Стратегия ценообразования в маркетинге (на примере ОАО 'Северный кондитер')
Содержание
Введение
. Теоретические аспекты ценообразования в маркетинге
.1 Роль и функции цены в маркетинге
1.2 Виды цен и их классификация
.3 Факторы маркетингового ценообразования
.4 Стратегии маркетингового ценообразования
2. Методические основы процесса маркетингового ценообразования
.1 Порядок ценообразования в маркетинге
2.2 Методы маркетингового ценообразования
2.3 Тактические приемы ценообразования в маркетинге
. Разработка стратегии ценообразования в ОАО «Северный
кондитер»
.1 Обзорный анализ российского рынка хлеба и хлебобулочных
изделий
3.2 Краткая организационно-экономическая характеристика
предприятия
3.3 Маркетинговое исследование потребительских предпочтений на
рынке хлеба города
.4 Разработка методики процесса ценообразования на предприятии ОАО
«Северный кондитер»
Заключение
Список использованных источников
Приложения
Введение
Важной составной частью маркетинга
является формирование ценовой политики по отношению к продвигаемым на рынок
товарам и услугам. Исторически сложилось, что цена была и остается важнейшим
критерием принятия потребительских решений. Для государств с невысоким уровнем
жизни, для бедных слоев населения, а также применительно к товарам массового
спроса это характерно. Но за последнее время получили широкое развитие иные,
неценовые факторы конкуренции, такие, как стимулирование сбыта, организация
распределения товара и услуг для клиентов. Тем не менее, цена сохраняет свои
позиции как традиционный элемент конкурентной политики, оказывает большое
влияние на рыночное положение и прибыль предприятия. Это определяет
актуальность темы курсовой работы.
Вместе с тем, ценовая политика
многих фирм, особенно в России, нередко оказывается недостаточно
квалифицированной. Наиболее часто в российской практике маркетинга
ценообразование чрезмерно ориентировано на издержки; цены слабо приспособлены к
изменению рыночной ситуации, используются без связи с другими элементами
маркетинга, недостаточно структурируются по различным вариантам товара и
сегментам рынка.
Данные недостатки вызваны во многом
наследием плановой экономики, когда цены определялись директивно или только на
основе издержек, недостаточностью знаний российских руководителей в области
маркетинга. Поэтому очень важным представляется использование разработанных
маркетинговых подходов.
Так сложилось, что цены
устанавливали покупатели и продавцы в ходе переговоров друг с другом. Продавцы
обычно запрашивали цену выше той, что надеялись получить, а покупатели - ниже
той, что рассчитывали заплатить. Поторговавшись, они в конце концов сходились
на взаимоприемлимой цене.
Установление единой цены для всех
покупателей - идея сравнительно новая. Распространение она получила только с
появлением в конце XIX века крупных предприятий розничной торговли. Такие фирмы
рекламировали «строгую политику единых цен», потому что предлагали большое
разнообразие товаров и держали большое количество наёмных работников.
В настоящее время фирмы подходят к
проблемам ценообразования по-разному. В мелких фирмах цены часто
устанавливаются высшим руководством. В крупных компаниях проблемами
ценообразования обычно занимаются руководители специализированных отделов и
управляющие товарным ассортиментом. Но и здесь высшее руководство определяет
общие установки и цели политики цен. В отраслях деятельности, где факторы ценообразования
играют решающую роль, фирмы часто учреждают у себя отделы цен, которые либо
сами разрабатывают цены, либо помогают делать это другим подразделениям. Среди
тех, чьё влияние так же сказывается на политике цен, следует отметить
бухгалтеров, менеджеров по производству и сбыту, финансовых менеджеров.
Цель курсовой работы заключается в
разработке стратегии ценообразования в ОАО «Северный кондитер» и расчете цены
на выпускаемый товар.
Для достижения цели курсовой работы
необходимо решить следующие задачи:
. Рассмотреть теоретические
аспекты маркетингового ценообразования; понятие, функции и роль цены в
современном комплексе маркетинга.
. Обозначить виды цен в
инфраструктуре рыночной экономики и предложить их классификацию.
. Рассмотреть факторы маркетингового
ценообразования и оценить их влияние на ценовую политику предприятия.
. Привести и охарактеризовать
современные стратегии ценообразования в маркетинге.
. Представить порядок и
методы маркетингового ценообразования.
. Выявить тактические приемы
в процессе ценообразования.
. Провести обзорный анализ
российского рынка хлеба и хлебобулочных изделий.
. Провести маркетинговое
исследование потребительских предпочтений на рынке хлеба г.
. Рассчитать цену на товар
одним из методов маркетингового ценообразования и разработать ценовую стратегию
в ОАО «Северный кондитер».
Объектом исследования является
ценовая политика предприятия.
Предметом исследования является цена
на выпускаемый товар.
Базой для проведения исследования
выступает производственное предприятие ОАО «Северный кондитер».
Информационной основой для
проведения исследования в рамках данной курсовой работы является учебная
литература по дисциплинам «Маркетинг», «Экономическая теория»; информация
электронных ресурсов сети Internet, а также информация специализированных
периодических изданий: «Экономика и жизнь», «Российский экономический журнал»,
«Проблемы теории и практики ценообразования», «Управление компанией» и других.
.
Теоретические аспекты ценообразования в маркетинге
.1 Роль и функции цены в
маркетинге
Цена - это наиболее видимый,
сильнодействующий, вызывающий быструю реакцию рынка маркетинговый инструмент.
Успешная работа коммерческих предприятий невозможна без грамотной ценовой
политики, базирующейся на знании сущности, взаимосвязей и закономерностей
поведения рыночной цены, основ ценового маркетинга. Важным фактором принятия
решений по ценам является наличие достоверной информации и всесторонний анализ
ценовой ситуации на рынке. Для решения этих проблем необходимы знания
методологии сбора, обработки и анализа данных, характеризующих цены, процесса
их образования и изменения. [1, с.18-22]
Изучение закономерностей цен и
ценообразования опирается на современную экономическую теорию. Как известно,
существуют различные взгляды на экономическую природу цены, но мнения
большинства экономистов едины в том, что цена - это денежное выражение
стоимости товара. Грамотный маркетолог должен иметь представление о том, как
формируется рынком соотношение базовых цен различных товаров, определяемое их
стоимостью, но реальный интерес для него все же представляет цена как сумма
денег, которую согласен заплатить (передать) покупатель за единицу товара в
акте купли-продажи. Теория ценового маркетинга базируется на таком определении
цены. [там же]
Уровень цен считается надежным
индикатором функционирования конкуренции. Ценовая конкуренция возникает не
только между товаропроизводителями, но и между производителями и торговлей.
Производитель хотел бы контролировать две цены: оптовую цену предприятия и
розничную цену, т.к. выручка его зависит от первой цены, а вторая влияет на
позиционирование товара. Однако законодательство многих государств закрепляет
право формирования розничной цены за предприятиями розничной торговли. Это
ограничивает возможности производителя, т.к. ему остается только предполагать,
какую цену назначит торговля при его оптовой цене и обычной торговой наценке.
Под ценой в самом широком смысле
этого слова понимаются все субъективные и объективные затраты, связанные с
приобретением продукта - носителя качества.
К субъективным затратам при этом
относятся такие невещественные затраты, как потеря времени, комфорта или
появление ощущения упущенной выгоды.
Объективные же затраты - это
собственно цена товара и любое дополнительное отчуждение денежных или иных
материальных средств покупателя данного товара, т.е. это базисная цена и цена
дополнительных услуг (транспортных, скидок, затрат на ремонт и т.д.).
Конечные потребители обычно слабо
осознают побочные затраты, которые они должны нести наряду с базовой ценой
(дорожные расходы, психические затраты, затраты времени и т.п.), плохо знают
цены на сравнимые продукты, а психологические цены (неокругленные)
воспринимаются ими как более "честные" и производят на них
благоприятное впечатление; также подобный эффект достигается путем выставления
цен с помощью плакатов или знаков, или используя языковые обозначения типа
“отпускная цена”.
Под "честной" или
приемлемой ценой при этом следует понимать не конкретную величину, а область
терпимости, т.е. готовность заплатить по цене. Сверху эта область ограничена
ценой, которую потребитель готов заплатить за определенный продукт, нижняя
определяется ценой, которая ими воспринимается еще как приемлемая. Все, что
находится ниже, неприемлемо для него с точки зрения качества.
Под стандартной (средней) ценой
понимается цена, относимая к совокупности сравнимых взаимозаменяемых продуктов
(товаров-субститутов).
Для каждого уровня качества и для
каждой категории продуктов имеется своя "стандартная цена". Она
возникает в результате субъективной переработки информации о ценах и может не
соответствовать ни одной реальной цене. Предположим, что товары А, В и С (См.
Рисунок 1) воспринимаются как одинаковые с точки зрения качества, но цены
продуктов различны. Тогда, исходя из принципа рациональности, будет выбран
продукт с наиболее низкой ценой (функция "цена-сбыт" в
микроэкономической теории). Правда, иногда тщеславие заставляет людей покупать
более дорогие продукты (Veblen - эффект). [15, с.42]
Рисунок 1 - Связь функции цена-сбыт
и представление однородных товаров А, В и С в объективном пространстве оценки
Уровень и поведение цены на рынке
находятся под воздействием целого ряда факторов и, в свою очередь, влияют на
них. Это определяет двойную роль коммерческой цены:
- индикатор рынка, отражающий весь комплекс ценообразующих факторов,
их зарождение, развитие и взаимодействие;
- маркетинговый регулятор рынка, с помощью которого осуществляется
воздействие на поведение субъектов и факторов рынка.
Ценообразование в практике
маркетинга основано не на оптимизационных методах, а на постепенном, с
использованием неполноценной информации, поиске более или менее приемлемой
цены.
Проблема определения цен в
реальности решается исходя из трех подходов:
. Каждое предприятие должно
экономически обеспечить свое существование. Это означает, что цена должна
покрывать затраты, связанные с деятельностью предприятия (краткосрочно или
долгосрочно).
. Наряду с покрытием затрат
предприятие нацелено на получение максимальной или достаточной прибыли. Поэтому
необходимо проверить, какую цену готовы принять отдельные сегменты рынка.
. В рыночной экономике продавцы, как
правило, конкурируют между собой. По этой причине величина цены, которую
потребитель готов платить, существенно зависит от предложения конкурентов.
Для принятия решения о ценах при
постановке задач ценообразования определяющими величинами являются затраты,
поведение потребителей и влияние конкурентов. Ценообразование на предприятии
может быть ориентировано на одну из этих величин.
Важность ценовых решений в
маркетинге обеспечивается тем, что:
- цена определяет уровень спроса и объем продаж;
- цена определяет рентабельность бизнеса (прибыль, срок окупаемости
затрат);
- цена определяет общее восприятие товара (позиционирование, имидж
марки);
- цена - удобная база для сравнения конкурирующих товаров;
- другие составляющие маркетинга должны быть совместимы с ценой
(например, расходы на продвижение товара).
Уровень цен, конкретные их значения
изменяются в ценовой политике предприятия в зависимости от конкретной стадии
жизненного цикла товара.
Изменения экономической и
конкурентной среды последних лет значительно усилили стратегическую роль цены.
Представим факторы, определившие рост стратегической роли цены в конце XX в., в
виде схемы. См. Рисунок 2.
Рисунок 2 - Факторы, определившие
рост стратегической роли цены в конце XX века
Повышение важности и сложности
решений по ценам привело к тому, что на современном этапе они, как правило,
принимаются на высшем уровне управления фирмой.
Схематично место цены и
ценообразования в маркетинге изображено на Рисунке 3. Эта система, начинающаяся
с исследования ценовой ситуации на рынке, не завершается выпуском на рынок
правильно назначенной цены. Эта цена сама меняет рыночные условия и реагирует
на их изменения, что требует постоянного наблюдения и анализа.
Рисунок 3 - Место цены в системе
маркетингового ценообразования
Структура конкретной цены,
соотношение ее элементов зависят от рыночной ситуации, вида товара, его
себестоимости и издержкоемкости, а также транспортабельности, длины канала
товародвижения (числа торговых посредников) и т.д. На процесс ценообразования
также сильно влияет налоговая политика государства. Кроме того, цена
обязательно должна возмещать издержки продавца и приносить ему прибыль.
Формирование цен осуществляется, как
правило, по единой схеме (См. Рис. 4). В процессе коммерческого ценообразования
комплексно анализируется ряд социально-экономических условий, вырабатывается
ценовая стратегия и тактика, определяется приемлемый для фирмы метод
ценообразования и страхования цены от невыполнения.
