Электроснабжение доменной печи

  • Вид работы:
    Курсовая работа (т)
  • Предмет:
    Физика
  • Язык:
    Русский
    ,
    Формат файла:
    MS Word
    859,35 Кб
  • Опубликовано:
    2012-12-19
Вы можете узнать стоимость помощи в написании студенческой работы.
Помощь в написании работы, которую точно примут!

Электроснабжение доменной печи

Кузнецкий металлургический колледж

им. И.П. Бардина

УТВЕРЖДАЮ

Зам. директора колледжа

по учебной работе

_________

Приказ №___от_____




Электроснабжение доменной печи

Курсовой проект

Пояснительная записка

КП.140613.ЭПУ.00.09.П3


Руководитель проекта

Т.П. Махова

Нормоконтролер

Т.П. Махова

Разработчик

А.А. Золотарёв



Содержание

Введение

. Общая часть

.1 Характеристика приёмников электроэнергии

.2 Выбор электросхемы подстанции

. Специальная часть

.1 Расчёт электрических нагрузок

.2 Выбор компенсирующего устройства

.3 Выбор силовых трансформаторов

.4 Выбор питающей линии

.5 Расчёт токов короткого замыкания

.6 Выбор высоковольтного оборудования

. Охрана труда

.1 Условия производства работ в электроустановках

.2 Электробезопасность при обслуживании комплектных распределительных устройств

Список литературы

подстанция нагрузка трансформатор ток

Введение

В первые годы развития электроэнергетики России все электростанции работали раздельно. Даже электростанции, расположенные в крупных городах (Петербурге, Москве), работали на собственные, не связанные между собой, электрические сети, нередко выполненные на различные системы тока - постоянный, однофазный переменный, трехфазный переменный, при различных частотах (20; 40; 42,5; 50 Гц) и различных напряжениях.

В 1912 г. недалеко от Москвы было начато строительство первой районной электростанции "электропередача"; была также построена линия электропередачи напряжением 70 кВ.

Развитие электрических сетей, разрушенных в годы Гражданской войны, началось примерно с 1920 г. в соответствии с планом ГОЭЛРО. Уже в те годы для специалистов было ясно, что объединение электростанций в энергетические системы сулит несомненные преимущества.

Для 30-х годов XX в. характерно стремительное увеличение темпов электрификации, развития электроэнергетического хозяйства.

Впервые было применено напряжение 220 кВ в Ленинградской энергосистеме в 1933 г. Впоследствии это напряжение было применено и в других энергосистемах, а также при сооружении линий межсистемных связей.

Дальнейшее развитие энергосистем и их объединение происходят в 50 х г. XX в. в результате сооружения мощных электростанций на р. Волге, Каме и строительства первых линий электропередачи 400 кВ, переведенных впоследствии на напряжение 500 кВ.

В 1994 г. в основном завершился процесс разгосударствления предприятий топливно-энергетического комплекса. В электроэнергетике было создано Российское акционерное общество энергетики и электрификации (РАО «ЕЭС России»).

Значение электроэнергии для жизнедеятельности населения и функционирования экономики таково, что в современном мире обойтись без нее практически невозможно. Электроэнергия - товар, представляющий собой одну из самых значительных ценностей среди существующих товаров и услуг. Еще в ХХ в. электроэнергетика стала ключевой отраслью экономики в подавляющем большинстве стран. Электроэнергия - важный фактор основных социально-экономических процессов в современном мире: жизнеобеспечения населения и потребления домохозяйств; производства товаров и услуг; национальной безопасности; охраны окружающей среды.

Электроэнергию можно уподобить воздуху, который редко замечают, но без которого невозможна жизнь. Если прекращается подача электроэнергии, вы обнаруживаете, что самые простые, каждодневно испытываемые удобства вдруг становятся недоступными, а средства, заменявшие их еще 100 лет назад, уже давно вышли из употребления. Без электроэнергии производство большинства продуктов было бы невозможно или обходилось бы в десятки раз дороже.

В каком-то смысле электроэнергия - стержень современной технико-экономической цивилизации. Еще сравнительно недавно, лет 150 назад, электроэнергия отсутствовала в экономической жизни. Ведущим источником энергии выступала живая сила человека и животных. Изобретение в XIX в. технологий генерации электрической энергии создало возможность для широкого распространения электромеханизмов, резко повысило производительность труда на многих производственных операциях. Однако оборудование по генерации энергии приходилось размещать рядом с устройствами, ее потребляющими, поскольку удобных и экономичных технологий для передачи энергии не было.

Электроэнергетика - базовая инфраструктурная отрасль, в которой реализуются процессы производства, передачи, распределения электроэнергии. Она имеет связи со всеми секторами экономики, снабжая их произведенными электричеством и теплом и получая от некоторых из них ресурсы для своего функционирования (рис. 1.).


Рис. 1. Электроэнергетика в современной экономике

Роль электроэнергетики в ХХI в. остается исключительно важной для социально-экономического развития любой страны и мирового сообщества в целом. Энергопотребление тесно корреспондирует с уровнем деловой активности и с уровнем жизни населения. Научно-технический прогресс и развитие новых секторов и отраслей экономики, совершенствование технологий, повышение качества и улучшение условий жизни населения предопределяют расширение сфер использования электроэнергии и усиление требований к надежному и бесперебойному энергоснабжению.

