Разработка бизнес-плана фирмы ООО 'PLAZMA'
1. Существо
предлагаемого проекта
Предметом и целью деятельности ООО «PLAZMA» является
предоставление населению следующих услуг:
1 предоставление ПК для
индивидуальной игры или игры по сети; предоставление ПК для работы в программах
MS-Office;
2 предоставление ПК для работы
в интернете;
набор и распечатка текстов;
ксерокопия;
проведение массовых
мероприятий.
Этот вид деятельности выбран не
случайно. Предлагая населению такой перечень услуг организация стремимся
привлечь в компьютерный салон прежде всего молодежь, то есть школьников,
учащихся техникумов, колледжей, ВУЗов. Это позволит не только получать
экономическую выгоду, но и благотворно влиять на социальную сторону общества,
обеспечивая досуг для подростков и молодежи, и внести свой вклад в образование
учащихся и студентов.
Таким образом, основными нашими
клиентами будут:
- школьники (возраст меньше 15 лет);
учащиеся техникумов, колледжей
(возраст 15 - 19 лет);
студенты (возраст 18 - 23 лет);
остальное население в меньшей
степени.
Указанные виды услуг будут
осуществляться на высоком уровне. Во-первых, благодаря техническим
преимуществам оборудования, поставляемого фирмой «КомпАС». Во-вторых,
осуществлен тщательный подбор персонала. Основными критериями подбора являлись
опыт работы и образование.
Месторасположение фирмы тоже выбрано
не случайно. В качестве преимущества можно выделить и то, что часть города, в
которой планируется создание компьютерного салона, является центром города. ООО
«PLAZMA»
будет расположено в помещении АТПК. Можно легко добраться до компьютерного
салона из любой части города за счет хорошей связи с городской системой
транспортных коммуникаций.
Известно, что большинство наших
учебных заведений, как государственных так и коммерческих, расположено на
прилежащих улицах.
В настоящее время практически
невозможно работать и обучаться без компьютерных технологий. С помощью
компьютера можно решать задачи, переводить тексты, набирать и распечатывать
различные документы, работать и общаться по сети интернет, получать различную
информацию, проводить время за интересной игрой и многое другое. Однако
возможность приобрести личный компьютер есть далеко не у каждого. Именно
поэтому появилась необходимость в таких местах, где можно удовлетворить данные
потребности.
Основными конкурентами являются учреждения,
которые имеют свои компьютерные залы и другие компьютерные салоны. В качестве
конкурентных преимуществ компьютерного салона ООО «PLAZMA» выделим следующее:
- более высокий уровень обслуживания
по сравнению с существующими конкурентами всего ряда услуг;
уровень цен предоставляемых услуг
ниже чем у конкурентов;
- все предлагаемые услуги
расположены в одном здании;
удобное месторасположение салона.
Четко определив своих клиентов,
изучив их запросы, обладая рядом конкурентных преимуществ, а также некоторые
задумки относительно новых видов услуг, руководители фирмы надеются работать на
полную мощность и получать прибыль от своей деятельности.
2. Анализ положения дел
в отрасли, конкурентов, товарных рынков
2.1 Анализ положения дел
в отрасли
В последние несколько лет в связи с
развитием компьютерных технологий значительно поднялся спрос на услуги такого
характера как, например, работа в программах MS-Office, работа в интернете и
другие подобные услуги. Потенциальные потребители данных услуг, а это прежде
всего молодежь, согласно проведенному опросу, считают, что создание такого
компьютерного салона имело бы успех, так как многие хотели бы провести досуг в
местах именно такого характера. Кроме того, это положительно повлияет на
уровень образования учащихся и студентов.
2.2 Анализ рынков
сбыта
В районе месторасположения
компьютерного салона проживает около 35000 человек, из них около 1500
школьников, 7000 учащихся и 6500 студентов. Так как возможность приобрести
личный компьютер есть не у каждого, а в настоящее время обучение работе на
компьютере практикуется во всех учебных заведениях, то рассчитывается, что
салон будут посещать многие, кому необходимо научиться работать с компьютером.
К тому же, еще не учли людей, которые будут посещать салон с целью удовлетворения
своих профессиональных запросов.
Создаваемый компьютерный салон
ориентирован на потребителей со средним уровнем достатка, испытывающих
потребность в услугах данного характера при высоком уровне обслуживания.
В соответствии с проведенным анализом
существующего рынка аналогичных видов услуг можно условно выделить следующие
основные группы потенциальных потребителей услуг нового компьютерного салона:
1 Предоставление ПК для
индивидуальной игры или игры по сети:
- школьники, учащиеся и студенты.
Предоставление ПК для работы в
программах MS-Office:
школьники, учащиеся и студенты;
потребители более зрелого возраста,
нуждающиеся в удовлетворении потребностей данного характера.
Предоставление ПК для работы в
интернете:
- школьники, учащиеся и студенты;
потребители более зрелого возраста,
нуждающиеся в удовлетворении потребностей данного характера.
Набор и распечатка текстов:
широкие слои населения города.
Ксерокопия:
широкие слои населения города.
Подводя итог всему вышесказанному,
можно сделать вывод, что структура потенциальных потребителей позволяет
обеспечить устойчивый спрос на все виды предлагаемых услуг нового компьютерного
салона.
2.3 Анализ
конкурентов
Безусловным конкурентным
преимуществом создаваемого компьютерного салона является цена предоставляемых
услуг, что является определяющим фактором для потребителей со средним и низким
уровнем дохода. Цены у фирмы, безусловно, ниже чем у конкурентов.
