Налоговое планирование
НАЛОГОВОЕ
ПЛАНИРОВАНИЕ
1. Сущность налогового планирования
Под налоговым планированием принято понимать
планирование порядка, оснований и процедуры уплаты налогов, а также
использование предприятием приемов, способов и всех предоставленных законом
льгот с целью максимального снижения налоговых обязательств. Сущность
налогового планирования заключается в выборе из всех возможных вариантов
осуществления деятельности такой, который приведет к оптимальному результату
без нарушения закона, т.е. к тому, что предприятие заплатит минимально
возможный для нее уровень налогов, но при этом не нарушит закон.
Целью налогового планирования является
оптимизация налогообложения, а не просто уплата минимальных сумм налогов
предприятием. В целях осуществления налогового планирования предприятие может
приравнивать к налогам все причитающиеся к уплате в местные и республиканский
бюджеты налоги и сборы, а также иные платежи, не являющиеся налогами, но
носящие обязательный характер в силу требований национального законодательства.
В налоговом планировании, как и в любом другом,
от точности первичной информации зависит конечный результат, поэтому
краткосрочные планы, как правило, бывают наиболее точными, в то время как
долгосрочное планирование связано с рисками возможных изменений (появление в
компании новых видов деятельности, смена стратегии предприятия на рынках сбыта,
изменение налоговых ставок, льгот и др.). В связи с этим налоговое планирование
целесообразно разделять на долгосрочное (например, составление полугодового
плана) и оперативное. Последнее предполагает ежемесячное составление
(уточнение) плановых показателей на предстоящий период.
2. Принципы формирования налогового плана
Планирование налогов, как правило, осуществляет
бухгалтерия либо планово-экономический отдел на основании:
Ø информации, предоставляемой
подразделениями предприятия, по форме и в сроки, закрепленные распоряжением
руководителя;
Ø принципов бухгалтерского и
налогового учета, закрепленных в учетной политике юридического лица;
Ø требований национального
законодательства в области налогообложения.
Налоги планируются исходя из принципа
недопустимости возникновения просроченной задолженности предприятия перед
бюджетом по налогам и налоговым платежам. План по налогам является инструментом
контроля за уровнем налоговой нагрузки. При формировании плановых показателей
по налогам и налоговым платежам можно использовать следующую их условную
классификацию:
· налоги, уплачиваемые из выручки;
· налоги, величина которых зависит от
фонда оплаты труда
(«зарплатные налоги»);
· налоги, уплачиваемые из прибыли;
· прочие налоги.
Следует учитывать существующую разницу между
налогами, по отношению к которым предприятие является плательщиком, и налогами,
при уплате которых предприятие выступает в качестве налогового агента.
Например, обязанность по удержанию налога на доходы иностранных юридических лиц
возложена на предприятие - источник выплаты дохода. Данная норма содержится в
Инструкции о порядке исчисления и уплаты налога на доходы иностранных юридических
лиц, не осуществляющих деятельности в Республике Беларусь через постоянное
представительство, утвержденной постановлением МНС РБ от 14.10.2003 № 92.
Плательщиками налога на доходы являются иностранные юридические лица, не
осуществляющие деятельности в РБ через постоянное представительство, получающие
доходы из источников в РБ, а резидент уплачивает налог за нерезидента и таким
образом выступает в качестве налогового агента. Это значит, что белорусское
предприятие приобретает права и несет обязанности, установленные ст. 23 Общей
части Налогового кодекса РБ (далее - НК РБ). Данный налог не должен включаться
в совокупную налоговую нагрузку предприятия, поскольку предприятие не
уплачивает» налог, а только «удерживает» его и «перечисляет в бюджет».
Аналогичным образом исключается из совокупности налоговой нагрузки подоходный
налог. Однако это не значит, что планировать названные налоги не следует. Как
правило, для управления денежными потоками руководство предприятия нуждается в
плановых величинах всех налогов без исключения, поскольку их суммы должны быть
перечислены с расчетного счета предприятия. Однако при определении совокупности
налоговой нагрузки юридического лица, по мнению автора, вышеназванные налоги
следует исключать.
