Регистр арифметического устройства ЭВМ

  • Вид работы:
    Курсовая работа (т)
  • Предмет:
    Информационное обеспечение, программирование
  • Язык:
    Русский
    ,
    Формат файла:
    MS Word
    389,36 Кб
  • Опубликовано:
    2013-04-25
Вы можете узнать стоимость помощи в написании студенческой работы.
Помощь в написании работы, которую точно примут!

Регистр арифметического устройства ЭВМ














Курсовая работа

По дисциплине «Информатика»













Калуга - 2011

Введение

Каждый регистр арифметического устройства ЭВМ, каждая ячейка памяти представляет собой физическую систему, состоящую из некоторого числа однородных элементов. Каждый такой элемент способен находиться в нескольких состояниях и служит для изображения одного из разрядов числа. Именно поэтому каждый элемент ячейки называют разрядом. Нумерацию разрядов в ячейке принято вести справа налево, самый левый разряд имеет порядковый номер 0. Наиболее надежным и дешевым является устройство, каждый разряд которого может принимать два состояния: намагничено - не намагничено, высокое напряжение - низкое напряжение и т.д. В современной электронике развитие аппаратной базы ЭВМ идет именно в этом направлении.

1. Теоретическая часть

.1 Системы счисления

Для записи информации о количестве объектов материального мира используются числа, которые разделяются по определенным признакам. На рис. 1 представлена классификация чисел по групповому признаку, когда в каждую группу входят числа, обладающие определенными свойствами.

Рис. 1. Классификация чисел

Числа записываются с использованием особых знаковых систем, которые называются системами счисления, в них числа записываются по определенным правилам с помощью символов некоторого алфавита, называемых цифрами.

Все системы счисления делятся на два вида: позиционные и непозиционные. В позиционных системах счисления значение цифры зависит от ее положения в числе, в непозиционных - не зависит. Самой распространенной из непозиционных систем является римская. В качестве цифр в римской системе используются следующие символы: I (1), V (5), X (10), L (50), С (100), D (500), М (1000). Значение цифры в этой системе не зависит от ее положения в числе. Величина числа в римской системе определяется как сумма и разность цифр в числе. Если меньшая цифра стоит слева от большей, то она вычитается, если справа - прибавляется.

Например, число 1997 (десятичная позиционная система счисления) в римской системе счисления будет выглядеть следующим образом: MCMXCVII = 1000 + (1000 - 100) + (100 - 10) + 5 + 1 + 1.

Наибольшее применение при вводе, обработке и выводе информации в компьютере и компьютерных системах нашли позиционные системы счисления, при этом самыми распространенными являются десятичная, двоичная, восьмеричная и шестнадцатеричная системы. В позиционных системах счисления количественное значение цифры зависит от ее позиции в числе. Основание системы равно количеству цифр (знаков ее алфавита) и определяет, во сколько раз различаются значения цифр соседних разрядов числа. В общем случае в позиционной системе счисления любое число, содержащее целую и дробные части, в развернутой форме может быть представлено в виде:


или в рекуррентной форме:

где K - представляемое число; h - основание системы счисления; а - разрядный коэффициент, а = 0, 1, 2, 3…, h-1, т. е. цифры, принадлежащие алфавиту данной системы счисления; i - номер разряда, позиция; n - число целых разрядов числа; m - число дробных разрядов числа.

В десятичной системе счисления формула (2.2) может быть записана следующим образом:


где а = 0, 1, 2, 3…, 9.

Например, число 827 десятичной системы счисления в соответствии с выражением (2.3) можно представить в виде: 827 = 8 · 102 + 2 · 101 + 7 · 100.

Десятичная система исчисления используется в компьютерах для ввода числовых данных и отображения полученного результата. Все внутренние, промежуточные операции компьютер производит в двоичной системе счисления и соотношение (2.2) примет вид:


где а = 0, 1.

Например, число 11001110112 двоичной системы счисления в соответствии с формулой (2.4) можно представить в виде: 1 · 29 + 1 · 28 + 0 · 27 + 0 · 26 + 1 · 25 + 1 · 24 + 1 · 23 + 0 · 22 + 1 · 21 + 1 · 20.

Достаточно широко при компьютерной обработке информации применяются восьмеричная и шестнадцатеричная системы счисления, которые используются, например, для обозначения адресов расположения данных в памяти компьютера и т. д.

