Расчет на прочность сечений крыла

  • Вид работы:
    Дипломная (ВКР)
  • Предмет:
    Другое
  • Язык:
    Русский
    ,
    Формат файла:
    MS Word
    1,35 Мб
  • Опубликовано:
    2013-03-15
Вы можете узнать стоимость помощи в написании студенческой работы.
Помощь в написании работы, которую точно примут!

Расчет на прочность сечений крыла

1. Расчёт аэродинамических характеристик самолёта типа Ан-124-100

Исходными данными для расчета в программе Aircraft aerodynamics являются геометрические параметры самолётов, приведенные в таблице, и расчетные числа Маха. Расчет следует выполнять для высот Н=0 и Н=11000 м.

С помощью данной программы были определены такие аэродинамические характеристики самолета:

) Геометрические параметры и аэродинамические характеристики:

изолированного фюзеляжа;

изолированного крыла;

изолированного вертикального оперения;

изолированных м/гондол.

) Коэффициент лобового сопротивления самолета при Cya=0.

) Подъемная сила частей самолета в СКС.

) Производная dCy/dAl и угол Alfa0 самолета c горизонтальным оперением.

) Продольный момент и положение фокуса частей самолета в СКС.

) Производная dMz/dAl и положение фокуса Xf/Lf самолета c горизонтальным оперением.

В качестве исходных данных приняты следующие обозначения:

. Геометрические параметры, характеризующие изолированное крыло, составленное из консолей, имеют индекс «к», соответственно для изолированного горизонтального оперения индекс «г. о.», вертикального оперения - «в. о.»

 - площадь крыла с подфюзеляжной частью (характерная площадь самолёта);

- площадь консолей крыла;

- площадь под фюзеляжной части крыла;

 - размах крыла с подфюзеляжной частью;

- размах консолей крыла;

 - размах горизонтального оперения;

 - высота вертикального оперения;

 - корневая хорда крыла (оперения);

 - концевая хорда крыла (оперения);

 - сужение крыла (оперения);

 - относительная толщина профиля;

 - площади консолей оперения в плане;

 - относительные площади консолей оперения;

 - удлинение крыла (оперения);

 - удлинение вертикального оперения;

 - угол стреловидности крыла (оперения) по линии половины хорд;

 - относительная высота консолей крыла;

 - относительная высота консолей горизонтального оперения;

Тип горизонтального оперения задаётся в таблице исходных данных буквенными обозначениями: а - традиционное (палубное) оперение, б - Т - образное оперение.

. Геометрические параметры, характеризующие изолированный фюзеляж имеют индекс «ф», причём для носовой части индекс «нос», для цилиндрической - «цил», ддя кормовой - «кор».

 - относительная площадь миделя фюзеляжа;

 - площадь максимального поперечного сечения фюзеляжа (площадь миделя); - диаметр цилиндрической части фюзеляжа;

 - удлинение фюзеляжа или, соответственно, носовой, цилиндрической и кормовой частей фюзеляжа.

 - угол отклонения кормовой части фюзеляжа.

. Параметры, характеризующие гондолы двигателя.

 - относительный диаметр гондолы двигателя;

 - относительная высота гондолы двигателя над крылом;

 - удлинение гондолы двигателя, где  - длина гондолы двигателя;

 - относительное расстояние гондол двигателя от оси симметрии самолёта;

 - относительное расстояние гондол двигателя от носка местной хорды крыла.

. Заданы относительные расстояния крыла, горизонтального оперения ; ; характеризующие взаимное расположение частей самолёта. Длины , , указаны на схеме самолёта (рис. 1.1).

.1 Исходные данные

Для расчёта на компьютере необходимо:

I. Войти в программу Aircraft aerodynamics.

II. 1. Ввести заданные высоты и числа Маха. (Перед окном «Количество чисел Маха» кликнуть не проявленный квадрат, и появятся 8 чисел Маха).

. Ввести количество высот 2.

. Ввести тип самолёта и схему самолёта.

. Ввести № группы, фамилию, имя.

. Характерную площадь - площадь крыла с подфюзеляжной частью вводить не нужно, она введётся позже автоматически после введения геометрических параметров крыла.

Ввести требуемые геометрические параметры самолёта. В случае отсутствия требуемого параметра на схеме вычислить его дополнительно или назначить самостоятельно.

III. В разделе «Фюзеляж»

. В подразделе «Общие геометрические данные» ввести параметры

Длина фюзеляжа .

Диаметр миделя фюзеляжа .

Воздухозаборников нет.

Относительная площадь фюзеляжа.

Удлинение фюзеляжа, удлинение фонаря.

. В подразделе «Носовая часть» ввести параметры

Длина носовой части фюзеляжа ,

Диаметр носовой части фюзеляжа ,

Фома образующей носовой части (приведен набор вариантов).

Угол отклонения носовой части вниз.

Удлинение носовой части.

Сужение носовой части.

Относительная площадь центрального тела.

. В подразделе «Кормовая часть» ввести параметры

Длина кормовой части фюзеляжа ,

Диаметр кормовой части фюзеляжа ,

Фома образующей кормовой части (приведен набор вариантов).

Угол отклонения кормовой части вверх.

IV. В разделе «Мотогондолы» ввести параметры

. В подразделе «Общие геометрические данные» ввести параметры (те параметры, которые не вбиваются, в последствии будут вычислены автоматически)

Расположение мотогондол (приведен набор вариантов).

Количество мотогондол.

Длина мотогондолы ,

Диаметр миделя мотогондолы ,

Диаметр центрального тела.

Расстояние от оси фюзеляжа.

Относительная площадь мотогондолы.

Удлинение мотогондолы.

Расстояние от носка фюзеляжа.

Смещение гондолы вперёд (назад).

Смещение гондолы вверх (вниз).

Расстояние между гондолами.

. В подразделе «Дополнительные данные»

Тип двигателя: ТРД

V. В разделе «Крыло»

. В подразделе «Геометрические данные» ввести параметры

Центральная хорда крыла (крыла с подфюзеляжной частью) .

Концевая хорда крыла .

Полный размах крыла (крыла с под фюзеляжной частью) .

Размах одной консоли крыла .

Стреловидность по передней кромке крыла .

Угол крутки в концевом сечении крыла .

Бортовая хорда крыла .

Средняя хорда крыла .

Относительная площадь крыла.

В п. Площадь крыла с подфюзеляжной частью кликнуть не проявленный квадрат и площадь вычислится автоматически.

. В подразделе «Параметры профиля» ввести параметры

Относительная толщина профиля крыла в бортовом сечении .

Относительная толщина профиля крыла в концевом сечении .

Положение относительной толщины профиля .

Относительная кривизна профиля крыла в концевом сечении .

Относительная кривизна профиля крыла в бортовом сечении .

Положение относительной кривизны профиля .

Тип профиля.

. В подразделе «Расположение крыла» ввести параметры

Расстояние от носка фюзеляжа до вершины центральной хорды.

Угол установки крыла.

Диаметр фюзеляжа.

Смещение крыла.

Параметр .

. В подразделе «Концевые элементы» ввести параметры

Если у самолёта имеются концевые элементы, ввести их параметры.

VI. В разделе «Горизонтальное оперение» (го)

. В подразделе «Геометрические данные» ввести параметры

Центральная хорда го ,

Концевая хорда го ,

Полный размах го (го с подфюзеляжной частью) ,

Размах одной консоли го ,

Стреловидность по передней кромке го ,

Расстояние от носка фюзеляжа до носка центральной хорды го,

Превышение го над крылом

Бортовая хорда го ,

Средняя хорда го ,

Относительная площадь го

. В подразделе «Параметры профиля» ввести параметры

Относительная толщина профиля го в бортовом сечении ,

Относительная толщина профиля го в концевом сечении ,

Положение относительной толщины профиля .

. В подразделе «Расположение оперения» ввести параметры

Тип оперения (Т-образное или нет.

Угол установки горизонтального оперения.

Диаметр фюзеляжа.

Смещение оперения.

Параметр .

VII. В разделе «Вертикальное оперение» (во)

. В подразделе «Геометрические данные» ввести параметры

Бортовая хорда во ,

Концевая хорда во ,

Размах во (высота консоли) ,

Стреловидность по передней кромке во ,

Аэродинамическая компоновка (приведен набор вариантов)

. В подразделе «Параметры профиля» ввести параметры

Относительная толщина профиля го в бортовом сечении ,

Относительная толщина профиля го в концевом сечении ,

Положение относительной толщины профиля .

Тип профиля (приведен набор вариантов).

VIII. В разделе «Прочее»

. В подразделе «Конструктивные элементы»

Принять дополнительное сопротивление 5 - 20%

После ввода исходных данных:

1. В левом верхнем углу экрана поставить курсор на третью справа немую кнопку.

. Появится надпись «Общий вид самолёта». Кликнуть эту кнопку. Появится схема самолёта.

. Проверить схему и при необходимости внести в неё исправления.

