Конвертерний процес
Зміст
Вступ
. Взаємодія
окислювального струменя з металом
2. Моделювання процесу контролю
параметрів режиму дуття
3. Ефективні технології
вдосконалення дуттьового і шлакового режимів
конвертерної плавки
Висновки по розділу
Література
Вступ
Конвертерний процес - основний
спосіб виробництва сталі.
У світовому виробництві частка
конвертерної сталі становить приблизно 60 %.
Пройшло понад
півстоліття з початку промислового використання киснево-ковертерного способу
виробництва сталі. За оцінкою спеціалістів, принципово нові технології
сталеваріння, на сьогоднішній день, стали достатньо зрілі. Періоди їх розвитку
перейшли в стадію відносно спокійного вдосконалення окремих важливих елементів
технології і обладнання.
Вирішення основних
задач сучасного киснево-конвертерного процесу - підвищення його рентабельності
і досягнення заданих фізико-хімічних властивостей розплавленого металу, щільно
пов'язане з подальшою оптимізацією дуттьових режимів.
При цьому в умовах
ринку, що склалися, важлива роль відведена розвитку енерго- і
ресурсозберігаючих технологій і прийомів ведення процесу.
При високих швидкостях виплавки, що
мають місце в конвертері, оператор фізично не встигає переробити великий об’єм
інформації, вибрати найкращий режим і оперативно втрутитися в хід плавки.
Автоматизація конвертерного процесу
дає можливість істотно підвищити його ефективність і якість виплавленої сталі.
Найважливіші технологічні складові
процесу продування конвертерної плавки - зневуглецювання, шлакоутворення і
температурна - залежать від режиму дуття, що визначає глибину реакційної зони.
Параметрами регулювання режиму дуття
є інтенсивність подання кисню і відстань наконечника фурми до рівня ванни [1].
Неоптимальний вибір цих параметрів
порушує синхронну зміну швидкості зневуглецювання і зміни температури ванни,
призводить до утворення густих гетерогенних шлаків з високими значеннями вмісту
кремнезему і в’язкості, що гальмує процес знесіркування, або, навпаки, занадто
рідких шлаків, що спричиняє викиди металу.
Все це підтверджує актуальність рішення
проблеми створення математичної моделі керування режимом дуття.
У публікаціях [2-5] проведено
детальний теоретичний аналіз процесів, що проходять у конвертерній ванні,
наведено формалізацію окремих явищ.
Загальний недолік моделей керування
режимом дуття, що даються в цих працях, - неадекватність опису процесів для
реальних умов, яка пов’язана з припущеннями при розробці моделей.
Відома модель явищ переносу
сталеплавильної ванни [6]. Її можна використовувати для прогнозування стану
конвертерної ванни і керування режимом дуття. Але відсутність зворотного
зв’язку істотно скорочує можливість застосування моделі в реальному
виробництві.
У практиці як зворотний зв’язок у
моделях керування режимом дуття використовується хімічний аналіз газів, що
відходять [7], або безперервно вимірюється маса конвертера датчиками,
змонтованими під його привідними цапфами.
Обидва способи призводять до
неточностей, пов’язаних із впливом СО2 недопалу вапна, режимом
вигоряння марганцю і заліза, кількістю кисню, що відбивається від ванни або йде
на реакцію допалення окису вуглецю до окису вуглецю у порожнині конвертера, а
також похибками при визначенні хімічного складу шихти.
Таким чином, використання відомих
моделей зумовлює неоптимальне керування конвертерною плавкою.
.
Взаємодія окислювального струмення з металом
При продувці конвертерної ванни
зверху сопло, через яке витікає окислювальний газ, може розташовуватись нижче
рівня ванни (занурене сопло) і вище нього (винесене сопло). Занурення сопла
використовується вкрай рідко у конвертерних процесах і повсюдно - при продувці
мартенівської ванни окислювальними газами. У конвертерних процесах верхньої
продувки сопло завжди винесене над рівнем спокійної ванни на висоту hф
. Це запобігає прогару фурми при тих параметрах продувки, які характерні для
верхнього кисневого дуття.
Для верхньої продувки
найчастіше використовуються багатосоплові фурми із соплами, що мають профіль
Лаваля, завдяки чому швидкість витікання кисню із сопел у 1,5-1,8 раза
перевищує швидкість звуку. Це забезпечує досить глибоке проникнення струменя у
ванну, незважаючи на те, що hф>0.
Іноді для конвертерів невеликої садки (менше 10 т) використовуються 1-2-соплові
фурми із циліндричними соплами і, відповідно, звуковим витіканням кисневих
струменів. Інколи на великих конвертерах багатосоплову фурму виготовляють як із
соплами Лаваля, так і з циліндричними соплами, якщо хочуть одержати в одному
дуттєвому пристрої поєднання струменів з різною здатністю взаємодіяти з ванною.
Цього також досягають, використовуючи у багатоканальній фурмі сопла Лаваля
різного діаметра, що, при однаковій абсолютній висоті над ванною усіх сопел,
дає різну відносну висоту h =hф/
, де 
- діаметр сопла, виражену в
калібрах. Незважаючи на різні варіанти компонування дуттєвих пристроїв,
взаємодія струменів окислювального газу з ванною відбувається за однаковими
закономірностями і далі розглядається для одиночного струменя.
Розрізняють три типи
взаємодії: відкрита лунка (рис. 2.1, а), відкрита лунка з розбризкуванням (рис.
2.1, б) і глибоке проникнення (рис. 2.1, в).
Якщо струмінь 2 витікає із
сопла 1, що знаходиться на висоті hф від ванни
3, то при першому типі взаємодії поверхня лунки гладка, а її глибина L
невелика. У другому режимі взаємодії на поверхні лунки під дією відбитого від
рідини газового потоку на її поверхні утворюються капілярні хвилі 4. Довжина
цих хвиль Ха збільшується зі збільшенням в’язкості і поверхневого натягу рідини
і зменшується зі збільшенням густинності рідини і швидкості
Рис 2.1. Взаємодія струменя з
ванною
зворотного газового потоку.
Капілярні хвилі рухаються по поверхні рідини зі швидкістю такого роду хвиль.
Одночасно, під дією зворотного газового потоку їх амплітуда а зростає і коли її
величина стає сумірною з довжиною хвилі (а~λ ), від
поверхні лунки відривається тороїд рідини, що руйнується на краплі 5, які
описують траєкторію вище рівня ванни і падають назад у ванну.
Перехід від першого до
другого режиму взаємодії відбувається при досягненні деякої критичної глибини
зони взаємодії L. Для сплавів на основі заліза вона
складає близько 2 см.
Перший і другий режими
взаємодії здійснюються при постійних глибині і діаметрі лунки й умовно можуть
називатися стаціонарними. У третьому ж режимі (рис. 2.1, в) лунка утворюється
періодично, а процес стає нестаціонарним. На першому його етапі струмінь 2
витісняє рідину із лунки і по її периметру виростають сплески, що піднімаються
на висоту 
- вище рівня ванни. Відбитий
газовий потік формує хвилю прискорення 7, довжина якої сумірна з розмірами
лунки. При рості амплітуда хвилі 7 закриває вихід газовому потоку із лунки і
вона роздувається у бульбу 8. У цей час сплеск вище рівня ванни руйнується на
краплі, що падають назад у ванну.
Коли хвиля 7 перекриє вихід
газу із лунки цілком, бульба 8 спливає із ванни, а струмінь газу знову формує
лунку і весь цикл процесу взаємодії повторюється.
