Оценка эффективности инвестиционного проекта
Содержание:
Введение
. Определение свободных (договорных) цен на строительную
продукцию. Оформление расчетов между заказчиками и подрядчиками
. Денежные потоки инвестиционного проекта: порядок
определения и оценки
.1 Понятие инвестирования и инвестиционного проекта
.2 Поток платежей инвестиционного проекта
.3 Определение, виды и основные принципы оценки эффективности
инвестиционных проектов
.4 Общая схема оценки эффективности инвестиционных проектов.
Денежные потоки
.5 Методы и основные правила расчета денежного потока
инвестиционного проекта
. Практическая часть
Заключение
Список литературы
Введение
Понятие «инвестиции» стало часто употребляемым термином. Как правило, у
многих оно ассоциируется с приобретением недвижимости, антиквариата или на
уровне народного хозяйства с недостаточным их притоком в ряд отраслей. Каждое
из указанных направлений инвестирования, представляющего собой акт обмена
сегодняшнего удовлетворения определённой потребности на ожидание удовлетворить
её в будущем с помощью инвестированных благ - зданий, сооружений, оборудования
и т.п., имеет свои особенности. Эти особенности определяются, прежде всего,
привлекательностью инвестирования. Под привлекательностью инвестирования
принято понимать вложение определённого количества денег сегодня с целью
получения их большего количества в будущем. Чем больше разница между
первоначальными вложениями и будущими поступлениями, тем привлекательнее
инвестирование.
Существенную роль при обосновании необходимости инвестирования играют
цели, которые ставят пере собой инвесторы и на основе которых формируются
критерии оценки привлекательности. Цели инвестирования могут быть достаточно
разными, однако в целом их можно свести в четыре основные группы:
). Сохранение продукции на рынке;
). Расширение объёмов производства и улучшение качества продукции;
). Выпуск новой продукции;
). Решение социальных и экономических задач.
Субъектами инвестиционной деятельности могут являться отечественные и
иностранные инвесторы, заказчики, подрядчики, пользователи объектов капитальных
вложений.
Инвестирование любой деятельности, направленной на получение прибыли или
социального эффекта, требует определённой организационно-правовой, технической
и экономической документации. Такая документация формируется, как правило, под
идею объекта инвестирования и, в зависимости от условий её реализации
определяет состав инвестиционного проекта или инвестиционной программы.
В самом общем смысле инвестиционным проектом (англ. Investment project)
называется план вложения капитала в целях получения прибыли.
Целью данной работы является раскрытие понятий инвестирования,
инвестиционного проекта, его разновидностей и денежного потока инвестиционного
проекта.
1.
Определение свободных (договорных) цен на строительную продукцию. Оформление
расчетов между заказчиками и подрядчиками
инвестиционный проект
денежный поток
Завершающий этап в определении стоимости строительства - это установление
договорной цены на строительную продукцию. Согласованная и принятая инвестором
и подрядчиком сметная стоимость вида работ, объекта или их комплексов получает
правовой статус договорной цены. В отечественной практике эта цена еще
называется свободной.
Договорная цена на строительную продукцию формируется по стройке в целом
с распределением по объектам и комплексам субподрядных работ, а в необходимых
случаях и по пусковым комплексам.
Формирование свободной цены на строительную продукцию осуществляется при
подготовке к заключению договора на строительный подряд. Это первая стадия
инвестиционного цикла. К этому времени заказчик, как правило, имеет
проектно-сметную документацию, прошедшую независимую экспертизу, и согласие
подрядчика (по прямому приглашению или после победы на торгах) как исполнителя
строительства. В свою очередь, подрядчик, изучив проектную документацию,
готовит расчеты (калькуляции издержек производства, сметы) стоимости
предстоящего строительства исходя из реальных условий приобретения материальных
ресурсов, дополнительного найма работников, конъюнктуры рынка и т.п.
Таким образом, стороны имеют равные права в оценке стоимости планируемого
строительства и располагают для сравнительного анализа инвесторскими сметами
заказчика и расчетами стоимости подрядчика. Процесс формирования договорной
цены заключается в согласовании позиций сторон по всем элементам стоимости
строительной продукции и принятии обоснованного согласованного решения о
величине этой стоимости.
Инвесторскими сметами являются объектная смета с локальными сметами и
сметными расчетами к ней. Расчеты подрядчика выполняются также по типовым формам
локальных и объектных смет.
При составлении инвесторских смет и расчетов подрядчика могут применяться
различные методы, в частности ресурсный, ресурсно-индексный,
базисно-компенсационный, базисно-индексный, на основе банка данных о ранее
построенных объектах и др. Выбор конкретного метода зависит, прежде всего, от
наличия хорошо разработанной и проверенной сметно-нормативной базы. Каждая
сторона имеет право свободного выбора метода определения стоимости объекта.
Стороны приходят к согласию, если применение разных методов обеспечивает
близкую сходимость конечных результатов по стоимости объекта. Во всех случаях
предпочтение отдается более совершенной, включая фирменную, сметной нормативной
базе и ресурсному методу определения стоимости строительства.
Физические объемы строительных и монтажных работ по объекту не вызывают
разногласий сторон, так как они подсчитываются по рабочим чертежам и
прилагаемым к ним спецификациям. Отклонения, связанные с арифметическими
ошибками, приводятся в соответствие с проектными объемами работ.
Натуральные объемы расхода ресурсов на уточненные объемы строительных и
монтажных работ принимаются по данным подрядчика, поскольку они учитывают
производственные нормы затрат труда, времени использования машин и расхода
материалов, а также местные условия строительства. Показатели расхода ресурсов
отражают среднеотраслевые нормы расхода ресурсов по видам строительных и
монтажных работ.
Сложнее достигается согласие по вопросу цен на потребляемые ресурсы. Во
всех случаях более обоснованной будет позиция той стороны, которая по ценам
приобретаемых материальных ресурсов сможет представить весомые подтверждения в
виде калькуляций стоимости, счетов поставщиков и т.п.
Наибольшие противоречия сторон возникают при рассмотрении прочих затрат,
так как они могут иметь разные финансовые источники их покрытия. Поэтому
подрядчик не имеет права включать эти затраты в договорную цену. Вместе с тем
не исключаются случаи, когда заказчик может выделять дополнительные средства на
улучшение быта строителей.
При рассмотрении прочих затрат анализируются их каждый вид и применяемые
методы расчета: по укрупненным нормативам, выраженным в процентах, или по
калькуляциям. Второй метод является более убедительным.
Страхование строительного риска и резерв на непредвиденные работы и
затраты имеют разное экономическое содержание. Они не исключают друг друга, как
это нередко утверждают заказчики. Страхование риска присуще и заказчику, и
подрядчику. В этой связи оно должно быть включено в текст договора отдельной
статьей. Учет резерва зависит от вида договорной цены.
Сравнительный анализ инвесторских смет и расчетов подрядчика
заканчивается оформлением Протокола согласования свободной (договорной) цены с
указанием вида этой цены.
Договорная цена подсчитывается с налогом на добавленную стоимость,
величина которого выделяется за общим итогом.
При проведении подрядных торгов договорная цена стройки (части ее)
устанавливается после оценки и сопоставления предложений, представленных
подрядчиками, а в случаях, когда торги не проводятся, - на основании
согласования ее между заказчиком и подрядчиком.
На основании совместного решения оформляется протокол согласования
(ведомость) договорной цены на строительную продукцию, являющуюся неотъемлемой
частью договора подряда.
Принятая заказчиком и подрядчиком договорная цена на строительную
продукцию может быть пересмотрена по согласованию сторон.
Договорные цены на строительную продукцию рекомендуется формировать по
стройкам в целом с распределением по объектам и комплексам субподрядных работ,
а при необходимости - по пусковым комплексам.
После установления договорной цены на строительную продукцию и уточнения
стоимости оборудования при необходимости заказчиком вносятся коррективы в
инвесторскую смету с целью установления общего размера средств для
осуществления строительства.
За итогом договорной цены на строительную продукцию показывается
отдельной строкой сумма НДС.
При определении стоимости строительно-монтажных работ цены строительной
продукции возможны три подхода: минимальный уровень цены, определяемый
затратами, максимальный уровень цены, сформированный спросом, и оптимально
возможный уровень цены.
Существует несколько основных методов по расчету цены.
Метод «издержки плюс фиксированная прибыль» - это наиболее простой и
распространенный метод. Величина наценки, добавляемая подрядной фирмой, может
быть стандартной для каждого вида работ и дифференцироваться по видам работ, по
стоимости единицы изделия и т.д.
Метод «пробных продаж». Наиболее эффективным методом количественной
оценки «продаваемости» товара строительной продукции, строительно-монтажных
работ и услуг являются пробные предложения реализации продукции. Этот метод
используется в тех случаях, когда отсутствует необходимая информация о рынке. В
рамках строительной продукции пробные реализации могут использоваться, в первую
очередь, для строительных материалов и изделий, приобретаемых для
индивидуального, некоммерческого использования.
Цена «снятия сливок». С самого начала изготовления и появления нового
строительного товара на рынке на него устанавливается максимально высокая цена
в расчете на потребителя, готового купить этот товар по такой цене. Это
позволяет расширить зону продажи - привлечь новых потребителей.
Метод установления цен со скидками. В качестве вознаграждения
потребителей за определенные действия многие подрядные фирмы готовы изменять
свои исходные цены.
В основе ценовой политики строительной индустрии - расширение сферы
применения свободных (договорных) цен на строительную продукцию.
Свободные (договорные) цены формируются исходя из стоимости, имеющей
предварительный характер, определенной в составе сметной документации
заказчика.
Для составления инвесторских смет и расчетов могут использоваться
различные методы, среди которых ресурсный является приоритетным. Он применяется
в соответствии с рекомендациями Минстроя России.
Ресурсный метод - это калькулирование в текущих (прогнозных) ценах и
тарифах ресурсов (элементов затрат), необходимых для реализации проектного
решения. Калькулирование ведется на основе выраженной в натуральных измерителях
потребности в материалах, изделиях, конструкциях (в том числе вспомогательных),
данных о расстояниях и способах их доставки на место строительства, расхода
энергоносителей на технологические цели, времени эксплуатации строительных
машин и их состава, затрат труда рабочих.