. В левом верхнем углу поставить курсор на вторую справа немую кнопку. Появится надпись «Выполнить расчёт аэродинамических характеристик самолёта» Кликнуть эту кнопку.

. Если на экране мелькают цифры, значит расчёт выполняется.

. Сохранить результаты в папке «Aircraft aerodynamics (Программа расчёта…)»

. Распечатать результаты или переписать их на носитель.

. Построить графики:

-  для расчётной высоты полёта.

 для расчётной высоты полёта.

 для расчётной высоты и числа Маха.

Поляру самолёта  для расчётной высоты и числа Маха полёта.

Коэффициент отвала поляры  для расчётной высоты полёта.

Положение фокуса  для расчётной высоты полёта.

Рисунок 1.1. Схема самолета Ан-124-100

.2 Результаты расчета

Тип самолета: дозвуковой неманевренный. Cхема: обычная. Площадь Sh=678.391ф=69.100 Dф= 8.060 Lmф= 8.573 Smф=51.022 Sotф=0.0752 Fб/Sм=29.671 M*=0.905н= 8.060 Dн= 0.000 Lmн= 1.000 Etн= 0.000 Betн= 8.000 Форма: эллипсоидальнаяк=22.000 Dк= 0.000 Lmк= 2.730 Etк= 0.000 Betк=10.000 Форма: криволинейная

Воздухозаборник - отсутствует Sвз= 0.000 Sцт= 0.000 Sцтот=0.0000

Фонарь Lфон= 0.000 Sфон= 0.000

Профильное сопротивление изолированного фюзеляжа=0.20 M=0.30 M=0.40 M=0.50 M=0.60 M=0.70 M=0.80 M=1.20

Точка Xt 0.11660 0.11347 0.11219 0.11163 0.11142 0.11139 0.11146 0.11218= 0.0 0.05772 0.05573 0.05452 0.05367 0.05300 0.05242 0.05189 0.04984=10.0 0.06592 0.06354 0.06208 0.06103 0.06021 0.05950 0.05884 0.05636

Дополнительное профильное сопротивление изолированного фюзеляжа

M=0.20 M=0.30 M=0.40 M=0.50 M=0.60 M=0.70 M=0.80 M=1.20= 0.0 0.05127 0.05194 0.05237 0.05268 0.05293 0.05315 0.05336 0.10323=10.0 0.04880 0.04947 0.04990 0.05021 0.05046 0.05069 0.05090 0.09846

Волновое сопротивление изолированного фюзеляжа и его частей M*=0.905=0.20 M=0.30 M=0.40 M=0.50 M=0.60 M=0.70 M=0.80 M=1.20

Носовая 0.48546

Кормовая 0.10671

Фюзеляж 0.59217

Дополнительное волновое сопротивление изолированного фюзеляжа=0.20 M=0.30 M=0.40 M=0.50 M=0.60 M=0.70 M=0.80 M=1.20

.00000

Производная dCy/dAl изолированного фюзеляжа и его частей Alfa0= 1.56=0.20 M=0.30 M=0.40 M=0.50 M=0.60 M=0.70 M=0.80 M=1.20

Носовая 2.0000 2.0000 2.0000 2.0000 2.0000 2.0000 2.0000 2.1528

Цилидрич 0.4848

Кормовая -0.4000 -0.4000 -0.4000 -0.4000 -0.4000 -0.4000 -0.4000 -0.4000

Фюзеляж 1.6000 1.6000 1.6000 1.6000 1.6000 1.6000 1.6000 2.2376

Положение фокуса Xf фюзеляжа и его частей в долях длины фюзеляжа относительно носка=0.20 M=0.30 M=0.40 M=0.50 M=0.60 M=0.70 M=0.80 M=1.20

Носовая 0.0000 0.0000 0.0000 0.0000 0.0000 0.0000 0.0000 0.0000

Цилидрич 0.2036

Кормовая 0.8408 0.8408 0.8408 0.8408 0.8408 0.8408 0.8408 0.8408

Фюзеляж -0.2102 -0.2102 -0.2102 -0.2102 -0.2102 -0.2102 -0.2102 -0.1062

B0=14.840 Bб=13.667 Bk= 3.670 Bs= 8.668 L= 73.300 Lk=32.800 Fikр= 0.00

Ba= 9.629 Xa= 4.384 (без наплыва)=568.641 Sот=0.8382 Lm= 7.568 Et= 3.724 (без наплыва)= 33.5 Xi05= 27.0 Xi10= 19.7 Xic= 29.7 Xi25= 30.4 (без наплыва)

Тип профиля - классический Kp= 2.1 m= 0.350

Сб= 0.120 Сk= 0.120 С= 0.120 Xc= 0.300 f= 0.000 Xf= 0.000 M*=0.808=17.720 XBb=20.268 Fi= 0.000 расстояние от носка фюзеляжа и угол установки=23.685 D14= 7.700 X12=27.102 D14= 7.700

Компоновка - крыло + фюзеляж круглого сечения Kint= 0.066ф= 7.700 H= 3.660 Sig=0.105

Концевые элементы - отсутствуют

Коэффициент торможения потока перед крылом=0.20 M=0.30 M=0.40 M=0.50 M=0.60 M=0.70 M=0.80 M=1.20= 0.0 1.00000 1.00000 1.00000 1.00000 1.00000 1.00000 1.00000 0.89226=10.0 1.00000 1.00000 1.00000 1.00000 1.00000 1.00000 1.00000 0.89226

Профильное сопротивление изолированного крыла

M=0.20 M=0.30 M=0.40 M=0.50 M=0.60 M=0.70 M=0.80 M=1.200.18134 0.17284 0.16879 0.16670 0.16564 0.16519 0.16513 0.00000

H= 0.0 0.00504 0.00476 0.00457 0.00441 0.00428 0.00416 0.00406 0.00475=10.0 0.00583 0.00551 0.00529 0.00510 0.00495 0.00481 0.00468 0.00546

Волновое сопротивление изолированного крыла M*=0.808=0.20 M=0.30 M=0.40 M=0.50 M=0.60 M=0.70 M=0.80 M=1.20

.08114

Производная dCy/dAl изолированного крыла Alfa0= 0.00=0.20 M=0.30 M=0.40 M=0.50 M=0.60 M=0.70 M=0.80 M=1.20

.7996 3.8629 3.9577 4.0916 4.2776 4.5389 4.9205 5.2818

Положение фокуса Xf крыла в долях бортовой хорды относительно носка бортовой хорды=0.20 M=0.30 M=0.40 M=0.50 M=0.60 M=0.70 M=0.80 M=1.20

.8135 0.8135 0.8135 0.8135 0.8135 0.8135 0.8135 0.9923

B0= 9.450 Bб= 8.449 Bk= 3.660 Bs= 6.055 L= 25.800 Lk=10.670

Ba= 6.370 Xa= 1.807 (без наплыва)=129.204 Sот=0.1905 Lm= 3.525 Et= 2.308 (без наплыва)= 38.0 Xi05= 29.1 Xi10= 18.3 Xic= 32.9 Xi25= 33.8 (без наплыва)

Тип профиля - классический Kp= 2.1 m= 0.350

Сб= 0.120 Сk= 0.120 С= 0.120 Xc= 0.300 f= 0.000 Xf= 0.000 M*=0.816=53.190 XBb=54.930 Fi= 0.000 расстояние от носка фюзеляжа и угол установки

X14=57.043 D14= 4.460 X12=59.155 D14= 4.460=23.833 B1=12.534 Xgo=33.358 Ygo= 0.000 S*/Sk= 0.740

Компоновка - г.о. + фюзеляж круглого сечения Kint= 0.150ф= 4.460 H= 0.000 Sig=0.173

Концевые элементы - отсутствуют

Коэффициент торможения потока перед горизонтальным оперением

M=0.20 M=0.30 M=0.40 M=0.50 M=0.60 M=0.70 M=0.80 M=1.20= 0.0 0.96020 0.96076 0.96097 0.96100 0.96089 0.96069 0.96039 0.90801=10.0 0.95720 0.95778 0.95802 0.95805 0.95795 0.95774 0.95744 0.90478

Профильное сопротивление изолированного горизонтального оперения=0.20 M=0.30 M=0.40 M=0.50 M=0.60 M=0.70 M=0.80 M=1.200.00000 0.00000 0.00000 0.00000 0.00000 0.00000 0.00000 0.00000= 0.0 0.00661 0.00624 0.00599 0.00580 0.00563 0.00549 0.00536 0.00492=10.0 0.00776 0.00729 0.00698 0.00674 0.00654 0.00636 0.00620 0.00568

Волновое сопротивление изолированного горизонтального оперения M*=0.816=0.20 M=0.30 M=0.40 M=0.50 M=0.60 M=0.70 M=0.80 M=1.20

.06210

Производная dCy/dAl изолированного горизонтального оперения Alfa0= 0.00=0.20 M=0.30 M=0.40 M=0.50 M=0.60 M=0.70 M=0.80 M=1.20

