Побудова навантажувальної характеристики дизеля з газотурбінним наддувом
ЗМІСТ
ВСТУП
РОЗДІЛ
1. ПОБУДОВА НАВАНТАЖУВАЛЬНОЇ ХАРАКТЕРИСТИКИ ДИЗЕЛЯ З ГАЗОТУРБІННИМНАДДУВАННЯМ
1.1
Побудова залежності годинної витрати палива від ефективної потужності
1.2
Побудова залежності питомої ефективної витрати палива від ефективної потужності
дизеля при номінальної швидкості обертання
1.3
Побудова залежності ефективного ККД від ефективної потужності дизеля при
номінальній швидкості обертання
.4
Побудова залежності середнього ефективного тиску від ефективної потужності
дизеля при номінальній швидкості обертання
1.5
Побудова залежності тиску наддування від ефективної потужності дизеля при
номінальній швидкості обертання
1.6
Побудова залежності годинної витрати повітря від ефективної потужності дизеля
при номінальній швидкості обертання
1.7
Побудова залежності коефіцієнта надлишку повітря від ефективної потужності
дизеля при номінальній швидкості обертання
РОЗДІЛ
2. ПОБУДОВА ГВИНТОВОЇ ХАРАКТЕРИСТИКИ ДИЗЕЛЯ З ГАЗОТУРБІННИМ НАДДУВАННЯМ
2.1
Побудова залежності ефективної потужності від швидкості обертання колінчатого
вала
2.2
Побудова залежності годинної витрати палива від швидкості обертання колінчатого
вала
2.3
Побудова залежності питомої ефективної витрати палива від швидкості обертання
.4
Побудова залежності тиску наддування від швидкості обертання
.5
Побудова залежності ефективного ККД від швидкості обертання
2.6
Побудова залежності годинної витрати повітря від швидкості обертання
2.7
Побудова залежності коефіцієнта надлишку повітря від швидкості обертання
2.8
Побудова залежності середнього ефективного тиску від швидкості обертання
.9
Побудова залежності циклової подачі палива від швидкості обертання
2.10
Побудова залежності крутного моменту від швидкості обертання
РОЗДІЛ
3 -ПОБУДОВА ЗОВНІШНЬОЇ ХАРАКТЕРИСТИКИ ДИЗЕЛЯ З ГАЗОТУРБІННИМ НАДДУВАННЯМ
.1
Побудова залежності годинної витрати палива від швидкості обертання
.2
Побудова залежності ефективної потужності від швидкості обертання
.3
Побудова залежності питомої ефективної витрати палива від швидкості обертання
.4
Побудова залежності ефективного ККД від швидкості обертання
.5
Побудова залежності тиску наддування від швидкості обертання
.6
Побудова залежності годинної витрати повітря від швидкості обертання
.7
Побудова залежності коефіцієнта надлишку повітря від швидкості обертання
.8
Побудова залежності середнього ефективного тиску від швидкості обертання
.9
Побудова залежності крутного моменту від швидкості обертання
РОЗДІЛ
4. АНАЛІЗ СИСТЕМИ ЗМАЩЕННЯ ДВИГУНА
.1
Призначення та склад системи
.2
Прийом та зберігання масла на судні
.3
Засоби очистки мастила
.4
Фільтри тонкого очищення
.5
Класифікація систем змащення
ВИСНОВОК
СПИСОК
ВИКОРИСТАНОЇ ЛІТЕРАТУРИ
ВСТУП
Дизельні установки МаК займають провідне місце в
транспортному флоті, причому їх інтенсивний розвиток дозволяє передбачити, що
вони будуть мати переважне застосування і на знову споруджуваних судах. Так, у
1982 р. частка цих двигунів по випуску кількістю становила 29,3%. Це
пояснюється в першу чергу їх високою енергетичною ефективністю. Коефіцієнт
корисної дії дизеля досягає 45%, що визначає його паливну економічність.
Дизелі фірми MaK надійні в роботі, прості в
обслуговуванні та ремонті, мають обмежену витрату повітря, мала, схильні до
впливу атмосферних умов. Вони мають порівняно низький температурний рівень,та
простоту дистанційного автоматичного керування. Позитивними якостями дизелів
MaK є їх швидкий запуск, висока прийомистість, значний гальмівний момент, що
особливо важливо для транспортних установок. Суднові двигуни великої і
середньої потужності можуть працювати на важкому паливі, ціна якого на
світовому ринку значно нижче ціни дизельного палива.
Поряд з позитивними якостями двигуни
внутрішнього згоряння фірми MaK мають і низку недоліків. Серед них обмежений в
порівнянні з паровими і газовими турбінами агрегатна потужність, високий рівень
шуму, токсичність випускних газів, підвищена витрата мастильного масла, велика
чутливість до зростання навантаження, поява неврівноважених сил інерції і
можливість виникнення крутильних коливань.
Дизель MaK 6M32призначений для використання у
складі суднових і стаціонарних дизель-генераторів, а також в якості головних
суднових двигунів.
Дизелі чотиритактні, тронкових, однорядні,
вертикальні, з газотурбінним наддувом і проміжним охолодженням повітря.
Конструкція. Фундаментна рама лита чавунна. У
гніздах поперечних перегородок рами розташовані ліжку корінних підшипників.
Вкладиші підшипників колінчастого валу (як корінні, так і шатунні) - сталеві, з
антифрикційним шаром з бабіту або (у дизеляMaK6M32) зі сплаву АТ-31.
Литий чавунний блок-картер кріпиться до фундаментної
рами за допомогою анкерних зв'язків. З боку всмоктування блок має полицю, на
якій встановлюються індивідуальні паливні насоси. У ніші під полицею
розташований розподільний вал. До переднього торця блоку кріпиться
турбокомпресор.
Втулки циліндрів литі чавунні. Ущільнення втулки
по верхньому борту здійснюється мідною прокладкою, в нижній частині - двома
гумовими кільцями.
Кришки індивідуальні на кожен циліндр. У кришці
встановлені форсунка, впускний і випускний, пусковий, газооборотний (на двох
циліндрах) і запобіжний клапани.
Поршні литі чавунні, з увігнутим днищем і
шістьма поршневими кільцями, чотири з яких компресійні і два маслоз'ємні.
Поршневі пальці сталеві, цементовані, плаваючого типу.
Шатуни штамповані з вуглецевої сталі зі стрижнем
двотаврового перетину. Мастило до поршневому пальцю підводиться з свердління в
стержні шатуна. Кришка нижньої головки кріпиться чотирма болтами.
Колінчастий вал кований з вуглецевої сталі. Всі
шийки порожнисті. На передньому кінці валу закріплені шестерні для привода масляних
і водяних насосів. На задньому кінці встановлена шестерня для приводу
розподільного валу. На вихідному фланці кріпиться маховик з напівмуфт відбору
потужності. На обід маховика змонтований механізм регулятора граничної частоти
обертання.
Розподільний вал з кулачковими шайбами для
впускних і випускних клапанів і для приводу паливних насосів, встановлений в
чавунних підшипниках зі сталевими вкладишами, залитими бабітом. Шайби
кріпляться на шпонках і фіксуються стопорними гвинтами.
Паливна система складається з шестеренчатого
насоса, що підкачує, паливних фільтрів, паливних насосів високого тиску,
форсунок і трубопроводів. Паливо з бака подається через фільтри до насосів
високого тиску, звідки через щілинний фільтр надходить в форсунки.
РОЗДІЛ 1. ПОБУДОВА НАВАНТАЖУВАЛЬНОЇ
ХАРАКТЕРИСТИКИ ДИЗЕЛЯ З ГАЗОТУРБІННИМ НАДДУВОМ
Ціль роботи перебуває в побудові залежностей
годинної витрати палива,питомої ефективної витрати палива, ефективного ККД,
годинної витрати повітря, коефіцієнта надлишку повітря, середнього ефективного
тиску,тиску наддування від ефективної потужності дизеля при номінальній
швидкості обертання колінчатого валу дизеля. Робота виконується відповідно до
даних таблиці 1.1.
1.1 Побудова залежності годинної
витрати палива від ефективної потужності
Ця залежність носить лінійний характер, тому для
її побудови необхідно всього дві точки. Перша точка відома - номінальна витрата
палива дизелем при номінальній швидкості обертання й номінальної потужності.
Друга точка являє собою витрату палива на холостому ходу при номінальній
частоті обертання.
Для її визначення варто знайти потужність
механічних втрат, що залежить тільки від швидкості обертання.
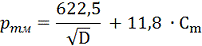
Середній тиск механічних втрат:
(1.1)
де Сm- середня швидкість
поршня, м/с;діаметр циліндра, см.