При применении ресурсного или ресурсно-индексного метода в качестве
исходных данных для определения прямых затрат в локальных сметных расчетах
(сметах) выделяются следующие ресурсные показатели:
данные о трудоемкости работ для определения размеров оплаты труда
рабочих, выполняющих соответствующие работы и обслуживающих строительные
машины, чел.-ч;
данные о времени использования строительных машин, маш.-ч;
данные о расходе материалов, изделий, деталей и конструкций, м3, м2, т и
пр.
В составе последних данных выделяются также расход ресурсов на
транспортировку материалов, изделий, деталей и конструкций от поставщика до
приобъектного склада подрядчика, масса строительных материалов, изделий,
деталей и конструкций.
2. Денежный поток инвестиционного проекта
.1 Понятие инвестирования и инвестиционного проекта
В Федеральном Законе «Об инвестиционной деятельности в Российской
Федерации, осуществляемой в форме капитальных вложений» от 25.02.1999г. № 39-ФЗ
(ред. От 17.06.2010г.) Инвестиции представлены в виде имущественных, финансовых
и интеллектуальных ценностей, вкладываемых в объекты предпринимательских или
иных видов деятельности с целью получения прибыли (дохода).
По целевым направлениям можно выделить следующие группы инвестирования:
● Инвестиции, направленные на повышение эффективности производства.
Их цель - создание условий для снижения производственных затрат инвестора за
счёт замены оборудования на более производительное или перемещения
производственных мощностей в регионы, с более привлекательными условиями
производства и налогообложения;
● Инвестиции в расширение производства. Их цель - увеличение объёма
производства и реализации продукции;
● Инвестиции в основной капитал или капитальные вложения в основные
средства, в том числе затраты на новое строительство, расширение, реконструкцию
и техническое перевооружение действующих предприятий, приобретение машин,
оборудования, инструмента, инвентаря, проектно-изыскательские работы и др. Их
цель - повышение эффективности производства, расширение его объёмов,
номенклатуры и улучшения качества выпускаемой продукции;
● Инвестиции в создание новой или принципиально новой продукции. Их
цель - выпуск новой продукции, а так же выход на новые рынки внутренние и
внешние рынки;
● Инвестиции в создание дополнительных рабочих мест. Их цель -
снижение напряжённости социально-экономической обстановки в стране и отдельных
её регионах;
● Инвестиции, направленные на достижение стабильности в обеспечении
сырьём и полуфабрикатами производства;
● Инвестиции, направленные на охрану окружающей среды и обеспечение
безопасности выпускаемой продукции.
Понятие «инвестиционный проект» употребляется в двух смыслах:
). Как деятельность, мероприятие предполагающее осуществление комплекса
каких-либо действий, обеспечивающих достижение определённых целей;
). Как система, включающая в себя определённый набор
организационно-правовых и расчётно-финансовых документов, необходимых для
осуществления каких-либо действий или описывающих такие действия.
В целом, как указано в Федеральном законе «Об инвестиционной деятельности
в Российской Федерации, осуществляемой в форме капитальных вложений»,
инвестиционный проект - это обоснование экономической целесообразности, объёмов
и сроков осуществления капитальных вложение. При этом, для их реализации
необходима проектно-сметная документация, разработанная в соответствии с
законодательством Российской Федерации и утверждёнными в установленном порядке
стандартами (нормами и правилами), а также описание практических действий по осуществлению
инвестиций (бизнес-план).
Объекты инвестирования различаются:
▪ масштабами проекта;
▪ направленностью проекта (коммерческая, общественная, связанная с
государственными интересами и т.д.)
▪ характером и содержанием инвестиционного цикла;
▪ характером и степенью участия государства;
▪ эффективностью использования вложенных средств.
По количеству участников и степени влияния проекта на окружающий мир
инвестиционные проекты могут быть:
Малые, как правило не требуют особой проработанности технико-экономического
обоснования и связанных с ним вопросов. Вместе с тем, допущенные при
формировании проектов ошибки могут серьёзным образом сказаться на их
эффективности. Малые проекты представляют собой планы расширения производства и
увеличения ассортимента выпускаемой продукции. Их отличают сравнительно не
большие сроки реализации. К малым проектам можно отнести также создание
объектов социально-культурной сферы.
Средние - это чаще всего проекты реконструкции и технического
перевооружения существующего производства продукции. Они реализуются поэтапно,
по отдельным производствам, в строгом соответствии с заранее разработанными
графиками поступления всех видов ресурсов, включая финансовые.
Крупные - это, как правило, объекты крупных предприятий, в основе которых
лежит прогрессивно новая идея промышленного производства продукции, необходимой
для удовлетворения спроса на внутреннем и внешнем рынках.
Мегапроекты - это целевые инвестиционные программы, содержащие множество
взаимосвязанных конечным продуктом проектов. Такие программы могут быть
международными, государственными, региональными.
Международные проекты - это проекты, реализуемые заинтересованными
странами, они, как правило, отличаются значительной стоимостью и сложностью.
Инвестиционные проекты характеризуются «растянутостью» во времени: доходы
от инвестиций могут проявляться не сразу, но поступают в течение достаточно
длительного срока.
Классическим примером инвестиционного проекта является покупка
предприятием дорогостоящего оборудования с целью значительного расширения
производства. Перед тем, как новое оборудование начнёт работать, его могут в
течение нескольких месяцев настраивать и тестировать. Но зато потом оно будет
приносить прибыль многие годы.
Другим примером инвестиционного проекта является вложение денег в акции
или облигации с целью получения дивидендов или купонного дохода.
Наконец банковский вклад - это тоже пример (пусть и самый тривиальный)
инвестирования денежных средств.
В соответствии с приведёнными примерами выделяют два вида инвестиционных проектов:
• Реальные инвестиции - это инвестиции в «осязаемые» объекты, такие как
недвижимость, земельные участки, оборудование и т.д.
• Финансовые инвестиции - это инвестиции в ценные бумаги, такие, как
акции и облигации.
.2 Поток платежей инвестиционного проекта
С финансовой точки зрения все инвестиционные проекты имеют одинаковую
структуру и могут быть описаны с помощью такого понятия, как поток платежей или
денежный поток.
Поток платежей инвестиционного проекта - это совокупность планируемых
поступлений и выплат денежных средств, которые имеют непосредственное отношение
к данному проекту. Отрицательные платежи в этом потоке соответствуют вложениям
инвестора, положительные - его доходам.
В денежный поток инвестиционного проекта не включаются поступления и
выплаты, которые не являются следствием его реализации. Например, если
руководитель предприятия получал свою зарплату до реализации проекта, то он её
будет получать и после, и она не включается в денежный поток. С другой стороны,
если было приобретено новое оборудование, то, вероятно, потребуется расширение
штата рабочих. Расходы на оплату труда новых рабочих появились в следствие
реализации инвестиционного проекта, поэтому их заработная плата будет включена
в денежный поток.
Денежный поток инвестиционного проекта всегда разбивается по временным
периодам (месяцам, кварталам, годам). При этом все поступления и выплаты
денежных средств включаются в общий «платёж» того периода, когда они были
зачислены на счета предприятия или списаны с них.
Для каждого периода планирования составляются бюджеты - сметы поступлений
платежей, отражающих результаты всех операций, выполнявших в этом временном
промежутке. Сальдо такого бюджета - разность между поступлениями и платежами -
есть денежный поток инвестиционного проекта в данном периоде планирования.
Если все составляющие инвестиционного проекта будут выражены в денежной
оценке, то получится ряд значений денежных потоков, описывающих процесс
осуществления инвестиционного проекта.
В укрупненной структуре денежный поток инвестиционного проекта состоит из
следующих основных элементов:
• Инвестиционные затраты.
• выручка от реализации продукции.
• Производственные затраты.
• Налоги.
На начальной стадии осуществления проекта (инвестиционный период)
денежные потоки, как правило, оказываются отрицательными. Это отражает отток
ресурсов, происходящий в связи с созданием условий для последующей деятельности
(например, приобретением внеоборотных активов и формированием чистого
оборотного капитала). После завершения инвестиционного и начала операционного
периода, связанного с началом эксплуатации внеоборотных активов, величина
денежного потока, как правило, становится положительной.
Дополнительная выручка от реализации продукции, равно как и
дополнительные производственные затраты, возникшие в ходе осуществления
проекта, могут быть как положительными. Так и отрицательными величинами. В
первом случае это может быть связано, например, с закрытием убыточного
производства, когда спад выручки перекрывается экономией затрат. Во втором
случае, моделируется снижение затрат в результате их экономии в ходе, например,
модернизации оборудования.
Чтобы принять решение о том, стоит ли вкладывать деньги в тот или иной
инвестиционный проект, необходимо проанализировать ожидаемый результат от его
реализации. То есть, необходимо оценить, насколько денежный поток
рассматриваемого инвестиционного проекта удовлетворяет потребностям инвестора.
Существуют различные методы подобных оценок, но наиболее частыми в
применении являются так называемые дисконтные методы.
Дисконтные методы оценки - это методы, позволяющие судить об
эффективности инвестиционного проекта по значениям различных показателей, при
вычислении которых используется современная стоимость денежного потока проекта
(всего или какой-либо его части).
Так как для вычисления современной стоимости любого потока платежей
необходимо знать соответствующую ставку дисконтирования, то при использовании
дисконтных методов оценки эффективности инвестиционных проектов возникает
дополнительная проблема её определения. В общем и целом, нахождение ставки
дисконтирования является задачей даже более сложной, чем планирование будущих
денежных потоков.
Для решения этой задачи, исходя из следующего простого предположения
считается, что среди множества инвестиционных проектов, имеющих одинаковый
риск, инвестор предпочтёт проект с наибольшей доходностью. Из этого
предположения следует, что в качестве ставки дисконтирования при анализе
инвестиционного проекта следует брать максимальную доходность других доступных
инвестору проектов, имеющих такой же риск (выбранная таким образом ставка
дисконтирования называется «альтернативными издержками»). Если показатели
рассматриваемого инвестиционного проекта при выбранной ставке дисконтирования
окажутся лучше, чем у всех его альтернатив, то инвестору будет выгоднее вложить
деньги именно в него.
