Фінансові розрахунки

  • Вид работы:
    Контрольная работа
  • Предмет:
    Финансы, деньги, кредит
  • Язык:
    Украинский
    ,
    Формат файла:
    MS Word
    111,42 Кб
  • Опубликовано:
    2013-03-26
Вы можете узнать стоимость помощи в написании студенческой работы.
Помощь в написании работы, которую точно примут!

Фінансові розрахунки

Вступ

В останні роки у зв'язку з поступовим становленням ринкових відносин в економіці України знову, через багато десятиліть, з'явилася потреба в поширенні кількісних методів оцінки фінансових операцій. Причини цього очевидні: поява реально самостійних підприємств, становлення ринку капіталу, корінна зміна сутності й ролі банківської системи. Багато рішень фінансового характеру недоцільно приймати лише на інтуїтивній основі; набагато більше якісні результати можуть бути досягнуті, якщо використаються формалізовані методи оцінки. Крім того, можна привести чимало ситуацій, коли оптимальне рішення, засноване лише на інтуїції, не може бути прийняте в принципі. У подібних ситуаціях саме й застосовуються методи фінансових обчислень, або, як їх ще називають, методи фінансової математики. Відповідну дисципліну починають викладати в багатьох вузах і коледжах. Математичні методи, використовувані у фінансовій математиці, досить різноманітні: від елементарному, доступних навіть школяреві, до дуже складних, потребуючі залучення професійних математиків.

Як професійна область діяльності, фінансові розрахунки досить бурхливо розвиваються в останні десятиліття у зв'язку з появою нових фінансових інструментів (опціони, ф'ючерси, свопи й ін.) і, більше того, нових напрямків діяльності, серед яких варто виділити, насамперед, фінансовий менеджмент і фінансовий аналіз. Професія фінансового менеджера як фахівця з керування фінансами господарюючого суб'єкта стає усе більше популярної й затребуваної з боку керівників компаній. Логіка тут досить очевидна, оскільки фінансові потоки в компанії являють собою, по суті, її кровоносну систему. Наскільки добре функціонує ця система, настільки й життєздатна компанія. Слід зазначити, що досить широко й коло, якщо так можна виразитися, потенційних здобувачів цього звання, у тому числі й серед діючих працівників апарата керування підприємств, до яких насамперед можна віднести значну частину працівників планово-економічної служби, фінансового відділу, бухгалтерії.

1. Теоретична частина

1.1 Доходи державного бюджету, їх класифікація

Центральне місце у системі державних доходів посідають доходи бюджетів держави - державного бюджету та місцевих бюджетів.

Формою прояву категорії доходи бюджету служать різні види платежів підприємств, організацій і населення до бюджету, а їх матеріальним втіленням є грошові кошти, що мобілізуються до бюджету.

Доходи бюджету підрозділяються залежно від різних ознак.

За соціально-економічними ознаками доходи бюджету включають доходи, що надходять від підприємств і організацій, та доходи, що надходять від населення.

За джерелами створення розрізняють надходження від державних підприємств і організацій, надходження від підприємств і організацій інших форм власності, інші надходження.

За методами вилучення доходи бюджету містять в собі податкові або неподаткові надходження.

Залежно від частоти появи у бюджеті доходи можуть бути звичайними та надзвичайними.

Доходи бюджету також підрозділяються за ознаками бюджетної класифікації. Бюджетна класифікація являє собою єдине систематизоване групування доходів і видатків бюджетів за однорідними ознаками. Бюджетна класифікація забезпечує чіткість бюджетного планування і прогнозування, порівнянність показників усіх видів бюджетів, а також надає можливість об'єднувати як окремі індивідуальні кошториси, так і складати зведені кошториси видатків за відповідними ланками бюджетної системи.

Відповідно до бюджетної класифікації, доходи бюджету за джерелами формування підрозділяються на чотири групи:

. Податкові надходження.

. Неподаткові надходження.