;
Потужність механічних втрат
(1.2)
де D- діаметр циліндра, м,хід
поршня, м,число циліндрів, од.,

- номінальна частота обертання, 
,

- коефіцієнт тактності для
чотиритактних дизелів 2, для двотактних 1.
Далі варто побудувати координатні
лінії, і відкласти потужність механічних втрат як негативну вліво від нуля
ефективної потужності. З'єднавши отриману точку із точкою номінального режиму,
одержимо залежність годинної витрати палива від ефективної потужності, що
розвиває дизель. Перетинання прямої з віссю ординат дасть значення годинної
витрати палива на холостому ходу при номінальній швидкості обертання
колінчатого валу.
Дану залежність варто будувати
акуратно, оскільки вона використовується при виконанні іншого завдання.
Дані цієї залежності заносяться в
таблицю 1.1.
.2 Побудова залежності питомої
ефективної витрати палива від ефективної потужності дизеля при номінальній
швидкості обертання
Ця залежність носить нелінійний
характер, тому вона будується поточках, які розраховуються по формулі
(1.3)
де 
- значення годинної витрати палива
за графіком або за даними таблиці 1.1, кг/год.,

- значення ефективної потужності за
графіком за даними таблиці 1.1, кВт.
Числові значення питомої ефективної
витрати палива заносяться в таблицю 1.1, після чого будується графічна
залежність ge = f(Ne).
1.3 Побудова залежності ефективного
ККД від ефективної потужності дизеля при номінальній швидкості обертання
Ця залежність також нелінійна й
будується по точках, які розраховуються по формулі:
(1.4)
Де 
42700 кДж/кг - теплота згоряння
дизельного палива.
Числові значення ефективного
ККД заносяться в таблицю 1.1, після чого будується графічна залежність 
= f(Ne).
1.4 Побудова залежності середнього
ефективного тиску від ефективної потужності дизеля при номінальній швидкості
обертання
Ця залежність лінійна, для її
побудови потрібні дві точки, які розраховуються по формулі
(1.5)
де Nе- поточне значення
ефективної потужності, кВт;

- коефіцієнт тактності;діаметр
циліндра, м;хід поршня, м;кількість циліндрів;номінальна швидкість обертання, 
.
будова графічної залежності рme
= f(Ne) здійснюється по двох точках,заповнення ж таблиці 1.1 може
провадитися як за допомогою отриманого графіка, так і за допомогою формули
(1.5).
1.5 Побудова залежності тиску
наддування від ефективної потужності дизеля при номінальній швидкості обертання
Ця залежність лінійна, тому для її
побудови потрібно дві точки. Одна точка відома - номінальний надлишковий тиск
наддування при номінальній потужності. Друга точка - надлишковий тиск
наддування на холостому ходу при номінальній швидкості обертання розраховується
по емпіричній залежності.
(1.6)
де рint - надлишковий
тиск наддування при номінальній потужності, кПа;

- годинна витрата палива на
холостому ходу, кг/год.;

- номінальний вартовий витрата
палива, кг/год
Побудова графічної залежності

= f(
) здійснюється по двох
точках,заповнення ж таблиці 1.1 може провадитися як за допомогою отриманого
графіка, так і за допомогою формули (1.6).
1.6 Побудова
залежності годинної витрати повітря від ефективної потужності дизеля при
номінальній швидкості обертання
Для побудови цієї залежності
необхідно побудувати допоміжну залежність коефіцієнта наповнення циліндрів від
ефективної потужності дизеля. Вона лінійна й будується по формулі
(1.7)
де 
= 100 кПа - атмосферний тиск.
Значення коефіцієнта наповнення
циліндрів заносяться в табл. 1.1.
Годинна витрата повітря теж лінійна
і розраховується по формулі
(1.8)
де ρair=
1,2 кг/м3 - щільність атмосферного повітря.
Значення годинної витрати
повітря заносяться в таблицю 1.1, після чого будується графічна залежність 
= f(
).
1.7 Побудова
залежності коефіцієнта надлишку повітря від ефективної потужності дизеля при
номінальній швидкості обертання
Коефіцієнт надлишку повітря
розраховується виходячи зі стехіометричного співвідношення
(1.9)
Таблиця
1.1
Навантажувальна характеристика
дизеля
|
|
 кг/год.ge, кг/
(кВт·год.) , %рme, кПа
|
рint,кПа
|
Фс
|
Gair, кг/год.
|
α
|
|
|
|
|
Відсоток номіналу
|
кВт
|
|
|
|
|
|
|
|
|
|
100
|
3000
|
|
0,179
|
 ,1  19202,1
|
|
|
|
|
|
|
80
|
2400
|
|
0,18
|
|
|
|
|
16251,7
|
|
|
60
|
1800
|
|
0,186
|
|
|
|
|
13501,4
|
|
|
40
|
1200
|
|
0,199
|
|
|
|
|
10751,1
|
|
|
20
|
600
|
|
0,2327
|
|
|
 1 7950,8
|
|
|
|
|
Холостий хід
|
0
|
39,38
|
∞
|
0
|
0
|
|
|
5110,53
|
|
|
|
|
|
|
|
|
|
|
|
|
РОЗДІЛ 2. ПОБУДОВА ГВИНТОВОЇ
ХАРАКТЕРИСТИКИ ДИЗЕЛЯ З ГАЗОТУРБІННИМ НАДДУВОМ
Ціль роботи складається в побудові
залежностей ефективної потужності,годинної витрати палива, питомої ефективної
витрати палива, ефективного ККД, годинної витрати повітря, коефіцієнта надлишку
повітря, середнього ефективного тиску, тиску наддування, циклової подачі
палива, обертового моменту від швидкості обертання колінчатого валу дизеля при
його роботі на гребний гвинт.
2.1 Побудова залежності ефективної
потужності від швидкості обертання колінчатого вала
Ця залежність являє собою кубічну
параболу виду
(2.1)
Де С- постійний коефіцієнт
гвинта, кВт×
, він залежить тільки від
завантаження судна й не залежить від режиму роботи дизеля,
.
(2.2)
де 
- номінальна потужність дизеля, кВт,

- номінальна швидкість обертання
колінчатого валу, 
.

