Экономические показатели разработки программного продукта
МОСКОВСКИЙ
ГОСУДАРСТВЕННЫй
УНИВЕРСиТЕТ ПУТЕЙ
СООБЩЕНИЯ (миит)
Кафедра «Экономика,
организация производства и менеджмент»
Методические указания к
курсовой работе по дисциплине
«Организация и
планирование производства»
для студентов
специальности УПО
Л.П. ЛЕВИЦКАЯ, Н.О.ФЕДОРОВА, Л.В.КУЗЬМИНА
МОСКВА - 2010
Введение
Приступая к разработке сложных программных проектов
заказчикам и разработчикам, прежде всего, важно понимание целесообразности их
создания и оценка возможной экономической эффективности применения готового
продукта, окупаемости затрат на разработку и использование. Поэтому такие
проекты традиционно должны начинаться с анализа и разработки экономического
обоснования предстоящего жизненного цикла и применения предполагаемого продукта.
Следствием сложности и неопределенности характеристик
предполагаемого продукта, этапов и процессов разработки, производства и
применения программ, являются большие ошибки при планировании сроков,
трудоемкости и стоимости создания ПС. Вследствие, часть проектов не доходит до
завершения, почти половина не укладывается в выделенные бюджет и сроки и не
обеспечивает необходимый уровень качества ПС.
Данная курсовая работа направлена на освоение студентами
информационных специальностей современных методов технико-экономического
планирования и анализа, оценки и прогнозирования необходимых ресурсов для
проектирования и разработки программных средств.
Варианты заданий
|
Вариант
|
Данные
|
Вариант
|
Данные
|
|
1
|
A1, B1, C1, D1, E1, F1
|
16
|
A1, B2, C4, D2, E4, F6
|
|
2
|
A2,
B2, C2, D2, E2, F2
|
17
|
A2,
B1, C1, D1, E1, F7
|
|
3
|
A3,
B1, C3, D1, E3, F3
|
18
|
A3,
B2, C2, D2, E2, F8
|
|
4
|
A1, B2, C4, D2, E4, F4
|
19
|
A1, B1, C3, D1, E3, F9
|
|
5
|
A2,
B1, C1, D1, E1, F5
|
20
|
A2,
B2, C4, D2, E4, F10
|
|
6
|
A3,
B2, C2, D2, E2, F6
|
21
|
A3,
B1, C1, D1, E1, F1
|
|
7
|
A1, B1, C3, D1, E3, F7
|
22
|
A1, B2, C2, D2, E2, F2
|
|
8
|
A2,
B2, C4, D2, E4, F8
|
23
|
A2,
B1, C3, D1, E3, F3
|
|
9
|
A3,
B1, C1, D1, E1, F9
|
24
|
A3,
B2, C4, D2, E4, F4
|
|
10
|
A1, B2, C2, D2, E2, F10
|
25
|
A1, B1, C1, D1, E1, F5
|
|
11
|
A2,
B1, C3, D1, E3, F1
|
26
|
A2,
B2, C2, D2, E2, F6
|
|
12
|
A3,
B2, C4, D2, E4, F2
|
27
|
A3,
B1, C3, D1, E3, F7
|
|
13
|
A1, B1, C1, D1, E1, F3
|
28
|
A1, B2, C4, D2, E4, F8
|
|
14
|
A2,
B2, C2, D2, E2, F4
|
29
|
A2,
B1, C1, D1, E1, F9
|
|
15
|
A3,
B1, C3, D1, E3, F5
|
30
|
A3,
B2, C2, D2, E2, F10
|
1.
Прогнозирование основных экономических характеристик производства ПС
Приступая к разработке программного средства, как в любой
производственной деятельности, необходимо провести оценку возможного
размера-масштаба проекта, включая оценку трудоемкости и длительности разработки
ПС, расчет числа специалистов, необходимых для разработки ПС.
Предварительная оценка длительности программного проекта
основывается на оценке трудоемкости и определяется, прежде всего, типом
разрабатываемого ПС (см. табл. 1.1).
программный экономический
планирование проектирование
Таблица 1.1
|
Тип системы
|
Размер (KLOC)
|
|
В1
|
В2
|
|
А1
|
Сложная система
реального времени (СРВ)
|
300
|
500
|
|
А2
|
Информационно-поисковая
система (ИПС)
|
100
|
200
|
|
А3
|
Пакет
прикладных программ (ППП)
|
35
|
50
|
*КLOC - тысяч строк кода (Lines of
code)
Для оценки размера программного продукта используются
метрики, выражающиеся в измерении количества строк исходного программного кода LOC - Line Of Code (KLOC - кило LOС).
Под термином «трудоемкость» в процессе оценки
ПС понимается объем труда, который необходимо выполнить для создания
программного продукта. В качестве стандарта фактически используются
человеко-месяцы (персональные месяцы) - один человек работает на протяжении
одного месяца.
Программный инжиниринг предлагает комплекс методов оценки
трудоемкости сложных программных продуктов:
· метод аналогий (Delphi), применяющий
бета-распредления;
· метод «COCOMO», применяющий
регрессионный анализ;
· метод Software Lifecycle Management (SLIM), применяющий
математическую функцию Нордена-Рейлайха;
· эмпирические методы.