Соотношение (2.2) для восьмеричной и шестнадцатеричной системы счисления соответственно примет вид (2.5) и (2.6) :


где а = 0, 1, 2, 3…, 7.

Например, число 14738 восьмеричной системы счисления в соответствии с (2.5) примет вид: 1 · 83 + 4 · 82 + 7 · 81 + 3 · 80.


где а = 0, 1, 2, 3…, 9, A, B, C, D, E, F.

В шестнадцатеричной системе счисления используется шестнадцать цифр, из которых десять цифр арабские (0, 1, 2, 3, 4, 5, 6, 7, 8, 9), а остальные цифры (10, 11, 12, 13, 14, 15) обозначаются буквами латинского алфавита (А = 10, В = 11, С = 12, D = 13, E = 14, F = 15).

Например, число 33B16 шестнадцатеричной системы счисления, в соответствии с (2.6) примет вид: 3 · 162 + 3 · 161 + В · 160 (В = 11).

При операциях с числами, представленными в различных системах счисления, необходимо указывать систему счисления числа, используя нижний индекс, например: 82710 - число 827 в десятичной системе; 11001110112 - число 1100111011 в двоичной системе; 14738 - число 1473 в восьмеричной системе; 33B16 - число 33В в шестнадцатеричной системе счисления.

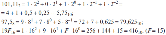
Преобразование чисел, представленных в двоичной, восьмеричной и шестнадцатеричной системах счисления, в десятичную осуществляется достаточно просто. Для этого необходимо записать число в развернутой форме в соответствии с выражением (2.1) и вычислить его значение. Например:


Преобразование чисел, представленных в десятичной системе счисления, в двоичную, восьмеричную и шестнадцатеричную системы счисления - более сложная процедура, которая может осуществляться различными способами: деления, умножения, вычитания и т. д. При этом необходимо учитывать, что способы перевода целых десятичных чисел и правильных дробей будут различаться. Для перевода целого десятичного числа, например 5310, в двоичную систему можно использовать способ деления, а десятичной правильной дроби, например 0,7510, в двоичную систему - способ умножения. Результаты действий отобразим в соответствующих табл. 1 и 2.

Таблица 1


Таким образом, 5310 = 1101012.

Таблица 2


Таким образом, 0,7510 = 0,112.

.2 Арифметические операции над числами, представленными в различных системах счисления

Арифметические операции во всех позиционных системах счисления выполняются по одним и тем же правилам. Для проведения арифметических операций над числами, представленными в различных системах счисления, необходимо предварительно преобразовать их в одну систему счисления и учесть то, что перенос в следующий разряд при операции сложения и заем из старшего разряда при операции вычитания определяется величиной основания системы счисления.

Арифметические операции в двоичной системе счисления основаны на таблицах сложения, вычитания и умножения одноразрядных двоичных чисел.

При сложении двух единиц происходит переполнение разряда и производится перенос единицы в старший разряд, при вычитании 0-1 производится заем из старшего разряда, в таблице «Вычитание» этот заем обозначен 1 с чертой над цифрой (Таблица 3).

Таблица 3


Ниже приведены примеры выполнения арифметических операций над числами, представленными в различных системах счисления:


Арифметические операции над целыми числами, представленными в различных системах счисления, достаточно просто реализуются с помощью программ Калькулятор и MS Excel.

.3 Представление чисел в компьютере

Числовые данные обрабатываются в компьютере в двоичной системе счисления. Числа хранятся в памяти компьютера в двоичном коде, т. е. в виде последовательности нулей и единиц, и могут быть представлены в формате с фиксированной или плавающей запятой.

Целые числа хранятся в памяти в формате с фиксированной запятой. При таком формате представления чисел для хранения целых неотрицательных чисел отводится регистр памяти, состоящий из восьми ячеек памяти (8 бит). Каждому разряду ячейки памяти соответствует всегда один и тот же разряд числа, а запятая находится справа после младшего разряда и вне разрядной сетки. Например, число 110011012 будет храниться в регистре памяти следующим образом:

Таблица 4


Максимальное значение целого неотрицательного числа, которое может храниться в регистре в формате с фиксированной запятой, можно определить из формулы: 2n - 1, где n - число разрядов числа. Максимальное число при этом будет равно 28 - 1 = 25510 = 111111112и минимальное 010 = 000000002. Таким образом, диапазон изменения целых неотрицательных чисел будет находиться в пределах от 0 до 25510.