. Доходи від операцій з капіталом.

. Трансферти.

. Податковими надходженнями визнаються передбачені податковими законами України загальнодержавні та місцеві податки, збори та інші обов'язкові платежі. До податкових надходжень відносяться;

). податки, що справляються з доходу окремих осіб і з прибутку підприємств (податок на прибуток, податок з доходів фізичних осіб);

). податки за користування майном, податки на власність (податок з власників транспортних засобів, податок на майно);

). платежі за використання природних ресурсів (лісових, водних ресурсів, плата за землю);

). податки І збори, якими обкладаються виробництво, продаж, передача товарів (податок на додану вартість, акцизний збір, ліцензії на підприємницьку та професійну діяльність);

) податки на міжнародну торгівлю та зовнішні операції (ввізне та вивізне мито, консульські збори);

). інші податки (місцеві податки та збори).

. Неподаткові надходження включають:

доходи від власності та підприємницької діяльності, (надходження спеціальних коштів бюджетних установ, надходження від перевищення валових доходів над видатками Національного банку України, надходження до бюджету сум відсотків банків за користування тимчасово вільними бюджетними коштами, надходження дивідендів від суб'єктів підприємницької діяльності, утворених за участю державних підприємств та організацій, рентну плату за нафту);

адміністративні збори та платежі (збори, що стягуються Державною автомобільною інспекцією України, плата за утримання дітей у школах-інтернатах, плата за оренду цілісних майнових комплексів державних підприємств, плата за надання певних державних послуг);

надходження від штрафів та фінансових санкцій, не пов'язаних з порушенням податкового законодавства (суми, стягнені з винних осіб за шкоду, заподіяну підприємству, установі, організації, надходження штрафних санкцій за порушення правил пожежної безпеки, адміністративні штрафи та інші санкції, передбачені чинним законодавством).

. Доходи від операцій з капіталом охоплюють реалізацію основного капіталу, державних запасів товарів, землі та нематеріальних активів.

. Трансферти - це кошти, одержані від інших органів державної влади, органів влади АР Крим, органів місцевого самоврядування, інших держав або міжнародних організацій на безоплатній та безповоротній основі.

Найбільшим джерелом доходів державного бюджету с податок на додану вартість.

1.2 Методика нарахування відсотків за акціями

Підприємство може придбати акції за рахунок коштів, які залишаються в їх розпорядженні після сплати податків і відсотків за банківський кредит.

Акціонерне товариство може викупати у своїх акціонерів акції тільки за рахунок сум, що перевищують Статутний капітал для наступного їх перепродажу, розповсюдження серед своїх працівників або анулювання. Такі акції повинні бути реалізовані або анульовані в термін не більше одного року.

Термін відкритої підписки не може перевищувати шість місяців. Особи, які бажають придбати акції, повинні внести на рахунок засновників не менше 10% вартості акцій, на які вони підписалися. після чого засновники дають їм письмове зобов'язання про продаж відповідної кількості акцій. Якщо до закінчення терміну відкритої підписки (6 місяців) не вдалося покрити підпискою 60% акцій, акціонерне товариство вважається не заснованим.

Особам, які підписалися на акції, повертаються внесені ними суми або майно не пізніше 30 днів (після цього наступає солідарна відповідність).

У випадках, коли всі акції акціонерного товариства розподілені між засновниками, вони повинні внести на день проведення установчих зборів не менше 50% номінальної вар гості акцій.

Процес анулювання або реалізації акцій здійснюється терміном не більше 1 року після реєстрації акціонерного товариства.

Акціонеру безкоштовно видається один сертифікат на всі акції, що йому належать, після їх повної оплати.

Акціонер має право розпоряджатися акціями на свій розсуд згідно з чинним законодавством.

Для реєстрації нового володаря акції повинна надійти заява попереднього володаря в акціонерне товариство з його сертифікатом.