Якщо динамічний напір
струменя на виході із сопла складає (p
, де p,w
-густинність і швидкість газу, то з умови рівності імпульсу по довжині струменя
в нижній точці лунки глибиною L динамічний
напір дорівнює
(p
= (p
/(
+L
, (2.1)
де 
- довжина початкової ділянки
струменя по динамічному напору в калібрах.
Для дозвукових струменів

=6,1 
, (2.2)
для звукових

= 7,1 
, (2.3)
а для надзвукових

= 6,8
, (2.4)
де 
= 
/
- параметр неізотермічності
струменя; 
- густинність навколишнього
середовища.
Оскільки в конвертері газова
фаза, що є для струменя навколишнім середовищем, завжди нагріта до високої
температури, то 
< 1 і довжина початкової ділянки
збільшується.
Оскільки в нижній точці лунки
тиск шару рідини товщиною L складає 
gL - де 
-густинність рідини; g -
гравітаційне прискорення, то, вирішуючи цю умову разом з (2.1), одержимо

. (2.5)
де
/
;
- кут нахилу сопла до вертикальної
осі; 
- коефіцієнт опору (
~1);n~1;К
= (p
, /
g
; - критерій Казанцева, який першим
запропонував використовувати його для опису взаємодії газових струменів з
рідиною в 1940 році, працюючи у Дніпропетровському металургійному, а в 50-х
роках - у Ждановському металур-гійному інститутах. У вітчизняній науковій
літературі цей критерій часто називається критерієм Архімеда Аг, як
запропонував сам І.Г. Казанцев, а в зарубіжній - модифікованим критерієм Фруда
Fr’.
Висота сплесків, що утворюються,
може бути знайдена з теорії хвильових процесів і складає

(2.6)
Обсяг зони взаємодії V3
може бути визначений із умови, що імпульс струменя / дорівнює масі рідини,
приєднаної до бульби,
і =
g
(2.7)
де 
- коефіцієнт приєднаної маси (
= 0,5).
Якщо продувка здійснюється
через багатосоплову фурму з пc сопел, то,
як правило, відбувається взаємне накладення окремих зон взаємодії. У цьому
випадку при глибині L, що зберігається, для кожної із зон взаємодії сумарний
імпульс буде дорівнювати

g
(2.8)
і утворюється сумарна зона
взаємодії обсягом 
.
Якщо розглядати окрему чи
сумарну зону взаємодії як параболоїд обертання з діаметром D3 на рівні ванни,
то діаметр зони взаємодії може бути визначений за виразом
D3 =
(8V3 /
(2.9)
або D3n =
(8
/
(2.10)
Зі збільшенням діаметра сопла

і витрат кисню через нього усі
розміри зони взаємодії кисневих струменів з ванною збільшуються. Для
промислових конвертерів глибина зони взаємодії складає 1-2 м і сумірна з
глибиною конвертерної ванни hв. Тому при
розрахунку параметрів конвертера і дуттєвого режиму необхідно враховувати цю
обставину і домагатися співвідношення L < hв,
щоб запобігти пробою ванни струменями кисню і прискореному зносу днища
конвертера.
Відповідно висота сплесків
досягає 3-7 м, що, порівняно з висотою вільного простору конвертера, вище рівня
ванни. Ця обставина також повинна враховуватися при конструюванні конвертера і
дуттєвих пристроїв, тому що в противному разі сплески будуть вилітати через
горловину конвертера за його межі. Це викликає втрати металу, зменшення маси
рідкої сталі, заметалення кожуха конвертера і кесона газовідвідного тракту.
Оскільки збільшення числа
сопел у фурмі дозволяє зменшити витрати кисню на одне сопло і, відповідно,
параметри зони взаємодії і супроводжуючі її утворення ефекти у вигляді пробою
ванни і сплесків, то, звичайно, прагнуть розмістити в межах труб, що складають
фурму, як можна більше сопел. Обмеженням при цьому є неприпустимість взаємного
накладення струменів, що витікають із сусідніх сопел. Із геометричних будов
можна одержати, що при кількості сопел у фурмі і куті розкриття кожного
струменя
накладення
струменів можна уникнути при

= sin(
/2) / (sin (180 / nс ) (2.11)
Для дозвукових струменів кут
розкриття струменя на початковій ділянці може бути знайдений із виразу
tg(
дзв/2) = 0,188
,(2.12)
для звукових
tg(
зв/2) =
0,114, (2.13)
а для надзвукови
де М - число Маха струменя; n -
параметр його нерозрахунковості.
За межами початкової ділянки
кут розкриття звукових і надзвукових струменів приблизно дорівнює куту
розкриття дозвукових струменів. Оскільки звичайно (hф + L)
" 
, то величина
у виразі
(2.11) наближається до
дав. Через
те, що кут
впливає і на інші фізико-хімічні
процеси, його вибір здійснюється звичайно емпіричним шляхом.
Розмір газової бульби, що
утворюється в режимі глибокого проникнення (рис. 2.1, в), може бути знайдений
за виразом
D,бул=1,59
g-1/5
(2.15)
де q-
витрати газу на одне сопло.
При окисленні вуглецю за
рахунок кисню, що міститься у бульбі, об’єм бульби збільшується приблизно у 2
рази, а нагрівання утвореного при цьому газу до температури ванни - ще у 5-7
разів, що збільшує діаметр бульби, розрахований за (2.15), у 2-2,4 раза.
Для продувки конвертерної
ванни знизу використовуються різні гази: повітря, кисень, повітряно-кисневі,
вуглекислотно-кисневі суміші, діоксид вуглецю, аргон і азот. При цьому донна
продувка може бути самостійною, і тоді газ має окислювальний характер, або в
комбінації з верхнім кисневим дуттям, і тоді використовуються іноді
окислювальні, але частіше інертні гази.
Введення газу у ванну знизу
може здійснюватися соплами, отворами у футеровці днища або через спеціальні
вогнетривкі вставки, що мають спрямовані канали діаметром 1 (до 2) мм або
відкриту пористість, яка дозволяє пропускати при досить високому тиску газу на
зовнішньому боці вставки необхідну кількість газу через вставку.
Незважаючи на різноманіття
варіантів здійснення донної продувки, взаємодія газового потоку, що надходить у
ванну, з останньою може здійснюватись у докризовому бульбашко-вому, надкризовому
бульбашковому і струминному режимах.
При витіканні газу із сопла
чи отвору в рідину 2 у бульбашковому режимі (рис. 2.2, а) газова бульба 3
утворюється безпосередньо на соплі чи отворі і після його відриву на них не
залишається газової фази, якщо рідина змочує матеріал сопла чи стінку.
Якщо діаметр сопла d<π(ϭ/Δρg)1/2,
де Δp =
ρρ-ρ; ρ - густинність газу; ϭ -
поверхневий натяг рідини, то при швидкості витікаючого газу w→0
Dбул ≡
Dбул ∕
d вих =
(6)1/3 / Bo1/3 (2.16)
де (Bo) = ρgd2 / ϭ -
критерій Бонда.
Для сплавів на основі заліза Dбул ~
0,93 dвих1/3 ,
якщо вимірювати їх у сантиметрах. Таким чином, при використанні, наприклад,
вогнетривкої вставки з діаметром каналів близько 0,1 см, при малій швидкості
витікаючого газу і досить великих відстанях між каналами, щоб уникнути злиття
бульб, їх розмір буде близько 0,4-0,5 см.
