Модернизация электрослужбы промышленного предприятия
Аннотация
электрический подстанция нагрузка
Пояснительная записка содержит страниц, в том числе рисунков, таблиц,
источников. В данном проекте определена необходимость модернизации части
оборудования ЦРП-3, произведен анализ и выбор оборудования для расширения
возможностей подстанции, осуществлен расчет электрических нагрузок
потребителей, подключаемых к объекту электроснабжения, освещен расчет
послеаварийных режимов оборудования, приведены расчет технико-экономических
показателей, безопасности и экологичности данного проекта.
Данный проект позволит расширить возможности ЦРП-3, тем самым позволив
подключить потребителей вновь строящегося объекта и догрузить имеющиеся
трансформаторы рассматриваемой подстанции до необходимого показателя, повысить
надежности электроснабжения всех потребителей подстанции, а также снизить
трудовые затраты на периодическом обслуживании части оборудования ЦРП-3.
Введение
Основой развития российской энергетики является сооружение подстанции
(ПС) и электростанций большой мощности. Современная энергетика характеризуется
нарастающей централизацией производства и распределения электроэнергии.
Рациональное проектирование сетевых ПС всех типов и категорий и, в
частности, рациональное и экономическое построение главных электрических схем,
выбор параметров оборудования и аппаратуры, а также оптимальная их расстановка
представляет собой сложную и ответственную задачу.
В настоящее время развитие и усложнение систем электроснабжения,
возрастающие требования к экономичности и надежности их работы ставят задачу
повышения уровня проектно-конструкторских разработок, внедрения и рациональной
эксплуатации высоконадежного электрооборудования, снижения непроизводственных
расходов электроэнергии при ее передаче, распределении и потреблении, и
снижении затрат при проектировании, строительстве и эксплуатации объектов
электроснабжения.
Прогресс в технике, конкурентоспособные технологии выдвигают новые
требования к проектированию энергообъектов.
В виду того, что электрооборудование подстанции 10/6 кВ ЦРП-3 физически и
морально устарело, предполагается частичная ее реконструкция и модернизация.
При этом ставятся следующие задачи:
) Замена ячеек РУ-6 кВ в ЦРП-3;
) Замена масляных выключателей ВМП-10 и ВМП-6 на вакуумные с такими же
характеристиками.
Замена изношенных масляных и электромагнитных выключателей на вакуумные -
современные и долговечные - помогает продлить срок службы ячеек. К тому же в
условиях неблагоприятной экономической ситуации модернизация комплектных
распределительных устройств остается зачастую единственным средством повышения
надежности электроснабжения потребителей и переоснащения подстанционного
оборудования.
Сегодня из всех существующих типов выключателей вакуумные выключатели по
параметрам: высокой надежности, экологичности, обслуживания при эксплуатации,
диапазонам номинальных параметров и экономичности - являются наиболее
целесообразными к применению.
1. Основные сведения о предприятии
1.1 Краткая информация о предприятии
Официально днем рождения Орского НПЗ считается 24 декабря 1935 года.
декабря 1935 года состоялось совещание при председателе горсовета.
Повестка дня состояла из одного вопроса: «О готовности пуска крекинг завода и
приеме нефтепродукции».
А через неделю атмосферно-вакуумная трубчатка № 1 (АВТ-1) нового
предприятия города приняла первую нефть по новому нефтепроводу «Каспий - Орск».
Это было 24 декабря 1935 года. Этот день и стал днем рождения завода.
января 1936 года был получен первый орский бензин. А в 1939 году решением
правительства СССР заводу присвоено имя легендарного летчика Валерия Павловича
Чкалова.
В годы Великой Отечественной войны заводчане ежедневно совершали трудовые
подвиги, внося свой вклад в Победу.
В феврале 1976 года на базе НПЗ и завода синтетического спирта создано
одно из первых в стране производственное объединение «Орскнефтеоргсинтез».
Завод синтетического спирта производил продукцию для военно-промышленного
комплекса, для химико-фармацевтической промышленности, для изготовления
парфюмерии и косметики. В 1972 году абсолютированный изопропиловый спирт
получил государственный знак Качества. Это был первый химический продукт в
Оренбургской области, отмеченный таким образом.
Страницы истории нефтеперерабатывающего завода богаты событиями. В 1994
году акционерное общество «Орскнефтеоргсинтез» вошло в состав нефтяной компании
«ОНАКО».
Увеличилось количество технологических процессов, которыми оснащен завод.
Набор технологических процессов позволял выпускать около 30-ти видов
различной продукции. Это - бензин А-76 и АИ-95, топливо РТ для реактивных двигателей,
топливо дизельное зимнее и летнее, моторное для среднеоборотных и малооборотных
двигателей; масла для холодильных машин, индустриальные масла, авиационные,
компрессорные, моторные для автотракторных дизелей, битумы строительные и
дорожный и ряд других нефтепродуктов.
Помимо технологических цехов завод располагал огромным товарным парком,
эстакадами слива и налива, разветвленным и мощным набором вспомогательной
службы, в том числе и очистными сооружениями, обслуживающими все городское
хозяйство. Построенный в степи Орский нефтеперегонный завод, стал флагманом
промышленной индустрии Восточного Оренбуржья.
-го сентября 2000-го года Орский НПЗ вошел в состав Тюменской нефтяной
компании. 1 сентября 2003 года все предприятия Тюменской нефтяной компании вошли
в состав новой объединенной российско-британской компании ТНК-ВР - третьей
крупнейшей нефтегазовой компании России.
Новой вехой вошел в историю ОНОСа юбилейный 2005 год - год 70-летия со
дня образования. 22 декабря 2005 года ОАО «Орскнефтеоргсинтез» вошло в состав
вертикально-интегрированного нефтяного холдинга «РуссНефть», входящего в число
десяти крупнейших нефтегазовых компаний России.
Являясь базовым перерабатывающим предприятием компании
"РуссНефть", «Орскнефтеоргсинтез» производит высококачественную,
конкурентоспособную продукцию: автобензины, дизельное топливо, масла,
авиакеросин, битум, мазут.
Сегодня ОНОС по-прежнему градообразующее предприятие.
Производство развивается, улучшаются технологические процессы и условия
труда, ведется планомерная реконструкция и модернизация технологических
установок, выполняются инвестиционные проекты. Благодаря чему на заводе
добились значительных успехов по увеличению выпуска высокооктановых марок
автомобильного топлива, по выпуску дизельного топлива европейского качества,
улучшению качества масел, увеличению глубины переработки, снижению
безвозвратных потерь. Перспективы предприятия внушают оптимизм и уверенность в
завтрашнем дне.
.2
Характеристика исходного сырья и готовой продукции
Мощность завода по переработке нефти составляет 6,6 млн. тонн в год. В
состав предприятия входят 4 установки первичной переработки нефти, 2 установки
каталитического риформинга; установка гидроочистки керосина; установка
гидроочистки дизельного топлива; производство масел; битумное производство.
Набор технологических процессов позволяет выпускать около 30-ти видов
различной продукции. На рисунке 1 показан производственный процесс в ОАО
"Орскнефтеоргсинтез".
) Автобензины марки АИ-95, АИ-92, АИ-80
Автомобильные бензины в ОАО "Орскнефтеоргсинтез" изготавливают
с применением высокооктановых кислородосодержащих добавок, существенно
повышающих экологические и эксплуатационные характеристики топлива. В течение
последних лет спрос на высокооктановое топливо на рынке нефтепродуктов постоянно
повышается. В связи с этим ОАО "Орскнефтеоргсинтез" еще в 1999 году
приступило к выпуску бензина марки АИ-95. Уже в 2001 году было произведено 40,6
тысяч тонн этого вида топлива. В начале января 2002 года завод приступил к
реконструкции печного блока установки 35-11-300, на которой происходит процесс
выработки высокооктанового автомобильного бензина. Данная реконструкция
позволила увеличить выпуск высокооктанового автобензина, а также послужила
улучшению безопасности производственного процесса.
