Управління фінансовими ризиками
1. Економічна суть,
методичні підходи та управління фінансовими ризиками
Невід'ємною складовою
комерційних ризиків є фінансові, тому що їх першопричина - структура капіталу.
Управління фінансовими ризиками називають ризик-менеджментом, метою якого є
ідентифікація ризиків, їх оцінювання і нейтралізування. До основних завдань
ризик-менеджменту належать визначення цілі ризику і ризикових вкладень
капіталу, ймовірності настання події, ступеня і розміру ризику; аналіз
зовнішнього середовища; вибір стратегії управління ризиком і засобів його
зниження.
Виокремлюють такі види
ризиків: кредитний, відсотковий, валютний, втраченої вигоди.
Кредитний ризик - це
небезпека втратити кошти організації внаслідок неповернення суми кредиту та
нарахованих відсотків.
Відсотковий ризик -
небезпека втратити кошти організації через те, що відсотки від залучених коштів
перевищують відсотки від розміщених засобів.
Валютний ризик - це
небезпека втратити кошти підприємства внаслідок зміни курсу валют.
Ризик втраченої вигоди
полягає у небезпеці втратити кошти підприємства внаслідок отримання непрямих
збитків від подій. Наприклад, за продажу товарів у кредит невиконання умов
оплати їхньої вартості у встановлений термін призводить до зростання
дебіторської заборгованості. Іммобілізовані кошти можна розмістити на
депозитному рахунку в банку, де вони забезпечать певний прибуток.
Оскільки кожна
господарська операція пов'язана з фінансовим ризиком, то для кожного
господарюючого суб'єкта можна визначити його інтереси з урахуванням межі
припустимого, критичного і катастрофічного ризиків.
Припустимий рівень
фінансового ризику визначають за розміром недоотриманого прибутку. Втрату
прибутку, яку можна перекрити позитивним результатом від інших операцій,
вважають припустимою.
Критичний рівень
фінансового ризику визначають за розміром скорочення виручки від реалізації
товарів і послуг. Наслідки цієї події вагоміші, оскільки за зниження виручки
підприємство втрачає обігові засоби, зростають його боргові зобов'язання тощо.
Відсутність альтернативи свідчить про критичний фінансовий стан підприємства.
Катастрофічний рівень
фінансового ризику пов'язаний із стрімким зменшенням активів і власного
капіталу підприємства. Обігові засоби втрачаються, засновники виходять із
товариства, падає курс акцій, вимоги кредиторів стають жорсткішими, можливість
банкрутства - реальністю.
З позиції інвестора всі
перелічені ризики можуть бути об'єднані в одну групу - загальний ризик або
ризик окремих цінних паперів (Рис. 1.1).
Рис. 1.1. Класифікація
інвестиційних ризиків
Інвестор, як правило, не
тримає тільки один вид цінних паперів. Життєвий принцип «не складати всі яйця в
один кошик» підказує, що значно безпечніше мати набір з декількох, фінансових
інструментів, випущених різними емітентами, так званий портфель інвестицій. У
цьому випадку більш важливим для інвестора є не рівень загального ризику
кожного цінного папера окремо, а сукупний ризик інвестиційного портфеля, або
ринковий ризик. Поєднуючи різні фінансові інструменти в портфель, інвестор
прагне максимально диверсифікувати ризик, тобто уникнути одночасної зміни
прибутковості кожного інструмента в тому самому напрямку. Та частина ринкового
ризику, що піддається такій диверсифікованості, називається несистематичним або
диверсифікованим ризиком. Величина ринкового ризику, що не піддається
диверсифікованості, називається систематичним (недиверсифікованим) ризиком. Чим
менше паперів у портфелі, тим вище величина несистематичного ризику, що може
бути знижена шляхом диверсифікованості портфеля, тобто шляхом поміщення в нього
все більшої кількості різних фінансових активів. Уважається, що портфель, що
складається з 40 випадково відібраних акцій, є достатньо диверсифікованим і
додавання в нього кожної нової акції вже не буде давати настільки ж високого
зниження несистематичного ризику, як це було для перших 40 цінних паперів.