Рисунок 4 - Этапы маркетингового
ценообразования
Подчеркивая роль цены в маркетинге,
целесообразно отметить, что цены обеспечивают закрепление фирмы на рынке, а
также гарантируют необходимый уровень послепродажного обслуживания товара.
Таким образом, на уровне фирмы цена
играет двойную роль: подобно рекламе она является инструментом стимулирования
спроса и одновременно представляет собой главный фактор долгосрочной
рентабельности. Поэтому при выборе ценовой стратегии нужно учитывать как
внутренние ограничения. накладываемые издержками и рентабельностью. так и внешние
ограничения, определяемые покупательной способностью рынка и ценой
товаров-конкурентов. Кроме того, решения по ценам должны быть согласованы с
решениями по позиционированию товара и со сбытовой стратегией.
.2
Виды цен и их классификация
В зависимости от ряда экономических
признаков в переходный период все цены классифицируются по видам и
разновидностям.
Первым и важнейшим признаком
классификации цен является их дифференциация в соответствии с обслуживаемой
сферой товарного обращения.
В зависимости от этого признака цены
подразделяются на следующие основные виды:
- оптовые цены на продукцию промышленности;
- цены на строительную продукцию;
- закупочные цены на сельскохозяйственную продукцию;
- тарифы грузового и пассажирского транспорта;
- розничные цены;
- тарифы на коммунальные и бытовые услуги, оказываемые населению;
- цены, обслуживающие внешнеторговый оборот (экспортные и импортные
цены).
Оптовые цены на продукцию
промышленности - цены, по которым реализуется и закупается продукция
предприятий, фирм и организаций промышленности независимо от форм собственности
в порядке оптового оборота. Продукция продается и покупается оптовыми партиями
со сменой форм собственности, чего не было при административном
ценообразовании. В этом принципиальное отличие оптовых цен в условиях перехода
к рыночным отношениям.[7, с.123-125]
Оптовые цены на продукцию
промышленности в свою очередь подразделяются на два подвида:
- оптовая цена предприятия (отпускная цена);
- оптовая цена промышленности.
Оптовая цена предприятия (отпускная
цена) - цена изготовителя продукции, по которой предприятие реализует
произведенную продукцию оптово-сбытовым организациям или другим предприятиям. В
условиях перехода к рынку эти цены призваны обеспечивать возможность дальнейшей
хозяйственной деятельности предприятиям и организациям. Другими словами,
реализуя свою продукцию по оптовым ценам, предприятие или фирма должны
возместить свои издержки производства и реализации и получить такой размер
прибыли, который бы позволил им выжить в условиях рынка. Прибыль является
важнейшим элементом цены.
На основе оптовых цен предприятия
(отпускных цен) производится планирование, анализ и расчет стоимостных
показателей работы предприятия. Оптовая (отпускная) цена предприятия состоит из
себестоимости (издержек производства и реализации), прибыли, акциза (по
подакцизным товарам) и НДС.
Оптовые цены промышленности - цены,
по которым предприятия и организации - потребители оплачивают продукцию
снабженческо-сбытовым (оптовым) организациям.
Оптовая цена промышленности помимо
оптовой (отпускной) цены включает в себя снабженческо-сбытовую (оптовую)
наценку или скидку и НДС. Снабженческо-сбытовая (оптовая) наценка или скидка -
это цена на услугу по снабжению и сбыту; как любая цена она должна
компенсировать издержки снабженческо-сбытовых или оптовых организаций и
обеспечить им прибыль.
Если цены изготовителей продукции
больше тяготеют к производству, то оптовые цены промышленности теснее связаны
со сферой обращения (оптовой торговлей).
Цены на строительную продукцию.
Продукция строительства оценивается
по трем видам цен:
- сметная стоимость - предельный размер затрат на строительство
каждого объекта;
- прейскурантная цена - усредненная сметная стоимость единицы
конечной продукции типового строительного объекта;
- договорная цена, устанавливаемая по договоренности между
заказчиками и подрядчиками.
Закупочные цены - это цены
(оптовые), по которым реализуется сельскохозяйственная продукция
сельскохозяйственными предприятиями, фермерами и населением. Закупочные цены -
договорные (свободные) цены, они устанавливаются в зависимости от соотношения
спроса и предложения. По своему составу закупочная цена состоит из:
себестоимости; размера прибыли, необходимого для продолжения осуществления
хозяйственной деятельности в условиях рыночных отношений на основе не только
простого, но и расширенного воспроизводства; НДС.
Тарифы грузового и пассажирского
транспорта - плата за перемещение грузов и пассажиров, взимаемая транспортными
организациями с отправителей грузов и населения. Составные элементы тарифа -
издержки и прибыль транспортных организаций и НДС.
Розничные цены - цены, по которым
товары реализуются в розничной торговой сети населению, предприятиям и
организациям, они являются конечными, по этим ценам товары выбывают из сферы
обращения и потребляются в домашнем хозяйстве или в производстве.
Состав розничной цены
характеризуется следующими экономическими элементами, ее образующими: оптовой
ценой промышленности, НДС и торговой надбавкой или торговой скидкой.
Схематично весь процесс ценообразования
можно представить следующим образом:
Таблица 1 - Виды цен
|
Издержки (себестоимость) предприятия
|
Прибыль
|
Снабженческо-сбытовая или оптовая наценка (скидка)
|
Торговая надбавка (скидка)
|
|
|
Издержки
|
Прибыль
|
Издержки
|
Прибыль
|
|
Оптовая (отпускная) цена предприятия
|
|
|
Оптовая цена промышленности
|
|
|
Розничная цена
|
|
|
|
|
|
|
Нетрудно заметить, что каждый
последующий вид цены включает в себя предыдущий.
Цены на бытовые и коммунальные
услуги - это плата за различного рода услуги, оказываемые населению бытовыми и
коммунальными службами. Цены на эти услуги включают в себя себестоимость,
прибыль и НДС.
Классификация цен в зависимости от
территории действия. В соответствии с этим признаком различают:
- цены единые или поясные;
- цены региональные (зональные, местными и т.д.).
Классификация цен в зависимости от
порядка возмещения потребителем транспортных расходов по доставке грузов.
Исходя из этого экономического признака, различают несколько видов цен:
- цена в месте производства продукции;
- единая цена с включением расходов по доставке;
- зональные цены;
- цены, определяемые на основе базисного пункта.
При переходе общества к рынку
появляется такой классификационный признак, как степень свободы цен от
воздействия государства при их определении. В зависимости от этого классификационного
признака различают следующие виды цен:
- свободные цены;
- регулируемые цены;
- фиксированные цены.
Классификация цен в зависимости от
степени новизны товара. В соответствии с этим признаком различают цены на новые
товары и товары, реализуемые на рынке относительно долгое время.
На товары в комплексен маркетинга
устанавливаются следующие виды цен:
- цена «снятие сливок»;
- цена «проникновения на рынок»;
- «психологическая цена»;
- цена «следования за лидером»;
- цена с возмещением издержек производства;
- престижная цена.
Данные виды цен будут более подробно
рассмотрены далее.
На товары, реализуемые на рынке
относительно длительное время, устанавливаются следующие виды цен:
- скользящая или падающая цена;
- долговременная цена;
- цены потребительского сегмента рынка;
- гибкая цена;
- преимущественная цена;
- цены на изделия, выпуск которых прекращен;
- цена, установленная ниже, чем у большинства предприятий;
- договорная цена.
Цены, обслуживающие внешнеторговый
оборот, обладают следующими специфическими чертами:
- отражают внешнеэкономические связи государства с другими странами;
- находятся в зависимости от цен мировых рынков, отражающих условия
производства и реализации мирового хозяйства.
Внешнеторговые цены используются при
экспорте товаров и их импорте. Внешнеторговые сделки осуществляются, как
правило, на базе цен основных мировых товарных рынков.
Мировая цена есть денежное выражение
мировой интернациональной стоимости товара. Она формируется под воздействием
спроса и предложения того или иного товара на мировом рынке, колебаний валютных
курсов и т.д.
Кроме того, необходимо отметить
цены, используемые в учете и статистике. Статистика цен применяет методы
статистического наблюдения, изучения и анализа всех сложных явлений
ценообразования и функционирования цен. К основным конкретным задачам
статистики цен относится наблюдение за уровнем и динамикой цен путем
систематизации и нахождения их средних значений в динамических рядах. Органы
статистики осуществляют регистрацию цен. Регистрируемые цены используются для
расчетов индексов цен. Производится также изучение цен по их пенообразующим
элементам, т.е. методом разработки структуры цен
.3 Факторы маркетингового
ценообразования
Из двойственной природы цены
следует, что главными ценообразующими факторами являются стоимость (затраты) и
потребительная стоимость (способность удовлетворять потребности) конкретного
товара. На практике они проявляются в возможности предложения и приемлемости
его в виде спроса. Они создают базу цены, от которой фактическая цена
отклоняется под влиянием других факторов. Соответственно общемировая тенденция
ценообразования определяется также двумя законами: снижения временных затрат и
роста потребительной стоимости на единицу затрат общественно необходимого
труда.
На микроуровне действует большое
количество факторов ценообразования разнонаправленного действия. Все они
находятся в сфере внимания маркетинга.
Рисунок 5 - Наиболее значимые
факторы, оказывающее влияние на формирование рыночной цены товара
Основные и наиболее значимые
факторы, оказывающие влияние на формирование рыночной цены товара представлены
на Рисунке 5.
Рассмотрим более подробно основные
группы ценообразующих факторов.
К производственным факторам
ценообразования относятся следующие:
- издержки. Они определяют тот уровень, ниже которого постоянно
действующая цена на товар не может опускаться (возможно лишь краткосрочное
снижение). Из этого следует, что одна из основных задач фирмы - минимизировать
все виды издержек, чтобы расширить возможности ценовых маневров с целью
максимизации спроса и оптимизации прибыли.
- производственные возможности фирмы. Если фирма предлагает товар по
доступной многим цене, то должна быть готова к росту сбыта, а, может быть, и к
ажиотажному спросу. В противном случае необходимо завысить цены, иначе
увеличится предложение конкурентов.
- финансовые проблемы и хозяйственная динамика. Данная группа
факторов предполагает потребность в быстром обороте или наличных средствах;
период процветая или депрессии фирмы влияет, например, на ее способность к
ценовому риску.
Спрос также выступает как фактор
ценообразования и является важным элементом ценовой политики фирмы, во многом
определяет реакцию покупателя на цену. Взаимосвязь между ценами и покупками определяется
несколькими характеристиками. См. Таблицу 2.
Таблица 2 - Спрос как фактор
ценообразования
|
Фактор
|
Характеристика
|
|
1. Закон спроса
|
По низким ценам приобретается больше товаров, т.е. чем ниже
цена, тем выше спрос. Рост спроса при росте цен на конкретный товар может
наблюдаться в случае: - незаменимости продукта; - престижности товара; -
продаже товара, цена на который воспринимается как основной показатель
качества; - инфляционных ожиданиях с целью снизить будущие расходы на
относительно дорогие товары; - наиболее дешевых товаров первой необходимости
(с целью замещения в рационе более дорогих субститутов)
|
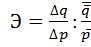
2. Ценовая эластичность спроса Процентное изменение спроса (q),
приходящееся на каждый процент изменения цены 
Наличие эластичности и ее интенсивность определяется при сравнении
коэффициента с 1; |Э|>1 - для эластичности, |Э|=1 - единичная эластичность,
|Э|<1 - неэластичность, т.е. изменение факторного признака сопровождается
значительным, пропорциональным или незначительным изменением результативного
признака. При
|
однонаправленном изменении результативного и факторного
признаков (например, «рост - рост»), Э>0, при разнонаправленном - Э<0.
|
|
3) Ограниченность спроса
|
Если доходы покупателей ограничены в росте, то фирма не может
бесконечно повышать цену на свой товар Для условий инфляции характерна
неограниченность спроса (инфляционная спираль - рост цен вызывает рост
заработной платы и наоборот).
|
|
4) Сегментация потребителей по степени чувствительности к цене
|
Отношение к цене не всегда определяется уровнем доходов
покупателей, например, в среде богатых могут встретиться "скряги",
а среди малообеспеченных -"транжиры". По отношению к цене различают
• экономных покупателей (ориентированы в первую очередь на уровень цены);
апатичных (цены не важны, главное - удобство, престижность или качество),
рациональных покупателей (оценивают покупку с точки зрения соответствия цены
и качества продукта), один из вариантов таких покупателей персонифицированные,
для которых образ продукта более важен, чем цены, но они все же оказывают
существенное влияние на покупку. Рациональность поведения зависит также от
степени обозреваемости рынка, уровня притязаний потребителя, психологических
особенностей.
|
Реклама, приверженность к маркам,
ограниченность выбора снижают чувствительность к ценам. Значительное влияние
оказывает также субъективность взглядов, например, для одного низкая цена
означает удачную покупку, для другого - низкое качество.
