Нетяговый подвижной состав

  • Вид работы:
    Контрольная работа
  • Предмет:
    Транспорт, грузоперевозки
  • Язык:
    Русский
    ,
    Формат файла:
    MS Word
    181,64 Кб
  • Опубликовано:
    2013-01-13
Вы можете узнать стоимость помощи в написании студенческой работы.
Помощь в написании работы, которую точно примут!

Нетяговый подвижной состав

МОСКОВСКИЙ ГОСУДАРСТВЕННЫЙ УНИВЕРСИТЕТ ПУТЕЙ СООБЩЕНИЙ

Казанский филиал МИИТ








Контрольная работа

По предмету: Нетяговый подвижной состав

Выполнила:

Ефремова Т.Д.

Преподаватель:

Петров А.А.





Казань 2013

Содержание

1. Конструкция, перспективы совершенствования конструкций кузовов крытых, полувагонов, хопперов, платформ

. Статические испытания вагонов на прочность

Список литературы

1. Конструкция, перспективы совершенствования конструкций кузовов крытых, полувагонов, хопперов, платформ

Грузовые вагоны

Тип грузового вагона и устройство определяются его назначением и конструкцией кузова. Кузовом называется часть вагона, предназначенная для размещения в нем грузов.

В эксплуатации находится большое разнообразие кузовов грузовых вагонов, поэтому они классифицируются в зависимости от:

рода перевозимых грузов;

материала обшивки;

конструкции рамы;

В зависимости от рода перевозимых грузов кузова делятся на открытые (у платформ, полувагонов, думпкаров, хопперов и транспортеров) и закрытые (у крытых, цистерн, изотермических, зерно- и цементовозов и других крытых вагонов бункерного типа).

В зависимости от конструкции рамы - со сквозной хребтовой балкой и несквозной хребтовой балкой (без хребтовой балки).

В зависимости от материала обшивки - на кузов с металлической и деревянной обшивкой.

В зависимости от конструкции элементов для загрузки и выгрузки грузов - с дверями на боковых стенах или с люками в крыше и полу (при отсутствии крыши - только с люками в полу).

В свою очередь закрытые делятся на кузова:

без теплоизоляции,

с теплоизоляцией и различными системами принудительного охлаждения (обогрева) грузов или без них.

Конструкция кузова того или иного типа вагона определяется его назначением.

Поэтому кузова разных типов вагонов по своей конструкции различны, но у всех их много общего.

Требования к грузовым вагонам.

Требования к грузовым вагонам определены государственными стандартами. Они охватывают: общие требования, требования к материалам, надежности, безопасности работы обслуживающего персонала, маркировке и транспортированию, а также гарантийные обязательства завода-изготовителя.

Общие требования регламентируют климатические условия эксплуатации, параметры и размеры вагонов, габарит, прочность элементов вагонов, параметры наиболее ответственных узлов (тележек, автосцепного устройства, тормозного оборудования и др.), конструкцию кузова, окраску, виды, методы и периодичность контрольных испытаний, а также конструкцию отдельных элементов.

Грузовые вагоны изготавливаются в исполнении. У для умеренного климата с температурами от +40 до -50 °С. Параметры вагона (грузоподъемность, расчетная скорость, нагрузка от колесной пары на рельсы, объем кузова и габарит) подобраны такими, при которых обеспечивается наиболее экономичная эксплуатация вагонов.

Все основные типы грузовых вагонов магистральных железных дорог рассчитаны на эксплуатацию со скоростями до 120 км/ч, а новые рефрижераторные и специализированные вагоны для перевозки большегрузных контейнеров - до 140 км/ч.

Требования к тележкам, автосцепному устройству, тормозному оборудованию и другим ответственным узлам направлены.

На обеспечение безопасности движения поездов и необходимой плавности хода вагонов, а к конструкции кузова и его отдельных элементов- на обеспечение сохранности перевозимых грузов и самих вагонов при использовании комплексной механизации погрузочно-разгрузочных работ.

Установленные виды, методы и периодичность контрольных испытаний направлены на повышение качества проектирования и изготовления вагона, улучшение его прочностных, ходовых динамических и эксплуатационных показателей, а также показателей надежности и долговечности при изменяющихся условиях эксплуатации железных дорог.

По надежности требования определяются установленным сроком службы вагонов до списания и сроками эксплуатации до первых деповского и капитального ремонтов.

Поскольку обеспечение надежности вагонов зависит не только от завода-изготовителя, но и от ремонтных предприятий, системы технического обслуживания и условий эксплуатации, то на вагоны устанавливаются также требования по обеспечению сохранности вагонов, определяемые государственным общесоюзным стандартом.