Методики «COCOMO» (Constructive Cost Model) содержат совокупность
методов, в основу которых положена регрессионная модель, предложенная Барри В.
Боэмом в начале 1970-х гг. Она устанавливает связь размера программного
продукта (V), понесенных трудозатрат (C) и длительности его
разработки (Т).
В рамках методик «COCOMO» существует ряд моделей, которые используются
для разных типов программных проектов: органического (малые), сблокированного
(средние) и внедренного (крупные).
Трудозатраты на разработку ПС можно представить в зависимости
от размера ПС (V), корректируемого произведением
коэффициентов изменения трудоемкости:
С=А*VЕ*П(Мi),
где А, Е - коэффициенты определяющие характер зависимости трудоемкости
от размера ПС; Mi - коэффициенты изменения трудоемкости (см. табл. 1.2-1.3).
Накопленный опыт производства и обобщение проведенных
исследований позволили выделить и детализировать четыре основные группы
факторов, влияющих на экономические характеристики при непосредственном
проектировании и производстве программных продуктов (рис. 1.1)
Таблица 1.2
|
Тип
программного продукта
|
Коэффициент А
|
Коэффициент Е
|
|
Сложная система
реального времени (СРВ)
|
2,8
|
1,2
|
|
Информационно-поисковая
система (ИПС)
|
3,0
|
1,12
|
|
Пакет
прикладных программ (ППП)
|
2,4
|
1,05
|
Коэффициенты изменения трудоемкости производства (Mi) используются для учета
влияния на трудоемкость основных факторов, т.е. определяют влияние i - ой составляющей
совокупных затрат.
Рис. 1.1.
Таблица 1.3. Состав и значение факторов изменения
трудоемкости
|
Символ
|
Содержание
факторов
|
|
Требования к
объекту разработки
|
|
М1
|
Сложность и
надежность программного продукта
|
|
М2
|
Требование
повторного использования компонентов
|
|
Аппаратно-вычислительная
среда производства
|
|
М3
|
Ограничения
аппаратной платформы производства применения продукта
|
|
Характеристики
коллектива специалистов
|
|
М4
|
Квалификация и
стабильность коллектива
|
|
М5
|
Опыт работы по
тематике
|
|
Технологическая
среда разработки
|
|
М6
|
Уровень
инструментальной поддержки и необходимость распределения производства
|
|
М7
|
Ограничение
длительности производства
|
|
|
|
Таблица 1.4. Коэффициенты изменения трудоемкости производства
ПС
|
Факторы
|
а
|
б
|
в
|
г
|
д
|
|
Рейтинги оценки
|
|
Низкий
|
Номина-льный
|
Высо-кий
|
Очень высокий
|
Сверх высокий
|
|
М1
|
0,83
|
1,00
|
1,33
|
1,91
|
2,72
|
|
М2
|
0,95
|
1,00
|
1,07
|
1,15
|
1,24
|
|
М3
|
0,87
|
1,00
|
1,29
|
1,81
|
2,61
|
|
М4
|
1,26
|
1,00
|
0,83
|
0,63
|
0,50
|
|
М5
|
1,12
|
1,00
|
0,87
|
0,74
|
0,62
|
|
М6
|
1,10
|
1,00
|
0,87
|
0,73
|
0,62
|
|
М7
|
1,14
|
1,00
|
1,00
|
1,00
|
1,00
|
На основе значений трудоемкости (С), размера
программного продукта (V) и выбранных значений Мi могут быть рассчитаны
длительность (Т) и требуемое среднее число специалистов (N).
Длительность разработки программных продуктов (Т) является
важнейшей экономической характеристикой, поскольку определяет общие сроки
разработки систем. Зависимости Т от размера программ V значительно различаются
для классов комплексов программ. Зависимость длительности разработки от ее
трудоемкости выражается следующим образом:
Т = G * CH,
где G, H - коэффициенты зависящие от типа ПС.
Оценка требуемого среднего числа специалистов (N) для конкретного проекта
может быть рассчитана путем деления оценки величины трудоемкости разработки на
длительность его производства:
N = C/T.
Однако надо учесть, что рациональное число специалистов,
участвующих в проекте распределяется не равномерно по этапам работ. Поэтому
целесообразно определять число и квалификацию необходимых специалистов с учетом
этапов разработки ПС.
Средняя производительность труда коллектива специалистов
при разработке ПС, определяемая как P = V/C, может служить
ориентиром для сравнения эффективности труда при создании различных продуктов
для решения различных задач автоматизации.
Таким образом, общий алгоритм оценки основных экономических
характеристик производства ПС включает следующие этапы:
· определение объема программного продукта;
· определение и учет факторов среды
проектирования, разработки;
· оценка дополнительных временных затрат;
· расчет трудоемкости в соответствии с
выбранным методом;
· расчет длительности проекта;
· расчет среднего числа специалистов;
· расчет средней производительности труда
специалистов.
Результаты оценки основных экономических характеристик
производства программного средства сводятся в таблицу 1.6.
