Электротехнические измерительные приборы

  • Вид работы:
    Реферат
  • Предмет:
    Физика
  • Язык:
    Русский
    ,
    Формат файла:
    MS Word
    4,28 Мб
  • Опубликовано:
    2012-11-26
Вы можете узнать стоимость помощи в написании студенческой работы.
Помощь в написании работы, которую точно примут!

Электротехнические измерительные приборы

Федеральное автономное государственное

образовательное учреждение

высшего профессионального образования

«СИБИРСКИЙ ФЕДЕРАЛЬНЫЙ УНИВЕРСИТЕТ»

Политехнический институт

Электрические станции и электроэнергетические системы






РЕФЕРАТ

Электротехнические измерительные приборы












Красноярск 2011

ПЛАН

Введение

.        Классификация электроизмерительных приборов

.        Международная система единиц

.        Стандарты на электроизмерительные приборы. Термины

.        Нормируемые метрологические характеристики (ГОСТ 22261-76)

.        Основные требования к испытаниям, проверке и эксплуатации электроизмерительных приборов

.        Основные понятия

.        Виды измерительных электротехнических приборов

.        Амперметр

.        Ваттметр

.        Вольтметр

.        Фазометр

.        Частомер

.        Осцилограф

.        Омметр

.        Анализатор спектра частот

.        Щитовые приборы

.        Цифровые приборы

Заключение

Список используемой литературы

ВВЕДЕНИЕ

Особое место в измерительной технике занимают электрические измерения. Современная радиотехника, энергетика (включая атомную) и электроника опираются на измерение электрических величин. Большинство неэлектрических величии легко преобразуются в электрические с целью использования электрических сигналов для индикации, регистрации, математической обработки измерительной информации, управления технологическими процессами и передачи результатов измерений на большие расстояния.

В настоящее время разработаны и выпускаются приборы, е помощью которых могут быть произведены измерения более 50 электрических величин. Перечень измеряемых электрических величин включает в себя ток, напряжение, частоту, отношение токов н напряжений, сопротивление, емкость, индуктивность, мощность и т.д. Многообразие измеряемых величин определило и многообразие технических средств, реализующих измерения.

Электроприборостроение является специализированной отраслью отечественной промышленности, выпускающей технические средства для измерений электрических и магнитных величин и параметров электрических цепей, а также электрофизических свойств материалов.

Ниже приводится общие сведения об электроизмерительных приборах, представленных в настоящем справочнике.

1. КЛАССИФИКАЦИЯ ЭЛЕКТРОИЗМЕРИТЕЛЬНЫХ ПРИБОРОВ

Электроизмерительную аппаратуру и приборы можно классифицировать по ряду признаков. По функциональному признаку эту аппаратуру и приборы можно разделить на средства сбора, обработки и представления измерительной информации и средства аттестации и поверки. Отдельные приборы могут совмещать ряд функциональных признаков.

Электроизмерительную аппаратуру по назначению можно разделить на меры, системы, приборы и вспомогательные устройства.

Кроме того, важный класс электроизмерительных приборов составляют преобразователи, предназначенные для преобразования электрических величин в процессе измерения или преобразования измерительной информации.

По способу представления результатов измерений приборы и устройства можно разделить на показывающие и регистрирующие.

По методу измерения средства электроизмерительной техники можно разделить на приборы непосредственной оценки и приборы сравнения (уравновешивания).

По способу применения и по конструкции электроизмерительные приборы и устройства делятся на щитовые (в том числе панельные), переносные и стационарные.

По точности измерения приборы делится на измерительные, в которых нормируются погрешности; индикаторы, или внеклассные приборы, в которых погрешность измерений больше предусматриваемой соответствующими стандартами, и указатели, в которых погрешность не нормируется.«.

По принципу действия или физическому явлению, положенному в основу работы прибора или устройства, можно выделить следующие укрупненные группы: электромеханические. электронные, термоэлектрические и электрохимические. четкую границу между ними провести трудно, так как имеются комбинированные устройства, использующие ряд физических явлений.

В зависимости от способа защиты схемы прибора от воздействия внешних условий корпуса приборов делятся на обыкновенные, воло-, газо- и пылезащищенные, герметические. взрывобезопасные.

В основу построения настоящего справочника положено раздайте средств электроизмерительной техники на следующие группы:

Цифровые электроизмерительные приборы. Аналого-цифровые и цифро-аналото- вые преобразователи.

Поверочиые установки и установки для измерений электрически* и магнитных величин.

Многофункциональные и мноюканальные средства, измерительные системы и измерительно-вычислительные комплексы.

Щитовые аналоговые приборы

Приборы лабораторные и переносные.

Меры и приборы .ив измерений электрических и магнитных величии

Приборы электроизмерительные регистрирующие.

Измерительные преобразователи, усилители, трансформаторы и стабилизаторы.

Счетчики электрические

Принадлежности, запасные и вспомогательные устройства.

. МЕЖДУНАРОДНАЯ СИСТЕМА ЕДИНИЦ

Системой единиц называется совокупность основных и производных единиц физических величии. В СССР с 1 января 1963 г. рекомендуется применение Международной системы единиц (СИ) как предпочти тельной во всех областях науки в техники.

С 1 января 1980 г. Введен в действие в качество государственного стандарта стандарт Совета Экономической Взаимопомощи - СТ СЭВ 1052-78 «Метрология. Единицы физических величин».

Таблица 1 - Международной системы единиц (СИ)

Величина

Единица измерения

Обозначение


русское название

международное название

русское

международное

Длина

метр

metre (meter)

m

Масса

килограмм

kilogram

кг

kg

Время

секунда

second

с

s

Сила тока

ампер

ampere

А

A

Термодинамическая температура

кельвин

kelvin

К

K

Сила света

кандела

candela

кд

cd

Количество вещества

моль

mole

моль

mol


Дополнительные единицы следующие: радиан (rad, рад) - угол между двумя радиусами окружности; длина дуги между которыми равна радиусу; стерадиан (sr, ср) - телесный угол, вершина которою расположена в центре сферы и который вырезает на поверхности сферы площадь, равную площади квадрата со стороной, равной радиусу сферы. Кратные и дольные единицы образуются путем умножения на 10\ где к - целое число. Приставки хдя образования кратных и дольных основных, дополнительных и производных единиц даны в табл. 1-2

Электроизмерительные приборы, приведенные в настоящем справочнике, прямо и косвенно (при помощи расчетов) могут измерять указанные в табл. 1*3 электрические, магнитные и электроматиитные величины.

В качсстес измеряемых величин в электроизмерительной технике приняты основные и производные единицы, рекомендованные СТ СЭВ 1052-78.

3. СТАНДАРТЫ НА ЭЛЕКТРОИЗМЕРИТЕЛЬНЫЕ ПРИБОРЫ. ТЕРМИНЫ

Принятая в Советском Союзе система государственной стандартизации определяется основным стандартом ГОСТ 1.0-68, который классифицирует все стандарты и определяет принципы их составления. В соответствии с этим все стандарты делятся на следующие категории: государственные стандарты СССР (ГОСТ), отраслевые стандарты (ОСТ) республиканские стандарты (РСТ). стандарты предприятий (СТП).

В зависимости от содержания требований к электроизмерительным приборам приняты следующие виды стандартов: технических условий (всесторонних технических условии); типов и основных параметров (размеров): марок. сортаментов; конструкций и размеров; технических требований; правил приемки; методов испытаний (контроля, анализа, измерений); правил маркировки, упаковки; транспортирования и хранения; методов и средств поверки; правил эксплуатации и ремонта; типовых технологических процессов.

Методы испытания приборов (вспомогательных частей), не предусмотренные основными стандартами и государственной системой обеспечения единства измерений устанавливаются стандартами на отдельные группы приборов, отраслевыми стандартами и техническими условиями.

Стандарты па электроизмерительные приборы можно разделить на четыре группы: 1) общие требования, правила и нормы; 2) требования к отдельным группам приборов; 3) требования к деталям; 4) государственнкая система обеспечения единства измерений.

К первой группе стандартов относятся: ГОСТ 22261-76 «Средства измерений электрических величии Общие технические условия». ГОСТ 12997-76 «Государственная система промышленных приборов и средств автоматизации. Технические требование».

Основной стандарт ГОСТ 22261-76 устанавливает общий для всех средств измерений электрических величин общепромышленного назначения нормальные и рабочие условия применения; метрологические характеристики и методы их контроля и определения; требования к конструкции. надёжности и безопасности; правила приемки, маркировки, упаковки, транспортирования и хранения, гарантии изготовителя.

Государственная система промышленных приборов и средст в автоматизации (ГСП) представляет собой совокупность изделий (на основе базовых конструкций с унифицированными структурами к конструктивными параметрами), предназначенных для получения, обработки и использования информации.

ГОСТ 12997-76 распространяется на приборы и средства автоматизации государственной системы промышленных приборов и средст в автоматизации (ГСП). Он определяет основные условия испытаний приборов, изменения их показаний, устойчивость к механическим воздействиям, комплектование поставок, маркировки, упаковки и хранения изделий.

. НОРМИРУЕМЫЕ МЕТРОЛОГИЧЕСКИЕ ХАРАКТЕРИСТИКИ (ГОСТ 22261-76)

Основными метрологическими характеристиками любого электроизмерительною прибора и устройства являются класс точности или предел допускаемой основной погрешности или предел допускаемой систематической составляющей и допускаемого отклонения случайной составляющей погрешности. Для большинства типов приборов в стандартах на конкретные виды приборов устанавливается в качестве основной характеристики класс точности. Класс точности является обобщенной характеристикой средств измерений, определяющей пределы допускаемых основных и дополнительных погрешностей.