.3 Определение, виды и основные принципы оценки эффективности
инвестиционных проектов
Эффективность - категория, отражающая соответствие проекта целям и
интересам его участников.
Осуществление эффективных проектов увеличивает поступающий в распоряжение
общества внутренний валовой продукт, который затем делится между участвующими в
проекте субъектами (фирмами, акционерами и работниками, банками, бюджетами
разных уровней и пр.). Поступлениями и затратами этих субъектов определяются
различные виды эффективности инвестиционных проектов.
Рекомендуется оценивать следующие виды эффективности:
эффективность проекта в целом;
эффективность участия в проекте.
Эффективность проекта в целом - оценивается с целью определения
потенциальной привлекательности проекта для возможных участников и поисков
источников финансирования. Она включает в себя:
общественную (социально-экономическую) эффективность проекта;
коммерческую эффективность проекта.
Показатели общественной эффективности учитывают социально-экономические
последствия осуществления инвестиционного проекта для общества в целом, в том
числе как непосредственные результаты и затраты проекта, так и “внешние”:
затраты и результаты в смежных секторах экономики, экологические, социальные и
иные внеэкономические эффекты.
Показатели коммерческой эффективности проекта учитывают финансовые
последствия его осуществления для единственного участника, реализующего
инвестиционный проект, в предположении, что он производит все необходимые для
реализации проекта затраты и пользуется всеми его результатами.
Показатели эффективности проекта в целом характеризуется с экономической
точки зрения как технические и организационные проектные решения.
Эффективность участия в проекте определяется с целью проверки
инвестиционного проекта и заинтересованности в нём всех его участников.
Эффективность участия в проекте включает:
эффективность для предприятий-участников;
эффективность инвестирования в акции предприятия (эффективность для
акционеров);
эффективность участия в проекте структур более высокого уровня по
отношению к предприятиям-участникам инвестиционного проекта, в том числе:
• региональную и народнохозяйственную эффективность - для отдельных
регионов и народного хозяйства РФ;
• отраслевую эффективность - для отдельных отраслей народного хозяйства,
финансово-промышленных групп, объединений предприятий и холдинговых структур;
бюджетную эффективность инвестиционного проекта ( эффективность участия
государства в проекте с точки зрения расходов и доходов бюджетов всех уровней).
В основу оценок эффективности инвестиционных проектов положены следующие
основные принципы:
. Рассмотрение проекта на протяжении всего его жизненного цикла
(расчетного периода);
. Моделирование денежных потоков, включающих все связанные с
осуществлением проекта притоки и оттоки денежных средств за расчетный период;
. Сопоставимость условий сравнения различных проектов (вариантов
проекта);
. Принцип положительности и максимума эффекта. Для того, чтобы
инвестиционный проект с точки зрения инвестора был признан эффективным
необходимо, чтобы эффект от реализации проекта был положительным; при сравнении
альтернативных инвестиционных проектов предпочтение должно отдаваться проекту с
наибольшим значением эффекта;
. Учет фактора времени. При оценке эффективности проекта должны
учитываться различные аспекты фактора времени, в том числе динамичность
параметров проекта и его экономического окружения; разрывы во времени (лаги)
между производством продукции или поступлением ресурсов и их оплатой;
неравноценность разновременных затрат и/или результатов;
. Учет только предстоящих затрат и поступлений. При расчетах показателей
эффективности должны учитываться только предстоящие в ходе осуществления
проекта затраты и поступления, включая затраты, связанные с привлечением ранее
созданных производственных фондов, а также предстоящие потери, непосредственно
вызванные осуществлением проекта (например, от прекращения действующего
производства в связи с организацией на его месте нового).Ранее созданные
ресурсы, используемые в проекте, оцениваются не затратами на их создание, а
альтернативной стоимостью (opportunity cost), отражающей максимальное значение
упущенной выгоды, связанной с их наилучшим возможным альтернативным
использованием. Прошлые, уже осуществленные затраты, не обеспечивающие
возможности получения альтернативных (т.е. получаемых вне донного проекта)
доходов в перспективе (невозвратные затраты, sunk cost) в денежных потоках не
учитываются и на значения показателей эффективности не влияют;
. Учет наиболее существенных последствий проекта. При определении
эффективности инвестиционные проекты должны учитываться все последствия его
реализации, как непосредственно экономические, так и внеэкономические;
. Учет наличия разных участников проекта. Несовпадения их интересов и
различных оценок стоимости капитала, выражающихся в индивидуальных значениях
нормы дисконта;
. Многоэтапность оценки. На различных стадиях обработки и осуществления
проекта, его эффективность определяется заново, с различной глубиной
проработки;
. Учет влияния инфляции (учет изменения цен на различные виды продукции и
ресурсов в период реализации проекта);
. Учет влияния неопределённости и рисков, сопровождающих реализацию
проекта.
.4 Общая схема оценки эффективности инвестиционных проектов. Денежные
потоки
Оценка эффективности инвестиционных проектов проводится в два этапа.
На первом этапе рассчитываются показатели эффективности проекта в целом.
Цель этого этапа - агрегированная экономическая оценка проектных решений и создание
необходимых условий для поиска инвесторов. Для локальных проектов оценивается
только их коммерческая эффективность и, если она оказывается приемлемой, то
можно переходить ко второму этапу оценки.
Если источник и условия финансирования уже известны, оценку коммерческой
эффективности проекта можно не производить.
Второй этап осуществляется после выработки схемы финансирования. На этом
этапе уточняется состав участников и определяется реализуемость и эффективность
участия в проекте каждого из них. Для локальных проектов на этом этапе
определяется эффективность участия в проекте отдельных предприятий-участников,
эффективность инвестирования в акции таких акционерных предприятий.
Эффективность проекта оценивается в течение расчетного периода,
охватывающего временной интервал от начала проекта до его прекращения. Начало
расчетного периода рекомендуют устанавливать на дату вложения денежных средств
в проектно-изыскательские работы. Прекращение реализации проекта может быть
следствием:
· Исчерпания сырьевых ресурсов;
· Прекращения производства в связи с изменением требований (норм и
стандартов) к выпускаемой продукции, технологии производства или условиям труда
на данном предприятии;
· Отсутствия потребности рынка в данной продукции в связи с её моральным
устареванием или потерей конкурентоспособности;
· Износа активной части основного капитала;
· Других причин, зафиксированных в задании на разработку проекта.
Расчетный период разбивается на шаги - отрезки, в пределах которых
производится агрегирование данных, используемых для оценки
финансово-экономических показателей. Шаги расчета определяются их номерами (0,
1,…). Время в расчетном периоде измеряется в годах или долях года и
отсчитывается от фиксированного момента t0 = 0, принимаемого за базовый (обычно
в качестве базового принимается момент начала или окончания нулевого шага; при
сравнении нескольких проектов базовый момент для них рекомендуется выбирать
один и тот же). В тех случаях, когда базовым является начало нулевого шага,
момент начала шага с номером m обозначается через tm; если же базовым моментом
является конец нулевого шага, через tm обозначается конец шага с номером m.
Продолжительность разных шагов может быть различной.
При разбивке расчетного периода на шаги целесообразно учитывать:
· цель расчета (оценка различных видов эффективности, реализуемости,
мониторинга проекта для осуществления финансового управления);
· положительность различных фаз жизненного цикла проекта (необходимо
предусмотреть, чтобы моменты окончания строительства объектов или его этапов,
моменты завершения освоения вводимых производственных мощностей, а так же
моменты начала выпуска основных видов продукции и моменты замены основных
средств совпадали с концами соответствующих шагов, что позволяет проверить
финансовую реализуемость проекта на отдельных стадиях его осуществления);
· неравномерность денежных поступлений и затрат с учетом сезонности
производства;
· периодичность финансирования проекта. Шаг расчета целесообразно
выбирать таким образом, чтобы получение кредитов и займов, а так же процентные
платежи приходились на его начало и конец;
· оценку уровня неопределённости риска;
· условия финансирования (соотношение между собственными и заемными
средствами, величина и периодичность выплаты процентов за кредиты и займы, а
так же платежей за лизинг имущества).
· Изменение цен в течение шага за счет инфляции и иных факторов.
Отрезки времени, в которых прогнозируют высокие темпы инфляции (свыше 10%
в год), целесообразно разбивать на более мелкие шаги.
Время в расчетном периоде измеряют в годах или долях года и берут от
фиксированного момента t0 = 0, принимаемого за базовый. Проект, как и любая
финансовая операции, связанная с получением доходов и осуществлением расходов,
порождает денежные потоки (Cach-Flow, CF). Денежный поток проекта - это
зависимость от времени денежных поступлений и платежей при реализации при
реализации любого проекта, определяемая для всего расчетного периода.
Значение денежного потока обозначается через (t), (CFt), если оно
относится к моменту времени t, или через (m) (CFm), если он относится к шагу m.
В тех случаях, когда речь идет о нескольких потоках или о какой-то
составляющей денежного потока, указанные обозначения дополняются необходимыми
индексами.
На каждом шаге значение денежного потока характеризуется:
притоком, равным размеру денежных поступлений (или результатов в
стоимостном выражении) на этом шаге (Пm);
оттоком, равным платежам на этом шаге (Оm);
сальдо (активным балансом, эффектом), равным разнице между притоком и
оттоком (Пm - Оm).
Денежный поток (t) обычно состоит из потоков от отдельных видов
деятельности:
денежного потока от инвестиционной деятельности и(t);
денежного потока от операционной деятельности 0(t);
денежного потока от финансовой деятельности (t).
Для ряда инвестиционных проектов строго разграничить потоки по разным
видам деятельности может показаться затруднительным. В этих случаях можно
объединить некоторые (или все) потоки.
Денежные потоки могут выражаться в текущих, прогнозных и дефлированных
ценах.
Текущими называются цены без учета инфляции.
Прогнозными называются цены, ожидаемые (с учетом инфляции) на будущих
шагах расчета.
Дефлированными называются прогнозные цены, приведенные к уровню цен
фиксированного момента времени путем деления на общий базисный индекс инфляции.
Денежные потоки могут выражаться в разных валютах. Рекомендуется
учитывать денежные потоки в тех валютах, в которых они реализуются
(производятся поступления и платежи), вслед за этим приводить их к единой,
итоговой валюте.
