Надежность технических систем
Теоретические сведения
Для невосстанавливаемого элемента важнейшим
свойством является безотказность. При рассмотрении показателей безотказности
невосстанавливаемого элемента, работающего непрерывно от момента включения до
первого отказа, оперируют случайным временем t
возникновения отказа или жизни элемента. Для любого элемента может быть
установлен вектор параметров состояний
Зависящий от времени t, а также
векторы, ограничивающие допустимые пределы изменений X(t) снизу:
и сверху
При этом выход любого параметра
Xi(t) за соответствующие пределы Xн(t), Xв(t) должен рассматриваться как отказ
элемента. В данном случае говорят о параметрической безотказности элемента. В
параметрической постановке задачи вероятность безотказной работы процесса
эксплуатации элемента за время t:
Из-за отклонений свойств элементов,
условий и режимов их эксплуатации все параметры X(t) в общем случае можно
рассматривать как случайные функции. Допустимые пределы Xн(t), Xв(t) , если они
заданы в эксплуатационной документации, являются детерминированными
(неслучайными) функциями. Однако, часто и пределы можно рассматривать, как
случайные функции.
Таким образом, состояние элемента
можно описать вектором случайных функций, причем все функции в этом векторе
зависимы или хотя бы коррелированны (имеют случайную линейную зависимость), так
как отражают работу одного и того же элемента. Вектор случайных функций
характеризует состояние достаточно большой группы однотипных элементов. При
работе одного элемента вектор случайных функций представлен случайными
реализациями x1(t), x2(t),…, xi(t),…, xk(t) параметров. Аналогично обстоит дело
и с пределами случайных функций Xн(t), Xв(t).
С учетом этого в самом общем случае
задача расчета параметрической безотказности состоит в отыскании вероятности
того, что за время t ни одна из реализаций xi(t) случайных функций Xi(t) не
выйдет за реализации xнi(t), xвi(t) случайных функций Xнi(t), Xвi(t). Для
решения этой задачи необходимо знать законы совместного распределения функций
Xi(t), Xвi(t). Xнi(t) в каждый момент времени t. Для решения данную постановку
задачи упрощают. Предполагают, что Xнi(t), Xвi(t) неслучайны и детерминировано
определяют область D(t) работоспособных состояний элементов для всех t.
Случайный процесс X(t) представлен
математическим ожиданием m(t) и реализациями x(t), одна из которых вышла за
нижний предел (момент t отказа
элемента)- это отрицательный выброс. Если реализация x(t) пересекает верхний
уровень- это положительный выброс.
Рассмотрим частный случай, когда
безотказность элемента высока и поток отказов можно принять пуассоновским. В
этом варианте случайное число отказов на произвольном интервале (0,t) будет
подчиняться закону Пуассона.
где a - математическое ожидание
числа положительных выбросов за время t.
Для практики важен случай, когда
X(t) - процесс стационарный.
Признаки стационарного процесса для
случайной функции X(t):
Ее корреляционная функция

Математическое ожидание случайного
процесса постоянно,
Mx(t)= Mx=const;
Дисперсия процесса постоянна, т.е.
В инженерных задачах при
невыполнении требования стационарности п.2 можно рассматривать центрированный
случайный процесс с математическим ожиданием my(t)=0.
Когда стационарный случайный процесс имеет
нормальное распределение, вероятность отсутствия выбросов за нижний и верхний
предельно допустимые уровни в течение времени t определяются выражением:
Для нижнего уровня
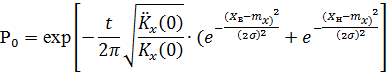
Вероятность отсутствия выброса
случайной стационарной функции за допустимые нижний и верхний пределы в течение
времени t будет
где
вторая производная корреляционной
функции, через которую выражается дисперсия скорости этого процесса
Если пределы Xн, Xв допустимого
изменения параметра X являются неслучайными, то задача отыскания
становится
более простой. Для ее решения нужно знать только плотность вероятности f(x),
если она известна, то
.
Графически вероятность
параметрической безотказности при детерминированных пределах работоспособного состояния
можно изобразить так
Если случайный параметр X имеет нормальное
распределение с плотностью

С учетом того, что
Ф0(-x)=1- Ф0(x),
Вероятность процесса безотказной
работы может быть вычислена по формуле:
Решить задачу.