Результаты прогнозов экономических характеристик производства
программного продукта
Таблица 1.6
|
Оценка
|
Ед. измерения
|
Значение
|
|
Полная
трудоемкость производства ПП - С
|
Чел./ месяц.
|
|
|
Полная
длительность производства ПП - T
|
Мес.
|
|
|
Необходимое
среднее число специалистов - N
|
Чел.
|
|
|
Средняя
производительность труда специалистов - P
|
LOC/чел.-мес.
|
|
2. Планирование производственных процессов ЖЦ ПС
Построение сетевого графика. Расчет основных
параметров и его оптимизация
После оценки величины трудозатрат, длительности, примерного
числа участников проекта начинается этап составления графика работ - основного
инструмента управления длительностью работ на протяжении всего ЖЦ программного
продукта. Он позволяет управлять также трудовыми ресурсами и бюджетом проекта,
выравнивая их на некоторых этапах и запараллеливая некоторые работы.
На
каждом из крупных этапов разработки ПС должны выполняться, прежде всего,
основные, доминирующие работы, определяющие название этапа, но также ряд общих
видов работ, присущих той или иной мере всем этапам. Такими видами работ
являются (см. табл. 2.1):
- анализ и корректировка требований к комплексу программ;
проектирование функций и структуры компонентов и ПС в целом;
программирование компонентов и их взаимодействия;
планирование и выполнения тестирования компонентов и ТС;
верификация и валидация компонентов и комплекса программ;
управление организацией и реализацией комплекса работ ПС;
анализ, оценка и управление качеством программных
компонентов;
документирование результатов разработки, создание
технологических и эксплуатационных документов.
В каждом из четырех крупных этапов работ, представленных в
столбцах таблицы 2.1, кроме работ доминирующих для данного этапа, в меньшей
степени должны выполняться ряд вспомогательных работ из приведенного выше
перечня. Каждый вид вспомогательных работ требует в среднем 5-15% от суммарной
трудоемкости, а доминирующие работы составляют в среднем 40-50% (за 100%
принята суммарная трудоемкость на каждом из четырех основных этапов).
Для контроля сроков выполнения проекта используется метод сетевого
анализа проектов СРМ (Critical Path Method - метод критического
пути). Исходным шагом для применения метода СРМ является описание
проекта в виде перечня выполняемых работ с указанием их взаимосвязи. Для описания
проекта используются два основных способа: табличный и графический.
Таблица 2.1. Распределение относительной трудоемкости (%) по
видам работ на этапах разработки ПС (варианты С1-С4, D1/D2)
|
Этапы
|
Планирование C1
|
Проектирование C2
|
Программирование C3
|
Интеграция и
испытания C4
|
|
Виды работ
|
|
|
|
|
|
15
|
15
|
30
|
40
|
|
Анализ
требований
|
46/45
|
12/12,5
|
4/4
|
2,5/5
|
|
Проектирование
|
17/17
|
41,/41
|
8/8
|
5/5
|
|
Кодирование
|
4,5/5,6
|
13/13,5
|
56/57
|
37/37
|
|
Тестирование,
интеграция
|
10,5/12,9
|
12,5/13,5
|
13/13
|
33/31
|
|
Управление
работами
|
13,5/12,4
|
7/7,5
|
6,5/6
|
7,7/7
|
|
Оценка качества
|
3,3
|
11/10
|
6,5/6,5
|
8/8
|
|
Документирование
|
5,5
|
2,5/2,5
|
5/5,5
|
7,5/7
|
Рассмотрим следующую таблицу, описывающую проект:
Таблица 2.2.
|
Работа
|
Непосредственно
предшествующая работа
|
Время
выполнения
|
|
А
|
-
|
tA
|
|
В
|
-
|
tB
|
|
С
|
В
|
tC
|
|
D
|
A
C
|
tD
|
|
Е
|
C
|
tE
|
|
F
|
C
|
tF
|
|
G
|
D
E F
|
tG
|
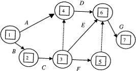
В первом столбце указаны наименования всех работ проекта. Их
семь: А, В, С, D, Е, F, G.
Во втором столбце указаны работы, непосредственно
предшествующие данной. У работ А и В нет предшествующих. Работе С
непосредственно предшествует работа В. Это означает, что работа С может
быть начата только после того, как завершится работа В и т.д.
В третьем столбце таблицы для каждой работы указано время ее
выполнения. На основе этой таблицы может быть построено следующее графическое
описание проекта (рис. 2.1).
Рис. 2.1. Графическое описание рассматриваемого проекта
В этом графическом описании проекта, кроме тех работ, которые
указаны в таблице, использованы две «фиктивные» работы (3, 4) и (5, 6). На рис.
2.1 эти работы показаны пунктиром. Эти работы не требуют времени на их
выполнение и используются в графическом представлении проекта лишь для того,
чтобы правильно отобразить взаимосвязь между работами. Получив графическое
представление проекта, мы обеспечили себе возможность провести расчеты по
методу СРМ.
Понятийный аппарат, используемый в сетевом
анализе.
Путь - последовательность взаимосвязанных работ, ведущая из
одной вершины проекта в другую вершину. Например (см. рис. 2.1), {А, D, G} и {С, F} - два различных пути.
Длина пути - суммарная продолжительность выполнения всех
работ пути.