Основная погрешность - это погрешность средства измерений, используемого в нормальных условиях эксплуатации, которые должны соответствовать следующим значениям: температура окружающего воздуха (20 ± 0.5), (20 ± 1), (20 ± 2), (20 ± 5) 0С; относительная влажность воздуха (65 ± 15)%; атмосферное давление (100 ± 4) кПа (750 ± 30) мм рт. ст.; напряжение питающей сети (220±4,4) В для сети с частотой 50 Гц; (220 ± 4.4) иди (115 ± 2.5) В для сети с частотой ,400 Гц. Частота питающей сети (50 ± 0.2) или (400 ± 12) Гц.

Классы точности и соответствующие им предельно допускаемые значения основной погрешности выбираются из ряда: (1; 1,5; 2,0; 2.5; 4,0; 5,0; 6,0)-10n, где n = 0 или целому отрицательному числу (ГОСТ 13600- 68). Из этого ряда исключаются классы 5.0 и 6.0. Класс 2,0 применяется для счетчиков электрической энергии.

Для приборов, у которых основная погрешность больше 4.0. класс не устанавливается, и прибор характеризуется предельным значением основной погрешности. Этим же значением характеризуются приборы, у которых предельные дополнительные погрешности не связаны численным соотношением с классом приборов; многопредельные приборы, для которых устанавливаются различные пределы допускаемых погрешностей.

К метрологическим характеристикам также оросятся, предел допускаемой погрешности в интервале значений влияющей величины: предел дополнительной погрешности, обусловленный изменением влияющей величины (эта характеристика применяется для большинства типов приборов), или функция влияния влияющих величии в пределах рабочей области. При линейной зависимости дополнительных погрешностей от изменения влияющей величины устанавливается отношение приращения погрешности к изменению влияющей величины.

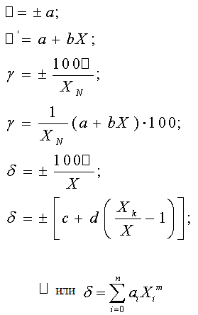
Пределы допускаемых основных и дополнительных погрешностей (в процентах) устанавливаются в виде приведенных (γ), относительных (δ) или абсолютных (∆) погрешностей, которые могут определяться по формулам:


Дополнительно устанавливаются способы выражения пределов допускаемых погрешностей:

относительной (в децибелах)


где А = 10 при измерении мощности и других энергетических величии; А = 20 при измерении напряжения, силы тока и других силовых величин: ступенчатой функцией



где a1, a2, a3, ai , a, b, c, d - постоянные размерные или безразмерные величины; Хi, X - измеряемые или влияющие величины и, применяемые без учета знака; Xk, - конечное значение диапазона измерений; c1 , с2 , ci - конкретные значения измеряемой или влияющей величины; XN - нормирующее значение измеряемой величины.

Нормирующее значение XN принимается равным:) конечному значению диапазона измерений (если нулевая отметка находится на краю или вне шкалы) и арифметической сумме конечных значений диапазона измерений (если нулевая отметка находится внутри диапазона измерений) - для приборов с равномерная или степенной шкалой.

б)номинальному значению - для приборов, предназначенных для измерений величин, для которых установлено это номинальное значение;

в)диапазону показаний - для приборов с логарифмической, гиперболической или другой существенно неравномерной шкалой.

Погрешность ∆ и δ можно представить в виде таблиц или графиков. Пределы допускаемых абсолютных погрешностей выражают в единицах измеряемой величины.

Важной характеристикой прибора являются вариации отсчетов и значение невозвращения указателя к нулевой отметке. Эти характеристики нормируются в зависимости от класса точности прибора. Так. например, полуторакратное значение основной погрешности допускается для электромагнитных и ферродинамических приборов классов 0.05 и 0,1 (при поверке их на постоянном токе): самопишущих приборов с чернильной записью, приборов, устойчивых к механическим воздействиям; миниатюрных и малогабаритных приборов. Для всех остальных приборов вариация не должна превышать абсолютного значения основной погрешности.

Невозвращение указателя к нулевой отметке от наиболее удаленной точки шкалы для приборов класса 0,05, приборов с подвижной частью на растяжках, приборов с углом шкалы более 1200 , миниатюрных и малогабаритных приборов, а также приборов, устойчивых к механическим воздействиям, не должно превышать (в миллиметрах ∆=0,01КL, где К - численное значение класса точности прибора; L-длина диапазона показаний, мм. Для остальных приборов допускается половина указанного значения.

Дополнительные погрешности вызываются следующими факторами:

. Отклонение температуры окружающего прибор воздуха от нормальной (или от обозначенной на приборе) вызывает изменение параметров электрической цепи прибора и механических подвижных частей. Погрешность, возникающая в этих условиях, называется температурной погрешностью, которая может достигать значительной величины.

Допускаемые отклонения от номинальных значений вспомогательных частей приборов (шунтов, добавочных сопротивлении и др.), вызванные изменением температуры на 10 К. приведены ниже:

Класс вспомогательной части0.01 0.02 0.05 0.1 0.2 0.5 1.0

Допускаемое отклонение в %±0.007 ± 0.015 +0,025 ±0.05 ±0.1 ±0.25 ±0.5

. Отклонение прибора от его рабочего положения в любом направлении на угол 50 вызывает погрешность, не превышающую значения предела допекаемой основной погрешности. Это требование не распространяется на приборы, снабженные уровнем Для приборов со световым указателем допускается корректировка нуля при наклонном положении прибора. Если на приборе рабочее положение не указано. то при изменении наклона прибора от 0 до 900 дополнительная погрешность не превысит половины допускаемой основной погрешности.

Для приборов постоянною и переменного тока с частотой до кГц. не имеющих символа F-30 (гл. 2-6, МЭК-51), влияние внешнего однородного постоянного или переменного магнитного поля с частотой, соответствующей рабочей частоте, и индукцией 0.5 мТл (напряженностью магнитного поля Н = 400 А/м). При индукции магнитного поля, рассчитанного по формуле

В=0,5/f мТл (напряженность H = 400/f Ам , где f - частота, кГц). (11)

Приборы с символом F-30 будут иметь дополнительную погрешность, не превышающую основной, при индукции магнитною ноля, указанной в символе, в миллитесла.

Дополнительная погрешность электростатических приборов, не имеющих символов F-27 и F-34, под влиянием внешнего электростатическою поля с частотой 50 Гц и напряженностью 20 кВ/м при самых неблагоприятных фазе и направлении электрического поля не превысит ±6%. Для приборов, имеющих символ F-27, значение дополнительной погрешности не превысит предела основной погрешности. Для приборов, имеющих символ F-34, дополнительная погрешности не будет превышать основной под влиянием электрического поля с напряженностью, указанной в символе, в киловольтах на метр.

Изменение показаний щитовых приборов, установленных на ферромагнитном или неферромагнитном щите толщиной (2 ± 0.5) мм и не имеющих символов F-37; F-38; F-39; F-40, не будет превышать половины допускаемой основной погрешности. Погрешность приборов, имеющих один из указанных символов, и условиях, определенных описанием символе, не будет выходить та допускаемую основную погрешность.

. Изменение показаний приборов, вызванное отклонением частоты от номинальной на ±10%. не превысит основной погрешности

Если на приборе указана номинальная область частот, для которой он предназначен. то основная погрешность при любой частоте в пределах той области не может быть больше нормализованного значения. Если на приборе указана расширенная область частот, то изменение показаний, вызванное изменением частоты а указанной области, не будет превышав значения основной погрешности.

. Целый рад приборов изменяет показания и зависимости от продолжительности работы. Поэтому в стандартах оговариваются время установлении рабочего режима и продолжительность непрерывной работы средств измерении. Время установления рабочего режима выбирается из ряда 0; 1; 5; 30 мин; 1.0; 1.5; 2.0 ч. Для стационарных средств или снабженных термостатирующими устройствами это время может превышать 2 ч. Время установления рабочего режима указывается в эксплуатационной документации

Изменения показаний отдельных видов приборов могут происходить под влиянием других внешних факторов. Допускаемые изменения показаний в этих случаях оговариваются в стандартах на от дельные группы приборов или в технических условиях.

В настоящее время в стандартах принят детерминированный подход к нормированию и оценке погрешностей электроизмерительных приборов. С повышением точности электроизмерительных приборов, с появлением приборов, работающих на новых принципах, с созданием измерительных систем перспективным является вероятностный подход к нормированию и оценке погрешностей. Погрешности средств измерений в общем случае рассматриваются как случайные величины, а поэтому при нормировании погрешностей приборов и их поверье следует применять статистические методы. Указанные методы находят свое отражение в базовых стандартах государственной системы обеспечения единства измерений в СССР.

ГОСТ 8.009 -72 «Государственная система единства измерений. Нормируемые метрологические характеристики средств измерений» устанавливает номенклатуру нормируемых метрологических характерно (их средств измерений для оценки погрешностей измерений в известных рабочих условиях их эксплуатации. Стандарт определяет метрологические характеристики; способы их нормирования и формы представления; метрологические характеристики, подлежащие нормированию для средств намерений.

. ОСНОВНЫЕ ТРЕБОВАНИЯ К ИСПЫТАНИЯМ, ПРОВЕРКЕ И ЭКСПЛУАТАЦИИ ЭЛЕКТРОИЗМЕРИТЕЛЬНЫХ ПРИБОРОВ

С целью проверки технического состояния электроизмерительных приборов существуют различные методы их испытаний

Испытания электроизмерительных приборов должны производиться в соответствии с требованиями стандартов на отдельные группы приборов (или технических условий)

Испытания приборов и вспомогательных частей делятся по характеру на следующие:

а)приемо-сдаточные, производимые отделом технического контроля завода-поставщика; испытаниям должен быть подвергнут каждый выпускаемый прибор и каждая вспомогательная часть;

б)периодические, производимые заводом-поставщиком в сроки, установленные техническими условиями, но не реже одного раза и год; эти испытания производятся каждый раз. когда в их конструкцию или технологию вносятся существенные изменения;

в)государственные контрольные испытания. проводимые при выпуске вновь осваиваемых приборов и вспомогательных частей по ГОСТ 8.001 - #0 ГСИ «Организация и порядок проведения государственных испытаний средств измерений»;

г) на надежности проводимые заводом-постановщиком по соответствующим стандартам и техническим условиям.