В 2005 г. электростанции России произвели 952 млрд. кВтч, в том числе на ТЭС - 627 млрд., ГЭС - 175 млрд. и АЭС - 150 млрд. кВтч. В соответствии с «Энергетической стратегией России на период до 2020 г.», производство электроэнергии по среднему варианту сценариев развития экономики страны должно возрасти по сравнению с 2000 г. на 16% в 2010 г. и на 38% в 2020 г. (Табл. 1). При этом в структуре производства электроэнергии доля ГЭС снизится с 19 до 16%, а АЭС возрастет с 15 до 19%.

Табл. 1. Прогноз производства электроэнергии в России, млрд. кВтч

 

1990

2000

2010

2020

Произведено электроэнергии, всего

1082

878

1015

1215

в том числе на

 

 

 

 

ТЭС

795 (75,3)

582 (66,3)

662 (65,2)

791 (65,1)

ГЭС[2]

169(15,6)

165(18,8)

173(17,1)

194 (16,0)

АЭС

118(10,9)

131 (14,9)

180(17,7)

230(18,9)


Из-за быстро нарастающего старения оборудования электростанций (их износ достиг почти 65%) и необходимости его вывода из эксплуатации в перспективе должен быть обеспечен более интенсивный рост мощности новых генерирующих источников по сравнению с ростом суммарной установленной мощности. Иначе не будут обеспечены растущие потребности страны в электроэнергии в условиях продолжающего экономического роста.

Для обеспечения прогнозируемых уровней электра - и теплопотребления при умеренном варианте экономического развития страны на электростанциях России до 2020 г. потребуется ввести в действие (с учетом замены и модернизации) 120 млн. кВт генерирующих мощностей, в том числе на гидра - и гидроаккумулирующих электростанциях - 7 млн., на АЭС - 17 млн. и на ТЭС - 96 млн. кВт (из них с парогазовыми и газотурбинными установками - 32 млн. кВт).

Гидроэнергетика будет развиваться в основном в Сибири и на Дальнем Востоке. В период 2011-2020 гг. должно быть закончено сооружение Богучанской, Нижне-Бурейской и Вилюйской ГЭС на Дальнем Востоке, Заромагской, Зеленчукских и Черекских на Северном Кавказе. В европейской части страны намечается продолжить сооружение гидроаккумулирующих электростанций.

В атомной энергетике ожидаются вводы новых энергоблоков в европейской части страны (Ростовской, Калининской, Курской АЭС и др.), а также продление проектного срока службы ряда ядерных энергоблоков на 10 лет. Кроме того, предполагается начать строительство в качестве автономных источников децентрализованного энергоснабжения АЭС малой мощности (от 1 до 50 МВт) в труднодоступных и удаленных районах на Севере и Дальнем Востоке (в том числе и в плавучем исполнении с использованием ледокольных судов). Одновременно к 2020 г. намечено вывести 12 энергоблоков первого поколения на Билибинской, Кольской, Курской, Ленинградской и Нововоронежской АЭС.

Необходимость наращивания мощностей АЭС в европейской части России обусловлена, во-первых, тем, что здесь ТЭС на угле менее экономичны по сравнению с АЭС с энергоблоками 1000 МВт и выше, и, во-вторых, необходимостью сокращения неоправданно высокой доли использования на ТЭС природного газа.

Существующие резервы урана и промышленные структуры достаточны для 4-х кратного увеличения существующих мощностей АЭС. Кроме того, имеются строительные заделы для АЭС суммарной мощностью 10 ГВт, завершение которых потребует меньших удельных капиталовложений, чем строительство новых энергоблоков.

Стратегия развития атомной энергетики России предусматривает обеспечение возможно более высокого уровня безопасности ядерных реакторов АЭС в процессе их эксплуатации. Кроме того, будут приняты меры по повышению заинтересованности общественности в развитии атомной энергетики, особенно населения, проживающего вблизи АЭС, например, льготные тарифы на электроэнергию для населения в 30-километровой зоне вокруг станций.

В последующие годы основным направлением станет техническое перевооружение и реконструкция существующих, а также сооружение новых ТЭС в объеме 4-6 млн. кВт ежегодно. На существующих и новых ТЭС и ТЭЦ будут широко использоваться новые технологии. Для электростанций, работающих на газе, это парогазовый цикл, газотурбинные надстройки паросиловых блоков и мелкие газотурбинные установки; работающих на твердом топливе - экологически чистые технологии его сжигания в паротурбинном цикле (котлы с циркулирующим кипящим слоем, сжигание угля в кипящем слое под давлением), а позже - в парогазовых установках с газификацией угля, что позволит повысить кпд электроустановок до 54%. Будет увеличиваться доля независимых производителей электроэнергии тепла за счет строительства ТЭЦ на промышленных предприятиях.

