Монтаж и техническое обслуживание оборудования
Новокузнецкий
тогово-экономический техникум
Контрольная
работа
Вариант
79
Монтаж
и техническое обслуживание оборудования
Учащегося 5
курса,
специальности
техническая
эксплуатация оборудования
Кузьмин Павел
Витальевич
Шифр КМСС-79
Группа МСз-10-1
Домашний адрес
Список
вопросов
9. Монтаж трубопроводов холодильной
установки
20. Техническая документация
заводов-изготовителей, назначение.
25. Установка оборудования на
фундаменты.
9.
Монтаж трубопроводов холодильной установки
При монтаже холодильного контура фреоновых
установок (аммиачные не рассматриваются в виду того, что все современные
холодильные установки работают на фреонах) следует использовать только
специальные медные трубы, предназначенные для холодильных установок (т. е.
трубы «холодильного» качества). Такие трубы за рубежом маркируются буквами «R»
или «L».
Для снижения уровня вибрации, которая вызывает
шум и усталостное разрушение труб, трубопроводы соединяют с агрегатом через
гибкие вставки (виброгасители) и компенсаторы. В относительно небольших
установках с трубопроводами из медных труб вибрация поглощается в основном
трубопроводами, поэтому устанавливают только компенсационные петли на
всасывающем и нагнетательном трубопроводах вблизи компрессора. Компенсаторы -
это один-два витка трубы радиусом приблизительно 0,15 м, расположенные в
горизонтальной плоскости, чтобы в них не накапливалось масло. Если трубопроводы
жесткие, то для гашения вибрации применяют гибкие вставки (рис. 1), размещаемые
на трубопроводе (желательно на его вертикальном участке) вблизи компрессора.
Рис. 1. Виброгасители.
Рис. 2. маслоподъёмная петля и размещение ТРВ с
внешним уравновешиванием давления: а - схема функционирования, б - схема включения
воздухоохладителей, в - схема включения батарей и теплообменника.
Прокладку трубопроводов начинают обычно со
всасывающего трубопровода, от охлаждающих приборов к компрессору. Параллельно
всасывающему прокладывают жидкостный трубопровод. При отсутствии в системе
теплообменника всасывающий и жидкостный трубопроводы плотно прижимают друг к
другу хомутами для обеспечения теплообмена. Горизонтальные участки прокладывают
с уклоном не менее 0,02 в сторону компрессора для возврата масла. При прокладке
всасывающего трубопровода с подъемом по ходу движения хладона перед подъемом
делают маслоподъемную петлю с радиусом отвода (изгиба), равным приблизительно
трем диаметрам трубы (рис. 2). Трубопроводы крепят к стене с помощью
пластмассовых или деревянных колодок, размещаемых с шагом приблизительно 1,5 м.
Трубы прокладывают по трассе, указанной в
проекте или монтажной схеме. Трубы должны быть в основном расположены
горизонтально или вертикально. Исключение составляют:
горизонтальные участки всасывающего трубопровода,
которые выполняют с уклоном не менее 12 мм на 1 м в сторону компрессора
для облегчения возврата в него масла;
горизонтальные участки нагнетательного
трубопровода, которые выполняют с уклоном не менее 12 мм на 1 м в
сторону конденсатора.
В нижних частях восходящих вертикальных участков
всасывающих и нагнетательных магистралей высотой более 3 метров необходимо
монтировать маслоподъемные петли. Схема монтажа маслоподъемной петли на входе в
компрессор и на выходе из него приведена на рис. 3 и 4.
Рис. 3. Установка маслоподъёмной петли на входе
в компрессор: а - неправильно, б - правильно.
Рис. 4. Установка маслоподъёмной петли на выходе
из компрессора: а - неправильно, б- правильно.
Рис. 5. Схема установки маслоподъёмных петель на
восходящих участках трубопроводов длиной более 7.5 м.: а - нагнетательный
трубопровод, б - всасывающий трубопровод.
Если высота восходящего участка более 7,5 метров,
то должна устанавливаться вторая маслолодъемная петля. В общем случае
маслоподъемные петли следует монтировать через каждые 7,5 метров восходящего
участка всасывающего (нагнетательного) трубопровода (см. рис. 5). Вместе с тем
желательно, чтобы длины восходящих участков, особенно жидкостных, были как
можно меньше во избежание значительных потерь давления в них.
Длина восходящих участков трубопроводов более 30
метров не рекомендуется.
При изготовлении маслоподъемной петли следует
иметь в виду, что ее размеры должны быть как можно меньше. Лучше всего в
качестве маслоподъемной петли использовать один U-образный или два уголковых
фитинга (рис. 6). При изготовлении маслоподъемной петли путем изгиба трубы а
также при необходимости уменьшения диаметра восходящего участка трубопровода
следует соблюдать требование, чтобы длина L была не более 8 диаметров
соединяемых трубопроводов (рис. 7).
Рис. 6. Возможные варианты конструкции
маслоподъёмных петель
Рис. 7. Требования к маслоподъёмной петле: а -
при изготовлении изгибом труб, б - при уменьшении диаметра восходящего
трубопровода, в - недопустимо.
Для установок с несколькими воздухоохладителями
(испарителями), расположенными на разных уровнях по отношению к компрессору
рекомендуемые варианты монтажа трубопроводов с маслоподъемными петлями
приведены на рис. 8. Вариант (а) на рис. 8 можно использовать только в случае
наличия отделителя жидкости и размещения компрессора ниже испарителей, в остальных
случаях необходимо использовать вариант (б).
Рис. 8. Рекомендуемые (а и б) и неправильный (в)
варианты монтажа трубопроводов с маслоподъёмными петлями при наличии в составе
установки нескольких воздухоохладителей (испарителей), распололженных на разных
уровнях.
В тех случаях, когда в процессе работы установки
предусматривается возможность отключения одного или нескольких
воздухоохладителей, расположенных ниже компрессора, и это может привести к
падению расхода в общем восходящем трубопроводе всасывания более, чем на 40%,
необходимо общий восходящий трубопровод выполнять в виде 2-х труб (рис. 9). При
этом диаметр меньшей трубы (А) выбирают таким образом, чтобы при минимальном
расходе скорость потока в нем была не менее 8 м/с и не более 15 м/с, а диаметр
большей трубы (В) определяют из условия сохранения скорости потока в диапазоне
от 8 м/с до 15 м/с в обеих трубах при максимальном расходе.