При приемо-сдаточных испытаниях приборов и вспомогательных частей проверяются характеристики их на соответствие техническим требованиям: основная погрешность, которая не должна превышать 0,8 предела допускаемой основной погрешности: вариации; невозвращение указателя к нулевой отметке, влияние наклона прибора; прочность изоляции при нормальных условиях и др.

Для периодических испытаний из серийного производства отбирается не менее двух образцов каждое о типа. Эти приборы и вспомогательные части проверяются на общие технические требования, относящиеся к испытуемым приборам и вспомогательным частям, и на соответствие дополнительным требованиям стандартов на отельные группы приборов или техническим условиям.

Основные технические условия на электроизмерительные приборы, кроме рассмотренные ранее, определяют прочность и сопротивление изоляции электрических цепей; успокоение подвижных частей; устойчивость к перегрузкам: устойчивость к механическим и климатическим воздействиям; характеристику отсчетных устройств; требования к надежности; маркировку приборов и вспомогательных частей; комплектность поставки; упаковку, транспортирование и хранение.

Изоляция электроизмерительных приборов. Изоляция между электрическими цепями и корпусом прибора или вспомогательной части выдерживает в течение 1 мин при нормальных условиях действие испытательного напряжения.

Сопротивление изоляции между корпусом и изолированными по постоянному току электрическими цепями должно быть:

в нормальных условиях не менее 20 МОм - для приборов 4-7 групп при рабочем напряжении от 42 до 500 В и 40 МОм - для приборов 4-7 групп при рабочем напряжении от 500 до 1000 В и приборов остальных групп при рабочем напряжении до 1000 В; для всех приборов при рабочем напряжении выше 1000 В добавляется 20 МОм на каждые полные или неполные 1000 В рабочего напряжения;

в рабочих условиях для групп 4-7 при рабочем напряжении от 42 до 500 В не менее 5 МОм - при верхнем значении температуры и влажности воздуха до 80% и 2 МОм - при температуре окружающего воздуха (20 ± 5) сС и верхнем значении влажности.

Проверка сопротивления изоляции электрических цепей прибора производится при отсутствии напряжения в цепи прибора.

Успокоение подвижной части. Время установления показаний электроизмерительных приборов не превышает 4 с. Это время от момента включения прибора до момента, когда отклонение указателя от установившегося положения не превысит 13% диапазона показаний Установившееся положение должно отстоять от начального приблизительно на 2/3 диапазона показаний Время установления показаний тепловых, термоэлектрических, биметаллических, самопишущих приборов, приборов с длиной стрелки более 150 мм, с конечным значением диапазона измерений меньше 20 мВ. 200 мкА; 10 мОм и более 10 МОм может превышать 4 с. Для этих приборов, а также для приборов с углом шкалы 2400 размах первого колебания может превышать 20% диапазона показаний: для остальных приборов - не будет превышать этого значения.

Подвижные части приборов переменное о тока (кроме вибрационных} не имеют колебаний резонансного характера, вызывающих размыв конца указателя больше, чем на ширину самой узкой из отметок шкалы, при любой частоте в пределах от 0.9 до 1.1 номинальной частоты или в пределах номинальной области частот.

Устойчивость к перегрузкам. При эксплуатации электроизмерительных приборов бывают случаи перегрузок, что может вызвать неблагоприятные изменения технических характеристик. Полому при проектировании учитываются возможные перегрузки. Показывающие приборы и вспомогательные части длительное время (до 2 ч) выдерживают нагрузку током или напряжением, равным 120% номинального.

В целях обеспечения работы приборов после аварийных режимов в электрических сетях или цепях проводятся испытания на кратковременные перегрузки (табл. 2-6).

После воздействия перегрузки отклонение указателя не будет превышать 0.5% диапазона показаний Х1я приборов классов точности 0.5 и более точных. Для остальных приборов значение определяется по формуле

С = 0.01 КL (12)

где К - класс прибора; длина диапазона показаний, мм.

Механические и климатические воздействия на электроизмерителные приборы и вспо-могательные части. Средства измерений могут быть тепло-. холодо-. влаго-, вибро- и удароустойчивыми (т. с. сохранять свои характеристики во время пребывания в соответствующих рабочих условиях); тепло-, холодо-, влаго-. вибро-, тряско- и ударопрочными (т. е. сохранить свои характеристики после пребывания в предельных условны и последующего пребывания в нормальных или рабочих условиях).

Для щитовых приборов, изготовляемых в корпусах по ГОСТ 5944 - 74, допускается устанавливать более жесткие требования по вибро- и ударопрочности, вибро- и ударо- устойчивости, а именно: по вибрации диапазон частот находится в пределах 10-70 Гц, а значения виброускорений выбираются из ряда: 5; 10: 15; 20; 30; 40 м/с2; по ударам - частота ударов - от 10 до 50 ударов в минуту; длительность импульсов от 6 до 20 мс. общее число - 2000 ударов; максимальное ускорение выбирается из ряда: 15; 50; 70 м/с2.

Для приборов и вспомогательных частей допускается устанавливать требования по ветроустойчивости, пыле- и брызгозащищенности.

Переносные приборы 5 и 7 трупп могут быть вибро- и ударопрочными.

Отсчетное устройство. Характеристика отсчетного устройства - диапазона показаний, соответствующий диапазону измерений.

Угол шкалы профильных приборов не превышает 750. Электроизмерительные приборы с механическим противодействующим моментом, имеющие на шкале пулевую отметку, как правило, имеют корректор для установки указателя на нуль. Полный диапазон регулировки корректором не может быть меньше 2% диапазона покаяний. В приборах с двусторонней шкалой (кроме переносных приборов со световым указателем и равномерной шкалой) отношение отклонений указателя корректором в ту или другую сторону от нулевой отметки не должно превышать 2:1.

Электроизмерительные приборы, подвижная часть которых закреплена на подвесе. имеют арретир, предохраняющий подвое и подвижную часть от повреждений при транспортировании.

Надежностъ. Основным показателем надежности является наработка на отказ. Значение наработки на отказ выбирается из ряда: 500; 600; 700: 800; 900; 1000 и далее через 250 ч.

Требования безопасности. Все внешние части приборов, находящиеся пол напряжением, превышающим 42 В по отношению к корпусу, защищены от случайных прикосновений. Внешние части приборов, работающих напряжением от 1000 до 30 000 В. обозначаются предупредительным знаком . Приборы, для безопасной работы с которыми необходимы особые меры предосторожности, указанные в эксплуатационной документации, на передней панели иди около частей, представляющих опасность, имеют знак .

Маркировка приборов и вспомогательных частей. Каждый прибор имеет следующие обозначения (на лицевой стороне, на корпусе и у зажимов): обозначение единицы измеряемой величины (для приборов с именованной шкалой) иди наименование приора; обозначение класса прибора; знак Государственного реестра и государственный Знак качества; условное обозначение рода тока и числа фаз; условное обозначение системы прибора и вспомогательной части. С которой градуировался прибор; обозначения символов (МЭК-51); степени защищенности от влияния магнитных и электрических полей; условное обозначение рабочего положения прибора, если это положение имеет значение (символы Д1 - Д7); условное обозначение испытательного напряжения изоляции измерительной цепи по отношению к корпусу (символы С1 - СЗ); товарный знак завода-поставщика; условное обозначение типа прибора; год выпуска и заводской номер.

Кроме перечисленных, приборы и вспомогательные части имеют следующие обозначения: указываются номинальная частота, если она отличается от 50 Гц, или номинальная область частот (расширенная область частот); номинальный ток, напряжение и коэффициент мощности (в соответствии с требованиями стандартов на отдельные группы приборов); ток или напряжение, соответствующие конечному значению шкалы; для приборов» измеряющих другие величины, сопротивление соединительных проводов (если оно отличается от 0.035 Ом); номинальные значения тока и падения напряжения шунтов, сопротивление и номинальные токи добавочных сопротивлений. коэффициенты трансформации измерительных трансформаторов; схема подключения приборов или вспомогательной части.

Для переносных приборов классов точности 0.05-0.5 укатывается: значение активного сопротивления и индуктивности - для амперметров переменного тока, паление напряжения - на амперметрах постоянною тока; ток полного отклонения вольтметра.

Допускается в соответствии с техническими условиями ряд обозначений указывать в эксплуатационном документации В этом случае на приборе должен быть, символ F-33 (МЭК-51). Если один из размеров фланца щитового прибора менее 30 мм то на шкале или видимой при эксплуатации части прибора допускается нанесение только обозначения единицы измеряемой величины. Для щитовых приборов с размером фланца менее 60 мм при применении символа F-33 допускается все обозначения (или часть их), кроме единицы измеряемой величины, не наносить на прибор, а указывать в эксплуатационной документации.

Комплектностъ поставки. Объем поставки устанавливается стандартами и техническими условиями на отдельные типы приборов-

Упаковка транспортирование и хранение. Упаковка приборов и вспомогательных частей, маркировка упаковочной тары с документацией на приборы осуществляется в соответствии с ГОСТ 9181-74.