Диверсифікованість
інвестиційного портфеля є найбільш очевидним і простим способом мінімізації
ризику. Якщо скористатися статистичною термінологією, диверсифіковагий ризик
відображається в ступені кореляції між окремими активами, що входять у
портфель. Однак, поряд із взаємозв'язками між акціями, що знаходять у портфель,
існує кореляція їхньої прибутковості із прибутковістю ринку в цілому, тобто
поведінка «середньої» акції. Вплив цього зв'язку не можна усунути шляхом
простої диверсифікованості портфеля, тому управління інвестиційним ризиком
припускає використання більш складних методів. Для правильного розуміння їхньої
суті необхідно більш докладно розглянути загальні принципи кількісного виміру
ризику.
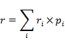
Середнє арифметичне
очікуваних доходів (ri) інвестицій, зважене по ймовірності виникнення окремих
значень, називається математичним очікуванням. Умовимося називати цю величину
середньою очікуваною прибутковістю:
(1)
де pi -
імовірність одержання прибутковості ri.
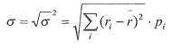
У статистиці кількісним
вимірником ступеня розкиду значень змінної навколо її середньої величини
(математичного очікування) є показник дисперсії (
).
Квадратний корінь
із дисперсії називається середнім квадратичним або стандартним відхиленням 
:
(3)
Даний показник
використовується у фінансовому менеджменті для кількісного виміру ступеня
ризику планованих інвестицій. Чим більше розкид очікуваних значень
прибутковості вкладень навколо їх середньоарифметичної величини, тим вище
ризик, пов'язаний з даним вкладенням. Фактична величина прибутковості може бути
як значно вищою, так і значно нижчою її середньої величини.
Практична
цінність такого підходу полягає не тільки (і не стільки) у застосуванні
статистичних формул, а в усвідомленні необхідності різноманітного планування
інвестиційних рішень. Будь-які очікувані результати цих рішень можуть носити
лише імовірнісний характер. Від фінансиста вимагається не тільки правильно
застосувати формулу розрахунку прибутковості інвестицій, а й дати кількісну
оцінку ймовірності виникнення конкретного результату. Як мінімум, необхідно
планувати не менше трьох варіантів розвитку подій: оптимістичний, песимістичний
і найбільш ймовірний (реалістичний). Повна ймовірність виникнення всіх цих
варіантів повинна дорівнювати 1.
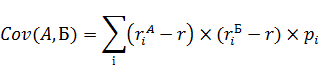
Тісноту зв'язку
двох змінних у статистиці вимірюють за допомогою коефіцієнтів кореляції, які
розраховуються за формулою:
(4)
де Cov (A, Б) -
коефіцієнт коваріації між прибутковістю акцій А та Б.
Коефіцієнт
коваріації обчислюється за формулою:
(5)
Поряд із
прибутковістю цінних паперів або їхніх портфелів може бути визначена
прибутковість конкретного фінансового ринку в цілому. Для цього можна
використати зміну якого-небудь фондового індексу (DJIA, S&P 500 і т. п.).
Приріст (зниження) цього індексу за певний період повинен бути віднесений до
значення індексу на початок періоду:
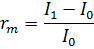
(6)
1, I0 - значення фондових індексів відповідно на кінець
і початок періоду;m - рівень прибутковості ринку в цілому.
У статистиці
ступінь залежності прибутковості однієї акції від рівня прибутковості всього
ринку знаходять шляхом побудови регресійних рівнянь типу:
(7)
де у -
результуючий показник;
х - впливаючий
фактор;
а - вільний член
рівняння регресії;
- коефіцієнт регресії;
- похибка.
Найважливішим
параметром цього рівняння є коефіцієнт регресії


, що показує, наскільки
сильно зміна факторного показника х впливає на результуючий показник у.
Формула
визначення необхідної інвесторам прибутковості фінансового інструмента має
вигляд:
= rj +


(rm - rj)
де rj
- безризиковий рівень прибутковості.
Вважається, що
інвестори вороже ставляться до зайвого на їхній погляд ризику (гізс ауегзіоп),
тому будь-який цінний папір, що відрізняється від безризикових державних
облігацій або казначейських векселів, може розраховувати на визнання інвесторів
тільки в тому випадку, якщо рівень його очікуваної прибутковості компенсує
властивий йому додатковий ризик. Дана надбавка називається премією за ризик,
вона прямо залежить від величини 
-коефіцієнта даного
активу, тому що призначена для компенсації тільки систематичного ризику.