Рис. 9. Рекомендуемые схемы монтажа восходящего
участка общего всасывающего трубопровода, объединяющего несколько испарителей,
объединяющего несколько испарителей, при возможности падения расхода в нем
более чем на 40%. 1 - Сифон (контрпетля), А - меньшая труба, В - большая труба.
При разности уровней более 7,5 метров сдвоенные
трубопроводы необходимо устанавливать на каждом участке высотой не более 7,5 м,
строго соблюдая требования рис. 7.
Для получения надежных паяных соединений (в виду
высокой текучести хладагента и в целях обеспечения максимальной герметичности
трубопровода пайка приоритетнее резьбовых соединений) рекомендуется
использовать стандартные фитинги различной конфигурации (рис. 10).
Рис. 10. Образцы медных фитингов, рекомендуемые
к использованию при сборке холодильного контура. Соединение медных труб
производят с помощью муфт, изготовленных из меди, длина которых составляет 2-3
диаметра, а внутренний диаметр на 0.3-0.5 мм больше наружного диаметра
соединяемых труб.
При монтаже холодильного контура трубопроводы
рекомендуется прокладывать с использованием специальных опор (подвесок) с
хомутами. При совместной прокладке всасывающих и жидкостных магистралей вначале
монтируют всасывающие трубопроводы и параллельно с ними жидкостные. Опоры и
подвески необходимо устанавливать с шагом от 1,3 до 1,5 метров. Наличие опор
(подвесок) должно также предотвращать отсыревание стен, вдоль которых
прокладывают не теплоизолированные всасывающие магистрали. Различные
конструктивные варианты опор (подвесок) и рекомендации по месту их крепления
показаны на рис. 11 и 12.
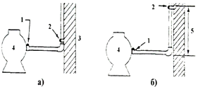
Рис. 11. Крепление опоры трубопровода при
присоединении к агрегату: а - неправильно, б- правильно. 1 - подсоединительный
узел, 2 - опора, 3 - стена, 4 - агрегат, 5 - не менее 10 диаметров
трубопровода.
Рис. 12. Различные варианты опор и подвесок,
используемые при прокладке холодильных трубопроводов:
а) Подвеска трубы к потолку или вдоль стены: 1 -
стальной профиль (уголок, швеллер и т.п.), 2 - серьга, 3 - труба, 4 - труба с
теплоизоляциецией, 5- широкий хомут, 6 - узкий хомут, 7 - защитная подкладка.
б) Опора на полке уголкового профиля: 1 - корпус
опоры, 2 - труба, 3- прокладка.
в) Опора в виде колодки, прикрепленной к стене:
1 - основание колодки, 2 - крышка колодки, 3 - винты, 4 - всасывающий
трубопровод, 5 - жидкостный трубопровод. 6 - шуруп, 7- деревянная пробка, 8 -
цементная заливка, 9 - стена.
г) Опора для теплоизолированной трубы: 1 -
труба, 2 - наружное покрытие, 3 - прочная муфта, 4 - теплоизоляция, 5-
гидроизоляция, 6 - опора, 7 - оболочка опоры.
ТРВ (терморегулирующий вентиль - рис. 13)
устанавливают при прокладке жидкостного трубопровода по возможности ближе к
охлаждающему прибору или распределителю типа «паук» (рис. 2) при его наличии.
Термочувствительный патрон ТРВ размещают на всасывающем трубопроводе так, чтобы
он воспринимал температуру только пара и особенно в период стоянки компрессора.
Если температура термочувствительного патрона будет значительно выше, чем охлаждающего
прибора, то ТРВ откроется, что может привести к переполнению охлаждающего
прибора жидким хладагентом. Поэтому термочувствительный патрон размещают на
горизонтальном участке всасывающего трубопровода: в верхней точке сечения трубы
при ее диаметре до 20 мм и сбоку при большем диаметре в пределах дуги
окружности от 0 (верхняя точка) до 120° при диаметре до 50 мм. Для улучшения
теплообмена патрон крепится с помощью хомута, а если он находится вне
охлаждаемого объема, то и теплоизолируется.
ТРВ с внешним уравновешиванием давления имеет
уравнительную трубку, которая врезается во всасывающий трубопровод и
обязательно за термочувствительным патроном по ходу движения хладагента на
расстоянии 0,15-0,2 м. Соленоидные (рис. 14) вентили устанавливают на горизонтальном
участке трубопровода электромагнитной катушкой вверх, а перед вентилем по ходу
движения хладагента находится фильтр (рис. 15).
Рис. 13. Терморегулирующий вентиль
Рис. 14. Соленоидный вентиль
Рис. 15. Фильтры.
Участки трубопровода от испарителя до
компрессора рекомендуется дополнительно термоизолировать, т.к. возвращающийся
по ним газообразный хладагент имеет температуру ниже окружающей среды и на
трубопроводе будет скапливаться конденсат, что в конечном счете может привести
к подтёкам, скоплениям воды и коррозиям и замыканиям в электрооборудовании.
Наиболее удачное распространение получила термоизоляция из вспененного каучука
и пенополиуретана (рис. 16, 17). На больших установках устанавливаются элементы
защиты от высокого или низкого давления (защитные клапана и реле давления -
рис. 18, 19).
В целях визуального контроля на линию близ
агрегата может быть установлен смотровой глазок (рис. 20).

Рис. 17. Термоизоляция отдельно и на трубках
Рис. 18. Реле давления
Рис. 19. пример установки реле давления.
Рис. 20. Смотровые глазки (смотровое стекло)
В процессе прокладки трубопровода производится
пайка всех соединений, а после монтаж термоизоляции.
Пайка, как правило, производится газовой
горелкой с медно-фосфорным припоем. Поскольку температура плавления таких
припоев порядка 760°С, то используются газовые горелки с температурой пламени
1300°С. При этом флюс не используется, т.к. таким припоем медь к меди паяется
отлично и без него.