Существующие конкуренты ООО «PLAZMA» на рынке
рассматриваемых услуг расположены в Арзамасе и имеют круг постоянных
потребителей и сложившийся уровень цен на свою продукцию.
У фирмы имеются конкуренты, которых
можно сгруппировать по следующим категориям:
- компьютерные салоны;
компьютерные классы в школах;
компьютерные кабинеты в вузах.
Для начала дадим краткую
характеристику этим конкурентам.
Отличительным признаком компьютерных
классов от нашего салона является ограниченность во времени, это также касается
и компьютерных кабинетов в вузах. Как правило, работать на компьютере можно
либо до начала занятий, либо после их окончания и до прихода студентов
вечернего отделения. В итоге это получается около 2,5-3 часов в день, что
недостаточно для посетителей. Салон ООО «PLAZMA» работает с 900
до 2100 каждый день. К тому же, в компьютерных классах и
кабинетах в большинстве случаев отсутствует доступ в интернет и широкий выбор
игр. Тогда как в новом салоне клиентам предлагается широкий выбор игр плюс
возможность пользоваться интернетом (что есть не во многих школах и вузах).
Кроме игр и работы на компьютере
предлагается и такие услуги, как ксерокопия, набор текстов (рефераты, курсовые
работы, дипломы и др.) и качественная распечатка текстов на принтере.
Консультанты постараются учесть все пожелания клиентов и сделать все возможное
для того, чтобы посетители обращались к нам и в дальнейшем.
Что касается консультантов, то в
компьютерных кабинетах, как правило, работают студенты, которые не являются
квалифицированными консультантами. Таким образом, мы наблюдаем перевес в
сторону ООО «PLAZMA», так как консультанты являются специалистами, знающими все об
этой технике.
Что касается других компьютерных
салонов, то достаточно взглянуть на таблицу 1 - анализ цен конкурентов.
Основным конкурентом на данном рынке услуг является компьютерный салон
«Доберман», расположенный по адресу ул. Калинина, 41/1.
Таблица 1 - Анализ цен конкурентов
|
Перечень услуг
|
Цена единицы товара, руб.
|
|
Компьютерный салон «Доберман», ул. Калинина
|
Школы (только для учащихся)
|
Вузы (только для студентов)
|
ООО «PLAZMA»
|
|
Игра на ПК (1 час)
|
40
|
-
|
-
|
35
|
|
2. Игра на ПК по сети (1 час)
|
40
|
-
|
-
|
35
|
|
3. Работа в MS-Office (1 час)
|
40
|
Бесплатно
|
Бесплатно
|
35
|
|
4. Работа в Интернете (1 час)
|
45
|
-
|
-
|
35
|
|
5. Ксерокопия (1 лист)
|
3
|
-
|
2
|
2
|
|
6. Набор текстов (1 лист)
|
10
|
-
|
-
|
7
|
|
7. Распечатка текстов (1 лист)
|
4
|
-
|
3
|
3
|
Таблица 2 - Анализ конкурентов
(сравнительный анализ рыночных стратегий)
|
Характеристики конкурирующей продукции
|
Компьютерный салон «Доберман», ул. Калинина, 41/1
|
Школы
|
Вузы
|
ООО «PLAZMA»
|
|
1 Качество продукции
|
выше среднего
|
среднее
|
среднее
|
высокое
|
|
2 Уровень цен
|
высокие
|
средние
|
средние
|
ниже средних
|
|
3 Объем продаж
|
средний
|
низкий
|
низкий
|
высокий
|
|
4 Стабильность продаж
|
высокая
|
низкая
|
средняя
|
высокая
|
|
5 Консультации клиентам
|
да
|
-
|
-
|
да
|
|
6 Доступность
|
для любых категорий населения
|
только для учащихся
|
только для студентов
|
для любых категорий населения
|
|
7 Ассортимент услуг
|
большой
|
-
|
небольшой
|
большой
|
|
8 Персонал
|
высококвалифицированный
|
-
|
-
|
высоко квалифицированный
|
Из всего вышеизложенного мы можем
сделать следующий вывод, что наш салон обладает неоспоримыми преимуществами над
своими конкурентами.
3. Производственный план
3.1 Географическое
положение
Географическое положение
описываемого компьютерного салона является удобным. Во-первых, на данном месте
уже существует построенное здание. Фирма ООО «PLAZMA» арендует помещение на
главной улице города. К тому же здание находится рядом с остановками
транспортных средств. Это очень выгодное расположение для организации бизнеса.
Во-вторых, хорошая связь с городской
системой транспортных коммуникаций позволяет легко добраться из любой части
города.
В-третьих, данная часть города
является центром. Это положительно влияет на количество посетителей и
соответственно объем продаж.
3.2 Стратегия в
снабжении и производственный план
Для полноценного обеспечения
процесса, связанного с предоставлением всего комплекса рассматриваемых услуг,
требуется поставка следующего оборудования, приспособлений и оснастки:
Таблица 2 - Общая потребность
оборудования, приспособлений и оснастки
|
Наименование
|
Количество
|
Цена, руб.
|
Сумма, руб.
|
|
1 Персональный компьютер (ПК)
|
10
|
15000
|
150000
|
|
2 Принтер
|
1
|
5000
|
5000
|
|
3 Ксерокс
|
1
|
8000
|
8000
|
|
4
Радиомодем
|
1
|
1000
|
1000
|
|
5
Сетевые карты
|
10
|
150
|
1500
|
|
6 Совместитель на 10 ПК (LAN HUB)
|
1
|
1000
|
1000
|
|
7
Лазерные диски (CD)
|
15
|
25
|
375
|
|
8
Провода
|
100
м
|
7
|
700
|
|
9
Столы
|
12
|
1000
|
12000
|
|
10
Стулья
|
15
|
500
|
7500
|
|
итого
|
|
|
187075
|
Предполагается, что поставка
основного технологического оборудования будет осуществлена фирмой «КомпАС», с
которой на сегодняшний день достигнуты предварительные договоренности.