Якщо рідина 2 не змочує
матеріал вогнетриву (рис. 2.2, б), в якому розташований отвір 1, то при w→0
Dбул →2
/ Bo1/2 (2.17)
і Dбул →2
(ϭ/ρg)1/2,
а після відриву від сопла бульб 3 на стінці залишається газова лінза 4. Для
сплавів на основі заліза Dбул
-0,9 см.
При продувці через вогнетривку
вставку з відкритою пористістю відстань між отворами пор звичайно менша, ніж
розміри утворених бульб, і останні зливаються у газовий прошарок, що відділяє
вставку від металу. При досить малій величині наведеної швидкості газу по площі
вставки f:w
= Iг
/ f , де Iг
- витрати газу через вставку, бульби мають розмір, що розраховується за виразом
(2.17). Такий режим утворення бульб називається бульбашковим докризовим.
При збільшенні наведеної швидкості
до деякої критичної величини відбувається відтиснення рідини від вогнетриву і
режим стає бульбашковим післякризовим. При досить малому діаметрі вставки і
великих витратах газу розмір бульби можна визначити за виразом
Dбул
= 1.19 Iг
2/5 g-1/5
(2.18)
При інтенсивній подачі газу через
сопло і високих швидкостях витікання утворення бульб відбувається у струминному
режимі (рис. 2.2, в). Спочатку струмінь, що витікає із сопла 1 у рідину 2, формує
газовий об’єм 3. Газовий потік, обтікаючи стінки цього об’єму, викликає
утворення на них хвилі 4, що рухається до сопла і зростає по амплітуді. Коли
хвиля перекриє поперечний переріз об’єму 3, від нього відірветься бульба 6, а
на соплі залишиться струминна ділянка 5 і весь цикл процесу повторюється.
У цьому режимі росту бульби, як
хвилі прискорення, її розмір буде
Dбул
= [З2 СD
сos2
αβaρρρ(ρ+ρρ)K/2πΔρρ2бул]1/5
де βa
- парусність хвилі прискорення (βa~1);
рбул - густинність газу у бульбі.
При досягненні швидкістю витікаючого
струменя швидкості звуку в утвореній бульбі виникає гідродинамічний удар і
об’єм бульби збільшується в kv
= ρw2/рнавк
разів, де рнавк- тиск у навколишньому середовищі; рнавк =
ратм + ρρghв,
де ратм - атмосферний тиск.
При використанні кисню, що
вдувається, на окислення вуглецю розмір бульби збільшується приблизно у 2 рази,
а в результаті нагрівання газу до температури ванни - ще у 6-7 разів.
Вираз (2.19) може бути використано
при донній продувці конвертерної ванни окислювальним газом. При повітряному
дутті розміри утворених бульб складають близько ЗО см при голчастому і понад 50
см - при фурменому днищі. При донному кисневому дутті вони збільшуються до
100-130 см. При конструюванні конвертера донного дуття необхідно розташовувати
дуттєві пристрої на досить великій відстані один від одного, щоб запобігти
злиття газових об’ємів, які утворюються.
Розрахована за (2.15) величина бульб
порівнянна з глибиною ванни. Якщо Dбул
>hв
(рис. 2.3, а), то ще до закінчення утворення бульби купол вийде на поверхню
ванни і газ із бульби витече в атмосферу конвертера. У цьому випадку стінки
бульби зімкнуться до осі сопла, а струмінь, що витікає, створить на них
капілярні хвилі (рис. 2.3, б), подібні до тих, що утворюються при верхній
продувці в режимі відкритого кратера з розбризкуванням. Бризки металу, що
утворюються при цьому, піднімаються на висоту, відповідну вільному простору
конвертера.
При їх виносі за межі конвертера
втрачається метал, зменшується вихід придатної рідкої сталі, заметалюються
кожух конвертера і кесон газовідвідного тракту. Тому при конструюванні
конвертера і дуттєвих пристроїв необхідно, щоб Dбул
< hв.
Рис. 2.3. Пробій ванни і винос
металу при донній продувці.
При злитті кількох бульб 1, 2, З,...
результуюча п-а бульба за розміром може виявитись прирівненою до внутрішнього
діаметра конвертера (рис. 2.4). При її спливанні рідкі фази (метал і шлак)
можуть не встигати перетікати вниз через зазор між бульбою і стінкою конвертера
і будуть викинуті бульбою через горловину. Викиди також викликають зменшення
виходу рідкої сталі, забруднюють підлогу цеху під конвертером, де проходять
рейкові шляхи сталевоза, що перевозить ківш із рідкою сталлю і шлакову чашу з
конвертерним шлаком, створюють небезпеку для обслуговуючого персоналу.
При бічній продувці сопла
розташовуються у бічній стінці конвертера вище, на рівні чи нижче рівня
спокійної ванни.
Якщо глибина занурення сопла 1 нижче
рівня ванни 2, тобто hc<
Dбул
/2 то взаємодія відбувається за режимом відкритої лунки з розбризкуванням (рис.
2.5, а) на поверхні ванни під дією газового потоку утворюються капілярні хвилі
3, амплітуда яких росте у часі і при α~λ утворюються
краплі 4.
Рис. 2.4 Викиди з конвертера при
донній продувці.
При достатній глибині hc>
Dбул
/2 бульби утворюються по типу донної продувки у бульбашковому (рис. 2.5, б)
вертера при донній продувці чи струминному (рис. 2.5, в) режимах. У цьому
випадку діаметр бульб, що утворюються, дорівнює
Dбул
= 1,39g2/5g1/5
( 2,20)
і при звичайній інтенсивності подачі
газу на одне сопло в конвертерах бічного повітряного дуття, з урахуванням
збільшення об’єму газу у бульбі в результаті взаємодії кисню з вуглецем і
нагрівання до температури ванни, складає близько 100 см.
Таким чином, реалізація
бульбашкового і струминного режимів взаємодії (рис. 2.5, б, в) вимагає значної
глибини розташування сопел. Вона забезпечується в конвертерах аргоно-
Рис. 2.5. Взаємодія газового
струменя з ванною при бічній продувці
кисневого і газокисневого
рафінування шляхом створення ванни більш значного, ніж в інших конвертерних
процесах, відношення глибини ванни до її діаметра hв/D/
= 0,5-0,6 і глибини ванни 1,5-1,8 м. У цих конвертерах при звичайних витратах
аргонокисневої суміші і висоті рівня ванни над соплами 1-1,5 м бульби розміром
до 100 см формуються нижче рівня ванни без пробою і виносу металу. Це особливо
важливо у зв’язку з дорогою легованою металевою шихтою цих процесів.
Фізико-хімічні процеси при взаємодії
У попередньому розділі показано, що
взаємодія окислювального газу з металом проходить в умовах, коли під дією
зворотного газового потоку на поверхні металу утворюються і рухаються капілярні
хвилі, які при достатній величині амплітуди α~λ
перетворюються
у краплі. Це властиво режимам взаємодії при продувці зверху (рис. 2.1, б, в),
знизу (рис. 2.2, в), збоку (рис. 2.5, а-в).
Режим
відкритого кратера при продувці зверху (рис. 2.1, а) чи бульбашковий режим
(рис. 2.2, а, б), яким не властиві такі гідродинамічні процеси, або не
реалізуються на практиці, або їм відводиться допоміжна роль, як, наприклад, при
введенні інертного газу через вогнетривкі вставки у днищі конвертера при
комбінованій продувці.