Критический путь - путь, суммарная продолжительность
выполнения всех работ которого является наибольшей.
Минимальное время, необходимое для выполнения любого проекта
равно длине критического пути. Именно на работы, принадлежащие критическому
пути, следует обращать особое внимание. Если такая работа будет отложена на
некоторое время, то время окончания проекта будет отложено на то же время. Если
необходимо сократить время выполнения проекта, то в первую очередь нужно
сократить время выполнения, хотя бы одной работы на критическом пути.
Для того чтобы найти критический путь, достаточно перебрать
все пути и выбрать тот или те из них, которые имеют наибольшую суммарную
продолжительность выполнения работ.
Введем следующие обозначения:
i и j - вершины или события проекта,
(i и j) - работа проекта,
s - событие «начало проекта» (start),- событие
«окончание проекта» (finish),
Т-длина критического пути.
t(i,j) - время выполнения
работы (i, j);
ES(i,j) - наиболее раннее время начала
работ (i, j);(i,j) - наиболее раннее время окончания
работ (i, j);(i,j) - наиболее позднее время начала
работы (i, j);(i,j) - наиболее позднее время окончания
работы (i, j);
Еi - наиболее раннее время наступления события i;
Li - наиболее позднее время
наступления события i;(i,j) - полный резерв времени на
выполнение работы (i, j) (время на которое может быть отложена работа (i,
j) без увеличения продолжительности выполнения всего проекта);
r(i,j) - свободный резерв времени на выполнение
работы (i, j) (время, на которое может быть отложена работа (i, j)
без увеличения наиболее раннего времени Еj, наступления
последующего события j.
Если (i, j) - работа проекта, то имеют место
соотношения:
для любого j ES(i,j) = Еi;
для любого i LF(i,j) = Lj.
Метод СРМ описывается следующими соотношениями:
. ES(s,j) = 0 для любой работы (s, j), выходящей из стартовой
вершины s проекта.
. EF(i,j) = ES(i,j) + t(i,j) = Еi +
t(i,j): наиболее раннее время окончания любой работы и, (i, j) превышает наиболее
раннее время начала этой работы (время наступления предшествующего события i)
на время ее выполнения.
. ES(q,j) = maxi; EF(i,q) = Еq: наиболее раннее время
начала работы (q, i) равно наибольшему из значений наиболее раннего
времени окончания непосредственно предшествующих ей работ.
. Т = Еf = max; EF(i,f): длина критического пути
равна наиболее раннему времени завершения проекта.
. LF(i,f) = Т: наиболее позднее
время окончания любой работы, завершающей проект, равно длине критического
пути.
. LS(i,j) = LF(i,j) - t(i,j)
= Lj - t(i,j): наиболее позднее время
начала любой работы меньше наиболее позднего времени окончания этой работы
(времени наступления последующего события) на время ее выполнения.
. R(i,j) = LS(i,j) - ES(i,j) = LF(i,j) - EF(i,j)
= Lj - t(i,j) - Li: полный резерв времени
выполнения любой работы равен разности между наиболее поздним и наиболее ранним
временем ее начала или разности между наиболее поздним и наиболее ранним
временем ее окончания.
. r(i,j) = Lj - ES(i,j) - t(i,j)
= Lj - EF(i,j) = Lj - Еi
- t(i,j): свободный резерв времени
выполнения любой работы равен разности между наиболее поздним временем
наступления последующего события и наиболее ранним временем окончания работы.
Из приведенных выше определений и соотношений непосредственно
следует:
1.Длина критического пути равна Т.
2.Если R(i,j) = 0, то работа и, (i, j) лежит на критическом
пути; если R(i,j)≥0, то работа (i, j) не лежит на
критическом пути,
3. Если время начала работы (i, j), которая не лежит на
критическом пути, отложить на срок меньший, чем r(i,j), то наиболее раннее
время наступления последующего события не изменится.
. Если время начала работы (i, j), которая не лежит на
критическом пути, отложить на срок меньший, чем R(i,j), то
время, необходимое на выполнение всего проекта, не увеличится.
Расчет параметров производится табличным методом, по
следующей форме (см. табл. 2.3):
Таблица 2.3. Параметры сетевого графика до оптимизации
|
Код работ
|
Время
выполнения работы t
|
Раннее время
|
Позднее время
|
Наступление
события
|
Резервы времени
|
|
|
начала работы ES
|
окончания
работы EF
|
начала работы LS
|
окончания
работы LF
|
раннее время E
|
позднее время L
|
Свободный r
|
полный R
|
|
|
|
|
|
|
|
|
|
|
На критическом пути лежат все работы, значения резерва
времени которых, указанные в последнем столбце, равны нулю.
В методике критического пути предполагается, что время
выполнения работ нам известно. На практике же эти сроки обычно не определены.
Для управления проектами с неопределенным временем выполнения работ наиболее
широкое применение получил метод оценки и пересмотра проектов (PERT), рассчитанный на основе
использования вероятностных оценок времени выполнения работ, предусматриваемых
проектом.
Для каждой работы вводят три оценки:
· оптимистическое время a - наименьшее возможное
время выполнения работы;
· пессимистическое время b - наиболее возможное
время выполнения работы;
· наиболее вероятное время m - ожидаемое время
выполнения работы в нормальных условиях.