Несистематичний ризик може бути усунутий самим інвестором шляхом
диверсифікованості свого портфеля, тому ринок не вважає потрібним установлювати
винагороду за цей вид ризику.
Сама по собі САРМ
є витонченою науковою теорією, що має солідне математичне обґрунтування. Для
того, щоб вона «працювала», необхідно дотримання таких завідомо нереалістичних
умов, як наявність абсолютно ефективного ринку, відсутність транзакційних
витрат і податків, рівний доступ всіх інвесторів до кредитних ресурсів й ін.
Проте настільки абстрактна логічна побудова одержала практично загальне
визнання у світлі реальних фінансів. Найбільші ринкові інститути, такі як
інвестиційний банкMarril Lynch, регулярно розраховують 
-коефіцієнти всіх
великих компаній, що котируються на фондових біржах. Відсутність в Україні
сформованої фінансової інфраструктури поки ще перешкоджає використанню всього
потенціалу, закладеного в дану модель.
Використання САРМ
дає фінансовому менеджерові інструмент прогнозування витрат із залучення нового
капіталу для реалізації інвестиційних проектів. Фінанси будь-якого підприємства
є відкритою системою, тому, плануючи свої капіталовкладення, воно зобов'язане
враховувати при цьому кон'юнктуру фінансового ринку. Менеджери підприємства
можуть абсолютно нічого не знати про індивідуальні особливості й особисті
переваги потенційних інвесторів. Це не звільняє їх від обов'язку знати головну
потребу будь-якого інвестора - одержати доход, що компенсує ризик інвестицій. У
цьому їм може допомогти використання моделі оцінки фінансових активів.
Поряд із
зовнішніми факторами (валютний ризик, ризик процентної ставки й ін.), існують
внутрішні передумови збільшення або зниження ризику підприємства:
підприємницький (діловий) і фінансовий ризики. Під підприємницьким розуміється
ризик неотримання операційного прибутку (прибутку до сплати відсотків по
кредитах і податку на прибуток). Однією з характеристик цього ризику є
операційний леверидж. Фінансовий ризик пов'язується з можливістю неотримання
чистого прибутку до сплати податку на прибуток, але після виплати відсотків.
Одним з вимірників ризику такого роду є фінансовий леверідж або ефект
фінансового важеля. Порівнявши між собою формули визначення операційного
прибутку й чистого прибутку до оподатковування, можна зробити висновок, що
додатковим фактором ризику у випадку фінансового левериджу виступає загальна
сума відсотків за кредит:
Приб = (p - v) 
q - F0 - 1 (10)-
І = (p - v) 
q - F0 (11)
де Приб -
операційний прибуток;- І - чистий прибуток до сплати податку на прибуток;
р - ціна одного
виробу;- змінні витрати на один виріб;- обсяг продажів;0 - фіксовані
витрати, пов'язані тільки з операційною діяльністю (без відсотків за кредит);
І - сума
відсотків за кредит.
Очевидно, що сума
процентних платежів збільшується в міру зростання питомої ваги позикового
капіталу в загальній структурі джерел фінансування підприємства. Отже, фінансовий
леверидж відображає ступінь залежності підприємства від кредиторів, тобто
величину ризику втрати платоспроможності.
2. Фінансовий
важіль
Фінансовий важіль,
коефіцієнт використання позикових засобів - залежність прибутку підприємства
від ступеня використання ним позикових засобів, при фіксованій вартості яких
створюється додатковий фінансовий важіль для акціонерів, якщо весь прибуток, що
накопичується таким чином, збільшує їхню частку в загальному капіталі компанії.
Фінансовий важіль розраховується як відношення суми позикового капіталу до суми
власного акціонерного капіталу компанії або позикового капіталу до суми усього
використовуваного компанією капіталу. Чим більше частка довгострокової
заборгованості, тим сильніше фінансовий важіль. Акціонери компанії одержують
вигоду від застосування фінансового важеля тільки в тому випадку, якщо дохід,
отриманий за рахунок залучення позикових засобів перевищує витрати по виплаті
відсотків. При використанні позикових ресурсів зростає ринкова вартість акцій,
що знаходяться в обороті.