При пайке уменьшающееся пламя горелки указывает
на пресыщение газовой смеси, т.е. на избыточное количество газообразного
топлива, в котором превышается содержание кислорода (рис. 21). Незначительно
уменьшающееся пламя нагревает и очищает поверхность металла быстрее и лучше.
Рис. 21. Оптимальный вид пламени горелки для
пайки твердым припоем: 1 - факел, насыщенный газом, 2 - факел ярко-синего
цвета.
Сбалансированная газовая смесь содержит равное
количество кислорода и газообразного топлива, в результате чего пламя нагревает
металл, не оказывая никакого другого воздействия.
Пресыщенная кислородная смесь - это газовая
смесь, содержащая избыточное количество кислорода, в результате чего образуется
пламя, которое окисляет поверхность металла. Признаком этого явления служит
черный окисный налет.
Чистота поверхностей имеет важное значение для
надежной пайки. Перед пайкой очищают соединяемые металлические поверхности от
грязи проволочной щеткой или наждачной бумагой. Необходимо предотвратить
попадание масла, краски, грязи, смазки и алюминия на поверхность соединяемых
металлов, иначе они будут препятствовать попаданию припоя в соединение,
смачиванию и соединению припоя с металлическими поверхностями.
Для пайки одну трубу вставляют в другую так,
чтобы она входила на длину не менее диаметра внутренней трубы. Между стенками
внутренней и наружной труб должен быть зазор 0,025 - 0,125 мм (рис. 22, а).
Рис. 22. Пайка труб.
а - установка соединяемых труб;
б - размещение горелки: 1 - наружная труба; 2 -
горелка; 3 - зона нагрева; 4 - внутренняя труба;
в - распределение припоя в соединении труб: 1 -
внутренняя труба разогрета до температуры пайки, а наружная имеет более низкую
температуру; 2 - наружная труба разогрета до температуры пайки, а внутренняя
имеет более низкую температуру; 3 - обе трубы разогреты равномерно до
температуры пайки;
г - расположение горелки и прутка припоя при
пайке соединения концов труб, нагретых до тусклого вишнево-красного цвета: 1 -
горелка; 2 - внутренняя труба; 3 - пруток припоя; 4 - наружная труба
Соединяемые трубы нагревают равномерно по всей
окружности и длине соединения (флюс не требуется).
Обе трубы нагревают пламенем горелки до 600 °С в
месте соединения, распределяя теплоту равномерно (медь имеет при этой
температуре темно-вишневый цвет) (рис. 22, б). При этом не следует нагревать
непосредственно припой. Соединение не должно быть нагрето до температуры
плавления металла, из которого изготовлены трубы. Применяют горелку
соответствующего размера с несколько уменьшающимся пламенем. Перегрев
соединения усиливает взаимодействие основного металла с припоем (т.е. усиливает
образование химических соединений). В конечном счете, такое взаимодействие
отрицательно влияет на срок службы соединения.
Если внутренняя труба разогрета до температуры
пайки, а наружная труба имеет более низкую температуру, то расплавленный припой
не затекает в зазор между соединяемыми трубами и перемещается в направлении
источника теплоты (рис. 22, в, поз. 1). При вводе припоя и пламени горелки в
зону пайки одновременно соединение нагревается неудовлетворительно. Внутренняя
труба не прогревается достаточно, и расплавленный припой также не будет
затекать в зазор между соединяемыми трубами (рис. 22, в, поз. 2). Равномерно
разогревая всю поверхность концов спаиваемых труб, припой плавится под
воздействием их теплоты и поступает в зазор соединения (рис. 22, в, поз. 3).
Трубы достаточно нагреты для начала пайки, если
пруток твердого припоя плавится при контакте с ними. Для достижения лучших
результатов при пайке предварительно несколько прогревают пруток пламенем
горелки (рис. 22, г). трубопровод холодильная
установка оборудование
Под воздействием капиллярных сил припой
поступает в соединение. Этот процесс протекает хорошо, если поверхность металла
чистая, зазор между металлическими поверхностями оптимален, концы труб в зоне
соединения достаточно нагреты (расплавленный припой течет по направлению к
источнику теплоты).
После сборки и сварки трубопровод подвергается,
как правило, пневматическому испытанию, согласно СНиП 3.05.05-84 и норм
проекта.
Дополнительно прокладывается дренаж от
испарителей, т.к. в процессе эксплуатации на них выпадает конденсат (иней) и
эту влагу нужно выводить из охлаждаемой камеры. Для камер с отрицательными
температурами предусматривают дренаж, оснащенный гибкими тэнами, чтобы
предотвратить перемерзание слива.
20.
Техническая документация заводов-изготовителей, назначение
С любой продукцией обязана поставляться
документация c описанием
характеристик продукции и подтверждающая качество продукции и соответствие.
ГОСТ 2.601 - устанавливает виды, комплектность и
общие требования к выполнению эксплуатационных документов (ЭД).
«4.1 ЭД предназначены для эксплуатации изделий,
ознакомления с их конструкцией, изучения правил эксплуатации (использования по
назначению, технического обслуживания, текущего ремонта, хранения и
транспортирования), отражения сведений, удостоверяющих гарантированные
изготовителем
значения основных параметров и характеристик
(свойств) изделия, гарантий и сведений по его эксплуатации за весь период
(длительность и условия работы, техническое обслуживание, ремонт и другие
данные), а также сведений по его утилизации.
.2 Сведения об изделии, помещаемые в ЭД, должны
быть достаточными для обеспечения правильной и безопасной эксплуатации изделий
в течение установленного срока службы. При необходимости в ЭД приводят указания
о требуемом уровне подготовки обслуживающего персонала.
.3 ЭД, поставляемые с изделием, должны полностью
ему соответствовать.»