По a, b и m находят ожидаемое время выполнения работы:
t = (a+4m+b)/6
и дисперсию ожидаемой продолжительности t:
д2 = ((b-a)/6)2
Перечень работ и характеристики их выполнения по вариантам
приведены в таблице 2.4.
На основе рассчитанных величин C, T, N, данных о распределении
относительной трудоемкости (%) по видам работ на этапах разработки ПС
определяем значения времен m, a и b для каждой работы
рассматриваемого этапа. Результаты расчетов сводим в таблицу 2.5.
Таблица 2.4
|
Работа
|
Содержание
работы
|
Предшествующая
работа / распределение ресурсов (по вариантам)
|
|
|
E1
|
E2
|
E3
|
E4
|
|
A
|
Анализ
требований
|
-
|
6
|
-
|
5
|
-
|
4
|
-
|
6
|
|
B
|
Проектирование
|
-
|
6
|
-
|
4
|
-
|
6
|
-
|
4
|
|
C
|
Кодирование
|
A
|
5
|
A, B
|
4
|
-
|
3
|
-
|
2
|
|
D
|
Тестирование,
интеграция
|
A
|
4
|
C
|
6
|
А
|
4
|
A
|
2
|
|
E
|
Управление
работами
|
C, B
|
6
|
C
|
5
|
А
|
4
|
A
|
6
|
|
F
|
Оценка качества
|
C, B
|
5
|
D, E
|
3
|
B, D
|
3
|
B
|
5
|
|
G
|
Документирование
|
D, E
|
4
|
E, F
|
6
|
C
|
3
|
C, D
|
4
|
Используя значение t, найдем критический путь сетевого графика.
Распределение времени Т завершения проекта является
нормальным со среднем E(T), равным сумме ожидаемых значений времени работ на
критическом пути, и дисперсией д2(Т), равной сумме дисперсий работ
критического пути, если времена выполнения каждой из работ можно считать
независимыми друг от друга. Тогда мы можем рассчитать вероятность завершения
проекта в установленный срок Т0 (задается преподавателем):
(T < Т0) = 0,5+ Ф((T0-E(T))/ д(Т)),
где Ф(х) - функция Лапласа.
Значения функции причем Ф(х) берутся из специальной таблицы.
Важно, что Ф(-х)= - Ф(х). Можно также воспользоваться мастером функций fх
пакета Excel: Ф(х)=НОРМРАСП (Х; 0; 1; 1) - 0,5. Полагают Ф(х)=0,5 при х>5.
Иногда бывает полезным изобразить наглядно имеющийся в наличии
резерв времени. Для этого используют график Ганта. На нем каждая
работа (i, j) изображается горизонтальным отрезком, длина которого в
соответствующем масштабе равна времени ее выполнения. Начало каждой работы
совпадает с ранним сроком свершения ее начального события. График Ганта
показывает рабочее время, время простоев и относительную загрузку системы.
Ожидающие выполнения работы могут быть распределены по другим рабочим центрам.
Рассмотрим пример построения графика Ганта. Сначала найдем
критический путь и ранние сроки свершения событий (см. рис. 2.2).
Теперь строим график Ганта (рис. 2.3). Так как работа Е не
может начаться до завершения работы D, эту зависимость мы изображаем на графике
пунктирной линией. Аналогично для D, F и С, F.
График Ганта используется для управления работами в процессе.
Он указывает, какая работа выполняется по расписанию, а какая опережает его или
отстает.
Рис. 2.2 Характеристики рассматриваемого процесса
Рис. 2.3 График Ганта
Если вероятность осуществления проекта разработки и внедрения
информационной системы в директивный срок меньше 0, 95 график отвечает
временным и ресурсным требованиям, а значит, оптимизации не требуется. Если это
условие не выполняется, необходимо провести оптимизацию сетевого графика по
заданному критерию.
Распределение ресурсов и их оптимизация
До сих пор были рассмотрены варианты при которых не
обращалось внимание на ограничения в ресурсах и считалось, что все необходимые
ресурсы (сырье, оборудование, рабочая сила, денежные средства, производственные
площади и т.д.) имеются в достаточном количестве. Однако на практике всегда
существует ограничения в каком-либо ресурсе. Одним из часто применяемых методов
решения проблемы распределения ресурсов является «метод проб и ошибок».
При оптимизации по трудовым ресурсам требуется максимально
сгладить неравномерность загрузки по трудовым ресурсам.
Рассмотрим пример оптимизации сетевого графика по трудовым
ресурсам. Наличный ресурс равен 10 единицам.
Первое число, приписанное дуге графика (рис. 4), означает
время выполнения работы, а второе - требуемое количество ресурса для выполнения
работы. Работы не допускают перерыва в их выполнении.
Рис. 2.4. Исходный график для распределения ресурсов
Находим критический путь (см. рис. 2.5).
Рис. 2.5. Сетевые параметры для решаемой задачи
Строим график Ганта (см. рис. 2.6). В скобках для каждой
работы укажем требуемое количество ресурса. По графику Ганта строим график
ресурса. На оси абсцисс мы откладываем время, а на оси ординат - потребности в
ресурсах.