Уровень конкурентности рынка также
выступает как фактор ценообразования. Чем выше степень монополизации на рынке,
тем больше возможностей у отдельных фирм контролировать ценовую ситуацию.
Ценовая политика конкретной фирмы
зависит от нескольких конкурентных факторов:
- числа, размера конкурентов-продавцов, степени агрессивности их
политики;
- наличия конкурентной среды со стороны покупателя;
- изменения цен конкурентных и дополняющих товаров.
Во-первых, рассмотрим конкуренцию
продавцов.
Основой для конкуренции, как элемента
рыночной системы, является свобода выбора, которая проявляется в стремлении
получить максимальный денежный доход. Обычно выделяют четыре типа рынка:
совершенная (чистая) конкуренция, монополистическая конкуренция, олигополия и
чистая монополия. Совершенная конкуренция и чистая монополия представляют собой
идеальные (абстрактные) модели рыночных структур, которых в реальной практике
не существует. Монополистическая конкуренция и олигополия же характерны для
большинства рынков. [10 с. 67]
Основные возможности ценообразования
при различных типах конкурентной борьбы среди продавцов представлены в Таблице
3.
Таблица 3 - Возможности
ценообразования при различных типах конкурентной борьбы
На рынках олигополии и монополистической
конкуренции теоретически возможна ценовая конкуренция. Опасность агрессивной
ценовой политики заключается в возможности быстрого и жесткого ответа
конкурента, сложности повышения цены после ее снижения. Так как стратегии
ценообразования легко копируются, реакция конкурентов на ценовой успех фирмы
может привести к ценовой войне, разоряющей фирмы. Ценовая война бесперспективна
для большинства фирм, требует срочной переориентации на неценовые методы
конкуренции. [1, с.89]
Альтернативой ценовой агрессии
является ценовой картельный договор (например, продажа однородных товаров через
центральную организацию), тайный сговор, параллельное поведение конкурентов,
ориентация на лидера на фоне неценовой конкуренции.
Все участники картели должны
придерживаться соглашения, что часто бывает проблематично. В отличие от этого
ценовое лидерство помогает мирно уживаться аутсайдеру в конкурентной среде,
ориентируясь на цену конкурента-лидера. Лидерство, как правило, принадлежит
фирме, занявшей большую долю рынка или имеющей лучший имидж у покупателей.
Во-вторых, возможно изменение спроса
на один товар под влиянием цены другого, связанного с ним товара (характерно
для субститутов, составляющих или дополняющих товаров - γ и β), что называется
перекрестной эластичностью цен:
(1),
Для показателей перекрестной
эластичности характерны следующие зависимости:
- если Эп > 0 (рост цены на товар вызывает повышение спроса на
другой товар), то это взаимозаменяемые товары;
- если Эп < 0 (со снижением цены одного товара растет спрос на
другой), то это дополняющие друг друга товары или один является составной
частью другого;
- если Эп=0 (или близка к 0), то это независимые товары.
На ценовую политику фирмы оказывает
влияние конкуренция не только продавцов, но и покупателей. См. Таблицу 4.
Таблица 4 - Возможности
ценообразования при различных типах конкуренции покупателей
|
Монопсония
|
Олигополия спроса
|
Совершенная конкуренция
|
|
Один покупатель диктует цены на товар при большом числе
продавцов пли вступает в обоюдовыгодное соглашение по ценам с продавцом -
монополистом (двухсторонняя - билатеральная монополия) монополия)
|
Несколько крупных покупателей, вступая в сговор между собой,
ограничивают ценовые возможности монополиста - продавца или олигополистпческой
группы продавцов (при двухсторонней олигополии), полностью контролируют цены
при большом числе мелких продавцов, часто ориентируются на условия покупателя
- лидера, поощряют ценовую конкуренцию продавцов). продавцов.
|
Много покупателей. идеальная агтуацня для продавца. позволяющая
без потерь исправлять перекосы ценовой политики. ориентироваться на
собственные интересы (монополисту) или на ценовую политику Конкурентов.
|
Перечисленные факторы
(производственные, спросовые, конкурентные) составляют так называемый
"магический треугольник" политики цен, т.к. являются конфликтующими
принципами.
Ценообразование, основанное на
калькуляции затрат и применяемое финансистами, надежно на элитном рынке, но на
массовом рынке не защищено от неприятия потребителем. Маркетинговое
ценообразование, ориентированное на потребителя (его оценку полезности товара и
готовность заплатить) и конкурентов (цену лидера или среднюю по отрасли) может
выйти за рамки приемлемых для фирмы затрат. Успешная политика цен должна укладываться
в рамки всех трех принципов.
Важными ценообразующими факторами
являются также тип и свойства товара, степень участия в ценообразовании
посредников, государственный контроль за ценообразованием.
Оценка товара как фактора
ценообразования включает несколько важных составляющих:
. Тип и уникальность товара.
Например, повышенные цены назначают на модные, имиджевые, уникальные товары,
повышение затруднено для товаров промышленного назначения и товаров широкого
потребления.
. Стадия жизненного цикла
товара.
Жизненный цикл товара (время от
рождения продукта как товара до его товарной утилизации) различен по
продолжительности для разных товаров и зависит от его назначения, моды,
научно-технического прогресса и т.п.. При внедрении товара на рынок предприятие
устанавливает цену, которую меняет в зависимости от обстоятельств в течение
последующих стадий цикла (роста, насыщения и зрелости, спада). Закономерности
этого процесса проявляются в видах ценовых стратегий, часть которых определяет
уровень цены (высокий или низкий) и соответствует стадии запуска продукта.
Другая часть характеризует изменение
установленного уровня в течение последующих стадий:
- рост цен (для увеличения рентабельности или улучшения имиджа);
- снижение цен (для роста объема продаж или устранения конкурентов);
- сохранение прежнего уровня (при конъюнктурном равновесии).
. Качество продукта.
В основе современной ценовой
политики на уровне фирмы лежит не цена как таковая, а соотношение
«цена/качество». Решается задача по определению компромисса между стремлением
продавца свести его к максимуму, покупателя - к минимуму. Причем сохранение
цены при росте качества равнозначно ее снижению.
В целом цена прямо зависит от
качества товара: чем оно выше, тем большую цену можно назначить. Но понятие "качественный
продукт" относительно. Оно характеризуется не только объективными
свойствами, но и соответствием уровней качества и цены, представлением
производителя о собственном продукте, а главное, представлением потребителей о
качестве товара.
. Восприятие качества потребителем
- определяет соответствие "цена-спрос";
- потребители могут не заметить настоящих характеристик товара;
- потребители могут принять внушаемую продавцами ценность товара;
- потребители могут перенести на продукт несуществующие черты,
например, с аналогичных товаров;
- потребитель может найти непредусмотренное производителем,
дополнительное назначение товара;
- цена сама может служить для многих покупателей индикатором
качества;
- у разных сегментов потребителей различные приоритеты качественных
характеристик;
- устойчивое представление потребителей о повышенном качестве товара
способствует созданию соответствующего имиджа фирмы, росту авторитета торговой
марки и, как следствие, возможности назначать повышенную цену.
Рисунок 6 - Влияние мнения
потребителей об одинаковом качестве товаров а, б, в на их сбыт при разных ценах
Кроме того, цена назначается с
учетом "комплекса качества": наличия основных и дополнительных
элементов, качества каждого элемента, условий приобретения и эксплуатации,
внешних эффектов.
Взаимодействие участников канала
товародвижения также рассматривается как фактор уровня и поведения цен.
Участники товародвижения заинтересованы в конечной цене товара, обеспечивающей
каждому покрытие расходов с разумной прибылью.
По степени интеграции в области
ценообразования различают нетто-ценообразование и брутто-ценообразование.
Нетто-ценообразование - продавец
фиксирует цену по отношению к ближайшему посреднику и не влияет на конечную
цену товара (неуправляемый канал).
Брутто-ценообразование включает в
себя:
- вертикальное управление ценами (фиксация конечных цен и наценок
одним из участников);
- рекомендации по ценам (добровольное признание лидера в цепочке);
- ценовые соглашения (договор по ценам равноправных участников).
Лидером в ценообразовании может
стать собственник нескольких уровней канала, участник с большой долей рынка
(как правило, не менее 30%) или известной товарной (торговой) маркой.
Сильнейший участник канала имеет возможность контролировать цену товара по всей
сбытовой цепочке, обещая поддержку его продвижения. Часто такому товару
присваивается марка этого участника, что позволяет запрашивать на него
максимально возможные цены. Практикуется также снижение продажной цены
постоянным партнерам по каналу, что увеличивает маневренность конечных цен.
Государственный контроль как фактор
уровня цен. Государственное регулирование цен призвано увязать частные и
государственные интересы, корректировать несовершенства свободного рынка с
позиций справедливого распределения дохода, обеспечения социальных нужд,
решения социальных проблем.
Существует несколько типов
государственного регулирования цен, которые представлены в Таблице 5.
Таблица 5 - Основные типы
государственного регулирования цен
Влияние вышеперечисленных факторов
ценообразования испытывает преломляющее воздействие общей стратегической цели
фирмы. Основные цели ценообразования на фирме должны совпадать с ее общими
целями. Наглядное изображение вышеперечисленных факторов ценообразования
представлено в Приложении А.
В долгосрочной перспективе каждая
коммерческая фирма стремится оптимизировать прибыль, т.е. обеспечить прибыль,
достаточную для процветания фирмы, но не сопряженную со значительным риском. К
такому более или менее устойчивому положению на рынке фирма приходит
посредством достижения конкретных целей каждого самостоятельного этапа в жизни
фирмы. На первых порах существования это может быть максимальная текущая
прибыль для умножения капитала и роста предприятия, затем расширение
существующего или захват нового рынка, сопровождающийся большими затратами и
часто отсутствием прибыли, при достижении каких-либо благоприятных условий
(например, сбыта) целью становится использование существующего положения.
Практически ни одна фирма не довольствуется какой-то одной всеобъемлющей целью.
Каждой цели соответствует ряд возможных ценовых стратегий.
.4 Стратегии маркетингового
ценообразования
Цена это единственный элемент
традиционного маркетинга, обеспечивающий продавцу реальный доход. Рыночная цена
не является независимой переменной, её значение зависит от значения других
элементов маркетинга, а так же от уровня конкуренции на рынке и общего
состояния экономики. Обычно с изменением цены другие элементы маркетинга также
изменяются (например, при увеличении дифференциации продукции с целью
максимально поднять цену или, как минимум, разницу между ценой и
себестоимостью).
Стратегия ценообразования - это
набор правил и практических методов, которых целесообразно придерживаться при
установлении рыночных цен на конкретные виды продукции, выпускаемые
предприятием.
Основной задачей стратегии
ценообразования в рыночной экономике становится получение максимальной прибыли
при запланированном объёме продаж. Ценовая стратегия должна обеспечить
долговременное удовлетворение нужд потребителей путём оптимального сочетания
внутренней стратегии развития предприятия и параметров внешней среды в рамках
долгосрочной маркетинговой стратегии.[16, с. 56]
Следовательно, при разработке
ценовой стратегии каждое предприятие должно определить для себя её главные
цели, как, например, доведение до максимума выручки, цены, объёмов реализации
продукции или конкурентоспособности, обеспечение определенной рентабельности.
Структура ценовой стратегии состоит
из стратегии ценообразования и стратегии управления ценами.
Стратегия ценообразования позволяет
определить с позиций маркетинга уровень цен и предельные цены на отдельные
группы продукции. Ценообразование всегда следует проводить с учетом
номенклатуры и качества продукции, её полезности, значимости и покупательной
способности потребителей и цен конкурентов. В отдельных случаях следует
учитывать и цены на продукцию -заменитель.
Стратегия управления ценами
представляет собой комплекс мер по поддержанию условных цен при фактическом их
регулировании в соответствии с разнообразием и особенностями спроса,
конкуренции на рынке.
Политика цен предприятия является
основой для разработки его стратегии ценообразования. Ценовые стратегии
являются частью общей стратегии развития предприятия.