«4.13 В ЭД, поставляемой с изделием, должна
содержаться следующая информация:
наименование страны-изготовителя и
предприятия-изготовителя;
наименование и обозначение стандарта или
технических условий;
основное назначение, сведения об основных
технических данных и потребительских свойствах изделия;
правила и условия эффективного и безопасного
использования, хранения, транспортирования и утилизации изделия;
ресурс, срок службы и сведения о необходимых
действиях потребителя по его истечении, а также информация о возможных последствиях
при невыполнении указанных действий (сведения о необходимых действиях по
истечении указанных ресурсов, сроков службы, а также возможных последствиях при
невыполнении этих действий приводят, если изделие по истечении указанных
ресурса и сроков может представлять опасность для жизни, здоровья потребителя
(пользователя), причинять вред его имуществу или окружающей среде либо оно
становится непригодным для использования по назначению. Перечень таких изделий
составляют в установленном порядке);
гарантии изготовителя (поставщика) (в
установленном законодательством порядке);
сведения о сертификации (при наличии);
сведения о приемке;
юридический адрес изготовителя (поставщика) и
(или) продавца;
сведения о цене и условиях приобретения изделия
(приводит, при необходимости, изготовитель
(поставщик) либо продавец). Для изделий,
разрабатываемых и (или) поставляемых по заказам Министерства обороны, эти
сведения и условия не приводят».
Виды и комплектность эксплуатационных
документов:
1. Руководство по эксплуатации: документ,
содержащий сведения о конструкции, принципе действия, характеристиках
(свойствах) изделия, его составных частях и указания, необходимые для
правильной и безопасной эксплуатации изделия (использования по назначению,
технического обслуживания, текущего ремонта, хранения и транспортирования) и
оценок его технического состояния при определении необходимости отправки его в
ремонт, а также сведения по утилизации изделия и его составных частей.
2. Инструкция по монтажу, пуску,
регулировке и обкатке изделия: сведения, необходимые для монтажа, наладки,
пуска, регулирования, обкатки и сдачи изделия и его составных частей в
эксплуатацию на месте его применения.
. Формуляр: сведения, удостоверяющие
гарантии изготовителя, значения основных параметров и характеристик (свойств)
изделия, сведения, отражающие техническое состояние данного изделия, сведения о
сертификации и утилизации изделия, а также сведения, которые вносят в период
его эксплуатации (длительность и условия работы, техническое обслуживание, ремонт
и другие данные).
. Паспорт: документ, содержащий сведения,
удостоверяющие гарантии изготовителя, значения основных параметров и
характеристик (свойств) изделия, а также сведения о сертификации и утилизации
изделия.
. Этикетка: гарантии изготовителя, значения
основных параметров и характеристик (свойств) изделия, сведения о сертификации
изделия.
. Каталог деталей и сборочных единиц:
документ, содержащий перечень деталей и сборочных единиц изделия с
иллюстрациями и сведения об их количестве, расположении в изделии,
взаимозаменяемости, конструктивных особенностях, материалах и др.
. Нормы расхода запасных частей: содержит
номенклатуру запасных частей изделия и их количество, расходуемое на
нормируемое количество изделий за период их эксплуатации.
. Нормы расхода материалов: содержит
номенклатуру материалов и их количество, расходуемое на нормированное
количество изделий на период эксплуатации .
. Ведомость комплекта запасных частей
инструмента и принадлежностей: содержит номенклатуру, назначение, количество и
места укладки запасных частей инструментов, принадлежностей и материалов,
расходуемых за срок эксплуатации изделия.
. Учебно-технические плакаты: сведения о
конструкции изделия, принципах действия, приемах использования, техническом
обслуживании, областях технических знаний с необходимыми иллюстрациями.
. Инструкции эксплуатационные
специальные: документы, содержащие специальные требования, относящиеся к
использованию по назначению, техническому обслуживанию, текущему ремонту,
хранению, транспортированию и утилизации, оформленные в виде самостоятельных
частей ЭД или в виде приложений к ним.
. Ведомость эксплуатационных документов:
документ, устанавливающий комплект эксплуатационных документов и места укладки
документов, поставляемых с изделием или отдельно от него.
Комплектность вышеперечисленных документов
определяет разработчик в соответствиями с рекомендациями ГОСТ 2.601.
Обязательными являются: формуляр (ФО), паспорт (ПС), этикетка (ЭТ), ведомость
ЭД. В зависимости от назначения изделия, условий эксплуатации и объема
помещаемых сведений в обязательном порядке составляют либо ФО, либо ПС, либо
ЭТ, либо включают один из этих документов в объединенный ЭД.
При приемке продукции от поставщика нужно
руководствоваться ГОСТ 24297-87 - регламент входного контроля. При этом
сверяется соответствие номенклатуры, внешний вид, комплектность поставки,
согласно документам, приложенным производителем.
25.
Установка оборудования на фундаменты
Фундамент - строительное сооружение из прочных
строительных материалов, предназначенное для закрепления оборудования и
передачи нагрузки от него непосредственно на грунт. Фундаменты под динамичное
оборудование отделяются от фундаментов и других строительных элементов зданий.
Оборудование на опорах и фундаментах закрепляется посредством фундаментных или
анкерных болтов (рис 23-24).
Рис. 23. Анкерные (фундаментные болты): а -
глухие с отгибом, б - с анкерными плитами, в - составные с анкерными плитами, г
- с изолирующими трубами, д - конические с цементной зачеканкой и распорными
цангами, е - с распорным конусом, ж - глухие, устанавливаемые в колодцах. 1 -
Болт, 2 - станина оборудования, 3 - фундамент, 4- анкерная плита, 5 - втулка, 6
- цементная зачеканка, 7 - цанги, 8 - конус.
Фундаментные болты (рис. 24, а, б) используют
для закрепления машин малой и средней динамичности - технологических машин
пищевых цехов, металлообрабатывающих станков, компрессоров, а также аппаратов.
Закладную часть болтов наглухо заделывают бетоном в массив фундамента.

Анкерные болты (рис.24, в) применяют для
закрепления оборудования большой динамичности (дизелей, прессов). Закладную
часть анкерных болтов не заделывают в массив, а закрепляют в анкерной плите
посредством резьбы или с помощью Т-образной головки. Для закрепления Т-образной
головки в анкерной плите имеется прямоугольное удлиненное отверстие, через
которое головка свободно проходит, но после поворота болта относительно его оси
на 90° удерживается плитой. Анкерные болты более устойчивы в работе, так как
весь их стержень подвергается равномерному упругому растяжению.