Транспортирование приборов осуществляется в упаковке в закрытом транспорте любого вида. При транспортировании самолетом приборы должны помешаться в герметичном отсеке

В помещениях для хранении приборов в упаковке относительная влажность воздуха должна быть не более 80% и температура от 0 до 40 0С.

Приборы без упаковки следует хранить при температуре окружающею воздуха от 10 до 35 0С и относительной влажности до 80%. В помещениях для хранения не должно быть пыли, паров кислот и щелочей, агрессивных газов и других вредных примесей, вызывающих коррозию.

. ОСНОВНЫЕ ПОНЯТИЯ

Измерительный прибор - средство измерений, дающее возможность непосредственно отсчитывать значения измеряемой величины. В аналоговых измерительных приборах отсчитывание производится по шкале, в цифровых - по цифровому отсчётному устройству. Показывающие измерительные приборы предназначены только для визуального отсчитывания показаний, регистрирующие измерительные приборы снабжены устройством для их фиксации, чаще всего на бумаге. Регистрирующие измерительные приборы подразделяются на самопишущие, позволяющие получать запись показаний в виде диаграммы, и печатающие, обеспечивающие печатание показаний в цифровой форме. В измерительных приборах прямого действия (например, манометре, амперметре) осуществляется одно или несколько преобразований измеряемой величины, и значение её находится без сравнения с известной одноимённой величиной. В измерительных приборах сравнения непосредственно сравнивается измеряемая величина с одноимённой величиной, воспроизводимой мерой (примеры - равноплечные весы, электроизмерительный потенциометр, компаратор для линейных мер). К разновидностям измерительных приборов относятся интегрирующие измерительные приборы, в которых подводимая величина подвергается интегрированию по времени или по другой независимой переменной (электрические счётчики, газовые счётчики), и суммирующие измерительные приборы, дающие значение двух или нескольких величин, подводимых по различным каналам (ваттметр, суммирующий мощности нескольких электрических генераторов).

В целях автоматизации управления технологическими процессами измерительные приборы часто снабжаются дополнительными регулирующими, счётно-решающими и управляющими устройствами, действующими по задаваемым программам.

Чувствительность измерительного прибора - отношение перемещения указателя прибора относительно шкалы (выраженного в линейных или угловых единицах) к изменению значения измеряемой величины, вызвавшей это перемещение.

Шкала (от лат. scala - лестница) измерительного прибора, часть отсчётного устройства прибора, представляющая собой совокупность отметок (точек, штрихов, расположенных в определённой последовательности) и проставленных у некоторых из них чисел отсчёта или других символов, соответствующих ряду последовательных значений измеряемой величины. Параметры шкалы - её пределы, цена деления (разность значений величины, соответствующих двум соседним отметкам) и др. - определяются пределами измерения, реализуемыми измерительным механизмом прибора, чувствительностью прибора и требуемой точностью отсчёта. В зависимости от конструкции отсчётного устройства деления шкалы могут располагаться по окружности, дуге или прямой линии, а сама шкала может быть равномерной, квадратичной, логарифмической и т.д. Основные деления шкалы, соответствующие цифровым обозначениям, наносятся более длинными (или толстыми) линиями. Показания отсчитываются невооружённым глазом при расстояниях между делениями до 0,7 мм, при меньших - при помощи лупы или микроскопа. Для долевой оценки делений шкалы применяют дополнительные шкалы - нониусы.

Нониус - вспомогательная шкала, при помощи которой отсчитывают доли делений основной шкалы измерительного прибора. Прототип современного нониуса предложен французским математиком П. Вернье, поэтому нониус часто называют верньером. Нониус получил название по имени португальца П. Нуниша (P. Nunes, латинизированное имя Nonius), предложившего для отсчёта долей делений шкалы другой сходный прибор, ныне, однако, не применяемый. Различают линейный, угломерный, спиральный, трансверсальный и др. виды нониусов. Применение линейного нониуса основано на разнице интервалов деления основной шкалы и нониуса. Длина нониуса (целое число его делений) точно укладывается в определённом целом числе делений основной шкалы. При совпадении нулевой отметки нониуса с какой-либо отметкой L основной шкалы результат измерения А соответствует величине, определяемой отметкой L; при несовпадении нулевой отметки нониуса с L значение

А = L + ki,

где k - число делений нониуса от нулевого до совпадающего со штрихом основной шкалы; i - наименьшая доля деления основной шкалы, которую можно оценить нониусом (обычно i = 0,1; 0,05 или 0,02 мм). Принцип отсчёта по угломерному нониусу, применяемому в ряде оптико-механических приборов, такой же, как и по линейному нониусу.

Отсчётное устройство измерительного прибора (аналогового или цифрового) - часть прибора, предназначенная для отсчитывания его показаний. Отсчётное устройство аналогового прибора обычно состоит из шкалы и указателя, причём подвижным может быть либо указатель, либо шкала. По типу указателя отсчётные устройства подразделяются на стрелочные и световые. В стрелочных отсчётных устройствах стрелка своим концом перемещается относительно отметок шкалы. Конец стрелки может быть копьевидным или выполненным в виде ножа или натянутой нити. В последних двух случаях шкалы снабжаются зеркалом для устранения погрешности отсчёта, вызванной параллаксом. В световых отсчётных устройствах роль стрелки выполняет световой луч, отражённый от зеркальца, скрепленного с подвижной частью прибора. От положения последней зависит положение светового изображения на шкале, по которому отсчитывают показания. Световое отсчётное устройство позволяет устранить погрешность от параллакса и повысить чувствительность прибора за счёт увеличения длины указателя и удвоения угла его поворота.

Отсчётное устройство цифрового прибора позволяет получить показание непосредственно в цифровой форме. Для создания изображений цифр применяются цифровые индикаторы различной конструкции. Механические индикаторы представляют собой несколько роликов или дисков с цифрами по окружности и ряд окошечек, в которых появляются цифры отдельных роликов (дисков). Такими отсчётными устройствами снабжены, например, счётчики электроэнергии. Электромеханические индикаторы содержат подвижные части с изображениями цифр, перемещаемые электромеханическими приводными устройствами. В электрических индикаторах применяются лампы накаливания, люминесцентные или газоразрядные элементы и электроннолучевые трубки, образующие изображения цифр.

Точность измерения - характеристика измерения, отражающая степень близости его результатов к истинному значению измеряемой величины. Чем меньше результат измерения отклоняется от истинного значения величины, то есть чем меньше его погрешность, тем выше точность измерения, независимо от того, является ли погрешность систематической, случайной или содержит ту и другую составляющие. Иногда в качестве количественной оценки точности измерения указывают погрешность, однако погрешность является понятием, противоположным точности, и логичнее в качестве оценки точности измерения указывать обратную величину относительной погрешности (без учёта её знака); например, если относительная погрешность равна ±10-5, то точность равна 105.

Точность меры и измерительного прибора - степень близости значений меры или показаний измерительного прибора к истинному значению величины, воспроизводимой мерой или измеряемой при помощи прибора. Точные меры или измерительные приборы имеют малые погрешности, как систематические, так и случайные.

Классы точности средств измерений - обобщённая характеристика средств измерений, служащая показателем установленных для них государственными стандартами пределов основных и дополнительных погрешностей и др. параметров, влияющих на точность. Введение классов точности облегчает стандартизацию средств измерений и их подбор для измерений с требуемой точностью.

Из-за разнообразия измеряемых величин и средств измерений нельзя ввести единый способ выражения пределов допускаемых погрешностей и единые обозначения классов точности. Если пределы погрешностей выражены в виде приведенной погрешности (т. е. в процентах от верхнего предела измерений, диапазона измерений или длины шкалы прибора), а также в виде относительной погрешности (т. е. в процентах от действительного значения величины), то классы точности обозначают числом, соответствующим значению погрешности. Например: Классу точности 0,1 соответствует погрешность 0,1%. Многие показывающие приборы (амперметры, вольтметры, манометры и др.) формируются по приведённой погрешности, выраженной в процентах от верхнего предела измерений. В этих случаях применяется ряд классов точности: 0,1; 0,2; 0,5; 1,0; 1,5; 2,5; 4,0.

7. ВИДЫ ИЗМЕРИТЕЛЬНЫХ ЭЛЕКТРОТЕХНИЧЕСКИХ ПРИБОРОВ

амперметр ваттметр осциллограф точность чувствительность

Электродинамический прибор - измерительный прибор, принцип действия которого основан на механическом взаимодействии двух проводников при протекании по ним электрического тока. Электродинамический прибор состоит из измерительного преобразователя, преобразующего измеряемую величину в переменный или постоянный ток, и измерительного механизма электродинамической системы. Наиболее распространены электродинамические приборы с подвижной катушкой, внутри которой на оси со стрелкой расположена подвижная катушка. Вращающий момент на оси возникает в результате взаимодействия токов в обмотках катушек и пропорционален произведению действующих значений этих токов. Уравновешивающий момент создаёт пружина, с которой связана ось. При равенстве моментов стрелка останавливается. Электродинамические приборы - наиболее точные электроизмерительные приборы, применяемые для определения действующих значений тока и напряжения в цепях переменного и постоянного тока. При последовательном соединении обмоток катушек угол поворота стрелки пропорционален квадрату измеряемой величины. Такое включение обмоток применяется в электродинамических приборах для измерения напряжения и силы тока (вольтметры и амперметры). Электродинамические измерительные механизмы используют также для измерения мощности (ваттметры). При этом через неподвижную катушку пропускают ток, пропорциональный току, а через подвижную - ток, пропорциональный напряжению в измеряемой цепи. Показания прибора пропорциональны активному или реактивному значению электрической мощности. В случае исполнения электродинамических механизмов в виде логометров их применяют как частотомеры, фазометры и фарадометры. Электродинамические приборы изготовляют главным образом переносными приборами высокой точности - классов 0,1; 0,2; 0,5. Разновидность электродинамических приборов - ферродинамический прибор, в котором для усиления магнитного поля неподвижной катушки применяют магнитопровод из ферромагнитного материала. Такие приборы предназначаются для работы в условиях вибрации, тряски и ударов. Класс точности ферродинамических приборов 1,5 и 2,5.

