Расчет характеристик сигналов и каналов связи
Реферат
В курсовом проекте «Расчет характеристик
сигналов и каналов связи» рассматриваются методы и примеры расчета
характеристик сигналов и каналов связи. Курсовой проект содержит основные
сведения о характеристиках и параметрах сигналов и каналов связи, примеры и
методы их расчета, графики различных характеристик сигналов. Рассмотрены
принципы преобразования сигналов в цифровую форму и требования к
аналогово-цифровому преобразователю (АЦП). Приведены рекомендации для
облегчения вычислений при помощи вычислительной среды Mathsoft MathCAD.
Данный курсовой проект выполнен в соответствии с
СТП ОмГУПС 1.2-2005.
Введение
В курсовом проекте рассмотрены одиночные
сигналы, построены временные и спектральные характеристики. Поскольку
исследуемые сигналы являются одиночными, они могут быть представлены интегралом
Фурье и их спектральные характеристики являются непрерывными функциями частоты.
Временные зависимости напряжения и спектральные
характеристики исследуемых сигналов приведены в пункте 1 курсового проекта.
Найдена энергия трех сигналов аналитически и с
помощью программных средств. В задании на курсовой проект приведен процент от
полной энергии сигнала при ограничении спектра. Так, ограничив спектр
передаваемого сигнала, были найдены граничные частоты, и выбран сигнал с
наиболее узким спектром, что является естественным для передачи информации,
поскольку выбирая сигнал с более узким спектром, мы гипотетически сможем
реализовать систему большей канальности, нежели для полезного сигнала с широким
спектром.
В настоящее время огромное распространение
получила цифровая техника, которая основана на передаче двоичных сигналов.
Такую популярность цифровые устройства получили по ряду преимуществ: они более
помехозащищенные, чем аналоговые; цифровые сигналы можно передавать на большие
расстояния, восстанавливая и усиливая их через определенные промежутки времени.
Если помеха воздействуют на аналоговый сигнал, достоверность передаваемой
информации безвозвратно теряется. При воздействии той же помехи на цифровой
сигнал, при условии, что величина помехи не превышает определенного значения в
пункте переприема или приема можно восстановить исходный цифровой сигнал. Были
разработаны помехозащищенные коды, которые позволяют принять информацию при
воздействии на нее помех (при наличии небольших механических повреждений
(царапины) можно тем не менее считать информацию с CD - применен
помехозащищенный код).
Исходя из вышесказанного была проведена
оцифровка выбранного сигнала, выбран АЦП и рассчитаны его технические
характеристики.
В третьем пункте курсовой работы произведен
расчет функции автокорреляции, которая отвечает за статистическую связь между
сечениями сигнала в различные моменты времени.
В четвертом пункте для цифрового периодического
сигнала был построен спектр и показано, какие изменения претерпевает спектр при
фазовой модуляции. При данной модуляции вероятность ошибки минимальна, так как
передаваемые сигналы противоположны, а следовательно легко различимы при
приеме; высокие энергетические показатели. Существенным недостатком фазовой
модуляции, исключившим её практическое применение является сложность её схемной
реализации.
В пятом и шестом пункте курсового проекта
произведены расчеты информационных характеристик канала и вероятности ошибки
оптимального демодулятора соответственно.
Ниже приведена структурная схема
цифрового канала связи. Ниже осветим назначение элементов структурной схемы. На
вход преобразователя
подается
непрерывное сообщение, несущее некоторую информацию. В блоке
получаем
некоторую непрерывную зависимость напряжения от времени, которая ставится в
соответствие передаваемым сообщениям. Далее сигнал подвергается цифровой
обработке, которая заключается в дискретизации по времени и квантованию по
уровню и производится соответственно в блоках
и
. После этого сигнал кодируется; три
вышеназванные операции выполняет блок АЦП (аналогово-цифровой преобразователь).
Спектр закодированного сигнала переносится в область высоких частот, чтобы
оградится от помех (в частности индустриального характера), в блоке
«Модулятор». Линия связи осуществляет передачу сигнала от передатчика к
приемнику, демодулятор выполняет обратное преобразование спектра из области
несущей в область низких частот. Цифро-аналоговый преобразователь цифровой
сигнал в аналоговый, и на выходе получаем искаженные сообщения a’(t).
Рисунок 1 - Структурная схема
цифрового канала связи.
1. Характеристики сигналов
.1. Временные функции сигналов
.1.1 Временная функция первого
сигнала
Временная зависимость первого
сигнала (в задании - №2) имеет следующий аналитический вид:
, (1.1)
где
Общий вид представлен на рисунке
1.1.