Под раму машины подливается слой бетона,
который, заполняя пустоты между шероховатыми поверхностями, обеспечивает
соприкосновение всех точек подошвы рамы с фундаментом. Рама прижимается к
фундаменту силой, равной весу оборудования, и дополнительно - натяжением
фундаментных болтов поэтому между ее подошвой и поверхностью фундамента
действуют значительные силы трения, которые нередко превышают усилия сдвига,
возникающие при работе машины. Если усилия сдвига не превышают величины силы
трения, то болты рассчитывают только на растяжение.
Сумма вертикальных сил, растягивающих
фундаментные болты, определяется величиной неуравновешенных динамических сил и
возникающих при этом моментов. Для машин с равномерно вращающимся ротором
динамическими силами являются неуравновешенные центробежные силы.
Например, для ротора весом Gрот (Н),
вращающегося с угловой скоростью ω (1/сек)
и центром тяжести, смещенным относительно оси его вращения на величину е (м),
неуравновешенная центробежная сила составит:
где g - ускорение силы тяжести, м/сек2.
Реакции основания при весе рамы машины Gpam
выразятся формулой:
а внешняя вертикальная сила, действующая на
фундаментные болты:
Площадь сечения F одного фундаментного
болта по внутреннему диаметру резьбы при действии на него силы Р’ и
допускаемом напряжении на растяжение материала [σ]
равна
где 1,35 - коэффициент, учитывающий
предварительную затяжку болта.
Фундаментные болты изготовляются
заводами-поставщиками оборудования. При отсутствии болтов их диаметр определяют
по размерам отверстий в раме или опорных лапах машин и аппаратов. Длину
закладной части болтов (т. е. глубину их заделки в массив фундамента)
определяют исходя из условий равнопрочности болта и массива фундамента на
разрыв. Массив фундамента на разрыв считается по поверхности конуса с
образующей, проходящей под углом 45° к оси болта, и вершиной у конца его
закладной части (рис. 24, б).
По условию равнопрочности гладкие стержни
фундаментных болтов необходимо заделывать в бетон марки 90 на глубину, равную
20 диаметрам стержня. Длина закладной части фундаментных болтов может быть
уменьшена за счет ее разветвления, применения анкерных плит или приваривания
болта к арматуре бетонного массива. При разветвлении хвостовой части в размере
6 - 8 диаметров стержня глубина заделки в бетон должна быть равна 10 - 12
диаметрам стержня. Глубина заделки фундаментных болтов в кирпичную кладку
принимается на 20 % больше, а в кладку из природного камня - на 100 % больше,
чем в бетон. В табл. 1 приведены расчетные данные глубины заделки болтов в
фундаменты из различных материалов.
Таблица 1
Данные глубины заделки болтов в фундаменты
|
Диаметр
болта с разветвленной закладной частью в пределах 6-8 диаметров, мм
|
Материалы
фундамента
|
|
бетон
|
кирпич
|
бут
|
|
14
|
140
|
160
|
300
|
|
16
|
170
|
200
|
350
|
|
18
|
190
|
230
|
450
|
|
22
|
250
|
280
|
520
|
|
24
|
260
|
300
|
550
|
Фундаментные болты диаметром менее 14 мм применять
не рекомендуется, так как при затягивании гаек они деформируются.
Размеры фундаментов по верхним граням
устанавливают, руководствуясь планом расположения фундаментных болтов и
размерами рам или опорных лап оборудования. Расстояния от осей фундаментных
болтов до наружных граней фундаментов принимается равным 120-200 мм. От края
рамы или опорной лапы оборудования до наружной грани фундамента принимается
расстояние не менее 50 мм. На поверхности фундамента разрешается делать выемки
и углубления для размещения трубопроводов, запорной арматуры узлов машин.
Высота фундаментов определяется с учетом высоты расположения оборудования,
длины закладной части фундаментных болтов и характеристики грунта основания.
Высоту расположения оборудования в помещении устанавливают исходя из требований
технологического процесса производства, удобства обслуживания и правил техники
безопасности. От конца докладной части фундаментных болтов до подошвы
фундамента выдерживается расстояние для малых машин 50 - 70 мм, для средних и крупных
- до 150 мм. К характеристике грунта основания относятся категория грунта,
возможность его вспучивания при замерзании, глубина расположения материкового
слоя, уровень грунтовых вод. Чтобы исключить возможность осадки фундамента при
эксплуатации, подошва его должна опираться на достаточно мощный материковый
слой грунта (материковым называют слой грунта, слежавшийся в течение
длительного срока и практически не дающий осадки). Если материковый слой
расположен на большой глубине, то разрешается находящийся на нем грунт,
способный давать осадку, заменять подсыпкой из крупного песка, хорошо
уплотненного вибрированием или другим способом. Глубина заложения подошвы
фундаментов, сооружаемых вне помещений, принимается; на влажных грунтах,
подвергающихся вспучиванию (глина, суглинок, супесь, пылеватый песок), на 10 -
20 см ниже глубины промерзания в данной местности (1,3 м); на грунтах, не
подверженных вспучиванию (песок, щебень, галька), независимо от глубины
промерзания. В неотапливаемых зданиях, на грунтах, подверженных вспучиванию,
подошву фундаментов закладывают па глубину, равную 0,7 глубины промерзания в
данной местности. В отапливаемых помещениях (с температурой 10° и выше) глубину
заложения подошвы принимают независимо от глубины промерзания. При проектировании
стремятся уменьшить высоту фундаментов и увеличить их горизонтальные размеры.
Такая форма обеспечивает большую устойчивость и меньший размер амплитуды
колебаний системы. Для оборудования относительно малого веса и значительных
габаритов, как например машинных и аппаратных агрегатов, металлорежущих станков
и т. п., фундаменты проектируют в виде бетонных плит, опирающихся на подушку из
хорошо уплотненного песка. Высоту Н таких фундаментов определяют в
зависимости от их длины L: для токарных станков H = 0,2√L
; для продольно-строгальных и фрезерных H = 0,3√L ; для
карусельных H = 0,6√L .