По расчетам, представляемым в государственные органы, итоговой валютой
считается валюта Российской Федерации. При необходимости денежные потоки могут
быть выражены в дополнительной итоговой валюте.
Для оценки эффективности инвестиционных проектов, как правило,
применяются стандартные методы расчета: чистой приведенной (дисконтированной)
стоимости - NPV (net present value), срока окупаемости - PB (payback period),
индекса рентабельности - PI (profitability index) и внутренней нормы доходности
- IRR (internal rate of return). Названные показатели вычисляются на основе
плана денежного потока инвестиционного проекта.
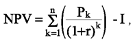
Наиболее надежным и часто используемым является метод чистой приведенной
стоимости (NPV). Он показывает разницу между суммой всех дисконтированных
денежных потоков и начальными инвестициями. Согласно теории проект принимается,
если значение NPV положительное, и отвергается, если NPV отрицательное. Этот
показатель рассчитывается следующим образом:
где r - ставка дисконтирования;- начальные инвестиции;- денежные потоки
за период с 1 по n-й год.
Другим классическим методом оценки эффективности инвестиций является
внутренняя норма доходности (IRR). IRR - это значение ставки дисконтирования,
при котором все денежные расходы по проекту равны всем денежным доходам. Иначе
говоря, IRR = r, при котором NPV = 0.
Экономический смысл этого показателя заключается в следующем. IRR
показывает ту норму доходности инвестиций, при которой для инвестора не имеет
значения - инвестировать средства в проект или нет. Согласно теории финансов
проект следует принимать только в том случае, если его IRR выше стоимости
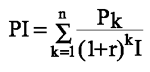
капитала. Расчет индекса рентабельности (PI) используется, когда необходимо
выбрать один проект из ряда альтернативных, имеющих примерно одинаковое
значение NPV. Индекс рентабельности определяется по формуле:
.
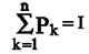
Самый популярный метод оценки инвестиций - срок окупаемости (PB). Он
показывает, через сколько лет окупятся затраты на проект: PB = N, где N - число
лет, при котором
.
Иногда сроки окупаемости рассчитываются с учетом временной стоимости
капитала, то есть с использованием дисконтирования. В этом случае: PB = N, где
N - число лет, при котором:
Под денежным потоком (cash flow) инвестиционного проекта
понимают поступления и выплаты денежных средств, связанные исключительно с
реализацией этого проекта. К денежным потокам проекта не относится движение
денежных средств, возникающее в результате текущей деятельности предприятия.
Денежный поток проекта всегда разбивается по временным периодам (месяцам,
кварталам, годам). При этом все платежи и поступления денежных средств
включаются в денежный поток того периода, когда они были зачислены на денежные
счета или списаны с них, независимо от того, к какому периоду относятся
соответствующие затраты или доходы.
Информация о денежных потоках по проекту обычно представляется в виде
плана, который называют прогнозным отчетом о движении денежных средств. На
основе этого плана, который составляется за каждый период отдельно, и
формируется денежный поток всего инвестиционного проекта.
План денежного потока, или прогнозный отчет о движении денежных средств,
состоит из трех частей: денежные потоки от операционной (текущей) деятельности
предприятия, от инвестиционной деятельности и связанные с финансовой
деятельностью.
В первой части отражаются поступления денежных средств от реализации
товаров, работ и услуг, а также авансов от покупателей и заказчиков. В качестве
оттока денежных средств показываются платежи за сырье, материалы, коммунальные
платежи, выплаты заработной платы, уплаченные налоги и сборы и т. д.
Во второй части показываются денежные потоки, связанные с приобретением и
продажей имущества долгосрочного пользования, то есть основных средств и
нематериальных активов.
Финансовая деятельность предполагает притоки и оттоки денежных средств по
кредитам, займам, эмиссии ценных бумаг и т. д.
Чистый денежный поток - это сумма денежных потоков от операционной,
инвестиционной и финансовой деятельности. Другими словами, это разница между
суммой всех поступлений денежных средств и суммой всех платежей за один и тот
же период. Именно чистые денежные потоки различных периодов дисконтируются при
оценке эффективности проекта. План денежного потока можно составлять двумя
способами. Рассмотрим подробнее каждый из них.
.5 Методы и основные правила расчета денежного потока инвестиционного
проекта
Существует два метода построения денежного потока - прямой и косвенный.
При использовании плана денежного потока прямым методом суммируются данные о
предполагаемой выручке и вычитаются все планируемые денежные затраты. В общем,
прямой метод удобнее, чем косвенный. Его недостаток заключается в том, что он
не раскрывает взаимосвязи полученного финансового результата (прибыли или
убытка) и изменения денежных средств на счетах предприятия. Эту взаимосвязь
позволяет установить косвенный метод.
При использовании косвенного метода финансовый результат, полученный по
данным бухгалтерского учета (прибыль или убыток), нужно преобразовать с помощью
ряда корректировочных процедур в величину изменения денежных средств за период.
На практике косвенный метод используется гораздо реже, чем прямой, так
как показатели, необходимые для построения плана денежного потока этим методом,
сложнее спрогнозировать. В международных стандартах финансовой отчетности (IAS
7) для планирования рекомендуется использовать прямой метод. Косвенный метод
применяют, когда отсутствуют прогнозные значения выручки и всех денежных расходов,
но есть достаточно точный прогноз финансового результата. Каким бы способом ни
рассчитывался план денежного потока, на этой стадии всегда существует
вероятность серьезных ошибок.
В отличие от показателей эффективности инвестиционного проекта, которые
рассчитываются по четко определенному алгоритму, как правило, с использованием
компьютерных программ, денежный поток прогнозируется на основе исходных данных,
предоставленных специалистами компании или внешними консультантами. А людям,
как известно, свойственно ошибаться. Впрочем, если при оценке денежного потока
соблюдать ряд несложных правил, количество ошибок можно свести к минимуму:
Правило 1. При расчете плана денежного потока инвестиционного проекта
важно учесть все денежные потоки, возникающие в ходе реализации проекта.
Нарушение этого правила - самая распространенная ошибка.
Правило 2. При расчете денежного потока не должны приниматься во внимание
неденежные расходы, такие как амортизация, начисленные, но не оплаченные
расходы, включаемые в состав кредиторской и дебиторской задолженности.
Правило 3. Затраты, которые уже произведены в рамках проекта (например,
на подготовку документации, изучение технических и экономических вопросов и т.
д.), в план денежного потока не включаются, поскольку не влияют на будущие
притоки и оттоки денежных средств компании.
Правило 4. На первом этапе при оценке инвестиционной привлекательности
проекта в целом потоки, связанные с финансированием самого проекта, из расчетов
следует исключить, чтобы определить эффективность проекта как такового и не
усложнять расчеты. Но на втором этапе любой финансовый менеджер будет оценивать
доходность проекта с учетом всех источников финансирования. Важный вопрос - как
при этом оценивать процентные выплаты по кредитам. Это можно сделать двумя
способами.
Первый из них заключается в следующем: если вы включили в расчет
денежного потока выплату процентов по кредиту (отток), то ставка
дисконтирования, используемая при расчете, должна быть выбрана без учета
стоимости заемных средств. В противном случае стоимость кредита будет учтена
дважды - в виде процентных выплат и в процессе дисконтирования, в результате
чего эффективность проекта будет занижена.
Другой способ состоит в том, что проценты по кредиту (а также получение и
возврат самого кредита) не включаются в план денежного потока, но ставка
дисконтирования выбирается с учетом не только инфляции и риска, но и
средневзвешенной стоимости капитала2. При расчете средневзвешенной стоимости
капитала учитывается стоимость собственных и заемных средств (по кредитам -
проценты, по собственному капиталу - дивиденды).
Правило 5. Рассчитывая денежные потоки инвестиционного проекта, особое
внимание следует уделять реалистичности оценки денежных поступлений. По мнению
сотрудников отделов кредитования банков, большинство ошибок компаний, желающих
получить кредит для финансирования инвестиционного проекта, связано с неверной
оценкой предполагаемых стоимостей реализации и объемов сбыта (причем денежный
поток обычно завышается).
Заключение
В настоящей работе мы рассмотрели понятие инвестирования и
инвестиционного проекта, потока платежей инвестиционного проекта, основные виды
и принципы оценки эффективности инвестиционного проекта, а так же общую схему
оценки эффективности инвестиционного проекта. Для оценки эффективности
инвестиционных проектов используются денежные потоки инвестиционного проекта и
денежные потоки для отдельных участников проекта.
От того, насколько точно рассчитан экономический эффект инвестиционного
проекта, во многом зависит будущий успех компании. При этом одной из самых
сложных задач является правильная оценка ожидаемого денежного потока. Если его
рассчитать неправильно, то любой метод оценки инвестиционного проекта даст
неверный результат, из-за чего эффективный проект может быть отвергнут как убыточный,
а экономически невыгодный принят за сверхприбыльный. Именно поэтому важно
грамотно составить план денежного потока компании.
Также мы рассмотрели ряд правил, следуя которым можно избежать многих
ошибок при расчете денежного потока инвестиционного проекта и более точно
оценить эффективность своих вложений.
Составление плана денежного потока можно назвать творческим процессом.