Рисунок 1 - Производственный процесс в ОАО "Орскнефтеоргсинтез"
) Дизельное топливо европейского стандарта с содержанием серы до 0,035 -
летнее, зимнее.
В феврале 2002 года Московским научно-исследовательским институтом нефтяной
промышленности ОАО "Орскнефтеоргсинтез" был выдан допуск на
производство дизельного топлива европейского стандарта. На сегодняшний день
Орский НПЗ имеет возможность поставлять на рынок (не только российский, но и
западный) дизельное топливо аналогичное европейскому по EN 590 с содержанием серы 0,035%.Кроме
этого вида топлива, Орский НПЗ выпускает топливо маловязкое судовое летнее.
) ОАО "Орскнефтеоргсинтез" выпускает базовые масла для
последующей выработки основных моторных и трансмиссионных масел.
) Мазут М-100, М-40 по ГОСТ 10585-99.
) Битум БН 70/30 (строительный), БНД 60/90 (дорожный), Битум БНДМ 80/120
разработан специально для резкоконтинентального климата, под заказ автодорожных
служб.
Продукция ОАО «Орскнефтеоргсинтез» реализуется на внутреннем рынке
России, преимущественно в ее центральных областях. Вместе с тем, география
поставок продукции ОНОС благодаря ее качеству и ассортименту охватывает всю
территорию Российской Федерации. Часть нефтепродуктов, производимых на
предприятии, экспортируются в страны ближнего и дальнего зарубежья.
.3 Структура производственного комплекса ОАО «Орскнефтеоргсинтез»
В структуру производственного комплекса входят следующие подразделения:
Цех № 1 «Первичная переработка нефти»- установки атмосферно- вакуумной
перегонки нефти: ЭЛОУ - АВТ, ЭЛОУ - АВТ - 3, ЭЛОУ - АВТ - 2, установка
атмосферной перегонки нефти ЭЛОУ - АТ - 5, производство нефтебитума 19 - 6М.
) ЭЛОУ - АВТ, ЭЛОУ - АВТ - 3, ЭЛОУ - АВТ - 2 - установки предназначены
для обезвоживания и обессоливания нефти и ее первичной переработки.
Сырье: сырая нефть, БГС.
Продукт: бензин прямой гонки - сырье установки 22- 4; авиационный керосин
- сырье для установки Л - 24 - Т - 6; дизельное топливо - сырье для установки
ЛЧ - 24 - 2000; масляные фракции - сырье для установок 37 - 1, 37 - 2, 37 - 4;
гудрон - сырье для установок 36 - 37, 19 - 6М, компонент товарного мазута - цех
10.
) ЭЛОУ - АТ - 5 - установка предназначена для обессоливания и
обезвоживания нефти и ее первичной переработки.
Сырье: сырая нефть, ловушечный продукт.
Продукт: бензин прямой гонки - сырье установки 22- 4; авиационный керосин
- сырье для установки Л - 24 - Т - 6; дизельное топливо - сырье для установки
ЛЧ - 24 - 2000; мазут - компонент товарного мазута - цех № 10.
) 19 - 6М - установка предназначена для получения битумов путем окисления
гудрона.
Сырье: гудрон.
Продукт: битум.
Цех № 2 « Каталитического риформирования, гидроочистки и четкой
ректификации»
Установки каталитического риформинга Л - 35 - 11 / 300 / 1, ЛГ - 35 - 11
/ 3000 / 2, гидроочистки Л - 24 - Т - 6, ЛЧ - 24 - 2000, четкой ректификации
бензинов прямой гонки 22 - 4, газофракционирующая установка 45 - 1, установка
по производству инертного газа, установка по производству азота.
) Л - 35 - 11 / 300 / 1, ЛГ - 35 - 11 / 300 / 2 - установки предназначены
для производства высокооктанового компонента бензина.
Сырье: бензиновые фракции прямой гонки.
Продукт: бензин каталитического риформинга - сырье цеха № 10.
) Л - 24 - Т - 6, ЛЧ - 24 - 200 - установка предназначена для
каталитической очистки нефтяных дистилляторов от сернистых, азотных и
кислородных соединений.
Сырье: авиационный керосин, дизельное топливо.
Продукт: топливо РТ; дизельное топливо.
) 22 - 4 - установка предназначена для четкой ректификации прямогонных
бензинов.
Сырье: прямогонный бензин, БГС.
Продукт: фракция 85 - 180 є С - сырье установок Л - 35 - 11 / 300 / 1, ЛГ
- 35 - 11 / 300 / 2; фракция НК - 62 є С - сырье установки 45 - 1; фракция 62 -
85 є С - сырье цеха № 10; фракция 180 - 250 є С - сырье установок Л - 24 - Т -
6, ЛЧ - 24 - 2000; головка стабилизации - сырье установки 45 - 1.
) 45 - 1 - газофракционирующая установка.
Сырье: сжиженные газы.
Продукт: топливный газ - топливная сеть; компонент бензина - сырье цеха №
10.
) Установка получения инертного газа.
Сырье: атмосферный воздух.
Продукт: инертный газ - для установок Л - 24 - Т - 6, ЛЧ - 24 - 2000.
) Установка получения азота.
Сырье: атмосферный воздух.
Продукт: азот - для Л - 35 - 11 / 300 / 1, ЛГ - 35 - 11 / 300 / 2.
Масляное производство:
установки деасфальтизации гудрона 36 - 2,3,
установки депарафинизации 39 - 1, 2, 4, 44;
установка 36 / 37 « Дуо - сол » - извлечение вязких масляных компонентов
из гудрона;
42 - 2 - установка контактной очистки масел отбеливающими глинами;
Участок приготовления масел.
1) установки 36 - 2, 36/ 37 - установки предназначены для извлечения
высоковязких масляных компонентов из тяжелого остатка.
Сырье: гудрон.
Продукт: высоковязкий масляный компонент, который направляется на участок
приготовления масел.
) установки 37 - 1, 2, 4 - установки предназначены для удаления
ароматических соединений и других нежелательных компонентов из масляных
фракций.
Сырье: масляные фракции.
Продукт: рафинат масляных фракций - сырье для установок 39 -1, 2, 4.
) установки 39 - 1, 2, 4 - установки предназначены для извлечения твердых
углеводородов из дистилятных и остаточных рафинатов.
Сырье: рафинат масляных фракций.
Продукт: депарафинизированный компонент, который направляется на участок
приготовления масел.
Цех № 10, Участок 1, 2, 3 - резервуарные парки сырья, присадок, готовой
продукции, эстакады слива сырья и налива готовой продукции, приготовление
бензинов.ЦЗЛ (Центральная заводская лаборатория) - топливная, масляная,
товарная.
2. Характеристика ЦРП-3
.1 Постановка задачи модернизации
В 2011 году вступит в действие технический регламент "О требованиях
к автомобильному и авиационному бензину, дизельному и судовому топливу, топливу
для реактивных двигателей и топочному мазуту" о введении в Российской
Федерации новых норм экологии - так называемых норм Евро-3. Суть данных норм
заключается в ужесточении состава вредных выбросов в атмосферу, содержащихся в
выхлопных газах автомобилей, работающих на углеводородном топливе. В частности
автомобилей, двигатели которых работают на бензине и дизельном топливе.
Казалось бы, что эта проблема целиком и полностью должна решаться
автопроизводителями. Но это глубокое заблуждение, так как основной продукт
горения в двигателях - это бензин и содержание в нем определенных веществ
напрямую влияет на экологию выброса. Следовательно, необходма дополнительная
обработка топлива, что в свою очередь влечет изменение процесса переработки
нефти.