В практиці фінансового
менеджменту леверидж (важіль) розглядається як важіль, що дає змогу за рахунок
незначних зусиль суттєво змінювати результати фінансово-господарської
діяльності підприємства.
На думку І.А. Бланка,
фінансовий леверидж - це один з основних механізмів реалізації такого завдання
фінансового менеджменту, як максимізація рівня рентабельності при заданому
рівні фінансового ризику. Ефектом фінансового левериджу він називає «показник,
який відображає рівень прибутку, який додатково генерується власним капіталом
при різній частці використання позикових засобів».
Фінансовий важіль - це
інструмент регулювання пропорцій власного та позикового капіталу з метою
максимізації рентабельності власних коштів підприємства. Його дія виявляється в
ефекті фінансового важеля (ЕФВ), під яким розуміють приріст рентабельності
власних коштів, отримуваний унаслідок використання коштів позикових (враховуючи
їх платність і поворотність). Ефект фінансового важеля досягається тільки тоді,
коли економічна рентабельність активів фірми (ЕР) вища за середню ставку
процента із залучених коштів (СП). Різницю між економічною рентабельністю
активів і середньою ставкою процента, називають диференціалом фінансового
важеля.
Ефект фінансового важеля
можна розраховувати за формулою:
. (1)
Якщо різниця (ЕР - СП)
позитивна, то будь-яке збільшення коефіцієнта заборгованості вестиме до
зростання рентабельності власного капіталу. Фінансист повинен враховувати, що
доти, доки капіталодавці (як кредитори, так і власники) не вимагають підвищення
плати за користування капіталом, ціну останнього підприємство може знижувати за
рахунок збільшення заборгованості. Однак підвищення частки позичок у структурі
капіталу підвищує ризик, а отже, кредитори вимагатимуть підвищених процентних
ставок за кредитами, що одержує підприємство. Це, в свою чергу, знижує згадану
різницю, а отже, зменшується ефект фінансового левериджу.
Податковий
коректор фінансового левериджу (1-Коп) практично не залежить від
діяльності підприємства, тому що ставка податку на прибуток установлюється
законодавчо.
Ефект фінансового важеля
показує, на скільки процентів збільшується рентабельність власного капіталу в результаті
залучення позичених коштів в оборот підприємства. Він виникає в тих випадках,
коли економічна рентабельність вище кредитного проценту.
Фінансовий важіль - це
потенційна можливість впливати на прибуток шляхом зміни обсягу та структури
власного і позикового капіталу. Він виражає взаємозв’язок між прибутком і
співвідношенням позикового і власного капіталу. Рівень фінансового левериджу
визначається відношенням темпів приросту чистого прибутку до темпів приросту
валового прибутку. Він показує у скільки разів темпи приросту чистого прибутку
вище темпів приросту валового прибутку. Це перевищення досягається за допомогою
плеча фінансового важеля. Змінюючи плече фінансового важеля, можна вплинути на
прибуток і дохідність власного капіталу. Незначні зміни валового прибутку і
рентабельності авансованого капіталу в умовах високого фінансового левериджу
можуть призвести до значних змін чистого прибутку, що небезпечно при падінні
обсягів виробництва. Зміна структури капіталу у бік збільшення частки
позикового капіталу викликає зростання фінансового ризику, хоча при цьому і
досягається вищий рівень прибутку.
Список
літератури
ризик
інвестиційний капітал позиковий
1. Кузьменко Л.В., Кузьменко В.В., Шаповалова В.М, Фінансовий
менеджмент: Навчальний посібник. - Херсон: Олді-плюс, 2003. - 256 с.
2. Рясних Є.Г. Основи фінансового менеджменту: навч. посіб./
Є.Г. Рясних. - К.: Академвидав, 2010. - 336 с. (Серія «Альма-матер»)
. Салига С.Я., Дацій Н.В., Корецький С.О., Нестеренко Н.В.,
Салтга К.С. Фінансовий менеджмент: Навчальний посібник. - К.: Центр навчальної
літератури, 2006. - 274 с.