Рисунок 1.1 - Временная зависимость
первого сигнала
1.1.2 Временная функция второго
сигнала
Временная зависимость второго
сигнала (в задании - №3) имеет следующий аналитический вид:
, (1.2)
где
Общий вид представлен на рисунке
1.2.
Рисунок 1.2 - Временная зависимость
второго сигнала
1.1.3 Временная функция третьего
сигнала
Временная зависимость третьего
сигнала (в задании - №4) имеет следующий аналитический вид:
, (1.3)
где
Общий вид представлен на рисунке
1.3.
Рисунок 1.3 - Временная зависимость
третьего сигнала
1.2 Частотные характеристики
сигналов
.2.1 Общие сведения
Спектр сигнала (его частотный
состав) является важнейшей характеристикой сигнала. Он определяет требования к
узлам аппаратуры связи -
помехозащищенность, возможность уплотнения.
Спектральная плотность - это характеристика сигнала в
частотной области, определяемая прямым преобразованием Фурье:
, (1.4)
где
-
временная функция сигнала;
-
круговая частота
Одним из важнейших достоинств
введенного интегрального преобразования Фурье является то, что решение любой
практической задачи может быть перенесено с помощью спектральной плотности из
временной области в частотную, и лишь на заключительном этапе расчетов
результат вновь переводится во временную область с помощью обратного
интегрального преобразования:
(1.5)
Однако в данном курсовом проекте
обратное преобразование не используется, задача ограничивается только поиском и
анализом спектров сигналов. Для этого рассмотрено несколько свойств
спектральной плотности.
Свойство вещественной и мнимой
частей спектра состоит в том, что при четной функции
мнимая
часть
, а при
нечетной -
. Это
следует непосредственно из интегральных форм.
Свойство линейности выражается в
том, что если имеется несколько сигналов
и у каждого из них имеется
спектральная плотность
, то
спектральная плотность суммы сигналов равна сумме их спектральных плотностей.
Смещение сигнала во времени. Если
предположить, что для сигнала
спектр
известен.
Рассмотрим такой же сигнал, но возникающий с задержкой на
. Его спектр
будет равен:
(1.6)
1.2.2 Частотные характеристики
первого сигнала
Спектральная плотность первого
сигнала имеет следующий аналитический вид:
(1.7)
Модуль спектральной плотности
первого сигнала находится из текущего аналитического вида спектральной
плотности (1.7). График модуля спектральной плотности изображен на рисунке 1.4.
Стоит отметить, что cos(х) - ограниченная функция, и ее значения определены в
отрезке
, поэтому
исходя из (1.7) спектральная плотность больше нуля во всем частотном диапазоне.
Рисунок 1.4 - Модуль спектральной
плотности первого сигнала
Фаза спектральной плотности первого
сигнала находится из текущего аналитического вида спектральной плотности (1.7).
Фазочастотная характеристика данного сигнала равна нулю на всей полосе частот,
что непосредственно следует из формулы спектральной плотности (отсутствует
мнимая составляющая), поэтому график фазы спектральной плотности не приведен.
1.2.3 Частотные характеристики
второго сигнала
Спектральная плотность второго
сигнала имеет следующий аналитический вид:
(1.8)
Модуль спектральной плотности
второго сигнала находится из текущего аналитического вида спектральной
плотности (1.8). График модуля спектральной плотности изображен на рисунке 1.5.
Рисунок 1.5 - Модуль спектральной
плотности второго сигнала
Исходя из того, что временная
зависимость данного сигнала - четная функция, пользуясь свойством вещественной
и мнимой частей спектра, был сделан вывод о равенстве нулю фазы спектральной
плотности во всем диапазоне частот. Данная зависимость в курсовом проекте не
приводится.
.2.4 Частотные характеристики
третьего сигнала
(1.9)
Модуль спектральной плотности
второго сигнала находится из текущего аналитического вида спектральной
плотности (1.9). График модуля спектральной плотности изображен на рисунке 1.6.
Фаза спектральной плотность
тождественно равна нулю во всем диапазоне частот, поэтому ее график не
приводится.
Рисунок 1.6 - Модуль спектральной
плотности третьего сигнала
1.3 Энергия сигнала
.3.1 Общие сведения
Показатели энергии и мощности
сигналов - важнейшие
характеристики, определяющие коэффициент полезного действия передатчика и
качество работы приемника системы связи. Поскольку существует два вида
представления сигналов - временное и
спектральное, то данные показатели могут быть вычислены двумя способами.