Некоторые компоненты высокооктановых бензинов, в первую очередь катализат
риформинга, не могут быть использованы непосредственно в качестве товарного
бензина из-за недостаточной концентрации легких (пусковые) фракций. Поскольку
риформингу подвергают обычно фракцию бензина с началом кипения от 85 до 105°С
(а иногда и выше), протекающие при этом реакции гидрокрекинга не могут
обеспечить требуемое стандартом содержание легких фракций. С другой стороны, в
тяжелых фракциях катализата содержатся ароматические углеводороды С9 и выше (их
точка кипения от 152 до 176°С), способствующие повышению нагарообразования в
двигателях. Повышенное содержание ароматических углеводородов в бензинах
приводит также к увеличению концентрации, канцерогенных веществ в выхлопных
газах двигателей.
Таким образом, добавление легких бензиновых фракций к бензинам
риформинга, особенно полученным при жестком режиме, обеспечивает требуемый
фракционный состав и снижает концентрацию нагарообразующих ароматических
углеводородов. Естественно, что эти легкие компоненты должны обладать высоким
октановым числом, близким к октановому числу бензина риформинга. Этому условию
удовлетворяют легкие изопарафины (C5 - C8). Изопентан и изогексаны могут быть
получены методом каталитической изомеризации.
Перед предприятиями встала серьезная проблема по совершенствованию
процесса переработки и очистки топлива. Одни производители имели необходимые
объекты для становления процесса доочистки сырья, оставалось только возродить
их и наладить технологический цикл. Другим нефтепереработчикам предстояло
строительство новых объектов и внедрение их в основной цикл производства. А это
очень сложный процесс.
Таким путем и было решено пойти на ОАО «Орскнефтеоргсинтез» -
строительство новой установки изомеризации легких бензиновых фракций.
Сущностью изомеризации является каталитическое превращение легких
парафинов нормального строения в соответствующие изопарафины.
Наиболее ранние промышленные процессы изомеризации были предназначены для
увеличения ресурсов изобутана - сырья для производства алкилата, являющегося
высокооктановым компонентом авиационных бензинов. Первые промышленные установки
такого типа начали строить в годы II мировой войны. Сырьем служил н-бутан,
выделяемый из газов нефтепереработки. Процесс изомеризации н-бутана представлял
особый интерес для тех заводов, на которых отсутствовали установки
каталитического крекинга (газ каталитического крекинга богат изобутаном).
Катализатором изомеризации служил хлорид алюминия, активированный HCl и
используемый при мягком температурном режиме (90 - 120°С) и при повышенном
давлении в реакционной зоне. Обычно используют катализатор на основе платины.
Процесс протекает при 150 - 205 °С, 1,5 - 3,0 МПа и объемной скорости 3-5 ч-1
по жидкому сырью с циркуляцией водорода.
В послевоенные годы, в связи с резким падением спроса на авиационный
бензин, процесс изомеризации на некоторое время утратил свое значение. Однако
спустя несколько лет интерес к нему вновь пробудился из-за все возрастающих
требований к качеству автомобильных бензинов. Установки каталитического
риформинга стали практически непременным элементом нефтеперерабатывающего
завода. При получении сырья риформинга наиболее легкая часть прямогонного
бензина («головка») остается на заводе в виде компонента товарного бензина.
Однако подавляющая масса перерабатываемых нефтей характеризуется
низкооктановыми бензиновыми фракциями, и даже этот легкий бензин имеет обычно
невысокое октановое число, например бензин с началом кипения - 85 °С из
ромашкинской нефти имеет октановое число всего 63,4. Подвергая легкую фракцию
изомеризации, можно повысить ее октановое число на 15 - 20 единиц за счет
превращения н-парафинов в углеводороды изостроения.
Разработка и усовершенствование катализаторов платиновой группы,
применяемых для риформинга, позволили использовать катализаторы этого типа и
для процесса изомеризации. За счет применения платинового катализатора
оказалось возможным улучшить экономику процесса и повысить пропускную
способность отдельных установок.
Эксплуатация такого объекта требует достаточно больших технических и
энергетических затрат. А именно электроснабжение потребителей по высшей
категории безопасности и бесперебойности. На подобных объектах присутствует
достаточно много электропотребителей на разное напряжение и большой суммарной
мощностью потребления.
Чтобы обеспечить электроэнергией всех потребителей необходимого качества
и мощности следует построить новую комлектную трансформаторную подстанцию (КТП)
с понижающими трансформаторами 6/0,4 кВ суммарной мощностью потребления 1600
кВА на территории установки.
Но есть проблема с подключением КТП к заводской сети на 6 кВ - просто нет
физической возможности. Все трансформаторы заводских ТП с выходным напряжением
6 кВ загружены на всю мощность. Но есть возможность подключиться к ГПП, у
которой выходное напряжение 10 кВ. Для ее объединения с ТП установки
изомеризации необходимо строительство новой ТП с понижающими трансформаторами 10/6
кВ. Этот вариант крайне дорог и требует больших технических затрат.
В результате проведенного анализа заводской распределительной сети, была
найдена возможность подключить ТП установки изомеризации к ЦРП №3,
трансформаторы которой обеспечат необходимое выходное напряжение 6 кВ и
необходимую мощность потребителей новой установки. Достаточно провести на ЦРП
№3 легкую модернизацию, которая заключается в замене отходных ячеек РУ-6 кВ на
ячейки меньшего размера (по ширине). Это приведет к возможности подключить ТП
установки изомеризации и появлению новых шести резервных ячеек на 6 кВ.
Так же, в связи с тем, что почти все оборудования ЦРП-3 было выпущено в
60-х годах и не раз не производилась его замена, большая часть его морально и
физически устарела. Поэтому необходимо заменить наиболее его важные
составляющие. Таковыми являются масляные выключатели РУ-6 кВ и РУ-10 кВ. Их
замена на вакуумные также будет рассматриваться в данной работе.
2.2 Система электроснабжения
Электроснабжение потребителей ЦРП-3 осуществляется по двум КЛ-10 кВ
«Крекинг-V» и «Крекинг-VI» с подстанции «ОТЭЦ-1» через двухтрансформаторную
подстанцию ПС 10/6 кВ с трансформаторами мощностью по 15000 кВА, от которых
осуществляется питание секций РУ-6 кВ, и секций РУ-10 кВ. Трансформаторы типа ТМ-15000/10/6.
Установленная мощность электропотребления - 24130 кВА.
Электроснабжение основной производственной нагрузки осуществляется от
распределительных устройств, состоящих из двух секций шин 10 кВ и двух секций
шин 6 кВ, по десяти отходящим линиям КЛ-10 кВ, общей протяженностью 14 км, и
десяти КЛ-6 кВ, длинной 15,7 км.
Основными потребителями электроэнергии РУ-10 кВ являются:
- компрессорная установки инертного газа;
- газофракционирующая установка;
- паровая котельная;
- установка четкой ректификации
прямогонных бензинов;
- установка ЭЛОУ-АВТ.
Основными потребителями электроэнергии РУ-6 кВ
являются:
- установка производства высокооктанового компонента
бензина;
- установка по производству битумов;
- водоблок №1;
- установка ЭЛОУ-АВТ;
- установка ЭЛОУ-АВТ 2.
Все потребители относятся к I категории по надежности
электроснабжения.
Снабжение потребителей электроэнергией производится от двух независмых
источников питания. При исчезновении напряжения на одном из источников
производится автоматическое переключение на питание нагрузки от второго
источника. Переключение производится автоматическими выключателями резерва
(АВР). При срабатывании этих механических переключателей, время отсутствия
напряжения (период, в течение которого нагрузка остается без электропитания)
составляет 10-3000 мс.
2.3 Основное оборудование ЦРП-3
На подстанции ЦРП-3 10/6 кВ установлено следующее основное оборудование
выпуска шестидесятых годов:
- ячейки 4КВГ-10-630;
- ячейки 4КВГ-6-630;
- выключатели масляные МГГ 10- 2000;
- выключатели масляные МГГ 6- 2000;
- трансформаторы тока ТВЛМ-10;
- трансформаторы тока ТВЛМ-6;
- выключатели масляные ВМП-10;
- выключатели масляные ВМП-6;
- трансформаторы напряжения НАМИТ-10;
- трансформаторы напряжения НАМИТ-6;
- Т1 ТМ-15000/10/6;
- Т2 ТМ-15000/10/6.