Основные рабочие - это консультанты,
которые будут непосредственно работать с клиентами и с оборудованием (ПК,
принтер или ксерокс). Поэтому для определения необходимой численности основных
рабочих и обслуживающего персонала воспользуемся накопленным опытом и опытом
конкурентов.
Сведем в таблицу 3 численность
персонала и уровень затрат на заработную плату.
Таблица 3 - Численность персонала и
уровень затрат на заработную плату
|
Категория персонала
|
Численность
|
Тарифная ставка, руб./час
|
Фонд рабочего времени, ч
|
Размер з/п в месяц
|
Затраты на з/п в год
|
|
Руководители
|
|
Генеральные директор
|
1
|
Контракт (9000 в мес.)
|
108000
|
|
Главный бухгалтер
|
1
|
Контракт (4500 в мес.)
|
54000
|
|
Итого:
|
2
|
|
|
|
162000
|
|
Рабочие основного производства
|
|
Консультант по ПК
|
1
|
25
|
2016
|
4200
|
50400
|
|
Рабочий на ксерокс и принтер
|
1
|
15
|
2016
|
2520
|
30240
|
|
Итого:
|
2
|
|
|
|
80640
|
|
Всего:
|
4
|
|
|
|
242640
|
3.3 Определение
капитальных вложений для создания фирмы
Общая сумма капитальных вложений
определяется по формуле:
, где
- капитальные вложения в
оборудование;
- капитальные вложения в
приспособления и оснастку;
- капитальные вложения в
производственную площадь;
Количество необходимого
оборудования, приспособлений и оснастки определены в таблице 4.
Таблица 4 - Расчет суммы
капитальных вложений в оборудование, приспособления и оснастку
|
Наименование
|
Кол-во
|
Цена
|
Стоимость перевоза
|
Стоимость монтажа и наладки
|
Всего
|
|
1 Персональный компьютер (ПК)
|
10
|
10*15000=150000
|
5000
|
2000
|
157000
|
|
2. Принтер
|
1
|
5000
|
включено в п. 1
|
Включено в п. 1
|
5000
|
|
3 Ксерокс
|
1
|
8000
|
включено в п. 1
|
300
|
8800
|
|
4 Радиомодем
|
1
|
1000
|
включено в п. 1
|
500
|
1500
|
|
5 Сетевые карты
|
10
|
10*150=1500
|
включено в п. 1
|
300
|
1800
|
|
6 Совместитель на 24 ПК (LAN HUB)
|
1
|
1000
|
включено в п. 1
|
150
|
1150
|
|
7 Лазерные диски (CD)
|
15
|
15*25=375
|
-
|
-
|
375
|
|
8 Провода
|
100 м
|
700
|
-
|
Включено в предыдущие пункты
|
700
|
|
9 Столы
|
12
|
12*1000=12000
|
3000
|
-
|
15000
|
|
10 Стулья
|
15
|
15*500=7500
|
включено в п. 9
|
-
|
7500
|
|
ИТОГО:
|
|
187075
|
8000
|
3250
|
198825
|
Для начала деятельности требуется
произвести следующие затраты:
ремонт помещения 3000 руб.;
регистрация и презентация 2000 руб.;
начальные запасы материалов 1241,6
руб.
непредвиденные расходы 1000 руб.
=
198825+3000+2000+1241,6+1000 = 206066,6 руб.
Итак, ООО «PLAZMA» нуждается в 206000 рублей для создания фирмы. Таким образом,
совокупная стоимость проекта составляет 206000 руб.
3.4 Производственные
мощности и их развитие
Проектная мощность определяется
исходя из паспортной часовой производительности работы участка или линии и
действительного годового фонда времени:
, где
- паспортная часовая
производительность линии, услуг/час;
- действительный годовой
фонд времени работы оборудования, в часах.
Причем
определяется
из расчетной часовой производительности:
=
*
,
где
- часовая расчетная
производительность;
- коэффициент
использования оборудования (0,7 - 0,85).
Для определения
действительного годового фонда времени работы оборудования составим планируемое
рабочее расписание. Причем
будет одинаково для
всех видов оборудования.
Планируемое рабочее
расписание
|
Режим работы
|
2 смены
|
|
Продолжительность рабочего дня (смены)
|
6 часов
|
|
Фонд рабочего времени в месяц
|
28 дней
|
Тогда годовой фонд времени составит:
= 2 * 6 * 28 * 12 = 4032
часа.
Коэффициент
использования для всего оборудования возьмем 0,8. Итак, для определения
проектной мощности для каждого вида оборудования необходимо установить
паспортную часовую расчетную производительность:
для ПК:
= 1 услуга в час, а
кол-во компьютеров = 10
Тогда
(участка)
= 10 услуг в час
= 10 * 0,8 * 4 032 =
32256 (услуг/год)
= 10 листов в час,
кол-во ксероксов = 1
Тогда
(участка)
= 10 листов в час
= 10 * 0,8 * 4 032 =
32256 (листов/год)
Тогда
(участка)
= 5 листов в час
= 5 * 0,8 * 4032 = 16128
(листов/год)
Согласно расчету
проектной мощности нашего оборудования, в день должно обслуживаться около 96
клиентов. Естественно, что привлечь такое количество потребителей на каждый
день сразу же будет невозможно. Но по мере развития и проведения рекламных
акций, массовых мероприятий, например соревнований по какой-либо игре, этот
план может быть достигнут и даже перевыполнен.
