Проектирование очистного оборудования литейного цеха
Реферат
В данном проекте было спроектировано очистное
оборудование.
Спроектировать дробеметную камеру для очистки
чугунного литья с массовым характером производства, развесом отливок от 10 до
50 кг.
Ключевые слова: дробеметный аппарат, дробеметная
камера, разброс дроби, диск, импеллер.
Курсовой проект включает 8 рисунков. В курсовом
проекте использовалось 4 источника.
Содержание
Введение
.
Дробеметный аппарат 393М
.
Дробеметная камера ДК10М
.
Расчет рабочего процесса
Список
использованных источников
Введение
После выбивки литье в очистном отделении цеха
подвергается обрубке и очистке.
В большинстве случаев предварительной операцией
является удаление литников и прибылей. От отливок серого и ковкого чугуна
литники легко отбиваются ударами молотка, и эта операция выполняется обычно еще
во время выбивки, до поступления литья в обрубную. Литники же и прибыли
стального и цветного литья отламываются труднее и только небольшого размера.
Крупные прибыли чугунного литья также трудно отбить молотками вручную, для
удаления их применяют специальное механическое оборудование.
Очистка отливок заключается в выполнении двух
операций: 1) очистки поверхности отливок от приставшей и пригоревшей
формовочной и стержневой смеси и 2) удаления заливов и неровностей, следов после
обрезки или отбивки литников и т. п. Механизация очистки поверхности отливок
осуществляется с помощью: 1) простых вращающихся барабанов; 2) пескоструйных,
дробеструйных и дробеметных машин. Удаление заливов и неровностей
механизируется с помощью станков со шлифовальными обдирочными камнями, а также
рубкой зубилами.
Оборудование для очистки отливок
Очистные галтовочные барабаны
Очистка отливок в простых барабанах
(круглых или квадратных) способ довольно старый, но еще
распространенный в литейном производстве благодаря своей простоте. Загруженные
в барабаны отливки очищаются путем несильных ударов и взаимного трения. Для
усиления этого эффекта вместе с литьем загружаются специальные звездочки (20-65
мм) из белого чугуна, которые своими острыми краями дополнительно обрабатывают
отливки. Кроме того, мелкие звездочки, проникая во внутренние полости отливок,
очищают трудно доступные поверхности. Вес звездочек составляет около одной
трети веса литья. Эффективность очистки в значительной мере определяется скоростью
вращения барабанов.
Работа вращающихся барабанов сопровождается
большим шумом, а также пылевыделением, особенно при выгрузке. Для уменьшения
шума между наружным корпусом и внутренней броней укладываются звукопоглощающие
прокладки.
При выборе конструкции и типа барабана учитывают
вес, конфигурацию и толщину стенок отливок. Так, для очистки литья весом от 1
до 25 кг применяют проходные барабаны непрерывного действия, для отливок весом
до 100 кг - барабаны периодического действия.
Проходной барабан непрерывного действия для
очистки литья весом от 1 до 20 кг (рисунок 1) представляет собой цилиндр 5
диаметром 1200 мм с крайними надставками в виде усеченных конусов. Изнутри
барабан облицован ребристыми плитами из марганцовистой стали, предохраняющими
его от износа. На участке барабана, окольцованном вентиляционным кожухом 1,
сделаны отверстия для просыпания песка и частиц пригара на уборочный
транспортер. Барабан имеет два бандажа 4, которыми он опирается на четыре
катка, и получает вращение от электромотора через редуктор и шестерню,
находящуюся в зацеплении с зубчатым венцом, сидящим на корпусе барабана. Чтобы
облегчить перемещение отливок внутри барабана, в направлении от загрузочного
конца к выходному он устанавливается с небольшим наклоном (до 6°), который регулируется
специальным винтовым механизмом 2. От осевого смещения барабан удерживается
упорными роликами 3, установленными с обеих сторон бандажа, барабан вращается
со скоростью 5-6 об/мин и для охлаждения отливок со стороны входного и
выходного отверстий имеет форсунки для подачи водовоздушной смеси.
дробеметный чугунный литье барабан
Существует также барабан с водяной промывкой
(мокрая очистка). Цилиндр такого барабана имеет множество отверстий и
опускается для вращения в ванну с водой. Вода проникает через отверстия и
вымывает все земляные отходы. Шлам, скапливающийся на дне ванны, удаляется
через специальный люк.