Полная энергия одиночного сигнала
вычисляется через временную функцию сигнала по формуле:
(1.10)
Неполная энергия, необходимая для
вычисления граничных частот, определяется как процент от полной, в данной
работе процент составляет
.
Получается, что:
(1.11)
Спектральное представление сигнала
позволяет определить эти же энергетические характеристики по спектрам сигнала
при помощи равенства Парсеваля для непериодических функций:
(1.12)
Знак «
» в выражениях (1.10) и (1.12)
означает, что в создании энергии и мощности сигнала участвует бесконечный
спектр частот. Если знак «
» заменить в
формуле (1.12) на конечную величину
, то по полученной формуле
определяется только часть мощности и энергии сигнала. Этим способом пользуются
при ограничении спектров сигналов.
1.3.2 Энергия первого сигнала
Найдем энергию первого сигнала
аналитически.
Полную энергию первого сигнала можно
вычислить по точной формуле:
Решая с помощью программы Mathcad
получаем аналогичный результат.
Вычисление неполной энергии второго
сигнала производится при подстановке полной энергии сигнала в формулу (1.11):
, Дж
Вычисление энергии первого сигнала
через равенство Парсеваля производится при подстановке аналитического вида
из
подпункта 1.1.1 в формулу (1.12):
, Дж
Графики зависимости энергии первого
сигнала от частоты приведены соответственно на рисунке 1.7.
Рисунок 1.7 - Зависимость энергии
первого сигнала от частоты
1.3.3 Энергия второго сигнала
Полную энергию второго сигнала
вычислим по точной формуле:
Вычисление неполной энергии второго
сигнала производится при подстановке полной энергии сигнала в формулу (1.11):
, Дж
Вычисление энергии второго сигнала
через равенство Парсеваля производится при подстановке аналитического вида
из
параграфа 1.1.1 в формулу (1.12):
, Дж
Графики зависимости энергии второго
сигнала от частоты приведены соответственно на рисунке 1.8.
Рисунок 1.8 - Зависимость энергии
второго сигнала от частоты
1.3.4 Энергия третьего сигнала
Найдем энергию третьего сигнала
аналитически:
Решая с помощью программы Mathcad
получаем аналогичный результат.
, Дж
Вычисление неполной энергии третьего
сигнала производится при подстановке полной энергии сигнала в формулу (1.11):
, Дж
Вычисление энергии третьего сигнала
через равенство Парсеваля производится при подстановке аналитического вида
из
параграфа 1.1.1 в формулу (1.12):
, Дж
Графики зависимости энергии третьего
сигнала от частоты приведены соответственно на рисунке 1.9.
Рисунок 1.9 - Зависимость энергии
третьего сигнала от частоты
1.4 Граничные частоты спектров
сигналов
.4.1 Граничная частота спектра
первого сигнала
По графику, изображенному на рисунке
1.7, определяется граничная частота как пересечение графиков неполной энергии и
энергии, вычисленной через равенство Парсеваля.
рад/с
1.4.2 Граничная частота спектра
второго сигнала
По графику, изображенному на рисунке
1.8, определяется граничная частота как пересечение графиков неполной энергии и
энергии, вычисленной через равенство Парсеваля.
рад/с
1.4.3 Граничная частота спектра
третьего сигнала
По графику, изображенному на рисунке
1.9, определяется граничная частота как пересечение графиков неполной энергии и
энергии, вычисленной через равенство Парсеваля.
рад/с
Так как для дальнейших расчетов
курсового проекта требуется только один сигнал из рассмотренных выше, то
делается выбор в пользу сигнала с наименьшей граничной частотой. То есть во
всех следующих расчетах будет фигурировать третий сигнал (№4 по заданию).
2. Расчет технических характеристик
АЦП
Заданные в курсовом проекте сигналы
являются аналоговыми. Согласно заданию необходимо провести оцифровку сигнала с
наименьшей граничной частотой. Ниже рассмотрены преимущества и недостатки
аналоговых и цифровых сигналов.
Аналоговый сигнал - это сигнал,
который может принимать любые значения в определенных пределах (например,
напряжение может плавно изменяться в пределах от нуля до десяти вольт).
Устройства, работающие только с аналоговыми сигналами, называются аналоговыми
устройствами.
Цифровой сигнал - это сигнал,
который может принимать только два значения. Причем разрешены некоторые
отклонения от этих значений. Например, напряжение может принимать два значения:
от 0 до 0,5 В (уровень нуля) или от 2,5 до 5 В (уровень единицы). Устройства,
работающие исключительно с цифровыми сигналами, называются цифровыми
устройствами.