3.5 Расчет затрат на
основные материалы, полуфабрикаты, вспомогательные технологические материалы и
различные виды технологической энергии
Необходимо определить
затраты на основные материалы, полуфабрикаты, вспомогательные технологические
материалы и различные виды технологической энергии.
Так же необходимо
рассчитать стоимость потребляемой электроэнергии, которая расходуется на
освещение и на обеспечение работы оборудования, так как затраты на отопление и
водоснабжение входят в стоимость аренды, также как и услуги связи.
Таблица 5 - Расчет
стоимости потребляемой энергии
|
Потребляемая энергия
|
Норма расхода на 1 час работы
|
Годовая проектная мощность, часы работы
|
Цена за 1 кВт
|
Затраты на годовую программу
|
|
Энергия, потребляемая ПК (10
шт.)
|
100 Вт
|
32256
часов
|
1,26 руб.
|
4064,25
руб.
|
|
Энергия потребляемая принтером (1 шт.)
|
30 Вт
|
3225,6 часа
|
1,26 руб.
|
122 руб.
|
|
Энергия, потребляемая ксероксом (1 шт.)
|
60 Вт
|
3225,6 часа
|
1,26 руб.
|
244 руб.
|
|
Энергия на освещение (30 лампочек)
|
100 Вт
|
120960 часов
|
1,26 руб.
|
15240,96 руб.
|
|
ИТОГО:
|
|
|
|
19671,21 руб.
|
Таким образом, фирма «PLAZMA» должна тратить около
20000 руб. в год на оплату электроэнергии. Но еще раз нужно отметить, что в
данном случае нельзя отождествлять проектную мощность с объемом оказания услуг
за год, так как не известно, будет ли спрос на услугу в таком объеме. Поэтому
цифру 20000 нужно принимать как максимально-возможную, но не точную сумму
оплаты электроэнергии.
Для оказания таких услуг, как
распечатка текстов, ксерокопия нам необходимы следующие расходные материалы
(оборотные средства):
чернила для принтера;
порошок для ксерокса;
бумага для принтера и ксерокса.
Таблица 6 - Расчет потребности
расходных материалов
|
Наименование материала
|
Проектная мощность, листов в год
|
Необходимое количество
|
Стоимость, руб.
|
|
Чернила
|
16128
|
13 заправок
|
13 * 200 = 2600
|
|
Порошок
|
32256
|
13 заправок
|
13 * 200 = 2600
|
|
Бумага для принтера
|
16128
|
32 пачки
|
32 * 100 = 3200
|
|
Бумага для ксерокса
|
32256
|
65 пачек
|
65 * 100 = 6500
|
|
ИТОГО для ксерокса:
|
32256
|
-
|
9100
|
|
ИТОГО для принтера:
|
16128
|
-
|
5800
|
|
ВСЕГО:
|
|
|
14900
|
Особым видом материла для
обеспечения работы в интернете будет являться оплаченное время работы в месяц.
Стоимость безлимитного тарифа равна 1200 рублей в месяц, т.е. 14400 рублей в
год. Договор заключен с ОАО «ВолгаТелеком».
3.6 Расчет арендных
платежей
Необходимо рассчитать арендные платежи.
Фирма ООО «PLAZMA» арендует помещение на главной улице город, на проспекте Ленина.
Это очень выгодное расположение для организации бизнеса, поэтому и стоимость
аренды достаточно высока по сравнению с другими местами.
Расчетная величина ежеквартальной арендной
платы определяется по формуле:
, где
N
- общая (в м2) площадь сдаваемого в аренду объекта недвижимого
имущества(помещения), 40 м2;
Б - базовая величина
(600 руб./м2);
К1 -
коэффициент, учитывающий характеристики сдаваемого в аренду объекта;
К2 -
коэффициент, учитывающий месторасположение арендуемого объекта недвижимого
имущества;
К3 -
коэффициент, учитывающий категорию (вид деятельности) арендатора;
К4 -
коэффициент, учитывающий площадь арендуемого помещения;
Тогда получаем:
А=
40*1800*0,28*1*0,5*2,94 = 29635,2 руб. за квартал
В эту сумму также входят
затраты на водоснабжение и отопление. Услуги связи, включая международные
переговоры, по условиям аренды включаются в стоимость аренды помещений.
Сумма арендных платежей
за год составит 29635,2 * 4 = 118540,8 рублей.
3.7 Расчет суммы
амортизации
Амортизация начисляется
линейным методом. Сумма начисленной за один месяц амортизации в отношении
объекта амортизируемого имущества определяется как произведение его первоначальной
стоимости и нормы амортизации, определенной для данного объекта.
Норма амортизации по
каждому объекту амортизируемого имущества определяется по формуле:
К = (1/n)*100%,
Где К - норма
амортизации в процентах к первоначальной стоимости объекта амортизируемого
имущества;
n
- срок полезного использования данного объекта амортизируемого имущества,
выраженный в месяцах.
К = (1/5)*100% = 20%
Сумма начисленной за
один год амортизации равна:
А = (СП*К)/100%
А = (198825*20%)/100% =
39765 руб.
Сумма начисленной за
один месяц амортизации равна:
А = 39765/12 = 3313,75
руб.