Новому акціонеру виписується новий сертифікат. Старий сертифікат анулюється, про що проводиться запис у реєстраційній книзі.

Балансова вартість акцій як складових довгострокових фінансових інвестицій на момент їх придбання дорівнює їхній собівартості.

Собівартість акцій включає:

ціну придбання;

комісійні винагороди;

інші витрати, безпосередньо пов'язані з придбанням інвестицій (акцій).

У свою чергу, при складанні звітності (на дату балансу) необхідно застосовувати інші методи оцінки:

метод участі в капіталі;

за справедливою вартістю;

за амортизованою собівартістю.

Застосування того чи іншого методу оцінки залежить від виду фінансових інвестицій і взаємовідносин інвестора та об'єкта інвестування. Оцінка і облік фінансових інвестицій здійснюються за кожною фінансовою інвестицією окремо.

Усі інвестиції можна умовно розділити на дві групи:

інвестиції, що утримуються з метою наступного продажу;

інвестиції, не призначені для продажу.

До першої групи можна віднести інвестиції в акції, боргові зобов'язання, які придбані з метою отримання доходів від їх продажу. Такі інвестиції не передбачається утримувати до моменту погашення, і вони відображаються у звітності за справедливою вартістю або собівартістю. При цьому оцінка за собівартістю проводиться у разі, якщо справедливу вартість таких інвестицій достовірно визначити неможливо. Різниця, що виникає у зв'язку зі зміною первинної вартості, відображається у складі інших доходів або інших витрат відповідно. Інвестиції, не призначені для продажу (друга група), включають до себе інвестиції в боргові цінні папери та інвестиції в акції.

Як правило, інвестиції в боргові цінні папери придбаються з метою одержання доходу у вигляді відсотків і утримуються підприємством до їх погашення.

Якщо інвестиція утримується підприємством до погашення (інвестиції в облігації, векселі) то вони оцінюються за амортизованою собівартістю.

Акція має номінальну, викупну, балансову, ліквідаційну, ринкову ціни.

Номінальна вартість акції - це її лицева вартість, позначена на акції. Ця величина не має якого-небудь істотного значення, оскільки номінал не характеризує ні рівня дивідендів, ні величини вартості акції у разі ліквідації компанії. Ця ціна має значення тільки при організації акціонерного товариства. Вона показує, яка частка статутного капіталу припадала на одну акцію на момент створення АТ. Але вже при подальших додаткових випусках акцій ціна їх продажу може відрізнятися від номіналу.

Викупну вартість мають відкличні привілейовані акції (відкличні акції - це акції, які емітент може викупити незалежно від бажання інвестора). Вона оголошується у момент випуску акцій. Зазвичай викупна ціна перевищує номінал на 1%.

Балансова (книжкова) вартість акції - це величина власного капіталу компанії, що припадає на одну акцію. Якщо були випущені тільки звичайні акції, то ця вартість визначається шляхом ділення власного капіталу на число акцій. Якщо випущені також і привілейовані акції, то власний капітал треба зменшити на сукупну вартість привілейованих акцій за номіналом або за викупною ціною (для відкличних акцій).

Наприклад, власний капітал акціонерного товариства (акціонерний капітал плюс нерозподілений прибуток за всі роки) становить 3520 тис. дол. Випущено 100 тис. звичайних акцій номіналом 10 дол. і 10 тис. привілейованих відкличних акцій номіналом 50 дол., викупна ціна - 50,5 дол. за штуку.

Викупна ціна всіх привілейованих акцій становить 505 тис. дол. (50,5 o 10000). Тоді книжкова вартість усіх звичайних акцій становитиме 3015 тис. дол. (З 520000 - 505000), а однієї акції - 30,15 дол.

Ліквідаційна ціна - вартість реалізованого майна АТ у фактичних цінах, що припадає на одну акцію.

