Кинематический и силовой анализы кривошипно-ползунных механизмов
МИНОБРНАУКИ
РОССИИ
Федеральное
государственное бюджетное образовательное учреждение
высшего
профессионального образования
«Тверской
государственный технический университет»
(ТвГТУ)
Институт
дополнительного профессионального образования
Курсовая
работа
по учебной
дисциплине «Теоретическая механика»
тема: «
Кинематический и силовой анализы кривошипно-ползунных механизмов»
Выполнил:
Студент группы ЭЛЭ-21
Фарафонов В.Ю.
Проверил:
Арсланов Ф.Х.
Бежецк, 2013
Содержание
Задание
1. Структурный анализ механизма
2.
Кинематический анализ механизма
2.1 План положений
.2 Планы скоростей и ускорений
3.
Силовой расчет
3.1 Определение сил инерции
.2 Определение сил тяжести
.3 Определение реакций в кинематических парах
.4 Силовой расчет механизма 1 класса
.5 Определение сил тяжести
.6 Определение реакций в кинематических парах
4.
Условные обозначения звеньев
Список
литературы
Задание
Автомобиль с четырехтактным
двигателем внутреннего сгорания. Основным механизмом двигателя внутреннего
сгорания является кривошипно-ползунный механизм, который преобразует
возвратно-поступательное движение ползуна (поршня) 3 во вращательное движение
кривошипа 1. Передача движения от ползуна к кривошипу осуществляется через
шатун 2. Цикл движения поршней включает такты расширения, выпуска и сжатия.
Взорвавшаяся в камере сгорания
рабочая смесь перемещает поршень из н.м.т. в в.м.т. Отработанные газы удаляются
в выпускную систему. При выпуске цилиндр заполняется чистым воздухом, который в
такте сжатия сжимается до 1,5 мПа
Исходные данные
|
ПАРАМЕТР
|
ЧИСЛОВЫЕ
ЗНАЧЕНИЯ ВАРИАНТОВ
|
|
1
|
|
Угол
поворота кривошипа, град
|
300
|
|
Угловая
скорость кривошипа ω. с-1
|
200
|
|
Длина
кривошипа
l1,
м
|
0,075
|
|
Длина
шатуна l2, м
|
0,3
|
|
Расстояние
AS2
l3, м.
|
0,1
|
|
Масса
кривошипа
m1,
кг
|
6
|
|
Масса
шатуна m2, кг
|
3
|
|
Масса
ползуна m3, кг
|
1
|
|
Момент
инерции относительно центров масс шатуна IS2
|
0,068
|
|
Значение
силы, Н
|
37400
|
. Структурный анализ механизма
Кривошипно-ползунный механизм
состоит из четырех звеньев:
- стойка,
- кривошип,
- шатун,
- ползун.
Также имеются четыре
кинематические пары:- стойка 0-кривошип ОА;
II
- кривошип OА-шатун АВ- шатун
АВ-ползун В;
IV
- ползун В-стойка 0.
I,
II и III
являются вращательными парами;
IV-
поступательная пара.
Все кинематические пары
являются низшими, т.е. рНП = 4 ,рВП = 0
Где п - число подвижных
звеньев, п = 3
рНП - число низших
пар,
рВП - число высших
пар.
По классификации И.И.
Артоболевского данный механизм состоит из механизма I
класса (стойка 0-кривошип ОА) и структурной группы II
класса второго порядка (шатун АВ-ползун В). Из этого следует, что механизм
является механизмом II класса.
. Кинематический анализ
механизма
.1 План положений
План положений - это
графическое изображение механизма. Начальное положение кривошипа задается углом
φ0,
отсчитанным от положительного направления горизонтальной оси кривошипного вала
против часовой стрелки. Для данного механизма φ0
=300˚.
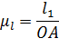
Выбираем масштабный коэффициент
длин µ1
где l1
-
действительная длина кривошипа, м;
О А - изображающий её отрезок
на плане положений, мм.
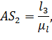
Расстояние от точки А до центра
масс S2 шатуна на плане положений:
.2 Планы скоростей и ускорений
Скорость точки А находим по
формуле:
гдеω1
-
угловая скорость кривошипа, с-1;
l1 - длина
кривошипа, м.
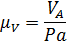
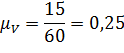
Выбираем масштабный коэффициент
плана скоростей µV:
гдеVA
- скорость точки А, м/с;
Ра - изображающий её отрезок на
плане скоростей, мм.
Из полюса Р в направлении
вращения кривошипа перпендикулярно к О А откладываем отрезок Ра, изображающий
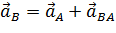
вектор скорости точки А, длиной 60 мм. Определяем скорость точки В:
где
-
вектор скорости точки В при ее вращательном движении относительно точки А и
перпендикулярен к звену АВ.