=
Значення ефективної
потужності заносяться в таблицю 2.1, після цього будується графік 
= f(n).
2.2 Побудова залежності годинної
витрати палива від швидкості обертання колінчатого валу
Годинна витрата палива визначається
по емпіричній залежності
(2.3)
де 
- годинна витрата палива, кг/год.,
при номінальній швидкості обертання колінчатого вала, визначається за графіком
на рисунку залежно від діючої ефективної потужності дизеля;поточна швидкість
обертання, 
, визначається за даними таблиці
Значення годинної витрати палива
заносяться в таблицю 2.1.
2.3 Побудова залежності питомої
ефективної витрати палива від швидкості обертання
(2.4)
Проводиться по формулі (1.3)
аналогічно розділу 1. Результати заносяться в таблицю 2.1. Залежність
нелінійна.
2.4 Побудова залежності ефективного
ККД від швидкості обертання
(2.5)
Провадиться по формулі (1.4)
аналогічно розділу 1. Результати заносяться в таблицю 2.1. Залежність
нелінійна.
2.5 Побудова залежності тиску
наддування від швидкості обертання
Провадиться по формулі
(2.6)
Де 
- номінальний надлишковий тиск
наддування, кПа,

- годинна витрата палива по
гвинтовій характеристиці, кг/год.

- номінальна годинна витрата палива,
кг/год.,
Значення тиску наддування заносяться
в таблицю 2.1 після чого будується відповідний графік.
2.6 Побудова залежності годинної
витрати повітря від швидкості обертання
Для побудови цієї залежності
необхідно побудувати допоміжну залежність коефіцієнта наповнення циліндрів від
швидкості обертання аналогічно розділу 1 по формулі (7).
(2.7)
годинна витрата повітря визначається
по формулі (1.8). Ця залежність нелінійна, тому необхідно будувати графіки по
точках, які визначаються по формулі (1.8).
(2.8)
Значення годинної витрати повітря
заносяться в таблицю 2.1
2.7 Побудова залежності коефіцієнта
надлишку повітря від швидкості обертання
Провадиться аналогічно розділу 1по
формулі (1.9).
Значення коефіцієнта надлишку
повітря заносяться в таблицю 2.1
(2.9)
2.8 Побудова залежності середнього
ефективного тиску від швидкості обертання
Провадиться аналогічно розділу 1по
формулі (1.5).
Значення середнього ефективного
тиску заносяться в таблицю 2.1
(2.10)
2.9 Побудова залежності циклової
подачі палива від швидкості обертання
Провадиться по формулі
(2.11)
Значення циклової подачі палива
заносяться в таблицю 2.1
2.10 Побудова залежності обертового
моменту від швидкості обертання
Провадиться по формулі
(2.12)
Таблиця
2.1
Гвинтова характеристика
N Ne , кВт 
Т, кг/год.
, кг/кВт·год

, %
, кПа

, кг/год.αрme
, кПа
,
г/цикл
, кНм
|
|
|
|
|
|
|
|
|
|
|
|
% від Номіналу
|
|
|
|
|
|
|
|
|
|
|
|
|
|
100
|
|
3000
|
|
|
|
|
|
19202
|