Ринкова ціна, або курс акцій, - це та ціна, за якою акції вільно продають і купують на ринку. Номінал акції при цьому значення не має, й акція меншого номіналу може продаватися за більш високою ціною. Для інвестора має значення, який прибуток дає акція в даний момент і які перспективи отримання прибутку в майбутньому.

Розрахунок ринкової вартості акцій

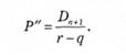
Розрахувати ринкову ціну акції значно складніше, ніж облігації. Акції - це цінні папери з плаваючим доходом, на відміну від облігацій, де дохід або фіксований, або змінюється з певною закономірністю. Для розрахунку курсів акції використовують різні моделі. Найпоширенішою з них є модель М. Гордона. Ця модель припускає три варіанти розрахунку поточної ринкової ціни акції.

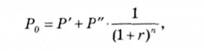
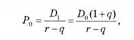
. Темп приросту дивідендів дорівнює нулю. Модель нульового приросту. Поточна ринкова ціна акції (Р0) визначається за формулою:


де D0 - поточний дивіденд, гр. од.;- ставка доходу, необхідна інвестору, у вигляді десяткового Дробу.

. Темп приросту дивідендів постійний. Модель постійного приросту^


де D1 - величина дивіденду на найближчий прогнозований період, гр. од.

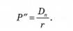
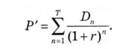
. Темп приросту дивідендів змінюється (const). Модель змінного приросту


Для розрахунку P’ необхідно продисконтувати всі величини дивідендів, плановані до виплати протягом перших п років (звичайно не більше найближчих п'яти років, протягом яких є можливість скласти більш або менш правдоподібний прогноз дивідендних виплат):



Розрахунок другого компонента для незмінних дивідендів провадиться за формулою дисконтування нескінченних дивідендів:


Якщо передбачається зростання дивідендів із темпом то необхідно скористатися формулою моделі постійного приросту:


Зазвичай як показник дохідності г використовується оцінка дохідності підприємства, що спостерігається протягом останнього року. Ця дохідність визначається за допомогою двох компонентів: дохідності інвестора, одержуваної у вигляді дивідендів (величина дивіденду, виплачена за останній рік, поділена на ринкову (курсову) вартість акції в даний момент) і дохідності інвестора, пов'язаної зі збільшенням курсової вартості акції (збільшення курсової вартості акції за рік, поділене на курсову вартість на початку року).

Склавши наведені вище компоненти, ми одержимо дохідність акції.

Дохідність акцій

Для аналізу ефективності вкладень інвестора у покупку акцій можуть бути використані такі види дохідності: ставка дивіденду, поточна дохідність акції для інвестора, поточна ринкова дохідність, кінцева та сукупна дохідність.

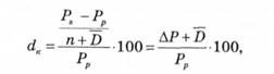
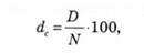
Ставка дивіденду (dc):



Ставка дивіденду використовується звичайно при оголошенні річних дивідендів.

Поточна дохідність для інвестора (рендит) розраховується за формулою


Кінцева дохідність розраховується за формулою:


Узагальнюючим показником ефективності вкладень інвестора в купівлю акцій є сукупна дохідність:


Кінцева та сукупна дохідності можуть бути розраховані в тому випадку, коли інвестор продав акцію або має намір це зробити за відомою йому ціною.

2. Практична частина

.1 Задача 1

Визначити величину фінансових ресурсів підприємства у вигляді чистого прибутку за звітний період та суму централізованих фінансових ресурсів, які повинні спрямовуватись підприємством у бюджет у вигляді податку на прибуток.

Вихідні дані для розрахунку:

·        Дохід від реалізації продукції - 17,9 тис. грн.

·        Інші операційні доходи - 2,4 тис. грн.

·        Отримано безповоротну фінансову допомогу - 5,7 тис. грн.

·        Виробничі витрати - 13,1 тис. грн.

·        Сплачено штрафів за порушення умов угоди - 2,1 тис. грн.

·        Сплачено дивіденди акціонерам - 1,1 тис. грн.