В отличие от десятичной системы в двоичной системе счисления при компьютерном представлении двоичного числа отсутствуют символы, обозначающие знак числа: положительный (+) или отрицательный (-), поэтому для представления целых чисел со знаком в двоичной системе используются два формата представления числа: формат значения числа со знаком и формат дополнительного кода. В первом случае для хранения целых чисел со знаком отводится два регистра памяти (16 бит), причем старший разряд (крайний слева) используется под знак числа: если число положительное, то в знаковый разряд записывается 0, если число отрицательное, то - 1. Например, число 53610 = 00000010000110002 будет представлено в регистрах памяти в следующем виде:

Таблица 5


а отрицательное число -53610 = 10000010000110002 в виде:

Таблица 6


Максимальное положительное число или минимальное отрицательное в формате значения числа со знаком (с учетом представления одного разряда под знак) равно 2n-1 - 1 = 216-1 - 1 = 215 - 1 = 3276710 = 1111111111111112 и диапазон чисел будет находиться в пределах от -3276710 до 32767.

Наиболее часто для представления целых чисел со знаком в двоичной системе применяется формат дополнительного кода, который позволяет заменить арифметическую операцию вычитания в компьютере операцией сложения, что существенно упрощает структуру микропроцессора и увеличивает его быстродействие.

Для представления целых отрицательных чисел в таком формате используется дополнительный код, который представляет собой дополнение модуля отрицательного числа до нуля. Перевод целого отрицательного числа в дополнительный код осуществляется с помощью следующих операций:

) модуль числа записать прямым кодом в n (n = 16) двоичных разрядах;

) к полученному обратному коду прибавить единицу к младшему разряду.

Например, для числа -53610 в таком формате модуль будет равен 00000010000110002, обратный код - 1111110111100111, а дополнительный код - 1111110111101000.

Необходимо помнить, что дополнительный код положительного числа - само число.

Для хранения целых чисел со знаком помимо 16-разрядного компьютерного представления, когда используются два регистра памяти (такой формат числа называется также форматом коротких целых чисел со знаком), применяются форматы средних и длинных целых чисел со знаком. Для представления чисел в формате средних чисел используется четыре регистра (4 х 8 = 32 бит), а для представления чисел в формате длинных чисел - восемь регистров (8 х 8 = 64 бита). Диапазоны значений для формата средних и длинных чисел будут соответственно равны: -(231 - 1) … + 231 - 1 и -(263-1) … + 263 - 1.

Компьютерное представление чисел в формате с фиксированной запятой имеет свои преимущества и недостатки. К преимуществам относятся простота представления чисел и алгоритмов реализации арифметических операций, к недостаткам - конечный диапазон представления чисел, который может быть недостаточным для решения многих задач практического характера (математических, экономических, физических и т. д.).

Вещественные числа (конечные и бесконечные десятичные дроби) обрабатываются и хранятся в компьютере в формате с плавающей запятой. При таком формате представления числа положение запятой в записи может изменяться. Любое вещественное число К в формате с плавающей запятой может быть представлено в виде:


где А - мантисса числа; h - основание системы счисления; p - порядок числа.

Выражение (2.7) для десятичной системы счисления примет вид:


для двоичной -

для восьмеричной -


для шестнадцатеричной -


и т. д.

Такая форма представления числа также называется нормальной. С изменением порядка запятая в числе смещается, т. е. как бы плавает влево или вправо. Поэтому нормальную форму представления чисел называют формой с плавающей запятой. Десятичное число 15,5, например, в формате с плавающей запятой может быть представлено в виде: 0,155 · 102; 1,55 · 101; 15,5 · 100; 155,0 · 10-1; 1550,0 · 10-2 и т. д. Эта форма записи десятичного числа 15,5 с плавающей запятой не используется при написании компьютерных программ и вводе их в компьютер (устройства ввода компьютеров воспринимают только линейную запись данных). Исходя из этого выражение (2.7) для представления десятичных чисел и ввода их в компьютер преобразовывают к виду


где Р - порядок числа,

т. е. вместо основания системы счисления 10 пишут букву Е, вместо запятой - точку, и знак умножения не ставится. Таким образом, число 15,5 в формате с плавающей запятой и линейной записи (компьютерное представление) будет записано в виде: 0.155Е2; 1.55Е1; 15.5Е0; 155.0Е-1; 1550.0Е-2 и т.д.