В целом, в соответствии с Энергетической стратегией электроэнергетика в период до 2020 г будет развиваться с учетом следующих приоритетов территориального размещения генерирующих мощностей. В европейской части России максимальное развитие АЭС, модернизация ТЭС на газе с заменой паросиловых турбин парогазовыми и строительство новых угольных ТЭС в районе Урала; в Сибири и на Дальнем Востоке развитие ГЭС, угольных ТЭС, а в отдаленных районах - газовых ТЭС; в малообжитых, труднодоступных районах страны - строительство АЭС малой мощности и мини ГЭС.

Развитие электрических сетей. В соответствии с Энергетической стратегией суммарный ввод линий электропередачи напряжением 330 кВ и выше в период до 2020 г. составит около 30 тыс. км.

В целом, российской электроэнергетике на перспективу до 2020 г. свойственны те же тенденции, что и мировой, а именно сохранение состава первичных энергоресурсов при небольшом изменении их структуры, дальнейшее развитие электроэнергетической системы и ее интеграция с энергосистемами стран СНГ и Западной Европы, усиление процесса автономизации электроснабжения.

В заключении: курсовой проект решает вопросы электроснабжения доменной печи, курсовой проект выполнен в соответствии с заданием (приложение А).

.Общая часть

1.1 Характеристика приёмников электроэнергии

Приёмники проектируемой подстанции относятся к 1, 2 категории по требуемой степени обеспечения надёжности электроснабжения.

категория - электроприёмники перерыв электроснабжения, которых может повлечь за собой опасность для жизни и здоровья людей, массовый брак продукции, поломку оборудования и нарушение технологического процесса. Требуют не менее двух независимых источников питания. Перерыв в электроснабжении допускается на время автоматического ввода резерва, АВР(0,2...0,5 сек.)

категория - электроприёмники перерыв электроснабжения, которых приводит к простоям людей, механизмов и недоотпуску продукции. Достаточно двух независимых источников питания. Перерыв в электроснабжении допускается на время ручного ввода резерва (30 мин.)

категория - электроприёмники не вошедшие в 1 и 2 категорию, достаточно 1 источника питания, перерыв электроснабжения на время ремонта, но не более одних суток.

Потребители доменной печи относятся к 1 и 2 категории, поэтому для их без перебойного электроснабжения необходимо два независимых взаимно резервирующих источника питания.

.2 Выбор электросхемы подстанции

Так как приёмники проектируемой подстанции относятся к 1 и 2 категории по надёжности электроснабжения, то необходимо предусмотреть два независимых источника питания. Поэтому необходимо выбрать схему с двумя силовыми трансформаторами, питающимися от независимого источника, каждый трансформатор запитывает свою секцию шин, при этом предусматривается их раздельная работа. Достоинствами такой работы является:

Сниженное значение токов короткого замыкания;

Упрощается релейная защита;

Обеспечивается более высокая стабильность напряжения.

На высшем напряжении (110 кВ) предусматриваем схему «мостика» с не автоматической перемычкой, что обеспечивает достаточную надёжность и экономичность.

На низшем напряжении (6 кВ) применяем радиальную схему, так как она обладает следующими характеристиками:

Достоинства:

Обеспечивается надёжность питания электроприёмников;

Снижается значение токов короткого замыкания;

Недостатки:

Дороговизна;

Большое значение потерь мощности.

Таким образом, выбранная схема удовлетворяет необходимым требованиям.

2. Специальная часть

2.1 Расчет электрических нагрузок

Нагрузки рассчитывают методом коэффициента максимума, так как он обладает следующими характеристиками: высокая точность, но расчеты более сложные.

Расчёт проводим для каждой секции шин отдельно.

Исходные данные и результаты расчетов представлены в таблице 1.

Таблица 1- Исходные данные и результаты расчетов

Тип приёмника

 кВт

n, шт

 кВт

1.Преобразовательные агрегаты

2000

3

6000

0,2

0,9

0,49

1200

588

2. Насосы

1800

3

5400

0,7

0,8

0,73

3780

2760

3. Дымососы

1000

3

3000

0,7

0,8

0,73

2400

1533

4. Трансформаторы

3200

2

6400

0,7

0,8

0,73

4480

3270


Номинальную активную мощность трансформаторов , кВт, определяем по формуле

=  (1)

= 4000

Определяем номинальную мощность для группы электроприёмников по формуле

 (2)

где  - номинальная мощность электроприемника, кВт;

n - количество электроприемников, шт.

=

=

=

=

Определяем среднею активную нагрузку за наиболее нагруженную смену для каждой группы электроприёмников , кВт, по формуле

 (3)

Где  - коэффициент использования для каждой группы электроприёмников.

 

 

 

 

Определяем среднюю реактивную нагрузку за наиболее нагруженную смену , кВт, по формуле

, (4)

Где  - коэффициент изменения мощности.

 

 

 

 

Определим среднюю активную нагрузку за наиболее нагруженную смену для электроприёмников секции шин , кВт, по формуле

, (5)

 

Определяем среднюю реактивную нагрузку за наиболее нагруженную смену для электроприёмников секции шин  кВАр, по формуле

 (6)

 

Определим групповой коэффициент использования для секции шин  по формуле

 (7)

 

Определяем эффективное число электроприёмников упрощенным методом по формуле

 (8)

 

Так как m=3, эффективное число электроприёмников

По справочноё литературе [2] определяем коэффициент максимума =1,34

Определяем максимальную расчетную активную нагрузку для секции шин 6 кВ  кВт, по формуле

 (9)

 

Так как , средняя максимальная реактивная нагрузка для секции шин 6 кВ , равна максимальной расчётной реактивной нагрузке

 

Определяем полную максимальную расчетную нагрузку для секции шин 6 кВ , кВА, по формуле

 (10)

 

 

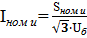
Определяем полный максимальный расчетный ток для секции шин 6 кВ , кА, по формуле

, (11)

 

2.2 Компенсация реактивной мощности

Установка конденсирующего устройства позволяет повышать коэффициент мощности и снижать потери напряжения в сети.