Электростатический прибор - измерительный прибор, принцип действия которого основан на механическом взаимодействии электродов, несущих разноимённые электрические заряды. В электростатическом приборе, измеряемая величина преобразуется в напряжение переменного или постоянного тока, определяемое электростатическим измерительным механизмом. Измеряемое напряжение подводится к подвижному электроду, укрепленному на оси, связанной со стрелкой, и к изолированному от него неподвижному электроду. В результате взаимодействия зарядов, возникающих на электродах, на оси появляется вращающий момент, пропорциональный квадрату приложенного напряжения. Действующая на ось пружина создаёт момент, противодействующий вращающему моменту и пропорциональный углу поворота оси подвижного электрода. При взаимодействии вращающего и противодействующего моментов стрелка измерительного механизма поворачивается на угол, пропорциональный квадрату поданного на электроды напряжения. Шкала, градуируемая в единицах измеряемых величин, получается неравномерной, выполняется часто со световым указателем. Электростатический прибор, используют обычно для измерения напряжений переменного или постоянного тока, в том числе высокочастотных. Для этих приборов характерно малое потребление энергии и независимость показаний от частоты. Они подвержены влиянию внешних электростатических полей, которое ослабляется внутренним экранированием прибора. Электростатический прибор, выпускаются наивысшего класса точности 0,005.

Термоэлектрические приборы обеспечивают сравнительно большую точность измерений в широком диапазоне частот и независимость показаний от формы кривой тока, протекающего через нагреватель. Их основные недостатки - зависимость показаний от температуры окружающей среды, значительное собственное потребление мощности, недопустимость больших перегрузок (не более чем в 1,5 раза). Применяются преимущественно для измерения действующего значения силы переменного тока (от единиц мкА до нескольких десятков А) в диапазоне частот от нескольких десятков Гц до нескольких сотен МГц с погрешностью 1-5%.

Электромагнитный прибор - измерительный прибор, принцип действия которого основан на взаимодействии магнитного поля, пропорционального измеряемой величине, с сердечником, выполненным из ферромагнитного материала. Основные элементы электромагнитного прибора: измерительная схема, преобразующая измеряемую величину в постоянный или переменный ток, и измерительный механизм электромагнитной системы. Электрический ток в катушке электромагнитной системы создаёт электромагнитное поле, втягивающее сердечник в катушку, что приводит к возникновению на оси вращающего момента, пропорционального квадрату силы тока, протекающего по катушке. В результате действия на ось пружины создаётся момент, противодействующий вращающему моменту и пропорциональный углу поворота оси. При взаимодействии моментов ось и связанная с ней стрелка поворачиваются на угол, пропорциональный квадрату измеряемой величины. При равенстве моментов стрелка останавливается.

Выпускаются электромагнитные амперметры и вольтметры для измерений главным образом в цепях переменного тока частотой 50 Гц. В электромагнитном амперметре катушка измерительного механизма включается последовательно в цепь измеряемого тока, в вольтметре параллельно. Электромагнитные измерительные механизмы применяют также в логометрах. Наиболее распространены щитовые приборы классов точности 1,5 и 2,5, хотя существуют приборы классов 0,5 и даже 0,1 с рабочей частотой до 800 Гц.

Магнитоэлектрический прибор - измерительный прибор непосредственной оценки для измерения силы электрического тока, напряжения или количества электричества в цепях постоянного тока. Подвижная часть измерительного механизма магнитоэлектрического прибора перемещается вследствие взаимодействия магнитного поля постоянного магнита и проводника с током. Наиболее распространены магнитоэлектрические приборы с подвижной рамкой, расположенной в поле постоянного магнита. При протекании по виткам рамки тока возникают силы, образующие вращающий момент. Ток к рамке подводится через пружинки или растяжки, создающие противодействующий вращающий механический момент. Под действием обоих моментов рамка перемещается на угол, пропорциональный силе тока в рамке. Непосредственно через обмотку рамки можно пропускать только небольшие токи силой от нескольких мкА до десятков мА, чтобы не перегреть обмотки и растяжки. Для расширения пределов измерений по току и по напряжению к рамке подключают шунтирующие и добавочные сопротивления, подключаемые извне или встроенные. Существуют магнитоэлектрические приборы, у которых постоянный магнит помещен внутри подвижной катушки, а также магнитоэлектрические приборы с подвижным магнитом, укрепленным на оси внутри неподвижной катушки. Применяются также магнитоэлектрические логометры. Магнитоэлектрические приборы с подвижным магнитом более просты, имеют меньшие габариты и массу, но меньшую точность и чувствительность, чем приборы с подвижной рамкой. Для отсчёта показаний используют стрелочный или световой указатель: луч света от осветителя направляется на зеркальце, укрепленное на подвижной части прибора, отражается от него и образует на шкале магнитоэлектрического прибора световое пятно с тёмной чертой в центре.

Отличительные особенности магнитоэлектрического прибора - равномерная шкала, хорошее успокоение, высокие точность и чувствительность, малое потребление мощности; они чувствительны к перегрузкам, к механическим сотрясениям и ударам и мало чувствительны к влияниям внешних магнитных полей и окружающей температуры.

Электроизмерительный комбинированный прибор - измерительный прибор, в котором для измерения (неодновременного) двух и более величин используется один измерительный механизм либо несколько различных измерительных преобразователей с общим отсчётным устройством. Шкалу или отсчётное устройство электроизмерительного комбинированного прибора градуируют в единицах тех величин, которые он измеряет. Наиболее широко используют приборы для измерения электрического напряжения, силы переменного и постоянного тока - ампервольтметры; напряжения, силы переменного и постоянного тока и сопротивления - ампервольтомметры (авометры); индуктивности, напряжения постоянного тока, количества импульсов - универсальные цифровые электроизмерительные комбинированные приборы.

8. АМПЕРМЕТР

Рисунок 1- Амперметр

Амперметр - прибор для измерений силы постоянного и переменного тока в амперах (А). Шкалу Амперметра градуируют в килоамперах, миллиамперах или микроамперах в соответствии с пределами измерения прибора. В электрическую цепь амперметр включается последовательно; для увеличения предела измерений - с шунтом или через трансформатор. Под действием тока подвижная часть прибора поворачивается; угол поворота связанной с ней стрелки пропорционален силе тока. Существуют амперметры, в которых применены магнитоэлектрическая, электромагнитная, электродинамическая (ферромагнитная), термоэлектрическая и выпрямительная системы.

Основные характеристики амперметров, выпускаемых (1967) промышленностью СССР, приведены в таблице.

Таблица 2 - Основные характеристики амперметров

Системы

Показывающие

Самопишущие

 

Магнитоэлектрическая

Электромагнитная

Электродинамическая

Термоэлектрическая

Магнитоэлектрическая, электродинамическая или выпрямительная с регистрирующими устройствами

Характеристики

 

 

 

 

 

Измеряемый ток

Гл. обр. пост. (с добавочными устройствами - перем. ток ВЧ и неэлектрич. величины)

Пост. и перем. (45 Гц- 8 кГц)

Пост. и перем. (50 1500 МГц)

Перем. (50 30 МГц)

Пост. и перем., (45 Гц- 10 кГц)

Классы точности (относит. погрешность в %)

0,1; 0,2; 0,5; 1,0; 1,5; 2,5; 4,0

0,5; 1,0; 1,5; 2,5

0,1; 0,2; 0,5; 2,5

1,5; 2,5; 5,0

1,5; 2,5

Пределы измерений:

 

 

 

 

 

непосредственно

0-75 А

0-300 А

0-50 А

-

0-30 А

c добавочным устройством (шунт, трансформатор и др.) до

6 кА(отдельные типы до 70 кА)

30 кА

6 кА

50 А

150 кА

Потребляемая мощность (вт, при измерениях 10 А)

0,2-0,4

2,0-8,0

3,5-10,0

1,0

-


В зависимости от области применения в конструкциях амперметра предусматривается защита от внешних влияний - они устойчивы относительно изменений температуры (от 60°С до - 60°С), вибраций, тряски и могут работать при 80 - 98% относительной влажности.

9. ВАТТМЕТР

Рисунок 2- Ваттметр

Ваттметр - прибор для измерения мощности электрического тока в ваттах. Наиболее распространены электродинамические ваттметры, механизм которых состоит из неподвижной катушки, включенной последовательно с нагрузкой (цепь тока), и подвижной катушки, включенной через большое добавочное сопротивление R параллельно нагрузке (цепь напряжения). Работа ваттметра основана на взаимодействии магнитных полей подвижной и неподвижной катушек при прохождении по ним электрического тока. При этом вращающий момент, вызывающий отклонение подвижной части прибора и соединённой с ней стрелки (указателя), при постоянном токе пропорционален произведению силы тока на напряжение, а при переменном токе - также косинусу угла сдвига фаз между током и напряжением. Применяются также ферродинамические ваттметры, реже индукционные, термоэлектрические и электростатические.

Промышленность СССР выпускала переносные (лабораторные) электродинамические ваттметры классов точности 0,2 и 0,5, предназначенные для измерений в цепях постоянного и переменного (с частотой до 5 кГц) токов. Измерение мощности при частоте переменного тока свыше 5 кГц осуществляют термоэлектрические ваттметры. Для измерения мощности в энергетических установках применяют щитовые (стационарные) ваттметры обычно ферродинамические и реже индукционные.