Под легкие (весом до 400 кг) сверлильные,
фрезерные и зубонарезные станки высоту бетонных фундаментов принимают равной
0,25 м. Минимальная высота кирпичных фундаментов под легкое оборудование - 0,5
м. Размеры подошвы фундаментов вначале определяют, исходя из конструктивных
соображений, а затем проверяют путем расчета. Рассчитывают фактическую удельную
нагрузку на грунт, которая не должна превышать допускаемую. При весе оборудования
Р и весе фундамента Q основание выдержит нагрузку, передаваемую
подошвой фундамента, площадью F, если будет соблюдено условие:
где R - расчетное сопротивление грунта, кг/см2.
Расчетным сопротивлением грунта называют удельную нагрузку, которую
способен воспринимать грунт основания в течение длительного времени,
обеспечивая целостность и нормальную эксплуатацию расположенного на нем
сооружения. Для песчаных грунтов R = 4,5 ÷ 1,5 кг/см2
(меньшая цифра относится к пескам пылеватым и очень влажным); для глинистых и
суглинистых грунтов R = 3,0 ÷ 1,0 кг/см2
(меньшая цифра относится к очень влажным глинам). При отсутствии данных о
геологическом строении грунта его расчетное сопротивление принимают по
наименьшим значениям: для материковых грунтов - 1,0 ÷
2,0 кг/см2 ( » 1×105 ¸ 2 ×105 н/м2);
для насыпных грунтов - 0,5 - 0,75 кг/см2 ( » 5×104 ¸
75×103Н/м2).
Минимальные размеры площади подошвы фундаментов
можно вычислить посредством следующих уравнений: для фундаментов, передающих
статическую нагрузку:
для фундаментов, передающих динамическую
нагрузку:
где а - коэффициент уменьшения расчетного
сопротивления грунта, величина которого принимается в зависимости от степени
динамичности оборудования: для машин с равномерным вращением вала
(электродвигателей, центробежных насосов и вентиляторов), а также для
компрессоров и металлообрабатывающих станков а = 1; для
подъемно-транспортного оборудования - 0,9; для прессового оборудования - 0,4.Фундамент,
выполненный в форме параллелепипеда высотою Н из материала, имеющего
удельный вес γ, имеет общий вес:
Подставляя это выражение в приведенные выше
формулы из табл.2.5, получим:
для фундаментов, передающих статическую
нагрузку:
для фундаментов, передающих динамическую
нагрузку, соответственно:
Определение центра тяжести системы, т. е.
оборудования и фундамента вместе взятых, необходимо для проверки ее
устойчивости. Центр тяжести системы должен находиться на одной вертикали с
центром тяжести плоскости подошвы фундамента. Эксцентриситет допускается не
более 5 % (эксцентриситет вычисляется по отношению к той стороне подошвы
фундамента, в направлении которой происходит смещение центра тяжести системы).
Если это условие не выдержано, то давление подошв на грунт основания будет
неравномерным и при эксплуатации фундамент может накрениться. Для определения
координат центра тяжести системы х0 (по длине), уо (по ширине) и z0 (по высоте)
установку разделяют на элементы, нахождение центров тяжести которых не
представляет затруднения, а затем производят расчет по формулам:
где mi - массы отдельных элементов установки,
т;
хi, уi и
zi - координаты центров тяжести элементов установки относительно осей х,
у и z, м. Положение центров тяжести оборудования указывается
заводами-поставщиками. С достаточной для практики точностью центр тяжести по
осям х и у можно установить по состоянию равновесия оборудования,
установленного на каток (каток устанавливается сначала в продольном, а затем в
поперечном направлении). Амплитуда колебаний верхних граней фундаментов машин
не должна превышать нормативную величину, установленную санитарными нормами (СП
245-63). Нормативные величины амплитуд установлены в зависимости от частоты
колебаний (Гц). Для частоты 5 Гц (машины с равномерно вращающимся
валом создают эту частоту при 300 оборотах вала в минуту) предельное значение
амплитуды 0,2 мм, а для частоты 15 Гц - 0,1м. Увеличение амплитуды
колебаний сверх нормативной величины ухудшает условия эксплуатации машин и
вредно сказывается на здоровье обслуживающего персонала. Фактическую величину
амплитуды колебаний фундаментов и машин измеряют вибромером во время работы
оборудования. Для уменьшения амплитуды колебаний необходимо увеличивать массу
фундамента.
Фундаменты под оборудование малой динамичности
(например, торгово- технологическое, холодильное) изготавливают из бетона,
бутобетона, кирпича, природного камня или дерева. Наибольшее распространение
получили бетонные фундаменты из бетона марки 90-100 с армированием мест
расположения фундаментных болтов и тонких стенок. Кирпичные фундаменты
разрешается сооружать для машин мощностью до 80 кВт при условии расположения
кирпичной кладки выше уровня грунтовых вод. Кладка выполняется из хорошо
обожженного и отбракованного кирпича марки 100 на цементном растворе марки не
ниже 70. Слабо обожженный и силикатный кирпич применять не разрешается. Природный
камень для сооружения фундаментов применяется с пределом прочности на сжатие не
менее 200 кг/см2. Деревянные фундаменты используют для временной установки
оборудования. Под машины с динамическими нагрузками их сооружают в виде клеток,
сложенных из брусьев и скрепленных сквозными болтами; клетки заглубляют в грунт
и засыпают песком. Брусья используют из твердых и полутвердых пород дерева.
Фундаментные и анкерные болты заделывают в массивы бетонных фундаментов одним
из следующих способов.
-й способ: при сооружении фундамента в его
массиве оставляют колодцы, в которые после установки машины закладывают болты и
заливают их бетоном. Колодцы в фундаменте образуются посредством коробов,
укрепленных к опалубке деревянными распорками (рис. 25). Для малых машин коробы
обычно заменяют деревянными пробками сечением примерно 100х100 мм, стесанными
на небольшой конус. Короба и пробки перед установкой в опалубку рекомендуется
намочить в воде - это облегчит их удаление из окрепшего бетона.
-й способ: на опалубку, перед заполнением ее
бетоном устанавливается специально изготовленная деревянная рама-шаблон с
укрепленными в ней фундаментными болтами и анкерными плитами (рис. 26).