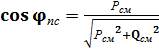
Определяем коэффициент мощности подстанции  для решения вопроса о необходимости установки компенсирующего устройства по формуле

, (12)

Где  средняя активная нагрузка за наиболее нагруженную смену секции шин 6 кВ, кВт;

 средняя реактивная нагрузка за наиболее нагруженную смену секции шин 6 кВ, кВАр;

 

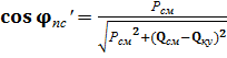
Так как  меньше оптимального значения коэффициента мощности  необходимо наличие компенсирующего устройства. Мощность компенсирующего устройства , кВАр, определяем по формуле

 (13)

Где  коэффициент мощности подстанции;

 оптимальный коэффициент мощности.

, (14)

 

 

 

По литературе [2] выбираем компенсирующее устройство, имеющию ближайшую меньшую мощность. Выбираем батареи конденсаторов: УК-6/10H- 1350Л, ПХЗ мощностью 1350 кВАр.

Определяем действительный коэфициент мощности подстанции с учетом выбранного компенсирующего устройства  по формуле

, (15)

где  суммарная номинальная мощность выбранного компенсирующего устройства, кВАр,

 

 

Выбранное компенсирующее устройство удовлетворяет предъявленные к нему требования. Оно повышает  почти до оптимального значения.

.3 Выбор силовых трансформаторов

Так как по надежности электроснабжения данной подстанции относятся к первой и второй категории, то используется раздельная работа двух трансформаторов.

Определяем максимальную расчетную полную нагрузку подстанции с учетом компенсирующего устройства  кВА, по формуле

 (16)

 

Определяем номинальную мощность силового трансформатора  кВА, по формуле

 (17)

где  доля электроприёмников первой и второй категории в общей нагрузке подстанции,

 

По справочной литературе [5] выбираем два типа трансформаторов, подходящих по мощности, первичному и вторичному напряжению. Данные выбранных трансформаторов представлены в таблице 2.

Приводим технико-экономическое сравнение выбранных трансформаторов. Результаты расчетов представлены в таблице 3.

Таблица 2 - Каталожные данные трансформаторов

Тип трансформатора

 кВА

 кВ

 кВ

 кВт

 %

 %

 кВт

 тыс,руб

ТДН-10000/110

10000

115

6,6

58

0,9

10,5

14

40

ТДН-16000/110

16000

115

6,6

85

0,7

10,5

18

48



Определяем реактивные потери при холостом ходе  кВАр, по формуле

 (18)

где  ток холостого хода, %

номинальная мощность силового трансформатора, кВА

 

 

Определяем реактивные потери при коротком замыкании  кВАр, по формуле

, (19)

где  напряжение короткого замыкания, %

 

 

Определяем приведённые потери активной мощности при коротком замыкании  кВт, по формуле

 (20)

где  коэффициент повышения потерь, ,

 потери активной мощности при коротком замыкании, кВт

 

 

Определяем приведённые потери активной мощности при холостом ходе , кВт, по формуле

 (21)

где  потери активной мощности при холостом ходе, кВт

 

 

Определяем полные приведённые потери активной мощности  

 (22)

где n - число параллельно работающих трансформаторов, n=1;

 - коэффициент загрузки трансформатора

, (23)

 (24)

 

 

 

 

 

Определяем стоимость потерь активной мощности трансформаторов  , тыс. руб., по формуле

 , (25)

где  удельная стоимость потерь, , ;

 годовое число часов работу,  7000 ч

  

  

Определяем стоимость амортизационных отчислений  тыс, руб по формуле

 (26)

где  норма амортизации,

 стоимость трансформаторов, тыс, руб., по формуле

 

 

Определяем стоимость эксплуатационных расходов , тыс, руб., по формуле

 (27)

 

 

Определяем приведённые годовые затраты  тыс, руб., по формуле

, (28)

 

 

Таблица 3 - Результаты расчетов

Трансформатор

 кВАр

 кВАр

 кВт

 кВт

  кВт

 руб

  руб

 руб

З руб

ТДН-100000/110

90

1050

18,5

110,5

89,2

1248,8

2,4

1251

ТДН-160000/110

112

1680

23,6

169

65,8

921,2

2,9

924

928


Окончательно выбираем трансформатор типа ТДН - 160000/110, так как приведённые годовые затраты и коэффициент загрузки у него меньше, чем у трансформатора ТДН-100000/110.

.4 Выбор питающей линии

Питающая линия служит для связи источника питания с подстанцией. При номинальном напряжении 35 кВ и выше используют воздушные и кабельные ЛЭП. Воздушную линию выбираем по нагреву.