Дробеструйный и дробеметные установки. При
дробеструйной очистке струя дроби образуется под действием сжатого (4-6
атм.) воздуха, а при дробеметной дробь направляется на поверхность отливки
лопастями быстро вращающегося ротора дробеметного аппарата. В качестве
абразивного материала при дробеструйной и дробеметной очистке применяется
металлический песок и дробь, изготовляемые следующим образом.
Струя чугуна по выходе из вагранки или ковша раздробляется
на мелкие капельки струей воздуха или воды. Капли металла в виде мелких шариков
падают в ванну с проточной водой. Быстро охлаждаясь в воде, дробь приобретает
большую твердость. Выгруженная из ванны дробь просушивается и просеивается
через сито-классификатор: годная (размером 0,5-3,5 мм) направляется в
производство, а с размером более 3,5 мм дробится и затем добавляется к
просеянной.
Расход дроби при использовании пневматических
пескоструйных аппаратов составляет 2,5-3,5 кг на одну тонну очищенных отливок.
Применяют дробь, приготовленную из стальной
проволоки. Такая дробь служит значительно больше чугунной, так как она менее
хрупка.
Для отливок из мягких сплавов применяют
алюминиевую дробь.
Дробеструйные установки.
Дробеструйный метод очистки основан на использовании кинетической энергии
металлических частиц (песка, дроби), выбрасываемых с большой скоростью из сопла
дробеструйного аппарата струей сжатого воздуха. Дробеструйные установки, как
правило, состоят из следующих узлов:
) струйного аппарата;
) рабочей камеры;
) транспортного механизма, подающего
отливку в рабочую зону;
) системы возврата отработанной дроби или
песка для повторного использования;
) системы очистки и сепарации дроби.
У двухкамерного струйного аппарата (рисунок 2)
верхняя зарядная камера 3 соединена с загрузочной воронкой 1 при помощи
обратного клапана 2, нижняя рабочая камера 5 соединена с зарядной посредством
второго обратного клапана 4. Сжатый воздух подается через трубку 9 и кран 10 в
трубу 8 под дном бункера, смешивается здесь с поступающей через отверстие в дне
бункера дробью и по шлангу через сопло выбрасывает струю на обрабатываемую
отливку. Камеры 3 и 5 соединены с трубой 8 так, что рабочая камера 5 все время
находится под давлением сжатого воздуха, а зарядная 5 - только в момент зарядки
рабочей. Для наполнения дробью зарядной камеры надо понизить в ней давление.
Для этого служит специальный клапан 13, через который зарядная камера
сообщается с атмосферой.
При снижении давления в камере обратный клапан 2
откроется, и поступающая по элеватору дробь через воронку 1 наполнит зарядную
камеру. Как только камера наполнится, клапаном 13 снова открывают доступ
сжатого воздуха в зарядную камеру, давление в ней поднимается, и обратный
клапан воронки 1 закрывается. Когда давление в верхней и нижней камерах
сравняется, открывается обратный клапан 4, и дробь или металлический песок
заполняет рабочую камеру.
Аппарат может работать без перерыва на время
зарядки. Однако отверстие в дне бункера для выхода песка часто засоряется.
Прочищают его сжатым воздухом. Для этого с помощью крана 11 прекращают подачу
сжатого воздуха в камеры. После этого продувают отверстие, открывая клапан 6 на
изогнутом колене трубы, которая заканчивается воронкой 7 над отверстием в дне
бункера. Сжатый воздух из трубы 8 через отверстие, воронку и изогнутую трубу
удаляет все застрявшие в отверстии частицы. Закрыв клапан 6 и открыв кран 11,
продолжают работу. Давление сжатого воздуха измеряется манометром 12.
Из многочисленных конструкций дробеструйных
машин для очистки отливок наиболее распространены барабаны, столы и камеры.
Дробеструйный барабан
имеет такую же форму, как и простой, но в пустотелые цапфы его вставлены сопла
дробеструйных аппаратов. Вращение барабана здесь нужно не для того, чтобы
очищать отливки перекатыванием и трением друг о друга, а для переворачивания
их. Очистка осуществляется струей дроби, металлического песка и воздуха.
Поэтому скорость вращения здесь составляет всего лишь два-три оборота в минуту.
Очень удобен для загрузки барабан с наклонной осью вращения.