Коли при верхній (рис. 2.1, б, в),
донній (рис. 2.2, в) чи бічній (рис. 2.5, а-в) продувці краплі металу
зриваються із поверхні утвореної зони взаємодії (газової бульби) і втягуються у
потік окислювального газу, їх взаємодія між собою відбувається в умовах високих
відносних швидкостей руху порядку 101 -102 м/с.
Відповідно, розміри утворених крапель складають 101 -10 2
см, а масова інтенсивність їх утворення приблизно відповідає стехіометрії
реакції
[Fе]+1/2{O2}→(FеO)
(2.21)
і масовій інтенсивності кисню, що
вдувається.
Таким чином, якщо за час циклу
формування зони взаємодії (бульби) кисень дуття встигне прореагувати із
краплями металу, він засвоїться ванною. У
загальному випадку метал краплі є розчином у залізі Sі,
Мn, С, S,
Р, інших елементів, велика частина яких може вступати у хімічні реакціїз киснем
газової фази.
Рис.2,26. Взаємодія кисню потоку з
краплею металу.
На рис. 2.6, а крапля металу 1
знаходиться у кисневмісному потоці 2, який з деякою відносною швидкістю W
обтікає краплю. Взаємодія елементів, розчинених у залізі, і самого заліза з
киснем відбувається як внутрішній масоперенос 3 елемента і зовнішній
масоперенос 4 кисню до поверхні краплі 5 та їх взаємодія на цій поверхні.
m[Е]+nO2→ЕmO2n
(2.22)
Якщо це Мn,
Si, Сr,
V, Ті, то продуктом реакції є МnО,
Sі02, Сг203,
V205,
ТіO2,
що представляють собою, в залежності від температури, тверду, рідку чи парову
фазу. У перших двох випадках, що найбільш імовірні, вони вкривають поверхню
краплі плівкою оксидів і безпосередній контакт газової фази із краплею
припиняється. У цьому випадку кисень газової фази може надходити у краплю за
наступною схемою:
(Fе)+1/2{O2}^(Fе2O3),(2.23)
(Fе203)
+ [Fе] -" З(FеО),(2.24)
(Fе0)→[Fе]
+ [O].(2.25)
Реакція (2.23) проходить на поверхні
контакту 6 газ-оксидна плівка, а (2.24) - оксидна плівка-метал 7.
В результаті розчинення кисню в
металі за реакцією (2.25) тиск виділення монооксиду вуглецю рсо згідно з
реакцією
[С] + [O]
->{СО} (2.26)
збільшується і може мати порядок
величини 101-102 атм. В результаті, при досить значному
перенасиченні краплі киснем рсо стає більше критичного, при якому в краплі
зароджується зародок газової фази, який при такому перенасиченні швидко
збільшується в розмірах внаслідок реакції (2.26) і крапля вибухає.
В результаті вибуху крапля
подрібнюється на кілька крапель меншого розміру і весь процес повторюється із
тривалістю циклу меншою, ніж попередній. Таким чином, протягом невеликого
інтервалу часу утворення зони взаємодії первинні краплі, зірвані з поверхні
бульби газовим потоком, встигнуть вибухнути кілька разів по типу ланцюгового
процесу, а метал краплі досить малого розміру скоріше встигне окислитися, ніж
вибухнути, за реакціями для елементів, що входять до складу металу,
[Fе]
+1/2 {О2} → (FеО)
,(2.27)
[Мn]+1/2
{O2}→ (МnО),(2.28)
[Sі]+{O2}
→ (SіO2)(2.29)
Оскільки залізо є розчинником і його
концентрація, навіть у чавуні, перевищує 90-95%, то продукти окислення на
90-95% складаються із оксидів заліза. При високих температурах сталеплавильних
процесів у зоні взаємодії окислювального дуття з ванною в оксидах заліза
переважає FеО,
концентрація якого у 5-6 разів вища, ніж концентрації Fе2O3.
У ході конвертерного процесу
елементи, що мають більшу спорідненість із киснем, ніж вуглець, - Мn,
Sі, Сr,
V, Ті окислюються першими і більше половини тривалості продувки окислюється
практично лише вуглець.
На відміну від реакцій (2.27) -
(2.29), продукти окислення вуглецю завжди газоподібні
[С]+1/2{О2} →
{СО} ,(2.30)
і тому не створюють конденсованої
оксидної плівки, як на рис. 2.6, б.
Співвідношення питомої інтенсивності
внутрішнього масопереносу вуглецю іс по З (рис. 2.6, а) і
зовнішнього масопереносу кисню і0г по 4 (рис. 2.6, а) може бути різним. Чим
більший вміст вуглецю в металі, менший вміст кисню в окислювальному дутті і
менша швидкість W
обтікання газовим потоком краплі, тим імовірніше, що іс > (12/16)
іo2 i
реакція (2.30) відбувається на поверхні краплі.
Однак внутрішній масоперенос вуглецю
- нестаціонарний процес і коефіцієнт його масопереносу βc
зменшується обернено пропорціонально тривалості реагування:
βc
≈
τ1/2
Тому, навіть якщо на початку
взаємодії краплі і газового потоку іс > (12/16) іo2,
то через деякий час, який дорівнює 10-3-10-2с, знак
співвідношення зміниться на протилежний.
Якщо іo2
> (16/12) іс, то підведений до поверхні краплі кисень частково
витрачається на окислення вуглецю, а надлишок - на окислення заліза краплі по
реакції (2.23), а оксиди заліза, що утворюються, вкриють поверхню краплі
оксидною плівкою (рис. 2.6, б).
Кисень оксидів заліза в цьому
випадку розчиняється в металі краплі по реакції (2.25), тиск виділення
монооксиду вуглецю по реакції (2.26) збільшується, досягає критичного значення
і крапля вибухає.
При промислових параметрах продувки
конвертерної ванни зверху, знизу чи збоку швидкості обтікання крапель газовим
потоком досить великі, щоб мало місце співвідношення іo2
> (16/12) іс , краплі вкривалися оксидною плівкою і вибухали.
Тому використання кисню, вдутого у зону взаємодії (газовий об’єм), протікає
практично повністю, якщо наприкінці циклу утворення зони взаємодії вона
закриється по типу, представленому на рис. 2.1, в при продувці зверху, рис.
2.2, в - при продувці знизу або рис. 2.5, б, в - при продувці збоку.
У тому випадку, якщо зона взаємодії
стаціонарно відкрита (рис. 2.1, а, б; 2.5, а) чи відбувається пробій ванни при
продувці знизу (рис. 2.3), масова швидкість утворення крапель може виявитись
менш необхідною для засвоєння кисню, що вдувається, або частина крапель буде
винесена газовим потоком до того, як їх взаємодія завершиться.
Таким чином, протягом періоду
утворення зони взаємодії, тривалість якого в різних способах підведення дуття
до ванни складає 10-1 с, відбувається утворення крапель, взаємодія
елементів, що знаходяться в них, з киснем дуття, вибух крапель і їх згоряння.
Кисень дуття взаємодіє також із поверхнею металу зони взаємодії (газової
бульби), площа якої в процесі її утворення збільшується, тобто постійно
оновлюється, що сприяє засвоєнню кисню.
Протягом тривалого часу,
обчислюваного десятиліттями, обговорювалося питання про механізм окислення домішок,
що знаходяться в конвертерній ванні.
Академік М.М. Карнаухов вважав, що
їх окислення відбувається в одну стадію на поверхні контакту окислювального
дуття з металом по реакції (рис. 2.6, а). Член-кореспондент Академії наук В.Є.