Рис. 2.6. График Ганта для решаемой задачи
Считаем, что все работы начинаются в наиболее ранний срок их
выполнения. Ресурсы складываются по всем работам, выполняемым одновременно.
Также проведем ограничительную линию по ресурсу (в нашем примере это у =
10) (см. рис. 2.7).
Рис. 2.7. Распределение ресурсов по выполняемым работам
Из графика на рис. 2.7 видно, что на отрезке от 0 до 4, когда
одновременно выполняются работы В, А, С, суммарная потребность в
ресурсах составляет 3 + 4 + 5 = 12, что превышает ограничение 10. Так как
работа С критическая, то мы должны сдвинуть сроки выполнения или А или В (см.
рис. 2.8).
Рис. 2.8. Оптимизации ресурсов
Запланируем выполнение работы В с 6-го по 10-й день.
На сроках выполнения всего проекта это не скажется и даст возможность остаться
в рамках ресурсных ограничений.
После оптимизации сетевого графика рассчитываются его новые
параметры.
В соответствии с исходными данными таблицы 2.4 произвести
оптимизацию сетевого графика рассматриваемого этапа проекта по ресурсам.
Наличный ресурс равен 10.
2. Расчет стоимости разработки информационной
системы методом калькуляции по статьям затрат
Существует ряд методов оценки стоимости проектов разработки
сложных ПС. Выбор того или иного метода зависит от типа проекта, цели оценки и
доступности информации. Чаще всего используют затратные методы, которые
оценивают проект исходя из себестоимости составляющих проекта (работ по
анализу, разработке и внедрению, приобретению программного и технического
обеспечения). При этом наибольшие затраты связаны с проектированием,
разработкой и тестированием программного обеспечения. Эти прямые затрат зависят
от общей трудоемкости процесса создания готового программного продукта и
длительности проекта в целом.
Таблица 3.1. Статьи затрат
|
Наименование
показателя
|
Единица
измерения
|
Обозначение
|
Значение
показателя (по вариантам)
|
|
|
|
А1
|
А2
|
А3
|
|
Стоимость
расходных материалов
|
тыс. руб.
|
М
|
10 000
|
3 500
|
1 000
|
|
Транспортно-заготовительные
расходы
|
%
|
KTR
|
60
|
50
|
40
|
|
Длительность
выполнения работы
|
|
|
|
|
|
|
Руководитель
проекта
|
месяцев
|
L1
|
|
|
|
|
Консультант-аналитик
|
месяцев
|
L2
|
|
|
|
|
Разработчик
|
месяцев
|
L3
|
|
|
|
|
Программист
|
месяцев
|
L4
|
|
|
|
|
Тестер
|
месяцев
|
L5
|
|
|
|
|
Технический
писатель
|
месяцев
|
L6
|
|
|
|
|
Количество
исполнителей
|
|
|
|
|
|
|
Руководитель
проекта
|
человек
|
F1
|
|
|
|
|
Консультант -
аналитик
|
человек
|
F2
|
|
|
|
|
Разработчик
|
человек
|
F3
|
|
|
|
|
Программист
|
человек
|
F4
|
|
|
|
|
Тестер
|
человек
|
F5
|
|
|
|
|
Технический
писатель
|
человек
|
F6
|
|
|
|
|
Стоимость
работ:
|
|
|
|
|
|
|
Построение
модели
|
тыс. руб.
|
K1
|
15 000
|
5 000
|
2 500
|
|
Обоснование
целесообразности разработки и внедрения ПС
|
тыс. руб.
|
K2
|
500
|
200
|
100
|
|
Разработка
эскизного проекта
|
тыс. руб.
|
K3
|
10 000
|
3 000
|
1 500
|
|
Разработка
системного проекта
|
тыс. руб.
|
K4
|
5 000
|
1500
|
500
|
|
Консультирование
во время разработки технического, рабочего проектов и внедрения
|
тыс. руб.
|
K5
|
1 000
|
350
|
100
|
|
Консультирование
во время сопровождения
|
тыс. руб.
|
K6
|
1000
|
350
|
100
|
|
Стоимость
специального оборудования
|
тыс. руб.
|
K7
|
30 000
|
10 000
|
3 000
|
|
Командировки
|
тыс. руб.
|
КР
|
500
|
150
|
50
|
|
Коэффициент
накладных расходов
|
-
|
Кн
|
2
|
2
|
2
|
|
Средняя
месячная заработная плата исполнителей
|
|
|
|
|
|
|
Руководитель
проекта
|
тыс. руб.
|
Z1
|
100
|
70
|
50
|
|
Консультант -
аналитик
|
тыс. руб.
|
Z2
|
50
|
32
|
30
|
|
Разработчик
|
тыс. руб.
|
Z3
|
60
|
40
|
35
|
|
Программист
|
тыс. руб.
|
Z4
|
45
|
30
|
30
|
|
Тестер
|
тыс. руб.
|
Z5
|
30
|
25
|
25
|
|
Технический
писатель
|
тыс. руб.
|
Z6
|
30
|
25
|
20
|
|
Коэффициент дополнительной заработной платы
|
-
|
KD
|
0,2
|
0,2
|
0,2
|
|
Коэффициент
начислений на заработную плату на социальные нужды
|
-
|
NZ
|
0,36
|
0,36
|
0,36
|
При расчете затрат на оплату труда необходимо знать структуру
коллектива. Организационное разделение специалистов на менеджера проекта,
менеджера-архитектора программного продукта, обеспечивающих коммуникацию и
координацию, специалистов первой категории, осуществляющих производство
программного продукта и специалистов-технологов, обеспечивающих, контролирующих
и управляющих качеством в процессе производства, обеспечивает эффективное
достижение поставленных задач. Таблица 3.2.