Разработка ценовой политики и
стратегии предприятия предусматривает проведение ряда работ и расчетов:
- во-первых, определяется оптимальная величина затрат на
производство и сбыт продукции предприятия, чтобы получить прибыль при том
уровне цен на рынке, которого предприятие может достичь для своей продукции;
- во-вторых, устанавливается полезность продукции предприятия для
потенциальных покупателей (определяются потребительские свойства) и меры по обоснованию
соответствия уровня запрашиваемых цен ее потребительским свойствам;
- в-третьих, находится величина объема продаж продукции или доля
рынка для предприятия, при котором производство будет наиболее прибыльным.
Решения по ценам принимаются в тесной
увязке с решениями но объемам производства, управлению затратами, дизайну и
конструированию продукции, ее рекламе и методам сбыта.
Стратегии
ценообразования
<#"604916.files/image011.gif">
Рисунок 8 - Зависимость между ценой
и уровнем спроса
Ни одна фирма не может не следить за
изменением спроса. Различия в подходах к определению спроса обусловливаются
типом рынка. В условиях чистой монополии, где на рынке всего один продавец,
кривая спроса показывает обратно пропорциональную зависимость между спросом и
ценой, а также обоснованность спроса при той цене, которую установила фирма. С
появлением конкурентов кривая спроса будет меняться под влиянием ценовой
политики других фирм.
Определяя величину спроса на свой
товар, фирма должна провести его оценку при разных ценах и попытаться выяснить
причины его изменения.
Как было отмечено, на величину
спроса влияют разные факторы, среди которых выделяются потребность в товаре,
отсутствие замены или конкурентов, платежеспособность потенциальных
покупателей, покупательские привычки и т.п. Приспосабливая цену товара к
спросу, следует помнить, что спрос по-разному реагирует на цену. Степень
чувствительности спроса к изменению цены показывает коэффициент эластичности
спроса.
.Анализ издержек
Спрос на товар очерчивает верхний
уровень цены, которую фирма может установить. Валовые (общие) издержки
производства определяют минимальную ее величину. Это важно учитывать, если
фирма снижает цены. Тогда появляется реальная угроза понести убытки из-за
снижения цен ниже издержек. Подобную политику фирма может проводить только в
короткий период проникновения на рынок.
.Анализ цен конкурентов
Существенное влияние на цену
оказывает поведение конкурентов и цены на их продукцию. Каждая фирма должна
знать цены на продукцию конкурентов и отличительные черты их товаров. С этой
целью делаются сравнительные покупки, в результате которых проводится анализ
цен, товаров и качества.
.2 Методы маркетингового
ценообразования
Стратегическому уровню цены, с
которым товар выйдет на рынок, необходимо придать цифровую форму. Выбор метода
расчета исходного уровня продажной цены осуществляется с учетом перечисленных
факторов и традиций маркетингового ценообразования. Как и было отмечено,
практическое ценообразование основывается не на методах оптимизации, а на
постепенном, с использованием неполноценной информации поиске более или менее
приемлемой цены. Продавец должен определить и обосновать цену, которую хочет и
может предложить рынку. Эта цена должна укладываться в интервал, за пределами
которого производство становится бездоходным (точка безубыточности).
Основные принципы ценообразования
вытекают из "магического треугольника": цена должна покрывать затраты
и приносить достаточную прибыль, должна быть принята массой покупателей,
выдержать стратегии конкурентов.
Учитывая факторы, оказывающие
непосредственное влияние на уровень цен и зная цели ценообразования, можно
приступить к установлению так называемой базовой цены.
Под базовой ценой понимается цена
единицы товара на месте ее производства или перепродажи.
Существуют два подхода к
установлению базовой цены:
свободное установление цены;
использование прейскурантных цен.
В первом случае цена устанавливается
в результате проводимых переговоров между продавцом и покупателем. Такой подход
имеет обычно место при определении цены на товары, изготовляемые по заказу или
отдельными небольшими партиями.
Для товаров массового производства
базовая цена указывается в прейскурантах, каталогах и проспектах, предлагаемых потенциальным
покупателям или публикуемых в соответствующих изданиях. Она также может быть
указана на бирке, прикрепленной к данному товару.
Прейскуранты используются в
коммерческой деятельности на рынках различных видов оборудования, проката
черных металлов, бытовой электрической и электронной аппаратуры, автомобилей, а
также на рынках потребительских товаров. Указанная в прейскурантах цена может
уточняться для некоторых покупателей благодаря использованию различных надбавок
и скидок, устанавливаемых к базовой цене.
При определении базовой цены как
перед производителем товара, так и перед оптовым или розничным торговцем
возникает проблема установления цены, приемлемой для продавца и устраивающей
покупателя, т.е. цена должна быть обоснованной.
При обосновании цены, прежде всего,
учитываются следующие факторы.
фирма должна экономически обеспечить
свое существование, т.е. реализация имеющихся товаров должна покрывать затраты,
обусловленные деятельностью фирмы (краткосрочно или долгосрочно);
покупатели товаров и услуг имеют
определенную потребность, ограниченную покупательской способностью, и не всегда
могут заплатить желаемую для продавца цену;
на рынке имеются товары конкурентов
и нужно считаться с их качеством и ценами.
Величина затрат, поведение потребителей
и поведение конкурентов, являются определяющими при обосновании цены на товары,
что находит свое отражение в существующих методах ценообразования. При этом, во
многих используемых методах предпочтение отдается одному из указанных выше
факторов. Заложить все эти условия в одну цену сложно, поэтому при
первоначальном определении цены необходимо выбрать приоритетное направление:
затратное, покупательское или конкурентное.
Выделим по группам основные методы
ценообразования в маркетинге:
. Затратные методы ценообразования
- калькуляция на базе полных затрат;
- калькуляция на базе переменных затрат;
- ценообразование на основе обеспечения целевой прибыли;
- метод рентабельности инвестиций.
. Методы, ориентированные на спрос
- определение цены на основании опроса представительной выборки
потребителей;
- метод аукциона;
- метод эксперимента (пробных продаж);
- параметрический метод.
. Методы, ориентированные на
конкурентов
- метод мониторинга конкурентных цен;
- метод конкурса.
. Производные (синтетические) методы
ценообразования
- агрегатный метод;
- обратная калькуляция;
- калькуляционное выравнивание. [12, с. 42-28]
При использовании затратных методов
цена исчисляется как сумма издержек и наценки на себестоимость (прогрессивная
калькуляция). Как правило, продуктовый портфель фирмы состоит из нескольких
элементов, что порождает проблему распределения постоянных издержек между
продуктами.
Существуют различные схемы
установления продажной цены на каждый товар.
.Калькуляция на базе полных затрат
(Full Cost Priсing, Target Pricing) - к полной сумме затрат добавляют сумму,
соответствующую норме прибыли (Н). В надбавку включаются косвенные налоги и
таможенные пошлины.
Ц = Полные затраты + Н * Полные
затраты (2),
Данный метод имеет варианты расчета:
постоянные затраты распределяются пропорционально выявленным переменным
затратам каждого продукта; издержкам производства и реализации (Cost Plus
Priсing), стоимости переработки (Conversion Cost Pricing) и другие.
Метод не учитывает разное положение
продуктов на рынке, игнорирует эластичность спроса, снижает стимулы к
минимизации издержек. Дорогие продукты становятся еще дороже, а снижение сбыта
приводит к росту цены и еще больше ухудшает конкурентоспособность товара.
Некоторые из недостатков устраняются расчетом себестоимости для среднего объема
выпуска (не самого эффективного), учетом затрат по видам и месту возникновения
и отнесением их к группе продуктов и т.п.
.Калькуляция на базе переменных
затрат - постоянные затраты делятся по возможности отнесения к продукту (цена
покрывает затраты по производству продукта, а разница между ними является
вкладом в покрытие остальных затрат:
Ц = (переменные затраты + покрытие)
/ объем выпуска (3)
Сумма покрытия (маржинальный доход,
добавленная стоимость) определяется вычитанием из выручки суммы прямых
переменных затрат, часть полученной суммы идет на покрытие постоянных затрат,
остаток является прибылью.
.Ценообразование на основе
обеспечения целевой прибыли определяет необходимый уровень цены при заданном
размере прибыли с учетом возможного объема производства, взаимосвязи издержек и
выручки. Рассматриваются разные варианты цен, их влияние на объем сбыта,
необходимый для преодоления уровня безубыточности и получения целевой прибыли
(тестирование цен на прибыльность).
Ц = (совокупные затраты +
планируемая прибыль) /объем выпуска (4)
Такие расчеты проводятся для
различных объемов выпуска и выбирается лучшее соотношение. Главный их
недостаток - объем производства зависит от цены, некорректно использовать его
для ее расчета.
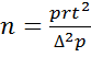
. Метод рентабельности инвестиций
(Return on Investment Pricing).
Ц = совокупные затраты / объем
выпуска + сумма процентов за кредит (5)
Метод основан на том, что проект
должен обеспечивать рентабельность не ниже стоимости заемных средств. Этот
метод используется предприятиями с широким ассортиментом изделий, каждое из
которых требует своих переменных затрат.
Затратный метод применяется при
определении нижнего порога возможной цены, необходимой для принятии решения об
остановке производства, о приеме добавочных заказов. Например, для фирмы с
неполной загрузкой приемлемы заказы по цене, покрывающей хотя бы какую-то часть
постоянных затрат.
Методы, ориентированные на спрос:
ценообразование учитывает рыночную ситуацию (Pricing based on Market Consideration)
и предпочтения потребителей и базируется на опросах потребителей, экспертных
оценках, эксперименте.
.Метод опроса потребителей:
осуществляется представительная выборка потребителей для опроса с целью выявить
представление о правильной цене и потолке возможной цены, реакцию на изменение
цен, возможность их дифференцирования. Этот процесс может быть смоделирован.
Допустим, выявленные в ходе опроса зависимости имеют вид:
=b-bx z=c+cx, (6)
где x-спрос, p -цена, z -затраты,
тогда: D=px=bx-bx (D - доход) (7)
Монополист получит максимум дохода в
случае, когда предельный доход равен предельным затратам:
[dD/dx=dz/dx, dD/dx=b-2bx, dz/dx=c]
=> x=(b-c)/2b (8_
Подстановкой значений спроса в
уравнения получим значение оптимальной цены и соответствующие ей затраты,
доход, прибыль.
На основе выявленных зависимостей
используется также другой способ расчета значения оптимальной цены:
Ц = прямые издержки * Э/(1+Э), (9)
где Э/(1+Э) - наценка на прямые
издержки; цена максимальна при приближении |Э| к 1, что соответствует наличию
сильного предпочтения марки.
. Метод аукциона.
Используется при назначении цен на
уникальные, престижные товары, позволяет концентрировать спрос в одном месте,
включать в цену элемент азарта, затраты на проведение аукциона и прибыль
организаторов.
Варианты метода определяются типом
аукциона (публичных торгов):
а) метод ценообразования на
повышение (товар продают по цене, наиболее высокой из предложенных
покупателями);
б) метод ценообразования на
понижение (голландская система или вейлинговые торги: начальная цена
предложения наивысшая);
в) метод запечатанного конверта, при
этом отсутствует возможность сравнения с запросами других покупателей.
. Метод эксперимента (пробных
продаж)
Цена устанавливается путем перебора
разных вариантов цен на основе наблюдения за реакцией потребителей, например,
на небольшие изменения установленных цен и оптимизации сочетания
"выручка-объем продаж". Применению метода предшествует определение
приемлемых границ цены.
.Параметрический метод основан на
сравнении экспертных балльных оценок, данных основным параметрам нового (А) и
базового (Б) товара (или нескольких конкурирующих товаров). Новая цена должна
находиться с ценой базового товара в том же соотношении, что и качество. [там
же]
Далее может использоваться один из
вариантов продолжения расчета:
Рисунок 9 - Варианты расчета цены
параметрическим методом
Методы, ориентированные на
конкурентов применяются в обостренной конкурентной среде и в случае, если
ценообразование на основе других методов потерпело неудачу: цена изменяется до
цены конкурентов или среднеотраслевой. Цены в целом ориентированы на повышение
конкурентоспособности товара.
. Метод мониторинга конкурентных цен
- цена устанавливается и далее держится на уровне цен основного конкурента.
.Метод конкурса. Конкурс, т.е.
вынужденная ценовая конкуренция продавцов, характеризуется концентрацией
предложения, обозреваемостью рынка. Условия: однородность продукта, возможность
его четкого описания.
Наиболее распространенный вариант
этого метода - тендерный метод, когда покупатели анонимно участвуют в конкурсе
предложения (тендере) и выигрывает тот, чья цена обеспечивает продавцу
наибольшую прибыль. Подобный вариант используется, например, при размещении
государственных заказов.