3.8 Расчет издержек
Необходимо произвести расчет
себестоимости и полных производственных затрат для первого года эксплуатации.
В состав себестоимости услуг входят
следующие затраты за год:
расходы на оплату труда всего
персонала 242640 руб.;
отчисления в пенсионный фонд, 14% -
33970 руб.;
отчисления на социальное
страхование, 0,2% - 485 руб.;
освещение 15241 руб.;
электроэнергия 4430,25 руб.;
затраты на расходные материалы 14900
руб.;
ремонт помещения 3000 руб.;
аренда помещения 29635 руб.;
реклама 4000 руб.;
расходы на безлимитный тариф сети
интернет 14400 руб.;
амортизация оборудования 39765 руб.
Таблица 7 - Расчет себестоимости
услуг, предоставляемых компьютерным салоном
|
Наименование статей затрат
|
Сумма затрат за 2012 год, руб.
|
Сумма затрат за 2013 год, руб.
|
Сумма затрат за 2014 год, руб.
|
|
1 Материальные затраты
|
34571,25
|
34571,25
|
40370,34
|
|
2 Расходы на оплату труда всего персонала
|
242640
|
242640
|
266832
|
|
3 Отчисления на социальные нужды
|
34455
|
34455
|
37890,14
|
|
4 Амортизационные отчисления
|
39765
|
39765
|
39765
|
|
5 Прочие расходы
|
51035
|
48035
|
48035
|
|
Итого затрат
|
402466,25
|
399466,25
|
432892,48
|
4. План маркетинга
4.1 Схема
распространения услуг
Услуги оказываются непосредственно в
компьютерном салоне «PLAZMA». Если выбирать из традиционных схем распространения товара, то
это:
Производитель Потребитель
Таким образом, консультанты будут
работать с каждым клиентом персонально, учитывать их замечания, пожелания и
предложения.
4.2 Ценообразование
Цена на услуги нового компьютерного
салона формируется на основании сложившихся цен на аналогичные виды услуг.
Фирма имеет возможность установить
более низкую цену на услуги чем у конкурентов. Такие цены позволяют покрывать
затраты, получать прибыль и привлекает клиентов в салон. К тому же есть
возможность уже сейчас предоставлять скидки, а в дальнейшем даже пойти на
снижение цены.
Таблица 8 - Стоимость услуг,
предоставляемых ООО «PLAZMA»
|
Перечень услуг
|
Стоимость за единицу, руб.
|
|
1 Игра на ПК (1 час)
|
35
|
|
2 Игра на ПК по сети (1 час)
|
35
|
|
3 Работа в MS-Office (1 час)
|
35
|
|
4 Работа в Интернете (1 час)
|
35
|
|
5 Ксерокопия (1 лист)
|
2
|
|
6 Набор текстов (1 лист)
|
7
|
|
7 Распечатка текстов (1 лист)
|
3
|
Среди факторов, определяющих
тенденции формирования цены на услуги нового компьютерного салона, основными
являются следующие:
- цены на
электроэнергию;
1
цены на расходные материалы;
2
тенденции, складывающиеся на рынке услуг данного характера.
ООО «PLAZMA» при планировании
деятельности предполагает ориентироваться на существующий уровень цен,
индексируя их в зависимости от изменения указанных факторов.
4.3 Формирование спроса
и стимулирование сбыта
Реклама, т.е. использование
продавцом платных средств распространения информации для доведения сведений о
товарах, услугах или организациях - мощное средство стимулирования спроса.
Реклама может быть трех видов:
Информативная - рассказ рынку о
новинке или о новых применениях существующего товара, объяснение принципов
действия товара, описание оказываемых услуг, формирование образа фирмы.
Увещевательная - формирует
предпочтение к марке, поощряет своих потребителей, убеждает совершить покупку
не откладывая и т.п.
Напоминающая - напоминает
потребителям о том, что товар может им потребоваться в ближайшем будущем, о
том, где можно приобрести товар, поддерживает осведомленность о товаре на
должном уровне.
Очевидно, что информативная реклама
преобладает в основном на этапе выведения товара на рынок, когда стоит задача
создания первичного спроса. Именно этому виду рекламы руководство ООО «PLAZMA» решило оказать большее
внимание.
Имея в своем распоряжении
компьютеры, принтер, ксерокс, компания не нуждается в привлечении больших
средств на рекламу, так как имеет возможность своими силами провести рекламную
компанию. Разработав текст объявлений, который расскажет потенциальным клиентам
о видах услуг, месте расположения фирмы, ценах и т.п., работники фирмы сами
создадут рекламные объявления.
Руководство планирует привлечь в
салон прежде всего учащихся и молодежь, поэтому эти объявления будут размещаться
в школах, училищах, техникумах и вузах города.
Для информирования остальной части
населения руководство планирует проведение ряда маркетинговых и рекламных
акций, направленных на продвижение рассматриваемого комплекса услуг:
3
проведение целенаправленной рекламной кампании в местных средствах
массовой информации - газетах, журналах, на радио и телевидении.
Кроме того, фирма планирует
проводить ознакомительные уроки по интернету с целыми классами или группами
учащихся, по договоренности со школами и училищами. Это достаточно выгодное
предложение для школ. Не каждая из них может позволить себе использование
интернета, а в новом салоне они будут получать значительные групповые скидки.
Другая рекламная акция, которая
также привлечет значительное количество клиентов в салон - это соревнования в
той или иной игре. Компьютерная сеть позволяет играть большому количеству
человек в одну и туже игру, если это предусмотрено самой игрой. Призом в таких
соревнованиях может быть, например, абонемент на неделю бесплатной игры.