Хрупкие отливки в барабанах могут разбиться,
поэтому их очищают на дробеструйных столах. Такой стол имеет диаметр 2300 мм и
делает 26-52 оборота в час. Половина стола находится в зоне действия струи
дроби и ограждена кожухом с фартуком. Фартук сделан из нескольких отдельных
кусков прорезиненной ленты шириной 200- 300 мм, что позволяет отливкам свободно
проходить через него в зону очистки. Над кожухом установлен двухкамерный
аппарат нагнетательной системы, работающий тремя соплами. Чтобы сопла
охватывали большую поверхность отливок, им сообщается вращательное движение.
Дробь после очистки проваливается сквозь решетчатый настил стола и попадает в
приемный лоток элеватора, подающего ее в сепаратор. В сепараторе дробь
очищается от пыли и мелочи и подается в дробеструйный аппарат.
Для очистки крупных отливок устраивают
камеры-кабины, куда на тележке завозят отливки. Сопло, через которое
выбрасывается дробь, соединено посредством шланга с дробеструйным аппаратом. Пол
камеры делается решетчатым для сброса дроби, которая просыпается в бункер,
расположенный под решетчатым полом камеры, доставляется шнеком к вращающемуся
ситу и, просеявшись, попадает в элеватор. Из элеватора дробь поступает в
сепаратор, где отделяются мелкие частицы и пыль. Годная дробь направляется в
дробеструйный аппарат.
Дробеметные установки.
В этих установках дробь выбрасывается при помощи дробеметных аппаратов.
Кинетическая энергия сообщается дроби центробежной силой, приобретаемой во
вращающейся турбине.
Расход энергии при дробеметной очистке примерно
в 6 раз меньше, чем при дробеструйной, благодаря более высокому к. п. д. Кроме
того, для работы дробеметных установок не требуется дорогих компрессорных
установок. На лопатки рабочего колеса дробь может подаваться тремя способами:
) при помощи распределительного колеса
(импеллера);
) гравитационным способом;
) гравитационно-воздушным способом.
Способ подачи в большой мере определяет
конструкцию дробеметных аппаратов, которые могут быть однодисковыми и двухдисковыми
с правым и левым исполнением. Существуют также однодисковые и трубчатые
аппараты с двухсторонним питанием дробью.
Рассмотрим схему двухдискового колеса с подачей
дроби на лопатки при помощи распределительного колеса (рисунок 3). Через
загрузочное устройство 1 дробь поступает на лопатки распределительного колеса
7. Два диска 9 с лопатками 6, скрепленные пальцами 3, представляют собой
рабочее колесо, сидящее совместно с распределительным на валу 8.
Подвижная направляющая коробки 2 имеет окно, через
которое дробь выбрасывается на рабочие лопатки 6. Подача дроби регулируется
поворотом направляющей коробки и изменением положения ее окна относительно
вертикальной оси рабочего колеса. Последнее помещено в корпус со щитками 4 и 5
для отражения отскакивающей от отливок дроби. Чтобы предотвратить разрежения во
вращающейся турбине, в ступице ее рабочего колеса сделаны отверстия для подсоса
воздуха.
Поскольку рабочая поверхность лопатки не
плоская, а вогнутая, то дробь на сходе с нее приобретает «крученое» движение и
эффективность очистки повышается.
Для расширения струи дроби оси стаканов, в
которые вставлены трубчатые лопасти, отклонены на 5° от плоскости вращения
диска ротора. При гравитационно-воздушной подаче дроби последняя из приемной
воронки под действием силы тяжести поступает к патрубку, в который подается
струя воздуха под напором 400 мм вод. ст. Воздух подхватывает дробь и несет ее
в сопло, а затем выбрасывает на быстро вращающиеся рабочие лопатки, которые
придают ей необходимую скорость вылета. Подача дроби регулируется изменением
количества и давления воздуха, подаваемого в приемный патрубок.
Аппараты с воздушной подачей дроби сравнительно
громоздки и малопроизводительны.
У всех приведенных выше дробеметных аппаратов
лопатки колес быстро изнашиваются. Изготовляются они литыми из отбеленного или
хромистого чугуна и марганцовистой стали.
Дробеметные установки выполняются в виде
вращающихся дробеметных столов, ленточных дробеметных барабанов или дробеметных
камер тупикового и проходного типов.
Из выше перечисленного следует сделать вывод что
гораздо выгоднее использовать дробеметное очистное оборудование. Т.к. развес
отливок в данном курсовом проекте составляет от 10 до 50 кг, выбираем
дробеметную камеру ДК 10М и дробеметный аппарат 393М.