, (29)

где  длительно-допустимый ток, величина справочная, это максимальный ток, при прохождении которого длительное время через проводник заданного сечения не происходит нагрева проводника выше допустимого значения, А;

 максимальный расчётный ток, протекающий по линии в послеаварийном режиме, А.

, (30)

 

Выбираем по справочной литературе [4]

 

 АС - 25

Выбираем по экономической плотности тока сечение линии , , по формуле

, (31)

где  экономическая плотность тока, величина справочная, зависит от типа линии, рода проводящего материала и часов работы в году;

 расчётный ток, протекающий в линии в нормальном режиме работы, А.

 (32)

 

По справочной литературе [4] выбираем ,  

 

По справочной литературе [4] принимаем ближайшие стандартное значение

 АС - 70

Проверяем выбранное сечение по допустимым потерям напряжения , % по формуле

, (33)

где  удельное индуктивное сопротивление линии,

длина линии, км,

 удельное активное сопротивление линии,  

 

 

  

 и  берём с учетом компенсирующего устройства ;  

 %  

Минимально допустимое сечение проводов ВЛ по условию механической прочности с толщиной стенки гололёда 15 мм и более для сталеалюминевых проводов . Условие выполняется.

Минимально допустимое сечение проводов ВЛ по допустимым потерям активной мощности на явление «короны». В ПУЭ приводится минимальные значения допустимого сечения провода в зависимости от напряжения, при котором коронирования нет, при U=110 кВ, . Условие выполняется.

Окончательно выбираем провод марки АС сечением , так как он удовлетворяет всем требованиям.

.5 Расчёт токов короткого замыкания

Токи короткого замыкания рассчитываем в двух точках на напряжение 110 кВ и 6 кВ.

Составляем расчетную схему, рисунок 1.


 

 

Рисунок 1 - Расчётная схема

По расчётной схеме составляем схему замещения, рисунок 2.


Выполняем расчёт токов короткого замыкания для точки к-1

Принимаем базисные условия

 

Определяем базисный ток по формуле

, (34)

 

Упрощаем схему замещения, рисунок 3.


Определяем сопротивление элементов схемы замещения в относительных единицах, при базисных условиях

, (35)

 

 

 (36)

 

, (37)

 

 (38)

 

 (39)

 

, (40)

Определяем приемлемость аналитического метода расчёта тока короткого замыкания по формуле

, (41)

 

Выполняем расчёт графоаналитическим методом, так как

Определяем номинальный ток источника при базисном напряжении , кА, по формуле

, (42)

 

По расчетным кривым из справочника определяем кратности периодической составляющей тока короткого замыкания для момента времени

t=0 c; t=0,1 c; t=

  

Определяем действующие значение периодической составляющей тока короткого замыкания для момента времени t=0 c; t=0,1;c; t=

 (43)

 

 (44)

 

 (45)

 

Определяем ударный ток  кА, по формуле

 (46)

где ударный коэффициент,  

 

Определяем мощность короткого замыкания в момент отключения выключателя ; МВА, по формуле

, (47)

 

Выполняем расчёт токов короткого замыкания для точки к-2.

Принимаем базисные условия

 

Определяем базисный ток по формуле (34)

 

Упрощаем схему замещения, рисунок 4.


Определяем полное результирующее сопротивление по формуле

 (48)

 

 

Определяем приемлемость аналитического метода расчёта тока короткого замыкания по формуле (41)

 

Выполняем расчёт аналитическим методом, так как

Определим полное результирующие сопротивленье до точки короткого замыкания, по формуле

, (49)

если  то

 

Определяем действующие значение токов короткого замыкания, , кА, по формуле

, (50)

 

 

Определяем ударный ток  кА, по формуле (46)

 

Определяем мощность короткого замыкания в момент отключения выключателя ; МВА, по формуле (47)

 

.6 Выбор высоковольтного оборудования

Всё высоковольтное оборудование выбирается по номинальному току и напряжению.

Номинальный ток - максимальный ток, при протекании которого длительное время токоведущие части не нагреваются выше допустимого предела.

Номинальное напряжение - максимальное напряжение, которое выдерживает изоляция аппарата длительное время.

Высоковольтное оборудование проверяется на термическую и электродинамическую устойчивость к токам короткого замыкания, а высоковольтные выключатели - на отключающею способность и мощность отключения.

.6.1 Выбор шин

Сечение шин выбирается по длительно допустимому току (по нагреву) и экономическоё целесообразности. Проверку шин производят на электродинамическую и термическую стойкость к токам КЗ.

Выбираем ошиновку со стороны 6 кВ.

Для шин по нагреву должно выполнятся условие

, (51)

Где длительно допустимый ток, величина справочная, максимальный ток, при протекании которого длительное время через провод заданного сечения не происходит нагрева провода выше допустимой температуры, А;

 максимальный расчётный ток, протекающий по линии в послеаварийном режиме, А.

, (52)

 

По справочной литературе [4] выбираем

q = (120 × 10) ;  

Выбранное сечение выбираем на термическую устойчивость к токам короткого замыкания

, (53)

где α - температурный коэффициент, зависит от материала α = 11;

 приведённое время короткого замыкания, с.