Дано: случайный процесс p(t)
изменения давления в камере сгорания двигателя является стационарным нормальным
с постоянным математическим ожиданием mp=5МПа и дисперсией sp2=0,0625 МПа2, а его
корреляционная функция имеет вид
,
где a=0,015 с-1. Установлены неслучайные пределы -
верхний pв=6МПа и нижний pн=4МПа, выход за которые рассматривается как
параметрический отказ двигателя.
Проанализировать:
Влияние первичных отклонений на
случайный процесс p(t) на основе анализа графика нормированной к sp2корреляционной функции
Kp(t).
(при значениях параметра a=(0,015 с-1,0,0015 с-1,
0,0с-1)
Найти:
Вероятность того, что в течение
t=100 cработы двигателя не произойдет ни одного выброса давления за уровни pв,
pн, если выбросы за верхние и нижние уровни можно считать независимыми
событиями.
Рассчитать вероятность
параметрической безотказности в предположении, что его работоспособное
состояние определяется одним параметром - давлением в камере сгорания - p. Длительность
процесса не учитывать.
Сделать выводы, сравнивая результаты
п.2 и п.1.
Решение:
Построим график нормированной к sp2корреляционной функции
Kp(t)при значениях параметра a=(0,015
с-1,0,0015 с-1, 0,0с-1).
На этом графике:
k1(t) = exp(-0,015∙t2);k2(t) =
exp(-0,0015∙t2);k3(t) = exp(-0,00∙t2);
Из представленных графиков видно, что влияние
первичных отклонений на случайный процесс p(t) будет более значимым, если
корреляционная функция постоянна и равна 1. Такое происходит при значении
параметра a= 0. В этом случае случайный процесс
определяется первичными отклонениями.
При росте параметра a
первичные отклонения влияют на случайный процесс только в начальный момент
времени, при этом с ростом параметра a это влияние
уменьшается.
Найдем вероятность того, что в течение t=100 c
работы двигателя не произойдет ни одного выброса давления за уровни PВ, PН,
если выбросы за верхние и нижние уровни можно считать независимыми событиями.
Вероятность отсутствия выброса случайной
стационарной функции за допустимые нижний и верхний пределы в течение времени t
будет
где
вторая производная корреляционной
функции, через которую выражается дисперсия скорости этого процесса
,
Подставим величины в формулу.
Kx(0) = sp2=0,0625 МПа2,
Рассчитаем вероятность параметрической
безотказности в предположении, что его работоспособное состояние определяется
одним параметром - давлением в камере сгорания - p. Длительность процесса не
учитывать.
Вероятность процесса безотказной работы может
быть вычислена по формуле:
Ф(Х) - функция нормального распределения,
ее значения приведены в таблице.
Рн = 0,96833 + 0,96833 - 1 = 0,93666
Сравнивая Р0 = 0,99987 и Рн =
0,93666 делаем вывод, что если не учитывать длительность процесса, то вероятность
безотказной работы ниже.
Однако, если в формуле для Р0 мы
поставим время t = 1000 с, то знак неравенства может измениться.
При общих оценках вероятности отказа
следует опираться на нормальное распределение.
При детальных оценках нужно
вычислять вероятность Рн.
Заключение
Поскольку уровень надежности в значительной
степени определяет развитие техники по основным направлениям, мы должны
стремиться достичь высокой надежности технических средств, применяемых в
технологическом процессе.
Но невозможно достичь высокой надежности и
долговечности с непрогрессивным рабочим процессом и несовершенной схемой или
несовершенными механизмами.
Поэтому первым направлением повышения надежности
является обеспечение необходимого технического уровня изделий.
Кроме этого, следует применять агрегаты с
высокой надежностью и долговечностью, которые обеспечиваются самой природой,
т.е. быстроходных агрегатов без механических передач; деталей, работающих при
напряжениях ниже пределов выносливости, и др.
Необходимо отметить, что переход на изготовление
машин по строго регламентированной технологии заключает в себе резерв повышения
надежности.
Этап конструирования системы является очень
важным, поскольку на нем закладывается уровень надежности систем безопасности.
При конструировании и проектировании следует ориентироваться на простые
структуры, имеющие наименьшее количество элементов, поскольку сокращение
количества элементов является существенной мерой повышения надежности. Но
уменьшение количества элементов не следует противопоставлять резервированию как
эффективному способу повышения надежности, но приводящему, на первый взгляд, к
завышенному количеству элементов конструкции. Очевидно, что следует принимать
компромиссное решение между необходимостью сокращения количества элементов и
применением резервирования наименее надежных элементов.