Независимо от системы счисления любое число в форме с плавающей запятой может быть представлено бесконечным множеством чисел. Такая форма записи называется ненормализованной. Для однозначного представления чисел с плавающей запятой используют нормализованную форму записи числа, при которой мантисса числа должна отвечать условию


где |А| - абсолютное значение мантиссы числа.

Условие (2.9) означает, что мантисса должна быть правильной дробью и иметь после запятой цифру, отличную от нуля, или, другими словами, если после запятой в мантиссе стоит не нуль, то число называется нормализованным. Так, число 15,5 в нормализованном виде (нормализованная мантисса) в форме с плавающей запятой будет выглядеть следующим образом: 0,155 · 102, т. е. нормализованная мантисса будет A = 0,155 и порядок Р = 2, или в компьютерном представлении числа 0.155Е2.

Числа в форме с плавающей запятой имеют фиксированный формат и занимают в памяти компьютера четыре (32 бит) или восемь байт (64 бит). Если число занимает в памяти компьютера 32 разряда, то это число обычной точности, если 64 разряда, то это число двойной точности. При записи числа с плавающей запятой выделяются разряды для хранения знака мантиссы, знака порядка, мантиссы и порядка. Количество разрядов, которое отводится под порядок числа, определяет диапазон изменения чисел, а количество разрядов, отведенных для хранения мантиссы, - точность, с которой задается число.

При выполнении арифметических операций (сложение и вычитание) над числами, представленными в формате с плавающей запятой, реализуется следующий порядок действий (алгоритм) :

) производится выравнивание порядков чисел, над которыми совершаются арифметические операции (порядок меньшего по модулю числа увеличивается до величины порядка большего по модулю числа, мантисса при этом уменьшается в такое же количество раз);

) выполняются арифметические операции над мантиссами чисел;

) производится нормализация полученного результата.

2. Практическая часть

.1 Постановка задачи

Торговое предприятие ООО «Электрон» осуществляет розничную продажу бытового оборудования и средств вычислительной техники (СВТ). Для продвижения товара предприятие организует рекламную кампанию, на осуществление которой формируется бюджет в зависимости от объема продаж и показателя отчислений на рекламу.

.1.1 Цель решения задачи

Для высокой розничной продажи бытового оборудования и средств вычислительной техники нужно правильно организовать и рассчитать рекламную компанию.

.1.2 Условие задачи

Исходным условием является объем продаж бытовой техники (руб.), объем продаж средств вычислительной техники (руб.) и показатели отчислений на рекламу (%) за каждый месяц.

В таблицу объема продаж будут вводиться данные о продажах (руб.)

Таблица 1

Месяц

Объем продаж бытовой техники, руб.

Объем продаж СВТ, руб.

Объем продаж всего за месяц, руб.

Январь

121 562

278 365


Февраль

165 897

456 325


Март

459 325

258 963


Апрель

256 987

333 478


Май

128 965

236 985


Июнь

222 655

325 654


Июль

179 258

289 741


Август

258 963

569 258


Сентябрь

165 321

456 921

147 852

324 512


Ноябрь

236 654

258 963


Декабрь

456 321

547 963



И дана таблица показателя отчислений на рекламу (%)

Таблица 2

Январь

Февраль

Март

Апрель

Май

Июнь

Июль

Август

Сентябрь

Октябрь

Ноябрь

Декабрь

3,2

3,5

3,4

4,1

4,8

4,9

3,9

4,5

3,2

3,3

4,2

4,9


Результаты из предыдущих таблиц (объем продаж всего за месяц, показатель отчислений на рекламу; с помощью функции ВПР или ПРОСМОТР) занести в третью таблицу и рассчитать рекламный бюджет

Таблица 3

Месяц

Объем продаж всего за месяц, руб.

Показатель отчислений на рекламу, %

Рекламный бюджет, руб.

Январь




Февраль




Март




Апрель




Май




Июнь




Июль




Август




Сентябрь




Октябрь




Ноябрь




Декабрь




Итого общий рекламный бюджет за год, руб.



В процессе решения задачи необходимо использовать межтабличные связи для организации ввода и контроля исходных данных, а также для организации процессов расчета функции ВПР, ПРОСМОТР.

Кроме того, информацию, находящуюся в таблицах для анализа, необходимо представить в виде диаграмм.

.2 Компьютерная модель решения задачи

Компьютерная модель состоит из трех частей: информационной и аналитической моделей и технологии решения задачи.