Далее на плане скоростей из
точки а проводим прямую перпендикулярно звену АВ до пересечения с линией
действия скорости точки В (направления движения ползуна).
Полученный отрезок Pb
= 58,6 мм, является вектором абсолютной скорости точки В, а отрезок ab
= 31 мм, - вектором скорости точки В относительно точки А.
Тогда
Скорость точки S1
находим из условия подобия:
Ps1/Pa=OS2/OA,
Откуда1=(OS1/OA)
• Pa,2 = (0,0375 / 0,075) • 60 = 30 мм
Скорость точки S2
находим из условия подобия:
as2/ab=AS2/AB,
Откуда
as2=(AS2/AB)
• ab,
as2 =
(20 / 60) • 31 = 10,3 мм.
Соединив точку S2
c полюсом Р, получим
отрезок, изображающий вектор скорости точки S2,
т.е. Ps2=
57,7 мм. Тогда
Угловую скорость шатуна АВ
определяем по формуле:
Нормальное ускорение точки А по
отношению к точке О при условии ω1=const
равно:
Выбираем масштабный коэффициент
плана ускорений μα:
,
Где аа - нормальное
ускорение точки А, м/с; Ра - отрезок, изображающий его на плане ускорений, мм.
Нормальное ускорение центра
массы кривошипа (точка S1) равно:
Из полюса Р откладываем отрезок
Ра, являющийся вектором нормального ускорения точки А кривошипа, который направлен
к центру вращения кривошипа. Определяем ускорение точки В:
где
-
вектор ускорения точки В при вращательном движении относительно точки А.
Определяем ускорение
:
На плане ускорений из точки а
проводим прямую, параллельно звену АВ и откладываем на ней в направлении от
точки В к точке А отрезок an,
представляющий собой нормальную компоненту ускорения
в
масштабе μa.

Из точки n проводим прямую
перпендикулярную звену АВ до пересечения с линией действия ускорения точки В
(ползуна). Полученный отрезок nb
= 44
мм,
представляет собой вектор касательного ускорения токи В относительно точки А, а
отрезок Рb = 16,2 мм, -
вектор абсолютного ускорения точки В.
Тогда
,
Продолжаем расчет:
Соединив точки а и b,
получим отрезок ab=
44 мм, изображающий вектор полного ускорения точки В относительно точки А.
Ускорение точки S2
находим из условия подобия:
as2 / ab
= AS2 / AB,
Откуда
as2 =
(AS2 / AB)• ab,
as2= (20
/60)• 44 = 14,7 мм.
Соединив точку s2
с полюсом P получим отрезок,
изображающий вектор ускорения точки S2,
т.е. Ps2=38,4
мм.
Тогда
Угловое ускорение шатуна АВ
определяем по формуле:
Итак получим:
3. Силовой расчет
кривошипный ползун кривошип поршень
Основной задачей силового
расчета является определение реакций в кинематических парах механизма и внешней
уравновешивающей силы, являющейся реактивной нагрузкой со стороны отсоединенной
части машинного агрегата. В основу силового расчета положен принцип Даламбера,
позволяющий применять уравнения равновесия кинетостатики, учитывая инерционную
нагрузку для определения реакций связей. При этом рассматриваются статически
определимые кинематические цепи (группы Ассура) и механизм I
класса, т.е. звено кривошипа.
Силовой расчет группы Ассура
второго класса
Для выполнения силового расчёта
необходимо знать значения сил, действующих на звенья механизма: силы тяжести,
движущие силы и силы инерции этих звеньев. От механизма, начиная с
исполнительного звена (ползуна), отсоединяется группа Ассура, а точки разрыва
этой группы заменяются реакциями.
.1 Определение сил инерции
Модули сил инерции звеньев
определяем по формуле:
Фi=mi
• ai,
гдеmi
- масса i-го звена, кг;
ai
- ускорение центра масс i-го
звена, м/с2.
Подставив числовые значения,
получим:
Ф1= m1 • aS1
=
6 • 1500 = 9000 Н;
Ф2= m2
• aS2
= 3 • 23040 = 69120 Н
Ф3= m3
• aB = 1 • 9720 = 9720
Н
Направления сил инерции
противоположны направлениям соответствующих ускорений. Направление момента сил
инерции противоположно угловому ускорению шатуна ε2.
Момент сил инерции шатуна
определяется по формуле:
Систему сил инерции шатуна,
т.е. главный вектор сил инерции Ф2, приложенный в центре масс, и
момент сил инерции МФ2 относительно центра масс, приводим к одной
силе Ф2 приложенной в некоторой точке К. Расстояние между линиями
действия силы инерции и приведенной силой вычисляется по формуле:
Направление приведенной силы
совпадает с направлением силы инерции, а направление момента приведенной силы
относительно точки S2 совпадает с направлением момента МФ2.
3.2 Определение сил тяжести
Силы тяжести определяем по
формуле:
Gi=
mi • g,
Где mi
- масса i-го звена , g
- ускорение силы тяжести.