·        Витрати пов’язані з реалізацією продукції - 4,5 тис. грн.

·        Доходи від участі в спільних підприємствах - 3,2 тис. грн.

·        Витрати на соціальний розвиток - 1,1 тис. грн.

)        Визначаємо дохід підприємства:

Д = 17,9 + 2,4 + 5,7 +3,2 = 29,2 тис. грн.

)        Визначаємо витрати підприємства:

В = 13,1 +4,5 = 17,6 тис. грн.

)        Визначаємо прибуток підприємства:

П = Д - В

П = 29,2 - 17,6 = 11,6

)        Визначаємо податок на прибуток:

ПП = П * 0,21

ПП = 11,6 * 0,21 = 2,436 тис. грн.

)        Визначаємо чистий прибуток:

ЧП = П - ПП

ЧП = 11,6 - 2,436 = 9,164 тис. грн.

Ц.Ф.Р = 2,436 тис. грн.

Відповідь. Величина фінансових ресурсів підприємства у вигляді чистого прибутку становить 9,164 тис. грн. Сума централізованих фінансових ресурсів, які повинні спрямовуватись підприємством у бюджет у вигляді податку на прибуток становить 2,436 тис. грн.

2.2 Задача 2

На основі наведених даних визначити суму податків і зборів, що сплатить підприємство до бюджету та державних цільових фондів за рік.

Вихідні дані для розрахунку:

·        Витрачено на придбання сировини (з ПДВ) - 8,6 тис грн.

·        Витрачено на придбання матеріалів (без ПДВ) - 3,6 тис. грн.

·        Нараховано ЗП - 12,5 тис. грн.

·        Балансова вартість автомобіля - 54,6 тис. грн.

·        Площа земельної ділянки, що перебуває в користуванні - 0,6 га.

·        Виручка від реалізації продукції (з ПДВ) - 267,5 тис. грн.

Додаткові дані:

·        Об’єм циліндра двигуна - 3600 см3.

·        Кількість населення - 15 тис. грн.

)        Матеріальні витрати дорівнюють:

МВ = 8,6 - (8,6 / 6) + 3,6 = 10,77 тис. грн.

)        Заробітна плата становить:

ЗП = 12,5 тис. грн.

ВСЗ = 4,6 тис. грн.

)        Амортизаційні відрахування:

АВ = 54,6 * 0,2 = 10,92 тис. грн.

)        Інші витрати:

І = 1,98 + 7,2 = 9,18 / 47,97

ТП = 55 * 3600 / 100 = 1,98 тис. грн.

ЗП = 1,2 * 6000 = 7,2 тис. грн.

)        Д = 267,5 - (267,5 / 6) = 222,9 тис. грн.

)        П = 222,9 - 47,97 = 174,93 тис. грн.

)        ПП = 174,93 * 0,21 = 36,74 тис. грн.

)        ПДВ = 44,58 - 1,43 = 43,15

Відповідь. Підприємство сплатить:

Відрахування на соціальне страхування - 4,6 тис. грн.

Податок на прибуток - 36,74 тис. грн.

Земельний податок - 7,2 тис. грн.

Сума ПДВ - 43,15 тис. грн.

Податок при першій реєстрації транспортного засобу - 1,98 тис. грн.

2.3 Задача 3

Визначити суму дивідендів, яку слід виплатити власникам простих і привілейованих акцій.

Вихідні дані для розрахунку:

·        Кількість випущених акцій - 67 тис. грн.

·        Акціонерний капітал - 1340 тис. грн.

·        Кумулятивні привілейовані акції - 6,7 тис. грн.

·        Фіксований дивіденд по привілейованих акціях - 9%.

·        Період попередньої несплати - 1 рік

·        Прибуток за звітний період - 48,9 тис. грн.

·        Доля прибутку, що спрямовується на виплату дивідендів - 80%.