|
|
47,7
|
|
90
|
|
|
438,2
|
|
|
|
|
16401
|
|
|
|
38,6
|
|
80
|
|
|
|
|
|
245,2
|
|
13800
|
|
|
|
|
|
70
|
|
|
|
|
|
|
|
11650
|
|
|
3,58
|
|
|
60
|
|
|
|
|
 ,1142,7 9710  17,19
|
|
|
|
|
|
|
|
|
50
|
|
374,9
|
|
|
|
|
|
8050
|
|
|
|
|
|
40
|
|
|
|
|
|
|
 , 6715  
|
|
|
|
|
|
РОЗДІЛ 3. ПОБУДОВА ЗОВНІШНЬОЇ
ХАРАКТЕРИСТИКИ ДИЗЕЛЯ З ГАЗОТУРБІННИМ НАДДУВОМ
Ціль роботи перебуває в побудові
залежностей годинної витрати палива, ефективної потужності, питомої ефективної
витрати палива, ефективного ККД, годинної витрати повітря, коефіцієнта надлишку
повітря, тиску наддування, обертового моменту від швидкості обертання
колінчатого вала дизеля при його роботі по зовнішньої характеристики.
Зовнішня характеристика дизеля є
обмежувальною по потужності, вона показує, яку граничну потужність може розвити
дизель при фіксованій швидкості обертання колінчатого вала. Цю характеристику
дизеля не можна визначити безпосереднім експериментом. Вона визначається шляхом
послідовного зняття навантажувальних характеристик при фіксованих швидкостях
обертання колінчатого вала.
Графічна залежність ефективної
потужності дизеля від швидкості обертання при роботі по зовнішньої
характеристики це крива, побудована при постійній цикловій подачі палива.
.1 Побудова залежності годинної
витрати палива від швидкості обертання
Провадиться по формулі
(3.1)
де gц- номінальна циклова
подача палива, приймається за даними таблиці 2.1
Ця залежність лінійна, і для її
побудови необхідно розрахувати всього дві точки.
Результати розрахунку заносяться в
таблицю 3.1.
3.2 Побудова залежності ефективної
потужності від швидкості обертання
Провадиться по емпіричній формулі
(3.2)
де Nеnom- номінальна ефективна
потужність, кВт.
3.3 Побудова залежності питомої
ефективної витрати палива від швидкості обертання
Провадиться по формулі (1.3)
аналогічно розділу 1 й 2. Результати заносяться в таблицю 3.1
(3.3)
3.4 Побудова залежності ефективного
ККД від швидкості обертання
Провадиться по формулі (1.4)
аналогічно розділу 1 й 2. Результати заносяться в таблицю 3.1.
(3.4)
.5 Побудова залежності тиску
наддування від швидкості обертання
навантажувальний
гвинтовий змащування дизель
Провадиться по формулі (2.6)
аналогічно розділу 2. Результати заносяться в таблицю 3.1
(3.5)
.6 Побудова залежності годинної
витрати повітря від швидкості обертання
Провадиться по формулах (1.7) і
(1.8) аналогічно розділу 1 й 2.
Результати заносяться в таблицю 3.1
(3.6)
Годинна витрата повітря
(3.7)
3.7 Побудова залежності коефіцієнта
надлишку повітря від швидкості обертання
Провадиться аналогічно розділу 2 по
формулі (1.9).
Результати заносяться в таблицю 3.1
(3.8)
3.8 Побудова залежності середнього
ефективного тиску від швидкості обертання
Провадиться аналогічно розділу 2 по
формулі (2.10).
Результати заносяться в таблицю 3.1
(3.9)
3.9 Побудова залежності обертального
моменту від швидкості обертання
Провадиться по формулі (2.12)
аналогічно розділу 2.
Результати заносяться в таблицю 3.1.
(3.10)
Таблиця
3.1
Зовнішня швидкісна характеристика
|
N
|
Ne , кВт
|
 Т, кг/год. , кг/кВт·год , % , кПа
|
 , кг/год.αрme
, кПа ,
кНм
|
|
|
|
|
|
|
|
|
% від номіналу
|
|
|
|
|
|
|
|
|
|
|
|
|
100
|
|
|
3000
|
|
|
|
|
19152
|
|
|
|
|
90
|
|
|
|
|
|
|
|
17651
|
|
|
|
|
80
|
|
|
|
|
|
|
|
16151
|
|
|
|
|
70
|
|
|
|
|
|
|
|
14601
|
|
|
|
|
60
|
|
|
|
|
|
|
|
13101
|
|
|
|
|
50
|
|
|
|
|
|
|
|
11551
|
|
|
|
|
40
|
|
|
|
|
|
|
|
10051
|
|
|
|
РОЗДIЛ 4. АНАЛІЗ МАСЛЯНОЇ СИСТЕМИ
.1 Призначення та склад системи
Масляна система суднової установки
призначена для подачі масла в циліндри головних і допоміжних двигунів. Однак поряд
з основним призначенням масляна система повинна забезпечувати:
прийом і зберігання масла;
очищення масла від води і механічних
домішок;
безперервну подачу масла до
двигунів.
У відповідності з цими завданнями
масляну систему умовно можна розділити на ділянки:
приймання, зберігання і
перекачування масла;
сепарації масла;
подавання масла до головних і
допоміжних двигунів;
Масляні системи призначені для
прийому, перекачуючиня, зберігання, очищення і подачі масла до місць
охолодження і змащення тертьових деталей головних і допоміжних машин і
механізмів, а також для видачі його іншим судам.
Масляна система в СЕУ служить для
змащування та відведення теплоти від тертьових поверхонь двигунів, механічних
передач, дейдвудних, опорних та упорних підшипників маслопроводів, охолодження
поршнів дизелів (у дизелях до 8-12%теплоти палива відводиться з циркуляційним
маслом),а також для прийому, зберігання, перекачування, підігріву та очищення
масла.
Циркуляційні масляні системи
діляться на напірну, гравітаційну і напірно-гравітаційну. Напірна система
мастила передбачає циркуляцію масла під тиском, створюваним головним масляним
насосом, по замкнутому контуру: стічно-циркуляційна цистерна, головний масляний
насос, фільтр-маслоохолоджувач, та споживачі стічно-циркуляційної цистерни.
Тиск масла в системі 0,3-0,5 МПа, а на окремих ділянках і вище, в залежності
від типу двигуна. Напірну систему циркуляційного мастила широко використовують
в СЕУ. Її використовують у головних і допоміжних двигунах всіх типів.
Системи змащення дизельних двигунів
можуть бути з сухим та мокрим картером. При мокрому картері масло знаходиться в
нижній частині двигуна (піддоні). При сухому картері стікаюче з підшипників
масло безперервно віддаляється з нього (самопливом або насосом) і направляється
в спеціальний маслозбірник (циркуляційну цистерну). На річкових суднах важко
розмістити маслозбірник нижче картера, тому його розташовують вище, що змушує в
циркуляційній системі використовувати два насоси: один (відсмоктуючий), який
перекачує масло з картера в маслозбірник, а другий (нагнітальний) подає його із
маслозбірника в двигун.
Дизелі малої потужності
(високооборотні), що застосовуються y суднах в якості допоміжних, зазвичай
мають систему змащення з мокрим картером. Ця система відносно проста і
автономна. Схема її така. Масло з картера через прийомний фільтр подається
насосом в здвоєний фільтр грубої очистки і далі в терморегулятор, який в
залежності від температури масла регулює потоки, що надходять у охолоджувач або
в обхід його. Після охолоджувача обидва потоки змішуються, і масло надходить у
головну розподільну магістраль дизеля, звідки воно направляється до підшипників
колінчатого і розподільного валів, головній втулці, на охолодження поршнів, на
змащення передач, навішаних механізмів і інших вузлів і деталей. Від змащуваних
деталей масло самотеком йде в картер.
У гравітаційній системі на відміну
від напірної, охолоджене масло надходить до місць змащення в результаті
власного напору від високо розташованих в машинному відділі напірних цистерн.
Під час роботи систем,напірні цистерни безперервно поповнюються маслом, що
подається насосом зі стічної цистерни двигуна. Тиск масла в системі мастила
0,07-0,1 МПа і залежить від висоти розташування напірної масляної цистерни.
Кількість масла, що підводиться до
змащуюваних поверхонь, визначається в залежності від призначення системи. При
змащенні поверхонь що труться, в малонавантажених деталях і вузлах, теплота
тертя яких розсіюється в навколишнє середовище або відводиться іншими
охолоджуючими рідинами, витрата масла невелика.
Коли масло подається до
високонавантажених деталей і вузлів тертя, а теплота, що виділяється при їх
роботі, не може розсіюватися в навколишнє середовище при допустимих в
експлуатації температурних умовах і їх охолодження іншими способами не передбачається,
витрата масла визначається як потреба змазки, так і з умови відводу циркулюючим
маслом теплоти еквівалентної роботі тертя. Визнана таким чином кількість масла