При закрытых торгах (метод
запечатанного конверта) конкурсанты не ведают о предложениях конкурентов, при
договорных - оставшиеся два участника, предложившие наименьшую цену,
договариваются между собой.
Цель для участника конкурса -
определение максимальной собственной цены, меньшей, чем цены конкурентов, что
сводится к оценке вероятности получения заказа при различных ценах. На практике
удовлетворяются оценкой вероятности назначения той или иной цены конкурентами
на базе сравнения с предыдущими конкурсами или интуитивно.
Производные методы (микс,
синтетические).
.Агрегатный метод определяет цену
товара, состоящего из отдельных деталей (например, люстра) или законченных
изделий (мебельный гарнитур), как сумму цен этих составляющих. Если несколько
товаров имеют общий агрегат (например, миксер - кофемолка), то цена может
определяться как сумма цены этого блока и надбавок за наличие отдельных
элементов.
.Обратная калькуляция: продажная
цена минус скидка (необходимая фирме прибыль) равняется затратам. Служит для
контроля реальной или планируемой цены с позиции допустимости затрат.
.Калькуляционное выравнивание
применяется, если цена, покрывающая затраты, не принята рынком или, наоборот,
цена спроса не покрывает затрат. Значение каждого продукта в программе
неодинаково, поэтому высокие доходы от одних часто компенсируют низкие
результаты других. Вынужденное снижение цен на некоторые товары продуктового
портфеля фирмы не позволит при запланированном объеме выпуска достигнуть
желаемой прибыли. С этой целью предприятие поднимает цену ходового товара.
Существующие методы ценообразования,
относящиеся к разным группам, не следует рассматривать как альтернативные.
Более того, обоснование цены в реальных условиях предопределяет в большинстве
своем необходимость одновременно провести анализ уровня цены с учетом затрат,
сложившегося спроса, существующей конкуренции, а затем ее уточнить с учетом
влияния всех этих факторов.
При этом:
анализ издержек позволяет установить
нижнюю границу цены;
анализ соотношения спроса и
предложения дает возможность выявить верхнюю границу цены;
анализ цен товаров конкурентов
позволяет более точно приблизиться к реальной цене товара.
.3 Тактические приемы
ценообразования в маркетинге
Принципиально сформированный уровень
цены необходимо адаптировать к практике различных конкретных рынков, на которых
будет продаваться товар. Тактика корректировки цен разнообразна. Тактические
изменения цен не способны принципиально поменять уровень спроса, они направлены
на его стимулирование. Разнообразие тактических ходов ценового маркетинга
связано с большими различиями в условиях, формирующих локальные рынки
(например, центр и спальные районы города, обычные и круглосуточные магазины и
т.п.).
Основные тактические приемы в
маркетинговом ценообразовании:
- устанавливается широкий спектр скидок;
- тактика "убыточных цен на наводящий товар" (ниже цены -
выше спрос);
- практикуется применение цен, меняющихся в зависимости от спроса
(выше потребность в товаре или его недоступность - выше цена);
- в розничной торговле применяется тактика "ценовых
градаций", т.е. выделение в магазине ценовых зон, предполагающих разные
уровни качества;
- "имитация качества" - необоснованное качеством изменение
цены вновь поступившего в магазин товара до уровня, поддерживающего имидж;
- особое выставление цены (в сопровождении надписей, ярких
рисунков);
- альтернативные способы - округление или дробление цен;
"округленные" цены потребитель считает простыми, легко их
воспринимает и сравнивает; " неокругленные" цены создают впечатление
дешевизны. "Ломаные" цены (чуть меньше следующего десятка) - один из
наиболее распространенных вариантов тактики "неокругленных цен",
отталкивает определенный тип покупателей, считающих, что их
"оболванивают".
- "пороговая цена" - назначение цены с учетом
психологического ценового порога (воспринимаемого как предел для данного товара
большинством покупателей).
Основные виды скидок
- сезонные скидки за покупку вне сезона;
- массовому покупателю (купоны, марки);
- количественная скидка;
- бонус (премия);
- дистрибьюторские и дилерские скидки постоянным посредникам по
сбыту, постоянным клиентам за "верность";
- функциональные скидки с конечной цены посреднику;
- скидки за оплату наличными;
- за предварительную оплату;
- специальные скидки на пробные партии и заказы;
- скидки за возврат ранее купленной у этой фирмы устаревшей модели;
- скидки при продаже подержанных товаров;
- экспортные скидки иностранным покупателям сверх скидок,
предоставляемых на внутреннем рынке;
- скидки за потери при усушке, утруске, сортировке, за повышенное
количество грязи (сухофрукты), потери жидких товаров при транспортировке,
испарении (молоко в цистернах), трудноудаляемые остатки (мед), избыточное
содержание влаги (хлопок, шерсть);
- возврат цены при неисправности;
- надбавка за индивидуальность заказа;
- надбавка за повышенное качество;
- надбавка за рассрочку платежа;
- специальная надбавка, если объем заказа меньше приемлемого для
поставщика;
- надбавка за изменение качественных элементов, дополнительные
услуги;
- наценки за упаковку, тару. [2, с. 56]
Страхование окончательной цены
осуществляется внесением в контракт условий изменения цены (например, в случае
изменения рыночных цен на товар или издержек после подписания договора).
.
Разработка стратегии ценообразования в ОАО «Северный кондитер»
.1 Обзорный анализ российского
рынка хлеба и хлебобулочных изделий
Проведем обзорный анализ российского
рынка хлеба в форме кабинетного исследования.
Хлеб и хлебобулочные изделия
относятся к продуктам повседневного спроса. В настоящее время хлебопекарный
бизнес располагает большими возможностями для увеличения количества
предприятий, создания развитой конкурентной среды, новых рабочих мест.
Хлебопечение является социально
значимой отраслью экономики. Большинство хлебозаводов, выпускающих основные
сорта хлеба, решают важную стратегическую задачу обеспечения дешевым хлебом как
можно большего количества человек.
Сейчас на российском рынке хлеба
присутствует как наследие СССР - традиционные виды хлеба - черный, белый,
круглый, батон и буханка, так и формирующаяся в последние годы премиальная
категория - хлебобулочные изделия с ограниченным сроком хранения, содержанием
минералов и органических элементов, низкокалорийные сорта и т.п. Потребление
хлеба и хлебобулочных изделий связано в первую очередь с благосостоянием
населения, с ростом которого российский потребитель переходит от дешевой и калорийной
пищи к более дорогим продуктам.
По данным Института питания РАМН,
уровень потребления этого важного продукта питания в нашей стране в разные годы
был неодинаков и зависел, в первую очередь, от экономической ситуации в стране
и уровня доходов населения.
Известно, что современный россиянин
потребляет в среднем около 100 кг хлеба в год, при этом для Москвы и
Санкт-Петербурга этот показатель составляет, по разным данным, от 70 до 90 кг в
год, в то время как в некоторых российских регионах - до 260 кг.
Объем производства хлеба и
хлебобулочных изделий в России за 2006 год оценивается в 7 702 тыс. тонн или
4,5 млрд долл. в стоимостном выражении. В последние 5 лет в России наблюдается
тенденция к снижению объемов производства хлеба. По оценкам экспертов, производство
хлебобулочной продукции в России ежегодно сокращается на 5-7%, по данным
Росстата, начиная с 2000 года производство хлеба в стране падает каждый год в
среднем на 3,8%. За период с 1996 по 2005 гг. объемы производства хлеба и
хлебобулочных изделий в России снизились на 20%. Промышленное производство
хлеба на душу населения с 1996 по 2005 г. по России снизилось на 18%, в
Московском регионе - на 15%.
Среди основных причин сокращения
рынка следует отметить снижение численности населения, а также изменение в
структуре потребления: сейчас происходит уменьшение потребления хлеба и
хлебобулочных изделий, вызванное ростом доходов. По официальным данным,
реальные располагаемые денежные доходы россиян в 2006 году по сравнению с 2005
годом увеличились на 10,2%, поэтому все больший процент населения имеет
возможность существенно разнообразить продуктовый ряд.
По результатам исследования компании
"АМИКО", для рынка хлеба и хлебобулочных изделий характерны сезонные
колебания объемов производства, что связано с неравномерностью спроса на хлеб:
он имеет сезонные, недельные и праздничные колебания. Так, спрос падает летом:
в это время года горожанин съедает в два раза меньше хлебобулочных изделий, чем
во все остальные сезоны. В течение недели спрос также подвержен колебаниям: он
значительно возрастает в будние дни, а в выходные потребление хлеба падает
почти в два раза. Возрастает спрос на хлеб также в праздничные дни.
В настоящее время на рынке хлеба
начались объединения крупных компаний и на сегодняшний день уже существует
четыре крупных холдинга: комбинат "Черемушки", "Настюша",
компания Fazer и "Грейн Холдинг", каждый из которых планирует в
ближайшем будущем занять от 25% до 40% российского рынка хлеба и хлебобулочных
изделий.
По данным "Института Аграрного
Маркетинга", средняя цена на весь ассортимент продукции хлебобулочных
предприятий в Москве в 2006 году составляла 50,2 руб./кг, по стране 38, 02
руб./кг, а наибольшую среднюю цену имела сдобная и мелкоштучная хлебобулочная
продукция.
Наиболее распространенной
сегментацией на рынке хлебобулочных изделий является сегментация по категориям:
хлеб (стандартный ассортимент, 20-25 позиций), батоны (5-6 позиций),
нетрадиционные сорта с полезными добавками (порядка 10), мелкоштучные и сдобные
изделия (более 20 хлебобулочныепозиций). Данный принцип делит рынок на две
ниши: изделия массового спроса, так называемый «социальный» хлеб, который
составляет основную часть ассортимента производителей хлебобулочных изделий, а
его цена составляет 10-15 руб. за единицу товара; нетрадиционные хлебобулочные
изделия - низкокалорийный хлеб, различные виды хлеба с добавками и выпечка из
слоеного теста.
По данным компании
"АМИКО", почти половина покупок хлебобулочных изделий совершается в
продуктовых магазинах, еще четверть - в супермаркетах.
Из новейших тенденций развития
хлебного рынка эксперты называют рост интереса к производству обогащенных и
лечебно-профилактических продуктов, интерес к которым возрастает с каждым
годом. Несмотря на это, сейчас производство хлеба и хлебобулочных изделий с
полезными добавками, в том числе и «премиум» сортов, в нашей стране развито
недостаточно. Однако, потенциал элитного сегмента подтверждается, как
результатами исследований потребителей, так и удачным опытом на других
продуктовых рынках, таких как молочная продукция, продукты быстрого
приготовления, соки, полуфабрикаты.
Эксперты считают, что в течение пяти
лет произойдет более четкая сегментация рынка, в результате которой в нижнем
ценовом сегменте останутся так называемые традиционные виды хлеба с одновременным
ростом премиального сегмента - брендированного хлеба и хлеба только из
натуральных ингредиентов. При этом ожидается, что доля нижнего сегмента
продолжит сокращаться, а премиальный будет активно формироваться.
Таким образом, современный рынок хлеба
и хлебобулочных изделий диктует жесткие требования производителю. Для того
чтобы быть успешным на рынке, недостаточно производить только массовые сорта
хлеба и хлебобулочных изделий, необходимо выпускать широкий ассортимент
изделий, уделять особое внимание качеству своей продукции, а также учитывать
специфику и привычки потребителей
.2 Краткая
организационно-экономическая характеристика предприятия
Отрытое акционерное общество
«Северный кондитер» (сокращённое название ОАО «Северный кондитер») создано в
1992 году.
Общество является юридическим лицом
и вправе осуществлять любые виды хозяйственной и иной деятельности, иметь любые
гражданские права и нести все обязанности, связанные с осуществлением этой
деятельности.
В своей деятельности ОАО «Северный
кондитер» руководствуется Гражданским Кодексом РФ, Федеральным законом «Об
акционерных обществах», а также другими нормативными актами Российской
Федерации и Архангельской области.
Акции открытого общества
распространяются в свободной продаже. Их могут приобретать как юридические, так
и физические лица. ОАО «Северный кондитер» является юридическим лицом и имеет в
собственности обособленное имущество, учитываемое на его самостоятельном
балансе, от своего имени приобретает и осуществляет имущественные и неимущественные
права, несет обязанности, выступает истцом и ответчиком в арбитражных судах.
Высшим органом управления Общества
признается общее собрание акционеров, которое избирает членов Правления и Совет
директоров.
ООО «Северный кондитер» осуществляет
производство товаров потребительского назначения, а именно продуктов питания.
