Язык программирования C++
Введение
математический
программирование visual
На сегодняшний день математическое
программирование - важная составляющая всего программирования. Большие и
сложные вычисления благодаря простым программам становятся простыми.
В данной курсовой работе создавалась программа
для вычислений над матрицами.
В качестве среды программирования выбрана MS
Visual Studio
2008 и язык программирования C++.
Матрицы
Матрицей размерности 
называется прямоугольная таблица
чисел 
, где 
, 
:
расположенных в m строках и n столбцах.
Матрица называется квадратной, если 
.
Основные действия
над матрицами
Сложение и вычитание матриц сводится к
соответствующим операциям над их элементами. Самым главным свойством этих
операций является то, что они определены только для матриц одинакового размера.
Таким образом, возможно определить операции сложения матриц:
Суммой матриц является матрица, элементами
которой являются соответственно сумма элементов исходных матриц.
Операция умножения матрицы любого размера на
произвольное число сводится к умножению каждого элемента матрицы на это число.
Транспонирование матрицы
<#"602113.files/image009.gif">
Если A - матрица размера 
, то AT - матрица размера

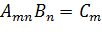
. Умножение матриц <#"602113.files/image012.gif">
В первом множителе должно быть
столько же столбцов, сколько строк во втором. Если матрица A имеет размерность 
, B - 
, то размерность их произведения AB
= C есть 
.
Вектор
Если матрица состоит только из одного столбца
или строки, то такой объект называется вектором. Размерностью вектора
называется число его элементов.
Умножение вектора на матрицу
Если
имеется некоторая матрица А размерностью 
и некоторый вектор B размерностью
n, то при умножении получаем вектор С размерностью m.
В результате умножения матрицы на вектор будем
иметь матрицу-столбец, у которой количество строк равно количеству строк
исходной матрицы.
В результате умножения вектора на матрицу будем
иметь матрицу-строку, у которой количество столбцов равно количеству столбцов
исходной матрицы.
Классы
Класс - это тип структуры, позволяющий включать
в описание типа не только элементы данных, но и функции (функции-элементы или
методы).
Для ограничения доступа к элементам класса
используются следующие спецификаторы доступа:
· public -
ограничений доступа нет;
· protected -
доступны только в порожденных классах;
· private -
доступны только в своем классе.
Конструкторы и
деструкторы
Matrix(int m, int n)
Такая функция называется конструктором и служит
для инициализации создаваемого объекта данных. Имя конструктора должно
совпадать с именем класса, конструктор н должен возвращать значений и содержать
оператор return. Тип его явно не описывается. Конструктор может быть
перегружен, поэтому у любого нового типа данных могут быть несколько
конструкторов.
~Matrix() - специальный оператор, который
называется деструктором. Он необходим для того, чтобы корректно завершить
существование нашего объекта, то есть освободить память в куче.
Деструктор, как и конструктор, не должен
возвращать значение и иметь явное описание типа. В отличие от конструкторов,
которых может быть несколько у одного и того же класса, деструктор должен быть
один и не должен иметь аргументов.(const Matrix &A) называется
конструктором копий. Он используется при создании объекта с инициализацией его
объектом того же типа.
Кроме того, конструктор копии используется при
инициализации формального параметра функции в случае передачи ей объекта по
значению, и при возврате объекта из функции по оператору return.
При передаче ссылок и указателей конструктор копии не используется.
Неявный конструктор копии обеспечивает простое
поэлементное копирование одного объекта во второй. Такой вид копирования часто
называют поверхностным.
Перегрузка операций
Большинство операций языка С++ для новых типов
данных может быть перегружено. Для перегрузки операции необходимо создать
функцию с названием, состоящим из ключевого слова operator
и знака перегружаемой операции. Количество параметров этой функции определяется
тем, одноместная или двухместная операция перегружается, а также наличием
неявных элементов у методов класса.
Перегрузка операций предполагает введение в язык
двух взаимосвязанных особенностей: возможности объявлять в одной области
видимости несколько процедур или функций с одинаковыми именами и возможности
описывать собственные реализации операций.
Например, чтобы перегрузить оператор сложения,
нужно определить функцию с именем operator+.
Операторные функции перегруженных операторов, за
исключением new и delete, должны подчиняться следующим правилам:
операторная функция должна быть либо нестатической
фенкцией-членом класса, либо принимать аргумент типа класса или перечислимого
типа, или аргумент, который является ссылкой на тип класса или перечислимый
тип;
операторная функция не может изменять число
аргументов или приоритеты операторов и порядок их выполнения по сравнению с
использованием соответствующео оператора для встроенных типов данных;
операторная функция унарного оператора,
объявленная как функция-член, не должна иметь параметров; если же она объявлена
как глобальная функция, она должна иметь один параметр;
операторная функция не может иметь параметры по
умолчанию и др.