може бути в багато разів більше витрачатися тільки для змащення тертьових
поверхонь.
Характеристики обладнання систем
змащення залежать від призначення системи, кількості теплоти, що відводиться
маслом, і допустимого підвищення температури масла в процесі циркуляції. В
залежності від їх основного призначення розрізняють масляні трубопроводи:
приймально-перекачуючі, циркуляційної системи змащування, проточної системи
змащення, сепарування масла, дренажний, підігріву масла.
При проектуванні масляної системи
повинні бути забезпечені: працездатність системи при всіх можливих умовах
експлуатації, живучість, резервування, ремонтоздатність і зручність
експлуатації, технологічність, уніфікація і агрегатування механізмів,
устаткування, труб і арматури, ударо- і вібростійкість, рівні інтенсивності
повітряного шуму та вібрації відповідно до вимог, що пред'являються до цих
систем, спеціальні вимоги, обумовлені технічним завданням на проектування суден
(придатність до експлуатації в тропічних і арктичних умовах і т. д.). Крім
того, термін служби системи до списання повинен дорівнювати терміну служби судна
за умови заміни відповідних елементів в період ремонтів; для кожного сорту
масла необхідно мати окремий приймально-перекачуючий трубопровід.
Найбільш складну систему змащення
мають дизельні установки великої потужності, які можуть включати в себе наступні
незалежні системи: напірну циркуляційну головного двигуна і охолодження його
поршнів (якщо поршні охолоджуються маслом); гравітаційну (або циркуляційну)
газотурбонаддувочних агрегатів; напірну циркуляційну приводів паливних насосів;
лінійне змащення циліндрів; циркуляційну редукторних і гідродинамічних передач;
напірну мастила допоміжних двигунів.
Комплектація, конструювання та
виготовлення систем мастила здійснюється відповідно до Правил Регіструта
галузевими правилами та нормами проектування. Масляна система головних двигунів
повинна обслуговуватися двома масляними циркуляційними насосами, один з яких є
резервним з незалежним приводом. При розташуванні двох головних двигунів в
одному машинному відділенні допускається мати один резервний насос на два двигуни.
Необхідна кількість масла в системі
залежить від кратності його циркуляції і може бути визначене за питомим обсягом
(в середньому). Циркуляційна система дизелів характеризується наступними
показниками: кратністю циркуляції масла, питомим масло протоком, питомою
місткістю.
Оптимальна кратність циркуляції, що
забезпечує максимальну довговічність масла дизелів, становить при водяному
охолодженні поршнів не більше 10 1/год, при охолодженні поршнів маслом від
загальної циркуляції системи 5-7 1/год. Зменшення кратності циркуляції в два
рази збільшує термін старіння масла в три-чотири рази. Показники масляної
системи приймаються по технічній документації головного двигуна або на підставі
досвідчених середніх значень.
Питома витрата циркуляційного масла
залежить від типу і потужності двигуна. У малооборотних дизелях вони зіставлять
0,8 - 1,3, в середньооборотних ДВС-1,3-2,0і під допоміжного дизелях - 2,0-4,0
г/(кВт/год). Менші значення питомої витрати масла характерні для двигунів
більшої потужності. Питома витрата масла в головних турбінних двигунах не
перевищує 0,06-0,07 г / (кВт/год).
Під час роботи енергетичної
установки масло витрачається в головних і допоміжних двигунах, механізмах і
інших споживачах за рахунок витоків, чаду і втрат при сепарації. На судні
зберігається запас оливи, який йде на заповнення втрат і на зміну масла в
циркуляційній системі головних двигунів в разі аварійного обводнення його
морською водою або забруднення після закінчення терміну служби масла. З гідно з
Правилами Регістру місткість запасних масляних цистерн повинна бути достатньою
для заповнення системи маслом до робочого стану. Тому запас циркуляційного
масла коливається в межах 40-100%
4.2 Прийом та зберігання масла на
судні.
Приймально-перекачуючий масляний
трубопровід служить для прийому масла з палуби і подачі його до місця
зберігання; перекачуваня або заповнення маслом стічно-циркуляційних цистерн
головних і допоміжних двигунів, редукторів, гід-ромуфт і заповнення маслобаків
інших механізмів; відведення відпрацьованого масла в цистерни котельного
палива.
Система перекачування і сепарування
олії забезпечують сепарування масла в стічно-циркуляційних цистернах;
заповнення чистим маслом стічно-циркуляційних цистерн і маслобаків двигунів з
цистерн запасу; перекачування і сепарування відпрацьованого масла в цистерну
чистого масла.
Прийом масла, як і палива, на судно
провадиться закритим способом позасудовими засобами з берега (або з
судна-заправника) через наливні палубні втулки або використання патрубків,
розташовані в станціях прийому та видачі палива і масла. Ці ж патрубки
використовують і для видачі масла з судна. При прийомі невеликих кількостей
масла, подаваємого на судно в бочках, його перекачують переносним агрегатом
перекачування палива і масла. Діаметр прийомних патрубків визначають з
розрахунку прийому необхідного запасу масла на судно за 2-3 год. при тиску не
більше 0,2 МПа. Цистерни запасу масла рекомендується розташовувати поза
подвійного дна. Їх, як правило, виготовляють вкладними і встановлюють у МВ
вздовж бортів або переборок на деякій висоті від другого дна для того, щоб
можна було самопливом заповнювати стічно-циркуляційні цистерни двигунів і
редукторів. Цистерни запасного масла необхідно обладнати переливним
трубопроводом в цистерну відпрацьованого масла.
Якщо пропульсивна установка
розміщена в двох машинних відділеннях, для забезпечення живучості цистерни для
зберігання масла рекомендується розташовувати в кожному машинному відділі лінії
з окремими приймачами масла для кожного відділення.
Масла всіх сортів на судно приймають
в цистерни запасу несудовими засобами через фільтр, наявний в приміщенні
прийому палива і масла, по окремих трубопроводах. Масло деяких сортів на судно
надходить в бочках, тоді його заливають у відповідні цистерни за допомогою
перенесення масло перекачуючого агрегату. Цистерни запасу масла розташовуються
в машинному відділенні і в коридорі гребного валу. Видача масла головних і
допоміжних двигунів здійснюється маслоперекачуючим насосом.
У систему включені сепаратори масла
(основний і резервний), службовці для підготовки масла двигунів очищенням його
від механічних домішок і води під час роботи установки. Сепаратори забезпечені
системою програмного керування, забезпечує автоматичне розвантаження барабанів
сепаратора під час його роботи. На пневмосхему в ЦПУ виведена сигналізація про
знеструмлення і несправності системи, контролю за температурою масла при
сепаруванні і кнопка дистанційнної зупинки сепаратора.
Стічно-циркуляційну цистерну ГД
поповнюють з цистерн запасу ГД по трубопроводу самопливом через відповідні
клапани. Масляні ємності електрокомпрессорів заповнюють вручну переносною тарою
із запасних видаткових цистерни компресорного масла. Очищення масла
дизель-генераторів під час їх роботи провадиться відцентровими очисниками,
вбудованими в маслобак двигуна.
У разі сильного забруднення масло
сепарують резервним відцентровим сепаратором, наявними в системі. Для цього
систему готують таким чином, щоб вона була відключена від системи ГД щоб
уникнути змішування різних сортів масел. Якщо масло відпрацювало встановлений
термін(М10В2 -750 год., М10Г2 Ц С - 1500 год.), воно не підлягає подальшого
сепарування й насосом перекачування протікань палива і масла видається на
палубу для здачі судну-складальникові або перекачується в відстійну цистерну
важкого палива ГД для спалювання.
Видача відпрацьованого масла ГД