На момент создания фабрики годовой объем выпускаемой продукции составлял 3500
т.
Все вышеперечисленные виды
деятельности осуществляются в соответствии с действующим законодательством РФ.
Отдельные виды деятельности, перечень которых определяется федеральным законом,
предприятие может осуществлять только на основании лицензии.
Уставный капитал общества составляет
33 млн. руб. в масштабе цен 2006 года. По состоянию на 1 января 2006 г. на
заводе занято 538 человек.
Действующая организационная
структура предприятия утверждена решением общего собрания акционеров и
представлена в Приложении А.
Целью создания предприятия является
осуществление уставной деятельности по производству продукции в целях
удовлетворения потребностей населения.
В настоящее время в структуре
хлебозавода выделяются хлебный и макаронный цеха. Хлебный цех работает в 2
смены по скользящему графику, который предусматривает выпуск продукции
круглосуточно. Хранение муки бестарное, в металлических бункерах, снабженных
указателями нижнего и верхнего уровней муки. Замес теста производится на
специализированных тестомесильных машинах.
В тесторазделочном отделении
запроектировано 4 тесторазделочные линии:
- для изготовления батонов;
- для изготовления хлеба;
- для выработки булочек;
- для выработки рожков, макарон.
Выпечка хлебобулочных изделий
производится в 4 печах марки ПАС-25.
Передвижение экспедиции при помощи
податных тележек с мукой платформой. Отправка продукции в торговую сеть
производится в лотках.
Макаронный цех работает в одну
смену. Была установлена линия по выработке кратко резанных макаронных изделий
(Линия Итальянская).
Булочное производство сосредоточено
на 1 линии по производству мелкоштучных булочных изделий, одна печь ПХС
работающая на газе - для хлеба, одна пекарная камера «Белогорье» работающая на
электричестве.
Предприятие ОАО «Северный кондитер»
производит хлебобулочные изделия и макаронные изделия, динамика производства
данных изделий представлена в Таблице 6.
Таблица 6 - Динамика производства
продовольственных товаров на предприятии ОАО «Северный кондитер» за 2003-2006
гг.
|
Товарные группы
|
Фактически произведено
|
Структура, %
|
|
2003
|
2004
|
2005
|
2006
|
Т. роста, % к 04
|
Т. роста, % к 05
|
От 04
|
От 05
|
2003
|
2004
|
2005
|
2006
|
|
Хлеб и хлебобулочные изделия, т.
|
50777
|
44929
|
42318
|
33658
|
74,91
|
79,54
|
-11271
|
-8660
|
100
|
100
|
100
|
100
|
|
Макаронные изделия, т.
|
5887
|
5093
|
3390
|
3710
|
72,85
|
109,4
|
-1383
|
320
|
100
|
100
|
100
|
100
|
Кроме того, как видно из Таблицы 6,
в 2006 г. происходит снижение объемов производства хлеба на 20% (по сравнению с
2005 г.). По группе макаронных изделий в 2006 г. отмечен рост производства на
9,4% по сравнению с 2005 г. На протяжении анализируемого периода ОАО «Северный
кондитер» производил следующие товарные группы: хлеб и хлебобулочные изделия
(28,1% от общего объема производства всеми предприятиями отрасли города);
макаронные изделия (36,4%), которые представлены в Таблице 7.
Таблица 7 - Доля производства
товарных групп предприятием ОАО «Северный кондитер» в общем объеме с
предприятиями отрасли
|
Товарные группы
|
Произведено п/ем всего
|
Произведено п/ем АО «Северный кондитер»
|
Доля п/п ОАО «Северный кондитер»
|
|
2004
|
2005
|
2006
|
2004
|
2005
|
2006
|
2004
|
2005
|
2006
|
|
А
|
1
|
2
|
3
|
4
|
5
|
6
|
7
|
8
|
9
|
|
Хлеб и хлебобулочные изделия, т.
|
110610
|
88243
|
75174
|
25388,5
|
22464,5
|
21159
|
22,9
|
25,4
|
28,1
|
|
Макаронные изделия, т.
|
9143
|
7530
|
4656
|
2943,5
|
2546,5
|
1695
|
32,1
|
33,8
|
36,4
|
Основные показатели
финансово-хозяйственной деятельности предприятия ОАО «Северный кондитер»
представлены в Таблице 8.
маркетинговое ценообразование
хлебобулочный
Таблица 8 - Итоги
финансово-хозяйственной деятельности предприятия ОАО «Северный кондитер» за
2005-2006 гг.
|
Показатели
|
2005 г., тыс.
|
2006 г., тыс
|
Откл.
|
Темпы роста
|
|
1. Т/о
|
6380000
|
6960000
|
+580000
|
109
|
|
2. Валов. доход
|
968700
|
99700
|
28300
|
103
|
|
- уровень ВД
|
15,1
|
14,3
|
-0,8
|
94,7
|
|
3. Изд. обращения
|
958677
|
998788
|
40111
|
104,1
|
|
- уровень и/о
|
15
|
14,2
|
-0,8
|
94,6
|
|
4. Прибыль от реализ.
|
179040
|
1523957
|
+1344917
|
851,1
|
|
- рент-ость
|
2,8
|
21,8
|
+19
|
778,5
|
|
5. Внереализ. доходы
|
97520
|
132720
|
+35200
|
136,0
|
|
6. Внереализ. расходы
|
145237
|
512388
|
367,51
|
352
|
|
7. Балансовая прибыль
|
25478
|
1091200
|
83642
|
428,2
|
|
в уровень БП
|
0,4
|
1,5
|
+1,1
|
375
|
По данным показателям можно
заметить, что хозяйственная деятельность предприятия «Северный кондитер»
отличается своей стабильностью и положительным экономическим эффектом в виде
получаемой прибыли.
3.3 Маркетинговое исследование
потребительских предпочтений на рынке хлеба города
В данной главе проведем исследование
потребительского спроса на рынке хлеба и хлебобулочных изделий города, на
котором работает рассматриваемое предприятие, через процедуру маркетингового
исследования.
Маркетинговое исследование - это
любая исследовательская деятельность, направленная на удовлетворение
потребностей маркетинга. Она имеет достаточно сложную методологию,
представляющую собой сплав статистических, эконометрических, социометрических,
квалиметрических, бихейвиористических и собственно маркетинговых методов.
Собирать информацию о рынке
достаточно трудно. Особенно эта проблема осложнилась в связи с переходом к
рыночной экономике, так как многие предприятия торговли и промышленности
соблюдают коммерческую тайну.
Существуют два метода сбора такой
информации - сплошное наблюдение, когда обследуются все единицы генеральной
совокупности, и выборочное, при котором сведения получают лишь от части единиц
совокупности. Сплошные наблюдения применяются сравнительно редко, так как они
громоздки и достаточно дороги. Более распространёнными в маркетинговых
исследованиях является выборочный метод сбора информации. Он имеет ряд
преимуществ перед сплошным, а именно:
- сведения о рынке можно получить значительно быстрее;
- данные существенно полнее, поскольку имеется хорошая возможность
характеризовать каждую единицу наблюдения с большего числа сторон;
- сведения более точные;
- данные более дешёвые;
- выборочные наблюдения может быть применено, когда сплошное
наблюдение лишено здравого смысла.
При этом необходимо соблюдать
определённые правила, чтобы обеспечивать количественную и качественную
репрезентативность выборки.
Под количественной
репрезентативностью понимается обеспечение в выборке такого числа единиц
генеральной совокупности, при которой можно достаточно обоснованно судить о
величине изучаемых признаков.
В том случае, если нет никаких
сведений о генеральной совокупности, объём выборки определяется следующим
образом:

; (10)
необходимый объём
выборки; р-доля исследуемого признака; q-оставшаяся доля; ∆-ошибка;
t-коэффициент. зависящий от вероятности, с которой гарантируется заданная
точность выборки; в маркетинговых исследованиях вероятность равна 0,954; при
этом значении t=2; при увеличении вероятности до 0,998 t=3.
Если известна
генеральная совокупность, тогда:

; (11)
- генеральная
совокупность.
Под качественной
репрезентативностью понимают обеспечение в выборке максимально возможного числа
групп в генеральной совокупности.
В практике маркетинговых
обследований сдвиги в выборке могут привести к 5-10 кратной ошибке. Наилучшим
способом избежать подобных ошибок является применение соответствующего отбора
единиц выборочной совокупности.
Наиболее часто
применяется в рыночных исследованиях метод случайно-механического отбора. Суть
его состоит в том, что обследуются случайные люди через определённый интервал.
Наиболее часто встречаемым средством проведения опроса является анкетирование.
Анкета - таблица с
перечнем вопросов, на которые должен ответить респондент (опрашиваемое лицо).
Порядок проведения
анкетирования следующий:
1.Постановка целей анкетирования и
выдвижение гипотез, выбор типа анкет, способа их распространения.
2.Изучение совокупности потребителей
и их стратификация (выделение однородных групп по различным признакам в
соответствии с сегментацией рынка).
.Статистическая выборка: определение
числа потребителей, отобранных для анкетирования
.Разработка опросника анкеты и
программы её разработки; размножение бланков анкеты.
.Рассылка анкеты, её заполнение и
возврат.
.Контроль рассылки и заполнения
анкет.
.Обработка ответов, их группировка и
анализ.
.Составление выводов и рекомендаций.
Анкетный опрос может быть
осуществлён в устной форме, когда регистратор сам заполняет бланк со слов
респондента (экспедиционный способ). Другая форма - письменная (метод
саморегистрации), когда респондент заполняет анкету собственноручно, а анкета
рассылается по почте. Недостатком такого способа является то. что часть анкет
вообще не возвращается, а часть заполнена неправильно. Анкета обычно имеет
форму таблицы с напечатанными вопросами и свободным местом для ответа.
По данным Росстата на начало 2008 г.
численность населения города составила 59 225 человек. Определим необходимый
объем выборки респондентов, исходя из формулы 11, для того, чтобы
обеспечивалась количественная репрезентативность выборки:

.
Для обеспечения
качественной репрезентативности выборки обратимся к статистическим данным о
структуре населения города по социальным группам:
Таким образом,
перемножая относительную долю каждой социальной группы населения на объем
выборки, получаем, что необходимо опросить 30 неработающих, 45 учащихся, 135
работающих и 90 пенсионеров.
После определения
необходимого объема и структуры выборки переходим к разработке анкеты. Анкета
представлена в Приложении В.
После того, как
респонденты опрошены и получена первичная информация, необходимо приступать к
обработке результатов, которые получились следующими:
Анализ полученных данных
дает понять, что ОАО «Северный кондитер» заняло достаточно прочные позиции на
рынке хлебобулочных изделий города. Как видно из Рисунка 19, более 62 %
респондентов предпочитают продукцию нашего производства. Это во многом
обусловлено грамотно проводимой ценовой политикой предприятия, а также
налаженным технологическим процессом и соответствием продукции стандартам серии
ИСО-9000, что обеспечивает высокое качество выпускаемой продукции. (См. Рисунок
20).
Как показало проведенное
исследование, месячный заработок жителя города невелик и составляет в среднем
порядка 10-20 тыс. руб (См. Рисунок 18), что приводит к повышенному спросу на
недорогую продукцию массового спроса - черный хлеб и батоны (См. Рисунок 16).
Производство элитных, дорогих видов хлеба в данном случае представляется
нецелесообразным, так объективная рыночная конъюнктура в настоящий момент не
способна обеспечить стабильный спрос на него. Предприятию следует
диверсифицировать производство путем увеличения номенклатуры выпускаемых недорогих
видов хлеба, а также экономить на издержках вследствие высоких объемов
производства черного хлеба и простых видов батонов (эффект экономии на
масштабе).
Однако, как показало
исследование, часть респондентов все-таки готова приобретать новые, более
дорогие виды хлеба (См. Рисунок 17). В этой связи предприятие может
использовать разведывательную стратегию, производя новые виды продукции
небольшими партиями, отслеживая спрос на них и адекватно реагируя на текущую
рыночную ситуацию.
3.3 Разработка методики процесса
ценообразования на предприятии ОАО «Северный кондитер»
Цена является важнейшим
элементом комплекса маркетинга. Предприятия стремятся не поддаваться стихии
рывка, пытаются сами сформировать выгодные и им, и потребителям цены.
Цены различаются в зависимости
от того, на какой стадии товародвижения они формируются. Это можно показать на
примере ОАО «Северный кондитер». Продукция рассматриваемого предприятия обычно
проходит 3 стадии:
1. Предприятие - оптовая
торговля;
. Оптовая торговля -
розничная торговля;
. Розничная торговля -
потребители.