Следует отметить, что наиболее
важным фактором успешного продвижения указанных видов услуг на рынок будет
являться объединение всех услуг в единый комплекс, имеющий очень выгодное
месторасположение.
Создаваемый компьютерный салон
ориентирован на потребителей со средним уровнем достатка, испытывающих
потребность в услугах данного характера при высоком уровне обслуживания.
В соответствии с проведенным
анализом существующего рынка аналогичных видов услуг можно условно выделить
следующие основные группы потенциальных потребителей услуг нового компьютерного
салона:
1 Предоставление ПК для
индивидуальной игры или игры по сети:
- школьники, учащиеся и студенты.
Предоставление ПК для работы в
программах MS-Office:
школьники, учащиеся и студенты;
потребители более зрелого возраста,
нуждающиеся в удовлетворении потребностей данного характера.
Предоставление ПК для работы в
интернете:
- школьники, учащиеся и студенты;
потребители более зрелого возраста,
нуждающиеся в удовлетворении потребностей данного характера.
Набор и распечатка текстов:
широкие слои населения города.
Ксерокопия:
широкие слои населения города.
Подводя итог всему вышесказанному,
можно сделать вывод, что структура потенциальных потребителей позволяет
обеспечить устойчивый спрос на все виды предлагаемых услуг нового компьютерного
салона.
5. Организационный план
Компьютерный салон «PLAZMA» является обществом с
ограниченной ответственностью. Уставный капитал данной фирмы должен составлять
не менее 100 минимальных размеров оплаты труда. Уставный капитал фирмы
составляет 206000 рублей. Каждый из учредителей вносит в качестве своего вклада
денежную сумму, равную 103000 рублей. Распределение прибыли между учредителями
происходит в соответствии с внесенными долями уставного капитала,
ответственность несется в рамках уставного капитала.
Организационная структура управления
отражает внутреннее строение управленческой системы и критерием ее
рациональности является оптимальное число ступеней управления.
Правильно выбранная организационная
структура управления создает благоприятные условия для принятия оптимальных
решений, повышения оперативности управления, сокращения управленческих циклов,
усиления исполнительской дисциплины и повышения экономической работы всей
системы в целом.
Управление предприятием осуществляется
по линейным и функциональным связям между руководителем и подразделением.
Именно линейно-функциональная является наиболее эффективной для предприятий
малого бизнеса.
6.
Оценка риска
Создание и начало деятельности
любого делового предприятия влечет за собой определенный риск, который связан с
неопределенностью будущего. Под неопределенностью понимается неполнота или
неточность информации об условиях реализации проекта и связанных с ним
затратах. Неопределенность, связанная с возможностью возникновения в ходе
реализации проекта неблагоприятных ситуаций и последствий, характеризуется
понятием риска.
При реализации данного проекта
возникает возможность появления таких проблем, как:
риск снижения цен из-за действий
конкурентов;
невыход на намеченный объем продаж.
Эксперту, работающему отдельно,
предоставляется перечень рисков по всем стадиям проекта и предлагается оценить
вероятность их наступления, руководствуясь следующей системой оценок:
0 - риск рассматривается как
несущественный;
-25 - риск скорее всего не
реализуется;
-50 - о наступлении события ничего
определенного сказать нельзя;
-75 - риск скорее всего проявится;
76-100 - риск наверняка реализуется.
На данный момент, экономическая
ситуация в Арзамасе такова, что определенно сказать о конкретном проценте риска
достаточно сложно. По опыту компьютерных салонов нашего и других городов
руководство приняло решение об установлении коэффициента риска в размере 30.
7.
Финансовый план
Прежде чем приступить к разработке
финансовых документов, необходимо рассчитать издержки предприятия по подготовке
к пуску производства.
Таблица 9 - Издержки подготовки
производства
|
Издержки подготовки производства
|
Стоимость, тыс. руб.
|
|
Единовременные расходы
|
|
Оборудование, машины, движимое имущество
|
187075
|
|
Стоимость установки оборудования
|
11750
|
|
Реконструкция производственного помещения
|
3000
|
|
Начальные запасы материалов
|
1241,6
|
|
Регистрация и презентация
|
2000
|
|
Непредвиденные расходы
|
1000
|
|
Итого единовременных расходов
|
206066,6
|
|
Текущие (повторяющиеся) расходы за три месяца
|
|
Заработная плата
|
60660
|
|
Аренда
|
7408,8
|
|
Реклама
|
1000
|
|
Налоги
|
11341
|
|
Эксплуатационные расходы
|
12242,8
|
|
Непредвиденные расходы
|
1000
|
|
Общие текущие расходы за три месяца
|
93652,6
|
|
Итого издержек по подготовке производства
|
299719,2
|
Вмененный доход = 7500*4*1,092*0,37
= 12121,2 руб. в месяц
ЕНВД = 12121,2*0,15 = 1818,18 руб. в
месяц без отчислений.
Сумма единого налога, исчисленная за
налоговый период, уменьшается налогоплательщиками на сумму страховых взносов на
обязательное пенсионное страхование, уплаченных (в пределах исчисленных сумм)
за этот же период времени в соответствии с законодательством Российской
Федерации при выплате налогоплательщиками вознаграждений своим работникам,
занятым в тех сферах деятельности налогоплательщика, по которым уплачивается
единый налог, а также на сумму страховых взносов в виде фиксированных платежей,
уплаченных индивидуальными предпринимателями за свое страхование, и на сумму
выплаченных работникам пособий по временной нетрудоспособности. При этом сумма
единого налога не может быть уменьшена более чем на 50%.