.9474 2.9829 3.0354 3.1082 3.2067 3.3397 3.5235 3.8230

Положение фокуса Xf горизонтального оперения в долях бортовой хорды=0.20 M=0.30 M=0.40 M=0.50 M=0.60 M=0.70 M=0.80 M=1.20

.5719 0.5720 0.5721 0.5722 0.5725 0.5731 0.5746 0.7882

Вертикальное оперение - центральное (1 шт.)=13.190 Bб=13.190 Bk= 4.400 Bs= 8.795 L= 11.700 Lk=11.700= 9.527 Xa= 2.596 (без наплыва)=102.901 Sот=0.1517 Lm= 1.330 Et= 2.998 (без наплыва)= 46.8 Xi05= 34.6 Xi10= 17.4 Xic= 40.0 Xi25= 41.3 (без наплыва)

Тип профиля - классический Kp= 2.1 m= 0.350

Сб= 0.150 Сk= 0.150 С= 0.150 Xc= 0.300 f= 0.000 Xf= 0.000 M*=0.817=52.520 XBb=52.520 Fi= 0.000 расстояние от носка фюзеляжа и угол установки=55.818 D14= 0.000 X12=59.115 D14= 0.000

Компоновка a= 4.000 b= 4.000 Lmф= 1.669

Коэффициент торможения потока перед вертикальным оперением

M=0.20 M=0.30 M=0.40 M=0.50 M=0.60 M=0.70 M=0.80 M=1.20= 0.0 1.00000 1.00000 1.00000 1.00000 1.00000 1.00000 1.00000 0.99509=10.0 1.00000 1.00000 1.00000 1.00000 1.00000 1.00000 1.00000 0.99509

Профильное сопротивление изолированного вертикального оперения=0.20 M=0.30 M=0.40 M=0.50 M=0.60 M=0.70 M=0.80 M=1.200.10408 0.09939 0.09717 0.09604 0.09548 0.09525 0.09525 0.00000= 0.0 0.00575 0.00546 0.00525 0.00510 0.00497 0.00485 0.00475 0.00506=10.0 0.00670 0.00634 0.00610 0.00591 0.00575 0.00561 0.00548 0.00581

Волновое сопротивление изолированного вертикального оперения M*=0.817=0.20 M=0.30 M=0.40 M=0.50 M=0.60 M=0.70 M=0.80 M=1.20

.06194

Расположение м/гондол - на kрыле Ngd= 4 Kint= 2.662гд= 5.800 Dгд= 2.900 Dцт= 0.000 Lm= 2.000 S= 6.605 Sот=0.0097 Fб/Sм= 8.000

Расстояние от носка фюзеляжа Lмгд=20.240 M*= 0.500

Тип двигателя - ТРДгд= 6.270 Hгд=-1.670 Aгд= 6.160

Профильное сопротивление изолированной м/гондолы=0.20 M=0.30 M=0.40 M=0.50 M=0.60 M=0.70 M=0.80 M=1.20

Точка Xt 0.00000 0.00000 0.00000 0.00000 0.00000 0.00000 0.00000 0.00000= 0.0 0.02364 0.02370 0.02404 0.02450 0.02500 0.02549 0.02596 0.02751=10.0 0.02778 0.02771 0.02802 0.02848 0.02900 0.02952 0.03003 0.03169

Дополнительное профильное сопротивление изолированной м/гондолы

M=0.20 M=0.30 M=0.40 M=0.50 M=0.60 M=0.70 M=0.80 M=1.20= 0.0 0.00000 0.00000 0.00000 0.00000 0.00000 0.00000 0.00000 0.00000=10.0 0.00000 0.00000 0.00000 0.00000 0.00000 0.00000 0.00000 0.00000

Волновое сопротивление изолированной м/гондолы M*=0.500=0.20 M=0.30 M=0.40 M=0.50 M=0.60 M=0.70 M=0.80 M=1.20

.00861

Производная подъемной силы изолированной м/гондолы dCy/dAl= 2.0000

Критическое число Маха самолета M*=0.95 min {0. 808,0. 816,0. 817,0. 905,0.500}= 0.475

Профильное сопротивление фюзеляжа в системе самолета

M=0.20 M=0.30 M=0.40 M=0.50 M=0.60 M=0.70 M=0.80 M=1.20= 0.0 0.00820 0.00810 0.00804 0.00800 0.00797 0.00794 0.00792 0.01151=10.0 0.00863 0.00850 0.00842 0.00837 0.00832 0.00829 0.00825 0.01164

Волновое сопротивление фюзеляжа в системе самолета=0.20 M=0.30 M=0.40 M=0.50 M=0.60 M=0.70 M=0.80 M=1.20

.04454

Профильное сопротивление крыла в системе самолета

M=0.20 M=0.30 M=0.40 M=0.50 M=0.60 M=0.70 M=0.80 M=1.20= 0.0 0.00422 0.00399 0.00383 0.00370 0.00359 0.00349 0.00340 0.00355=10.0 0.00489 0.00462 0.00443 0.00428 0.00415 0.00403 0.00392 0.00408

Профильное сопротивление интерференции крыло + фюзеляж=0.20 M=0.30 M=0.40 M=0.50 M=0.60 M=0.70 M=0.80 M=1.20= 0.0 0.00005 0.00005 0.00005 0.00005 0.00005 0.00004 0.00004 0.00005=10.0 0.00006 0.00006 0.00006 0.00005 0.00005 0.00005 0.00005 0.00005

Волновое сопротивление крыла в системе самолета

M=0.20 M=0.30 M=0.40 M=0.50 M=0.60 M=0.70 M=0.80 M=1.20= 0.0 0.06068=10.0 0.06068

Волновое сопротивление интерференции крыло + фюзеляж=0.20 M=0.30 M=0.40 M=0.50 M=0.60 M=0.70 M=0.80 M=1.20= 0.0 0.00000=10.0 0.00000

Профильное сопротивление горизонтального оперения в системе самолета

M=0.20 M=0.30 M=0.40 M=0.50 M=0.60 M=0.70 M=0.80 M=1.20= 0.0 0.00121 0.00114 0.00110 0.00106 0.00103 0.00100 0.00098 0.00085=10.0 0.00141 0.00133 0.00127 0.00123 0.00119 0.00116 0.00113 0.00098

Профильное сопротивление интерференции горизонтальное оперение + фюзеляж

M=0.20 M=0.30 M=0.40 M=0.50 M=0.60 M=0.70 M=0.80 M=1.20= 0.0 0.00006 0.00005 0.00005 0.00005 0.00005 0.00005 0.00005 0.00004=10.0 0.00007 0.00006 0.00006 0.00006 0.00006 0.00005 0.00005 0.00005

Волновое сопротивление горизонтального оперения в системе самолета

M=0.20 M=0.30 M=0.40 M=0.50 M=0.60 M=0.70 M=0.80 M=1.20= 0.0 0.01074=10.0 0.01070

Волновое сопротивление интерферениции горизонтальное оперение + фюзеляж

M=0.20 M=0.30 M=0.40 M=0.50 M=0.60 M=0.70 M=0.80 M=1.20= 0.0 0.00000=10.0 0.00000

Профильное сопротивление вертикального оперения в системе самолета

M=0.20 M=0.30 M=0.40 M=0.50 M=0.60 M=0.70 M=0.80 M=1.20= 0.0 0.00087 0.00083 0.00080 0.00077 0.00075 0.00074 0.00072 0.00076=10.0 0.00102 0.00096 0.00092 0.00090 0.00087 0.00085 0.00083 0.00088

Волновое сопротивление вертикального оперения в системе самолета

M=0.20 M=0.30 M=0.40 M=0.50 M=0.60 M=0.70 M=0.80 M=1.20= 0.0 0.00935=10.0 0.00935

Профильное сопротивление м/гондол в системе самолета

M=0.20 M=0.30 M=0.40 M=0.50 M=0.60 M=0.70 M=0.80 M=1.20= 0.0 0.00245 0.00246 0.00249 0.00254 0.00259 0.00264 0.00269 0.00285=10.0 0.00288 0.00287 0.00290 0.00295 0.00301 0.00306 0.00311 0.00329

Волновое сопротивление м/гондол в системе самолета=0.20 M=0.30 M=0.40 M=0.50 M=0.60 M=0.70 M=0.80 M=1.20

.00034

Профильное сопротивление самолета (без учета дополнительных элементов)

M=0.20 M=0.30 M=0.40 M=0.50 M=0.60 M=0.70 M=0.80 M=1.20= 0.0 0.01706 0.01662 0.01635 0.01617 0.01603 0.01591 0.01580 0.01962=10.0 0.01895 0.01840 0.01807 0.01784 0.01765 0.01750 0.01736 0.02096

Волновое сопротивление самолета (без учета дополнительных элементов)

M=0.20 M=0.30 M=0.40 M=0.50 M=0.60 M=0.70 M=0.80 M=1.20= 0.0 0.12565=10.0 0.12560

Суммарное дополнительное сопротивление самолета KdCx= 0.100

M=0.20 M=0.30 M=0.40 M=0.50 M=0.60 M=0.70 M=0.80 M=1.20= 0.0 0.00171 0.00166 0.00164 0.00162 0.00160 0.00159 0.00158 0.01453=10.0 0.00190 0.00184 0.00181 0.00178 0.00177 0.00175 0.00174 0.01466