Грум-Гржимайло припускав як першу стадію використання всього дуттєвого кисню на
окислення заліза по реакції (2.21) (рис. 2.6, б) з наступною взаємодією
утворених оксидів заліза з металом і окисленням домішок, що містяться в ньому,
(FeO) + [E] → [Fe] +
(EO).(2.32)
Американський учений Текдоген
припустив, що внаслідок високих температур у зоні взаємодії відбувається
випаровування елементів із металу і їх взаємодія з киснем у газовій фазі
[E]+1/2{02}→
(ЕО).(2.33)
Можна припустити, що на різних
стадіях циклу утворення зони взаємодії різні процеси відіграють провідну роль.
У перші хвилини, коли коефіцієнт внутрішнього масо переносу елемента в краплях
металу пропорційний βE≈1/τ1/2,
внаслідок того, що τ ≈
0 нескінченно великий, питома інтенсивність внутрішнього масопереносу елемента по
3 (рис. 2.6, а) перевершує питому інтенсивність масопереносу кисню по 4 і
елемент окислюється на поверхні контакту метал-газ по реакції (2.22) у
відповідності з теорією М.М. Карнаухова. Коли т стане досить великим (10 2-101
с), а βE
зменшиться, питома інтенсивність масопереносу кисню до поверхні краплі
перевищить питому інтенсивність масопідведення елементів, крапля вкриється
оксидною плівкою і почнеться окислення елемента за схемою (2.23) - (2.25) і
[E]+[O]→(EO),
або те ж саме (2.32) за В.Є.
Грум-Гржимайло.
Оскільки оксиди заліза мають більш
низьку температуру кипіння (2200-2500°С), ніж інші речовини у зоні взаємодії,
то можна припустити, що тепло, яке виділяється від горіння металу, буде
витрачено переважно на їх випаровування. Це забезпечить перетворення
газоподібного кисню не тільки в (FеО),
але й у {FеО},
що, перебуваючи у пароподібному стані, забезпечить більш високу питому
інтенсивність масопереносу кисню, який міститься в ньому, ніж (FеО).
Якщо повернутися до гідродинаміки
процесу взаємодії струменів окислювального дуття з ванною за схемами із зоною
взаємодії, що закривається при продувці зверху (рис. 2.1, в) чи закритій з
самого початку її утворення при продувці знизу (рис. 2.2, в) чи збоку (рис.
2.5, в) і утворенням крапель, то очевидно, що останні, після описаних вище
перетворень, у вигляді суміші залишків незгорілого металу й утворених оксидів
заліза та інших елементів, рухаючись у напрямку до початку струменя, можуть
проникнути в метал ванни, який знаходиться навколо зони взаємодії.
У цій ділянці, яка може бути названа
вторинною зоною взаємодії, на відміну від первинної (газової бульби),
відбувається остаточний перерозподіл кисню між елементами, що окислюються у
відповідності з температурою ванни і відповідними термодинамічними умовами.
Якщо у первинній зоні кисень дуття
перетворився, головним чином, в оксиди заліза у конденсованому (FеО)
чи парофазному {FеО}
стані, то у вторинній зоні останні будуть реагувати з елементами, розчиненими у
металі, за реакціями (2.32) та
[E]+
{FeO}→{EO}(2.35)
Інші оксиди, що утворилися в
первинній зоні взаємодії, будуть витрачені на окислення елементів,
спорідненість яких до кисню при температурі вторинної зони вища, ніж при
температурі первинної, або залишаться в первинному стані.
У тому випадку, коли у вторинній
зоні взаємодії термодинамічні умови забезпечують переважне окислення вуглецю,
газоподібні продукти окислення вуглецю доповнюють гази, утворені в первинній
зоні взаємодії, та об’єм бульби первинної зони взаємодії, що сформувалася в
результаті гідродинамічних процесів, описаних вище, багаторазово (у 10-12
разів) збільшиться, а його розмір, відповідно, зросте приблизно у 2,1-2,3 раза.
У конвертерних процесах окислення
домішок металу і самого заліза є головним джерелом тепла, що витрачається на
нагрівання ванни. Тому зона взаємодії струменів окислювального газу з ванною,
де відбувається окислення домішок, характеризується більш високою температурою,
ніж решта ванни.
При горінні крапель металу в кисні
первинної зони взаємодії головним джерелом виділення тепла є реакція (2.21), а
його поглинання - процес випаровування оксидів заліза
(FеО)→{FеО}
і заліза
[Fе]→{Fе}
Оскільки температура кипіння оксидів
заліза, за різними даними, складає 2200-2500°С, а Fе
- 2837°С, то випаровування оксидів заліза переважає. Відповідно до постулату
Бржустовського, при горінні металу температура горіння визначається
температурою кипіння більш легкокиплячої фази, в даному випадку оксидів заліза.
При періодичному характері
формування зони взаємодії і вимірі температури останньої оптичними методами
через канал, по якому надходить дуття (верхня чи донна фурма), у полі зору
виявляться поперемінно внутрішня частина зони взаємодії чи, при захлопуванні
її, - метал конвертерної ванни. У першому випадку буде фіксуватися температура
горіння крапель металу, а в другому - більш низька температура ванни. Тому при
вимірюванні температури зони взаємодії її величина коливається, хоча швидкодія
вимірювальних пристроїв не в змозі відтворити весь цикл зміни температури,
тривалість якого 10-1 С.
Проте в різних експериментах
відзначено, що температура зони взаємодії зростає в процесі продувки киснем від
2000 до 2500°С, а при продувці повітрям - від 1500 до 1800°С.
Більш точному виміру температури
зони взаємодії заважає висока концентрація пилу від випаровування оксидів
заліза і заліза у газовій фазі зони взаємодії.
У вторинній зоні взаємодії
температура трохи вища, ніж у ванни, але завдяки інтенсивному перемішуванню
газами, що виділяються, ця різниця невелика.
Засвоєння кисню дуття
Відповідно до хвильової теорії
взаємодії газового струменя з рідиною зона взаємодії при верхній продувці
захлопнеться, якщо глибина зони взаємодії
L
>
πD3(2.38)
при односопловій і
L
> πD3зn
(2.39)
при багатосопловій фурмі, де D3
і Dзn
визначаються за виразами (2.9) і (2.10).
При такому режимі взаємодії, яка
вище названа режимом глибокого проникнення, коефіцієнт засвоєння кисню ванною ηо2
стає стабільно високим, тому що краплі металу, які реагують з окислювальним
газом, залишаються в межах ванни.
Оскільки зі збільшенням числа сопел
при постійних витратах кисню глибина зони зменшується, а її діаметр, навпаки,
збільшується, можна припустити, що багатосоплові фурми забезпечують меншу
величину ηо2
у порівнянні з одноканальними.
Якщо бульба, що утворилася при
верхній продувці, має величину D
більшу, ніж глибина ванни D
> hв
, то, припускаючи, що виступаюча над ванною частина бульби пропорційна не
засвоєній частині кисню, одержимо
ηо2
= 1-(1-L/D)2
(1 + 2L/D)
(2.40)
Такий пробій ванни приводить до
того, що частина крапель металу, які несуть оксиди заліза, потрапить за межі
металевої частини ванни у шлак, що змінить ту частку кисню, що вдувається, яка
витрачається на окислення домішок металу і збільшить ту його частку, що
потрапить у шлак у вигляді оксидів заліза.