отчисления в пенсионный фонд (14%
ФОТ)=2830,8 руб. в месяц;
отчисления в фонд социального
страхования (0,2% ФОТ)=40,44 руб. в месяц.
Таким образом, ЕНВД = 909,09 руб. в
месяц.
Финансовый раздел бизнес-плана включает
следующие документы:
прогноз объемов реализации;
план прибылей и убытков;
план движения денежных средств;
прогнозируемый баланс активов и
пассивов предприятия;
расчет точки достижения
безубыточности.
Источниками доходов проекта является
реализация всего комплекса услуг нового компьютерного салона.
Предполагаемые объемы реализации
услуг и цены при достижении проектом планируемых показателей выручки
представлены в таблице 10.
Таблица 10 - Прогноз объемов
реализации
|
Услуга
|
Проектная мощность по кварталам
|
Годовая проектная мощность
|
Стоимость, руб.
|
Объем реализации, руб.
|
|
1
|
2
|
3
|
4
|
|
|
|
|
Использование ПК Использование ксерокса Использование принтера
|
5645 5645 2822
|
6451 6451 3226
|
7258 7258 3629
|
12902 12902 6451
|
32256 услуг 32256 листов
16128 листов
|
35 2
3
|
1128960 64512 48384
|
|
Общий объем реализации, руб.
|
|
1237656
|
План прибылей и убытков отражает
операционную деятельность предприятия, демонстрируя ее эффективность с точки
зрения покрытия производственных затрат доходами от реализации произведенной продукции
или услуг. Главная задача отчета о прибылях и убытках - проверить синхронность
поступления и расходования денежных средств.
В первый квартал фирма планирует
реализовать 70% всех услуг, во второй-80%, в третий-90%, в четвертый - фирма
реализует максимально возможное количество услуг. В соответствии с этим
меняются переменные издержки.
План прибылей и убытков на 2012 год
по месяцам представлен в приложении А. В 2013 году фирма планирует получать
такую же выручку как в 2012 году. План прибылей и убытков на 2013 год по
кварталам представлен в приложении Б. В 2014 году планируется повысить выручку
на 30%. План прибылей и убытков на 2014 год представлен в приложении Б.
Баланс денежных расходов и
поступлений (план движения денежных средств) позволяет оценить, какие средства
нужно вложить в проект. Таблица потока реальных денег является завершающей и
содержащей информацию, необходимую для расчета экономической эффективности
проекта.
План движения денежных средств за
2012 год по месяцам представлен в Приложении В, на 2013 год по кварталам и на
2014 год в приложении Г.
Критическая точка представляет собой
уровень выручки, которая точно покрывает общие затраты и расходы по
функционированию. Эта величина продаж называется точкой критического объема
продаж, или точкой безубыточности. Точка безубыточности - уровень физического
объема продаж на протяжении расчетного периода времени, при котором выручка от
реализации продукции совпадает с издержками производства.
Точка безубыточности определяется по
формуле:
, где
- постоянные затраты,
размер которых напрямую не связан с объемом производства продукции (руб.);
- цена за единицу
продукции (руб.);
- переменные затраты,
величина которых изменяется с изменением объема производства продукции
(руб./ед.).
При расчете точки
безубыточности должны соблюдаться следующие ограничения:
объем производства равен
объему продаж;
постоянные затраты
одинаковы для любого объема производства;
переменные издержки
изменяются пропорционально объему производства;
цена не изменяется в
течение периода, для которого определяется точка безубыточности;
цена единицы продукции и
стоимость единицы ресурсов остаются постоянными;
в случае расчета точки
безубыточности для нескольких наименований продукции соотношение между объемами
производимой продукции должно оставаться неизменным.
Показатель точки безубыточности
позволяет определить:
требуемый объем продаж, обеспечивающий
получение прибыли;
зависимость прибыли предприятия от
изменения цены;
значение каждого продукта в доле
покрытия общих затрат.
Основную выручку компьютерный салон
получает от эксплуатации ПК. Поэтому рассчитаем точку безубыточности для ПК.
Точка безубыточности для
ПК: N
= 8511.
Баланс активов и
пассивов представляет финансовые условия предприятия к определенной дате. Она
детально представляет элементы собственности (активы) и величину обязательств
(пассивы).
Бухгалтерский баланс на
2011 год
|
Актив
|
На начало отчетного года
|
На конец отчетного года
|
|
I
Внеоборотные активы Основные средства
|
-
|
159061
|
|
ИТОГО по разделу I
|
|
159061
|
|
II
Оборотные активы Денежные средства
|
-
|
867222
|
|
ИТОГО по разделу II
|
|
867223
|
|
БАЛАНС
|
|
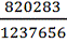
1026283
|
|
III
Капиталы и резервы Уставный капитал
|
-
|
206000
|
|
Нераспределенная прибыль (непокрытый
убыток)
|
-
|
820283
|
|
ИТОГО по разделу III
|
|
1026283
|
|
IV Долгосрочные
обязательства
|
-
|
-
|
|
V
Краткосрочные обязательства
|
-
|
-
|
|
БАЛАНС
|
|
1026283
|
Необходимо дать оценку проекту по
основным финансовым показателям деятельности фирмы.
Рентабельность продаж. Этот
показатель получается делением прибыли после уплаты налогов на объем продаж за
год.