(54)

где  время апериодической составляющей тока короткого замыкания, с.

 (55)

где  температурный коэффициент теплоёмкости

 

 время отключения выключателя,

, (56)

 

 

 

 

 

q = (120 × 10) > , поэтому выбираем сечение шин

q = (120 × 10) .

Проверяем шины на механическую прочность

, (57)

где  допустимое механическое напряжение, МПа

 

 расчётное механическое напряжение, определяется по формуле, МПа

, (58)

где  расчётное динамического воздействия тока короткого замыкания, определяется по формуле, Н.

, (59)

где  длина пролёта между изоляторами,

а - расстояние между фазами, а = 0,45 м;- момент сопротивления шины, определяется по формуле

, (60)

где h - ширина (высота) одной шины, мм;

b - толщина одной полосы, мм.

 

 

 

Выбранное сечение шин удовлетворяет условию электродинамической устойчивости.

Окончательно выбираем шины алюминиевые q = (120×10) ;

 

.6.2 Выбор опорных изоляторов

Изоляторы выбираются по номинальному напряжению и проверяют на разрушающее воздействие от ударного тока короткого замыкания. Каталожные данные и результаты расчётов представлены в таблице 4.

Таблица 4 - Каталожные данные и результаты расчётов

Тип

Условия выбора

Каталожные данные

Расчётные данные

ИО - 6 - 3,75

 

 2250

   


 

где  допустимое усилие, Н;

Разрушающее усилие, Н,  3750 Н

 

.6.3 Выбор высоковольтных выключателей

Выключатели выбирают по номинальному току, напряжению, типу, роду установки и проверяют по электродинамической, термической стойкости и отключающей способности в режиме КЗ.

Выбираем выключатели на 110 и 6 кВ. Каталожные данные и результаты расчётов представлены в таблицах 5 и 6.

На напряжение 110 кВ:

Таблица 5 - Каталожные данные и результаты расчётов на 110 кВ

Тип

Условия выбора

Каталожные данные

Расчётные данные

       

  =       

         

 

На напряжение 6 кВ:

Таблица 6 - Каталожные данные и результаты расчётов на 6 кВ

Тип

Условия выбора

Каталожные данные

Расчётные данные

        

          =

         


2.6.4 Выбор разъединителей

Разъединители выбираем по номинальному напряжению, типу, роду установки и проверяют по электродинамической, термической стойкости.

Таблица 7 - Каталожные данные и результаты расчётов на 110 кВ

Тип

Условия выбора

Каталожные данные

Расчётные данные

     

      

     


2.6.5 Выбор трансформатора тока

Трансформатор тока выбираем по номинальному первичному току, номинальному напряжению, нагрузке вторичной цепи, обеспечивающей погрешность в пределах паспортного класса точности. Трансформаторы тока проверяют на внутреннею и внешнею электродинамическую, термическую стойкость к токам КЗ. Каталожные данные и результаты расчётов представлены в таблице 8.

Определяем кратность динамической устойчивости по формуле

, (61)

 

Определяем кратность термической устойчивости по формуле

 (62)

где  время термической устойчивости, с

 

 

 

Таблица 8 - Каталожные данные и результаты расчётов

Тип

Условия выбора

Каталожные данные

Расчётные данные

ТШЛ - 10 

       

          

          


Произведём расчёт мощности электроприборов, подключенных через трансформатор тока. Каталожные данные и результаты расчётов представлены в таблице 9.

Таблица 9 - Данные электроприборов

Наименование и тип прибора

Потребляемая мощность

Амперметр Счётчик активноё энергии

0,1 2,5

Итого

2,6


Определяём допустимую вторичную нагрузку, , Ом, по формуле

 (63)

где  сопротивление прибора, Ом;

 сопротивление соединительных проводов, Ом;

Переходное сопротивление контактов, Ом

 

, (64)

где мощность, потребляемая приборами, Вт;

номинальный вторичный ток трансформатора тока, А

.

(65)

где  удельное сопротивление проводов,

;

 - длина проводов, м,

q - сечение проводов, ,

 

 

 

 

2.6.6 Выбор трансформатора напряжения

Трансформатор напряжения выбираем по номинальному напряжению первичной цепи, классу точности и соединения обмоток. Соответствие классу точности проверяется сопротивление номинальной нагрузке вторичной цепи с фактической нагрузкой от подключенных приборов. Каталожные данные и результаты расчётов представлены в таблице 10.

Таблица 10 - Каталожные данные и результаты расчётов

 Тип

Условия выбора

Каталожные данные

Расчётные данные

НТМК - 10 - 71У3

 

   

 



Таблица 9 - Данные электроприборов

Наименование и тип прибора

Потребляемая мощность

Вольтметр Счётчик активной энергии Счётчик реактивной энергии

2 10,5 15,7

Итого

28,2


Определяем мощность приборов , ВА, по формуле

, (66)

где Р - суммарная активная мощность приборов, Вт

Q - суммарная реактивная мощность приборов, Вар

 

.7 Конструктивное выполнение подстанции

Любая подстанция состоит из распределительных устройств высокого и низкого напряжения, силовых трансформаторов.

Распределительным устройством (РУ) называется электрическая установка, служащая для приёма и распределения электроэнергии.