Расположение отверстий для болтов в раме скопировано со станины монтируемого
оборудования. В распор между рамой и анкерными плитами устанавливают трубы
диаметром 76 мм, после чего гайки болтов затягивают. Для центровки болтов в
трубах применяют центровочные шайбы.
Рис. 25. Сооружение фундамента под оборудование:
1 - песчаная подушка; 2 - виброизоляция; 3 - короб для колодца фундаментного
болта; 4 - опалубка; 5 - отвес
Рис. 26. Рама-шаблон для копирования
расположения отверстий фундаментных болтов: а - рама; б - крепление анкерного
болта к раме
После затвердевания бетона фундамента и удаления
рамы-шаблона болты в пределах диаметра труб свободно перемещаются, что дает
возможность компенсировать неточность размеров. Растворы портландцемента с
весовым составом 1:3 затвердевают через 5 - 7 час. Прочность их через трое
суток составляет 30 - 50 % от прочности выдержанных образцов. Через семь суток
прочность растворов достигает 60 - 75 %, через 28 суток - 100 %. Опалубку,
короба и пробки удаляют обычно через пять суток после окончания укладки бетона.
Установка оборудования на фундамент разрешается при прочности бетона не менее
60 % от установленной проектом. Фундаменты небольшого веса и габаритов
изготавливают в цехах железобетонных конструкций по типовым чертежам и
устанавливают на объектах с помощью грузоподъемного оборудования. В
предприятиях торговли и общественного питания такие фундаменты применяют для
технологического оборудования, холодильных агрегатов, центробежных насосов.
При установке оборудование на фундаментах и
других опорах устанавливают и выверяют на пакетах стальных прокладок, клиньях,
регулировочных болтах или домкратах (рис. 27).
Рис. 3.1. Приспособления для выверки
оборудования на фундаментах: 1 - пакеты стальных прокладок; 2 - регулировочный
болт; 3 - фундаментный болт; 4 - рама; 5 - клинья
Выверка производится на горизонтальность, по
высотным отметкам и по монтажным осям. Кинематически связанные механизмы проверяются
дополнительно на правильность взаимного расположения. После выверки под подошву
рамы подливают бетонный раствор. Толщина слоя подливаемого бетона от 30 до 60
мм (большая толщина принимается для оборудования с более широкими рамами).
Соответственно фундаменты и другие опоры изготавливают ниже проектной отметки
на толщину слоя подливки, а высота подкладок, клиньев и т. д. должна равняться
принятой толщине подливки. Пакеты подкладок набирают из стальных пластин
толщиной от 20 до 0,1 мм, такие наборы позволяют изменять с необходимой
точностью высоту пакетов. Клиновые подкладки изготавливают из стали или чугуна;
их поверхности придают уклон 1: 10 или 1:20. Регулировочные болты ввертывают
непосредственно в раму машины или изготавливают с необходимыми деталями как
самостоятельные подъемные узлы. Количество пакетов подкладок или регулировочных
болтов принимается с таким расчетом, чтобы не допускать прогибания рамы. Под
недостаточно жесткими рамами, например, горизонтальных компрессоров, подкладки
располагают с двух сторон каждого фундаментного болта; под жесткими рамами
количество подкладок сокращается до одной у каждого фундаментного болта, но
должно быть не менее четырех. Размеры подкладок определяют исходя из величины
допускаемой удельной нагрузки на бетон, которая принимается равной 25 - 40
кг/см2. В местах размещения подкладок поверхность бетона выравнивают, срубая
неровность зубилом. Поверхности всех уложенных на зачищенные места подкладок
должны находиться в одной горизонтальной плоскости на высоте проектной отметки
подошвы машины. Горизонтальность подкладок проверяют слесарным уровнем,
установленным на монтажную линейку; негоризонтальность допускается в пределах
0,5 - 0,7 мм на 1000 мм длины. На выверенные подкладки устанавливают машину.
Перед установкой в колодцы опускают фундаментные болты, а на поверхность
фундамента кладут катки или металлические балки такой высоты, чтобы выступающие
концы болтов не препятствовали перемещению машины по фундаменту. После подъема
машины на фундамент заводят в отверстия рамы концы фундаментальных болтов,
навертывают на них гайки и катки или балки убирают. При проверке
горизонтальности уровень устанавливают на базовые площадки рамы (специально
обработанные поверхности) в случае их отсутствия - на чисто обработанные поверхности
корпусов, валов, подшипников и других деталей. Измерение уровнем выполняют в
направлениях параллельном и перпендикулярном монтажной оси машины.
Горизонтальность установки достигается изменением количества подкладок или
подколачиванием клиньев. Выверку считают удовлетворительной, если достигнута
необходимая горизонтальность различных частей рамы и все подкладки одинаково
нагружены. Недостаточно нагруженные подкладки или клинья обнаруживают по
показаниям уровня и по звуку при простукивании их молотком (издают глухой
дребезжащий звук). У многих мелких и средних машин - электродвигателей,
центробежных насосов, механизмов технологических пищевых цехов - в собранном
виде горизонтальные обработанные поверхности отсутствуют. Выверку таких машин
выполняют рамным уровнем по обработанным вертикальным поверхностям корпусов,
торцам шкивов или другим деталям. При выверке учитывают возможную
неправильность положения деталей вследствие неточности их изготовления или
прогиба под действием собственного веса. Допустимая негоризонтальность
установки машин в мм на 1000 мм длины рамы приведена в табл. 2.
Таблица 2
|
Вдоль
оси главного вала
|
Поперек
оси главного вала
|
|
Машины
технологических цехов предприятий общественного питания
|
0,3-0,4
|
0,4-0,5
|
|
Компрессоры
вертикальные, ДВС
|
0,1-0,2
|
0,2-0,3
|
|
Компрессоры
горизонтальные
|
0,1
|
0,2
|
|
Металлорежущие
станки, прессы
|
0,02-0,1
|
0,03-0,1
|
Для тяжелых машин со значительными динамическими
нагрузками, как например дизели и прессы, подкладки располагают не на
поверхности бетона фундамента, а на опорных чугунных плитах или балочных
каркасах, изготовленных из двутавровых балок и заделанных в фундамент.