Соответственно этим стадиям
товародвижения выделяют на продукцию завода три основных вида цен (См. Рисунок
21):
. Оптовая цена;
. Отпускная цена;
. Цена в торговле.
Оптовая цена на продукцию ОАО
«Северный кондитер» - цена, с которой товар выходит с предприятия. Она состоит
из полной себестоимости и прибыли.
Отпускная цена предприятия - это
цена, которая включает в себя помимо полной себестоимости и прибыли налог на
добавленную стоимость (НДС).
Цена в торговле - это цена, по
которой товар приходит к конечному потребителю, т.е. цена, завершающая процесс
ценообразования. Она отличается от отпускной цены предприятия 10% торговой
наценки, необходимое для содержания торговых работников и покрытия транспортных
расходов, на хлебобулочную продукцию.
Рисунок 21 - Основные виды цен
Рассмотрим ассортимент «Северный
кондитер» и цены на хлебобулочные изделия
Таблица 9 - Ассортимент ОАО
«Северный кондитер» в ценах 2000 г.
|
Ассортимент выпускаемой продукции
|
Отпускная цена
|
Розничная цена
|
|
1. Хлеб 1 с 0,750 кг
|
4-55
|
5-00
|
|
2. Батон нарезной в/с 0,350 кг
|
3-18
|
3-50
|
|
3. Плетенка с маком в/с 0,400 кг
|
3-64
|
4-00
|
|
4. Хлеб йодированный в/с 0,5 кг
|
3-64
|
4-00
|
|
5. Хлеб Украинский новый 0,6 кг
|
3-64
|
4-00
|
|
6. Хлеб ароматный 2/с 0,4 кг
|
3-18
|
3-50
|
|
7. Хлеб Хомовнический 0,5 кг
|
3-64
|
4-00
|
|
8. Батон диетический 0,350 кг
|
3-18
|
3-50
|
|
9. Хлебцы докторские 0,2 кг
|
1-82
|
2-00
|
|
10. Булка каспийская в/с 0,1 кг
|
1-36
|
1-50
|
|
11. Рожки обсыпные в/с 0,2 кг
|
3-18
|
3-50
|
|
12. Штрицель в/с 0,2 кг
|
3-18
|
3-50
|
|
13. Сдоба с корицей в/с 0,2 кг
|
1-36
|
1-50
|
|
14. Батон «Зебра» в/с 0,3 кг
|
3-64
|
4-00
|
|
15. Сдоба с маком в/с 0,1 кг
|
1-82
|
2-00
|
|
16. Хлеб облепиховый в/с
|
3-18
|
3-50
|
8-00
|
---
|
|
18. Печенье «Наша марка»
|
14-00
|
---
|
|
19. Хлеб «Сокольнический» 0,6 кг
|
3-64
|
4-00
|
|
20. Хлеб с кунжутом «Нива» в/с 0,3 кг
|
2-73
|
3-00
|
|
21. Сдоба «Марципановая»
|
1-82
|
2-00
|
Зная, из каких элементов состоит
цена, т.е. обладая определенной теоретической базой, можно приступать к
процессу образования цены - ценообразованию.
Ценообразование - это процесс
установления цены на конкретный товар, который состоит из следующий этапов (См.
Рисунок 22):
Рисунок 22 - Этапы процесса
ценообразования
Во многом решения по установлению
той или другой цены определяется причинами - внешними по отношению к
предприятию. В одних случаях эти причины значительно уменьшают свободу
предприятия в установлении цен, в других случаях - не оказывает заметного
влияния на свободу ценообразования, в третьих - значительно расширяют эту свободу.
Следовательно, конечным результатом первого этапа процесса ценообразования
должно быть выявление «Границ свободы» предприятия в установлении цен на
продукцию.
Основные факторы «Границ свободы» в
ценообразовании предприятия на рисунке 23. Рассмотрим их подробнее.
Рисунок 23 - Внешние факторы,
влияющие на ценообразование.
Такие факторы, как потребители,
рыночная среда, государство были подробно рассмотрены в первых двух главах
курсовой работы. Остановимся более подробно на рассмотрении четвертого фактора
ценообразования - участниках каналов товародвижения. На Рисунке 24 изображена
«технологическая цепочка» производства и реализации продукции в хлебобулочной
промышленности.
Рисунок 24 - Влияние каналов
товародвижения на ценообразование.
Для производства хлебобулочной
продукции необходимы сырье и материалы, оборудование, энергия и газ. В свою
очередь у поставщиков есть свои поставщики и т.д.; в процессе реализации
продукция поступает от производителя, сначала в оптовую торговлю, затем к
розничному торговцу, а потом к потребителю.
Влияние участников этой цепочки на
ценообразование производителя продукции может быть ощутимо им или «на входе»
(со стороны поставщиков) или «после выхода» (со стороны торговли и
потребителей). Рассмотрим типичный случай такого влияние «на входе».
Ситуация 1.
Поставщик основного сырья
хлебобулочной промышленности повышает цену, что приводит к росту затрат
производителя данной продукции (ваших затрат). Компенсировать возросшие затраты
возможно, либо выбрав другого поставщика, у которого цены еще остались на
прежнем уровне, либо снижая другие составные части своих издержек (уменьшить
зарплату, более рационально использовать сырье и т.д.), либо повышая цену, тем
самым перекладывая возросшие издержки на потребителя. ОАО «Северный кондитер»
выбрано последнее, что наиболее типично в настоящее время для российской
экономики. Тогда вырастут цены после выхода товара с предприятия: цены оптовой
торговли и розничные.
В связи с повышением цен на основное
сырье: муку в/с, минимальной з/платы, прочих расходов, изменением развеса
мучнистых кондитерских изделий, производится отпуск по свободно отпускным
ценам.
Таблица 10 - Отпускные цены на
хлебобулочные изделия
|
Наименование
|
Оптовая цена
|
НДС
|
Отпускная цена
|
Цена в торговле с 10% наценкой
|
|
Батон «Зебра»
|
3-28
|
0-36
|
3-64
|
4-00
|
|
Булка «Каспийская»
|
1-22
|
0-14
|
1-36
|
1-50
|
|
Сдоба с корицей
|
1-22
|
0-14
|
1-36
|
1-50
|
|
Сдоба с маком
|
1-64
|
0-18
|
1-82
|
2-00
|
Ситуация 2.
Оптовая торговля решила увеличить
торговую наценку на хлебобулочную продукцию. Это вызовет соответствующее
увеличение розничной цены или цены в торговле. Однако непосредственно на
ценообразование производителя хлебобулочных изделий это влияние не окажет.
Значит ли это, что изменение цен изделий после выхода с предприятия безразлично
производителю?
Конечно, нет. И ситуация 1 и
ситуация 2 в конечном счете приводят к отражению повышения цен на потребителе.
А как мы уже знаем, потребитель имеет мощный канал воздействия на всю
«технологическую цепочку» - спрос. Увеличивая цену мы в конце концов
обязательно столкнемся с ограниченностью спроса, что будет являться стимулом к
снижению цены. Правда такой вывод будет полностью верен для ситуации 1 и 2.
В результате всех повышений цен
розничная цена возросла. А объем произведенной продукции? Объем не увеличился.
Будет в таком случае потребитель требовать повышения з/платы? Несомненно.
Причем если заработная плата повысится у всех, то спрос возрастет? Да. А объем
производства? В лучшем случае останется на прежнем уровне. Отсюда и появляется
неограниченность спроса (она возникает тогда, когда мультипликационный эффект
от повышения цен коснется и заработной платы). В экономике данное явление
получило название «Инфляционная спираль цены - заработная плата».
Если ограниченность спроса приводит
к снижению цены, то неограниченный спрос приводит к прямо противоположным
результатам: это стимул еще большего повышения цены и часто при одновременном
снижении качества продукции.
Так на рассматриваемом хлебозаводе
из-за ограничения спроса на некоторые виды продукции приводит к значительному
замедлению реализации продукции, что привело производителя принять крайние меры
для покрытия производственных затрат на данную продукцию, т.е. продать изделия
по себестоимости.
После установления внешних факторов,
оказывающих воздействие на ценообразование, определяются цели ценообразования.
Цели ценообразования вытекают непосредственно из анализа положения предприятия
на рынке и общих целей предприятия.
ОАО«Северный кондитер» ставит перед
собой следующие цели:
1. Сбыт - максимизация сбыта.
2. Текущая прибыль -
максимизация текущей прибыли.
. Выживаемость - обеспечение
окупаемости затрат, сохранение существующего положения.
. Качество - обеспечение
лидерства по показателям качества, а также сохранение лидерства по показателям
качества.
Сбыт, текущая прибыль обеспечивают
выживаемость хлебозавода. Уровень цен крайне низкий до тех пор, пока цены
покрывают затраты.
Исходные цели предприятия должны
базироваться на внутренних возможностях путем проведения внутренней ревизии.
При проведении внутренней ревизии осуществляется анализ всех сторон
деятельности комбината за предшествующий период времени. К примеру, сравниваем
стоимость фактически выпущенной продукции за отчетный период (2006 г.) и за
предыдущий год (2005 г.). См. Таблицу 11.
Таблица 11 - Показатели ОАО
«Северный кондитер» за 2005-2006 гг.
|
Ассортимент
|
За предыдущий период
|
Един. изм.
|
Фактически
|
Стоим. фактич. выполненной прод-и за отчетный период
|
|
|
|
2005 г.
|
2006 г.
|
|
|
|
|
С начала отчетного года
|
За соответ. период прош. года
|
|
|
1. Хлеб 1 с 0,750 кг
|
2376,7
|
Тыс.
|
1292,8
|
1804,2
|
3075,5
|
|
2. Батон нарезной в/с 0,350 кг
|
59,8
|
|
3,2
|
9,2
|
13,0
|
|
3. Плетенка с маком в/с 0,400 кг
|
-
|
|
100
|
-
|
53,7
|
|
4. Хлеб йодированный в/с 0,5 кг
|
-
|
|
179,0
|
-
|
459,1
|
|
5. Хлеб Украинский новый 0,6 кг
|
-
|
Тыс.
|
178,5
|
-
|
457,6
|
|
6. Хлеб ароматный 2/с 0,4 кг
|
-
|
|
446,5
|
-
|
1175,6
|
|
7. Хлеб Хомовнический 0,5 кг
|
-
|
|
179,0
|
-
|
459,1
|
|
8. Батон диетический 0,350 кг
|
2,3
|
|
2,4
|
1,4
|
7,5
|
|
9. Хлебцы докторские 0,2 кг
|
2,5
|
|
33,4
|
1,5
|
138,0
|
|
10. Булка каспийская в/с 0,1 кг
|
-
|
|
38,5
|
-
|
251,8
|
|
11. Рожки обсыпные в/с 0,2 кг
|
-
|
|
52,4
|
-
|
323,8
|
|
12. Штрицель в/с 0,2 кг
|
4,6
|
|
45,1
|
0,9
|
278,8
|
|
13. Сдоба с корицей в/с 0,1 кг
|
94,0
|
|
24,0
|
19
|
235,4
|
|
14. Батон «Зебра» в/с 0,3 кг
|
-
|
|
6,2
|
-
|
38,3
|
|
15. Сдоба с маком в/с 0,1 кг
|
-
|
|
0,4
|
-
|
3,3
|
|
16. Хлеб облепиховый в/с
|
-
|
|
0,4
|
-
|
1,1
|
|
17. Макаронные изделия
|
2,5
|
|
33,4
|
1,5
|
138,0
|
|
18. Печенье «Наша марка»
|
-
|
|
0,3
|
-
|
3,3
|
|
19. Хлеб «Сокольнический» 0,6 кг
|
-
|
|
0,5
|
-
|
45
|
|
20. Хлеб с кунжутом «Нива» в/с 0,3 кг
|
-
|
|
52,4
|
-
|
323,8
|
Далее выбирается метод, т.е. способ,
установления исходной цены товара. Из рассмотренных во 2 главе данной работы
основных методов установления исходной цены ОАО «Северный кондитер» принимает
затратный метод.
Этот метод основан на ориентации
цены на затраты производства. Суть его в том, что к подсчитанным издержкам
производства добавляется какой-нибудь фиксированный процент прибыли, поэтому в
английской терминологии он получил название «plus pricing», что в буквальном
переводе означает «издержки + процент»;
Рассмотрим выборочно калькуляцию на
хлебобулочные изделия, выпускаемые рассматриваемым предприятием. В полную
себестоимость предприятия входят следующие компоненты: сырье и материалы,
топливо и электроэнергия, фонд оплаты труда, начисление, амортизация, прочие
расходы. На предприятии ведется учет расхода электроэнергии и газа.