Показатели, отражаемые в плане по налогам,
представляют собой суммы налогов, которые будут начислены. Размер планируемого
НДС определяется как разность НДС, исчисленного по реализации товаров (работ,
услуг), и НДС, принимаемого юридическим лицом в зачет по поставленным другими
организациями товарам, выполненным работам, оказанным услугам.
. Этапы налогового планирования
С помощью налогового планирования можно как
оптимизировать налогообложение предприятия в целом (т.е. определить наиболее
выгодный порядок уплаты налогов и снижение всех рисков, связанных с этим), так
и по возможности снизить сумму налогов в отдельно взятом случае (речь идет о
планировании налоговой нагрузки по конкретной сделке).
Этапы процесса планирования налогов и налоговых
платежей по производственному предприятию в целом выглядят следующим образом:
. Определение общей налоговой нагрузки компании
на планируемый период (месяц, квартал, год), т.е. суммы всех налоговых
обязательств. На этом этапе также определяются сроки и порядок уплаты налогов,
который применяется компанией. Для этого осуществляется сбор первичной
информации от подразделений компании по планируемым показателям. Например, для
производственного предприятия такими показателями могут быть выручка, объем
выпуска готовой продукции, ее себестоимость, сведения о незавершенном
производстве, себестоимость реализованной продукции, внереализационные доходы и
расходы. На основании этих показателей рассчитываются налоги предприятия.
. Анализ законодательства. Анализ следует
осуществлять по каждому отдельно взятому налогу (или даже по отдельным вопросам
в рамках уплаты одного налога). Основа для этого - нормативно-правовые акты, в
которых упоминаются те или иные платежи или сборы, порядок их уплаты, сроки,
размер. Налоговое законодательство включает НК РБ, законы, а также декреты,
указы, распоряжения Президента РБ, нормативно-правовые акты республиканских
органов местного управления и самоуправления, регулирующие вопросы
налогообложения. Кроме того, при анализе можно использовать комментарии и
разъяснения специалистов различных министерств и ведомств, работников налоговой
службы, а также сложившуюся судебную практику. При недостатке информации по
отдельным вопросам сотрудникам предприятия целесообразно принять участие в
специализированных практических семинарах. В результате комплексного анализа
предприятием должны быть сделаны выводы по следующим вопросам:
ü применение льгот.
Законодательством предусмотрены определенные льготы по налогам (т.е.
предоставляемые отдельным категориям плательщиков преимущества по сравнению с
другими плательщиками), однако далеко не все предприятия используют их в полном
объеме. Правильное применение этих льгот позволит значительно уменьшить
налоговые платежи;
ü выбор формы
деятельности (например, организация может открыть филиал или учредить дочернюю
фирму, если планируется вести деятельность за пределами места регистрации);
ü выбор особого
режима налогообложения. Особый режим налогообложения лучше выбрать до начала
ведения деятельности, хотя он вполне может быть использован при изменении формы
уже осуществляемой деятельности;
ü формирование
учетной политики. Сумма и порядок уплаты налогов зависят от выбранных
предприятием способов учета и налогообложения. Учетная политика дает
существенные возможности для оптимизации налогообложения. В ней должны быть
определены способы и методы ведения бухгалтерского учета, по которым
законодательством предусмотрено несколько вариантов. Организацией на основе
анализа этих вариантов выбирается один.
3. Разработка всех возможных вариантов
поведения, которые допускаются законом и практикой для той или иной ситуации.
Наметив примерные варианты поведения, необходимо также проанализировать риски,
связанные с выбором такого варианта. На основе анализа нужно выбрать
оптимальный вариант и составить схему действий для компании в целом. Можно
определить порядок действий (регламент) по отдельным операциям, проводимым на
предприятии. Так, может быть определен порядок осуществления расходов
предприятия, которые подлежат нормированию. Например, можно установить порядок
прохождения документов, связанных с планируемыми рекламными расходами, через
бухгалтерскую службу еще на этапе предварительных расчетов. Это даст
возможность предприятию своевременно рассчитать, какая часть указанных расходов
будет осуществляться в пределах норм с отнесением на затраты, участвующие в
исчислении облагаемой налогом прибыли (и, как следствие, уменьшит налог на
прибыль), а какая - сверх норм (что не уменьшит налог на прибыль, однако
увеличит причитающийся к уплате НДС). Возможно, что после таких расчетов реклама,
осуществленная «сверх норм», окажется для предприятия неоправданно дорогой
услугой и от нее придется отказаться.