Мощность в трёхфазных цепях измеряют трёхфазными ваттметрами, которые представляют собой конструктивное объединение трёх (двух) механизмов однофазных ваттметров Подвижные катушки трёхфазных ваттметров укрепляют на общей оси, чем достигается суммирование создаваемых ими вращающих моментов. В цепи высокого напряжения ваттметр включают через измерительные трансформаторы (тока и напряжения).


Рисунок 3 - Вольтметр

Вольтметр - электрический прибор для измерения эдс или напряжений в электрических цепях. Вольтметр включается параллельно нагрузке или источнику электрической энергии.

Первым в мире вольтметром был «указатель электрической силы» русского физика Г. Рихмана (1745). Принцип действия «указателя» используется и в современном электростатическом вольтметре.

Наиболее просты в изготовлении, дёшевы и надёжны в эксплуатации вольтметры электромагнитные. Они применяются главным образом как стационарные на распределительных щитах электростанций и промышленных предприятий и более редко в качестве лабораторных приборов. Недостатки таких вольтметров - относительно большое собственное потребление энергии (3-7 Вт) и большая индуктивность обмотки, приводящая к существенной зависимости показаний вольтметра от частоты.

Наиболее чувствительны и точны вольтметры магнитоэлектрические, пригодные, однако, для измерений только в цепях постоянного тока. В комплекте с термоэлектрическими, полупроводниковыми или электронно-ламповыми преобразователями переменного тока в постоянный они применяются для измерения напряжения в цепях переменного тока. Такие вольтметры называются термоэлектрическими, выпрямительными и электронными, применяются главным образом в лабораторной практике. Выпрямительные вольтметры используют для измерений в диапазоне звуковых частот, а термоэлектрические и электронные - на высоких частотах. Недостаток этих приборов - существенное влияние на правильность их показаний формы кривой измеряемого напряжения.

Электронные вольтметры имеют сложные схемы с применением недостаточно стабильных элементов (электронных ламп, малогабаритных электрических сопротивлений и конденсаторов), что приводит к снижению их надёжности и точности. Однако они незаменимы при измерениях в маломощных радиотехнических цепях, так как имеют большое входное сопротивление и работают в широком диапазоне частот (от 50 Гц до 100 МГц) с погрешностями, не превышающими 3% от верхнего предела измерения. Изготовляются также электронные вольтметры для измерения амплитуды импульсов напряжения длительностью от десятых долей мксек при скважности до 2500.

В начале ХХ в. широко применялись вольтметры тепловой и индукционной систем; в настоящее время промышленное производство их прекращено из-за присущих им недостатков - большое собственное потребление энергии и зависимость показаний от температуры окружающей среды.

. ФАЗОМЕТР

Рисунок 4- Фазометр

Фазометр - прибор для измерения косинуса угла сдвига фаз (или коэффициента мощности) между напряжением и током в электрических цепях переменного тока промышленной частоты или для измерения разности фаз электрических колебаний. Измерение косинуса угла сдвига фаз на промышленной частоте производят электромеханическими фазометрами с непосредственным отсчётом, в которых измерительным механизмом служит логометр (электродинамический, ферродинамический, электромагнитный или индукционный); отклонение подвижной части логометра зависит от сдвига фаз соотносимых напряжения и тока. В качестве фазометра для широкого диапазона частот применяют электронно-счётные измерители интервалов времени между моментами прохождения соотносимых колебаний через нуль, а также градуированные измерительные фазовращатели в сочетании с индикаторами нулевой разности фаз (например, с фазовыми детекторами). Погрешности измерения электромеханическими фазометрами 1-3°, электронными 0,05-0,1°.

. ЧАСТОТОМЕР

Рисунок 5- Частотомер

Частотомер - прибор для измерения частоты периодических процессов (колебаний). Частоту механических колебаний обычно измеряют с помощью вибрационных механических Частотомеров и электрических частотомеров, используемых совместно с преобразователями механических колебаний в электрические. Простейший вибрационный механический частотомер, действие которого основано на резонансе, представляет собой ряд упругих пластин, укрепленных одним концом на общем основании. Пластины подбирают по длине и массе так, чтобы частоты их собственных колебаний составили некую дискретную шкалу, по которой и определяют значение измеряемой частоты. Механические колебания, воздействующие на основание частотомера, вызывают вибрацию упругих пластин, при этом наибольшая амплитуда колебаний наблюдается у той пластины, у которой частота собственных колебаний равна (или близка по значению) измеряемой частоте.

Для измерения частоты электрических колебаний применяют электромеханические, электродинамические, электронные, электромагнитные, магнитоэлектрические частотомеры. Простейший электромеханический частотомер вибрационного типа состоит из электромагнита и ряда упругих пластин (как в механическом частотомере) на общем основании, соединённом с якорем электромагнита. Измеряемые электрические колебания подают в обмотку электромагнита; возникающие при этом колебания якоря передаются пластинам, по вибрации которых определяют значение измеряемой частоты. В электродинамических частотомерах основным элементом является логометр, в одну из ветвей которого включен колебательный контур, постоянно настроенный на среднюю для диапазона измерений данного прибора частоту. При подключении такого частотомера к электрической цепи переменного тока измеряемой частоты подвижная часть логометра отклоняется на угол, пропорциональный сдвигу фаз между токами в катушках логометра, который зависит от соотношения измеряемой частоты и резонансной частоты колебательного контура. Погрешность измерений электродинамического частотомера 10-12 - 5·10-14.

Частоту электромагнитных колебаний в диапазоне радиочастот и СВЧ измеряют при помощи электронных частотомеров (волномеров) - резонансных, гетеродинных, цифровых и др.

Действие резонансного частотомера основано на сравнении измеряемой частоты с частотой собственных колебаний электрического контура (или резонатора СВЧ), настраиваемого в резонанс с измеряемой частотой. Резонансный частотомер состоит из колебательного контура с петлёй связи, воспринимающей электромагнитные колебания (радиоволны), детектора, усилителя и индикатора резонанса. При измерении контур настраивают при помощи калиброванного конденсатора (или поршня резонатора в диапазоне СВЧ) на частоту воспринимаемых электромагнитных колебаний до наступления резонанса, который регистрируют по наибольшему отклонению указателя индикатора. Погрешность измерений таким частотомером 5.10-3 - 5·10-4. В гетеродинных частотомерах измеряемая частота сравнивается с известной частотой (или её гармониками) образцового генератора - гетеродина. При подстройке частоты гетеродина к частоте измеряемых колебаний на выходе смесителя (где происходит сравнение частот) возникают биения, которые после усиления индицируются стрелочным прибором, телефоном или (реже) осциллографом. Относительная погрешность гетеродинных частотомеров 5·10-4 - 5·10-6.

Широкое применение получили цифровые частотомеры, принцип действия которых заключается в подсчёте числа периодов измеряемых колебаний за определённый промежуток времени. Электронно-счётный частотомер состоит из формирующего устройства, преобразующего синусоидальное напряжение измеряемой частоты в последовательность однополярных импульсов, временного селектора импульсов, открываемого на определённый промежуток времени (обычно от 10-4 до 10 сек), электронного счётчика, отсчитывающего число импульсов на выходе селектора, и цифрового индикатора. Современные цифровые частотомеры работают в диапазоне частот 10-4 - 109 Гц, относительная погрешность измерения 10-9 - 10-11; чувствительность 10-2 в. Такие частотомеры используются преимущественно при испытаниях радиоаппаратуры, а с применением различных измерительных преобразователей - для измерения температуры, вибраций, давления, деформаций и других физических величин.

Разновидностью образцовых частотомеров, высшей точности являются эталоны и стандарты частоты, погрешность которых лежит в пределах 10-12 - 5.10-14. Измерителем частоты вращения валов машин и механизмов служит тахометр.

. ОСЦИЛЛОГРАФ

Рисунок 6 - Осцилограф

Осциллограф (от лат. oscillo - качаюсь) электроннолучевой - прибор для наблюдения функциональной связи между двумя или несколькими величинами (параметрами и функциями; электрическими или преобразованными в электрические). Для этой цели сигналы параметра и функции подают на взаимно перпендикулярные отклоняющие пластины осциллографической электроннолучевой трубки и наблюдают, измеряют и фотографируют графическое изображение зависимости на экране трубки. Это изображение называют осциллограммой. Чаще всего осциллограмма изображает форму электрического сигнала во времени. По ней можно определить полярность, амплитуду и длительность сигнала. Осциллограф часто имеет проградуированные в В по вертикали и в сек по горизонтали шкалы на экране трубки. Это обеспечивает возможность одновременного наблюдения и измерения временных и амплитудных характеристик всего сигнала или его части, а также измерения параметров случайных или однократных сигналов. Иногда изображение исследуемого сигнала сравнивают с калибровочным сигналом или применяют компенсационный метод измерений.

Важными характеристиками осциллографа, определяющими его эксплуатационные возможности, являются: коэффициент отклонения - отношение напряжения входного сигнала к отклонению луча, вызванному этим напряжением (В/см или В/дел); полоса пропускания - диапазон частот, в пределах которого коэффициент отклонения осциллографа уменьшается не более чем на 3 дБ относительно его значения на средней (опорной) частоте; время нарастания, в течение которого переходная характеристика осциллографа нарастает от 0,1 до 0,9 от амплитудного значения (часто употребляется вместо полосы пропускания); верх. граничная частота полосы пропускания f в связана с соотношением: ; коэффициент развертки - отношение времени к величине отклонения луча, вызванного напряжением развёртки за это время (в сек /см или сек /дел); скорость записи - максимальная скорость перемещения луча по экрану, при которой обеспечивается фотографирование или запоминание (для запоминающего осциллографа) однократного сигнала. Перечисленные параметры определяют амплитудный, временной и частотный диапазоны исследуемых сигналов.