Коэффициент лобового сопротивления самолета при Cya=0

M=0.20 M=0.30 M=0.40 M=0.50 M=0.60 M=0.70 M=0.80 M=1.20= 0.0 0.01877 0.01828 0.01799 0.01779 0.01763 0.01750 0.01738 0.15979=10.0 0.02085 0.02025 0.01988 0.01962 0.01942 0.01925 0.01909 0.16122

Волновое сопротивление самолета от M*=0.475 до M=1.2

M=0.5 M=0.6 M=0.7 M=0.8 M=0.9 M=1.0 M=1.1 M=1.2= 0.0 0.00002 0.00224 0.01153 0.03005 0.05673 0.08719 0.11380 0.12565=10.0 0.00002 0.00224 0.01152 0.03004 0.05671 0.08717 0.11377 0.12560

Лобовое сопротивление самолета от M*=0.475 до M=1.2

M=0.5 M=0.6 M=0.7 M=0.8 M=0.9 M=1.0 M=1.1 M=1.2= 0.0 0.02003 0.02427 0.03557 0.05612 0.08482 0.11730 0.14593 0.15979=10.0 0.02187 0.02605 0.03730 0.05779 0.08643 0.11885 0.14742 0.16122

Подъемная сила частей самолета в системе самолета

Среднее значение коэффициента торможения потока перед крылом=0.20 M=0.30 M=0.40 M=0.50 M=0.60 M=0.70 M=0.80 M=1.20

.00000 1.00000 1.00000 1.00000 1.00000 1.00000 1.00000 0.89226

Коэффициенты интерференции: крыло + фюзеляж kAl0=1.02240

M=0.20 M=0.30 M=0.40 M=0.50 M=0.60 M=0.70 M=0.80 M=1.200.93662 0.93662 0.93662 0.93662 0.93662 0.93662 0.93662 0.93643

DkAl 0.02098 0.02098 0.02098 0.02098 0.02098 0.02098 0.02098 0.020970.91610 0.91610 0.91610 0.91610 0.91610 0.91610 0.91610 0.915910.02052 0.02052 0.02052 0.02052 0.02052 0.02052 0.02052 0.02051

Среднее значение коэффициента торможения потока перед горизонтальным оперением=0.20 M=0.30 M=0.40 M=0.50 M=0.60 M=0.70 M=0.80 M=1.20

.95870 0.95927 0.95950 0.95953 0.95942 0.95921 0.95891 0.90639

Коэффициенты интерференции: горизонтальное оперение + фюзеляж kAl0=1.17287

M=0.20 M=0.30 M=0.40 M=0.50 M=0.60 M=0.70 M=0.80 M=1.201.22754 1.22754 1.22754 1.22754 1.22754 1.22754 1.22754 1.22749

DkAl 0.21220 0.21220 0.21220 0.21220 0.21220 0.21220 0.21220 0.212191.04661 1.04661 1.04661 1.04661 1.04661 1.04661 1.04661 1.046570.18093 0.18093 0.18093 0.18093 0.18093 0.18093 0.18093 0.18092кос потока перед горизонтальным оперением

M=0.20 M=0.30 M=0.40 M=0.50 M=0.60 M=0.70 M=0.80 M=1.200.000° 0.000° 0.000° 0.000° 0.000° 0.000° 0.000° 0.000°

epsAl 0.1704 0.1720 0.1745 0.1780 0.1829 0.1901 0.2008 0.0665

Производная dCy/dAl и угол Alfa0 крыла в системе самолета

M=0.20 M=0.30 M=0.40 M=0.50 M=0.60 M=0.70 M=0.80 M=1.20/dAl 3.04984 3.10066 3.17672 3.28420 3.43354 3.64329 3.94954 3.78206

Alfa0 0.00° 0.00° 0.00° 0.00° 0.00° 0.00° 0.00° 0.00°

Производная dCy/dAl и угол Alfa0 горизонтального оперения в системе самолета

M=0.20 M=0.30 M=0.40 M=0.50 M=0.60 M=0.70 M=0.80 M=1.20/dAl 0.64282 0.64968 0.65931 0.67226 0.68928 0.71144 0.74042 0.88694

Alfa0 0.00° 0.00° 0.00° 0.00° 0.00° 0.00° 0.00° 0.00°

Производная dCy/dAl и угол Alfa0 фюзеляжа в системе самолета

M=0.20 M=0.30 M=0.40 M=0.50 M=0.60 M=0.70 M=0.80 M=1.20/dAl 0.12034 0.12034 0.12034 0.12034 0.12034 0.12034 0.12034 0.16829

Alfa0 1.56° 1.56° 1.56° 1.56° 1.56° 1.56° 1.56° 1.56°

Производная dCy/dAl мотогондол в системе самолета dCy/dAl= 0.07789

Производная dCy/dAl и угол Alfa0 самолета без горизонтального оперения

M=0.20 M=0.30 M=0.40 M=0.50 M=0.60 M=0.70 M=0.80 M=1.20/dAl 3.24807 3.29889 3.37495 3.48242 3.63177 3.84152 4.14776 4.02824

Alfa0 0.01° 0.01° 0.01° 0.01° 0.01° 0.01° 0.01° 0.01°

Производная dCy/dAl и угол Alfa0 самолета c горизонтальным оперением

M=0.20 M=0.30 M=0.40 M=0.50 M=0.60 M=0.70 M=0.80 M=1.20/dAl 3.89090 3.94857 4.03426 4.15468 4.32105 4.55296 4.88819 4.91519

Alfa0 0.01° 0.01° 0.01° 0.01° 0.01° 0.01° 0.01° 0.01°

Коэффициент подъемной силы самолета Cya=dCy/dAl (Al-Al0) (линейный участок)

M=0.20 M=0.30 M=0.40 M=0.50 M=0.60 M=0.70 M=0.80 M=1.20= 0.0° -0.00050 -0.00050 -0.00050 -0.00050 -0.00050 -0.00050 -0.00050 -0.00070

Al=10.0° 0.67859 0.68866 0.70361 0.72463 0.75367 0.79414 0.85265 0.85716=20.0° 1.35768 1.37781 1.40772 1.44976 1.50783 1.58878 1.70580 1.71503

Коэффициент максимальной подъемной силы самолета и критический угол атаки

M=0.20 M=0.30 M=0.40 M=0.50 M=0.60 M=0.70 M=0.80 M=1.20max 1.11614 1.08700 1.05494 1.01997 0.98209 0.94129 0.89758

Alfa кр 17.94° 17.28° 16.49° 15.57° 14.53° 13.35° 12.03°

Коэффициент отвала поляры=0.20 M=0.30 M=0.40 M=0.50 M=0.60 M=0.70 M=0.80 M=1.20

.05281 0.05279 0.05276 0.05271 0.05264 0.05254 0.05240 0.18778

Максимальное качество Kmax=0.20 M=0.30 M=0.40 M=0.50 M=0.60 M=0.70 M=0.80 M=1.20= 0.0 15.881 16.095 16.230 16.330 16.414 16.491 16.570 2.886=10.0 15.068 15.294 15.440 15.549 15.640 15.723 15.808 2.874

Наивыгоднейший коэффициент подъемной силы Cy н.в.

M=0.20 M=0.30 M=0.40 M=0.50 M=0.60 M=0.70 M=0.80 M=1.20= 0.0 0.59613 0.58845 0.58391 0.58088 0.57869 0.57704 0.57583 0.92247=10.0 0.62830 0.61927 0.61381 0.61009 0.60734 0.60521 0.60359 0.92659

Поляра самолета Cxa = Cxo + A·Cya^2 для H= 0.0

M=0.20 M=0.30 M=0.40 M=0.50 M=0.60 M=0.70 M=0.80 M=1.20= 0.0 0.01877 0.01828 0.01799 0.01779 0.01763 0.01750 0.01738 0.15979= 0.2 0.02088 0.02039 0.02010 0.01989 0.01973 0.01960 0.01947 0.16730= 0.4 0.02722 0.02673 0.02643 0.02622 0.02605 0.02590 0.02576 0.18984= 0.6 0.03778 0.03729 0.03698 0.03676 0.03658 0.03641 0.03624 0.22739= 0.8 0.05257 0.05207 0.05175 0.05152 0.05132 0.05112 0.05091 0.27997= 1.0 0.07158 0.07107 0.07075 0.07049 0.34757

Дополнительное индуктивное сопротивление самолета dCxi для H= 0.0

M=0.20 M=0.30 M=0.40 M=0.50 M=0.60 M=0.70 M=0.80 M=1.20= 0.0 0.00000 0.00000 0.00000 0.00000 0.00000 0.00000 0.00000= 0.2 0.00006 0.00006 0.00007 0.00008 0.00008 0.00010 0.00011= 0.4 0.00047 0.00051 0.00056 0.00062 0.00069 0.00079 0.00092= 0.6 0.00165 0.00180 0.00198 0.00221 0.00251 0.00289 0.01866= 0.8 0.00434 0.00478 0.00534 0.00607 0.00707 0.01399 0.06368= 1.0 0.01088 0.01256 0.01518 0.020401.79386 1.61734 1.43058 1.23071 1.01299 0.76857 0.47563