.4 Расчет электрических нагрузок
Электрические нагрузки систем электроснабжения определяют для выбора
числа и мощности силовых трансформаторов, мощности и места подключения
компенсирующих устройств, выбора и проверки токоведущих элементов по условию
допустимого нагрева, расчета потерь, колебания напряжения и выбора защиты.
Для начала расчетов определим максимальную расчетную нагрузку.
Под максимальной нагрузкой понимают, наибольшее значение нагрузки
элементов системы электроснабжения, усредненное на интервале времени, за
которое температура этих элементов достигает установившегося значения. Для
графиков, длительность цикла которых не превосходит трех постоянных времени
нагрева элемента сети, расчетная нагрузка может быть принята равной эффективной,
т.е. среднеквадратичной нагрузке.
Определяя максимальную нагрузку производства, необходимо определить
нагрузки электроприемников цеха, участков, предполагая отсутствие источников
реактивной мощности в системе электроснабжения. Результаты расчета электрических
нагрузок используются как исходные данные для выбора числа и мощности силовых
трансформаторов с одновременным определением мощности и мест подключения
компенсирующих устройств.
Расчёт электрических нагрузок цеха производится методом упорядоченных
диаграмм, с применением коэффициента расчётной нагрузки /1, 121/
Модуль сборки узла питания m
определяется:
, (1)
где Pmax - максимальная номинальная мощность
электроприемника подключенного к узлу питания, кВт;
Pmin -
минимальная номинальная мощность электроприемника подключенного к узлу питания,
кВт.
Среднюю активную мощность для групп электроприемников
, кВт вычисляют по формуле:
, (2)
Среднюю реактивную мощность для групп электроприемников
, квар вычисляют по формуле:
, (3)
где
- коэффициент использования электроприемника;
- сумма номинальных мощностей электроприемников, кВт.
Средняя мощность для узла питания определяется суммированием средних
активных и реактивных мощностей групп электроприемников.
Средневзвешенные значения коэффициента использования
определяют по формуле:
. (4)
Средневзвешенные значения коэффициента реактивной мощности
определяют по формуле:
. (5)
Значение коэффициента расчетной нагрузки зависит от коэффициента
использования ки данной группы приемников и эффективного числа
электроприемников nэ, значение которого принимается в
зависимости от ки и модуля сборки m:
При ки
0,2 и m
3
nэ = n. (6)
При ки
0,2 и m
3
. (7)
Активную расчетную нагрузку Рр., кВт вычисляют по формуле:
. (8)
Расчетную реактивную нагрузку Qр, кВар вычисляют по формуле:
При nэ
10
Qр = 1,1∙ Qсм. (9)
При nэ
10
Qр = Qсм. (10)
Полную расчетную мощность
, кВА определяют:
. (11)
Пример расчета для установки №1:
Количество электроприемников: n =11
Установленная мощность:
кВт.
Сумма номинальных мощностей:
∑Pн= 727.5кВт.
Коэффициент использования для компрессорной установки Ки=
0,75, cosц/tanц: 0,5/1,73 /2, 781/
Средняя мощность:
Pсм=0,75∙727,5=545,62 кВт,
Qсм=545,62∙1,73=943,88 кВар.
Модуль сборки:
.
Суммарная мощность смены для установки:
∑Pсм= 545,62 кВт.
∑Qсм=943,88 кВар.
Эффективное число электроприемников:
.
Средневзвешенное значение коэффициента использования:
.
Средневзвешенное значение коэффициента реактивной мощности:
.
Коэффициент расчетной нагрузки для
и
Расчетная активная нагрузка:
кВт.
Расчетная реактивная нагрузка:
кВар.
Полная расчетная нагрузка:
кВА.
Расчетный ток:
А.
Расчет для остальных установок производится аналогично.
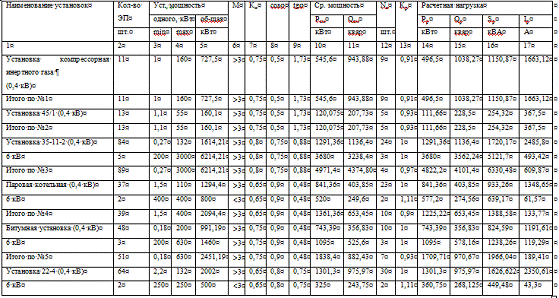
Результаты расчетов сводятся в таблицу 1.
Таблица 1- Расчет электрических нагрузок
3. Расчет токов короткого замыкания
Токи короткого замыкания (КЗ) рассчитывают для выбора и проверки
аппаратов и токоведущих частей на термическую и динамическую стойкость, для
выбора, при необходимости, устройств по ограничению этих токов, а также для
выбора и оценки устройств релейной защиты.
Расчётным является трёхфазное короткое замыкание, т.к. токи КЗ в этом
случае имеют максимальные значения. При расчётах токов КЗ принимаются
допущения/2/: все источники, участвующие в питании рассматриваемой точки КЗ,
работают одновременно и с номинальной нагрузкой; расчётное напряжение каждой
ступени схемы электроснабжения принимается на 5 % выше номинального значения;
короткое замыкание наступает в момент времени, при котором ударный ток КЗ будет
иметь наибольшее значение; не учитываются ёмкости, а следовательно, и емкостные
токи в воздушных и кабельных сетях; не учитываются токи намагничивания
трансформаторов; напряжение источников питания остаются неизменным.
Рисунок 2 - Расчетная схема для токов к. з.
Рисунок 3- Схема замещения
Исходные данные:
- SТЭЦ= 1600 МВА;
- ТМ-15000/10/6;
- Uк%=7,5%;
Задаёмся базисной мощностью и базисными напряжениями:
- Sб = 100 МВА;
- Uб1 = 10,5 кВ;
- Uб2 = 6,3 кВ;
Определяем базисный ток Iб, кА:
; (12)
кА;
кА.
Определяем сопротивления элементов схемы замещения в базисных единицах:
Сопротивление системы
определяется:
; (13)
.
Сопротивление линии
определяется:
, (14)
где хо = 0,08 - удельное индуктивное сопротивление линии,
Ом/км;
l1, l2- длина кабельной линии, км;
l1=
1,560 км;
l2=
1,490 км.
;
;
; (15)
.
Сопротивление трансформатора
определяется:
; (16)
;
; (17)
.
Результирующие сопротивления
определяются:
; (18)
;
; (19)
;
Расчетное время t, с,
для которого определяются токи к.з.:
t = tc.в + tр.з , (20)
где tc.в = 0,01 с - собственное время
срабатывания выключателя;
tр.з - время срабатывания релейной
защиты;
tр.з10 = 0,07 с;
tр.з6 = 0,06 с;
t10 = 0,01 + 0,07=0,08;
t6 = 0,01+0,06=0,07.
Периодическая составляющая тока к.з.
, кА определяется:
. (21)
Ударный ток
, кА определяется:
, (22)
где куд - ударный коэффициент/3,150/
куд10 = 1,65;
куд6 = 1,63.
Апериодическая составляющая тока к.з.
, кА определяется:
, (23)
где Та - постоянная времени затухания апериодической
составляющей тока КЗ, обычно Та находится в пределах (0,005 - 0,2)
с./3,150/
Тепловой импульс среднеквадратичного тока
, кА2с определяется:
, (24)
где tотк - время отключения
выключателя/3,206/
tотк
= 0,2 с.
Расчет для точки К1:
кА;
кА;
кА;
кА2с.
Расчет для точки К2:
кА;
кА;
кА;
кА2с.
4. Замена выключателей
.1 Назначение и область применения
Выключатель - это аппарат, предназначенный для отключения и включения
цепей высокого напряжения в нормальных и аварийных режимах.
