; рассмотрен вопрос релейной защиты на
примере силовых трансформаторов главной понизительной подстанции; освещены
вопросы техники безопасности (рассчитано и проверено заземление и
молниезащита).
Список используемых источников
1. Правила
устройства электроустановок / 7-е изд., перераб. и доп. - Новосибирск: Сиб.
унив. изд-во, 2007.
2. Электротехнический
справочник в 2-х т. Т. 2 / Под ред. П.Г. Грудинского и др. - М.: Энергия, 1971.
. Справочная
книга для проектирования электрического освещения /Под ред. Г.М. Кнорринга. -
Л.: Энергия, 1976.
. Кнорринг
Г.М. Осветительные установки - Л.: Энергоиздат Ленинградского отделения, 1981.
. Справочник
по электроснабжению промышленных предприятий. Под общ.ред. А.А. Федорова и Г.В.
Сербиновского. В 2-х кн. - М., «Энергия», 1973.
. Смирнов
А.Д., Антипов К.М. Справочная книга энергетика. - 5-е изд., перераб. и доп. -
М., Энергоатомиздат, 1987.
. Электротехнический
справочник: В 3-х т. Т. 2 Электротехнические изделия и устройства / Под
общ.ред. профессоров МЭИ (гл. ред. И.Н. Орлов) - 7-е изд. - М.,
Энергоатомиздат, 1986.
. Князевский
Б.А., Липкин Б.Ю. Электроснабжение промышленных предприятий. - М., Высш. шк.,
1986.
. Справочник
по электроснабжению и электрооборудованию / Под общ.ред. А.А. Федорова. В 2-х
т. - М., Энергоатомиздат, 1986.
. Шабад
М.А. Максимальная токовая защита. - Л.: Энергоатомиздат, 1991.
. Шеховцов
В.П. «Расчёт и проектирование схем электроснабжения» - Москва, 2003.
. Гурин
Н.А., Янукович Г.И Электрооборудование промышленных предприятий и установок.
Дипломное проектирование: Учеб.пособие - Мн.: Высш. шк., 1990.