При донній продувці з пробоєм ванни
в період ежекції газу із бульби (рис. 2.3, б), що складає певну частину
тривалості циклу утворення зони взаємодії, засвоєння кисню не відбувається,
тому що утворені краплі металу виносяться за межі ванни. Чим довше триває ця
частина циклу, тим менша величина ηо2
яка складає
ηо2
=1/ (1 + dвихρg
1/2 / kqρ1/2
hв),
(2.41)
де ρg>
ρ- густинність дуття
і струменя у бульбі; kq
- коефіцієнт ежекції газу із бульби струменем (kq≈0,30).
Поряд з гідродинамічними факторами,
що визначають засвоєння кисню дуття, існують і фактори, пов’язані з хімічним
складом металу, що продувається. Особливо значний вплив кремнію, що,
окислюючись із металу крапель, утворює на їх поверхні плівку оксидів (рис. 2.6,
б). Температура плавлення кремнезему складає 1712°С, однак він має високу
в’язкість і при значно вищих температурах. Так, при температурі горіння металу
в повітрі 1800-1900°С, що відповідає температурі зони взаємодії при повітряному
дутті, коефіцієнт динамічної в’язкості кремнезему складає величину порядку 105
Па-с, а при 2500°С, що відповідає кисневому дуттю - 103 Па-с. При
такій в’язкості оксидної плівки масоперенос кисню через неї за схемою (2.23) -
(2.25) практично припиняється, краплі металу не горять і кисень дуття не
засвоюється. Експериментально встановлено, що при вмісті кремнію у чавуні понад
4% засвоєння кисню не відбувається і процес не йде.
При більш низьких концентраціях
кремнію в конвертерній ванні і металі крапель в оксидній плівці поряд із
кремнеземом розчинені оксиди заліза, що знижує її в’язкість, забезпечує через
неї масоперенос кисню і, отже, його засвоєння ванною.
Таке пасивуюче засвоєння кисню дія
кремнію знижується з підвищенням температури, тому що при цьому вуглець металу
набуває здатності руйнувати оксидну плівку, яка містить кремнезем по реакції
[C] + (SiO) -" 2{CO} +
[Si](2.42)
Крім того, при низьких температурах
початку конвертерного процесу лімітуючою ланкою його засвоєння може стати
хімічна реакція розчинення кисню в металі
1/2{O2}→[O],(2.43)
що є, очевидно, одним із етапів
реакції горіння заліза (2.21) і засвоєння кисню, тому що її енергія активації,
близько 500 кДж/моль, досить велика.
Тому в усіх конвертерних процесах
відзначається збільшення коефіцієнта засвоєння кисню в міру підвищення
температури ванни, що описується виразом
lg(1- ηо2)
= -22,4ехр(-5200/ Т)(2.44)
При всіх видах конвертерних
процесів, варіантах підведення дуття і його складі відзначається, що в середню
третину продувки при високому вмісті вуглецю коефіцієнт засвоєння кисню ванною
складає близько 1, при цьому практично весь кисень витрачається на окислення
вуглецю, тобто ηс
→1.
У заключній частині продувки, в міру
зменшення вмісту вуглецю, величина ηс
зменшується, а ηо2
може залишатися максимально можливою, тобто складати близько 1. Оскільки в цей
період у металі в помітних концентраціях звичайно знаходяться Fe, С, Мn,
то різниця між ηо2
і ηc
витрачається на окислення заліза і марганцю, оксиди яких переходять у шлак.
Така закономірність пов’язана з тим, що засвоєння кисню дуття і окислення
домішок відбувається переважно у зоні взаємодії, що складає лише частину об’єму
ванни. Тому для того, щоб кисень витрачався на окислення вуглецю, необхідно,
щоб останній надходив у зону взаємодії. Це відбувається в результаті
перемішування ванни завдяки руху через ванну газів, що є як інертною частиною
дуття (азот повітряного дуття і технічно чистого кисню, інертні гази, що
навмисне вдуваються у ванну для здійснення перемішування), так і продуктами
окислення вуглецю.
В міру окислення вуглецю, друга
складова джерел перемішування зменшується і, відповідно, сповільнюється
перемішування і підведення потоками металу вуглецю із периферійних ділянок
ванни у зону взаємодії. У цьому випадку в первинній зоні взаємодії засвоєння
кисню може знизитись, якщо процес вибуху крапель є необхідною умовою засвоєння.
Якщо ж розміри утворених крапель досить малі, а їх кількість досить велика, щоб
засвоєння кисню здійснювалося цілком, то ηо2
не зміниться. Останнє можливо при відповідній швидкості обтікання газовим
потоком поверхні утвореної бульби (зони взаємодії).
Однак у будь-якому випадку, в міру
вигоряння вуглецю і зменшення його концентрації у ванні, при даній
інтенсивності перемішування останньої, настає момент, коли масова інтенсивність
надходження вуглецю у зону взаємодії з потоками металу стає менша, ніж та
масова інтенсивність його окислення, яка могла б бути забезпечена існуючими
витратами кисню дуття. Починаючи з цього моменту, при ηо2
> 1 величина ηc
)с починає зменшуватись і стає тим меншою, чим
нижчий вміст вуглецю у ванні.
Чим нижча інтенсивність перемішування
ванни, тим вища концентрація вуглецю, при якій це відбувається. Тому при
верхній продувці величина ηc
зменшується тим швидше, чим більша висота фурми над ванною (рис. 2.7). При С →0
величина ηc
→
0 , хоча величина ηо2
може залишатися досить високою. Тому засвоєний кисень, що перетворився в оксиди
заліза, надходить у шлак, збільшуючи його окисленість. Чим нижчий вміст вуглецю
у продутій сталі, тим вища окисленість шлаку, що викликає втрати виходу
придатної рідкої сталі, підвищений знос футеровки конвертера та інші негативні
наслідки.
Рис.2,7. Вплив [С] hф
і на величину ηc
при верхній продувці:1- hф1;2-
hф2 ;
hф1<
hф2
Однак той факт, що частина кисню
дуття перетворюється в оксиди заліза шлаку, носить і позитивний характер, тому
що останні знижують температуру плавлення шлаку, що сприяє підтриманню його у
рідкорухомому стані і, отже, робить активним при взаємодії з металом.
Однією із цілей керування
конвертерним процесом є перерозподіл кисню, що вдувається, між процесом
окислювання домішок, які містяться в металі, і шлаком. В залежності від складу
шихти і сортаменту сталей, що виплавляються, цей перерозподіл може бути різним
за величиною. Чим важливіший процес шлакоутворення, як, наприклад, при
переробці фосфористих чавунів, тим більша частина кисню, що вдувається, повинна
надходити у шлак у вигляді оксидів заліза.
2. Моделювання процесу контролю
параметрів режиму дуття
Взаємодія струменя окиснювача з
розплавом є первинна і визначальна ланка у складному комплексі взаємно
зв’язаних явищ, що проходять у конвертерній ванні.
Дослідження цієї взаємодії і
гідродинаміки ванни в промислових умовах пов’язано з великими труднощами. Тому
ці явища вивчались багатьма авторами на "холодних" і
"гарячих" моделях, сконструйованих на основі теорії подібності із
врахуванням основних сил і критеріїв, а також на лабораторних конвертерах.
Це підтверджено промисловими
випробуваннями на 370-тонних конвертерах [9].