Таблица 12 - Калькуляция
себестоимости на 1 т Батон «Зебра» в/с - 0,3 кг
|
Статьи затрат
|
Затраты на 1 т продукции
|
|
1. Сырье и материалы
|
7738,0
|
|
2. Топливо и энергия
|
70,0
|
|
3. Оплата труда
|
850,0
|
|
4. Отчисление на социальные нужды 38,5%
|
327,0
|
|
5. Амортизация
|
40,0
|
|
6. Прочие расходы
|
365,0
|
|
Итого себестоимость
|
9390,0
|
|
7. Прибыль (рентабельность)
|
1640,0 (17,5%)
|
|
8. Оптовая цена
|
11030-30
|
|
9. Свободная отпускная цена с НДС - 10%
|
12133-33
|
|
-1 шт
|
3-64
|
|
-РЦ 1 шт (ТН - 10%)
|
4-00
|
|
|
|
|
Произведем следующие расчеты:
Мука - 675,7 ´ 5-50 = 3716-00
Соль - 6,8 ´ 0,80 = 5,4
Дрожжи - 27,0 ´ 6,75 = 182,3
Сахар - 135,1 ´ 7,20 = 972,7
Маргарин - 81,0 ´ 26-00 = 2106,0
Какао - 6,8 ´ 71-43 = 485,7
Ваниль - 0,04 ´ 420-0 = 17,0
Услуги - 1,7 ´ 92-00 = 156,0
Масло - 1,02 ´ 17,00 = 17,3
Итого
7658 + 80 авт/услуги
7738
Таблица 13 - Калькуляция
себестоимости на 1 т Хлеб 1 с - 0,750 кг
|
Статьи затрат
|
Затраты на 1 т продукции
|
|
1. Сырье и материалы
|
3780,4
|
|
2. Топливо и энергия
|
70,0
|
|
3. Оплата труда
|
850,0
|
|
4. Отчисление на социальные нужды 38,5%
|
327,0
|
|
5. Амортизация
|
40,0
|
|
6. Прочие расходы
|
180,0
|
|
Итого себестоимость
|
5247,0
|
|
7. Прибыль (рентабельность)
|
268,0 (5,1%)
|
|
8. Оптовая цена
|
5515-15
|
|
9. Свободная отпускная цена с НДС - 10%
|
6066-67
|
|
-1 шт 0,750 кг
|
4-55
|
|
-РЦ 1 шт (ТН - 10%)
|
5-00
|
|
|
|
|
Произведем следующие расчеты:
Мука -
734,8 ´ 4-90 =
3600,5
Соль -
9,6 ´ 0-80 =
7,7
Дрожжи прес. - 11,0 ´ 6-75 = 74,3
Масло раст. на смазку - 1,05 ´ 17,00 = 17,9
Итого
37004 + 80 авт/услуги
3780,4
Так как на предприятии используется
1 метод ценообразования отметим его плюсы и минусы:
Плюсы затратного метода:
1. Производители имеют всегда
больше информации о своих издержках, чем о потребительском спросе. Поэтому
данный метод чрезвычайно прост для производителей.
2. Если таким методом
пользуется большинство производителей отрасли, то ценовая конкуренция может
быть сведена к минимуму, так как цены оказываются схожими.
Минусы затратного метода:
1. Данный метод не связан с
текущим спросом.
2. Он не учитывает
потребительские свойства, как данного товара, так и товаров, на которые он
может быть заменен.
После определения исходной цены
товара необходимо задать себе вопрос: как бы нам хотелось, чтобы изменилась
цена? Какой вариант желаемого изменения цен будет больше способствовать
реализации целей вашего предприятия? Для ответа на эти вопросы необходимо
разрабатывать стратегию ценообразования.
Стратегия ценообразования - это
выбор предприятием возможной динамики изменения исходной цены товара в условиях
рынка, наилучшим образом соответствующей цели предприятия.
Более коротко стратегию предприятия
в области ценообразования можно представить в виде формулы:
Таблица 14 - Формула стратегии
ценообразования
|
Цель предприятия
|
+
|
Метод установления исходной цены
|
+
|
Движение исходной цены
|
=
|
Стратегия ценообразования
|
Стратегия ценообразования будет
зависеть от того, на какой товар мы устанавливаем цену: на новый товар или на
товар, уже имеющийся на рынке. В стратегии установления цен на уже существующие
товары ОАО «Северный кондитер» использует установление скользящей цены. Суть
его состоит в том, что цена последовательно скользит по кривой спроса, т.е.
изменяется в зависимости от спроса и предложения товара.
Установлением начальной цены товара
и определением направления ее желаемого изменения процесс ценообразования не
заканчивается. Необходимо использовать ценовую тактику или корректировать цену.
Рыночная корректировка цены предполагает принятие производителем ряда решений.
В результате данного этапа устанавливается окончательная цена товара. Какие же
решения должен принять производитель хлебобулочных изделий?
Решения о продаже товаров
ассортимента по «ценовым ступенькам» (ступенчатое дифференцирование цен).
ОАО «Северный кондитер» выпускает не
какой-либо товар, а ассортимент товаров. В этом случае встает проблема
соотношения цен на отдельные изделия. Номенклатура выпускаемых товаров включает
в себя около 25 наименований. Они будут продаваться не по одной цене, а в
диапазоне цен. Выбор диапазона цен будет зависеть от веса изделий, от
количества расходов сырья и материалов, от использования новых видов сырья.
Заключение
Подведем итоги рассмотрения вопроса
о цене на товар как одного из основных инструментов маркетинга в большинстве
неоклассических моделей рыночной экономики. Цена оказалась таким параметром, от
которого во многом стало зависеть благополучие предприятия, размеры его доходов
и расходов. Этот параметр главным образом задается рыночной ситуацией, а именно
поэтому предприятие обязано осуществлять продуманную политику ценообразования с
учетом конъюнктуры конкретных товарных рынков сейчас, завтра и в более
отдаленной перспективе.
С одной стороны, цена формирует
доход предприятия; с другой, цена - это жертва, на которую должен пойти
потребитель, чтобы стать обладателем вожделенного блага в товарной форме.
Возможно, цена в фазах потребления в наибольшей степени, чем любой другой
элемент, определяет привлекательность всего маркетингового комплекса.
Решать различные проблемы в
комплексе помогает разработка ценовой политики в системе маркетинга, которая
предусматривает не только установление уровня цен, но и формирование
стратегической линии ценового поведения на рынке и в комплексе по всей товарной
номенклатуре и отдельно по каждому виду товара на всем протяжении жизненного
цикла.
Ценовая стратегия на относительно
длинный период служит основой принятия решений в отношении цены продажи в
каждой конкретной сделке. Стратегические ценовые установки и рассчитанная на
длительный срок линия ценового поведения позволяют определить объемы прибыли и
рыночную долю в прогнозируемом периоде, обеспечивают известный резерв
финансовых ресурсов и времени для эффективного использования маркетингового
инструментария для прицельного воздействия на рыночную ситуацию.
Обоснованные и квалифицировано
реализуемые политики ценообразования не только значительно улучшают общий
менеджмент на предприятии и системное качество принимаемых управленческих
решений, но также сокращают сферу сопряженной с такими решениями коммерческой и
социальной угрозы.
При написании курсовой работы были
рассмотрены теоретические аспекты маркетингового ценообразования, представлена
общая характеристика данного процесса, обоснована важнейшая роль цены в системе
маркетинга и инфраструктуре рыночной экономики в целом. Приведена актуальная
классификация цен, обозначены основные подходы к формированию цены на
выпускаемую продукцию и разработке ценовой стратегии предприятия.
В ходе работы также проведен
обзорный анализ российского рынка хлеба и хлебобулочных изделий, обозначены
ключевые тенденции развития на современном этапе, выявлены характерные черты
функционирования и наиболее значимые представители.
Проведено маркетинговое исследование
потребительских предпочтений на рынке хлебобулочных изделий города,
проанализированы полученные результаты, сформулированы основные выводы.
Проанализирован процесс
ценообразования в ОАО «Северный кондитер»; затратным методом рассчитана цена на
выпускаемую продукцию в рассматриваемом предприятии, разработаны рекомендации
по позиционированию товара на рынке.
На основании изложенного, можно
говорить о том, что цель курсовой работы достигнута, поставленные задачи
решены.
Список использованных источников
1. Алклычев, А.М. Ценообразование в переходной экономике: Учеб.
Пособие. - Махачкала: ИПЦ ДГУ, 2000. - 160 с.
2. Васильев, Н.Э., Козлов Л.И. Формирование цены в рыночных
условиях.- М.: Мастерство, 1995. - 480 с.
. Квасенков Е.В. Практическое руководство по
сегментированию рынка при проведении маркетинговых исследований: учебное
пособие для специалистов и учащихся ВУЗов. - М.: Изд-во МСМУ, 2011 - 256 с.
. Воронов, Ю.П. «Умение назначить цену (пособие по
практическому ценообразованию)». // ЭКО, 2008. - 120 с.
. Консультант директора. Ценовая стратегия предприятия. -
М., №4, 2000.
. Котлер, Ф. Основы маркетинга. - М., Прогресс, 2001 - 520
с.
. Кюте, Е. Маркетинг в розничной торговле. - Штутгарт,
1980. - 221 с.
. Осин, Г.П. Цены и ценообразование. - М., 1992.
. Попов, Е.В. Продвижение товаров и услуг: Учеб. Пособие. -
М.: Финансы и статистика, 1999.
. Рише, К. Экономика предприятия. - М.: Издательство
«Аристей», 1995. - 152 с.
. Солнце, В. Государственное регулирование цен и контроль
за их применением. // Экономист, №9, 1995.
. Табачный, Е., Пирадова Н. Маркетинг. -№3, 2000.
. Уткин, Э.А. Цены. Ценообразование. Ценовая политика. -
М., 1997.
. Цацулин А.Н. Ценообразование в системе маркетинга. - М.:
Издательство «Филинъ», 1997.- 300 с.
. Ценообразование / Под ред. проф. Салимжанова И.К. - М.:
Финстатинформ, 1996.
. Чубаков, Г.Н. Стратегия ценообразования в маркетинговой
политике предприятия. - М., Инфра-М, 1996. - 219 с.
. Шуляк, П.Н. Ценообразование. - М., 1998.
. Экономист. Уровень и динамика потребительских цен на
товары и услуги, №11 1998 - 64 с.
Приложение А
|
Полезность
|
|
Структура потребителей
|
Потребительская ценность товара
|
|
Объем спроса (количество товаров)
|
Потребительские свойства продуктов и услуг
|
|
Платежеспособный спрос
|
|
Цена спроса
|
|
Цены на дополняющие товары
|
Цена товара
|
Цены на заменяющие товары
|
|
Цена предложения
|
|
Издержки производства и потребления
|
Прибыль
|
Акциз
|
|
Цена факторов производства
|
Налоги и другие отчисления
|
Дивиденды
|
Инвестиции
|
Резерв
|
Услуги государства
|
|
Природные ресурсы
|
Капитал
|
Труд
|
Услуги государства
|
Интересы акционеров
|
Развитие производства
|
Страхование
|
|
|
|
|
|
|
|
|
|
|
Факторы ценообразования.
Приложение В
Уважаемые респонденты, просим Вас
ответить на вопросы анкеты,
Мы дорожим Вашим мнением!
1. Как часто вы покупаете хлебобулочную продукцию?
Каждый день
Раз
в неделю
Раз в 2-3 дня
Не
покупаю
2. Какой вид хлеба Вы предпочитаете более всего?
черный хлеб
батоны
выпечка
элитный
хлеб
3. Какие бы новые виды продукции, на Ваш взгляд, следовало бы
производить?
Злаковый хлеб
Хлеб с сухофруктами
Здоровье 
4. Не могли бы вы указать, продукцию какого производителя Вы
предпочитаете более всего?
Северный кондитер
ДОКА-хлеб
Другие
ИП Фокин
Елочка
5. Ваши комментарии и замечания по выпускаемой нами продукции:
6. Укажите размер дотации на питание от Вашей компании: __________
рублей.
7. Семейное
положение:
Женат
/ Замужем
Не
женат / Не замужем
Ваш пол и возраст:
Мужской
Женский
20-30
31-40
41-50
51-60
61
и старше
10. Укажите, пожалуйста, уровень
Вашего дохода:
менее 10000 р.
10000-15000
р.
15000-25000
р.
свыше
25000 р.