Приступая к налоговому планированию, необходимо
иметь в виду, что существуют определенные сложности при планировании налоговых
отношений, которые могут быть связаны со следующими факторами:
) большой объем нормативно-правовых
документов, подлежащих изучению и анализу (сложно отследить все изменения и
выявить общую картину);
2) частые изменения нормативно-правовой
базы, что затрудняет планирование. Схему действия приходится постоянно
корректировать;
) различие в позициях министерств и
ведомств при толковании спорных вопросов;
) недолговечность налоговых льгот;
) большое число государственных органов,
имеющих контрольные функции (постоянно необходимо взвешивать возможные выгоды
от сделки и возможные последствия в виде штрафов, если будут основания для их
применения).
Все эти факторы делают достаточно
затруднительным планирование на долгое время. Самым важным в планировании
является постоянное отслеживание ситуации и своевременная корректировка
расчетов. Для этого необходимы дополнительные человеческие ресурсы. Кроме того,
на практике невозможно постоянно менять курс компании. Однако выработка
определенных правил - как планировать и оптимизировать налоги - все-таки
необходима. Это позволит предприятию своевременно отказаться от заведомо
дорогостоящих направлений деятельности (особенно это касается планирования
налоговой нагрузки по новым видам деятельности и по отдельно взятым сделкам).
Задача 1
Используя материальный баланс, определить объем
производства металла для системы потребительской кооперации на прогнозируемый
период по следующим исходным данным:
1. Объем промышленного производства оборудования
и металлоконструкций по прогнозу 386 млн. ден. ед.
2. Норма расхода металла на 1 млн. ден. ед.
оборудования и металлоконструкций - 358 тонн.
. Объем строительно-монтажных работ на
прогнозируемый период 227 млн. ден. ед.
. Норма расхода металла на 1 млн. ден.
ед. строительно-монтажных работ 287 тонн.
. Экспорт оборудования и
металлоконструкций по прогнозу 6,7 тыс. тонн.
. Импорт оборудования и
металлоконструкций составит 5,8 тыс. тонн.
. Переходящие запасы на начало, и конец
года составят соответственно 3,8 тыс. тонн.
. Рыночный фонд на прогнозируемый период
- 14,3 тыс. тонн.
. Пополнение госрезерва - 13,3 тыс. тонн.
. Прочие потребности на прогнозируемый
год - 6,97 тыс. тонн.
Расчет оформить таблице.
Решение:
Найдем производственно-эксплуатационные нужды:
ПЭН = Vпром.пр.
×
nпром.пр.,
где Vпром.пр.
- объем промышленного производства оборудования и металлоконструкций по
прогнозу;
nпром.пр. - норма
расхода металла на 1 млн. ден. ед. оборудования и металлоконструкций.
ПЭН = 386 × 358 = 138,19
тыс. т;
Найдем потребность в капитальном строительстве:
КС = Vстр.монт.
×
nстр.монт.,
где Vстр.монт.
- объем строительно-монтажных работ на прогнозируемый период;
nстр.монт. - норма
расхода металла на 1 млн. ден. ед. строительно-монтажных работ.
КС = 227 × 287 = 65,149 тыс.
т;
Заполним таблицу:
|
Ресурсы
|
Количество
(тыс. т)
|
Потребность
|
Количество
(тыс. т)
|
|
1.
Запасы на начало года
|
3,8
|
1.
Промышленное производство оборудования и металлоконструкций
|
138,19
|
|
2.Производство
|
232,109
|
65,149
|
|
3.
Импорт
|
5,8
|
3.