1. Дробеметный аппарат 393М
Дробеметный аппарат модели 393М конструкции
НИИЛИТМАШа предназначен для очистки отливок (и поковок) от пригара струей
металлической дроби. В отличие от дробеструйного аппарата дробь здесь
выбрасывается лопатками быстровращающегося ротора, поэтому она обладает большей
кинетической энергией и очистка происходит более интенсивно. Дробеметный
аппарат устанавливается в очистных камерах, на очистных барабанах и столах.
Ротор аппарата помещен в кожухе и посажен на
шпинделе. Он приводится в действие от электродвигателя через
клиноременную передач. Дробь к ротору подводится через патрубок.
Ротор состоит из двух дисков с отверстиями в
центре, соединенных между собой пальцами. Один из дисков закреплен на ступице,
посаженной на вал шпинделя. В радиальные пазы дисков вставлены восемь лопаток:
лопатки не доходят до центра диска. Для предотвращения выброса лопаток
центробежными силами он и фиксируются винтами.
В центральное отверстие диска вставлена
неподвижная распределительная камера, укрепленная во фланце кожуха. В
верхней части камеры имеется окно. Внутри камеры располагается восьмилопостная
крыльчатка (импеллер), закрепленная на валу шпинделя. Лопатки крыльчатки
также не доходят до оси ротора. При работе аппарата дробь непрерывно подается в
воронку, из которой под действием собственного веса по патрубку она поступает в
центральную полость крыльчатки. Лопатки вращающейся крыльчатки подхватывают
дробь, которая под действием центробежных сил прижимается к внутренней стенке
распределительной камеры, и доставляют ее к окну камеры. Вылетевшая из
окна дробь проходит некоторый путь, затем ее подхватывают рабочие лопатки
ротора.
Под действием центробежных сил дробь
перемещается вдоль лопатки к периферии и выбрасывается с большой скоростью вниз
в виде факела (веера). При встрече с отливкой дробь разрушает корку пригара,
откалывает ее от отливки, производя этим очистку последней.
Патрубок также крепится к фланцу двумя болтами.
Для регулировки положения патрубка само гнездо может быть повернуто
относительно кожуха аппарата.
Распределительная камера на внутренней
поверхности имеет левую литую нарезку, что предотвращает раздавливание
дробинок, попавших в зазор между стенкой камеры и крыльчаткой.
Часть дроби, однако, выбрасывается ротором на
стенки кожуха. Поэтому кожух изнутри покрыт защитными листами. Между стенкой
кожуха и защитными листами установлены войлочные прокладки, уменьшающие
вибрацию кожуха и связанный с ней шум. На нижней части кожуха укреплены
резиновые листы, которые задерживают дробь из крайних образующих факела и
предотвращают этим износ боковых стенок камеры. Для смены рабочих лопаток
верхняя часть кожуха закреплена на шарнирах и может откидываться в сторону.
2. Дробеметная камера ДК 10М
Дробеметно-дробеструйная камера модели ДК-10М
конструкции завода «Амурлитмаш» предназначена для очистки от пригара отливок
весом до 3 т после выбивки из них стержней. Камера состоит из собственно камеры
с дробеметными аппаратам, поворотного круга, грузовой тележки с приводом, дробеструйного
аппарата и системы возврата и сепарации дроби.
Камера представляет собой сборную конструкцию,
по ее торцам или торцам камеры расположены двери для ввода в камеру грузовой
тележки с отливкой. Один дробеметный аппарат установлен на потолке камеры,
второй - на ее боковой стенке.
Отливка завозится в камеру на тележке сварная
рама которой установлена на четырех катках. Передвижение тележки по рельсам
осуществляется тележкой-приводом. Последняя представляет собой раму,
перемещающуюся по тем же рельсам, что и грузовая тележка, на четырех катках. На
тележке-приводе установлен электродвигатель с редуктором. Редуктор приводит в
действие вал, на конце которого установлена кулачковая полумуфта. Отливка,
подлежащая очистке, устанавливается на грузовую тележку, и последняя
тележкой-приводом вводится в камеру, где заезжает на поворотный круг.