Для энергетической системы РУ является узлом сети, оборудованным электрическими аппаратами и защитными устройствами.

РУ сооружаются как закрытые, или внутренние (ЗРУ), так и открытые, или наружные (ОРУ). ЗРУ надёжнее, удобнее, безопаснее, эксплуатация их не зависит от климатических условий и погоды, но они дороже и применяются преимущественно для схем генераторного напряжения и в установках собственных нужд, реже для напряжения 35 - 220 кВ. ОРУ применяется, главным образом для повышающих и понижающих подстанций напряжением 35 кВ и выше.

При строительстве руководствоваться основными требованиями к РУ: надёжность, удобство и безопасность обслуживания, пожарная безопасность, экономичность, простота расширения.

При проектировании конструкций РУ, например, сборных шин, для выполнения требований надёжности приводятся следующие рекомендации.

Сборные шины или отдельные фазы не должны распологатся друг над другом; ошиновка присоединений не должна распологатся над сборными шинами, особенно на ОРУ; выполнять коммутацию надо выполнять при минимальном числе изоляторов и соединений твёрдых частей из сборных шин желательно исключить такие элементы как трансформатора напряжения, разрядники и заземлители, и т.д.

Для удобства эксплуатации, т. е. для удобства осмотра, чистки, замены оборудования, а также ремонта без нарушения нормальной работы соседних цепей, оборудование располагается рядами в камерах или ячейках, а вдоль фронта камер или оборудования с обеих сторон или с одной предусматриваются коридоры, проходы или проезды, достаточные как для ремонтных работ, так и для транспортирования оборудования, передвижения монтажно-ремонтных механизмов и оборудования лабораторий. При компоновке конструкций РУ необходимо предусматривать ремонтные зоны около выключателей, разъединителей, измерительных трансформаторов, сборных шин вместе с шинными разъединителями, аппаратов подключаемых линий.

Ремонтные зоны нужны для удобства ремонтных работ, они должны быть надёжно отделены от находящихся под напряжением соседних участков коммутаций. Для отделения от соседних участков либо выдерживаются ремонтные расстояния, либо устанавливаются заземлённые защитные ограждения.

Внутри камер или ячеек электрические аппараты устанавливаются по возможности одинаково и на легкодоступных расстояниях от проходов и на доступной высоте. Из коридоров осмотра, проходов и проездов должны быть ясно видны все детали конструкций, соединения и крепления. Контролируются также наиболее часто повреждающиеся места на аппаратах и на коммутации: открытые контактные соединения, стыки шин. Защиты кабельные воронки и муфты, кинематика механизмов приводов.

Приводы выключателей, рукоятки приводов разъединителей, реле, сигнальные лампы, панели аппаратов управления, зажимы оперативного тока и другие элементы располагаются в ЗРУ на полу и на стенах ячеек в центральном коридоре управления, на ОРУ в специальных металлических шкафах ячеек, причём обязательно одинаково у всех камер или ячеек РУ.

Для безопасной эксплуатации предусматриваются нормированные расстояния от проходов до оголённых токоведущих частей, постоянные защитные сплошные или смешанные ограждения, перила, сетки и т.п. При длине коридора или прохода более 7 м должно быть обязательно 2 выхода. На полу ЗРУ укладывается деревянные решетки, резиновые коврики. Применяются блокировки безопасности, окраска шин.

С целью взрывной и пожарной безопасности строительная часть как ЗРУ, так и ОРУ выполняется из несгораемых материалов: металла, кирпича, железобетона, шлакоблоков. Здания и помещения ЗРУ сооружаются преимущественно без оконных проёмов. Двери металлические, открываются наружу. Предпочтительны типовые, стандартные сборные и комплектные железобетонные строительные конструкции, допускающие быструю механизированную сборку, разборку и замену повреждённых частей конструкций.

Требования возможности расширения удовлетворяется не только тем, что предусматривается свободный торец здания РУ и свободный участок территории для расширения открытой площадки. При увеличении числа станций и мощности объединяемых энергосистем увеличиваются токи короткого замыкания и мощности отключения при разрыве цепей. Следовательно, расширение должно предусматривать замены оборудования на более мощное, имеющие большие размеры, замену токопроводов (кабелей, шин, комплектных устройств) на токопроводы более крупных сечений и более мощных конструкций.

3. Охрана труда

3.1 Условия производства работ в электроустановках

Правила безопасности при проведении работ в действующих электроустановках приведены в «Межотраслевых правилах по охране труда (правилах безопасности) при эксплуатации электроустановок».

Работы в действующих электроустановках выше 1000 В должны производится по наряду-допуску.

До начала работ необходимо выполнить все организационные и технические мероприятия, обеспечивающие безопасность работ.

Организационными мероприятиями являются:

оформление работ нарядом, распоряжением или перечнем работ, выполняемых в порядке текущей эксплуатации;

допуск к работе;

надзор во время работы;

оформление перерыва в работе, перевода на другое место, окончание работы.