Рыночный фонд 4. Пополнение госрезерва 5. Прочие потребности 6. Запасы на
конец года
|
14,3
13,3 6,97 3,8
|
|
Итого:
|
241,709
|
Итого:
|
241,709
|
Объем производства металла определяем следующим
образом:
Пр-во = 241,709 - 3,8 - 5,8 = 232,109 тыс. т;
Для системы потребительской кооперации на
прогнозируемый период необходимо произвести 232,109 тыс. т металла.
Задача 2
Среднесписочная численность рабочих составляет:
В 1 квартале - 3200 человек;
Во 2 квартале - 3400 человек;
В 3 квартале - 3600 человек;
В 4 квартале - 3800 человек;
Численность рабочих на начало прогнозируемого
периода - 2905 человек.
Выбыло рабочих по уважительным причинам (от
среднегодовой численности - 3100):
В 1 квартале - 2,6 %;
Во 2 квартале - 1,67 %;
В 3 квартале - 0,1 %;
В 4 квартале - 0,11 %;
Спрогнозировать дополнительную потребность
рабочих:
1. поквартально и за год;
2. для восполнения убыли рабочих.
Решение:
. Численность рабочих на конец квартала Чркi
определяется по формуле:
Чркi
= 2 × Чсрi
- Чрнi;
где Чсрi
- среднесписочная численность рабочих в i-ом
квартале;
Чрнi
- численность рабочих на начало i-го
квартала.
Дополнительная потребность рабочих определяется
по формуле:
Чдоп.i
= Чркi - Чрнi;
Определим дополнительную потребность рабочих
поквартально:
квартал: Чрк1 = 2 × 3200 -
2905 = 3495 чел.;
Чдоп.1 = 3495 - 2905 = 590 чел.;
квартал: Чрк2 = 2 × 3400
- 3495 = 3305 чел.;
Чдоп.2 = 3305 - 3495 = -190 чел.;
квартал: Чрк3 = 2 × 3600 -
3305 = 3895 чел.;
Чдоп.3 = 3895 - 3305 = 590 чел.;
квартал: Чрк4 = 2 × 3800 -
3895 = 3705 чел.;
Чдоп.4 = 3705 - 3895 = -190 чел.;
Определим дополнительную потребность рабочих за
год:
Чдоп. год = 590 - 190 + 590 -190 = 800 чел.;
. Определим среднегодовую численность рабочих:
Чср. год = (3200+3400+3600+3800) / 4 = 3500 чел.
Всего за год по уважительным причинам выбыло (от
среднегодовой численности):
Чвыб. год = 2,6+1,67+0,1+0,11 = 4,48%;
Определим количество выбывших рабочих по
уважительным причинам:
Чвыб. = Чср. год × Чвыб.
год;
Чвыб. = 3500 × 4,48 = 157 чел.;
Для восполнения убыли необходимо 157 рабочих.
Задача 3
Составить прогноз спроса на фрукты в области на
2012 и 2015 год и определить время достижения их нормативного потребления.
Численность городского населения составляет 390
тыс. человек, предполагается, что численность к 2012 году возрастет на 0,1 %, а
к 2015 году - сократится на 3 %.
Норма потребления фруктов составляет 115 кг в
год на человека.
Уровень потребления фруктов следующий: 2000 г. -
69 кг, 2007 г. - 95 кг.
налоговый
планирование платеж
Решение:
Численность городского населения в 2012 году
составит:
390 × 0,1% + 390 = 390,4 тыс.
чел.;
Численность городского населения в 2015 году
составит:
390,4 - 390,4 × 3% = 378,7 тыс.
чел.;
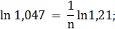
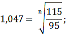
Уровень потребления фруктов за период с 2000 по
2007 год составляет:
V2 / V1
= 95 / 69 = 1,047;
Уровень потребления фруктов в 2012 году составит
(2012 - 2007 гг.):
V2012 = 390,4 × 95
×
1,0475 = 46,7 тыс. т;
Уровень потребления фруктов в 2015 году составит
(2015 - 2007 гг.):
V2015 = 378,7 × 95
× 1,0478 = 51,95 тыс.т;
В 2011 году наступит нормативное потребление
фруктов.
Задача 4
По исходным данным определить величину производственной
мощности ведущего оборудования хлебопекарного производства на начало года,
среднегодовой прирост мощностей, среднегодовую мощность, планируемый выпуск
продукции при коэффициенте использования мощности 0,87.