Погрешность измерения сигналов зависит от погрешностей коэффициента отклонения и коэффициента развёртки (обычно ~2-5%) от частоты (длительности) исследуемого сигнала и полосы пропускания (времени нарастания сигнала).

14. ОММЕТР

Рисунок 7- Омметр

Омметр - прибор непосредственного отсчёта для измерения электрических активных (омических) сопротивлений. Разновидности омметра: мегомметры, тераомметры, микроомметры, различающиеся диапазонами измеряемых сопротивлений. Изготовляют омметры с магнитоэлектрическими измерителем и омметры с магнитоэлектрическим логометром.

Действие магнитоэлектрического омметра основано на измерении силы тока, протекающего через измеряемое сопротивление при постоянном напряжении источника питания. Для измерения сопротивлений от сотен Ом до нескольких МОм измеритель и измеряемое сопротивление включают последовательно. При малых значениях сопротивления (до нескольких Ом) измеритель и rx включают параллельно. При постоянных U и С отклонение зависит от rx и потому для облегчения измерений шкала измерителя может быть проградуирована в Омах. Погрешность такого омметра 5-10% от длины рабочей части шкалы.

Часто омметр является частью комбинированного прибора - ампервольтомметра. При необходимости более точных измерений в омметре используется мостовой метод измерения. Для повышения чувствительности измерителя и точности измерений в таких омметрах применяют электронные усилители.

С 60-х гг. ХХ в. стали применять электронные омметры с цифровым отсчётом значения измеряемого сопротивления, а также приборы, в которых предусмотрена возможность подключения к ЭВМ. Пределы измерений сопротивления у таких омметров от 1 МОм до 100 МОм и выше; погрешность 0,01-0,05%.

. АНАЛИЗАТОР СПЕКТРА ЧАСТОТ

Рисунок 8 - Анализатор спектра частот

Анализатор спектра частот - измерительный прибор лабораторного применения для исследования частотных спектров, наблюдаемых на экране электроннолучевой трубки (ЭЛТ), импульсно- и амплитудно-модулированных колебаний в 3и 10-см диапазонах волн. Для получения осциллографического изображения спектра исследуемых колебаний в координатах «мощность - частота» в анализаторе спектра применяют супергетеродинный радиоприёмник, в котором подаваемые на вход колебания ослабляются (если необходимо) аттенюаторами, преобразуются по частоте, усиливаются и затем поступают на вертикальные отклоняющие пластины ЭЛТ; частота гетеродина приёмника линейно изменяется на ± 8Мгц (в 10-см диапазоне) или на ±30Мгц (в 3-см диапазоне) в такт с пилообразным напряжением развёртки, одновременно подаваемым в цепи, изменяющие частоту гетеродина, и на горизонтальные пластины ЭЛТ. В анализаторе спектра предусмотрена градуировка по частоте, осуществляемая генератором калибровочных меток с плавной регулировкой амплитуды и частоты от 1 до 10 МГц. Анализатором спектра можно измерять уход частоты генератора, малые разности частот двух генераторов и др.

. ЩИТОВЫЕ ПРИБОРЫ

Щитовые приборы для измерений переменного тока и напряжения выпускаются двух видов:

магнитоэлектрической системы с выпрямителем;

электромагнитной системы.

Приборы магнитоэлектрические с выпрямителем имеют измерительный механизм с внутрирамочным магнитом, с опорами на кернах или растяжках и выпрямителем в измерительной цепи. Применяются для измерений синусоидального переменного тока или напряжения с частотой от 30 до 20000 Hz. Сочетание магнитоэлектрического механизма с выпрямителем позволяет измерять действующее значение синусоидального тока или напряжения, при использовании в цепях с неискаженной формой синусоидального тока.

Применяемая магнитная система практически не подвержена влиянию внешних магнитных полей, поэтому приборы не нуждаются в дополнительной защите при их установке на щите (панели).

Конструктивно приборы исполняются с квадратными лицевыми панелями и квадратными или круглыми корпусами. По степени защиты, корпуса соответствуют IP50 или IP54, по защите токоведущих стержней - IP00.

Приборы электромагнитной системы позволяют измерять переменный ток и напряжение непосредственно в электрических цепях. Приборы электромагнитной системы основаны на взаимодействии магнитного поля измеряемого тока (тока, проходящего через катушку) с одним или несколькими сердечниками из магнито-мягкого материала. По конструктивному исполнению, выпускаемые ОАО “Электроприбор” приборы электромагнитной системы имеют две разновидности измерительных механизмов:

с плоской катушкой и с подвижным сердечником из магнитомягкого материала, втягивающимся в зазор плоской катушки при пропускании тока;

с круглой катушкой и с двумя сердечниками внутри катушки: неподвижным и подвижным (одним или двумя), которые при пропускании измеряемого тока через катушку намагничиваются одноименно и отталкиваются друг от друга; тем самым стрелка, укрепленная на оси с подвижным сердечником, отклоняется.

Измерительные механизмы имеют опоры на кернах из стали и подпятниках. Успокоение достигается введением силиконовой смазки в нижний подпятник - в приборах с круглой катушкой, и в спиральную пружину, через которую проходит ось - в приборах с плоской катушкой.

Приборы электромагнитной системы, по сравнению с приборами магнитоэлектрической системы с выпрямителями:

позволяют измерять действующее значение переменного тока (напряжения) в цепях с искаженной формой сигнала синусоидального тока,

потребляют большую мощность, менее чувствительны,

работают в более узком диапазоне частот, особенно при измерениях переменного напряжения,

имеют шкалу с большей неравномерностью. Снятие показаний с нормируемой погрешностью у электромагнитных приборов начинается приблизительно с 20 % от номинального значения предела измерения.

В то же время, амперметры электромагнитной системы более устойчивы к перегрузкам, что позволяет создавать приборы с коэффициентом перегрузки от 2-х до 5-ти кратного диапазона измерения. У перегрузочных приборов погрешность в перегрузочной зоне шкалы не нормируется.

Приборы для измерения переменного тока и напряжения

Рисунок 9 - Приборы для измерения переменного тока и напряжения

Приборы данной группы предназначены для измерения тока и напряжения в электрических цепях переменного тока и выпускаются двух видов:

магнитоэлектрической системы с выпрямителем;

электромагнитной системы.

Приборы позволяют измерять токи в пределах от 25 µА до 100 А и напряжения от 0,5 V до 750 V приом включении. Для расширения диапазона измерения: по току применяются трансформаторы тока типа ТОП-0,66, по напряжению - трансформаторы напряжения.

Амперметры и вольтметры изготавливаются с нулевой отметкой на краю диапазона. Приборы могут быть изготовлены со шкалами в любых единицах измерения про желанию заказчика.

По конструктивному исполнению, приборы для измерения переменного тока делятся на две группы:

приборы с квадратными лицевыми панелями и круглыми корпусами;

приборы с квадратными лицевыми панелями и квадратными корпусами. Степень защиты корпусов - IP50 или IP54, степень защиты токоведущих стержней - IP00.

Круглошкальные приборы

Рисунок 10 - Круглошкальные приборы

Приборы предназначены для измерения силы тока и напряжения в сетях переменного тока в однофазных цепях переменного тока частотой 50 Гц в различных областях промышленности и на железнодорожном транспорте. Приборы изготавливаются в пластмассовом корпусе и являются вибро- и ударопрочными. Во всех исполнениях предусмотрена подсветка циферблата.


Рисунок 11 - Приборы для измерения мощности, частоты, коэффициента мощности, измеритель мощности

Ваттметры и варметры Ц42303, Ц42308 предназначены для измерения активной или реактивной мощности в трехфазных электрических цепях переменного тока частотой 50-60 Hz при равномерной или неравномерной нагрузке фаз.

Ваттметры Ц42303/1 и Ц42308/1 предназначены для измерения активной мощности в однофазных сетях переменного тока частотой 50, 60, 500, 1000 Hz.

Частотомеры Ц42304, Ц42306, Ц42307 предназначены для измерения частоты переменного тока.

Измерители коэффициента мощности Ц42305 и Ц42309 предназначены для измерения коэффициента мощности в трехфазных трехпроводных цепях переменного тока частотой 50 Hz с симметрией линейных напряжений и симметричной нагрузкой фаз.

Приборы выполнены на основе электронного преобразователя входного сигнала в сигнал постоянного тока и магнитоэлектрического прибора с внутрирамочным магнитом и подвижной частью на кернах, размещенных в одном корпусе.

Приборы для измерения постоянного тока и напряжения

Рисунок 12 - Приборы для измерения постоянного тока и напряжения

Приборы данной группы предназначены для измерения тока и напряжения в электрических цепях постоянного тока.

Приборы позволяют измерять токи в пределах от 10 μА до 20 А и напряжения от 25 mV до 750 V при непосредственном включении. Для измерений токов и напряжений, превышающих указанные пределы, применяются внешние шунты и добавочные сопротивления.

Конструктивное исполнение корпусов обеспечивает степень защиты по лицевой панели IP50 или IP54, для токоведущих частей - IP00.

Приборы для контроля температуры, уровня шума, радиации.

Рисунок 13 - Прибор для контроля температуры, уровня шума, радиации.

Милливольтметр М42304 используется для измерения термоэлектродвижущих сил термопар типа XA(K),XK(L), ПП(S), ПР(D) с номинальной статической характеристикой преобразования.

Микроамперметр М42304 предназначен для использования в аппаратуре для измерения уровня шума.

Микроамперметр М42301 предназначен для использования в специальной (ГО-27, ДП-3Б) и другой аппаратуре. Приборы предназначены для применении на различных объектах промышленности.