В природе практически все сигналы
аналоговые, то есть они изменяются непрерывно в некоторых пределах. Именно
поэтому первые электронные устройства были аналоговыми. Они преобразовывали
физические величины в пропорциональные им напряжение или ток, выполняли над
ними какие-то операции и затем выполняли обратные преобразования в физические
величины. Например, голос человека (колебания воздуха) с помощью микрофона
преобразуется в электрические колебания, затем эти электрические сигналы
усиливаются электронным усилителем и с помощью акустической системы снова
преобразуются в колебания воздуха, в более сильный звук.
Однако аналоговые сигналы и
работающая с ними аналоговая электроника имеют большие недостатки, связанные
именно с природой аналоговых сигналов. Дело в том, что аналоговые сигналы
чувствительны к действию всевозможных паразитных сигналов - шумов, наводок,
помех. Под шумом понимаются внутренние хаотические слабые сигналы любого
электронного устройства (микрофона, транзистора, резистора и т.д.). Наводки и
помехи - это сигналы, приходящие на электронную систему извне и искажающие
полезный сигнал (например, электромагнитные излучения от радиопередатчиков или
трансформаторов).
Все операции, производимые
электронными устройствами над сигналами, можно условно разделить на три большие
группы:
• обработка (или преобразование);
• передача;
Во всех этих случаях полезные
сигналы искажаются паразитными сигналами - шумами, помехами, наводками. Кроме
того, при обработке сигналов (например, при усилении, фильтрации) еще
искажается и их форма из-за несовершенства, неидеальности электронных
устройств. А при передаче на большие расстояния и при хранении сигналы к тому
же ослабляются.
В случае аналоговых сигналов все это
существенно ухудшает полезный сигнал, так как все его значения разрешены.
Поэтому каждое преобразование, каждое промежуточное хранение, каждая передача
по кабелю или эфиру ухудшает аналоговый сигнал, иногда вплоть до его полного
уничтожения. Надо еще учесть, что все шумы, помехи и наводки принципиально не
поддаются точному расчету, поэтому точно описать поведение любых аналоговых
устройств абсолютно невозможно. К тому же со временем параметры всех аналоговых
устройств изменяются из-за старения элементов, поэтому характеристики этих
устройств не остаются постоянными.
В отличие от аналоговых, цифровые
сигналы, имеющие всего два разрешенных значения, защищены от действия шумов,
наводок и помех гораздо лучше. Небольшие отклонения от разрешенных значений
никак не искажают цифровой сигнал, так как всегда существуют зоны допустимых
отклонений. Именно поэтому цифровые сигналы допускают гораздо более сложную и
многоступенчатую обработку, гораздо более длительное хранение без потерь и
гораздо более качественную передачу, чем аналоговые. К тому же поведение
цифровых устройств всегда можно абсолютно точно рассчитать и предсказать.
Цифровые устройства гораздо меньше подвержены старению, так как небольшое
изменение их параметров никак не отражается на их функционировании. Кроме того,
цифровые устройства проще проектировать и отлаживать. Понятно, что все эти
преимущества обеспечивают бурное развитие цифровой техники.
Однако у цифровых сигналов есть и
крупный недостаток. Дело в том, что на каждом из своих разрешенных уровней
цифровой сигнал должен оставаться хотя бы в течение какого-то минимального
временного интервала, иначе его невозможно будет распознать. А аналоговый
сигнал может принимать любое свое значение бесконечно малое время. Можно
сказать и иначе: аналоговый сигнал определен в непрерывном времени (то есть в
любой момент времени), а цифровой - в дискретном времени (то есть только в
выделенные моменты времени). Поэтому максимально достижимое быстродействие
аналоговых устройств всегда принципиально больше, чем цифровых устройств.
Аналоговые устройства могут работать с более быстро меняющимися сигналами, чем
цифровые. Скорость обработки и передачи информации аналоговым устройством
всегда может быть сделана выше, чем скорость ее обработки и передачи цифровым
устройством.
Кроме того, цифровой сигнал передает
информацию только двумя уровнями и изменением одного своего уровня на другой, а
аналоговый передает информацию еще и каждым текущим значением своего уровня, то
есть он более емкий с точки зрения передачи информации. Поэтому для передачи
того объема полезной информации, который содержится в одном аналоговом сигнале,
чаще всего приходится использовать несколько цифровых сигналов (обычно от 4 до
16).
К тому же, как уже отмечалось, в
природе все сигналы аналоговые, то есть для преобразования их в цифровые
сигналы и для обратного преобразования требуется применение специальной
аппаратуры (аналого-цифровых и цифро-аналоговых преобразователей). Так что
ничто не дается даром, и плата за преимущества цифровых устройств может порой
оказаться неприемлемо большой.