Это самая сложная часть расчетов, потому что она связана с прогнозированием и
занимает более 50% работы. Необходимо учесть результаты маркетинговых
исследований, оценить прогнозы цен на продукцию, ресурсы, составить план
поступления и расходования денежных средств и т.д. А такие факторы, как,
например, изменение законодательства и др., спрогнозировать невозможно
3. Практическая
часть
Таблица 1
Данные предпроектной оценки рассматриваемого инвестиционного проекта
|
№ п/п
|
Показатели
|
Величина показателя
|
|
|
Начальный период инвестирования (t=0)
|
К концу первого года (t=1)
|
К концу второго года (t=2)
|
К концу третьего года (t=3)
|
|
1
|
2
|
3
|
4
|
5
|
6
|
|
1
|
Стоимость приобретения и установки необходимых основных
фондов, тыс. руб.:
|
594000
|
270000
|
|
|
|
|
Среднегодовая ставка инфляции - 18%
|
|
|
|
|
|
2
|
Необходимое в связи с инвестицией увеличение в оборотных
средствах (капитале), тыс. руб.:
|
63504
|
|
23814
|
|
|
|
Среднегодовая ставка инфляции - 20%
|
|
|
|
|
|
3
|
Выручка от продажи заменяемых основных фондов, тыс. руб.:
|
|
79380
|
|
|
|
|
Среднегодовая ставка инфляции - 13%
|
|
|
|
|
|
4
|
Стоимость лома (скраба) и деталей от ликвидации заменяемых
основных фондов, тыс. руб.:
|
9526
|
|
|
|
|
5
|
Налоговые отчисления, связанные с продажей существующих
основных фондов и их заменой новыми активами, тыс. руб.:
|
|
6412
|
|
|
|
|
Среднегодовая ставка инфляции - 13%
|
|
|
|
|
|
6
|
Стоимость демонтажа старого оборудования, тыс. руб.:
|
397
|
1905
|
|
|
|
|
Среднегодовая ставка инфляции - 20%
|
|
|
|
|
|
7
|
Поступления выручки от реализации продукции (работ, услуг),
тыс. руб.:
|
|
1109306
|
1644977
|
1822639
|
|
|
Среднегодовая ставка инфляции - 15%
|
|
|
|
|
|
8
|
Прочие доходы, ассоциируемые с данным проектом, тыс. руб.:
|
|
-
|
-
|
-
|
|
9
|
Стоимость сырья, материалов и полуфабрикатов, тыс. руб.:
|
|
389958
|
474688
|
491225
|
|
|
Среднегодовая ставка инфляции - 20%
|
|
|
|
|
|
10
|
Трудовые затраты, тыс. руб.:
|
|
259972
|
316458
|
327483
|
|
|
Среднегодовая ставка инфляции - 15%
|
|
|
|
|
|
11
|
Накладные расходы, тыс. руб.:
|
|
149722
|
149722
|
149722
|
|
|
Среднегодовая ставка инфляции - 15%
|
|
|
|
|
|
12
|
Прочие расходы, тыс. руб.:
|
|
10208
|
54444
|
10208
|
|
|
Среднегодовая ставка инфляции - 12%
|
|
|
|
|
|
13
|
Выручка от продаж или стоимость лома и деталей (в случае
ликвидации) основных фондов, относящихся к данному инвестиционному проекту
(за вычетом расходов на демонтаж и налогов), тыс. руб.:
|
|
|
|
217778
|
|
|
Среднегодовая ставка инфляции - 13%
|
|
|
|
|
|
14
|
Амортизация основных фондов, тыс. руб.:
|
|
215407
|
215407
|
215407
|
|
15
|
Ставка налога на прибыль предприятия, %
|
|
24
|
24
|
24
|
|
16
|
Размер лизинговых платежей, руб.
|
|
352207
|
352207
|
352207
|
I. Оценка эффективности проекта по показателям чистой текущей стоимости в
конце срока реализации, внутренней нормы доходности, дисконтированного срока
окупаемости, индекса рентабельности.
Порядок расчета чистой текущей стоимости долгосрочной инвестиции в
условиях дифференцированного воздействия инфляции на различные составные части
проектного денежного потока представлен в таблице 2.
Таблица 2
Порядок расчета чистой текущей стоимости долгосрочной инвестиции в условиях
дифференцированного воздействия инфляции на различные составные части
проектного денежного потока
|
№ п/п
|
Показатели
|
Период времени
|
|
|
Начальный период инвестирования (t=0)
|
К концу первого года (t=1)
|
К концу второго года (t=2)
|
К концу третьего года (t=3)
|
|
1
|
2
|
3
|
4
|
5
|
6
|
|
1
|
Стоимость приобретения и установки необходимых основных
фондов, тыс. руб.
|
594000
|
318600
|
0
|
0
|
|
2
|
Необходимое в связи с инвестицией увеличение в оборотных
средствах (капитале), тыс. руб.
|
63504
|
34292
|
0
|
|
3
|
Выручка от продажи заменяемых основных фондов, тыс. руб.
|
0
|
89699
|
0
|
0
|
|
4
|
Стоимость лома (скраба) и деталей от ликвидации заменяемых
основных фондов, тыс. руб.
|
9526
|
0
|
0
|
0
|
|
5
|
Налоговые отчисления, связанные с продажей существующих
основных фондов и их заменой новыми активами, тыс. руб.
|
0
|
7246
|
0
|
0
|
|
6
|
Стоимость демонтажа старого оборудования, тыс. руб.
|
397
|
2286
|
0
|
0
|
|
7
|
Совокупные инвестиционные затраты, тыс. руб.
(стр.1+стр.2-стр.3-стр.4+стр.5+стр.6)
|
648375
|
238433
|
34292
|
0
|
|
8
|
Поступления выручки от реализации продукции (работ, услуг),
тыс. руб.
|
0
|
1275702
|
2175482
|
2272006
|
|
9
|
Прочие доходы, ассоциируемые с данным проектом, тыс. руб.
|
0
|
0
|
0
|
0
|
|
10
|
Итого поступления, тыс. руб. (стр.8+стр.9)
|
0
|
1275702
|
2175482
|
2272006
|
|
11
|
Стоимость сырья, материалов и полуфабрикатов, тыс. руб.
|
0
|
467950
|
683551
|
848837
|
|
12
|
Трудовые затраты, тыс. руб.
|
0
|
298968
|
418516
|
498061
|
|
13
|
Накладные расходы, тыс. руб.
|
0
|
172180
|
198007
|
227708
|
|
14
|
Прочие расходы, тыс. руб.
|
0
|
11433
|
68295
|
14342
|
|
15
|
Итого затраты на выпуск продукции (работ, услуг) без учета
амортизации, тыс. руб. (стр.11+стр.12+стр.13+стр.14)
|
0
|
950531
|
1368369
|
1588948
|
|
16
|
Выручка от продаж или стоимость лома и деталей (в случае
ликвидации) основных фондов, относящихся к данному инвестиционному проекту
(за вычетом расходов на демонтаж и налогов), тыс. руб.
|
0
|
0
|
0
|
314231
|
|
17
|
Амортизация основных фондов, тыс. руб.
|
0
|
215407
|
215407
|
215407
|
|
18
|
Прибыль от реализации продукции (работ, услуг), тыс. руб.
(стр.10+стр. 16--стр.15-стр.17)
|
0
|
109764
|
591706
|
781882
|
|
19
|
Ставка налога на прибыль предприятия, %
|
0
|
24
|
24
|
24
|
|
20
|
Сумма налога с прибыли предприятия, тыс. руб.
(стр.18·стр.19:100)
|
0
|
26343
|
142009
|
187652
|
|
21
|
Денежный приток, связанный с ликвидацией оборотного
капитала (данные стр.2), тыс.р.уб
|
-
|
-
|
-
|
960523
|
|
22
|
Итого чистые денежные потоки, тыс. руб.
|
-648375
|
60395
|
630812
|
1770160
|
|
(стр.10-стр.15-стр.20-стр.7+стр.21+стр.16)
|
|
|
|
|
|
23
|
Номинальная дисконтная ставка данного проекта
|
0
|
0,288
|
0,288
|
0,288
|
|
24
|
Проектный дисконтный фактор
|
1
|
0,78
|
0,60
|
0,47
|
|
25
|
Текущая стоимость чистых денежных потоков, тыс. руб.
(стр.22·стр.24)
|
-648375
|
47108
|
378487
|
831975
|
|
26
|
Чистая текущая стоимость (NPV) проектного денежного потока,
тыс. руб. (по строке 25: (гр. 3+гр.4 + гр.5 + гр.6))
|
609195
|
Взаимосвязь между реальной и номинальной дисконтными ставками можно
оценить с использованием следующей модели зависимости:
где
rn - номинальная дисконтная ставка;
r - реальная
дисконтная ставка;
i - ожидаемая
ставка инфляции.
Предполагаемый
срок реализации - 3 года.
Реальная
дисконтная ставка инвестиционного проекта составляет 12% в год. А ставка
инфляции, характеризующая рост цен на кредитные ресурсы - 15%.
Следовательно,
.
Срок
окупаемости инвестиционного проекта определяет продолжительность периода
времени, необходимого для возмещения начальных инвестиционных затрат из чистых
денежных потоков. В ходе расчета дисконтированного срока окупаемости (DPB)
оценивается период, за который кумулятивная текущая стоимость чистых денежных
потоков достигает величины начальных инвестиционных затрат (Io).
Следовательно,
срок окупаемости равен
DPB=2+
года или 2 года 3 месяца и 6 дней.
Внутренняя
норма рентабельности (IRR) представляет собой процентную ставку r,
которая делает текущую стоимость проектных денежных потоков равной начальным
инвестиционным затратам. Таким образом, IRR приравнивает
проектную NPV нулю. Считается, что если внутренняя норма
рентабельности превосходит цену капитала, следует принять проект, в противном
случае он должен быть отвергнут.
Данный
показатель определим с помощью финансовой функции ВСД в программе Excel
|
Начальный период инвестирования (t=0)
|
К концу первого года (t=1)
|
К концу второго года (t=2)
|
К концу третьего года (t=3)
|
|
Чистые денежные потоки, тыс. руб.
|
-648375
|
60395
|
630812
|
1770160
|
|
Внутренняя норма рентабельности (IRR)
|
0,63
|
Так как ставка дисконтирования (28,8%) ниже внутренней нормы
рентабельности IRR (63,0%), то вложенный в проект капитал принесет
положительное значение NPV, следовательно проект можно принять.
Среди показателей эффективности долгосрочного инвестирования особое место
занимает индекс рентабельности (PI).
Он равен отношению текущей стоимости будущих денежных потоков (PVCF) к текущей стоимости инвестиционных
затрат (PVI), и определяется по формуле:
или
Следовательно,
> 1.