.2.1 Информационная модель решения задачи

Информационная модель, отражающая взаимосвязь исходных и результирующих документов, приведена на рис. 1.

Рис. 1. Информационная модель взаимосвязи исходных и результирующих данных

.2.2 Аналитическая модель решения задачи

Для получения данных, затраченных на рекламный бюджет необходимо рассчитать следующие показатели:

·        сумму объема продаж всего за месяц;

·        рекламный бюджет за месяц;

·        сумму общего рекламного бюджета за год.

Расчет рекламного бюджета за месяц будет вычисляться так: показатель отчислений на рекламу нужно разделить на 100 % и умножить на объем продаж всего за месяц, полученный результат занести в колонку 3 Таблицы 3

.2.3 Технология решения задачи

Решение задачи средствами MS Excel

1.      Переименовать «Лист 1» в «Объем продаж»

.        Форматировать заголовок:

• выделить ячейки A1÷D1 (рис. 2 - здесь и далее в описании использована собственная нумерация рисунков);

Рис. 2. Пример выделения группы ячеек

4.      Ввести в ячейки A3÷D3 информацию, представленную на рис. 5.

Рис. 3. Имена полей таблицы «Объем продаж»

. Организовать контроль данных, вводимых в колонку «Месяц»:

• выделить ячейки А3÷А15;

• выполнить команду «Проверка данных» в меню «Данные»;

• в поле «Тип данных» нажать кнопку «Любое значение» (рис. 4).

Рис. 4. Выбор типа данных

Замечание. Выбор типа данных вводимых значений в списке «Тип данных» позволяет определить, какие условия можно установить для значений ячеек. Если для определения допустимых значений требуется ввести формулу, выражение или ссылку на вычисления в другой ячейке, то выбирается в списке строка «Другой».

• выделить ячейки В3÷В15;

• выполнить команду «Проверка данных» в меню «Данные»;

• в поле «Тип данных» нажать кнопку «Целое число».

• задать в поле «Минимум»: 100;

• задать в поле «Максимум»: 2000000 (рис. 5). Тоже делаю с ячейками С3÷С15 и D3÷D15

Рис. 5. Задание интервала допустимых значений целых чисел

Замечание. Если есть необходимость видеть постоянно на экране подсказку об ограничениях ввода в выбранную ячейку, то нужно выбрать закладку «Сообщение для ввода». Если нужно, чтобы сообщение появлялось только после ошибки, нужно выбрать закладку «Сообщение об ошибке».

. Ввести информацию, приведенную в табл. 1.

Таблица 4

Объем продаж

Месяц

Объем продаж бытовой техники, руб.

Объем продаж СВТ, руб.

Объем продаж всего за месяц, руб.

Январь

121 562

278 365


Февраль

165 897

456 325


Март

459 325

258 963


Апрель

256 987

333 478


Май

128 965

236 985


Июнь

222 655

325 654


Июль

179 258

289 741


Август

258 963

569 258


Сентябрь

165 321

456 921


Октябрь

147 852

324 512


Ноябрь

236 654

258 963


Декабрь

456 321

547 963



. Переименовать «Лист 2» в «Показатель отчислений на рекламу» (аналогично действиям пункта 1).

. Создать таблицу «Показатель отчислений на рекламу» (аналогично действиям пунктов 3 - 5) (рис.6).

. Ввести исходные данные (см. рис. 6).

Рис. 6. Вид таблицы «Показатель отчислений на рекламу»

. Создать таблицу «Рекламный бюджет» (аналогично действиям пунктов 3 - 5) (рис.7).

Рис. 7. Вид таблицы «Рекламный бюджет»

.Занести в ячейки формулы

• воспользоваться командой «Вставить функцию» меню «Формулы»;

• в поле «Категория:» выбрать «Ссылки и массивы»;

• в поле «Выберите функцию» нажать «ВПР» (рис. 8);

Рис. 8. Вид первого окна мастера функций

• нажать кнопку «OK»;

• ввести объем продаж в поле «Искомое_значение», щелкнув по ячейке D4;

• нажать «Enter»;

• ввести информацию в поле «Таблица»;

• выделить столбец объема продаж и сделать его абсолютным;

Рис. 9. Мастер функции

• нажать«Enter»;

• ввести информацию - цифру 1 в поле «Номер_столбца»;

• ввести информацию - цифру 0 в поле «Интервальный_просмотр» (рис. 23);

• нажать кнопку «OK»;

• установить курсор на маркер в правом нижнем углу ячейки В3, щелкнуть левой клавишей мыши и протянуть его до ячейки В13.