Выключатель является основным коммутационным аппаратом в электрических
установках, он служит для отключения и включения цепи в любых режимах. Наиболее
тяжёлой и ответственной операцией является отключение токов короткого
замыкания.
.2 Условия эксплуатации и требования к надежности
Условия эксплуатации:
) выключатель предназначен для работы в районах умеренного, холодного (У)
климата, категории размещения 3.1 по ГОСТ 15150-69 и ГОСТ 15543.1-89;
) высота над уровнем моря до 1000 м;
3) верхнее значение температуры окружающего воздуха при эксплуатации плюс
50 єС;
) нижнее значение температуры окружающего воздуха при эксплуатации минус
10 єС;
) требования техники безопасности по ГОСТ 12.2.007.0-75, ГОСТ
12.2.007.3-75
Требования к надежности:
) ресурс по механической стойкости не менее 20 000 циклов В-tn-О, где tn
-произвольная пауза;
) ресурс по коммутационной стойкости при номинальном токе 1600 А - не
менее 20 000 циклов В-tn-О;
) ресурс по коммутационной стойкости при номинальном токе отключения - не
менее 100 операций О; из них 30 циклов В-О;
) срок службы до списания - 30 лет.
.3 Преимущества и недостатки
Так как масляные выключатели ВМП-10 и ВМП-6, которые в данный момент
эксплуатируются на ЦРП-3, физически и морально устарели, необходима их замена
на более современные. Для этого вполне подходят вакуумные выключатели. Основные
достоинства вакуумных выключателей, определяющие их широкое применение:
1) Высокая износостойкость при коммутации номинальных токов и номинальных
токов отключения. Число отключений номинальных токов вакуумным выключателем
(ВВ) без замены ВДК составляет 10-50 тыс. число отключений номинального тока
отключения - 20 - 200, что в 10 - 20 раз превышает соответствующие параметры
маломасляных выключателей.
) Резкое снижение эксплуатационных затрат по сравнению с маломасляными
выключателями. Обслуживание ВВ сводится к смазке механизма и привода, проверке
износа контактов по меткам 1 раз в 5 лет или через 5-10 тыс. циклов
«включение-отключение».
) Полная взрыво- и пожаробезопасность и возможность работы в aгрессивных
средах.
) Широкий диапазон температур окружающей среды, в котором возможна работа
ВДК.
) Повышенная устойчивость к ударным и вибрационным нагрузкам вследствие
малой массы и компактной конструкции аппарата.
) Произвольное рабочее положение и малые габариты, что позволяет
создавать различные компоновки распределительных устройств, в том числе и шкафы
с несколькими выключателями при двух -трехярусном их расположении.
) Бесшумность, чистота, удобство обслуживания, обусловленные малым
выделением энергии в дуге и отсутствием выброса масла, газов при отключении
токов КЗ.
) Отсутствие загрязнения окружающей среды.
) Высокая надежность и безопасность эксплуатации, сокращение времени на
монтаж.
К недостаткам ВВ следует отнести повышенный уровень коммутационных перенапряжении,
что в ряде случаев вызывает необходимость принятия специальных мер по защите
оборудования.
.4 Выбор выключателей
Выбор выключателей производится:
- по напряжению:
; (25)
- по длительному току:
; (26)
- по отключающей способности:
В первую очередь производится проверка на симметричный ток отключения:
, (27)
где
- действующее значение периодической составляющей тока
короткого замыкания в момент t начала расхождения дугогасительных контактов;
- номинальный ток отключения, кА.
Затем проверяется способность выключателя отключить асимметричный ток
короткого замыкания, т. е. полный ток короткого замыкания с учётом
апериодической составляющей:
, (28)
где
- апериодическая составляющая тока короткого замыкания в
момент расхождения контактов t;
- номинальное значение относительного содержания
апериодической составляющей в отключаемом токе короткого замыкания;
t - наименьшее время от начала короткого замыкания до момента расхождения
дугогасительных контактов.
, (29)
где
= 0.01 с - минимальное время действия релейной защиты;
- собственное время отключения выключателя.
На электродинамическую устойчивость выключатель проверяется по
предельному сквозному току короткого замыкания:
; (30)
; (31)
(32)
где
- начальное значение периодической составляющей тока
короткого замыкания в цепи выключателя;
- действующее значение предельного сквозного тока короткого
замыкания /4, 93/;
- ударный ток короткого замыкания в цепи выключателя;
- амплитудное значение предельного сквозного тока короткого
замыкания /4, 101/.
На термическую устойчивость выключатель проверяется по тепловому
импульсу:
(33)
где
- предельный ток термической устойчивости по каталогу;
- тепловой импульс по расчёту;
- длительность протекания тока термической устойчивости, с.
Проверка выключателей по параметрам восстанавливающегося напряжения
обычно не проводится.
Рассмотрим выбор выключателя на 10 кВ. Максимальный рабочий ток в линии
равен:
Выбираем вакуумный выключатель типа ВВ/TEL-10-20/630 У2 /5/ и производим его проверку:
- на симметричный ток отключения, кА:
кА;
- на способность выключателя отключать асимметричный ток к.з.:
с;
значение
=0,18 при
с определили из графика /4,80/
где I"= 13,1 кА;
²

кА;
;
- на электродинамическую устойчивость, кА:
=13,1
20 кА;
;
кА;
- на термическую устойчивость, кА2с:
.
Выбор выключателей 6 кВ производится таким же образом. Результаты выбора
выключателей на 10 и 6 кВ сведены в таблицу 2.
Таблица 2 - Выбор выключателей
|
ВВ/TEL-10-20/1000
|
|
Условие выбора
|
Расчётные данные
|
Каталожные данные 6(10) кВ
|
|
|
10 кВ
|
10 кВ
|
|
|
585 А
|
1000 А
|
|
|
13,1 кА
|
20 кА
|
|
|
=13,1, кА
|
20 кА
|
|
|
27,02 кА
|
51 кА
|
|
|
12,87 кА2с
|
800 кА2с
|
Вакуумные выключатели предназначены для коммутации электрических цепей
при нормальных и аварийных режимах в сетях трехфазного переменного тока с
изолированной нейтралью частоты 50 Гц. Вакуумные выключатели соответствуют
требованиям ГОСТ 687-78, ГОСТ 18397-86.
Внешний вид выключателя представлены на рисунке 4.
Замена изношенных масляных выключателей на вакуумные - современные и
долговечные - помогает продлить срок службы ячеек. К тому же в условиях
неблагоприятной экономической ситуации модернизация распределительных устройств
остается зачастую единственным средством повышения надежности электроснабжения
потребителей и переоснащения подстанционного оборудования.
Рисунок 4 - Внешний вид выключателя
5. Замена ячеек
В данный момент на ЦРП-3 ОАО «Орскнефтеоргсинтез» трансформаторы
загружены всего на 35 %. Их можно догрузить еще на 15 % процентов, чего вполне
хватило бы для потребителей установки изомеризации. Но к сожалению нет
физической возможности произвести подключение к РУ-6 кВ, так как все ячейки
данного распределительного устройства заняты.
Суть проекта сводится к тому, чтобы заменить существующие ячейки
распределительного устройства типа 4КВГ РУ- 6 кВ, которые имеют габаритные
размеры по ширине 1200 мм, на более современные и компактные с шириной ячейки
800 мм типа К-5900. Это позволит не только подключить потребителей установки
изомеризации, но и образовать резерв. Общий вид ячейки представлен на рисунке
5.
Рисунок 5 - Общий вид ячейки
.1 Общие сведения
Комплектные распределительные устройства (КРУ) типа К-5900 предназначены
для приема и распределения электрической энергии переменного трехфазного тока
промышленной частоты 50 Гц напряжением 6 и 10 кВ. Шкафы КРУ типа К-5900
предназначены для работы внутри помещения. Распределительные устройства
наружной установки комплектуются из ячеек К-5900, установленные в здании /6/.