Требования по конструкции отдельных элементов определяются типом вагонов. Так, для универсальных крытых вагонов необходимо наличие боковых дверей, настенного несъемного оборудования, люков с вентиляционными решетками в боковых стенах, для универсальных полувагонов - разгрузочных люков в полу, для универсальных платформ - продольных и поперечных бортов.

Требования безопасности предусматривают оснащение вагонов лестницами, подножками, поручнями, кронштейнами для сигнальных фонарей, рифлеными планками для постановки домкратов, а также нанесение знаков безопасности и предостерегающих надписей, обеспечивающих безопасную эксплуатацию вагонов.

Гарантийные обязательства завода-изготовителя устанавливаются сроками ответственности завода за качество изготовления вагона при соблюдении существующих и перспективных условий эксплуатации и ремонта грузовых вагонов.

Крытые вагоны.

В крытых вагонах перевозят штучные, тарно-штучные, пакетированные и насыпные грузы, требующие укрытия и защиты от воздействия атмосферных осадков. Конструкции кузовов этих типов вагонов имеют раму, боковые и торцовые стены, крышу и двери или люки для загрузки и выгрузки грузов.

По своему назначению крытые вагоны разделяются на два типа: универсальные и специализированные.

Отличительная особенность кузовов универсальных крытых вагонов - наличие боковых дверей, настенного несъемного оборудования и люков с вентиляционными решетками на боковых стенах.

Из универсальных крытых вагонов наибольший удельный вес в вагонном парке составляют вагоны последних лет выпуска моделей 11-066 <#"602663.files/image001.jpg"> 


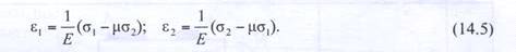
где Е - модуль упругости стали;- коэффициент Пуассона;

ε 1 и ε 2 - деформации элемента конструкции вагона, регистрируемые тензодатчиками соответственно первым и вторым:


Во втором случае необходимо использовать три тензодатчика (рис. 14.17), при расположении которых под углами 0°, 45° и 90° направление первого главного напряжения определяется углом а: где ε 0, ε 45 и ε 90 - деформации, измененные тензодатчиками, расположенными под углами соответственно 0°, 45° и 90°.


Для элементов кузова, на которые нагрузка от соседних стержней передается только в узлах, тензодатчики надо наклеивать вблизи узлов.

Панели тонкостенной металлической обшивки кузова обычно находятся в условиях двухосного напряженного состояния, поэтому для измерения деформацией в них необходимо применять розетки тензодатчиков (три тензодатчика с пересекающимися в одной точке их продольными осями).

Для оценки усилий, которые способна воспринимать обшивка кузова, определяются срединная деформация, возникающая от усилий сжатия или растяжения, и деформация изгиба, возникающая из-за технологических неровностей на обшивке кузова или из-за неровностей, возникающих вследствие местной потери устойчивости обшивки кузова.

Для измерения напряжений в оси колесной пары от статической вертикальной нагрузки на испытательном стенде тензодатчики наклеиваются на подступичной и средней частях оси по двум схемам . При второй схеме накладки тензодатчиков, соединенных между собой в единую электрическую цепь, чувствительность измерительной схемы увеличивается в два раза. Активные тензодатчики А ориентированы вдоль продольной оси, а температурные тензодатчики К - поперек продольной оси рядом с активными тензодатчиками. В этом случае действительная деформация волокон металла оси будет меньше измеренной деформации в 1,25-1,3 раза (с учетом коэффициента Пуассона u = 0,25-0,3).

Для измерения напряжений в прутках цилиндрической пружины от деформации кручения, сдвига и изгиба применяется схема накладки датчиков, показанная на рис. 14.20.


Активные датчики А наклеиваются на внешней стороне прутков под углом 45° к продольной оси прутка, а компенсационные датчики К - на отдельной металлической пластине. Определяются напряжения в двух сечениях пружины с целью подтверждения положения о равенстве напряжений при последовательном соединение витков пружины.



Список литературы

1. Устич П.А. Надежность рельсового нетягового подвижного состава; Издательство: УМЦ ЖДТ; 2004 г.

. Вагоны. Общий курс. Под ред. Лукина В.В.-М., Маршрут, 2004,- 424с.

.Конструирование и расчет вагонов под ред. В.В. Лукина-М., УМК МПС России, 2000,-731 с.

Похожие работы на - Нетяговый подвижной состав

 

Не нашли материал для своей работы?
Поможем написать уникальную работу
Без плагиата!
Без нейросетей!