Высшая математика
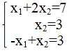
1. Решить систему линейных
уравнений методом Крамера, методом обратной матрицы, методом Гаусса
а) Метод Крамера
Обозначим через∆ = │А│, │А│-
это определитель третьего порядка, т.к. три строчки и три столбца.
Формула для определителя третьего порядка имеет
вид:
∙
При вычислении определителя третьего порядка
удобно пользоваться правилом треугольников, которое символически можно записать
следующим образом:
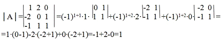
∆= │А│=1
Обозначим через ∆1 определитель
матрицы А, полученный заменой первого его столбца столбцом свободных членов.
Через ∆2 определитель матрицы
А, полученный заменой второго его столбца столбцом свободных членов.
Через ∆3 определитель матрицы
А, полученный заменой третьго его столбца столбцом свободных членов.
Найдем: х1=1∕1 =1
х2=3∕1=3
х3=1∕1=1
ОТВЕТ: (1;3;1)
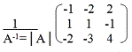
б) Метод обратной матрицы
Понятие обратной матрицы вводится только для
квадратных матриц.
Квадратной матрицей называется та матрица у
которой число строк равно числу столбцов.
Матрица А квадратная.
Находим обратную матрицу к матрице А. А≠0
Вычислить обратную матрицу можно по формуле:
,
Дана матрица
Найти матрицу, обратную данной. Проверить, что AA-1
=
E.
Вычислим определитель матрицы разложением по
первой строке
Найдем все алгебраические дополнения
Минором Mij
элемента aij
определителя n-го порядка (n
>
1)
называется определитель (n -
1)-го
порядка, полученный из определителя n-го
порядка вычеркиванием i-й
строки и j-го столбца, на
пересечении которых стоит данный элемент aij.
Алгебраическим дополнением элемента aij
называется число Aij =
(-1)i+j
Mij.
Находим х по формуле
х=А-1∙В, где В это свободные
члены уравнения
Сделаем проверку
матрица производная вектор уравнение
Ответ:
;
(1;3;1)
в) Метод Гаусса
Суть метода заключается в том, что с помощью
элементарных преобразований СЛУ приводят к эквивалентной ступенчатой системе:
Элементарные преобразования СЛУ
1. Перестановка любых двух уравнений.
2. Почленное умножение любого уравнения
системы на произвольное ненулевое число.
. Почленное прибавление к некоторому
уравнению системы любого другого ее уравнения, умноженного на произвольное
число.
. Вычеркивание в системе нулевого
уравнения, т. е. уравнения вида:
× x1
+
0
× x2
+
…
+0 × xn = 0.
Запишем расширенную матрицу ситемы и будем к ней
применять элементарные преобразования, добиваясь ступенчатого вида.
)Из второй строки вычитаем третью
)Складываем первую строку с полученной второй
Система уравнений приняла вид
Подставляем найденные значения в третье
уравнение
+3+х3=3
х3=3+1-3
х3=1
2. Даны векторы
=(3,1,-1) и
=(0,1,1).
Найти их длины и скалярное произведение. Являются ли эти векторы
ортогональными?
Найдем длины векторов по формуле
.
│
│=
= 
=
│
│=
=
=
Найдем скалярное произведение векторов по
формуле
.
∙
=3∙0+1∙1+(-1)∙1=0,
значит векторы
и
ортогональные
Ответ : │
│=
, │
│=
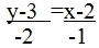
3. Написать уравнение прямой,
проходящей через точку А(2;3) параллельно направляющему вектору
=(-1;-2).
Найти расстояние от точки В(1;4) до полученной прямой
Вектор, параллельный данной прямой
или лежащий на ней, называется направляющим вектором этой прямой.
Пусть прямая проходит через точку М0
(x0;y0) и имеет направляющий
вектор q̅=(λ;β)
Тогда ее уравнение имеет вид
y-y0 = x-x0
βλ
Подставляем в данное уравнение
координаты точки А и вектора
Получим
(y-3)=-2(x-2)
y+3= -2x+4
x -y-1=0
Уравнение прямой 2x-y-1=0
Пусть задана прямая уравнением Ax
+ By + C=0
и точка M0 (x0;y0).
Расстояние d от точки M0до
прямой вычисляется по формулеЭ
В (1;4) уравнение прямой 2x-y-1=0
│2∙1-1∙4-1│ │-3│
d = √22+(-1)2
= √5 =0,6√5
Ответ: уравнение 2x-y-1=0
расстояние 0,6√5
4. Вычислить пределы: а)
; б)
; в)
.
а) lim
(1-4x)= lim 1- lim 4x=1- 4∙(-2)=9 →-2 x →-2 x →-2
)
, где c - любое
число.