Условия эксплуатации:
- климатическое исполнение У, категория размещения 1 по ГОСТ 15150;
- температура окружающего воздуха:
- для ячеек внутренней установки - не выше +40°С и не ниже
-25°С;
- для ячеек наружной установки - не выше +40°С и не ниже -60°С;
- высота над уровнем моря не более 1000 м;
- тип атмосферы II по ГОСТ 15150;
- окружающая среда - не взрывоопасная, не содержащая агрессивных газов и
паров в концентрациях, разрушающих металл и изоляцию.
.2 Основные технические данные КРУ
Технические данные:
- Наибольшее рабочее напряжение, кВ - 7,2
- Номинальный ток главных цепей ячеек КРУ при частоте 50 Гц, А
- 630
- Номинальный ток сборных шин при частоте 50 Гц, А - 1000
- Номинальный ток отключения выключателя, встроенного в КРУ при
частоте 50 Гц, кА - 20
- Номинальный ток электродинамической стойкости главных цепей
КРУ, кА - 51
- Ток термической при времени протекания 3с, кА -20
- Степень защиты по ГОСТ 14254:
для ячеек КРУ внутренней установки - IР20
- Безотказная работа при условии проведения техобслуживания и замены
аппаратуры, устанавливаемой в шкафах КРУ, лет, не менее 25
Габаритные размеры показаны на рисунке 6, мм:
- высота 2270;
- длина 1345;
- ширина 750;
- глубина выкатного элемента 600;
- ширина прохода сзади 800.
.3 Эксплуатация шкафов
Шкафы КРУ должны эксплуатироваться в соответствии с "Правилами
устройств электроустановок", "Правилами технической эксплуатации
электрических станций и сетей", "Правилами технической эксплуатации
электроустановок потребителей", "Правилами техники безопасности при
эксплуатации электроустановок потребителей", утвержденными
Госэнергонадзором, "Правилами техники безопасности при эксплуатации
электроустановок электрических станций и подстанций".
Шкафы КРУ должны соответствовать требованиям ГОСТ 12.2.007.0, ГОСТ
12.2.007.3, ГОСТ 12.2.007.4.
КРУ серии К-5900 поставляется заводом изготовителем в полностью собранном
виде, что обеспечивает возможность смонтировать КРУ на месте установки с
минимальными затратами труда и времени. В таблице 3 представлена замена ячеек.
- шкаф выкатного элемента (выключателя); 2 - отсек сборных шин;
- отсек ввода; 4 - релейный шкаф; 5 - канал выброса; 6 - клапан;
- выкатная тележка с выключателем; 8 - основание.
Рисунок 6 - Габаритные размеры ячейки К-5900
Таблица 3 - Замена ячеек
|
Номер ячейки
|
Наименование существующей ячейки
|
Наименование ячейки после модернизации
|
|
1
|
ТП- 9А (Битумная установка)
|
Резерв
|
|
2
|
РП- 5 (установка ЭЛОУ- АВТ)
|
Резерв
|
|
3
|
РП- 6 (установка 35-11-2)
|
Установка изомеризации
|
|
4
|
НТМИ-6
|
ТП- 9А (Битумная установка)
|
|
5
|
ТП -73
|
РП- 5 (установка ЭЛОУ- АВТ)
|
|
6
|
ТП- 38 (Водоблок №1)
|
РП- 6 (установка 35-11-2)
|
|
7
|
ТП- 26А, ТП- 47 (ЭЛОУ- АВТ-2)
|
НТМИ-6
|
|
8
|
Ввод 1
|
ТП -73
|
|
9
|
Секционный выключатель
|
ТП- 38 (Водоблок №1)
|
|
10
|
|
ТП- 26А, ТП- 47 (ЭЛОУ- АВТ-2)
|
|
11
|
Ввод 2
|
Ввод 1
|
|
12
|
ТП- 26А, ТП- 47 (ЭЛОУ- АВТ-2)
|
Секционный выключатель
|
|
13
|
РП- 5 (установка ЭЛОУ- АВТ)
|
|
|
14
|
ТП- 38 (Водоблок №1)
|
Ввод 2
|
|
15
|
НТМИ-6
|
ТП- 26А, ТП- 47 (ЭЛОУ- АВТ-2)
|
|
16
|
РП- 6 (установка 35-11-2)
|
РП- 5 (установка ЭЛОУ- АВТ)
|
|
17
|
Поселок
|
ТП- 38 (Водоблок №1)
|
|
18
|
ТП- 9А (Битумная установка)
|
НТМИ-6
|
|
19
|
|
РП- 6 (установка 35-11-2)
|
|
20
|
|
Поселок
|
|
21
|
|
ТП- 9А (Битумная установка)
|
|
22
|
|
Установка изомеризации
|
|
23
|
|
Резерв
|
|
24
|
|
Резерв
|
6. Релейная защита и автоматика трансформаторов
.1 Общие сведения о релейной защите
Все электроустановки оборудуются устройствами релейной защиты,
предназначенными для отключения защищаемого участка в цепи или 'элемента в
случае его повреждения, если это повреждение влечет за собой выход из строя
элемента или электроустановки в целом. Релейная защита срабатывает и тогда,
когда возникают условия, угрожающие нарушением нормального режима работы
электроустановки/7/.
В релейной защите электроустановок защитные функции возложены на реле,
которые служат для подачи импульса на автоматическое отключение элементов
электроустановки или сигнала о нарушении нормального режима работы
оборудования, участка электроустановки, линии и т. д.
Реле представляет собой аппарат, реагирующий на изменение какой-либо
физической величины, например тока, напряжения, давления, температуры. Когда
отклонение этой величины оказывается выше допустимого, реле срабатывает и его
контакты, замыкаясь или размыкаясь, производят необходимые переключения с помощью
подали или отключения напряжения в цепях управления электроустановкой.
К релейной защите предъявляют следующие требования:
- селективность (избирательность) - отключение только той минимальной части
или элемента установки, которая вызвала нарушение режима;
- чувствительность - быстрая реакция на определенные, заранее заданные
отклонения от нормальных режимов, иногда самые незначительные;
- надежность - безотказная работа в случае отклонения от нормального
режима; надежность защиты обеспечивается как правильным выбором схемы и
аппаратов, так и правильной эксплуатацией, предусматривающей периодические
профилактические проверки и испытания.
Необходимая скорость срабатывания реле определяется проектом в
зависимости от характера технологического процесса. Иногда для сведения до
минимума ущерба от возникших повреждений релейная защита должна обеспечивать
полное отключение в течение сотых долей секунды.
По своему назначению реле разделяют на реле управления и реле защиты.
Реле управления обычно включают непосредственно в электрические цепи и
срабатывают они при отклонениях от технологического процесса или изменениях в
работе механизмов. Реле защиты включают в электрические цепи через
измерительные трансформаторы и только иногда непосредственно. Они срабатывают при
неформальных или аварийных режимах работы установки. Реле характеризуется
следующими показателями:
- уставка - сила тока, напряжение или время, на которые отрегулировано
данное реле для его срабатывания;
- напряжение срабатывания - наименьшее или наибольшее
значение, при котором реле полностью срабатывает;
- напряжение (или ток) отпускания - наибольшее значение, при котором реле
отключается (возвращается в исходное положение); коэффициент возврата -
отношение напряжения (или тока) отпускания к напряжению (или току)
срабатывания.
По времени срабатывания различают реле мгновенного действия и с выдержкой
времени.
.2 Повреждения и ненормальные режимы работы трансформаторов
К повреждениям трансформаторов относят:
- междуфазные к.з. на выводах и в обмотках (последние возникают гораздо
реже, чем первые);
- однофазные к.з. (на землю и между витками обмотки;
- «пожар стали» сердечника.