Поверхности балок каркасов в местах расположения подкладок обрабатывают
опиловкой и шабрением до получения ровных площадок, расположенных в одной горизонтальной
плоскости. Положение площадок проверяют уровнем, установленным на монтажной
линейке. Допускается относительная негоризонтальность положения любой пары
подкладок 0,2 - 0,3 мм на 1000 мм длины. Опорные чугунные плиты выверяют по
уровню при закладке в бетон, поэтому дополнительная подгонка их поверхностей
обычно не требуется. Опорные участки поверхностей подошв тяжелых машин также
выравнивают опиловкой и шабрением. Такие машины устанавливают на фундамент и
выверяют на временных пакетах подкладок, которые затем заменяют постоянными,
изготовленными из цельного куска металла. Правильность положения машин
относительно монтажных осей проверяют с помощью отвесов. Свободные концы нитей
отвесов укрепляют к провешенным материализованным осям таким образом, чтобы
сами отвесы располагались вблизи от соответствующих узлов машины. Высотное
положение оборудования проверяют путем отмеров от реперов или с помощью
гидростатических уровней.
После выверки на горизонтальность по монтажным
осям и высотным отметкам, а также после проверки соосности отдельных узлов
колодцы фундаментных болтов и пространство между поверхностью фундамента и
опорной подошвой оборудования заполняют бетоном марки не ниже 150. Эту операцию
называют подливкой. Перед подливкой поверхность фундамента очищают от масла и
грязи, насекают зубилом и промывают горячей водой. Пo периметру фундамента
устанавливают опалубку, высота которой должна быть на 20 - 30 мм выше уровня
подливки. Трубопроводы и арматуру, расположенные на поверхности фундамента,
обкладывают деревянными рейками и обвертывают рубероидом, чтобы после укладки
раствора остались зазоры, необходимые для их разборки и изоляции. Раствор для
подливки приготавливают из портландцемента марки 400 и чистого кварцевого песка
в соотношении 1:3 или 1:2 (одна часть цемента и три или две части песка). Если
расстояние от поверхности фундамента до подошвы оборудования более 50 мм, то
применяют растворы с мелким гравием (размером до 10 мм) состава 1:1:3 или
1:1:2. Сначала поверхность фундамента смачивают жидким раствором чистого
цемента, затем укладывают бетонную массу, которую тщательно трамбуют,
проталкивая в зазор стальные стержни (шуровки). Для хорошего заполнения
пространства между пакетами подкладок или клиньями рекомендуется применять
первоначально более жидкий раствор. По истечении двух-трех суток снимают
опалубку и поверхность фундамента штукатурят цементной штукатуркой с
железнением поверхности. По истечении 12 - 15 суток при удовлетворительных
результатах испытаний контрольных бетонных кубиков на раздавливание крепят
фундаментные болты и обкатывают машину на холостом ходу. Не подливают раствором
загрубляемые в массив фундамента картеры компрессоров, двигателей и другие
части машин, чтобы избежать давления на них бетона при его тепловом расширении
(создается дополнительная нагрузка на фундаментные болты). Части машин, не
подлежащие подливке, отделяют валиками из свернутого в трубку рубероида.
Установка аппаратов на фундаментах. Аппараты не
создают динамической нагрузки, поэтому крепление их к фундаментам делают менее
прочным. Допускается крепление аппаратов за счет заделки в бетон их опорных лап
или каркасов. Аппараты устанавливают на фундаментах на пакетах подкладок и
выверяют на горизонтальность по высотным отметкам и монтажным осям, как машины.
При креплении путем заделки в бетон лап или каркасов высота фундамента
первоначально делается на 7 - 10 см ниже проектной отметки. После установки и
выверки аппарата наращивают верхнюю часть фундамента, закрепляя тем самым
опорную лапу или каркас. Некоторыми особенностями характеризуется монтаж баков
горячего и холодного водоснабжения. При проектировании и большинстве случаев
исходят из того, что все днище бака или большая его часть будет передавать
нагрузку на основание. Основанием для таких баков служат бетонные подушки или
плиты. Перед установкой на наружные поверхности днища и стенки бака наносят
антикоррозийное покрытие (обычно битумное); затем бак устанавливают
непосредственно на фундаментной плите или на антисептированных деревянных
брусьях таким образом, чтобы все днище равномерно передавало нагрузку. Это
достигается тщательным выравниванием поверхности плиты подливкой бетона, а при
установке на брусья - выверкой их положения с помощью подкладок. Расстояние
между брусьями принимают 0,4 - 0,6 м подкладки закладывают на поверхность
фундаментной плиты под брусья.
Список
литературы
1. Конторович В.И.; Гиль И.М.
«Устройство, монтаж и ремонт холодильных установок». Москва Агропромиздат
1985г.
2. Щербаков В.В.; Каштан Л.Г.
«Справочник слесаря по ремонту и обслуживанию торгово-технологического и
холодильного оборудования». Москва высшая школа 1987г.
. Якобсон В. Б. «Малые
холодильные машины» М.: изд-во "Пищевая промышленность", 1977.
. Рубинович Л.Д.
«Изготовление и монтаж трубопроводов и охлаждающих приборов холодильных
установок» (1966).
. http://www.holodilshchik.ru
. http://www.xiron.ru
. http://www.chillers.ru
. http://holod-perm.ru
. ГОСТ 2.601
. ГОСТ 24297-87
. СНиП 3.05.05-84
. ВСН 361-85
13. Гальперин Д.М. «Технология
монтажа, наладки и ремонта оборудования пищевых производств» М.: Агропромиздат,
1990.
. Лазарев И.А. «Ремонт и
монтаж оборудования предприятий пищевой промышленности» М.: Легкая и пищевая
промышленность, 1981.
. Гальперин Д.М. «Монтаж и
наладка технологического оборудования предприятий пищевой промышленности:
справочник» М.: 1988.
. Недельский Г.В. «Монтаж и
ремонт торгово-технологического оборудования. Учебник для механических
отделений техникумов общественного питания» 2-е изд., переработ. - М.:
Экономика, 1968.