здійснюється маслоперекачуючим насосом по самостійному трубопроводу через
станції прийому палива і масла. Зачистка стічно-циркуляційної цистерни ГД
виробляється ручним насосом.
У системі повинен бути передбачений
стічний трубопровід, що з'єднує піддони всіх цистерн (крім міждонних) з
цистерною
проточо
к палива і масла. Трубопроводи виконані з сталевих безшовних труб, мають
наступні діаметри, мм: 89X4, 76Х 4, 57X5, 45X4,38X4, 25X3, 14X2. Арматури
сталеві. У системі може бути передбачений один (загальний) підігрівач масла.
Прийом масла на судно здійснюють
позасудовими засобами через палубний фільтр за допомогою гнучких рукавів,
приєднаних до палубних втулок з кожного борту. Кількість палубних втулок
визначається асортиментом масел (в системі їх п'ять), застосовуваних в
установці. Мастило редуктора, парових турбін і турбогенераторів виробляють одним
турбінним маслом з присадками. Приймальний трубопровід забезпечує одночасне
заповнення всіх запасних цистерн відповідним сортом масла.
Сепарування масла в системі
здійснюється двома автоматизованими самозавантажними сепараторами типуМарх-207,
виготовленими за ліцензією фірми «Альфа Лаваль» (Швеція). Система передбачає
можливість сепарування свіжого масла, що знаходиться в цистернах запасів
стічно-циркуляційних і цистернах відпрацьованого масла,а також видачу
сепарованого масла на палубу. Сепаратори, насоси, підігрівачі і обслуговуючі їх
прилади і арматура скомпоновані в єдиний агрегат сепарування масла.
4.3 Засоби очистки масла
Моторесурс і надійність дизелів, а
також витрата масла в них багато в чому залежать від ефективності засобів його
очищення, установлюють у мастильних системах. Засоби очищення масла дизелів
повинні відповідати таким основним вимогам: надійно і стабільно в часі
створювати необхідний рівень очищення; забезпечувати заданий ресурс
необслуговуваної роботи дизеля; мати по можливості мінімальний гідравлічний
опір; не відокремлювати присадки від масла; мати невеликі розміри; бути
простими по конструкції; дешевими в виготовленні; надійними і зручними в
експлуатації.
Засоби очищення масла слід
класифікувати в залежності від схеми включення в систему, принципу очищення і
тонкості відсіву. По схемі включення засоби очищення поділяються на повно- і
частково потокові. При повнопоточній (послідовної) схемі включення все масло,
яке надходить в дизель, проходить очищення. При частково потоковій (паралельної)
схемі включення, через очищувач проходить тільки частина масла (5-20% від
продуктивності мастильного насоса), яка потім зливається в картер.
Схема включення маслоочищувачів
визначається в основному їх типом. Фільтри грубого очищення масла практично
завжди мають повнопотокове включення, фільтри тонкого очищення поверхневого і
об'ємного типу можуть бути включені як послідовно,так і паралельно.
Фільтри грубого очищення.
Найбільшого поширення для грубого очищення масла отримали сітчасті фільтри з
тонкістю відсіву 100-140 мкм при робочому тиску 0,8-0,9МПа.
Проводяться також роботи з
удосконалення фільтрів грубої очистки масла і заміні дорогих латунних сіток.
Розроблені голкопробивні матеріали типів ІГФ-1 і ІГФ-2, призначені для грубого
очищення масла в дизельних двигунах. За своєю структурою голкопробивні
матеріали аналогічні натуральному войлоку. Переплутування волокон здійснюється
протягуванням пучків волокон крізь товщину шару спеціальними голками, які мають
щербини. Тонкість відсіву ІГФ-1 - 1 0 0 мкм і ІГФ-2 - 80 мкм.
4.4 Фільтри тонкого очищення
Найважливішою умовою для створення
високоефективного фільтра є правильний вибір фільтроматеріалу. На вибір
фільтроматеріалів для повно-поточних фільтрів тонкого очищення масла впливає
велика кількість факторів. До них відносяться наступні вимоги: тонкість очистки
масла, залежна від конструкції дизеля, зазорів в тертьових парах і
застосовуваних матеріалів; швидкість надходження забруднювачів в масло і їх
структура; термін служби дизеля і фільтро елементів; властивості
застосовуваного масла, величина його чаду; допустимі габаритні розміри;
насиченість масла газами; умови експлуатації.
Виходячи з цього фіпьтроматеріали
для фільтрів тонкого очистки масла повинні: забезпечувати необхідну тонкість і
повноту відсіву протягом всього заданого терміну служби фільтрозлемента;
володіти необхідною міцністю, стійкістю по відношенню до нафтопродуку, слабким
органічним кислотам і лугівпри тем температурах до 120о С; бути
біологічно і вологостійкими; мати рівномірну структуру(пористість) і малий
гідравлічний опір .
Найважливішою частиною
фільтроелементу є фільтруюча штора. Вона повинна забезпечувати максимальну
площу поверхні фільтрації, що припадає на одиницю об'єму фільтра, мінімальний
гідравлічний опір і володіти необхідними міцністю і жорсткістю. Для отримання
найбільшої площі поверхні фільтрації фільтруючій шторі надають складну
складчасту конфігурацію. Іноді для поліпшення дренажу потоку масла на вході і
виході з штори та запобігання злипання складок фільтроматеріала під дією
перепаду тисків між ними встановлюють різного роду розпірні вставки
(експандери). У деяких випадках замість експандерів застосовують рифлення
фільтроматеріала.
Найбільш характерними типами
фільтруючих штор є багатопроменева зірка, гвинтові й спіральні штори. Переважна
більшість вітчизняних і зарубіжних типів масляних фільтроелементів виконано у
вигляді багатопроменевої зірки. У порівнянні з іншими типами фільтруючих штор,
багатопроменева зірка володіє вищою міцністю жорсткістю та технологічністю. Крім
того, її
застосування
дозволяє одержувати порівняно великі площі поверхні фільтрації на одиницю
об'єму фільтроелемента. Застосування у фільтрах тонкого очищення масла змінних
елементів тягне за собою значні експлуатаційні витрати, пов'язані з витратами
на фільтроелементи і технічне обслуговування дизеля. Збільшення агрегатних
потужностей двигунів вимагає підвищення витрати масла в магістралі і, як
наслідок,оснащення дизелів повно поточними фільтрами з великим числом
фільтроелементів, що не завжди прийнятно за умовами експлуатації. У ряді
випадків, особливо в умовах суднової експлуатації, утруднена утилізація змінних
фільтроелементів.
Перераховані вище фактори, а також
постійно зростаючі вимоги щодо забезпечення часу необслуговуваної роботи
двигунів та підвищенню ступеня їх автоматизації визначили востаннє десятиліття
використання самоочисних фільтрів в якості засобу очищення масла в дизельних
двигунах. Основними перевагами самоочисних фільтрів перед звичайними є
відсутність змінних фільтроелементів, різке збільшення часу необслуговуваної
роботи фільтра, зменшення габаритних розмірів фільтра при збереженні потрібної
пропускної здатності і тонкості відсіву, підвищення рівня автоматизації рухових
установок.
До недоліків самоочисних фільтрів
відносяться складність конструкції; висока її вартість; необхідність
використання спеціальних фільтроматеріалів, що володіють підвищеною пропускною
здатністю і міцністю; енергетичні завитрати на привід і створення протитечії
рідини для промивання фільтроелементів. Самоочисні фільтри класифікуються за
способами регенерації фільтроелементів і створенню протитечії рідини, що
надходить на промивання фільтроелементів; по конструкції корпусу фільтра і
фільтроелементів; по режимам промивки; схемами включення в мастильну систему і
типу приводу очисного пристрою.
Основними способами регенерації
фільтруючих елементів у самоочисних фільтрах є механічний вплив і промивка
протитечією фільтрованої рідини або стисненого повітря. Промивання зворотним
потоком може здійснюватися за рахунок спеціальних перемикачів, по черзі