Поляра самолета Cxa = Cxo + A·Cya^2 + dCxi для H= 0.0

M=0.20 M=0.30 M=0.40 M=0.50 M=0.60 M=0.70 M=0.80 M=1.20= 0.0 0.01877 0.01828 0.01799 0.01779 0.01763 0.01750 0.01738 0.15979= 0.2 0.02094 0.02045 0.02017 0.01997 0.01982 0.01969 0.01958 0.16730= 0.4 0.02769 0.02724 0.02699 0.02684 0.02674 0.02669 0.02668 0.18984= 0.6 0.03943 0.03909 0.03896 0.03897 0.03909 0.03930 0.05490 0.22739= 0.8 0.05691 0.05684 0.05709 0.05759 0.05839 0.06512 0.11460 0.27997= 1.0 0.08246 0.08363 0.08593 0.09090 0.34757= Max 0.12456 0.12066 0.11670 0.11262 0.10840 0.13976 0.17707max 15.278 15.446 15.524 15.554 15.551 15.522 15.437 2.886

Сya н.в. 0.55131 0.54156 0.53389 0.52673 0.51931 0.51116 0.47565 0.92247

Alfaн.в. 8.13° 7.87° 7.59° 7.27° 6.89° 6.44° 5.58° 10.76°

Продольный момент и положение фокуса частей самолета в системе самолета

Производная dMz/dAl и положение фокуса Xf/Lf крыла в системе самолета

M=0.20 M=0.30 M=0.40 M=0.50 M=0.60 M=0.70 M=0.80 M=1.20/dAl -1.3853 -1.4083 -1.4429 -1.4917 -1.5595 -1.6548 -1.7939 -1.8516

Xf/Lf 0.4542 0.4542 0.4542 0.4542 0.4542 0.4542 0.4542 0.4896

Производная dMz/dAl и положение фокуса Xf/Lf горизонтального оперения

M=0.20 M=0.30 M=0.40 M=0.50 M=0.60 M=0.70 M=0.80 M=1.20/dAl -0.5560 -0.5619 -0.5702 -0.5814 -0.5962 -0.6154 -0.6406 -0.7905

Xf/Lf 0.8649 0.8649 0.8649 0.8649 0.8649 0.8650 0.8652 0.8913

Производная dMz/dAl и положение фокуса Xf/Lf фюзеляжа в системе самолета

M=0.20 M=0.30 M=0.40 M=0.50 M=0.60 M=0.70 M=0.80 M=1.20/dAl 0.0253 0.0253 0.0253 0.0253 0.0253 0.0253 0.0253 0.0179

Xf/Lf -0.2102 -0.2102 -0.2102 -0.2102 -0.2102 -0.2102 -0.2102 -0.1062

Производная dMz/dAl мотогондол в системе самолета dMz/dAl= -0.0228

Положение мотогондол относительно носка фюзеляжа Xмгд/Lf= 0.2929

Производная dMz/dAl и положение фокуса Xf/Lf самолета без горизонтального оперения

M=0.20 M=0.30 M=0.40 M=0.50 M=0.60 M=0.70 M=0.80 M=1.20/dAl -1.3828 -1.4059 -1.4404 -1.4892 -1.5571 -1.6523 -1.7915 -1.8565

Xf/Lf 0.4257 0.4262 0.4268 0.4276 0.4287 0.4301 0.4319 0.4609

M=0.20 M=0.30 M=0.40 M=0.50 M=0.60 M=0.70 M=0.80 M=1.20/dAl -1.9387 -1.9678 -2.0106 -2.0707 -2.1532 -2.2677 -2.4321 -2.6471

Xf/Lf 0.4983 0.4983 0.4984 0.4984 0.4983 0.4981 0.4975 0.5386

Фокус Xf/Ba самолета без горизонтального оперения относительно носка САХ крыла

M=0.20 M=0.30 M=0.40 M=0.50 M=0.60 M=0.70 M=0.80 M=1.20/Ba 0.4949 0.4980 0.5026 0.5086 0.5165 0.5264 0.5392 0.7472

Фокус Xf/Ba самолета c горизонтальным оперением относительно носка САХ крыла

M=0.20 M=0.30 M=0.40 M=0.50 M=0.60 M=0.70 M=0.80 M=1.20/Ba 1.0155 1.0160 1.0163 1.0164 1.0158 1.0141 1.0102 1.3045

Смещение фокуса самолета dXf/Ba

M=0.20 M=0.30 M=0.40 M=0.50 M=0.60 M=0.70 M=0.80 M=1.20

dXf/Ba 0.5207 0.5180 0.5138 0.5077 0.4993 0.4877 0.4710 0.5574

Коэффициент момента mz0 крыла и фюзеляжа в системе с крылом (отнесено к САХ крыла)=0.20 M=0.30 M=0.40 M=0.50 M=0.60 M=0.70 M=0.80 M=1.20из.к 0.0000 0.0000 0.0000 0.0000 0.0000 0.0000 0.0000 0.0000ф(к) -0.0002 -0.0002 -0.0002 -0.0002 -0.0002 -0.0002 -0.0002 -0.0003* -0.0001 -0.0001 -0.0001 -0.0001 -0.0001 -0.0001 -0.0001 -0.0001

Коэффициент момента mz0 частей самолета без горизонтального оперения=0.20 M=0.30 M=0.40 M=0.50 M=0.60 M=0.70 M=0.80 M=1.20к’ 0.0000 0.0000 0.0000 0.0000 0.0000 0.0000 0.0000 0.0000ф’ -0.0150 -0.0150 -0.0150 -0.0150 -0.0151 -0.0151 -0.0151 -0.0187

Коэффициент момента mz0 самолета без горизонтального оперения (отнесено к САХ кр.)=0.20 M=0.30 M=0.40 M=0.50 M=0.60 M=0.70 M=0.80 M=1.20

.0151 -0.0151 -0.0151 -0.0152 -0.0152 -0.0152 -0.0152 -0.0188

Коэффициент момента mz0 самолета c горизонтальным оперением (отнесено к САХ крыла)

M=0.20 M=0.30 M=0.40 M=0.50 M=0.60 M=0.70 M=0.80 M=1.20

.0168 -0.0168 -0.0168 -0.0168 -0.0168 -0.0168 -0.0168 -0.0214

Итоговые графики

Рисунок 1.2. Профильное + волновое сопротивление изолированного фюзеляжа

Рисунок 1.3. Профильное + волновое сопротивление изолированного крыла

Рисунок 1.4. Профильное + волновое сопротивление изолированного горизонтального оперения

Рисунок 1.5. Профильное + волновое сопротивление изолированного вертикального оперения

Рисунок 1.6. Лобовое сопротивление самолета и его частей в системе самолета при Сya=0

Рисунок 1.7. Производная коэффициента подъемной силы

Рисунок 1.8. Положение фокуса, выраженное в длине фюзеляжа

В данном задании был проведен расчет аэродинамических характеристик самолета.

Ан-124-100. По построенным графическим зависимостям можно сказать:

1) профильное сопротивление изолированного фюзеляжа остается практически неизменным на скоростях полета до 0,8М. При скоростях выше 0,8М происходит быстрое увеличение профильного сопротивления;

2)      профильное сопротивление изолированного крыла незначительно уменьшается на скоростях от 0,2М до 0,8М. Но при скоростях выше 0,8М происходит плавное возрастание профильного сопротивления;

)        профильное сопротивление изолированного горизонтального оперения, а также профильное сопротивление изолированного вертикального оперения незначительно уменьшается на скоростях от 0,2М до 0,8М. Но при скоростях выше 0,8М происходит плавное возрастание профильного сопротивления;

)        лобовое сопротивление самолета практически не изменяется до скорости 0,6М, при скоростях выше резко возрастает;

)        с изменением скорости положение фокусов частей самолета и самолета в целом остается неизменным.

2. Границы допустимых скоростей и перегрузок

Данный раздел рассмотрен в бакалаврской работе [13]. В результате получены полётные огибающие: (рис. 2.1).

Рисунок 2.1. Полетные огибающие а) зависимость от маневренных перегрузок; б) при полете в неспокойном воздухе

2.1 Определение максимальной и минимальной эксплуатационных перегрузок

Подводя итог изложенному в разделе 2 материалу, делаем вывод о максимальном и минимальном значении перегрузок.



3. Подготовительная работа к расчету крыла

В данном разделе рассмотрены такие вопросы, необходимые для дальнейшего расчета:

поворот крыла с целью использования балочной модели;

обоснование выбора положения лонжеронов и расчетного сечения;

анализ размещения потребного количества топлива в самолете;

оценка количества топлива, необходимого для достижения самолетом крейсерской высоты;

анализ рационального способа выработки топлива;

4. Расчет нагрузок на крыло самолета

В результате расчета были получены эпюры ВСФ. С данным разделом можно подробно ознакомиться в бакалаврской работе [13].