Тележка-привод выкатывается из камеры, ворота закрываются, и поворотный круг
приводится в движение. Дробь, выбрасываемая двумя дробеметными аппаратами,
производит очистку отливки. Если конфигурация отливки достаточно сложна и отдельные
ее участки (обычно внутренние ее полости) не очищаются дробеметными аппаратами,
то производится доочистка отливки с помощью дробеструйного аппарата. При этом
дробеструйщик находится внутри камеры. В камере установлена блокировка,
делающая невозможным включение дробеметных аппаратов при работе в ней
дробеструйщика или при открытых воротах камеры.
При очистке в случае необходимости тележка с
отливкой выкатывается из камеры, отливка переворачивается, и процесс очистки
повторяется.
Вместо тележки может использоваться конструкция
на рисунке 4.
Рисунок 4 - Подвесная конструкция
Отработанная дробь и продукты очистки
проваливаются через отверстие настила в бункер. На дне бункера установлен шнек,
который транспортирует дробь в барабанный сепаратор. Вал шнека и сита
приводится в действие от нижнего барабана элеватора через цепную передачу.
Скорость вращения шнека и сита 27 об/мин. В барабанном сепараторе отделяются
крупные частицы, а просеянный материал подается к элеватору, который поднимает
его и выдает в приемный лоток магнитного сепаратора. Магнитный сепаратор
представляет собой ленточный транспортер, приводной шкив которого является
электромагнитным шкивом. Последний отделяет дробь от неметаллических включений
(песка, пыли). Под сепаратором установлен бункер, разделенный на два отсека. В
один отсек падают неметаллические материалы, а в другой - дробь, проходящая
сквозь катушку размагничивания. Из этого отсека дробь по трем дробепроводам
попадает к дробеметным и дробеструйному аппаратам.
Управление исполнительными механизмами и
аппаратами камеры производится с пульта, установленного с торца камеры.
3. Расчет рабочего процесса
Рассмотрим рабочий процесс типового дробеметного
колеса, имеющего подачу дроби 130 кг/мин, диаметр 500 мм, частоту вращения 2250
об/мин (w =235,6 с-1),
число рабочих лопатой и лопаток импеллера по 8 штук, ширину окна во втулке
импеллера 50 мм и размеры втулки импеллера и зазоров, как показано на рисунке
5.
Рисунок 5 - Размеры импеллера типового
дробеметного колеса
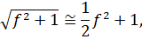
Примем, что поток дроби выбрасывается по
касательной из зазора в точке 0 на радиусе r0
= 53 мм (рисунок 6). Скорость выбрасывания составит

где w - частота
вращения дробеметного колеса;
r0 - радиус
вращения.
При возможном сечении 50×6 мм и
плотности укладки в нем дроби 2,5 г/см3 максимальная подача дроби в
минуту будет составлять 0,05·0,006·12,5·60·2,5·103 = 560 кг/мин, что
в несколько раз превышает действительную подачу дроби, с которой работает
данное колесо.
От этого выбрасываемого импеллером
потока дроби очередная (сорадиальная с началом окна в распределительной втулке)
рабочая лопатка А, повернувшись с колесом в положение А' (рисунок 2), отсечет и
примет на себя некоторый отрезок 1 - 2 потока. Для точки 1 этого отрезка, в
которой помещается его хвостовая (задняя) дробинка, можно написать: l20-1 + 532
= 702 откуда расстояние между точками 1 и 2 l0-1 = 46 мм, а
угловая координата точки 1:
Рисунок 6 - Расчет рабочего процесса
дробеметного колеса
Для нахождения положения точки 2
отсекаемого отрезка потока, в которой помещается головная (передняя) дробинка
данного отрезка, рассмотрим относительное движение начала отрезка, следующего
заданным, т.е. точки 1. Для этого, пользуясь изложенной выше общей методикой,
построим по точкам траекторию 1 - 1' движения точки 1 относительно колеса,
исходя из полярных координат

2,
где v0 -
абсолютная скорость дробинки;
t -
промежуток времени от момента начала движения в точке 1;
для различных значений t, которыми
задаемся. Из рисунка 2 видно, что траектория эта пересекает очередную рабочую
лопатку В, находящуюся за лопаткой А на угловом расстоянии 45˚, в точке x2 на радиусе r2 = 122 мм.
Угловая координата точки 2 встречи (любой) рабочей в абсолютном движении с
головной дробинкой отрезка потока, отсекаемого этой лопаткой, будет, как видно:
Расстояние 0 - 2 составит 
что дает длину отсекаемого каждой
рабочей лопаткой отрезка потока дроби 110 - 46 = 64 мм.