Таблица 3
Анализ чувствительности проектной NPV
|
Показатели
|
Значения показателей
|
Величина проектной NPV по каждому сценарию
|
|
пессимистическое
|
ожидаемое
|
оптимистическое
|
Пессим.
|
Оптим.
|
|
t=0
|
t=1
|
t=2
|
t=3
|
t=0
|
t=1
|
t=2
|
t=3
|
t=0
|
t=1
|
t=2
|
t=3
|
|
|
|
Объем реализации за год, руб
|
|
1020562
|
1740386
|
1817605
|
|
1275702
|
2175482
|
2272006
|
|
1849768
|
3154449
|
3294409
|
16454
|
2843709
|
|
Годовые переменные затраты , тыс.руб.
|
|
820602
|
1179212
|
1441181
|
|
766918
|
1102067
|
1346898
|
|
713234
|
1024922
|
1252615
|
715293
|
3014795
|
|
Постоянные затраты за год, тыс.руб.
|
|
458873
|
553965
|
526076
|
|
399020
|
481709
|
457457
|
|
331187
|
399818
|
535225
|
733824
|
941065
|
|
Единовременные инвестиционные затраты, тыс.руб.
|
778050
|
286120
|
41150
|
|
648375
|
238433
|
34292
|
|
|
|
|
|
756704
|
|
|
Ставка налога на прибыль, коэф.
|
|
|
|
|
|
0,24
|
0,24
|
0,24
|
|
|
|
|
|
|
|
Дисконтная ставка
|
1,2
|
0,94
|
0,72
|
0,56
|
1
|
0,78
|
0,60
|
0,47
|
|
|
|
|
886379
|
|
|
Чистая текущая стоимость, тыс.руб.
|
-93366
|
-288204
|
-24438
|
-83805
|
|
|
|
|
|
|
|
|
X
|
X
|
Таблица 3.1
Расчет величины проектной NPV при пессимистическом значении объема
реализации за год
|
Показатели
|
Значение показателей в t-oм
периоде
|
|
Начальный период инвестирования (t=0)
|
К концу первого года (t=1)
|
К концу второго года (t=2)
|
К концу третьего года (t=3)
|
|
1
|
2
|
3
|
4
|
5
|
|
1. Годовой объем реализации, тыс. руб.
|
|
1020562
|
1740386
|
1817605
|
|
2. Годовые переменные издержки, тыс. руб.
|
|
766918
|
1102067
|
1346898
|
|
3. Годовые условно-постоянные затраты, тыс. руб.
|
|
399020
|
481709
|
457457
|
|
4. Срок реализации, лет
|
0
|
1
|
2
|
3
|
|
5. Величина амортизации ОФ за год, тыс. руб.
|
0
|
215407
|
215407
|
215407
|
|
6. Начальные инвестиционные затраты, тыс. руб.
|
648375
|
-
|
-
|
-
|
|
7. Дисконтная ставка
|
0
|
0,288
|
0,288
|
0,288
|
|
8. Фактор текущей стоимости, коэф.
|
1
|
0,78
|
0,60
|
0,47
|
|
9. Ставка налога на прибыль, коэф.
|
0
|
0,24
|
0,24
|
0,24
|
|
10. Годовая величина налоговых платежей
(стр.1-стр.2-стр.3)·стр.9), тыс. руб.
|
|
-34890
|
37586
|
3180
|
|
11. Чистый денежный поток (стр.1-стр.2-стр.3-стр.10+стр.5),
тыс. руб.
|
|
104921
|
334431
|
225477
|
|
12. Чистая текущая стоимость нарастающим итогом
|
-648375
|
-543454
|
-209023
|
16454
|
Вывод: инвестиционный проект можно считать эффективным, так как:
. Чистая текущая стоимость проектного денежного потока положительна
(NPV=609195 > 0)
. Срок окупаемости меньше установленного инвесторами нормативного
промежутка времени (DPB =2,27<3).
. Внутренней нормы рентабельности IRR больше ставки дисконтирования
(63%>28,8%).
. Индекс рентабельности больше 1 (PI=1,66 > 1).
II. Определение чувствительности проектной чистой текущей стоимости к
изменениям в оценке базовых показателей по их наилучшим и наихудшим значениям
Анализ чувствительности проектной NPV представлен в таблице 3. Расчет
величины проектной NPV по каждому сценарию представлен в таблицах 3.1-3.8.
Таблица 3.2
Расчет величины проектной NPV при оптимистическом значении объема
реализации за год
|
Показатели
|
Значение показателей в t-oм
периоде
|
|
Начальный период инвестирования (t=0)
|
К концу первого года (t=1)
|
К концу второго года (t=2)
|
К концу третьего года (t=3)
|
|
1
|
2
|
4
|
5
|
|
1. Годовой объем реализации, тыс. руб.
|
|
1849768
|
3154449
|
3294409
|
|
2. Годовые переменные издержки, тыс. руб.
|
|
766918
|
1102067
|
1346898
|
|
3. Годовые условно-постоянные затраты, тыс. руб.
|
|
399020
|
481709
|
457457
|
|
4. Срок реализации, лет
|
0
|
1
|
2
|
3
|
|
5. Величина амортизации ОФ за год, тыс. руб.
|
0
|
215407
|
215407
|
215407
|
|
6. Начальные инвестиционные затраты, тыс. руб.
|
648375
|
-
|
-
|
-
|
|
7. Дисконтная ставка
|
0
|
0,288
|
0,288
|
0,288
|
|
8. Фактор текущей стоимости, коэф.
|
1
|
0,78
|
0,60
|
0,47
|
|
9. Ставка налога на прибыль, коэф.
|
0
|
0,24
|
0,24
|
0,24
|
|
10. Годовая величина налоговых платежей
(стр.1-стр.2-стр.3)·стр.9), тыс. руб.
|
|
164119
|
376962
|
357613
|
|
11. Чистый денежный поток (стр.1-стр.2-стр.3-стр.10+стр.5),
тыс. руб.
|
|
735118
|
1409118
|
1347848
|
|
12. Чистая текущая стоимость нарастающим итогом
|
-648375
|
86743
|
1495861
|
2843709
|
Таблица 3.3
Расчет величины проектной NPV при пессимистическом значении годовых
переменных затрат
|
Показатели
|
Значение показателей в t-oм
периоде
|
|
Начальный период инвестирования (t=0)
|
К концу первого года (t=1)
|
К концу второго года (t=2)
|
К концу третьего года (t=3)
|
|
1
|
2
|
3
|
4
|
5
|
|
1. Годовой объем реализации, тыс. руб.
|
|
1275702
|
2175482
|
2272006
|
|
2. Годовые переменные издержки, тыс. руб.
|
|
820602
|
1179212
|
1441181
|
|
3. Годовые условно-постоянные затраты, тыс. руб.
|
|
399020
|
481709
|
457457
|
|
4. Срок реализации, лет
|
0
|
1
|
2
|
3
|
|
5. Величина амортизации ОФ за год, тыс. руб.
|
0
|
215407
|
215407
|
215407
|
|
6. Начальные инвестиционные затраты, тыс. руб.
|
648375
|
-
|
-
|
-
|
|
7. Дисконтная ставка
|
0
|
0,288
|
0,288
|
0,288
|
|
8. Фактор текущей стоимости, коэф.
|
1
|
0,78
|
0,60
|
0,47
|
|
9. Ставка налога на прибыль, коэф.
|
0
|
0,24
|
0,24
|
0,24
|
|
10. Годовая величина налоговых платежей
(стр.1-стр.2-стр.3)·стр.9), тыс. руб.
|
|
13459
|
123495
|
89608
|
|
11. Чистый денежный поток (стр.1-стр.2-стр.3-стр.10+стр.5),
тыс. руб.
|
|
258028
|
606473
|
499167
|
|
12. Чистая текущая стоимость нарастающим итогом
|
-648375
|
-390347
|
216126
|
715293
|
Таблица 3.4
Расчет величины проектной NPV при оптимистическом значении годовых
переменных затрат
|
Показатели
|
Значение показателей в t-oм
периоде
|
|
Начальный период инвестирования (t=0)
|
К концу первого года (t=1)
|
К концу второго года (t=2)
|
К концу третьего года (t=3)
|
|
1
|
2
|
3
|
4
|
5
|
|
1. Годовой объем реализации, тыс. руб.
|
|
1849768
|
3154449
|
3294409
|
|
2. Годовые переменные издержки, тыс. руб.
|
|
713234
|
1024922
|
1252615
|
|
3. Годовые условно-постоянные затраты, тыс. руб.
|
|
399020
|
481709
|
457457
|
|
4. Срок реализации, лет
|
0
|
1
|
2
|
3
|
|
5. Величина амортизации ОФ за год, тыс. руб.
|
0
|
215407
|
215407
|
215407
|
|
6. Начальные инвестиционные затраты, тыс. руб.
|
648375
|
-
|
-
|
-
|
|
7. Дисконтная ставка
|
0
|
0,288
|
0,288
|
0,288
|
|
8. Фактор текущей стоимости, коэф.
|
1
|
0,78
|
0,60
|
0,47
|
|
9. Ставка налога на прибыль, коэф.
|
0
|
0,24
|
0,24
|
0,24
|
|
10. Годовая величина налоговых платежей
(стр.1-стр.2-стр.3)·стр.9), тыс. руб.
|
|
177003
|
395476
|
380241
|
|
11. Чистый денежный поток (стр.1-стр.2-стр.3-стр.10+стр.5),
тыс. руб.
|
|
775918
|
1467749
|
1419503
|
|
12. Чистая текущая стоимость нарастающим итогом
|
-648375
|
127543
|
1595292
|
3014795
|
Таблица 3.5
Расчет величины проектной NPV при пессимистическом значении годовых
постоянных затрат
|
Показатели
|
Значение показателей в t-oм
периоде
|
|
Начальный период инвестирования (t=0)
|
К концу первого года (t=1)
|
К концу второго года (t=2)
|
К концу третьего года (t=3)
|
|
1
|
2
|
3
|
4
|
5
|
|
1. Годовой объем реализации, тыс. руб.
|
|
1275702
|
2175482
|
2272006
|
|
2. Годовые переменные издержки, тыс. руб.
|
|
766918
|
1102067
|
1346898
|
|
3. Годовые условно-постоянные затраты, тыс. руб.
|
|
458873
|
553965
|
526076
|
|
4. Срок реализации, лет
|
0
|
1
|
2
|
3
|
|
5. Величина амортизации ОФ за год, тыс. руб.