Дружественные
функции
Согласно концепции инкапсуляции данных С++
функция, не являющаяся членом класса, не может получить доступ к его закрытым
(private) элементам.
В языке С++ реализована возможность обойти
данное ограничение с помощью друзей. С++ позволяет объявить 2 вида друзей
класса: дружественную функцию или дружественный класс.
Дружественные функции не являются членами
класса, но тем не менее имеют доступ к его закрытым членам. Более того, одна
такая функция может иметь доступ к закрытым членам нескольких классов.
Чтобы объявить функцию дружественной некоторому
классу, в определение этого класса включают ее прототип, перед которым ставится
ключевое слово friend.
ostream& operator<<(ostream& os,
const Matrix& A)
Дружественная функция не является членом класса,
в котором она объявлена. Поэтому, вызывая дружественную функцию, не нужно
указывать имя объекта или указатель на объект и операцию доступа к члену класса
(точку или стрелку). Доступ к закрытым членам класса дружественная функция
получает только через объект класса, который в силу этого должен быть либо
объявлен внутри функции, либо передан ей в качестве аргумента.
Функция может быть дружественна сразу нескольким
классам.
Неявный указатель
this
Каждый метод класса содержит в качестве данного
следующий указатель, передаваемый при вызове метода в качестве параметра:
имя_типа *this;
Этот указатель представляет собой адрес
конкретного объекта, для которого был вызван метод.
Использовать указатель this
для доступа к элементам класса можно, но вряд ли целесообразно, поскольку это и
так подразумевается по умолчанию. Явно использовать this
необходимо только в тех случаях, когда требуется работа непосредственно с
адресами объектов, например, при организации динамических структур данных.
Создадим программу, которая будет реализовывать
работу с классом Matrix.
Код программы
#include "stdafx.h"
#include <iostream>
#include "conio.h"
#include "math.h"
#include "time.h"namespace std;
// КЛАСС MATRIXMatrix
// конструктор по умолчанию();
// конструктор(int m, int n);
// конструктор копий(const Matrix &A);
// заполнение матрицы случайными
числамиSetMatrix();
// перегрузка оператора присваивания&
operator=(Matrix &A);
// перегрузка оператора сложенияoperator+(Matrix
&);
// перегрузка оператора умножения на
числоoperator*(const int &);
// умножение матрицы на матрицуoperator*(Matrix
&);
// транспонирование матрицы& operator^(const
Matrix &);
// перегрузка оператора вывода в
потокostream& operator<<(ostream& os, const Matrix& A);
// деструктор
~Matrix();
};
// КЛАСС VECTORVector
{*v;n;:
// конструктор(int n);
// конструктор копий(const Vector &a);
// деструктор
~Vector();
// заполнение вектора случайными
числамиSetVector();
// перегрузка оператора присваивания&
operator=(Vector &a);
// перегрузка оператора вывода в
потокostream& operator<<(ostream& os, const Vector& a);
// умножение вектора на матрицуoperator*(const
Matrix &A);
};
// Конструктор по умолчанию::Matrix()
{= NULL;
}
// Конструктор::Matrix(int _m, int _n)
{= _m;= _n;= new double*[m];(int i = 0; i <
m; i++)[i] = new double[n];(int i = 0; i < m; i++)(int j = 0; j < n; j++)
{[i][j] = 0;
}
}
// Конструктор копий::Matrix(const Matrix
&A)
{= A.m;= A.n;= new double*[m];(int i = 0; i <
m; i++)[i] = new double[n];
(int i = 0; i < m; i++)(int j = 0; j < n;