. Далее заполняется ячейка «Показатель отчисления на рекламу»

. Рекламный бюджет вычисляется по формуле:

=C3/100*B3

То есть «Показатель отчислений на рекламу делится на 100 % и умножается на объем продаж всего за месяц.

Рис. 10. Результат заполнения таблицы «Рекламный бюджет»

. Представить наглядно результаты расчетов, создав диаграмму по данным таблицы:

Рис. 11. Гистограмма «Рекламный бюджет»

.3 Результаты компьютерного эксперимента и их анализ

.3.1 Результаты компьютерного эксперимента

Для тестирования правильности решения задачи заполнить входные документы и справочники, а затем рассчитать результаты.

Объем продаж

Месяц

Объем продаж бытовой техники, руб.

Объем продаж СВТ, руб.

Объем продаж всего за месяц, руб.

Январь

121 562

278 365

399 927

Февраль

165 897

456 325

622 222

Март

459 325

258 963

718 288

Апрель

256 987

333 478

590 465

Май

128 965

236 985

365 950

Июнь

222 655

325 654

548 309

Июль

179 258

289 741

468 999

Август

258 963

569 258

828 221

165 321

456 921

622 242

Октябрь

147 852

324 512

472 364

Ноябрь

236 654

258 963

495 617

Декабрь

456 321

547 963

1 004 284


Показатель отчислений на рекламу, %

Январь

Февраль

Март

Апрель

Май

Июнь

Июль

Август

Сентябрь

Октябрь

Ноябрь

Декабрь

3,2

3,5

3,4

4,1

4,8

4,9

3,9

4,5

3,2

3,3

4,2

4,9

Рекламный бюджет

 

Месяц

Объем продаж всего за месяц, руб.

Показатель отчислений на рекламу, %

Рекламный бюджет, руб.

 

Январь

399 927

3,2

12797,664

 

Февраль

622 222

3,5

21777,77

 

Март

718 288

3,4

24421,792

 

Апрель

590 465

4,1

24209,065

 

Май

365 950

4,8

17565,6

 

Июнь

548 309

4,9

26867,141

 

Июль

3,9

18290,961

 

Август

828 221

4,5

37269,945

 

Сентябрь

622 242

3,2

19911,744

 

Октябрь

472 364

3,3

15588,012

 

Ноябрь

495 617

4,2

20815,914

 

Декабрь

1 004 284

4,9

49209,916

 

Итого общий рекламный бюджет за год, руб.

288725,524

 


В результате решения задачи полученные с помощью компьютера таблицы совпадают с тестовыми.

.3.2 Анализ полученных результатов

Таким образом, создание различных диаграмм (гистограмм, графиков) на основе данных таблиц средствами MS Excel позволяет не только наглядно представлять результаты обработки информации для проведения анализа с целью принятия решений, но и достаточно быстро осуществлять манипуляции в области их построения в пользу наиболее удобного представления результатов визуализации по задаваемым пользователем (аналитиком) параметрам.

Заключение

счисление компьютер excel word

Использование двоичной системы счисления в качестве внутренней системы представления информации вызвано конструктивными особенностями элементов вычислительных машин.

Во всех современных ЭВМ для представления числовой информации используется двоичная система счисления. Это обусловлено :

· более простой реализацией алгоритмов выполнения арифметических и логических операций;

· более надежной физической реализацией основных функций, так как они имеют всего два состояния (0 и 1);

· экономичностью аппаратурной реализации всех схем ЭВМ
Представление (кодирование) информации с помощью двоичного алфавита позволило не только ввести единицы для измерения ее количества (объема).

Действительно, информация, представленная последовательностью нулей и единиц, является дискретной.

Результаты, полученные в курсовой работе - наглядно представленные результаты обработки информации. Получение навыков при работе с MS Excel и текстовым редактором MS Word.

Список использованной литературы

а) Учебник

. Информатика: аппаратные средства персонального компьютера / под ред. В.Н. Яшин. - М.: 2008.

б) Электронные ресурсы

1. <http://irnik.narod.ru/> - статья «Представление информации в компьютере».

Похожие работы на - Регистр арифметического устройства ЭВМ

 

Не нашли материал для своей работы?
Поможем написать уникальную работу
Без плагиата!
Без нейросетей!