підключають здвоєні фільтрувальні камери або в режим фільтрації, або в режим
промивки, при цьому противотечія створюється безпосередньо за рахунок основного
потоку фільтрованого середовища шляхом почергового підведення фільтрованої
рідини (або повітря).
За цим принципом працюють
самоочищаються фільтровальні установки, що випускаються фірмою Sorfance
(Франція). До їх переваги слід віднести порівняльну простоту конструкції і
надійність роботи. Недоліком є великі габаритні розміри, викликані необхідністю
мати дві фільтрувальні камери, кожна з яких повинна повністю забезпечувати
пропускну здатність фільтра.
Під час роботи двигунів і механізмів
циркуляційне масло забруднюється в результаті омивання змащуваних поверхонь,
ємностей,порожнин і інтенсивного перемішування з повітрям. Забруднення в маслі
містяться у вигляді розчинних і нерозчинних включень. Інтенсивність забруднення
масла залежить від потужності і типу двигуна, його технічного стану і рівня
експлуатації. Найбільша кількість механічних домішок розміром3 мкм і більше
утворюється в маслах дизелів трункового типу.
В зольній частині забруднень
циркуляційного масла вміст сполук заліза досягає 10%, кремнію - 0,1%, алюмінію
- 3%, кальцію - 3%, ванадію - 0, 5% і натрію -3%. Органічна (вуглецева) частину
забруднення складає 83-97% загальної кількості механічних домішок. До 90%
вуглецевих частинок мають діаметр 1-10 мкм; їм властива висока ступінь
дисперсності. Найбільшу небезпеку для тертьових поверхонь представляють
частинки розміром 5-12 мкм, оскільки товщина масляної гідродинамічної плівки у
вузлах тертя знаходиться в межах 4-9 мкм. У зв'язку з цим потрапляння між
тертьовими поверхнями діаметром більше 5-7 мкм може призвести до задираня
робочих поверхонь.
Для очищення масла на судах
використовують відстоювання, фільтрацію та сепарування.
Відстоювання найбільш ефективно в
тому випадку, коли в маслі з'являються водні розчини кислот і значно
підвищується вміст механічних домішок. Відстоювання масла здійснюється в
стічно-циркуляційної цистерні під час стоянок судна. Хороші результати дає
відстоювання протягом 24-40 ч при його підігріві до 60-90° С. Температуру
нагрівання масла вибирають залежно від його сорту. При нагріванні, з масла
випаровуються волога і легкі фракції палива,знижується його в'язкість, що
покращує умови відстоювання механічних домішок. Потім воно продовжує
відстоюватися протягом 2-3 діб, після чого масло сепарують.
Вимоги до фільтрації масла в
енергетичних установках обумовлюються Правилами Регістру, які рекомендують
встановлювати на приймальному трубопроводі насосів зубчастих передач та
гідравлічних муфт магнітний фільтр, на приймальному трубопроводі насоса
циркуляційного мастила один сітковий фільтр грубого очищення, на нагнітальному
трубопроводі насоса - два паралельних фільтра або один здвоєнний змінний фільтр
або один самоочисний фільтр. Пропускна здатність кожного масляного фільтра
повинна перевищувати на 10% найбільшу подачу насоса.
Для очищення масел від механічних
домішок та води зазвичай служать відцентрові сепаратори. Кожен головний двигуну
комплектовують одним сепаратором і лише на судах з потужними малооборотними
дизелями можуть бути встановлені два сепаратора, один з яких є резервним. Для
кожного ГТЗА рекомендується застосовувати один сепаратор масла з продуктивністю
500-1000 л / год. при потужності ПТУ до 15 МВт або продуктивністю 1500-3000
л/год. при більшій потужності ПТУ.
При комплектації системи одним
масляним сепаратором в установці передбачають можливість підключення сепаратора
легкого палива в якості резервного. Сепаратори підключають паралельно
циркуляційної системі з метою їх використання для перекачування масла.
Продуктивність сепараторів виходячи
такого розрахунку, щоб вони опрацювали все масло в системі, пропустивши його
двічі в установках з МОД і чотири рази - з СОД, протягом24 год. з
продуктивністю 20-25% номінальної.
Вода є найбільш поширеним джерелом
забруднення масла. Солона вода може потрапити через нещільності в
маслоохолоджувачі, прісна - в результаті витоків з охолоджуючої системи прісної
води, в результаті конденсації і при очистці двигунів. Вода в маслі при
утворені емульсії являє собою серйозну небезпеку, тому що стійка водо-масляна
емульсія не руйнується при сепаруванні. Присутність води в маслі сприяє
виникненню корозії внаслідок сприятливих умов для росту різного типу бактерій,
дріжджів і цвілі.
Сепарування масла може здійснюватися
періодично або безперервно (під час роботи двигуна і коротких зупинок).
Зазвичай сепаратори використовують протягом 50-70% часу роботи головних
двигунів. Оптимальний режим очистки вибирають в залежності від експлуатаційних
умов, якості масла і його загальної кількості в системі. Для прискорення і
підвищення ефективності очищення масла при сепаруванні його підігрівають до
85-90°С.
Циркуляційні масла, не містять
присадок, і деякі високоякісні масла з антиокислювальними і антикорозійними
присадками при сепаруванні можна промивати прісною водою. Воду, нагріту до
70-80°С,в кількості близько 2% обсягу масла вводять в маслопровід, подаючий
масло до сепаратора. Промивання сприяє вимиванню з масла дрібнодисперсних
речовин і їх укрупнення, що полегшує їх видалення при сепаруванні.
Масла, що містять присадки, розчинні
у воді, які сприяють емульгуванню масла з водою, щоб уникнути погіршення
властивостей, промивати при сепаруванні не допускається. Очищення масла, крім
його сепарування, здійснюється фільтрами грубої і тонкої очистки. Фільтри
грубого очищення включаються в систему з таким розрахунком, щоб весь потік масла
проходив через них, ФТО можуть використовуватись як повнопоточні, так і
неповнопоточні. Потокові фільтри володіють високою пропускною здатністю (до 150
м3 / год.) з тонкістю очистки 20-40 мкм. Вони обладнуються перепускними
клапанами, що спрацьовують при збільшені тиску (внаслідок їх засмічення).
Для більш тонкої фільтрації масла, в
системах встановлюють частково-потокові фільтри (байпасні), здатні видаляти
частинки розміром до 3 мкм. Такі фільтри обробляють одночасно не все масло, а
лише 10-15%, але в результаті безперервної роботи через певний час проходить
фільтрацію все масло, яке перебуває в системі.
Таким чином, тонке очищення масел
можна здійснити комбінованим фільтруванням, передбачаючих використання
комбінованих систем, фільтрів і їх елементів.
Особливо перспективне комбіноване
очищення масел в дизелях з підвищеним наддувом, що працюють на високов'язких
сортах палива. Застосування комбінованих масляних фільтрів дозволяє збільшити
термін служби масла в 1,5-3 рази. Тонкість очищення таких фільтрів становить до
30 мкм.
Очищення масла від металевих
частинок зносу досягається установкою в системі магнітних фільтрів або
магнітних вставок в ФТО.
Тривалість роботи масла в двигунах
до його заміни залежить від типу і конструкції двигуна, їх технічного стану,
режимів роботи, сорти масла і палива, місткістю циркуляційної системи та
кратності циркуляції масла,способу очищення та конструкції фільтрів і
сепараторів і т. д.
Заводи-виробники двигунів і передач
зазвичай встановлюють орієнтовний термін служби масла, однак при експлуатації
необхідність його заміни визначається за результатам контрольного аналізу. Як
передчасна, так і занадто пізня заміна масла небажана, оскільки в першому
випадку буде невизначений перевитрата масла, а в другому підвищений знос механізмів.
В ПТУ і ДУ з МОД масло працює без
заміни протягом декількох років. У газотурбінних установках тривалість роботи
масла залежить від типу і напруженості ВМД, а також від конструкції масляної
системи. Термін служби масла в редукторах ГТУ становить 4-6 років.
4.5 Класифікація систем