Составить баланс производственной мощности
ведущего оборудования хлебопекарного производства.
1. Количество оборудования на начало года 234
ед.
2. Часовая производительность единицы
оборудования 0,58.
3. Годовой фонд работы оборудования 4120 ч.
. Увеличение производственных мощностей в
течение года за счет:
§ организационно-технических
мероприятий - 77 тыс. тонн с 1 февраля;
§ мероприятий технического
прогресса - 67 тыс. тонн с 1 апреля;
§ реконструкции - 25 тыс. тонн с
1 июня.
5. Выбытие мощности - 33 тыс. тонн с 1 апреля и
44 тыс. тонн с 1 мая.
Решение:
Производственная мощность ведущего оборудования
производства на начало года найдем по формуле:
Mн.г. = N
× g × T,
где N
- количество ведущего оборудования;
g - часовая
производительность единицы оборудования;
T - годовой фонд
работы оборудования.
Mн.г. = 234 ×
0,58 × 4120 = 559,166 тыс. т;
Среднегодовой ввод (выбытие) мощности
определяется по следующей формуле:
Mср.в.(выб.) = (Mв.(выб.)
/ 12) ×
n,
где Mср.в.(выб.)
- среднегодовой ввод (выбытие) мощности;
Mв.(выб.) - вводимая
(выбывающая) мощность в течение года;
n - число месяцев до
конца года с момента ввода (выбытия) мощности.
Среднегодовой ввод мощности равен:
Mср.в. = (77 ×
11 + 67 × 9 + 25 × 7) / 12 = 135,42 тыс. т;
Среднегодовое выбытие мощности равно:
Mср.выб. = (33 ×
9 + 44 × 8) / 12 = 54,08 тыс. т;
Среднегодовая мощность определяется по формуле:
Mср.г. = Mн.г.
+ Mср.в. - Mср.выб.;
Mср.г. = 559,166 +
135,42 - 54,08 = 640,506 тыс.т;
Планируемый выпуск продукции будет равен:
V = 640,506 × 0,87
= 557,24 тыс. т;
Баланс производственной мощности будет выглядеть
следующим образом:
|
Показатели
|
Количество
|
|
1
|
2
|
|
1.
Мощность на начало планового периода, тыс. т
|
559,166
|
|
2.
Прирост мощности, тыс. т
|
169
|
|
2.1
Организационно-технических мероприятий
|
77
|
|
2.2
Мероприятий технического прогресса
|
67
|
|
2.3
Реконструкции
|
25
|
|
3.
Выбытие мощности
|
77
|
|
4.
Мощность на конец года
|
651,166
|
|
5.
Среднегодовая мощность
|
640,506
|
|
6.
Выпуск продукции
|
557,24
|
|
7.
Коэффициент использования среднегодовой мощности, %
|
0,87
|
Задача 5
Определить общий объем внешней торговли Республики
Беларусь и сальдо торгового баланса на прогнозируемый период по следующим
исходным данным.
Объем экспорта Республики Беларусь в страны СНГ
в базисном периоде составил 2950, импорта - 3300, в страны дальнего зарубежья
соответственно 3250 и 1985 млн. долларов.
На прогнозируемый период намечается увеличить
экспорт в страны СНГ на 7,8 %, импорт - на 11,66 %, в страны дальнего зарубежья
объем экспорта сократится на 3 %, а импорт увеличится на 5,7 %.