Рисунок 4.1. Эпюра поперечных сил Qy(z)

Рисунок 4.2. Эпюра изгибающих моментов Mx(z)

Рисунок 4.3. Эпюра крутящих моментов Mz(z)

5. Расчет ресурса крыла, спроектированного по условиям статической прочности

В этом разделе проводим расчет ресурса конструкции крыла, полученной в [13].

Метод основан на расчете ресурса крыла неманевренного самолета по профилю типового полета. Профиль типового полета характеризует изменение высоты, скорости полета и веса самолета в зависимости от времени полета.

5.1 Значения параметров расчетного сечения крыла, спроектированного по статическим нагрузкам

Используется моноблочная силовая схема крыла (основная часть изгибающего момента воспринимается обшивкой и стрингерами).

Выбраны следующие материалы:

пояса лонжеронов: сталь 30ХГСА, имеющая следующие механические характеристики: σ в = 1600 МПа, Е = 2,1∙10 5 МПа, σ т = 1390 МПа, σ пц = 1240 МПа, относительное удлинение δ = 0,9;

- обшивка, стрингеры и стенки нервюр: дюраль Д16Т, имеющий следующие механические характеристики: σ в = 440 МПа, Е = 0,71∙10 5 МПа, σ пц = 270 МПа, σ т = 300 МПа, относительное удлинение δ = 0,1.

стенки лонжеронов: дюраль Д16Т (лонжеронный), имеющий следующие механические характеристики: σв = 550 МПа, Е = 7,2∙104 МПа,

σ т = 440 МПа, σ пц = 384 МПа относительное удлинение δ = 0,1;

Для расчётного сечения:

b = 12,05 м - хорда;

a =3,01 м - расстояние между передним и средним лонжеронами;

с =4,22 м - расстояние между средним и задним лонжеронами.

ВСФ для расчетного сечения:

Средняя высота расчетного сечения:

Оценим силу сжатия верхней и растяжения нижней панели крыла в расчётном сечении:

.                                (5.1)

Выбор обшивки:

Между передним и средним лонжеронами будем брать 15 стрингеров сверху и снизу и 21 стрингер между средним и задним лонжеронами. Тогда шаг стрингеров верхней и нижней части панели одинаковы:

.

Толщину обшивки, из условия достаточной крутящей жесткости крыла, принимаем:

.

В растянутой зоне использована монолитная панель, полученную прокаткой с последующий фрезеровкой стрингеров. Часть сечения выбранной панели представлена на рис. 5.1.

Рисунок 5.1 - Монолитная панель

Площадь стрингера равна:

.

Значения площадей поясов ПЛ, СР и ЗЛ в расчетном сечении:

,

,

.

Для сжатой зоны выбрана такая же монолитную панель, как и в растянутой зоне.

Ширину присоединенной обшивки 2с, работающей с напряжениями стрингера, определена:

Расстояние между нервюрами принято:

.

Толщина стенок, принятая по стандарту, составляет:

, , .

5.2 Значения напряжений, действующих в сечении

Проверочный расчет был проведен по методу редукционных коэффициентов с использованием программы WING

Расчет проведен для эксплуатационных и расчетных нагрузок. Для первых напряжения в конструкции не должны превосходить предел пропорциональности. При вторых напряжения не должны превосходить предел прочности.

В проверочном расчете рекомендуется объединять стрингеры с присоединенной обшивкой в продольные элементы. В соответствии с этим получено 31 элемент (рис. 5.2).

Рисунок 5.2 - Распределение продольных элементов

Полученные в результате расчета нормальные напряжения сравниваются с разрушающими значениями. Соответствующие данные приведены в табл. 5.1.

Таблица 5.1 - Коэффициенты запаса для продольных рёбер

№ подкр.

, МПа, паη



2

-1600

-8,95E+08

1,79

3

-297

-2,97E+08

1,00

4

-297

-2,97E+08

1,00

5

-297

-2,97E+08

1,00

6

-297

-2,97E+08

1,00

7

-297

-2,97E+08

1,00

8

-1600

-1,48E+09

1,08

9

-297

-2,97E+08

1,00

10

-297

-2,97E+08

1,00

11

-297

-2,97E+08

1,00

12

-297

-2,97E+08

1,00

13

-297

-2,97E+08

1,00

14

-297

-2,97E+08

1,00

15

-297

-2,81E+08

1,06

16

-1600

-5,03E+08

3,18

17

1600

1,52E+09

1,05

18

406,15

3,42E+08

1,19

19

406,15

3,45E+08

1,18

20

406,15

3,48E+08

1,17

21

406,15

3,51E+08

1,16

22

406,15

3,53E+08

1,15

23

406,15

3,55E+08

1,14

24

406,15

3,57E+08

1,14

25

1600

1,56E+09

1,03

26

406,15

3,58E+08

1,13

27

406,15

3,59E+08

1,13

28

406,15

3,59E+08

1,13

29

406,15

3,58E+08

1,13

30

406,15

3,56E+08

1,14

31

1600

1,03E+09

1,47


Таблица 5.2 - Запасы прочности обшивки и стенок при разрушающих нагрузках

№ клетки

, МПаτ, МПа, МПа, МПаη





1

-332

-166

439

550

1,25


-305

-166

419

550

1,31

2

-297

-39,3

305

440

1,44


-297

-39,3

305

440

1,44

3

-297

-28,7

301

440

1,46


-297

-28,7

301

440

1,46

4

-297

-18,0

298

440

1,47


-297

-18,0

298

440

1,47

5

-297

-7,32

297

440

1,48


-297

-7,32

297

440

1,48

6

-297

3,34

297

440

1,48


-297

3,34

297

440

1,48

7

-297

14,0

298

440

1,48


-350

14,0

351

440

1,25

8

-350

-37,3

356

440

1,24


-297

-37,3

304

440

1,45

9

-297

-26,6

300

440

1,46


-297

-26,6

300

440

1,46

10

-297

-16

298

440

1,48


-297

-16

298

440

1,48

11

-297

-5,35

297

440

1,48

-5,35

297

440

1,48

12

-297

5,25

297

440

1,48


-297

5,25

297

440

1,48

13

-297

15,8

298

440

1,48


-297

15,8

298

440

1,48

14

-297

26,3

300

440

1,47


-297

26,3

300

440

1,47

15

-281

36,1

288

440

1,53


-190

36,1

200

440

2,20

16

-190

363

657

550

0,84


490

363

767

550

0,69

17

360

30,7

364

440

1,21


342

30,7

346

440

1,27

18

342

19,3

344

440

1,28


345

19,3

347

440

1,27

19

345

7,76

345

440

1,27


348

7,76

348

440

1,26

20

348

-3,84

348

440

1,26


351

-3,84

351

440

1,26

21

351

-15,5

352

440

1,25


353

-15,5

354

440

1,25

22

353

-27,3

357

440

1,23


355

-27,3

359

440

1,22

23

355

-39,1

362

440

1,22


357

-39,1

364

440

1,21

24

357

-51,0

368

440

1,20


400

-51,0

410

440

1,07

25

400

16,2

401

440

1,10


358

16,2

359

440

1,23

26

358

4,30

358

440

1,23


359

4,30

359

440

1,22

27

359

-7,63

359

440

1,22


359

-7,63

359

440

1,22

28

359

-19,6

360

440

1,22


358

-19,6

359

440

1,22

29

358

-31,4

362

440

1,21


356

-31,4

360

440

1,22

30

356

-43,3

364

440

1,20


355

-43,3

363

440

1,21

31

475

-156

547

550

1,01


-332

-166

439

550

1,25

32

490

188

589

550

0,93


500

188

597

550

0,92



5.3 Расчет ресурса крыла по профилю типового полета

Исходными данными для расчета перегрузок в центре тяжести ЛА, а, следовательно, и нагрузок на основные агрегаты (в частности крыло) являются профиль типового полета и характеристики атмосферной турбулентности.

Профиль типового полета характеризует изменение высоты, скорости полета и веса ЛА в зависимости от времени полета. Обычно для одного типа ЛА рассматривают несколько профилей типовых полетов, например, легкий, средний и тяжелый полеты в зависимости от веса коммерческой нагрузки и полетного задания.

Устанавливают процентное отношение каждого из указанных профилей ti в общем налете самолета. Если усталостное повреждение конкретного профиля обозначить через Dci, а суммарное число типовых полетов по всем профилям через λ, то условие разрушения согласно линейной гипотезе суммирования усталостных повреждений примет вид:

                                                       (5.2)

В соответствии с приведенной формулой

                                             (5.3)

Ресурс конструкции в числе типовых полетов составит

                                                         (5.4.)

Алгоритм формирования параметров режимов по профилю типового полета реализован в программе «resurs.pas», ориентированной на применение в учебном процессе.