|
0
|
215407
|
215407
|
215407
|
|
6. Начальные инвестиционные затраты, тыс. руб.
|
648375
|
-
|
-
|
-
|
|
7. Дисконтная ставка
|
0
|
0,288
|
0,288
|
0,288
|
|
8. Фактор текущей стоимости, коэф.
|
1
|
0,78
|
0,60
|
0,47
|
|
9. Ставка налога на прибыль, коэф.
|
0
|
0,24
|
0,24
|
0,24
|
|
10. Годовая величина налоговых платежей
(стр.1-стр.2-стр.3)·стр.9), тыс. руб.
|
|
11979
|
124668
|
95768
|
|
11. Чистый денежный поток (стр.1-стр.2-стр.3-стр.10+стр.5),
тыс. руб.
|
|
253339
|
610189
|
518671
|
|
12. Чистая текущая стоимость нарастающим итогом
|
-648375
|
-395036
|
215153
|
733824
|
Таблица 3.6
Расчет величины проектной NPV при оптимистическом значении годовых
постоянных затрат
|
Показатели
|
Значение показателей в t-oм
периоде
|
|
Начальный период инвестирования (t=0)
|
К концу первого года (t=1)
|
К концу второго года (t=2)
|
К концу третьего года (t=3)
|
|
1
|
2
|
3
|
4
|
5
|
|
1. Годовой объем реализации, тыс. руб.
|
|
1275702
|
2175482
|
2272006
|
|
2. Годовые переменные издержки, тыс. руб.
|
|
766918
|
1102067
|
1346898
|
|
3. Годовые условно-постоянные затраты, тыс. руб.
|
|
331187
|
399818
|
535225
|
|
4. Срок реализации, лет
|
0
|
1
|
2
|
3
|
|
5. Величина амортизации ОФ за год, тыс. руб.
|
0
|
215407
|
215407
|
215407
|
|
6. Начальные инвестиционные затраты, тыс. руб.
|
648375
|
-
|
-
|
-
|
|
7. Дисконтная ставка
|
0
|
0,288
|
0,288
|
0,288
|
|
8. Фактор текущей стоимости, коэф.
|
1
|
0,78
|
0,60
|
0,47
|
|
9. Ставка налога на прибыль, коэф.
|
0
|
0,24
|
0,24
|
0,24
|
|
10. Годовая величина налоговых платежей
(стр.1-стр.2-стр.3)·стр.9), тыс. руб.
|
|
42623
|
161663
|
93572
|
|
11. Чистый денежный поток (стр.1-стр.2-стр.3-стр.10+стр.5),
тыс. руб.
|
|
350381
|
727341
|
511178
|
|
12. Чистая текущая стоимость нарастающим итогом
|
-648375
|
-297994
|
429347
|
941065
|
Таблица 3.7
Расчет величины проектной NPV при пессимистическом значении
единовременных инвестиционных затрат
|
Показатели
|
Значение показателей в t-oм
периоде
|
|
Начальный период инвестирования (t=0)
|
К концу первого года (t=1)
|
К концу второго года (t=2)
|
К концу третьего года (t=3)
|
|
1
|
2
|
3
|
4
|
5
|
|
1. Годовой объем реализации, тыс. руб.
|
|
1275702
|
2175482
|
2272006
|
|
2. Годовые переменные издержки, тыс. руб.
|
|
766918
|
1102067
|
1346898
|
|
3. Годовые условно-постоянные затраты, тыс. руб.
|
|
399020
|
481709
|
457457
|
|
4. Срок реализации, лет
|
1
|
2
|
3
|
|
5. Величина амортизации ОФ за год, тыс. руб.
|
0
|
215407
|
215407
|
215407
|
|
6. Начальные инвестиционные затраты, тыс. руб.
|
778050
|
-
|
-
|
-
|
|
7. Дисконтная ставка
|
0
|
0,288
|
0,288
|
0,288
|
|
8. Фактор текущей стоимости, коэф.
|
1
|
0,78
|
0,60
|
0,47
|
|
9. Ставка налога на прибыль, коэф.
|
0
|
0,24
|
0,24
|
0,24
|
|
10. Годовая величина налоговых платежей
(стр.1-стр.2-стр.3)·стр.9), тыс. руб.
|
|
26343
|
142009
|
112236
|
|
11. Чистый денежный поток (стр.1-стр.2-стр.3-стр.10+стр.5),
тыс. руб.
|
|
298828
|
665104
|
570822
|
|
12. Чистая текущая стоимость нарастающим итогом
|
-778050
|
-479222
|
185882
|
756704
|
Таблица 3.8
Расчет величины проектной NPV при пессимистическом значении ставки
дисконтирования
|
Показатели
|
Значение показателей в t-oм
периоде
|
|
Начальный период инвестирования (t=0)
|
К концу первого года (t=1)
|
К концу второго года (t=2)
|
К концу третьего года (t=3)
|
|
1
|
2
|
3
|
4
|
5
|
|
1. Годовой объем реализации, тыс. руб.
|
|
1275702
|
2175482
|
2272006
|
|
2. Годовые переменные издержки, тыс. руб.
|
|
766918
|
1102067
|
1346898
|
|
3. Годовые условно-постоянные затраты, тыс. руб.
|
|
399020
|
481709
|
457457
|
|
4. Срок реализации, лет
|
0
|
1
|
2
|
3
|
|
5. Величина амортизации ОФ за год, тыс. руб.
|
0
|
215407
|
215407
|
215407
|
|
6. Начальные инвестиционные затраты, тыс. руб.
|
648375
|
-
|
-
|
-
|
|
7. Дисконтная ставка
|
0
|
0,288
|
0,288
|
0,288
|
|
8. Фактор текущей стоимости, коэф.
|
1,2
|
0,94
|
0,72
|
0,56
|
|
9. Ставка налога на прибыль, коэф.
|
0
|
0,24
|
0,24
|
0,24
|
|
10. Годовая величина налоговых платежей
(стр.1-стр.2-стр.3)·стр.9), тыс. руб.
|
|
26343
|
142009
|
112236
|
|
11. Чистый денежный поток (стр.1-стр.2-стр.3-стр.10+стр.5),
тыс. руб.
|
|
298828
|
665104
|
570822
|
|
12. Чистая текущая стоимость нарастающим итогом
|
-648375
|
-349547
|
315557
|
886379
|
Таким образом, анализ чувствительности проектной NPV, показал:
. по пессимистическому варианту:
наибольшее значение чистая текущая стоимость проектных денежных потоков
принимает при увеличении дисконтной ставки на 40%.
наименьшее значение чистая текущая стоимость проектных денежных потоков
принимает при уменьшении объема реализации в год на 20%.
. по оптимистическому варианту:
наибольшее значение чистая текущая стоимость проектных денежных потоков
принимает при уменьшении годовых переменных затрат на 7%.
наименьшее значение чистая текущая стоимость проектных денежных потоков
принимает при уменьшении постоянных затрат за год на 17%.
III. Оценивание эффективности вариантов финансирования проекта путем
приобретения оборудования по договору лизинга и за счет привлечения банковского
кредита.
Размеры лизинговых платежей определены по упрощенной схеме с учетом
следующих допущений: ускоренная амортизация лизингового имущества не
применяется; ремонт и обслуживание оборудования производится лизингополучателем
самостоятельно за счет собственных средств; стоимость оборудования и расходы на
установку снижаются на 5%; проценты за кредит, полученный лизингодателем на
приобретение имущества, составляют 20% годовых; комиссионное вознаграждение
лизингодателя составляет 10% от стоимости имущества; в соответствии с договором
лизинга платежи осуществляются лизингополучателем с момента начала
производственного использования оборудования (выпуска продукции) равными долями
при погашении стоимости сделки к концу третьего года. Размеры платежей
приведены в таблице 1.
В процессе оценки эффективности проекта при приобретении имущества по
договору лизинга производится следующая корректировка денежных потоков:
1. не производятся единовременные инвестиционные затраты (исключается
стоимость приобретения и установки основных фондов);
2. не производится начисление амортизации основных фондов;
. не реализуется морально устаревшее оборудование в конце третьего
года;
. сумма текущих оттоков денежных средств увеличивается на размеры
лизинговых платежей предприятия;
. сумма налога на прибыль рассчитывается с учетом изменения
величины текущих затрат.
Порядок расчета чистой текущей стоимости долгосрочной инвестиции в
условиях дифференцированного воздействия инфляции на различные составные части
проектного денежного потока с учетом лизинга представлен в таблице 4.
Таблица 4
Порядок расчета чистой текущей стоимости долгосрочной инвестиции в
условиях дифференцированного воздействия инфляции на различные составные части
проектного денежного потока с учетом лизинга
|
№ п/п
|
Показатели
|
Период времени
|
|
|
Начальный период инвестирования (t=0)
|
К концу первого года (t=1)
|
К концу второго года (t=2)
|
К концу третьего года (t=3)
|
|
1
|
2
|
3
|
4
|
5
|
6
|
|
1
|
Стоимость приобретения и установки необходимых основных
фондов, тыс. руб.
|
594000
|
318600
|
0
|
0
|
|
2
|
Необходимое в связи с инвестицией увеличение в оборотных
средствах (капитале), тыс. руб.
|
63504
|
0
|
34292
|
0
|
|
3
|
Выручка от продажи заменяемых основных фондов, тыс. руб.
|
0
|
89699
|
0
|
0
|
|
4
|
Стоимость лома (скраба) и деталей от ликвидации заменяемых
основных фондов, тыс. руб.
|
9526
|
0
|
0
|
0
|
|
5
|
Налоговые отчисления, связанные с продажей существующих
основных фондов и их заменой новыми активами, тыс. руб.
|
0
|
7246
|
0
|
0
|
|
6
|
Стоимость демонтажа старого оборудования, тыс. руб.
|
397
|
2286
|
0
|
0
|
|
7
|
Совокупные инвестиционные затраты с учетом лизинговых
платежей, тыс. руб. (стр.1+стр.2-стр.3-стр.4+стр.5+стр.6)
|
648375
|
590640
|
386499
|
352207
|
|
8
|
Поступления выручки от реализации продукции (работ, услуг),
тыс. руб.
|
0
|
1275702
|
2175482
|
2272006
|
|
9
|
Прочие доходы, ассоциируемые с данным проектом, тыс. руб.
|
0
|
0
|
0
|
0
|
|
10
|
Итого поступления, тыс. руб. (стр.8+стр.9)
|
0
|
1275702
|
2175482
|
2272006
|
|
11
|
Стоимость сырья, материалов и полуфабрикатов, тыс. руб.
|
0
|
467950
|
683551
|
848837
|
|
12
|
Трудовые затраты, тыс. руб.
|
0
|
298968
|
418516
|
498061
|
|
13
|
Накладные расходы, тыс. руб.
|
0
|
172180
|
198007
|
227708
|
|
14
|
Прочие расходы, тыс. руб.
|
0
|
11433
|
68295
|
14342
|
|
15
|
Итого затраты на выпуск продукции (работ, услуг) без учета амортизации,
тыс. руб. (стр.11+стр.12+стр.13+стр.14)
|
0
|
950531
|
1368369
|
1588948
|
|
16
|
Выручка от продаж или стоимость лома и деталей (в случае
ликвидации) основных фондов, относящихся к данному инвестиционному проекту
(за вычетом расходов на демонтаж и налогов), тыс. руб.
|
0
|
0
|
0
|
314231
|
|
17
|
Амортизация основных фондов, тыс. руб.
|
0
|
0
|
0
|
215407
|
|
18
|
Прибыль от реализации продукции (работ, услуг), тыс. руб.