2.1 Дискретизация сигнала
Интервал дискретизации
заданного
сигнала по времени определяется на основе теоремы Котельникова по неравенству:
(2.1)
где
- верхнее значение частоты спектра
сигнала, определяемое в соответствии с разделом 1.
с
Так как выбор интервала
дискретизации производится по неравенству, выберем следующий интервал
дискретизации:
с
, Гц
График дискретизированного по
времени сигнала изображен на рисунке 2.1.
Рисунок 2.1 - Дискретизированный по
времени сигнал
Таблица 2.1 - Представление сигнала
выборкой
|
U,B
|
0.11
|
0.081128
|
0.059834
|
0.044129
|
0.032546
|
0.024004
|
0.017703
|
0.013057
|
|
t,
c00.30440.60890.91331.217811.522271.826722.13117
|
|
|
|
|
|
|
|
|
2.2 Определение разрядности кода
Разрядность кодов определяется
исходя из динамического диапазона квантуемых по уровню импульсных отсчетов. При
этом в качестве верхней границы динамического диапазона
принимается
напряжение самого большого по амплитуде отсчёта. Нижняя граница диапазона
(2.2)
где
- коэффициент для расчета нижней
границы динамического диапазона
, В
Для самого малого по амплитуде
импульсного отсчёта
задаётся
соотношение мгновенной мощности сигнала и мощности шума квантования:
(2.3)
где 
- мощность шумов квантования при равномерной
шкале квантования. Получаем:
(2.4)
где
- отношение мгновенной мощности
сигнала к шуму квантования
, Вт
Известно, что:
, (2.5)
где
- число уровней квантования
После округления получаем
Известно, что при использовании
двоичного кодирования число кодовых комбинаций, равное числу уравнений
квантования, определяется выражением:
(2.6)
где
- разрядность кодовых комбинаций
Следовательно, из формулы (2.6)
выражается:
(2.7)
Соответственно,
После округления до целого получаем
.
Длительность элементарного кодового
импульса
определяется
исходя из интервала дискретизации
и разрядности кода
по
выражению:
(2.8)
, с
Выбор микросхемы производится по
рассчитанному значению разрядности кодовых комбинаций, которой соответствуют
разрядность выхода микросхемы и рабочей частоте (частота, соответствующая
длительности элементарного кодового импульса должна быть меньше или равна
рабочей частоте). Так как разрядность
равна 5, то по таблице, приведенной
в методических указаниях, выбирается микросхема:
Серия: К1113ПВ1
Тип логики: ТТЛ
Разрядность выхода: 8
Уровень логического «0»:
В
Уровень логической «1»:
В=1 МГц
Рисунок 2.2 - Квантованный по уровню
сигнал
Таблица 2.2 - Квантованный по уровню
сигнал
|
n
|
27
|
20
|
15
|
11
|
6
|
4
|
3
|
|
t,
c00.30440.60890.91331.217811.522271.826722.13117
|
|
|
|
|
|
|
|
|
3. Характеристики сигнала ИКМ
.1 Определение кодовой
последовательности
Для вычисления функции
автокорреляции понадобятся 4 значения выборки дискретизированного сигнала,
которые получены путем выбора значений напряжения и деления их на значение
, полученное
по формуле (2.5). Полученные результаты округлены до целого.
;
;
;
;
Затем полученные значения выборки
переводятся из десятичной в двоичную систему исчисления:
;
;
;
;
После этого из полученных
последовательностей складывается кодовая последовательность, которая будет использоваться
для построения функции автокорреляции. Она примет вид:
Для определения статистических
характеристик сигнала найдем вероятности, предварительно сосчитав количество
единиц и нулей
Математическое ожидание:
В
Дисперсия
3.2 Построение функции
автокорреляции
Функция автокорреляции (АКФ)
показывает статистическую связь между временными сечениями сигнала и
описывается следующим математическим выражением:
Построение функции автокорреляции
начнем с построения вектора
, который будет представлять собой
кодовую последовательность, полученную в параграфе 3.1. Затем, при сдвиге
вектора
на один
разряд последовательно 7 раз, записывая полученные векторы, получается 7
векторов
. Вектора
и
наглядно
отражены при помощи таблицы 3.1.