К ненормальным режимам относятся:
- перегрузки, вызванные отключением, например, одного из параллельно
работающих трансформаторов. Токи перегрузки относительно невелики, и поэтому
допускается перегрузка в течение времени, определяемого кратностью тока
перегрузки по отношению к номинальному;
- возникновение токов при внешних к. з., представляющих собой опасность в
основном из-за их теплового действия на обмотки трансформатора, поскольку эти
токи могут существенно превосходить номинальные. Длительное прохождение тока
внешнего к. з. может возникнуть при неотключившемся повреждении на отходящем от
трансформатора присоединении;
- недопустимое понижение уровня масла, вызываемое значительным
понижением температуры я другими причинами.
Повреждения и ненормальные режимы работы предъявляют определенные
требования к устройствам автоматического управления трансформаторами,
рассматриваемые ниже.
.3 Продольная дифференциальная токовая защита трансформатора
Расчет защиты, выполненной с реле типа РНТ-565, производится в следующем
порядке:
) Определяются первичные токи для всех сторон защищаемого трансформатора,
соответствующие его номинальной мощности, Iном1, А:
Iном1=
, (34)
где Sнт- номинальная мощность
трансформатора, кВА;
Iном
вн1 =
=867 А;
Iном
нн1 =
=1445 А.
) Определяются коэффициенты трансформации трансформаторов тока Кт:
Кт=
; (35)
Кт вн =
=299;
Кт нн =
=289;
Кт вн=1000/5;
Кт нн=1000/5.
) Определяются вторичные токи в плечах защиты Iном2, А:
Iном2
=
, (36)
где Ксх- коэффициент схемы, зависящий от схемы соединения
трансформаторов тока;
Ксх=
- при схеме соединения трансформаторов тока в треугольник;
Ксх=1- при схеме соединения трансформаторов тока в звезду;
Кт - коэффициент трансформации трансформаторов тока,
установленных на соответствующей стороне трансформатора;
Iном
вн2 =
=7,49 А;
Iном
нн2 =
=7,22 А.
) Минимальный ток срабатывания защиты определяется по условию отстройки
от броска намагничивающего тока при включении ненагруженного трансформатора под
напряжение Iсзмин, А:
Iсзмин
=Кнд∙Iном1, (37)
где Кнд - коэффициент отстройки дифференциальной защиты от
бросков тока намагничивания.
Кнд=1,5 - для реле РНТ-565;
Iсзмин
=1,5∙865=1300
А.
) Определяются числа витков рабочей обмотки НТТ реле для основной стороны
10 кВ
Ток срабатывания реле на основной стороне Iс.р.осн, А:
Iс.р.осн=
; (38)
Iс.р.осн=
=11,24 А
Расчетное число витков обмотки НТТ реле для основной стороны wосн.расч:
wосн.расч=
, (39)
где Fс.р.- намагничивающая сила, А.
Fс.р.=100 А - для реле РНТ-565.
wосн.расч=
=8,9.
Принятое число витков обмотки НТТ реле для основной стороны: wосн=9.
Расчётное число витков рабочей обмотки НТТ реле для стороны 0,4 кВ wI.расч:
wI.расч=wосн∙
(40)
wI.расч=9∙
=5,9
Принятое число витков рабочей обмотки НТТ реле для стороны 0,4 кВ wI:
wI=wIур=6
Принимаются к использованию следующие числа витков: wIур=6 витков.
) Определяется ток срабатывания реле, отнесенный к основной стороне, Iс.р, А:
Iс.р.=
, (41)
Iс.р=
=11,24 А.
) Проверяется чувствительность дифференциальной защиты при коротком
замыкании в ее зоне; коэффициент чувствительности Кч:
Кч=
, (42)
где Iкмин - минимальное значение тока короткого
замыкания, приведенное к основной стороне.
Кч=
=77,13.
Так как полученный коэффициент чувствительности Кч>2,
требуемая чувствительность обеспечивается
Принимается к установке реле типа РНТ-565, предназначенное для
использования в схемах дифференциальной защиты силовых трансформаторов с
уставкой по току срабатывания Iс.р.= 2,56 А.
.4 Максимальная токовая защита трансформатора
На двухобмоточных трансформаторах МТЗ должна обеспечить отключение только
того выключателя, со стороны которого происходит короткое замыкание. На
двухобмоточном трансформаторе это достигается путем установки отдельных защит и
выбора выдержек времени. На трансформаторах мощностью более 1 МВА должна быть
предусмотрена МТЗ с комбинированным пусковым органом позволяет выбрать ток
срабатывания защиты Iс.з, А, без учета перегрузки
трансформаторов по условию
Расчет максимальной токовой защиты.
Исходные данные для расчета:
Значение токов короткого замыкания:
- на стороне 10 кВ Iкз=8,17 кА.
Максимально-токовая защита на стороне 10 кВ
Ток срабатывания защиты определяется по формуле Iс.з.,А:
(43)
Кн=0,9-1,1 для реле РТ-40;
Кв=0,6-0,8 для реле РТ-40;
Ксз=1 коэффициент самозапуска.
(44)
Находится ток срабатывания реле Icз,
А:
(45)
Коэффициент чувствительности Кч:
(46)
Т.к полученный коэффициент чувствительности К2 >1,5 требуемая
чувствительность обеспечена.
Выдержка времени МТЗ выбирается на ступень селективности ∆t
tm.мтз = tэл.макс + ∆t,
tm.мтз = 0,7с.
Принимается реле типа РТ-40 предназначенное для использования в схемах
МТЗ силовых тр-ров со следующей уставкой по току срабатывания 1,5-10 А
.5 Максимально токовая защита от перегрузки
Определяется ток срабатывания защиты Iсз, А:
, (47)
(48)
Находится ток срабатывания реле: А
(49)
Выбирается реле РТ-40, с пределами уставки на ток срабатывания от 1,5 до
6 А., реле времени типа РВ-142 с уставкой по времени tу=1,0-20с.
.6 Газовая защита трансформатора
Обмотки большинства трансформаторов помещены в бак, залитый маслом,
которое используется как для изоляции обмоток, так и для их охлаждения. При
возникновении внутри бака электрической дуги к. з., а также при перегреве
обмоток масло разлагается, что сопровождается выделением газа. Это явление и
используется для создания газовой защиты.
Защита выполняется с помощью газового реле, установленного в трубе,
соединяющей бак трансформатора с расширителем. Газовое реле состоит из кожуха и
двух расположенных внутри него поплавков, снабженных ртутными контактами,
замыкающимися при изменении их положения. Оба поплавка шарнирно укреплены на
вертикальной стойке. Один из них расположен в верхней части, а второй - в
центральной. При слабом газообразовании (газ скапливается в верхней частей
кожуха реле), а также при понижении уровня масла верхний поплавок опускается,
что приводит к замыканию его контактов. При бурном газообразовании потоки масла
устремляются в расширитель, что приводит к замыканию контактов обоих поплавков.
Контакты верхнего поплавка носят название сигнальных, а нижнего - основных
контактов газового реле.
Движение масла через газовое реле, вызванное к. з. внутри бака
трансформатора, обычно является толчкообразным: Поэтому замыкание основных
контактов может быть ненадежным (перемежающимся), что учитывается, при
выполнении схемы газовой защиты трансформатора. Достоинствами газовой защиты
являются простота выполнения, срабатывание при всех видах повреждения внутри
бака трансформатора, высокая чувствительность.
Однако газовая защита, естественно, не срабатывает при повреждениях вне
бака трансформатора. Поэтому она не может быть единственной основной защитой
трансформатора.
.7 Автоматика
Автоматическое включение резерва /8,170/ предназначено для восстановления
питания потребителей путем автоматического присоединения резервного источника
питания при отключении рабочего, приводящего к обесточению электроустановок
потребителей. Устройства АВР предусматривают в тех случаях, если при их
применении возможно упрощение релейной защиты, снижение токов КЗ и удешевление
аппаратуры за счет замены кольцевых сетей радиально-секционированными и т.п. На
рисунке 7 приведена принципиальная схема устройства АВР трансформатора.