)        Визначаємо номінальну ціну акцій:

Цн = 1340 / 67 = 20 грн.

)        Визначаємо масу дивідендів, тобто скільки гривень може бути витрачено на виплату дивідендів:

МД = 48,9 * 0,8 = 39,12 тис. грн.

)        Визначаємо суму дивідендів по привілейованих акціях:

∑ Дприв. = Цн * К *%

∑ Дприв. = 20 * 6,7 * 0,09 = 12,06 тис. грн.

)        ∑ Дкприв. = Цн * К *% * n

∑ Дкприв. = 20 * 6,7 * 0,09 * 1 = 12,06 тис. грн.

)        Визначаємо суму дивідендів по простих акціях:

∑ Дпрост. = 39,12 - 12,06 - 12,06 = 15 тис. грн.

)        Знаходимо вартість однієї простої акції:

/ (67000 - 335) = 15000 / 66665 =0,23 грн.

)        Знаходимо вартість однієї привілейованої акції:

/ 335 = 36 грн.

Відповідь. Сума дивідендів, яку слід виплатити по привілейованих акціях становить 12,06 тис. грн., Сума дивідендів по простих акціях - 15 тис. грн.

Висновки

Центральне місце у системі державних доходів посідають доходи бюджетів держави - державного бюджету та місцевих бюджетів.

Формою прояву категорії доходи бюджету служать різні види платежів підприємств, організацій і населення до бюджету, а їх матеріальним втіленням є грошові кошти, що мобілізуються до бюджету.

Доходи бюджету підрозділяються залежно від різних ознак.

За соціально-економічними ознаками доходи бюджету включають доходи, що надходять від підприємств і організацій, та доходи, що надходять від населення.

За джерелами створення розрізняють надходження від державних підприємств і організацій, надходження від підприємств і організацій інших форм власності, інші надходження.

За методами вилучення доходи бюджету містять в собі податкові або неподаткові надходження.

Важлива роль на фондовому ринку належить акціям. Згідно з правовими нормами в Україні акції випускаються тільки акціонерними товариствами. Приватизація і роздержавлення державного майна передбачає акціонування підприємств, створення на базі державних підприємств акціонерних товариств відкритого (ВАТ) або закритого типу (ЗАТ). Акціонерними товариствами здійснюється випуск пайових зобов'язань, як правило, у вигляді акції. Найпоширенішими випадками, коли акціонерні товариства випускають акції, є такі:

) створення товариства;

) зміна номінальної вартості акцій при зміні статутного фонду;

) збільшення статутного фонду шляхом додаткового випуску акцій при незмінній номінальній вартості останніх;

) поділ або консолідація акцій при незмінному статутному фонді;

) окремі випадки реорганізації акціонерного товариства.

Акція - іменний цінний папір, який посвідчує майнові права його власника (акціонера), що стосуються акціонерного товариства (далі АТ), включаючи право на отримання частини прибутку у вигляді дивідендів, право на отримання частини майна у разі ліквідації АТ, право на управління АТ, а також немайнові права, передбачені Цивільним кодексом України та законом, що регулює питання створення, діяльності та припинення АТ.

дохід бюджет податок акція

Література

1. Банківські операції: Підручник / За ред. А.М. Мороза. - К.: КНЕУ, 2000. - 384 с.

. Лагутін В.Д. Гроші та грошовий обіг. Навч. посібник.-К.: Знання. -2001.-с. 199.

. Василик О.Д. Теорія фінансів. Підручник. - К.: НІОС, 2000.

. Опарін В.М. Фінанси: Навч. посібник. - К.: КНЕУ, 2001.

. Финансы: Учебник / Под ред. М.В. Романовского, О.В. Врублевской, Б.М. Сабанти. - М.: Перспектива: Юрайт, 2001.

Похожие работы на - Фінансові розрахунки

 

Не нашли материал для своей работы?
Поможем написать уникальную работу
Без плагиата!
Без нейросетей!