Таблицы 3.1 - Вектора
и
|
11011101000111101011
|
|
|
|
|
|
|
|
|
|
|
|
|
|
|
|
|
|
|
|
|
|
11011101000111101011
|
|
|
|
|
|
|
|
|
|
|
|
|
|
|
|
|
|
|
|
|
|
10111010001111010111
|
|
|
|
|
|
|
|
|
|
|
|
|
|
|
|
|
|
|
|
|
|
01110100011110101111
|
|
|
|
|
|
|
|
|
|
|
|
|
|
|
|
|
|
|
|
|
|
11101000111101011110
|
|
|
|
|
|
|
|
|
|
|
|
|
|
|
|
|
|
|
|
|
|
11010001111010111101
|
|
|
|
|
|
|
|
|
|
|
|
|
|
|
|
|
|
|
|
|
|
10100011110101111011
|
|
|
|
|
|
|
|
|
|
|
|
|
|
|
|
|
|
|
|
|
|
01000111101011110111
|
|
|
|
|
|
|
|
|
|
|
|
|
|
|
|
|
|
|
|
|
|
10001111010111101110
|
|
|
|
|
|
|
|
|
|
|
|
|
|
|
|
|
|
|
|
|
Затем находятся корреляции между
вектором
и каждым из
векторов
. При этом
получается 7 значений корреляции, из которых составляется вектор
. Из
значений длительности импульса сигнала получен вектор
путем
умножения времени
на номер
строки, начиная с 0. Вектора
и
сведены в таблицу 3.2. Полученный
результат есть табличный способ представления функции автокорреляции.
Таблица 3.2 - Временная зависимость
функции автокорреляции
При помощи встроенных функций
вычислительной среды Mathsoft MathCAD можно получить также и графическое
представление функции автокорреляции. Для этого сначала нужно составить вектор
вторых производных для приближения к кубическому полиному при помощи векторов
и
взятых из
таблицы 3.2.
(3.1)
Затем составляется функция,
аппроксимирующая автокорреляционную функцию кубическим сплайн-полиномом:
(3.2)
Для проверки результатов вычисления
составляется функция, реализующая кусочную аппроксимацию отрезками прямых:
(3.3)
Полученные графики полинома и
аппроксимирующих его отрезков прямых изображены на рисунке 3.1.
Рисунок 3.1 - АКФ, представленная в виде
полинома и кусочно-линейной аппроксимации
3.3 Спектр сигнала ИКМ
Расчет энергетического спектра
кодового сигнала осуществляется с помощью интегрального преобразования
Винера-Хинчина. В области действительной переменной оно имеет следующий вид:
(3.4)
- последнее рассчитанное значение
, взятое из
таблицы 3.2.
Полученный график энергетического
спектра кодового сигнала изображен на рисунке 3.2.
Рисунок 3.2 - Энергетический спектр
кодового сигнала
4. Характеристики модулированного
сигнала
.1 Общие сведения о модуляции
Для передачи полезной информации в
технике связи обычно используются модулированные сигналы. Они позволяют решить
задачи уплотнения линий связи, электромагнитной совместимости,
помехоустойчивости систем. Процесс модуляции является нелинейной операцией и
приводит к преобразованию спектра сигнала.
Обозначим основные преимущества
модуляции:
. Модуляция позволяет обеспечить
радиодоступ при передаче информации
. С помощью мы отстраиваемся от
помех индустриального характера.
. Модуляция позволяет реализовать
многоканальность
Недостатком является то, что
модулированный сигнал как правило занимает более широкую полосу частот, чем
немодулированный.
Согласно заданию на курсовой проект
необходимо промодулировать по фазе периодическую цифровую последовательность.
Формула (4.1) представляет собой аналитическую форму записи сигнала ФМ:
(4.1)
Девиация частоты (максимальное
отклонение) при фазовой модуляции пропорционально частоте полезного сигнала.
, (4.2)
где
- изменение частоты, которое
приведено в задании на курсовой проект
- полезный сигнал.
Стоит отметить, что фазовая
модуляция является наиболее помехозащищенным видом модуляции, поскольку передаваемые
сигналы при ФМ противоположны, а следовательно легко различаются при приеме.
Недостатком фазовой модуляции
является сложность конструкции приемо-передающих устройств.
4.2 Расчет спектра немодулированного
сигнала
Ниже приведен график немодулированного
сигнала.
Рисунок 4.1 - Временная зависимость
немодулированного сигнала
Ниже найдем спектр немодулированного
сигнала.
Поскольку данный сигнал является
периодической импульсной последовательностью, его можно представить рядом
Фурье.
Длительность нулевого и единичного
импульса равны между собой и соответственно половине периода.
Представим немодулированный сигнал
рядом Фурье:
, (4.3)
Коэффициенты ряда (4.3)
определяются:
где
- постоянная составляющая полезного
сигнала;
- амплитуда n-й гармоники.