(стр.10+стр. 16--стр.15-стр.17)
|
0
|
325171
|
807113
|
997289
|
|
19
|
Ставка налога на прибыль предприятия, %
|
0
|
24
|
24
|
24
|
|
20
|
Сумма налога с прибыли предприятия, тыс. руб.
(стр.18·стр.19:100)
|
0
|
78041
|
193707
|
239349
|
|
21
|
Денежный приток, связанный с ликвидацией оборотного
капитала (данные стр.2), тыс.р.уб
|
-
|
-
|
-
|
960523
|
|
22
|
Итого чистые денежные потоки, тыс. руб.
|
-648375
|
-343510
|
226907
|
1366256
|
|
(стр.10-стр.15-стр.20-стр.7+стр.21+стр.16)
|
|
|
|
|
|
23
|
Номинальная дисконтная ставка данного проекта
|
0
|
0,288
|
0,288
|
0,288
|
|
24
|
Проектный дисконтный фактор
|
1
|
0,78
|
0,60
|
0,47
|
|
25
|
Текущая стоимость чистых денежных потоков, тыс. руб. (стр.22·стр.24)
|
-648375
|
-267938
|
136144
|
642140
|
|
26
|
Чистая текущая стоимость (NPV) проектного денежного потока,
тыс. руб. (по строке 25: (гр. 3+гр.4 + гр.5 + гр.6))
|
-138029
|
Оценка эффективности инвестиционного проекта с учетом финансирования за
счет привлечения банковского кредита проведем путем расчета показателя NPV аналогично п. I (таблица 2). При
этом учитываются притоки и оттоки собственных денежных средств предприятия. То
есть
1. из состава оттока по единовременным инвестиционным затратам
исключается сумма привлеченного банковского кредита;
2. сумма текущих оттоков денежных средств увеличивается на размеры
платежей предприятия, связанных с погашением кредита и процентов по нему;
. при расчете налога на прибыль учитывается увеличение текущих
затрат на величину процентов, уплачиваемых по кредиту; при этом сумма погашения
самого кредита в состав затрат, учитываемых при налогообложении прибыли, не
включается.
Порядок расчета чистой текущей стоимости долгосрочной инвестиции в
условиях дифференцированного воздействия инфляции на различные составные части
проектного денежного потока с учетом финансирования представлен в таблице 5.
Таблица 5
Порядок расчета чистой текущей стоимости долгосрочной инвестиции в
условиях дифференцированного воздействия инфляции на различные составные части
проектного денежного потока с учетом финансирования
|
№ п/п
|
Показатели
|
Период времени
|
|
|
Начальный период инвестирования (t=0)
|
К концу первого года (t=1)
|
К концу второго года (t=2)
|
К концу третьего года (t=3)
|
|
1
|
2
|
3
|
4
|
5
|
6
|
|
1
|
Стоимость приобретения и установки необходимых основных
фондов, тыс. руб.
|
594000
|
318600
|
0
|
0
|
|
2
|
Необходимое в связи с инвестицией увеличение в оборотных
средствах (капитале), тыс. руб.
|
63504
|
0
|
34292
|
0
|
|
3
|
Выручка от продажи заменяемых основных фондов, тыс. руб.
|
0
|
89699
|
0
|
0
|
|
4
|
Стоимость лома (скраба) и деталей от ликвидации заменяемых
основных фондов, тыс. руб.
|
9526
|
0
|
0
|
0
|
|
5
|
Налоговые отчисления, связанные с продажей существующих
основных фондов и их заменой новыми активами, тыс. руб.
|
0
|
7246
|
0
|
0
|
|
6
|
Стоимость демонтажа старого оборудования, тыс. руб.
|
397
|
0
|
0
|
|
7
|
Совокупные инвестиционные затраты с учетом лизинговых
платежей, тыс. руб. (стр.1+стр.2-стр.3-стр.4+стр.5+стр.6)
|
518700
|
190746
|
27434
|
0
|
|
8
|
Поступления выручки от реализации продукции (работ, услуг),
тыс. руб.
|
0
|
1275702
|
2175482
|
2272006
|
|
9
|
Прочие доходы, ассоциируемые с данным проектом, тыс. руб.
|
0
|
0
|
0
|
0
|
|
10
|
Итого поступления, тыс. руб. (стр.8+стр.9)
|
0
|
1275702
|
2175482
|
2272006
|
|
11
|
Стоимость сырья, материалов и полуфабрикатов, тыс. руб.
|
0
|
467950
|
683551
|
848837
|
|
12
|
Трудовые затраты, тыс. руб.
|
0
|
298968
|
418516
|
498061
|
|
13
|
Накладные расходы, тыс. руб.
|
0
|
172180
|
198007
|
227708
|
|
14
|
Прочие расходы, тыс. руб.
|
0
|
11433
|
68295
|
14342
|
|
15
|
Итого затраты на выпуск продукции (работ, услуг) без учета
амортизации, тыс. руб. (стр.11+стр.12+стр.13+стр.14)
|
0
|
950531
|
1368369
|
1588948
|
|
16
|
Выручка от продаж или стоимость лома и деталей (в случае
ликвидации) основных фондов, относящихся к данному инвестиционному проекту
(за вычетом расходов на демонтаж и налогов), тыс. руб.
|
0
|
0
|
0
|
314231
|
|
17
|
Амортизация основных фондов, тыс. руб.
|
0
|
0
|
0
|
215407
|
|
18
|
Прибыль от реализации продукции (работ, услуг), тыс. руб.
(стр.10+стр. 16--стр.15-стр.17)
|
0
|
325171
|
807113
|
997289
|
|
19
|
Ставка налога на прибыль предприятия, %
|
0
|
24
|
24
|
24
|
|
20
|
Сумма налога с прибыли предприятия, тыс. руб.
(стр.18·стр.19:100)
|
0
|
78041
|
193707
|
239349
|
|
21
|
Денежный приток, связанный с ликвидацией оборотного
капитала (данные стр.2), тыс.р.уб
|
-
|
-
|
-
|
960523
|
|
22
|
Итого чистые денежные потоки, тыс. руб.
|
-648375
|
56384
|
585972
|
1718463
|
|
(стр.10-стр.15-стр.20-стр.7+стр.21+стр.16)
|
|
|
|
|
|
23
|
Номинальная дисконтная ставка данного проекта
|
0
|
0,288
|
0,288
|
0,288
|
|
24
|
Проектный дисконтный фактор
|
1
|
0,78
|
0,60
|
0,47
|
|
25
|
Текущая стоимость чистых денежных потоков, тыс. руб.
(стр.22·стр.24)
|
-648375
|
43980
|
351583
|
807678
|
|
26
|
Чистая текущая стоимость (NPV) проектного денежного потока,
тыс. руб. (по строке 25: (гр. 3+гр.4 + гр.5 + гр.6))
|
554866
|
Таким
образом, финансирование путем приобретения оборудования за счет привлечения
банковского кредита под 20% годовых на срок до 2 лет является эффективным, чем
приобретение оборудования по договору лизинга.Заключение
В ходе оценки эффективности инвестиционного проекта установлено:
. проект можно считать эффективным, так как:
Чистая текущая стоимость проектного денежного потока положительна
(NPV=609195 > 0).
Срок окупаемости меньше установленного инвесторами нормативного
промежутка времени (DPB =2,27<3).
Внутренней нормы рентабельности IRR больше ставки дисконтирования
(63%>28,8%).
Индекс рентабельности больше 1 (PI=1,66 > 1).
. По пессимистическому варианту наибольшее значение чистая текущая
стоимость проектных денежных потоков принимает при увеличении дисконтной ставки
на 40%.
. По пессимистическому варианту наименьшее значение чистая текущая
стоимость проектных денежных потоков принимает при уменьшении объема реализации
в год на 20%.
. По оптимистическому варианту наибольшее значение чистая текущая
стоимость проектных денежных потоков принимает при уменьшении годовых
переменных затрат на 7%.
. По оптимистическому варианту наименьшее значение чистая текущая
стоимость проектных денежных потоков принимает при уменьшении постоянных затрат
за год на 17%.
. Финансирование путем приобретения оборудования за счет привлечения
банковского кредита под 20% годовых на срок до 2 лет является эффективнее, чем
приобретение оборудования по договору лизинга.
Список литературы.
1.Максимова В.Ф., Инвестирование; МФПП, 2011г.- 84с.
. Зимин А.И., Инвестиции: вопросы и ответы; Инфра-М, 2011г.-
256с.
. Нешитой А.С., Инвестиции. Учебник 6-ое изд.: Дашков и Ко, 2011г.-
373с.
. КиселеваН.В., Боровикова Т.В., Захарова Т.В. под ред. Г.П.
Подшиваленко; Кнорус, 2007г.- 432с.
. Шабалин А.Н., Инвестиционный анализ; МФПП, 2011г.- 78с.