Распределение численности специалистов по этапам производства
ПС
|
Этапы
производства
|
Численность
специалистов % от средней
|
|
Предварительное
проектирование
|
40
|
|
Детальное
проектирование
|
70
|
|
Программирование
компонентов
|
140
|
|
Автономная
отладка компонентов
|
150
|
|
Интеграция и
комплексная отладка
|
120
|
|
Испытания и
документирование
|
100
|
В соответствии с полученными результатами прогнозов
экономических характеристик производства ПС по этапам определите в таблице 3.1.
длительность выполнения работы и количество исполнителей для каждой группы
специалитов.
На основе данных таблицы 3.1. необходимо рассчитать стоимость
разработки ПС:
Таблица 3.3.
|
№п/п
|
Статьи затрат
|
Обозначение /
Расчет
|
Ед. измерения
|
Значение
|
|
1
|
Материалы
|
m=M*(1+KTR)
|
|
|
|
2
|
Стоимость
специального оборудования
|
Ссп
|
|
|
|
3
|
Расходы на
оплату труда, в.т.ч.
|
L
|
|
|
|
Основная
заработная плата
|
|
|
|
|
Дополнительная
заработная плата
|
Lд=KD*L0
|
|
|
|
|
4
|
Расходы на
командировки
|
Ском
|
|
|
|
5
|
Стоимость работ
|
|
|
|
|
6
|
Накладные
расходы
|
Снакл=Kн*L0
|
|
|
|
ИТОГО: стоимость разработки ПС
|
С=m+Cсп+L+Cком+Ср+Снакл
|
|
|
4.
Расчет экономической эффективности реализации проекта
Количественная оценка экономической эффективности ПС
необходима при решении вопроса о целесообразности проекта вообще и
целесообразности объемов инвестиций. При этом в основе лежит оценка и сравнение
объема предполагаемых инвестиций и будущих денежных поступлений.
С каждым инвестиционным проектом принято
связывать денежный поток, элементы которого представляют собой либо чистые
оттоки, либо чистые притоки денежных средств; в данном случае под чистым
оттоком денежных средств в k-м году понимается превышение текущих денежных
расходов по проекту над текущими денежными поступлениями (соответственно, при
обратном соотношении имеет место чистый приток); иногда в анализе используется
не денежный поток, а последовательность прогнозных значений чистой годовой
прибыли, генерируемой проектом.
Чаще всего анализ ведется по годам, хотя это ограничение не
является безусловным или обязательным; иными словами, анализ можно проводить по
равным базовым периодам любой продолжительности (месяц, квартал, год, пятилетка
и др.), необходимо лишь помнить об увязке величин элементов денежного потока,
процентной ставки и длины этого периода.
Предполагается, что весь объем инвестиций делается в конце
года, предшествующего первому году генерируемого проектом притока денежных
средств, хотя в принципе инвестиции могут делаться в течение ряда последующих лет.
Приток (отток) денежных средств имеет место в конце
очередного года (поскольку, например, именно так считается прибыль -
нарастающим итогом на конец отчетного периода).
Коэффициент дисконтирования, используемый для оценки проектов
с помощью методов, основанных на дисконтированных оценках, должен
соответствовать длине периода, заложенного в основу инвестиционного проекта
(например, годовая ставка берется только в том случае, если длина периода -
год).
Критерии, используемые в анализе инвестиционной деятельности,
можно подразделить на две группы в зависимости от того, учитывается или нет
временной параметр:
1. основанные на дисконтированных оценках;
a) чистый приведенная стоимость (ЧМС);) индекс
рентабельности инвестиций (ИД);) и другие.
2. основанные на учетных оценках.
a) срок окупаемости инвестиции (ТОК);) расчетный
уровень доходности (РУД);) и другие.
В рамках данной работы предлагается оценить проект с позиций
инвестора.