Таблица 4.1 - Спектр
немодулированного сигнала.
|
n
|
0
|
1
|
2
|
3
|
4
|
5
|
6
|
7
|
8
|
9
|
|
1.21.52800.50900.30600.21800.17
|
|
|
|
|
|
|
|
|
|
|
|
 рад/с01.0322.063.0964.135.1596.197.2238.269.29
|
|
|
|
|
|
|
|
|
|
|
Расчет спектра немодулированного сигнала
проведен для 9 гармоник.
Рисунок 4.2 - Спектр немодулированного сигнала
4.3 Расчет спектра модулированного
сигнала
Параметры модулированного сигнала следующие:
В
МГц
Ниже приведена временная зависимость
модулированного сигнала.
Рисунок 4.3 - Временная зависимость
сигнала при фазовой модуляции
Запишем формулу которая определяет
частотный состав колебаний:
(4.4)
Согласно исходных данных
В (4.4) произведем следующие
упрощения:
В результате получаем:
(4.5)
Следовательно, спектр
модулированного по фазе сигнала будет состоять из двух боковых полос. При
будет
отсутствовать несущая, однако это частный случай, хотя и при меньшей девиации
фазы амплитуда несущей гораздо ниже чем при амплитудной или частотной
модуляции. Следовательно, можно сделать вывод, что фазовая модуляция является
наиболее эффективной с точки зрения энергетических характеристик.
Амплитуды гармоник боковых полос
находятся из (4.5) и определяются выражением:
Гармоники отстоят друг от друга на
расстоянии
рад/с.
Результаты расчета сведены в таблицу
4.2.
В
В
Таблица 4.2 - Спектр модулированного
сигнала
|
Нижняя
боковая полоса
|
Несущая
|
Верхняя
боковая полоса
|
|
 В11015025076076025015011
|
|
|
|
|
|
|
|
|
|
|
|
|
|
|
|
|
|
|
|
|
|
|
|
|
|
|
|
|
|
|
|

|
рад/с1.161.271.371.471.571.681.781.881.982.092.192.292.42.52.6
|
|
|
|
|
|
|
|
|
|
|
|
|
|
|
|

5. Расчет информационных
характеристик канала
Заданный сигнал был представлен отсчетами,
идущими с заданным интервалом. Такая выборка содержит полную информацию о
передаваемом сигнале и сама представляет источник информации. Выше было
определено количество выборок для одного из сигналов.
Таким образом, выборки это алфавит источника
информации и вероятности букв этого алфавита равны друг другу. Такой источник
имеет ряд информационных характеристик: количество информации в знаке,
энтропию, производительность, избыточность. В дальнейшем для курсового проекта
будет интересна производительность, которая характеризует скорость работы
источника и определяется по следующей формуле:
(5.1)
где
- энтропия алфавита источника,
бит/с;
- среднее время генерации одного
знака алфавита, с.
Рассматривая принципы и предельные
возможности непосредственного согласования дискретного источника сообщений с
непрерывным каналом связи, следует напомнить, что в непрерывном канале надо
знать плотности распределения случайных процессов сигналов, помех и их же
условные плотности распределения. Это понятие вводится при моделировании канала
связи и с точки зрения передачи сообщений нет большого противоречия в том, что
источник принят дискретным, а канал непрерывен.
Полоса пропускания канала должна
быть достаточной для прохождения спектра модулированного сигнала. Величина
была
определена в параграфе 4.2.
Предельные возможности согласования
дискретного источника с непрерывным каналом определяются теоремой Шеннона,
которая аналогично звучит в случае дискретного источника и дискретного канала.
Теорема Шеннона: если дискретные
сообщения, выдаваемые дискретным источником с производительностью
можно
закодировать так, что при передаче по Гауссову каналу с белым шумом, пропускная
способность которого
превышает
, то
вероятность ошибки
может быть
достигнута сколь угодно малой.
При определении пропускной
способности канала статистические законы распределения помехи, сигнала, и суммы
сигнала и помехи - нормальные законы с соответствующими дисперсиями
,
и
.
Пропускная способность гауссова
канала равна:
(5.2)
где
- частота дискретизации, Гц;
- мощность помехи, Вт.
По спектральной характеристике
модулированного сигнала рисунок 4.4 находим
- нижнюю границу спектра и
- верхнюю
границу спектра.
;
Мощность помехи определяется по
заданной спектральной плотности мощности
(дано в задании на курсовой проект)
и полосе частот модулированного сигнала
:
сигнал частота канал
демодулятор
(5.3)
По этим формулам, пользуясь
неравенством Шеннона
, надлежит
определить
,
обеспечивающую передачу по каналу. По формулам (5.1)-(5.3) получаем:
, бит/с
Мощность помехи:
, Вт
Мощность сигнала:
, Вт
6. Расчет вероятности ошибки
оптимального демодулятора
Вероятность ошибки
зависит от
мощности (энергии) сигнала и мощности помех, в данном случае белого шума.