Круглошкальные приборы

Рисунок 14 - Кругошкальные приборы

Приборы предназначены для измерения силы тока и напряжения в цепях постоянного и пульсирующего тока частотой 100 Гц в различных областях промышленности и на железнодорожном транспорте. Приборы изготавливаются в пластмассовом корпусе и являются вибро- и ударопрочными. Во всех исполнениях предусмотрена подсветка циферблата.

. ЦИФРОВЫЕ ПРИБОРЫ

Точность - важнейшая характеристика для любого измерительного прибора. Несомненным лидером по точности показаний являются цифровые устройства, они полностью отвечают данному требованию, поскольку погрешность в ходе их эксплуатации минимальна.

Практичность - ещё одно немаловажное отличие электроизмерительного прибора с цифровой идентификацией. Цифровые вольтметры, амперметры и ваттметры могут фиксироваться в любом положении (как в горизонтальной, так и вертикальной плоскости и с различным наклоном). Тряска или вибрация, которые бывают достаточно характерны для различных производств, также не повлияют на измеритель. При этом устройства достаточно компактны, малогабаритны, например, производятся приборы с уменьшенной глубиной корпуса.

К тому же, цифровые приборы гораздо менее подвержены негативному воздействию «извне». Цифровой амперметр , вольтметр или цифровой ваттметр может использоваться в неблагоприятных условиях повышенной влажности, давления, высоких или низких температур. Такая надежность приборов гарантирует достоверность показателей, получаемых при их использовании.

Приборы для измерения переменного тока и напряжения

Рисунок 15 - Прибор для измерения переменного тока и напряжения

Принцип движения электронов в цепях переменного тока - постоянное изменение направления движения: электроны попеременно (отсюда и название) движутся то строго в одном направлении, то в противоположном.

Поскольку преобразование напряжения и силы переменного тока можно осуществлять с минимальными потерями электроэнергии, переменный ток находит более широкое повседневное применение (в том числе и в бытовых сетях), чем постоянный ток.

Поэтому цифровые приборы для измерения действующих значений силы переменного тока и напряжения:

амперметры переменного тока

вольтметры переменного тока

ежедневно используются практически во всех энергетических и промышленных сферах.

Например, однопредельные щитовые электроизмерительные приборы ЩП 02М, ЩП 02, ЩП 96, ЩП 120 и т. д. с цифровой индикацией предназначены для контроля за указанными параметрами именно в цепях переменного тока.

Основные отличия этих и и других цифровых приборов для измерения переменного тока и напряжения:

тип конструкции;

диапазон измерений;

напряжение;

класс точности;

параметры интерфейса;

цвет индикации.

Приборы щитовые цифровые электроизмерительные ЩП02М, ЩП02, ЩП72, ЩП96, ЩП120 предназначены для измерения действующего значения силы тока или напряжения в цепях переменного тока. Они могут применяться в энергетике и других областях промышленности для контроля электрических параметров. Приборы являются однопредельными и имеют исполнения по конструкции, диапазону измерений, напряжению питания, наличию интерфейса, цвету индикаторов, классу точности.

Приборы для измерения постоянного тока и напряжения

Рисунок 16 - Приборы для измерения постоянного тока и напряжения

Параметры постоянного тока (направление, сила, частота, равная нулю и т. д.) неизменны (либо совсем незначительно отклоняются) в любой момент времени.

Хотя применение постоянного тока не имеет на сегодняшний день достаточно широкого распространения из-за неудобства трансформации напряжений такого тока, в некоторых областях постоянный ток просто“незаменим”, к примеру, он используется:

для электролиза в металлургии и химической промышленности;

при эксплуатации тяговых электродвигателей на транспорте;

для питания электронной аппаратуры с пониженным уровнем шума, бытовых радиоприёмников;

в прецизионных измерительных приборах (отличающихся высокой точностью).

Для контроля основных величин постоянного тока используются:

амперметры постоянного тока (для измерения силы тока)

вольтметры постоянного тока (для измерения напряжения).

Например, однопредельные приборы Щ00, Щ01, Щ96, Щ120 и т.д., которые для удобства эксплуатации в конкретных условиях имеют различные исполнения по:

степени точности;

напряжению питания;

диапазону измерений;

конструкции корпуса;

числу десятичных разрядов;

наличию или отсутствию интерфейса;

цветам индикаторов.

Приборы щитовые цифровые электроизмерительные Щ00, Щ01, Щ02, Щ02.01, Щ72, Щ96, Щ120 предназначены для измерения силы тока или напряжения в цепях постоянного тока. Они могут применяться в энергетике и других областях промышленности для контроля электрических параметров. Приборы являются однопредельными и имеют исполнения по конструкции, диапазону измерений, числу десятичных разрядов, напряжению питания, наличию интерфейса, цвету индикаторов, классу точности.

Цифровые приборы для измерения активной и реактивной мощности

Рисунок 17 - Цифровые приборы для измерения активной и реактивной мощности

Приборы щитовые цифровые электроизмерительные предназначены для измерения активной, реактивной или активной и реактивной мощности в трехфазных 3-х и 4-х проводных электрических сетях переменного тока.

- перепрограммирование диапазона измерения

- перепрограммирование аналогового выхода

- задание уставок min/max в пределах диапазона измерений

- регулирование яркости свечения индикации.

Цифровые многофункциональные электроизмерительные приборы

Рисунок 18 - Цифровые многофункциональные электроизмерительные приборы

Приборы ЩМ120 предназначены для измерения основных параметров трехфазной 3-х или 4-х проводной электрической сети.

Используются в сетях сбора данных для передачи результата измерения системам верхнего уровня или в качестве универсального измерительного прибора , взамен разных электроизмерительных приборов: амперметров, вольтметров, ваттметров, варметров, частотомеров.

В приборах предусмотрена возможность:

перепрограммирования диапазонов измерений

задания уставок min и max в пределах диапазона измерения

регулирование яркости индикации

Габаритные размеры/вырез в щите, мм /Высота знака, мм

х 120 х 135 / 112 х 112 / 20

Модули индикации МИ120

Рисунок 18 - Цифровые многофункциональные электроизмерительные приборы

Модули индикации - устройства, благодаря которым отображаются результаты измерений многофункциональных измерительных преобразователей.

Модули индикации МИ120 предназначены для отображения результатов измерения многофункциональных измерительных преобразователей ЩМ120, ЭНИП-2 на электростанциях, подстанциях, контрольно-распределительных пунктах промышленных предприятий и энергокомпаний. Модули индикации МИ120 могут располагаться вдали от преобразователей в удобном для пользователя месте. Обмен данных между устройствами осуществляется по интерфейсу RS-485 (протокол ModBus RTU), скорость этого обмена регулируется.

Модули индикации МИ120 представляют собой жидкокристаллическую сенсорную панель с цветным графическим или монохромным дисплеем. Настройки экрана (яркость, контрастность, время обновления экрана, время перехода в спящий режим) устанавливаются индивидуально. Результаты измерений можно просматривать в виде цифровой, стрелочной индикации или в виде графиков в зависимости от пожеланий пользователя.

Приборы максимально понятны, управление ими осуществляется через следующие основные пункты меню:

измерение;

векторные диаграммы;

телеуправление, телесигнализация (ТУ/ТС);

настройки.

В модулях индикации МИ120 предусмотрена удобная навигация -поиск приборов в сети по названию, а для защиты данных от несанкционированного доступа устанавливается пароль.

Особенности:

возможность конфигурирования по отображаемым значениям и единицам измерения;

изменение параметров осуществляется с использованием сенсорных кнопок через меню (для панелей с цветным графическим дисплеем) или кнопок, расположенных на лицевой панели (для панелей со светодиодными индикаторами, для монохромных графических дисплеев), или непосредственно через интерфейс RS485;

вид отображения для панелей с графическим дисплеем (цифра, стрелка, график, барограф (линейная шкала)

ЗАКЛЮЧЕНИЕ

Измерения и измерительные приборы - законы явлений природы, как выражения количественных отношений между факторами явлений, выводятся на основании измерений этих факторов. Приборы, приспособленные к таким измерениям, называются измерительными. Всякое измерение, какой бы ни было сложности, сводится к измерениям и измерительным приборам пространственности, времени, движения и давления, для чего могут быть избраны единицы мер условные, но постоянные или же так называемые абсолютные.

История наук, нуждающихся в измерениях, показывает, что точность методов измерений и измерительных приборов и построения соответственных измерений и измерительных приборов постоянно возрастают. Результатом этого роста является новая формулировка законов природы.

Как бы старательно ни делались измерения и измерительные приборы при повторении их, в обстоятельствах опыта, по-видимому одинаковых, всегда замечаются нетождественные результаты. Сделанные наблюдения требуют математической обработки, иногда весьма сложной; только после этого можно пользоваться найденными величинами для тех или других выводов.

Цель изучения измерительных электротехнических приборов состоит в том, чтобы будущий инженер получил необходимый минимум теоретических знаний о методах измерений, устройстве и принципе работы современных приборов и электронных устройств, используемых в современной электротехнике а так же приобрел практические знания и навыки работы с измерительной техникой.

СПИСОК ИСПОЛЬЗУЕМОЙ ЛИТЕРАТУРЫ

1.       Бессонов Л.А. Теоретические основы электротехники. Электрические цепи, изд. М., Гардарики 2007.

.        Попов В.С. Электротехнические измерительные приборы, Госэнергоиздат, 1963.

.        Илюнин К.К. Справочник по электроизмерительным приборам, изд. Л., Энергоатомиздат 1983.

.        Шкурин Г.П., Справочник по электро- и электронноизмерительным приборам, М., 1972.

5.       dic. akademic.ru

.        www.elpribor.ru

Похожие работы на - Электротехнические измерительные приборы

 

Не нашли материал для своей работы?
Поможем написать уникальную работу
Без плагиата!
Без нейросетей!