Рентабельность продаж = 

100% = 66%
Рентабельность капитала
= 

100% =398%
Оценка эффективности
инвестиционного проекта осуществляется с помощью интегральных показателей
(чистый дисконтированный доход, индекс доходности, внутренняя норма доходности,
срок окупаемости, дисконтированный срок окупаемости). При расчетах используются
данные плана движения денежных средств.
ЧДД = S-K,
где S - суммарные дисконтированные поступления за все периоды
планирования;
K
- суммарные инвестиции (капиталовложения) в проекте за все периоды
планирования.
Суммарные
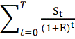
дисконтированные поступления рассчитываются следующим образом:
S=
где St - поступления денежных средств в t-ом периоде;
Т - общее количество
интервалов планирования;
Е - ставка дисконта,
доли ед.;
t
- порядковый номер интервала планирования.

+
+
+
= 305449,54 руб.
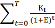
Суммарные
дисконтированные капиталовложения рассчитываются по формуле
К= 
где Кt - капиталовложения в t-ом
периоде
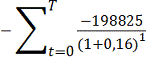
К = 
= 171400,86 руб.
ЧДД =
305449,54-171400,86 = 134048,68 руб.
Индекс доходности
определяется по формуле
ИД = 
ИД = 
= 1,8
Внутренняя норма
доходности определяется по формуле
ВНД = 
-1= 
-1= 0,33= 33%
Срок окупаемости
определяется по формуле
Т = 
где К - капитальные
вложения;
ПЧ - чистая прибыль;
А - амортизация.
Т= 
= 0,24 года
Проект считается эффективным, так
как
чистый дисконтированный доход
является положительной величиной;
индекс доходности больше единицы;
внутренняя норма доходности больше
принятой в проекте ставки дисконта;
срок окупаемости меньше
нормативного.
Необходимо разработать стратегию
финансирования. Для реализации проекта необходимы инвестиции в размере 206000
рублей.
Источники и объемы финансирования
проекта:
- собственные средства ООО «PLAZMA» 206000 руб.
Фирма вполне может обойтись без
привлечения заемного капитала. Срок полной окупаемости проекта - 0,24 года.
При прочих равных условиях и
факторах рыночного риска, прогнозируемая рентабельность проекта достаточна для
накопления необходимой массы прибыли в сжатые инвестиционные сроки, образования
необходимого фонда развития и потребления фирмы на конец инвестиционного
периода.
Вышеприведенные экономические и
финансовые характеристики проекта служат гарантом социальной защищенности
граждан, размещенных на вновь образуемых рабочих местах ООО «PLAZMA».
Список литературы
стратегия вложение услуга отрасль
1 Ансофф, И. «Стратегическое управление» / И. Ансофф. М.:
Экономика. - 1989.
Бланк, И.А. «Финансовый менеджмент» / И.А. Бланк. Киев:
Ника-Центр-Эльга. - 1999.
Власова, В.М., Волков, Д.М. «Основы предпринимательской
деятельности» / В.М. Власова, Д.М. Волков. М.: Финансы и статистика. - 1994,
496 с.
Глухов, В.В., Кобышев, А.Н., Козлов, А.В. «Справочник
финансиста предприятия» / В.В Глухов, А.Н. Кобышев, А.В. Козлов. М.: ИНФРА-М. -
1999, 558 с.
Глухов, В.В. «Ситуационный анализ» / В.В. Глухов. СПб.:
Специальная литература. - 1993, - 223 с.
Голубков, Е.П. «Основы маркетинга» / Е.П. Голубков. М.:
Финпресс. - 1999, 558 с.
Индрисов, А.Б., Картышев, С.В. «Стратегическое планирование
и анализ эффективности инвестиций» / А.Б. Индрисов, С.В. Картышев. М.: ИИД
Филинъ. - 1997, 267 с.
Клейнер, Г.Б. «Предприятие в нестабильной экономической
среде: риски, стратегии, безопасность» / Г.Б. Клейнер. М.: Экономика. - 1997,
288 с.
Лапуста, М.Г. «Справочник директора предприятия» / М.: ИНФРА
- М - 2001, 750 с.
Методические рекомендации по оценке эффективности
инвестиционных проектов и их отбору для финансирования. М.: Официальное издание,
2000.
Положение о составе затрат на производство и реализацию
продукции (работ, услуг), включаемых в себестоимость продукции (работ, услуг) и
о порядке формирования финансовых результатов, учитываемых при налогообложении
прибыли. Утв. Постановлением Правительства РФ от 5.08.1995.
Попова, В.М., Ляпунова, С.И. «Бизнес-планирование» / В.М.
Попова, С.И. Ляпунова. М.: Финансы и статистика. - 2000.
Роджерс, Л. «Маркетинг в малом бизнесе» / Л. Роджерс. М.:
Аудит. - 1996, 256 с.
Соловьев, Б.А. «Маркетинг» / Б.А. Соловьев. М.: ИНФРА-М -
2006, 383 с.
Уткин, Э.А. «Стратегическое планирование» / Э.А. Уткин. М.:
ЭКМОС. - 1999.
Уткин, Э.А. «Цены. Ценообразование. Ценовая политика.» /
Э.А. Уткин. М.: Ассоциация авторов и издателей «Тандем». ЭКМОС, - 1998. - 224
с.
Хруцкий, В.Е., Корнеев, И.В. «Современный маркетинг:
настольная книга по исследованию рынка» / В.Е. Хруцкий, И.В. Корнеев. М.:
Финансы и статистика. - 1999, 528 с.
Черник, А.Д. «Проектный анализ в АПК (Методика Всемирного
банка)» / СПб - 2000.