Начальные скорости движения крайних
дробинок 1 и 2 этих отрезков (в третьем этапе процесса) составят, очевидно, для
первой дробинки:
а для второй:
По данным П.Н.Аксенова [2] выходные
параметры при сходе дробинок 1 и 2 будут следующими: для дробинки 1:
· время движения дробинки по лопатке, t
=0,0076 с;
· выходная относительная скорость, w
= 18,4 м/с;
· абсолютная скорость схода, v
=62 м/с;
· отклонение вектора скорости от
касательной, α =17°;
· угол схода, считая он начала окна в
распределительной втулке, θ=143°;
для дробинки 2 соответственно:
· время движения дробинки по лопатке, t
=0,0047 с;
· выходная относительная скорость, w
= 44,2 м/с;
· абсолютная скорость схода, v
=73 м/с;
· отклонение вектора скорости от
касательной, α =37°;
· угол схода, считая он начала окна в
распределительной втулке, θ=129°.
По этим данным на рисунке 7 построен веер
разброса дроби. Расчетный угол разброса составляет (143 - 129) + (37 - 17) = 34º.
Рисунок 7 - Расчетный разброс дроби
Определим скорость, с которой колесо
выбрасывает дробь на очищаемые отливки.
Скорость вылета дроби из головки в
сочетании с заданным расходом дроби однозначно определяет мощность струи
(«факела») и тем самым, интенсивность очистки.
Абсолютная скорость дроби в точке
схода с радиальной лопатки
где v2 -
тангенциальная составляющая скорости дробинки;
w2 -
радиальная составляющая скорости дробинки;
r2 - радиус
лопатки в точке схода.
Рисунок 8 - К расчету скорости дроби
и мощности электродвигателя привода дробеметного аппарата
Проведенный анализ траекторий
движения дроби в дробеметных головках, а также изучение характера износа
дробеметных лопастей в производственных условиях показали, что точка входа
дроби на лопатку обычно находится на первой четверти ее длины, т.е.
где L - длина
лопатки;
r1 - радиус
входа дробинки на лопатку.
При выполнении этого условия
соотношения радиуса точки входа и точки схода дроби будет находиться в
пределах:
Так как
то формула (7) с учетом (8) и (11)
окончательно будет:
где va - скорость
вылета дроби;
w - угловая
скорость колеса;
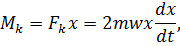
Мощность электродвигателя привода
дробеметного аппарата может быть получена из рассмотрения характера силового
взаимодействия дробинки и лопатки при движении. На радиальную лопатку (рисунок
4) со стороны дробинки действует Кориолисова сила инерции Fk и
вызываемая ею сила трения, направленная по лопатке.
Момент на валу дробеметного колеса,
необходимый для преодоления силы Fk:
а соответствующая элементарная
работа за время dt будет:
где т - масса частицы;
х - расстояние от центра вращения
колеса до точки, в которой частица находится в данный момент.
Интегрируя выражение (12) вдоль
радиуса лопатки, получим работу, затрачиваемую на сообщение кинетической
энергии дробинке на пути от r1 до r2:
Мощность электродвигателя привода
дробеметного колеса при производительности q кг дроби в
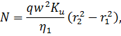
секунду будет:
где Ки - коэффициент,
учитывающий энергию, расходуемую в импеллере, на основании практических данных
Ки = 1,1 - 1,2;
η1 -
коэффициент, учитывающий потери энергии в приводе колеса и потери,
обусловленные вентиляционным эффектом; для расчетов можно принимать 0,85 -
0,95;
r1 - радиус
входа дробинки на лопатку;
q - расход
дроби;
Принимаем N=7757Вт =
7,7 кВт.
Выбран двигатель 132М, мощностью 11
к Вт, с частотой вращения 3000 об/мин.
Список использованных источников
1
Аксенов П.Н. Оборудование литейных цехов: Учебник для машиностроительных вузов
- 2- изд., перераб. и доп. - М.: Машиностроение, 1977. - 510 с.
Горский
А.И. Расчеты машин литейного производства - М.: Машиностроение, 1978.
Зайгеров
И. Б. Оборудование литейных цехов - Минск: Высшая школа, 1980. - 368 с.
4
<http://tlp.of.by/lekzii/198-oborudovanie-lit-zehov.html>