В исходном положении выключатели Q1, Q2, Q4 включены, Q3 отключен;
промежуточное реле KL (реле однократного действия) получает питание. При КЗ в
рабочем трансформаторе T1 под действием защиты отключаются выключатели Q1, Q2.
При отключении Q1 его вспомогательный замыкающий контакт SQ1.2. разрывает цепь
катушки реле KL1. Размыкающий вспомогательный контакт SQ1.1 подает «+» на реле
KL2, которое включает выключатель Q3, воздействуя на катушку включения YAC3
привода выключателя Q3.
Если шины ПС1 останутся без напряжения, то Q1 и Q2 не отключатся и
устройство АВР не подействует. Чтобы оно подействовало, имеется специальный
пусковой орган минимального напряжения (KV1, KV2, KT1, KL3). В этом случае
срабатывают реле минимального напряжения KV1, KV2 и подают питание на реле
времени KT1. С выдержкой времени срабатывает реле KT1 и , воздействуя с помощью
промежуточного реле KL3 на отключающие катушки YAT1 и YAT2 приводов
выключателей Q1 и Q2, производит отключение этих выключателей. Далее схема
работает аналогично описанному выше.
По истечении выдержки времени замыкающий контакт реле KL1.3 размыкается и
катушка KL2 теряет питание.
Если резервный трансформатор Т2 был включен устройством АВР на устойчивое
КЗ, то он отключится своей защитой и повторного его включения не произойдет
(реле KL1 обеспечивает однократность действия устройства АВР).
Рисунок 7 - Принципиальная схема устройства АВР
7. Организация строительства установки изомеризации легких фракций
.1 Место размещения ТП
Место размещения подстанции выбирается вблизи центра
электрических нагрузок.
Подстанция должна располагаться, как правило:
- на незатопляемых местах и участках,
не подверженных размывам, оползням, обвалам и др.
- на площадках, рельеф которых не
требует трудоемких и больших планировочных работ, дорогостоящих оснований и
фундаментов зданий и сооружений.
Важным требованием при размещении ТП является обеспечение удобных заходов
КЛ.
.2 Общие указания по строительству ТП
В проекте приняты фундаменты на естественном основании. Основанием
фундаментов служит слой ИГЭ-3.
Насыпной грунт состоит из щебня, строймусора, суглинка. Мощность слоя
0.5-3.9 м.
ИГЭ-3: Суглинок серовато- зеленый, от твердого до тугопластичного,
непросадчный. Мощность слоя 3.0-10.0 м.
Нормативная глубина сезонного промерзания:
- для насыпных грунтов- 2.44 м;
- для суглинков - 1.65 м.
Степень агрессивного воздействия на бетон W8- неагрессивная.
Железобетонные и бетонные конструкции разработаны в соответствии с
требованиями СНиП 2.03.01-84 «Бетонные и железобетонные конструкции».
Изготовление бетонных конструкций производить в соответствии с
требованиями глав СНиП 3.03.01-87 «Несущие и ограждающие конструкции».
Контроль за качеством бетона выполнять в соответствии с ГОСТ 10180-90
«Бетоны. Методы определения прочности на сжатие и растяжение». Величина
отпускной прочности бетона должна быть проектной.
Производство работ по возведению фундаментов вести в соответствии с
требованиями глав СНиП 3.02.01-87 «Земельные сооружения, основания и
фундаменты».
Для монолитных железобетонных конструкций принят бетон класса В15 по
прочности; F75 по морозостойкости; W8 по водонепроницаемости. В качестве
вяжущего использовать сульфатостойкий портландцемент. В качестве мелкого
заполнителя использовать кварцевый песок (отмучиваемых частиц не более 1% по
массе по ГОСТ 26633-91), в качестве крупного заполнителя- фракционированный
щебень изверженных пород, гравий и щебень из гравия, отвечающий требованиям
ГОСТ 26633-91 «Бетоны тяжелые и мекозернистые. Технические требования». Марка
щебня не ниже 800, гравия и щебня из гравия- не ниже Др12. Воду для затворения
бетонной смеси применять в соответствии с требованиями ГОСТ 23732-79.
В качестве рабочей арматуры принята арматура по ГОСТ 5781-82 класса А-1;
А-3.
Сварку арматурных стержней выполнять согласно РТМ 393-94 «Руководящие
технологические материалы по сварке и контролю качества соединений арматуры и
закладных изделий железобетонных конструкций», ГОСТ 10922-90 «Арматура и закладные
изделия, сварные. Соединения сварные арматуры и закладных изделий
железобетонных конструкций. Общие технические условия», ГОСТ 14098-91
«Соединения сварные арматуры и закладных изделий железобетонных конструкций.
Типы, конструкции и размеры».
Электроды принимать по ГОСТ 9467-75.
Под фундаментами выполнить бетонную подготовку из бетона класса В12.5, W8 толщиной 100 мм, с выносом за
пределы фундаментов на 100 мм в каждую сторону бетона В12.5.
Бетонирование фундаментов вести с тщательным послойным вибрированием
бетона.
Обратную засыпку выполнять среднезернистым песком, равномерными слоями
(200- 300 мм), с послойным уплотнением до получения коэффициента уплотнения
К=0,95.
.3 Климатические и геологические условия
Климатические условия района строительства и эксплуатации:
- район строительства: г. Орск, Оренбургской области;
- температура воздуха наиболее холодной пятидневки: -34 єС;
- сейсмичность менее: 6 баллов;
- нормативная глубина промерзания грунта для суглинков и глины:
165 см;
- расчетное значение веса снегового покрова- 2.4 кПа (240
кгс/мІ);
- нормативное значение ветрового давления- 0.38 кПа (38
кгс/мІ).
Инженерно-геологические данные приняты в соответствии с «Технологическим
отчетом по инженерно- геологическим изысканиям», договор №6265/1, ЗАО «ОРЕНБУРГТИСИЗ»
Орская комплексная экспедиция, г. Орск, 2007г.
Площадка строительства находится в пределах высокой надпойменной террасы
р. Урал, переходящий в коренной склон отрогов Южного Урала на месте ранее
снесенных производственных сооружений. Поверхность спланирована и покрыта
асфальтом.
Осложняющие факторы:
) расположение площадки на территории демонстрируемой установки;
) верховодка на глубине 1,5-2,0 м, образованная за счет инфильтрации
талых и поверхностных вод сквозь толщу насыпного грунта (щебень, строймусор) и
аккумулированных на кровле суглинка, послужившей водоупором;
) смешивание воды с технологическими продуктами;
) повсеместное распространение горизонта нефтепродуктов к кровле
древесных грунтов на глубинах 4,9-7,5 м.
Техногенные факторы:
1) обводнение с постепенным повышением уровня водоносного горизонта;
2) загрязнение верхней толщи грунтов нефтепродуктами.
Подземные воды на участке изысканий встречены на глубине 1,5-2,0 м, что
соответствует абсолютным отметкам 224,33-223,63 м (устоявшийся уровень).
Подземные воды носят локальный характер распространения, что позволяет отнести
их к типу «верховодка».
По водородному показателю РН вода- среда слабощелочная. По химическому
составу воды слабосолоноватые с минерализацией 1656 мг/дмі, жесткие. По отношению
к бетону нормальной проницаемости на портландцементах по ГОСТу 101,78-85
подземные воды не обладают никакими видами агрессивности. По отношению к
арматуре железобетонных конструкций по содержанию хлоридов и сульфатов в
пересчете на хлориды- воды неагрессивны.
При выполнении земляных работ не допускается размыв, размягчение,
разрыхление, промерзание грунтов основания. Выемку последнего слоя грунта
толщиной 150 мм выполнить вручную непосредственно перед устройством и заливкой
фундаментов.
В случае появления грунтовых вод и нефтепродуктов необходимо
предусмотреть мероприятия по их понижению.
8.