Исходные данные для программы:

Площадь крыла                                                         628 м2

Производная Су по углу атаки                                 4.010 1/рад

Взлетный вес                                                     392.0 т

Минимальный вес в типовом полете                         210.3 т

Высота                                                              10.0 кмкорость крейсерского полета                                       800 км/час

Время набора высоты                                     0.24 ч

Время крейсерского полета                                     5.52 ч

Время снижения                                                        0.24 ч

Суммарный коэффициент надежности                      4

Эффективный коэффициент концентрации               3

Напряжение при ny=1 для стрингерной панели                95.7 МПа

Напряжение при ny=1 для лонжеронов                            415 МПа

5.4 Результаты расчета

Расчет ресурса стрингерной панели по программе «resurs.pas».

Параметры режимов полетаВысота Скорость Вес Путь Время

км км/час т км час

1.8 525 391.3 24 0.02

4.0 567 389.9 26 0.07

6.0 612 388.4 33 0.12

8.0 664 386.6 40 0.18

10.0 800 355.9 1487 1.19

10.0 800 299.6 1487 3.05

10.0 800 243.3 1487 4.91

8.0 736 216.1 35 5.81

6.0 672 214.6 32 5.86

4.0 608 213.2 29 5.90

1.5 528 211.4 38 5.96

Нижняя панель крыла. Материал Д16Т

Максимально повреждающая скорость порыва для всех режимов полета и соответствующее приращение перегрузки 2.2 м/сек 0.18.

Максимально повреждающий режим полета

высота скорость полета вес самолета повреждение за режим

.81 км 525 м/сек 391.3т 2.55E-0007

Параметры цикла ЗВЗ

перегрузка максимальное и минимальное напряжения цикла

.29 123.7 МПа -47.9 МПа

Повреждение за полет

спектр цикл ЗВЗ суммарное

dc= 5.628E-0007 dzvz= 1.919E-0005 Dpol= 1.975E-0005

Параметры интегрального превышения приращений перегрузок за один полет, дальность полета= 0.080 Fo= 35.88 L= 4720 кмоэффициент надежности, эффективный коэффициент концентрации напряжений Nнадежн= 4.0 Kэф= 3.00

Ресурс элемента конструкции, напряжение в элементе при перегрузке ny=1, директивное расчетное напряжение, обеспечивающее при проектировании рассчитанный ресурс= 12658 полетов Sn1= 95.7 МПа Sдир= 358.9 МПа

Расчет ресурса поясов лонжеронов крыла по программе «resurs.pas».

Нижняя панель крыла

Максимально повреждающая скорость порыва для всех режимов полета и соответствующее приращение перегрузки 1.2 м/сек 0.10.

Параметры цикла ЗВЗ перегрузка максимальное и минимальное напряжения цикла

.29 536.2 МПа -207.5 МПа

Повреждение за полет

спектр цикл ЗВЗ суммарное

dc= 2.206E-0005 dzvz= 1.656E-0004 Dpol= 1.876E-0004

Параметры интегрального превышения приращений перегрузок за один полет, дальность полета= 0.080 Fo= 36.38 L= 4720 км

Коэффициент надежности, эффективный коэффициент концентрации напряжений Nнадежн= 4.0 Kэф= 3.00.

Ресурс элемента конструкции, напряжение в элементе при перегрузке ny=1, директивное расчетное напряжение, обеспечивающее при проектировании рассчитанный ресурс.= 1333 полетов Sn1=415.0 МПа Sдир= 1556.3 МПа

Для построения зависимостей наивыгоднейшей скорости полета от высоты, от времени полета, наивыгоднейшей скорости полета от времени набора высоты, высоты от времени в типовом полете, скорости от времени в типовом полете, веса самолета от времени в типовом полете, берутся данные, вычисленные по программе «resurs.pas»

На рисунках 5.3 - 5.5 сплошными линиями показаны зависимости наивыгоднейшей скорости полета от высоты, высоты и скорости полета от времени на этапе набора высоты.

Рисунок 5.3. Зависимость наивыгоднейшей скорости полета от высоты

Рисунок 5.4. Зависимость высоты от времени полета

Рисунок 5.5. Зависимость наивыгоднейшей скорости полета от времени набора высоты

Профиль типового полета в виде зависимостей высоты, скорости и веса самолета от времени полета приведен на рисунках 5.6 - 5.8. Маркерами показаны точки расчетных режимов на профиле типового полета. Условно эти точки соединены прямыми линиями.

Рисунок 5.6. Зависимость высоты от времени в типовом полете

Рисунок 5.7. Зависимость скорости от времени в типовом полете

Рисунок 5.8. Зависимость веса самолета от времени в типовом полете

Анализ результатов расчета усталостного повреждения конструкции при полете в турбулентной атмосфере позволяет отметить, что наибольшее повреждение вносят относительно малые скорости воздушных порывов 2.2 м/сек, в то время, как определяющей наибольшую перегрузку при полете на малых высотах является скорость порыва 15 м/сек. Повреждение от цикла ЗВЗ для рассмотренного профиля типового полета самолета Ан-124-100 составляет 97% от суммарного за типовой полет.

Ресурс полученный при расчете на прочность по статическим нагрузкам является недостаточным для данного типа самолетов. По этому следует спроектировать конструкцию растянутой зоны крыла на заданный ресурс.

6. Проектировочный расчет сечений крыла с учетом требования обеспечения ресурса

.1 Получение директивных напряжений для проектировочного расчета с учетом обеспечения заданного ресурса

При расчете в авиастроении для проектирования конструкции по условиям статической прочности используют метод проектирования конструкции по расчетным разрушающим нагрузкам. В этом методе действующие напряжения уравниваются с разрушающими: в растянутой зоне: , где - коэффициент, учитывающий наличие концентратора; в сжатой зоне:

                                      (6.1)

При проектировании и расчете ресурса используются директивные напряжения. Директивными называются такие напряжения, что если в любой точке конструкции напряжения не превосходят директивные значения, тогда обеспечивается потребный ресурс конструкции.

Директивные напряжения находятся следующим образом. Полученное напряжение при единичной перегрузке умножаем на расчетную перегрузку:

                                     (6.2)

Определим с помощью программы «resurs.pas» зависимость ресурса стрингерных панели и лонжеронов самолета от напряжения при единичной перегрузки. Для этого делаем по этой программе расчеты с разными значениями напряжения  (рис. 6.1 - 6.2).

Для стрингеров, с учетом возможности обнаружения трещины в панелях и мер по обеспечению живучести, принимаем коэффициент надежности конструкции .

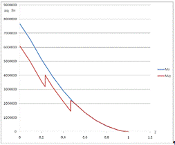
Рисунок 6.1. Зависимость напряжения стрингеров при единичной перегрузке от ресурса самолета

Рисунок 6.2. Зависимость напряжения поясов лонжеронов при единичной перегрузке от ресурса самолета

Требуемый ресурс для данного самолета - 30 000 полетов. Графики строятся приближенно с помощью задания различных значений напряжения . Значению , соответствует  для стрингерной панели и  для поясов лонжеронов.

Следовательно, директивное напряжение для проектировочного расчета для регулярной зоны:

.


6.2 Проектировочный расчет сечений крыла с учетом требования обеспечения ресурса для расчетного сечения

.2.1 Определение площадей сечений лонжеронов в растянутой зоне

Для крыла применяем моноблочную силовую схему, полученную прокаткой с последующий фрезеровкой стрингеров. Данная панель будет иметь профиль, показанный на рис. 6.2. Шаг нервюр, как правило, постоянен в пределах полукрыла и является необходимым при проектировании различных бригад (оборудования, механизации крыла). Для спрямленного крыла полуразмах равен 40,86 м. Исходя из этого целесообразно взять: .

Расстояние между стрингерами, постоянно по всему размаху крыла.

Для крыла в целом выбраны следующие материалы:

пояса лонжеронов: сталь 30ХГСА, имеющая следующие механические характеристики: σ в = 1600 МПа, Е = 2,1∙10 5 МПа, σ т = 1390 МПа, σ пц = 1240 МПа, относительное удлинение δ = 0,9;

- обшивка, стрингеры и стенки лонжеронов: дюраль Д16Т, имеющий следующие механические характеристики: σ в = 440 МПа, Е = 0,71∙10 5 МПа, σ пц = 270 МПа, σ т = 300 МПа, относительное удлинение δ = 0,1.

стенки лонжеронов: дюраль Д16Т (лонжеронный), имеющий следующие механические характеристики: σв = 550 МПа, Е = 7,2∙104 МПа,

σ т = 440 МПа, σ пц = 384 МПа относительное удлинение δ = 0,1.

Рисунок 6.2. Профиль монолитной панели

Усилие, воспринимаемое стрингерами в растянутой зоне, без учета обшивки, обозначим через .