Известную роль играет здесь и вид сигнала, который определяет статистическую
связь между сигналами в системе. В общем случае:
, (6.1)
где
- функция Лапласа;
, (6.2)
где
- аргумент функции Лапласа.
, (6.3)
где E - энергия разностного сигнала,
Вт;
, Вт
Найдем вероятность ошибки:
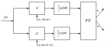
В общем виде схема демодулятора при
ФМ имеет следующий вид:
Рисунок 6.1 - Структурная схема
приемника
Блок УОО - устройство оптимальной
обработки, вычисляет функции правдоподобия, которые затем сравниваются в блоке
РУ (решающее устройство) и решение выносится в пользу того сигнала, ФП которого
больше.
При гауссовском распределении помехи
и двух передаваемых сигналах (единица и нуль) можно записать
Сравниваются переданный и принятый
сигнал (квадраты отклонения).
В сравнении участвуют функции
времени, а значит, в различные моменты времени будет получен разный результат,
поэтому логично усреднить по времени, используя операцию интегрирования.
Решение будет приниматься по
следующему неравенству:
,
В курсовом проекте рассматривается
периодическая последовательность единиц и нулей, которая подвергается фазовой
модуляции, передаются два сигнала, единица или нуль, которые при ФМ
записываются в следующем виде:
На вход демодулятора поступает
аддитивная смесь сигнала и помехи, по двум ветвям вычисляются взаимные
корреляции сигнала на входе демодулятора и сигналов S0 и S1 соответственно, и
решение принимается в пользу того сигнала, где напряжение на выходе коррелятора
больше. То есть РУ - решающее устройство есть детектор максимального значения.
Рисунок 6.2 - Схема демодулятора при
фазовой модуляции
Заключение
В ходе выполнения курсового проекта
были рассмотрены следующие вопросы теории сигналов: теорема Котельникова,
равенство Парсеваля, модулированные сигналы, демодуляция ФМ сигнала,
вероятность ошибки оптимального демодулятора, энтропия.
В первом пункте курсового проекта
построены зависимости напряжения сигнала от времени. Все три сигнала
представляют собой четные функции времени, из этого следует тождественное
равенство нулю мнимых составляющих спектральной плотности сигналов. Исследуемые
сигналы охарактеризованы частотно - построены зависимости модуля спектральной
плотности от частоты.
Полные энергии первого, второго и
третьего сигналов соответственно равны:
Дж,
Дж,
Дж. Любой канал связи имеет
ограничение по передаваемым частотам, и в курсовом проекте ограничиваемся
передачей 97,9% от полной энергии. Указанный процент передается для сигналов в
области частот от нуля до некоторого граничного значения
. Наименьшая
граничная частота у третьего сигнала
рад/с. Этот сигнал и был выбран в
дальнейшем для цифровой обработки.
Во втором разделе указанный сигнал
был дискретизирован по времени, так же был определен уровень квантования,
который равен
В, и каждому
значению сигнала в дискретный момент времени было поставлено в соответствие
значение уровня.
Построению функции автокорреляции,
отражающей статистическую связь между сигналами, был посвящен третий раздел
курсового проекта. Четыре отсчета были оцифрованы и для них математическими
методами была найдена функция автокорреляции.
Периодическая последовательность
импульсов была подвергнута фазовой модуляции. Данную периодическую
последовательность можно представить рядом Фурье. Было показано, как спектр
полезного сигнала переносится из области НЧ в область несущей. Сдвиг фаз на
радиан
обеспечил отсутствие несущей в спектре модулированного сигнала.
Пятый раздел курсового проекта
посвящен определению информационных характеристик сигнала.
В шестом разделе рассчитана величина
ошибки оптимального демодулятора, она составляет
и приведена схема демодулятора при
ФМ.
Считаю, что поставленное техническое
задание было выполнено в полном объеме.
Библиографический список
.
Характеристики сигналов в каналах связи: Методические указания к курсовому
проекту по дисциплине «Теория передачи сигналов» / Н.Н. Баженов. Омск. Омский
государственный университет путей сообщения. 2002. 48 с.
.
Теория передачи сигналов на железнодорожном транспорте. / Г.В. Горелов, А.Ф.
Фомин, А.А. Волков, В.К. Котов. Москва. «Транспорт». 1999. 416 с.