Подставив числовые значения,
получим:
G2
= 3 • 9,81= 29,4 Н;
G3
= 1 • 9,81= 9,81 Н
3.3 Определение реакций в
кинематических парах
Определение реакций в
кинематических парах начинаем с рассмотрения равновесия группы Ассура (2-3).
На звенья этой группы действуют
силы: движущая сила Fд,
силы тяжести G2,
G3,
результирующие силы инерции Ф3, Ф2, реакция R03э
заменяющая действие стойки 0 на ползун 3 и реакция R12 заменяющая
действие кривошипа 1 на шатун 2.
Силы, приложенные в точке В,
приводим к одной силе F3.
Величину этой силы определяем по формуле:
Знак (+) показывает, что сила F3
направлена вверх.
Условие равновесия группы (2-3)
выражается следующим образом:
Реакцию R12
раскладываем на две составляющие:
-
действующая вдоль оси звена АВ и
-
перпендикулярно звену АВ.
Составляющую
определяем
из уравнения суммы моментов всех внешних сил относительно точки В, действующих
на шатун АB.
Применительно к рассматриваемой
схеме механизма это уравнение можно записать так:
Откуда
h1 = 8,5
· 0,005 = 0,043 м
h2
= 55
· 0,005 = 0,275 м
План сил строим в масштабе: μF
= Ф2 / 50 = 69120/50 = 1382,4 Н/мм.
Из произвольной точки P
последовательно откладываем вектора
,
F3+G2,
Ф2. Через конечную точку вектора Ф2 проводим линию
действия реакции R03
, а через начальную точку вектора
-
линию действия силы
. Получим точку
пересечения. Соединив конечную точку вектора Ф2 с точкой
пересечения, получим вектор R03.
Соединив точку пересечения с конечной точкой вектора
,
получим вектор R12.
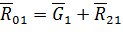
Умножив соответствующие длины на масштабный коэффициент, получим: R03
= 80594 Н; R12=
142841 H;
=
142249 H
Или
Тогда
.4 Силовой расчет механизма 1
класса
К кривошипу приложена сила
тяжести G1,
известная реакция
. Неизвестная по
значению и направлению реакция R01.
Чтобы кривошип мог совершать
вращение по заданному закону, к нему со стороны отделенной части машинного
агрегата должна быть приложена реактивная нагрузка в виде уравновешивающей силы
Fy. Допустим, что
неизвестная по модулю уравновешивающая сила приложена перпендикулярно кривошипу
в точке А.
3.5 Определение сил тяжести
Силу тяжести кривошипа
определяем по формуле:
G1
=
m1 •
g,
гдеm1
- масса кривошипа; g - ускорение
силы тяжести.
G1
= 6 • 9,81= 58,9 Н
.6 Определение реакций в
кинематических парах
Реакция R01
в
паре кривошип-стойка и уравновешивающий момент Му определяем из
условия равновесия кривошипа ОА:
Силу Fy
находим из условия:
y=R21
• h3
/ l1
Fy=
142841· 14,3·0,005/0,3= 34044 H
План сил строим в масштабе: μF
=
3404 Н/мм.
Из произвольной точки
последовательно откладываем вектора R21,
G1.
Соединив конечную точку вектора G1
с начальной точкой вектора R12
получим вектор R01.
Умножив полученную длину на масштабный коэффициент, получим: R01
=145010 Н.
Уравновешивающий момент My
определяется по формуле:
My=Fy
• l1
Му
=34044
· 0,3 = 10213 Н • м
4. Условные обозначения звеньев
|
№
п/п
|
Наименование
|
Обозначение
|
Характер
движения
|
Примечание
|
|
1
|
Стойка
|
|
Отсутствует
|
|
|
2
|
Кривошип
|
|
Колебательное
|
Полный
оборот
|
|
3
|
Коромысло
|
|
|
|
|
4
|
Шатун
|
|
Плоскопараллельное
|
Нет
пар, связанных со стойкой
|
|
5
|
Ползун
|
|
Поступательно
е
|
|
|
6
|
Кулиса
|
|
Колебательное
, вращательное
|
Направляющ
ая ползуна
|
|
7
|
Кулачок
|
|
Вращательное
Поступательное
|
Профиль
определяет движение ведомого звена
|
|
8
|
|
Вращательное
|
Без
учета конструкцио иных особенностей
|
|
9
|
Соединение
звеньев: Жесткое Шарнирное
|
|
Вращательное
|
|
Список литературы
1.
К.В.
Фролов, С.А. Попов, А.К. Мусатов и др. Теория механизмов и механика машин. - М.
Высш. шк., 2005.-496 с.
2.
С.А.
Попов, Г.А. Тимофеев. Курсовое проектирование по теории механизмов и механике
машин. - М.: Высш. шк., 2002. 411с.