Від відстані наконечника фурми до
рівня ванни залежить ступінь засвоєння кисню ванною, температурний і шлаковий
режими плавки. Надмірне опускання фурми призводить до її заметалювання,
з’являється небезпека розмиття струменем дуття днища конвертера: із збільшенням
відстані фурми до металу підвищується концентрація оксидів заліза у шлаку, що
зменшує вихід придатного.
У вітчизняних конвертерах відстань
наконечника фурми до рівня ванни контролюють сельсиновою слідкуючою системою з
реєстрацією параметра на приладі, встановленому
на пульті керування. Протягом конвертерного процесу рівень ванни суттєво
змінюється у зв’язку із зношенням футерівки і коливанням садки.
Періодично (один раз у зміну)
оператор до показань сельсину вводить корекцію, для чого вимірює дійсну
відстань наконечника фурми до рівня ванни по штанзі, яку приварюють до фурми.
Відомий метод контролю положення
фурми з корегуванням залежно від садки конвертера і зношення футерівки [10], що
використовується на Єнакієвському металургійному заводі і Криворізькому
металургійному комбінаті, має істотний недолік: відсутній зворотний зв’язок про
дійсний характер зношення футерівки.
Розроблено метод контролю цього
параметра за струмом навантаження на якорі двигуна приводу конвертера. При
зливі розплаву кут нахилу конвертера, при якому з’являється шлак, є функцією
маси шлаку в конвертері і поточного радіуса еквівалентного циліндра футерівки
(її розгоряння).
Струм навантаження на якорі двигуна
приводу конвертера є функ-
цією цих параметрів і напруги на
якорі:
(1.1)
де mшл - маса шлаку в
конвертері, т; шл
φ*шл
- кут нахилу конвертера від вертикальної осі в момент появи шлаку із
сталевипускного отвору, град;- поточний внутрішній радіус еквівалентного
циліндра футерівки конвертера, м;- сила струму навантаження на якорі двигуна
приводу конвертера, А;
φшл
- кут нахилу конвертера від вертикальної осі, град;- напруга на якорі двигуна
приводу конвертера, В.
* При такому значенні кута на
результати вимірювань не впливає момент інерції конвертера і шлак не
виливається.
Масу шлаку розраховуємо за об’ємом,
який він займає в конвертері, уявляючи його у формі циліндра, еквівалентний
діаметр якого визначається з умови рівності дійсної і модельованої ємностей.
Контрольованим параметром є кут повертання
конвертера від вертикальної осі:
(1.2)
де ρ
шл - густина
шлаку, т/м3;
а - відстань по твірній
еквівалентного циліндра від днища кон-вертера до найближчої кромки
сталевипускного отвору, м.
Аналітичну форму другого рівняння
системи (1.1) для кута нахилу конвертера від вертикальної осі, що дорівнює 10
град*, знайдено за методикою [11]:
(1.3)
де α0
,..., α6
- коефіцієнти.
За визначеним із системи рівнянь
(1.1) радіусом R розраховуємо корекцію до зміни положення фурми відповідно до
значення розгоряння футерівки:
(1.4)
де Δ
H - корекція до зміни положення фурми відносно
нерухомих конструкцій конвертера, калібр;
α7,
α8
- коефіцієнти.
Дослідження показали, що підвищення
висоти фурми над рівнем спокійної ванни призводить до збільшення температури
металу, окисненості ванни, масових часток марганцю в металі і оксиду магнію у
шлаку.
Відповідні залежності мають вигляд
(1.5)
(1.6)
(1.7)
де Δmп.вп,
Δmп.в,
ΔmпFeMn
- зміна відповідно питомої маси вапняку, вапна і феромарганцю, т/т сталі;
ΔĤ
- середньоінтегральна за час нагріву зміна висоти фурми над рівнем ванни,
калібр;
σ
- функція, яка має значення "1", якщо в дужках додатне число, і
"0" - якщо від’ємне.
При керуванні конвертерною плавкою
намагаються забезпечити отримання з першої повалки заданих значень масової
частки вуглецю і температури.
При цьому задають усереднені
значення масової частки вуглецю, що окиснюється до СО у порожнині конвертера
киснем дуття, вміст оксидів заліза і марганцю
в кінцевому шлаку. Ці параметри переважно залежать від режиму дуття.
Для забезпечення однакових умов
продувки необхідно підтримувати режим дуття стабілізацією комплексного
параметра - глибини реакційної зони, визначеної через ефективну витрату кисню.
Математична модель доповнена
інформацією про тепловий потік на кесон (за витратою і різницею температури
охолоджувальної води на вході і виході кесона) як зворотного зв’язку у вигляді
підінтегрального корегуючого фактора, що відображає ефект допалювання
конвертерного газу протягом продувки:
(1.8)
де Vе - ефективний об’єм
кисню, що витрачається на реакції зневуглецювання ванни (при нормальних
умовах), м3;
τ
- поточний час продувки, хв; p - тиск кисню після регулюючого клапана, Па;-
коефіцієнт, що залежить від довжини фурми і діаметра сопла наконечника фурми,
калібр;- відстань наконечника фурми до рівня спокійного металу, калібр;, N∗
- відповідно поточний і кінцевий номери плавки за футерівкою;- маса садки, т;к
- тепловий потік на кесон, кВт.
Вплив інтенсивності продувки на
показники процесу описується рівняннями
(1.9)
(1.10)
(1.11)
(1.12)
(1.13)
(1.14)
де Δmп.к
, Δmп.ш
, Δmп.вт
- зміна відповідно питомої маси корисного, плавикового шпату і вогнетривів, т/т
сталі;
νп
- питома інтенсивність продувки, м3/(хв ⋅т)
сталі.
На рис. 1.1 і 1.2 наведено вплив
параметрів режиму дуття на собівартість сталі.
Рис. 1.1- Зміна питомої собівартості
сталі ΔСп від
середньо-інтегральної за продувку відстані фурми від рівня розплаву H¯
Із врахуванням результатів
досліджень отримані інтегральні і середньоінтегральні значення режиму дуття для
конвертерів 130-тонною садкою.
(1.15)
Рис. 1.2- Зміна питомої собівартості
сталі ΔСп від
питомої на тонну сталі витрати дуття Vп
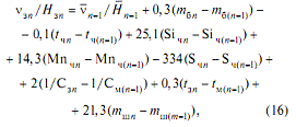
(1.16)
де V - витрати дуття на плавку, м3;б
, mч , mш - відповідно маса брухту, чавуну і плавикового
шпату на плавку, т;ч , Mnч , Sч - відповідно
частка силіцію, мангану і сірки в чавуні, %;з , Cм -
відповідно задана і фактична частка вуглецю в металі, %;з - задане
значення наконечника фурми до рівня спокійної ванни, калібр;
νз ,
ν¯n−1 -
задане і фактичне середньо-інтегральне значення інтенсивності продування, м3/хв;ч,
tз, tм - відповідно температура чавуну, задана і фактична
температура металу, °С;
індекси "n" і
"n −1" визначають приналежність параметра до поточної чи
попередньої плавки.
Визначення поточних значень
параметрів дуття викладено в [12].