Условными обозначениями для анализа выступают:
ИНАЧ - начальные вложения в фирму
Т - срок жизни проекта
Di - ежегодные поступления от деятельности после
реализации проекта i изменяется от 1 до Т
C - цена продажи
А - амортизация
- приведенные доходы
- приведенные затраты
- приведенный доход от продажи
Таблица 4.1.
|
№ вар.
|
Начальные
вложения в фирму, Инач, у.д.е.
|
Срок жизни
проекта, Тсл, лет
|
Ежегодные
поступления, Di, у.д.е.
|
Цена продажи,
С, у.д.е.
|
|
F1
|
200000000
|
10 лет
|
140000000
|
300000000
|
|
F2
|
25000000
|
5 лет
|
10000000
|
40000000
|
|
F3
|
600000000
|
10 лет
|
130000000
|
900000000
|
|
F4
|
1000000
|
10 лет
|
1500000
|
20000000
|
|
F5
|
500000
|
3 года
|
1000000
|
1500000
|
|
F6
|
480000000
|
6 лет
|
500000000
|
2000000000
|
|
F7
|
3000000
|
10 лет
|
1500000
|
10000000
|
|
F8
|
100000
|
9 лет
|
25000
|
1000000
|
|
F9
|
10000000
|
5 лет
|
7000000
|
80000000
|
|
F10
|
40000000
|
8 лет
|
20000000
|
80000000
|
Для определения эффективности этого проекта рассчитывают
систему следующих показателей:
1) Расчетный уровень дохода
К преимуществам данного показателя можно
отнести:
a) простота понимания и расчета;
b) отражение
прибыльности проекта;) количественная связь с финансовым положением;) показатель
отражает весь срок жизни проекта
В качестве недостатков расчетного уровня
дохода можно отметить:
a) не учитывается ценность будущих поступлений по
отношению к текущему периоду времени.
2) Срок окупаемости проекта
Периодом окупаемости проекта называется время, за которое
поступления от производственной деятельности предприятия покроют затраты на
инвестиции. Срок окупаемости обычно измеряется в годах или месяцах.
Достоинством периода окупаемости проекта можно считать то,
что он достаточно хорошо характеризует риск проекта. В качестве недостатков
можно отмстить то, что период окупаемости не отражает эффективность проекта
после периода окупаемости и не может быть использован для определения
прибыльности проекта.
3) Чистая приведенная стоимость (ЧПС)
Чистая приведенная стоимость представляет собой оценку
сегодняшней стоимости потока будущего дохода. Чистая приведенная стоимость
равна приведенной стоимости будущих прибылей или денежных потоков,
дисконтированных с помощью соответствующей процентной ставки, за вычетом
приведенной стоимости инвестиционных затрат. ЧПС используется для оценивания и
ранжирования различных предложений об инвестициях, с использованием общей базы
для сравнения. Инвестор должен отдавать предпочтение только тем проектам, ЧПС
которых имеет положительное значение.
Расчет ЧПС может вестись в табличной форме (табл. 4.2).
Таблица 4.2
|
Год
|
Статьи
поступлений / затрат
|
Объем
поступлений / затрат
|
Индекс
приведения
|
Настоящий
уровень
|
|
0
|
Инвестиции в
активах
|
ИНАЧ
|
F0
|
ИНАЧ*
F0 =
|
|
1¸Т
|
Ежегодные
поступления
|
Дi
|
F1
|
Дi* F1 =
|
|
Т
|
Поступления от
продажи
|
С
|
F2
|
С* F2 =
|
|
|
|
|
ЧПС = + +
|
*
- это первоначальные затраты,
поэтому необходимо учесть знак «-»
Если ЧПС > 0, то проект можно считать эффективным.
Если ЧПС < 0, то проект убыточный (затраты не окупаются).
При противоречивых результатах, предпочтение отдается ЧПС.
Таблица 4.3.
|
F1 *
|
|
F2
|
|
Год
|
для 130%
|
|
Год
|
для 130%
|
|
1
|
0,434783
|
|
1
|
0,434783
|
|
2
|
0,623819
|
|
2
|
0,189036
|
|
3
|
0,706008
|
|
3
|
0,08219
|
|
4
|
0,741743
|
|
4
|
0,035735
|
|
5
|
0,757279
|
|
5
|
0,015537
|
|
6
|
0,764035
|
|
6
|
0,006755
|
|
7
|
0,766972
|
|
7
|
0,002937
|
|
8
|
0,768248
|
|
8
|
0,001277
|
|
9
|
0,768804
|
|
9
|
0,000555
|
|
10
|
0,769045
|
|
10
|
0,000241
|
* норматив для дисконтирования настоящего уровня
4)
Индекс прибыльности проекта
Индекс прибыльности - критерий оценки
инвестиционного проекта, определяемый как частное от деления приведенной
стоимости, связанных с его реализацией будущих денежных потоков на приведенную
стоимость первоначальных инвестиций. Индекс прибыльности также является одним
из показателей, на основании которого производят сравнение различных проектов и
принимают решение о финансировании.
Используя для оценки инвестиционных проектов индекс, следует
помнить правило, что его значение, для эффективных проектов не должно быть
менее единицы. Однако следует не забывать, что очень большие значения индекса
прибыльности не всегда соответствуют высокому значению ЧПС.
Если
то проект эффективен.
Если
< 1, то проект неэффективен.
Список литературы
1. Липаев В.В. Технико-экономическое обоснование
проектов сложных программных средств. - М.: СИНТЕГ, 2004.
2. Липаев В.В. Экономика производства
сложных программных продуктов. - М.: СИНТЕГ, 2008.
. Макконелл С. Сколько стоит программный
проект. - М.: «Русская редакция», СПб.: Питер, 2007.
. Сатунина А.Е. Управление проектом
корпоративной информационной системы предприятия. - М.: Финансы и статистика;
ИНФРА-М, 2009.