j++)
{[i][j]=A.M[i][j];
}
}
// Заполнение матрицы случайными
числамиMatrix::SetMatrix()
{(int i = 0; i < m; i++)
{(int j = 0; j < n; j++)
{[i][j]=(double)((rand()%200)-100.0);
}
}
}
// Перегрузка оператора присваивания&
Matrix::operator =(Matrix &A)
{(M!=NULL)
{(int i = 0; i < m; i++)
{[] M[i];
}[] M;
}= new double*[m];(int i = 0; i < m; i++)[i]
= new double[n];
= A.m;= A.n;(int i = 0; i < m; i++)(int j =
0; j < n; j++)[i][j] = A.M[i][j];*this;
}
// Сложение матрицMatrix::operator+(Matrix
&A)
{temp(m, n);(n!=A.n || m!=A.m)
{<<"Сложение матриц
невозможно.\n"
"Не совпадают размерности!\n"
"Программа завершила работу.\n";(0);
}
{(int i = 0; i < m; i++)(int j = 0; j < n;
j++).M[i][j] = M[i][j] + A.M[i][j];temp;
}
}
// Умножение матрицы на
числоMatrix::operator*(const int &k)
{temp(m, n);(int i = 0; i < m; i++)(int j =
0; j < n; j++).M[i][j] = M[i][j]*k;temp;
}
// Умножение матрицы на
матрицуMatrix::operator*(Matrix &A)
{temp(m, A.n);(int i = 0; i < m; i++)
{(int j = 0; j < n; j++).M[i][j] = 0;
}(n!=A.m)
{<<"Умножение матриц
невозможно.\n"
"Программа завершила работу.\n";(0);
}
{(int i = 0; i < m; i++)(int j = 0; j < n;
j++)(int k = 0; k < A.n; k++).M[i][k] += M[i][j] * A.M[j][k];
}temp;
}
// Транспонирование матрицы&
Matrix::operator ^(const Matrix &A)
{= A.m;= A.n;(int i = 0; i < m; i++)(int j =
0; j < n; j++)
{[i][j] = A.M[j][i];
}*this;
}
// Деструктор::~Matrix()
{(int i = 0; i < m; i++)
{[] M[i];
}[] M;
}
// Операция вывода&
operator<<(ostream& os, const Matrix& A)
{<<'\n';(int i = 0; i < A.m; i++)
{(int j = 0; j < A.n;
j++)<<A.M[i][j]<<"\t";<<'\n';
}os;
}
// Конструктор::Vector(int _n)
{= _n;= new double[n];
}
// Конструктор копий::Vector(const Vector
&a)
{= a.n;= new double[n];(int i = 0; i < n;
i++)[i] = a.v[i];
}
// Деструктор::~Vector()
{[] v;
}
// Заполнение вектора случайными
числамиVector::SetVector()
{= new double[n];(int i = 0; i < n; i++)
{[i]=(double)((rand()%200)-100.0);
}
}
// Перегрузка оператора присваивания&
Vector::operator =(Vector &a)
{= a.n;(int i = 0; i < n; i++)[i] =
a.v[i];*this;
}
// Умножение ветора на матрицуVector::operator*
(const Matrix &A)
{temp (A.n);(int i=0; i< A.n;
i++).v[i]=0;(int i = 0; i < A.m ; i++)(int j = 0; j < A.n; j++).v[j] +=
v[i]*A.M[i][j];temp;
}
// Операция вывода&
operator<<(ostream& os, const Vector& a)
{<<'\n';(int i = 0; i < a.n; i++)
{<<a.v[i]<<" ";<<'
';
}<<'\n';os;
}_tmain(int argc, _TCHAR* argv[])
{(LC_CTYPE,
"Russian_Russia.1251");((unsigned)time(NULL));A(3,3),B(3,3),C(3,3),D(3,3),
E(3,3), F(3,3), G(4,2), I(2,6),
H(4,6);v(3),s(3);.SetMatrix();.SetMatrix();.SetMatrix();.SetMatrix();.SetVector();<<endl<<"Матрица
А:"<<endl;<<A;<<endl<<"Матрица
B:"<<endl;<<B;= A + B;<<endl<<"Матрица
C=A+B:"<<endl;<<C;= C*3;<<endl<<"Матрица
D=C*3:"<<endl;<<D;= A*B;<<endl<<"Матрица
E=A*B:"<<endl;<<E;^A;<<endl<<"Матрица
F=At:"<<endl;<<F;<<endl<<"Матрица
G:"<<endl;<<G;<<endl<<"Матрица
I:"<<endl;<<I;=G*I;<<endl<<"Матрица
H=G*I:"<<endl;<<H;<<endl<<"Вектор
v:"<<endl;<<v;=v*A;<<endl<<"Вектор
s=v*A:"<<endl;<<s;0;
}
=
Результаты
Рис.
Проверка результатов в Mathcad
Список литературы
.Бьeрн
Страуструп. Справочное руководство по C++, 1995
.Глушаков
С.В. Программирование на С++, изд.2-е, доп. и переработ.- М.:АСТ, 2008. - 685
с.
.Харви
Дейтел, Пол Дейтел. Как программировать на С. - Бином-Пресс, 2008. - 1024 с.