Масляна система є однією з
найважливіших систем дизеля, що визначають його надійну і економічну роботу.
Вона виконує функції зниження зносу і тертя деталей двигуна, ущільнення
кільцевого зазору між поршневим кільцем і втулкою циліндра, охолодження пар
тертя і поршнів, поранення з деталей двигуна не розчинних у маслі домішок,
захисту деталей двигуна від корозії, забезпечення мінімальної витрати мастила.
Ці загальні вимоги до мастильних
систем визначають приватні задачі як безпосередньо конструкції масляної
системи, так і її робочого тіла - мастила та засобів її очищення. При цьому
мастило слід розглядати в якості складової частини мастильної системи та всього
дизеля. Взаємне узгодження конструкції дизеля з конструкцією мастильної системи
і властивостями мастильного масла - необхідна умова досяжності високої
експлуатаційної надійності і економічності дизелів.
В існуючій практиці дизелебудування
мастильні системи дизелів прийнято розділяти на дві взаємодіючі системи:
зовнішню і внутрішню. До зовнішньої мастильної системі зазвичай відносять
мастильну ємність для розміщення основного запасу працюючого масла, змащувальні
насоси, маслоохолоджувачі, очисники мастила, контрольно-вимірювальні прилади,
апаратуру автоматичного контролю, а також арматуру і трубопроводи, розташовані
поза дизеля.
Внутрішню мастильну систему
складають маслопроводи, канали і пристрої підведення масла безпосередньо до пар
тертя і вузлів, охолоджуваним маслом. В залежності від розміщення працюючого
масла циркуляційну систему підрозділяють на системи з мокрим картером (все
масло зберігається в картері дизеля) і сухим картером (масло розміщується в
окремій стічній циркуляційній цистерні).
Не заперечуючи певних відмінностей в
умовах роботи масла в системах з мокрим і сухим картером, слід визнати, що
спосіб розміщення запасу масла не є визначальним чинником швидкості його
старіння, а також часу його беззмінної роботи. Останнє в більшій мірі залежить
від обсягу масла в змащувальній системі. За кількістю мастила, що припадає на
одиницю потужності дизеля, мастильні системи пропонується розділяти на системи
малої та великої місткості. Незважаючи на те, що така градація умовна і не має
чітких та постійних меж, вона може бути використана для порівняльної оцінки
досконалості мастильної системи в цілому, включаючи і якість застосовуваних
масел.
За способом створення тиску
розрізняють наступні системи: напірну, в якій тиск масла (0,4 +1,0 МПа) перед
вузлами тертя створюється насосом; і гравітаційну, в якій тиск (0,05 +0,1 МПа)
визначається висотою розташування напірної цистерни, з якої масло самопливом
надходить до змащуваних вузлів. Класифікація мастильних систем суднових дизелів
передбачає поділ їх за такими ознаками: кількістю контурів циркуляції масла; розміщенню
запасу мастильного масла; питомої місткості системи; типом вентиляції картера;
типом застосовуваних агрегатів очищення масла.
У відповідності з існуючим Регістром
моторні масла в залежності від експлуатаційних властивостей розділені на шість
груп: А, Б, В, Г, Д, Є. Причому в кожній групі можуть входити масла, що
розрізняються по в'язкості від 6 до 23 (сСт) при 100вС.Для масел кожної групи
характерні свої показники якості відповідно до ГОСТ.
Група А. Масла цієї групи призначені
для немаркованих карбюраторних і дизельних двигунів. Як правило, в них
міститься невелика кількість антиокисних а антикорозійних присадок. В даний час
ці масла не мають широкого застосування.
Група Б. Масла цієї групи
застосовують для малофорсованних двигунів. Вони містять відносно невелику
кількість миючих, антиокислювальних і антикорозійних присадок.
Група В. Найбільш широко
застосовувана група масел для середньо-форсованих автомобільних, тракторних і
інших двигунів. Масла містять 4 +7% композиції присадок, що укладають миючі, антиокислювальні,
протизносні, антикорозійні і протипінні компоненти.
Група Г. Масла цієї також великої
групи призначені для високофорсованих двигунів. Містять широкий асортимент
присадок з тими ж функціональними властивостями, що і група В, у великих концентраціях
7+12%.
Група Д. Масла для надважких умов
роботи форсованих дизелів з високим ступенем наддуву; вміст присадок може бути
доведено до 12+20%.
Група Є. Масла для змащування
циліндра малооборотних суднових дизелів з наддувом, що працюють на важких сірчистих
паливах. Зміст присадок досягає 25%.
Масла груп А-Д відносять до класу
системних масел. Масла групи Д поєднують в собі функції як системного, так і
мастильного масла. Масла групи Є призначені виключно для змазування циліндрів.
ВИСНОВОК
Провівши всі необхідні розрахунки по
даному курсовому проекту, та побудувавши всі характеристики даного головного
двигуна, на основі проведених розрахунків, та звіривши результати розрахунків з
документацією по даному двигуну, можемо зробити висновок що всі розрахунки та
креслення виконані вірно.
Даний двигун широко застосовується
на морському транспорті, завдяки своїй практичності та надійності в
експлуатації.
В якості системи для аналізу, була
обрана - система змазки головного двигуна, вона являє собою складну систему з
багатьох складових, правильну роботу яких контролюють високоточні комп’ютери.
Отже можна зробити висновок, що
даний курсовий проект, був виконаний в повній мірі, з дотриманням всіх вимог
В ході виконання роботи було
проведено збір і систематизацію інформації на тему: «Суднові дизельні установки
та їх експлуатація»
На основі виконаної роботи можна
зробити висновок, що якісні відмінності, переваги і недоліки головним чином
залежать від робочого навантаження і від бажаних споживчих можливостей двигуна
котрі потрібно надати йому для проходження безпечної та економічної роботи .
Постійні нововведення і удосконалення двигунів намагаються зменшити затрати
палива, мастила, тепла і енергії, збільшити час роботи двигуна, підвищити
продуктивність і створити економічно вигідні умови для реалізації кращих
виробничих показників.
ЛІТЕРАТУРА
1.
Білоусов Є.В. Методичні вказівки до виконання курсового проекту з дисципліни
«Суднові дизельні установки та їх експлуатація», - Херсон, ХДМІ, 2010. - 28 с.
.
Михеев Е.Г. "Судовые дизели и их эксплуатация".М.Транспорт 1990.
.
Иванов Б.Н., Пономаренко В.М. "Эксплуатация судовых дизельных
установок". М.: Транспорт. 1982.
.
Райков И.Я. Испытания двигателей внутреннего сгорания. М. Высшая школа, 1975.
.
Большаков В.Ф., Фомин Ю.Я., Павленко В.Н. «Эксплуатация судовых среднеоборотных
дизелей». М. Транспорт. 1983.
.
Возницкий И.В., Камкин С.В., Шмелев В.П., Осташенков В.Ф. «Рабочие процессы
судовых дизелей» М. Транспорт. 1985.
.
Гаврилов В.С., Камкин С.В., Шмелев В.П. «Техническая эксплуатация судовых
дизельных установок» М.Транспорт. 1985.
.
Королев Н.И. «Регулирование судовых дизелей» М. Транспорт. 1983.
.
Малиновский М.А., Фока А.А., Ролинский В.Й., Вахрамеев Ю.З. «Краткий справочник
судового механика» О. Маяк. 1987.
.
Самсонов В.И., Худов Н.Н., Мирющенко А.А. «Судовые двигатели внутреннего
сгорания», М.Транспорт. 1981.
.
Положение о технической эксплуатации морских и речных судов. О. ЮжНИИМФ. 1996.
.
Правила технической эксплуатации морских и речных судов. Дизели. О. ЮжНИИМФ,
1996.
.
Портнов Д.А. Быстроходные турбопоршневые двигатели с воспламенением от сжатия.
М., Машгиз, 1963.
.
Леонтьевский Е.С. Справочник механика и моториста теплохода. Транспорт, 1981.
.
Лебедев О.Н., Сомов В.А., Калашников С.А. Двигатели внутреннего сгорания речных
судов. М., Транспорт, 1990.
.
Судовые энергетические установки. Румб В.К., Яковлев, Г.В., Шаров Г.И. и др.
Часть I. Судовые дизельные энергетические установки: Учебник, СПбМГУ. - СПб.: -
2007.