Решение:
В прогнозируемом периоде экспорт будет равен:
Эснг = 2950 + 2950 ×
7,8% = 3180,1 млн. долл.;
Эстр.д.зар. = 3250 - 3250 ×
3% = 3152,5 млн. долл.;
Иснг = 3300 + 3300 ×
11,66%
= 3684,78 млн. долл.;
Истр.д.зар. = 1985 + 1985 ×
5,7% = 2098,145 млн. долл.;
Объем внешней торговли страны представляет собой
сумму оборотов по экспорту и импорту:
Овн.торг. = Э + И;
Овн.торг = 3180,1 + 3152,5 + 3684,78 + 2098,145
= 12115,525 млн. долл.;
Торговый баланс страны представляет собой
разницу между импортом и экспортом:
ТБ = И - Э;
ТБ = (3684,78 + 2098,145) - (3108,1 + 3152,5) =
- 477,675 млн. долл.;
Торговое сальдо - это годовой показатель
сведения внешнеторговых сделок. Если торговый баланс имеет положительное
сальдо, это означает, что в денежном эквиваленте товаров за границу (экспорт)
было отправлено больше, чем получено из других стран (импорт). Если сальдо
отрицательно, то ввоз товаров преобладает над вывозом. Положительный торговый
баланс говорит о спросе товаров данной страны на международном рынке, а также о
том, что страна не потребляет все то, что производит. Отрицательный торговый
баланс говорит о том, что страна кроме своих товаров потребляет и иностранные
товары.
Задача 6
Составить прогноз продажи молочных изделий в
магазине на 11-й день его работы.
Известно, что за прошедшие 10 дней работы объем
продажи молочных изделий в магазине составил (в литрах):
|
изделия
|
1
|
2
|
3
|
4
|
5
|
6
|
7
|
8
|
9
|
10
|
|
молоко
|
209
|
225
|
217
|
218
|
235
|
241
|
278
|
195
|
211
|
213
|
Решение:
Для составления прогноза продажи продукции
воспользуемся методом корреляционно-регрессионного анализа. Данный метод
представляет собой объясняющее прогнозирование, предполагает наличие
причинно-следственной связи между переменными на входе и выходе системы. Метод
корреляционно-регрессионного анализа применяется в кратко- и среднесрочном
прогнозировании существующих товаров и услуг, маркетинговых стратегиях,
производстве, наборе персонала, планировании мощностей.
Необходимо составить уравнение регрессии,
которое имеет вид:
y = ax
+ b,
где a
и b - постоянные
коэффициенты, значения которых определяются с помощью метода наименьших
квадратов:
a∑xi2
+ b∑ xi
= ∑xy;
a∑xi
+ bn = ∑yi;
Составим расчетную таблицу:
|
День
(xi)
|
Объем
продажи, л (yi)
|
xi2
|
xy
|
(y
-
yср)2
|
|
1
|
209
|
1
|
209
|
231,04
|
|
2
|
225
|
4
|
450
|
0,64
|
|
3
|
217
|
9
|
651
|
51,84
|
|
4
|
218
|
16
|
872
|
38,44
|
|
5
|
235
|
25
|
116,64
|
|
6
|
241
|
36
|
1446
|
282,24
|
|
7
|
278
|
49
|
1946
|
2894,44
|
|
8
|
195
|
64
|
1560
|
852,64
|
|
9
|
211
|
81
|
1899
|
174,24
|
|
10
|
213
|
100
|
2130
|
125,44
|
|
55
|
2242
|
385
|
12338
|
4767,6
|

;

;

;

;

;

;

;
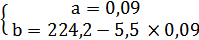
Уравнение регрессии будет иметь вид:
y = 223,7 - 0,09x;
Пусть x
= 11, тогда y = 222,71.
Средняя ошибка прогноза М определяется по
формуле:
где r
- дисперсия;
n - число дней
периода.
r = ∑(y
- yср)2 / n;
r = 4767,6 / 10 =
476,76;
Найдем интервал, в пределах которого находится
прогнозируемый объем продажи:
,71- 6,9 ≤ y
≤
222,71 + 6,9;
,81 ≤ y
≤
229,61;
СПИСОК ИСПОЛЬЗУЕМОЙ ЛИТЕРАТУРЫ
1. Прогнозирование и планирование
экономики: Практикум. / Под ред. В. П. Герасенко. - М., 2001 г.
2. Прогнозирование и
планирование экономики: Учеб. пособие. / Под ред. В. И. Борисевич, Г. А.
Кандаурова. - М.: Экоперспектива, 2005 г.
. Прогнозирование и
планирование в условиях рынка: Учеб. пособие / Под ред. В. П. Владимировой. -
М.: Дашков и К, 2005 г.