3. Ефективні технології
вдосконалення дуттьового і шлакового режимів
конвертерної плавки
Як показує огляд існуючих
технологій, комплекс технічних рішень з вдосконалення дуттьового і шлакового
режимів, покращення теплового балансу і розширення технологічних можливостей
конвертерної плавки включає:
кисневу фурму з надзвуковими соплами
нової конструкції, яка забезпечує максимально можливе використання потенційної
енергії кисневого потоку на перемішування конвертерної ванни, розширений
діапазон регулювання (оптимальних затрат кисню) та підвищену стійкість до
ерозійного зношування вихідних ділянок сопел. Використання фурми в
конвертерному цеху ВАТ "ММК ім. Ілліча" дозволило: покращити процес
шлакоутворення, збільшити ступінь асиміляції вапна шлаком, покращити
керованість процесом та тепловий баланс плавки і, як наслідок, підвищити
ступені дефосфорації та десульфації металу в конверторі, стійкість мідних
наконечників (в 1,7 рази) та фурм до "заметалювання" (в 1,5 рази),
знизити питомі затрати чавуну (на 1,0 кг/т), металошихти (на 0,7 кг/т), вапна
(на 1,5 кг/т), плавикового шпату (на 20 %);
нові способи продування конвертерної
ванни: з регламентованою (змінюваною) інтенсивністю подачі кисню за періодами
продування плавки і оптимізацією робочої витрати кисню і режиму продування
відповідно до початкових умов плавок (хімічного складу і температури чавуну,
долі лому в металошихті, якості вапна, стану футеровки конвертера тощо). Використання
способів в конвертерному цеху ВАТ "ММК ім. Ілліча" дозволило:
стабілізувати дуттьовий, шлаковий і температурний режими плавок, швидкість
зневуглецювання розплаву, поліпшити умови роботи ОКГ, фурм і футеровки
конвертера, в т.ч. в змінюваних шихтових і виробничих умовах плавок (змінення
змісту Mn в чавуні 0,15-0,75 %, Si - 0,40-1,5 % та ін.); при цьому ступені
дефосфорації та десульфурації металу в конвертері збільшилися - на 5,5 % і 8 %
відповідно, зменшилися питомі витрати: чавуну на 2 кг/т, металошихти на 0,8
кг/т, плавикового шпату на 0,3 кг/т, зменшилася кількість додувок на шлак,
фосфор і сірку;
кисневу фурму нової конструкції з
центральним сопловим модулем для одночасного продування розплаву двома типами
струменів кисню (надзвукових - для рафінування і перемішування розплаву і
центральної вихрової "завіси" - для інтенсифікації процесу
допалювання відхідних газів в шлако-газо-металічній емульсії), що забезпечує
поліпшення теплового балансу плавок, прискорення і стабілізацію процесу
шлакоутворення в кисневому конвертері; її використання в конвертерному цеху ВАТ
"ММК ім. Ілліча" дозволило: збільшити прихід тепла в конвертерну
ванну за рахунок організації процесу допалювання газів еквівалентного зниженню
питомої витрати чавуну на ~2 кг/т сталі (без шкідливої дії на футеровку
конвертера), скоротити період наведення шлаку на 20% і зменшити інтенсивність
заметаллювання обладнання .
Висновки по розділу
Наявні дослідження у області
вдосконалення і оптимізації дуттєвих режимів і пристроїв кисневих конвертерів
носять, як правило, приватний не комплексний характер і практично не піддаються
узагальненню. Використовувані показники (узагальнювальні характеристики) впливу
дуттєвого режиму на макрокінетику плавки не повною мірою описують процес і не
завжди зручні для практичного використовування.
При розробці і вдосконаленні
дуттєвих пристроїв необхідно прагнути до мінімізації дисипації енергії дуття в
трубопроводах, фурмі, соплах і струменях, що закінчуються при їх проникненні в
розплав.
метал дуття конвертерний
дисипація
Література
1. Бойченко Б.М., Охотський
В.Б., Харлашин П.С. Конвертерне виробництво сталі: теорія, технологія, якість
сталі, конструкція агрегатів, рециркуляція матеріалів в екологія: Підручник. -
Дніпропетровськ: РВА Дніпро-ВАЛ , 2004. - 454 с.
.Баптизманский В.И. Теория
кислородно-конвертерного процесса. - М.: Металлургия, 1975. - 376 с.
.Явойский В.И. Теория процессов
производства стали. - М.: Металлургия, 1967. - 792 с.
.Баптизманский В.И.,
Меджибожский М.Я., Охотский В.Б. Конвертерные процессы производства стали.
Теория, технология, конструкции агрегатов. - К.;Донецк: Вища шк., 1984. - 344
с.
.Бигеев А.М. Металлургия стали.
Теория и технология плавки стали. - Челябинск: Металлургия, 1988. - 480 с.
.Основи металургійного
виробництва металів і сплавів:Підручник / Д.Ф. Чернега, В.С. Богушевський, Ю.Я.
Готвянський та ін.; За ред. Д.Ф. Чернеги, Ю.Я. Готвянського. - К.: Вища шк.,
2006. - 503 с.
.Математические модели и
системы управления конвертерной плавкой / В.С. Богушевский, Л.Ф. Литвинов, Н.А.
Рюмшин, В.В. Сорокин. - К.: НПК "Киевский институт автоматики", 1998.
- 304 с.
.Богушевський В.С., Шарбатіан
М.Д. Контроль шлакоутворення у ванні конвертера // Наукові вісті
НТУУ"КПІ". - 2005. - № 5. - С. 32-38.
.Мокринский А.В., Протопов
Е.В., Чернятевич А.Г. Гидродинамические режимы взаимодействия кислородных струй
с конвертерной ванной // Изв. вузов. Черная металлургия. - 2005. - № 4. - С.
11-17.
.Богушевский В.С., Рюмшин Н.А.,
Сорокин Н.А. Основы математического описания технологических процессов
конвертерного производства стали. - К.: НПО "Киевский институт
автоматики", 1992. - 168 с.
.Иванченко Ф.К., Павленко Б.А.
Механическое оборудование сталеплавильных цехов. - М.: Металлургия, 1964. - 440
с.
.Богушевский В.С., Сухенко В.Ю.
Управление дутьевым режимом конвертерной плавки // Докл. XV Междунар. конф. по
автоматическому управлению. - Одесса, 2008. - С. 67-69.
.Богушевский В.С., Сухенко В.Ю.
Критерий управления конвертерной плавкой // Новости науки Приднепровья. - 2008.
- № 3-4. - С. 104-106.
.Чернятевич А.Г. Основные
направления высокотемпературных исследований механизма процессов при продувке
конвертерной ванны // Изв. вузов. Черная металлургия. - 1996. № 12. - С. 12-16.
.Охотский В.Б.
Физико-химическая механика сталеплавильных процессов. -М.: Металлургия, 1993.-
151 с.
.Чернятевич А.Г. Размеры реакционной
зоны при продувке металла газопорошковыми струями // Известия вузов. Черная
металлургия. - 1990. -№6.-С. 105.
.Чернятевич А.Г., Протопопов
Е.В., Ганзер JI.A. О некоторых особенностях окисления примесей в конвертерной
ванне при комбинированной продувке // Изв. вузов. Черная металлургия. - 1987.
-№ 4. С. 25-29.
.Волнообразование в конвертере
при комбинированной продувке / В.И. Баптизманский, Ю.Н. Борисов, A.M. Лонский
// Изв. вузов. Черная металлургия. 1987. - № 8. - С. 21-24.
.Протопопов Е.В., Чернятевич
А.Г., Юдин С.В. Гидродинамические особенности поведения конвертерной ванны при
различных способах продувки // Изв. вузов. Черная металлургия. 1998. - № 8.
.Теоретические основы
сталеплавильных процессов./Айзатулов Р.С., Протопопов Е.В., Харлашин П.С.,
Назюта Л.Ю. М. - МИСиС, 2002. -320 с.