)
, где c - любое
число.
)
.
б) Предел числителя и знаменателя
дроби
при x
® 1 равен нулю
(в таких случаях говорят, что имеем неопределенность вида
). Для
раскрытия этой неопределенности разложим числитель и знаменатель на множители
(в числителе применим формулу разложения квадратного трехчлена на множители, в
знаменателе - формулу разности квадратов) и сократим дробь. Получим:
.
.
в)
=при x
® ¥ стремятся к¥ (имеем дело
с неопределенностью вида
). Для
нахождения предела данной дроби разделим числитель и знаменатель дроби на
старшую степень x, т. е. на x3, получим
lim3x3-5
= lim3- x3= 3 = - 1→∞ 7-2x-3x3 x→∞
7 -2 -3-3
x3x2
так как при x ® ¥
каждая из дробей стремится к нулю.
Ответ:
а)
=9
б)
=2
в)
=-1
5. Найти производные функций одной
переменной и частные производные первого порядка функций двух переменных: а)
; б)
; в)
; г)
.
а)
;
Применяем формулы
1. C¢
=
0.
. (Cu)¢
=
Cu¢.
3. (u ±
v)¢ = u¢
± v¢.
. (uv)¢
= u¢v + uv¢.
5.
.
б)
;
.
в)
При нахождении частной производной
первого порядка функций двух переменных сначала дифференцируем как функцию
одной переменной , другая предполагается постоянной.
Z´xзначит y-постоянная
Z´x=(5x3y2-xy)´=5y2 ∙ 3x2 -y∙1=15y2x2-y
Z´yзначитx -
постоянная
Z´y=(5x3y2-xy)´=5x3∙2y-x∙1=10x3y-x
г)
Z´x=((x-2y)∙cosxy)´=(x-2y)´∙cosxy + (x-2y)∙(cosxy)´=1∙cosxy + (x-2y) ∙ (-sinxy) ∙∙(xy)´=cosxy + (x-2y) ∙ (-sinxy) ∙y = cosxy-xysinxy + 2y2sinxy
Z´y=((x-2y)∙cosxy)´= (x-2y)´∙cosxy + (x-2y)∙(cosxy)´=-2∙1∙cosxy + (x-2y) ∙ (-sinxy) ∙ ∙(xy)´=-2cosxy + (x-2y) ∙x∙(-sinxy)=-2 cosxy-x2 sinxy + 2xysinxy
6. Найти неопределенный интеграл и
проверить результат дифференцированием
а)
; б)
;
Интеграл от суммы (разности) двух
функций равен сумме (разности) интегралов от этих функций
Изтаблица основных интегралов
.
, a ≠ -1.
.
, x ≠ 0.
.
а)
=∫(x√x - 1∕x + 2)dx=∫x√xdx - ∫dx/x +2dx=
x3/2+1x2/5
∫x∙x1/2dx-∫dx/x +∫2dx=∫x3/2dx - ∫dx/x+∫2dx=3/2+1 -ln│x│+2x+c=5/2 -ln│x│
+2x+c=3/2+1=2.5
x2.5x2.5∙2
5/2 = 5
x2.5∙2
-ln│x│
+2x +c=0,4x2.5-ln│x│+2x
+c
Проверка
(0,4х2,5-ln│x│+2x+c)′=(0,4x2.5)′-(ln│x│)′+(2x)′+c′=0,4∙2.5∙x1.5-1/x+2=x1.5-1/x+2=x√x-1/x+2
б)
Введем подстановку 2-5x=t, тогда dt=d(2-5x)=(2-5x)´dx=-5dx
dt =
-5dx=dt/-5 dx=-1/5dt
=∫t7∙(-1/5)dt=-1/5∫t7dt=-1/5∙t8/8
+c=-1/40∙t8+c= заменяемt=2-5x,
получаем
-1/40(2-5x)8+c
Проверка
(-1/40(2-5х)8+с)′=-1/40∙8∙(2-5х)7∙(2-5х)′+с′=-1/5(2-5х)7∙(-5х)=(2-5х)7
Ответ: а) 0,4x2.5-ln│x│+2x
+c
б)-1/40(2-5x)8+c
7. Найти определенный интеграл.
Найдем определенный интеграл по
формуле Ньютона-Лейбница.
Если функция y
=
f(x)
непрерывна на отрезке [a;
b]
и F(x)
- некоторая ее первообразная, то
.
Если ввести обозначение
, то формула
Ньютона -Лейбница примет вид
.