Оно определяется из равенства:

, (6.3)

где  - расчётное разрушающее напряжение стрингера в растянутой

зоне (в данном расчете эти напряжения заменяем директивными);

- количество стрингеров в растянутой зоне;

 - площадь поперечного сечения одного стрингера в растянутой зоне;

 - коэффициент учитывающий ослабление сечения отверстиями под заклёпки или винты;

 - толщина обшивки в растянутой зоне;

 - коэффициент, учитывающий ослабление обшивки отверстиями под заклёпки, наличие в обшивке погибей, явление отставания напряжений в обшивке. Учитываем только первый фактор, в виду необходимости соединения обшивки с нервюрами;

 - коэффициент, учитывающий влияние концентрации напряжений в стрингерах при наличии отверстий, скачков жёсткости, сварных швов.

Для записанных коэффициентов приняты значения ,, .

Площадь стрингера в растянутой зоне равняется (рис. 6.1):

.

Теперь можно найти

.

Находим усилие, воспринимаемое в растянутой зоне поясами лонжеронов:

.

Суммарную площадь этих поясов  получим из уравнения:

, (6.4)

где  - расчётное разрушающее напряжение растянутых полок

(в данном расчете эти напряжения заменяем директивными);

 - коэффициент, учитывающий влияние концентрации напряжений в полке. Согласно рекомендациям учебного пособия [9], берём

 - коэффициент, учитывающий ослабление поперечного сечения полки отверстиями под болты и заклепки. Принято.

Тогда суммарная площадь поясов  равняется:

Распределение площади между поясами переднего среднего и заднего лонжерона (в дальнейшем примем обозначение ПЛ, СР и ЗЛ соответственно) распределим пропорционально квадратам высот этих лонжеронов. Составим систему уравнений:

 (6.5)

Решив данную систем уравнений мы получим площади поясов ПЛ, СР и ЗЛ в растянутой области панели.

Окончательно получим значения площадей поясов ПЛ, СР и ЗЛ в расчетном сечении:

,

,

.

6.2.2 Определение критических напряжений для местной и общей потере устойчивости стрингеров в сжатой зоне

Для сжатой зоны берем такую же монолитную панель, как и в растянутой зоне (рис. 6.3).

Критические напряжения при местной потери устойчивости определяется как:

. (6.6)

Рисунок 6.3. Профиль монолитной панели сжатой зоны

где  - критическое напряжение i-й пластинки при сжатии.

 мы можем определить по формуле:

, (6.7)

где k - коэффициент опирания i-й пластинки;

b, d - ее ширина и толщина.

Разобьем стрингер в расчетном сечении на 2 пластинки и выпишем для него значения k, используя рис. 2.2, стр. 35 [9]. Покажем разбиение на рис. 6.4.

Рисунок 6.4. Разбиение стрингера на пластинки

Напряжения для пластинки 1 будут равны:

.

Верхний индекс «э» показывает, что выкладки, приведшие к этому результату, справедливы только в пределах пропорциональности. Поэтому это значение подлежит уточнению с помощью эмпирической формулы С.Н. Кана [3]:

, (6.8)

. (6.9)

Производим уточнение для пластинки 1:

;

.

Используя примененную выше методику определим напряжения для пластинки 2:

;

;

.

Из двух полученных значений напряжений местной потери устойчивости выбираем минимальное, т.е.:

.

Ширина присоединенной обшивки 2с, работающей с напряжениями стрингера, определяется:

.                                   (6.10)

Ранее было выяснено, что эта величина составляет , однако шаг стрингеров составляет , по этому в качестве данной величины будем использовать шаг стрингеров.

Критические напряжения общей потери устойчивости найдём по формуле:

, (6.11)

где Е - модуль упругости стрингера;

 - момент инерции стрингера вместе с присоединенной обшивкой относительно оси, проходящей через центр тяжести сечения;

а - расстояние между нервюрами;

m - коэффициент, учитывающий условия опирания на концах участка стрингера, имеющего длину а. Для реального стрингера можно взять .

Теперь вычислим геометрические характеристики стрингера, имеющего ширину 2c и толщину .

Находим центр тяжести сечения:

, (6.12)

где  - суммарная площадь стрингера с присоединенной обшивкой.

Для данного сечения:

.

Тогда центр тяжести находится на расстоянии:

Вычислим момент инерции сечения:

Тогда можно посчитать

;

;

.

Находим усилие, воспринимаемое в сжатой зоне поясами лонжеронов:

.

Учитывая, что пояса лонжерона для сжатой зоны изготовлены из того же материала, что и пояса растянутой зоны, находим площадь поясов лонжерона в сжатой зоне:

.

Как и для поясов лонжерона растянутой зоны распределим площади поясов пропорционально квадратам высот лонжерона. Используя описанную выше методику находим площади поясов ПЛ, СЛ и ЗЛ сжатой панели:

,

,

.

6.2.3 Определение толщин стенок лонжеронов

В приближенных расчетах можно считать, что центр жесткости поперечного сечения крыла лежит в центре тяжести лонжеронов:

; (6.13)

где  - расстояние от переднего лонжерона до центра жёсткости;

- расстояние i-й стенки от переднего лонжерона.

В методе В.Н. Беляева показано, что если поперечная сила находится в центре жесткости сечения, то она распределяется между стенками лонжеронов пропорционально изгибным жесткостям этих балок. Соответствующий коэффициент пропорциональности обозначим через β.

. (6.14)

Обращаем внимание, что силы  соответствуют случаю, когда поперечная сила находится в центре жесткости.

Поскольку нам известна величина поперечной силы можно записать:


Следовательно,

,

Рисунок 6.5. Расположение центра тяжести лонжерона

Вычислим момент инерции каждого из лонжеронов. Согласно рис 6.5 запишем

; (6.15)

. (6.16)

Подставим значения в формулы:

;

;

;

;

;

;

Теперь можно найти:

;

Величина центра жесткости отсчитывается от переднего лонжерона.

Потоки касательных усилий (ПКУ) в стенках лонжеронов, соответствующие поперечным силам , , , изображены на рисунке 6.6.

Перенос поперечной силы  в центр жесткости требует введения крутящего момента, который обозначим через . Очевидно, что

.

Распределяем крутящий момент между двумя замкнутыми контурами. Используем соотношение (рис. 6.6).

; (6.17)

 (6.18)

где  - удвоенная площадь i-го контура. Стрелочки по внешнему контуру на данном рисунке - это составляющие потока касательных усилий [9].

Значения  определены с помощью графического редактора «Компас V10».

Осуществляем вычисления:

;

;

Зная , , , , , согласно рис. 6.6 находим потоки касательных усилий (ПКУ) в стенках лонжеронов [9]:

Рисунок 6.6. Иллюстрация к соотношению

;

;


Стенки будем изготавливать из сплава Д16Т(лонжеронный) с . Толщины стенок лонжеронов определяем из условия, чтобы действующие касательные напряжения не превосходили разрушающего значения . Следуя учебному пособию [9], находим


Тогда толщины стенок составляют:

,

.

Окончательно принимаем:

, , .

Список источников

самолет аэродинамический нагрузка скорость

1. Тех. описание

2. Стригунов В.М. Расчёт самолёта на прочность: Учеб. Для вузов. - М.: Машиностр., 1984. - 376 с.

. Кан С.Н. Свердлов И. А. Расчёт самолёта на прочность: Учеб. для вузов. - 5-е изд. - М.: Машиностр., 1966. - 519 с.

. Проектирование конструкций самолётов: Учеб. для вузов / Е.С. Войт, А.И. Ендогур, З.А. Мелик-Саркисян, И. М. Алявдин. - М.: Машиностр., 1987. - 416 с.

. Строительная механика летательных аппаратов: Учебник для авиационных специальностей вузов / И.Ф. Образцов, Л.А. Булычев, В.В. Васильев и др.; Под ред. И.Ф. Образцова. - М.: Машиностроение, 1986. - 536 с.

6. Беляев Н.Е. Сопротивление материалов: учебник для вузов /

Н.М. Беляев; Мин-во высш. Образования СССР. - М.: ГИТТЛ, 1954. - 856 с.

. Бодягин А.А. Проектирование самолетов: учебник для вузов / А.А. Бодягин, С.М. Егир, В.Ф. Мишин и др. - М.: Машиностроение, 1972. - 516 с.

8. Гудков А.И.; П.С. Лешаков. Внешние нагрузки и прочность летательных аппаратов. - Машиностроение, 1968. - 470 с.

. Евсеев Л.А. Расчёт на прочность крыла большого удлинения: Уч. пос. -

Х.: ХАИ, 1985. - 106 с.

. Расчет шасси самолета на прочность: Учеб. пособие / Л.А. Евсеев, К.В. Миронов, П.А. Фомичев. - Харьк.: Харьк. авиац. ин-т, 1988. - 100 с.

11. Авиационные правила. Часть 25. Нормы лётной годности самолётов транспортной категории. - М.: МАК, 1994. - 322 с.

12. Нормы лётной годности гражданских самолётов СССР (изд. третье). - М.: ЦАГИ. - 1984. - 464 с.

Похожие работы на - Расчет на прочность сечений крыла

 

Не нашли материал для своей работы?
Поможем написать уникальную работу
Без плагиата!
Без нейросетей!