Технические мероприятия выполняются при подготовке рабочего места со снятием напряжения. Должно быть выполнено следующее:

произведены необходимые отключения и приняты меры, подачу напряжения на место работы вследствие ошибочного или самопроизвольного включения коммутационных аппаратов;

на привадах ручного и на ключах дистанционного управления коммутационных аппаратов должны быть вывешены запрещающие плакаты;

проверено отсутствие напряжения на токоведущих частях, которые должны быть заземлены для защиты людей от поражения электрическим током;

наложено заземление (включены заземляющие ножи, а там, где они отсутствуют, установлены переносные заземления);

вывешены указательные плакаты «Заземлено», ограждены при необходимости рабочие места и оставшееся под напряжением токоведущие части, вывешены предупреждающие и предписывающие плакаты.

При выполнении работ по наряду в электроустановках выше 1000 В лица, ответственные за безопасное ведение работ (выдающий наряд, допускающий, производитель работ) должны назначаться из числа оперативного персонала и иметь группу электробезопасности не ниже 4.

При производстве переключений, подготовке рабочего места и выполнение работ без снятия напряжения необходимо пользоваться проверенными и испытанными защитными средствами.

Пожарная безопасность на предприятиях обеспечивается с помощью мероприятий и технических средств, обеспечивающих невозможность возникновения пожара, а также системой пожарной защиты, направленное на предотвращение воздействия на людей опасных факторов пожара и ограничения материального ущерба от него.

Пожарная безопасность в электроустановках обусловлена наличием в электрооборудовании горючих изоляционных материалов: обмоток электромашин, трансформаторов, различных электромагнитов, проводов, кабелей.

Система пожарной защиты предусматривает следующие меры:

максимально возможное применение негорючих и трудногорючих веществ, материалов в производственных процессах;

ограничение горючих веществ и их надлежащие размещение;

изоляцию горючей среды;

предотвращение распространения пожара за пределы очага;

применение средств пожаротушения;

применение конструкций производственных объектов с регламентированным пределом их огнестойкости и горючести;

эвакуацию людей в случае пожара;

применение средств коллективной и индивидуальной защиты от огня;

применение средств пожарной сигнализации;

средств извещения о пожаре;

организацию пожарной охраны объекта.

.2 Электробезопасность при обслуживании комплектных распределительных устройств

При работе на оборудовании тележки или в отсеке шкафа КРУ тележку с оборудованием необходимо выкатить в ремонтное положение, шторку отсека в котором токоведущие части остались под напряжением, запереть на замок и вывесить плакат безопасности «Стой! Напряжение», на тележке или в отсеке, где предстоит работать, вывесить плакат «Работать здесь».

При работах вне КРУ на подключенном к ним оборудовании или на отходящих ВЛ и КЛ тележку с выключателем необходимо выкатить в ремонтное положение из шкафа, шторку или дверцу запереть на замок и на них вывесить плакаты «Не включать! Работают люди» или «Не включать! Работа на линии».

при наличии блокировки между заземляющими ножами и тележкой с выключателем устанавливать тележку в контрольное положение после включения этих ножей;

при отсуцтвии такой блокировки или заземляющих ножей в шкафах КРУ устанавливать тележку в промежуточное положение между контрольным и ремонтным при условии запирании её на замок. Тележка может быть установлена в промежуточное положение независимо от наличия заземления на присоединении.

При установки заземлений в шкафу КРУ в случае работы на отходящих ВЛ необходимо учитывать требования, предусмотренные межотраслевыми правилами по охране труда.

Оперировать выкатной тележкой КРУ с силовыми предохранителями разрешается под напряжением, но без нагрузки.

Устанавливать в контрольное положение тележку с выключателем для опробования и работы в цепях управления и защиты разрешается в тех случаях, когда работы вне КРУ на отходящих ВЛ и КЛ или на подключенном к ним оборудовании, включая механизмы, соединённые с электродвигателями, не проводятся или выполнено заземление в шкафу КРУ.

В РУ, оснащённых вакуумными выключателями, испытание дугогасительных камер повышенным напряжением с амплитудным значением более 20 кВ необходимо выполнять с использованием специального экрана для защиты персонала от возникающих рентгеновских излучений.

Список литературы

1. Князевский Б.А., Липкин Б.Ю. Электроснабжение промышленных предприятий. - М., «Высшая школа», 1986.

. Липкин Б.Ю. Электроснабжение промышленных предприятий. - М., «Высшая школа», 1981.

. Межотраслевые правила по охране труда (правила безопасности) при эксплуатации электроустановок, 2002.

. Правила устройства электроустановок. - М., «Энергоиздат», 1985.

. Справочник по электроснабжению промышленных предприятий. Под ред. Фёдорова А.А., Сербиновского Г.В. - М., «Энергия», 1973.

. Неклепаев Б.Н., Крючков И.П., Электрическая часть станций и подстанций. Справочный материал для курсового и дипломного проектирования. - М: «Энергоатомиздат», 1989

. Справочник по электрическим установкам высокого напряжения. Под ред. Баумштейна И.А. и Хомякова М.В. - М., «Энергоиздат», 1981.

. Э.А. Киреева, Г.Ф. Быстрицкий Справочник энергетика предприятий, учреждений и организаций. - М.: «Колос», 2010.

Похожие работы на - Электроснабжение доменной печи

 

Не нашли материал для своей работы?
Поможем написать уникальную работу
Без плагиата!
Без нейросетей!