∫=(2-3x4
+x)dx=
∫2dx - 3 ∫x4dx
+ ∫xdx=(2x-3∙x5/5+x2/2)│
=
=(2∙1-3∙15/5+12/2)-(2∙(-1)-3∙(-1)5/5+(-1)2/2)=(2-3/5+1/2)-(-2+3/5+1/2)=
=2-3/5+1/2+2-3/5-1/2=2,8
Ответ:
=2,8
8. Исследовать на экстремум z=
4+3x-x2-2y-y2
Найдем частные производные первого порядка
z′x=
3-2x; z′y=
-2-2y
Найдем критические точки, это точки в которых
производная равна нулю, либо не существует. Имеем критическую точку М(1,5;-1)
Частные производные второго порядка
z″xx=(3-2x)′=-2
z″xy=(3-2x)′=0
z″yy=-2
НаходимD=z″xx∙z″yy-(z″xy)2=-2∙(-2)-0=4
Т.к. D>0
и z″xx<0,
то точка М(1,5;-1)является точкой максимума.
Находим экстремумы функции
zmax=z(1,5;-1)=4+3∙1,5-1,52-2∙(-1)-(-1)2=7,25
Ответ:zmax=z(1,5;-1)=7,25
9. Студент сдает сессию из двух
экзаменов. Он добросовестно подготовился и считает, что на каждом экзамене
получит «4» с вероятностью
, «два» получить не может, а
получение «три» и «пять» для него равновероятно. Какова вероятность того, что
а) он сдаст сессию без троек; б) сдаст сессию на «отлично»?
Введем обозначения Оценка 3 - А
Р(А)=0,05
Оценка 4 - В Р(В)=0,9
Оценка 5 - С Р(С)=0,05
Воспользуемся теоремой сложения и
умножения вероятностей
Р(А+В)=Р(А)+Р(В)-Р(АВ)
события А и В несовместимы
Р(А∙В)=Р(А)∙Р(В)
а)Р(В+С)=Р(В)+Р(С)-Р(В∙С)=0,9+0,05-0,9∙0,05=0,9+0,05-0,045=0,905
вероятность сдачи сессии без троек
в) Р(Ᾱ∙В̅)=(1-0,05)∙(1-0,9)=0,95∙0,1=0,095
вероятность сдачи сессии на отлично
ОТВЕТ: а) 0,905
в) 0,095
11. На первом курсе 70 студентов. Из
них 30 человек занимаются физкультурой в секции гимнастики, 20 - в секции
лыжного спорта, остальные - легкоатлеты. Вероятность получить зачет «автоматом»
у гимнастов - 0,8; у лыжников - 0,85; у легкоатлетов - 0,75. Найти вероятность
того, что наудачу выбранный с курса студент получит зачет по физкультуре
автоматически
А - это событие
Р(А) - это вероятность события А
Введем гипотезы
H1 - зачет
автоматом получил гимнаст
H2 - зачет
автоматом получил лыжник
H3 - зачет
автоматом получил легкоатлет
Значит Р(A/ H1) = 0,8
Р(А/ H2) = 0,85
Р(А/ H3) = 0,75
-(30+20)=20 легкоатлетов
Вероятность того, что автоматом
зачет получит гимнаст будет
Р(H1)=
=
Лыжник Р(H2)=
=
легкоатлет Р(H3)=
=
По формуле полной вероятности
Вычислим
Р(А)=
∙ 0,8 +
∙ 0,85
+
∙
0,75=
∙
+
∙
+
∙
=
+
+
=
=
=0,8
ОТВЕТ: 0,8
. В таблице дан закон распределения
случайной величины (месячная выручка киоска «Роспечать»). Найти математическое
ожидание и дисперсию этой случайной величины
|
xi
|
115
|
105
|
95
|
90
|
85
|
65
|
|
pi
|
    
|
|
|
|
|
|
Многоугольник распределения случайной величины X
имеет вид:
а) Найдем математическое ожидание случайной
величины X:
Математическое ожидание равно сумме произведений
всех возможных значений X
на соответствующие вероятности
М(х)=115∙
+105∙
+95∙
+90∙
+85∙
+65∙
=
=2,875+21+47,5+18+4,25+1,625= 95,25
б) Найдем дисперсию случайной
величины X:
Дисперсией дискретной случайной
величины X называется
математическое ожидание квадрата отклонения случайной величины от ее
математического ожидания. Для вычисления дисперсии удобно использовать формулу
D(x)=M(x2) - M2x
M(x2)= 1152∙
+1052∙
+952∙
+902∙
+852∙
+652∙
=
=
330,625+2205+4512,5+1620+361,25+105,625=9135
D(x)=9135-95.252=9135-9072,5625=62,4375
Среднее квадратическое отклонение
случайной величины
=
=7,9017403
7,90
ОТВЕТ: М(х)= 95,25 D(x)= 62,4375 s(х)
7,90