Трансформаторы и выпрямители
Содержание
1. Трансформаторы
1.1 Введение
1.1.1 Принципиальная
схема включения трансформатора
1.1.2 Принцип
действия и устройство трансформатора тока
1.1.3 Номинальные
данные трансформатора
1.1.4 Условия работы
трансформатора
1.2 Однофазные
трансформаторы
1.3 Трехфазные
трансформаторы
1.4 Холостой ход
трансформатора
1.5 Режим короткого
замыкания
1.6 Режим нагрузки
трансформатора
2. Выпрямители
переменного напряжения
2.1 Введение
2.2 Основные
характеристики выпрямителей
2.3 Схемы
выпрямителей
Список литературы
1. Трансформаторы
.1 Введение
Трансформатор представляет собой статический электромагнитный аппарат с
двумя (или больше) обмотками, предназначенный чаще всего для преобразования
переменного тока одного напряжения в переменный ток другого напряжения.
Преобразование энергии в трансформаторе осуществляется переменным магнитным
полем. Трансформаторы широко применяются при передаче электрической энергии на
большие расстояния, распределении её между приемниками, а также в различных
выпрямительных, усилительных, сигнализационных и других устройствах.
При передаче электрической энергии от электростанции к потребителям сила
тока в линии обусловливает потери энергии в этой линии и расход цветных
металлов на её устройство. Если при одной и той же передаваемой мощности
увеличить напряжение, то сила тока в такой же мере уменьшится, а следовательно,
можно будет применить провода с меньшим поперечным сечением. Это сократит
расход цветных металлов при устройстве линии электропередачи и снизит потери
энергии в ней.
Электрическая энергия вырабатывается на электростанциях синхронными
генераторами при напряжении 11-20 кВ; в отдельных случаях применяют напряжение
30-35 кВ. Хотя такие напряжения являются слишком высокими для их
непосредственного использования в производстве и для бытовых нужд, они
недостаточны для экономичной передачи электроэнергии на большие расстояния.
Дальнейшее повышение напряжения в линиях электропередачи (до 750 кВ и более)
осуществляют повышающими трансформаторами.
Приемники электрической энергии (лампы накаливания и т.д.) из соображений
безопасности рассчитывают на более низкое напряжение (110-380 В). Кроме того,
изготовление электрических аппаратов, приборов и машин на высокое напряжение
связано со значительными конструктивными сложностями, так как токоведущие части
этих устройств при высоком напряжении требуют усиленной изоляции. Поэтому
высокое напряжение, при котором происходит передача энергии, не может быть
непосредственно использовано для питания приемников и подводится к ним через
понижающие трансформаторы.
Электрическую энергию переменного тока по пути от электростанции, где она
вырабатывается, до потребителя приходится трансформировать 3-4 раза. В
распределительных сетях понижающие трансформаторы нагружаются неодновременно и
не на полную мощность. Поэтому полная мощность трансформаторов, используемых
для передачи и распределения электроэнергии, в 7-8 раз больше мощности
генераторов, устанавливаемых на электростанциях.
Трансформаторы широко используются в промышленности и быту для различных
целей.
. Для передачи и распределения электрической энергии.
. Для обеспечения нужной схемы включения вентилей в преобразовательных
устройствах и согласования напряжения на выходе и входе преобразователя.
Трансформаторы, применяемые для этих целей, называются преобразовательными.
. Для различных технологических целей: сварки (сварочные трансформаторы),
питания электротермических установок (электропечные трансформаторы) и др.
. Для питания различных цепей радиоаппаратуры, электронной аппаратуры,
устройств связи и автоматики, электробытовых приборов, для разделения
электрических цепей различных элементов указанных устройств, для согласования
напряжения и пр.
. Для включения электроизмерительных приборов и некоторых аппаратов (реле
и др.) в электрические цепи высокого напряжения или же в цепи, по которым
проходят большие токи, с целью расширения пределов измерения и обеспечения
электробезопастности. Трансформаторы, применяемые для этих целей, называются
измерительными.
Классификацию трансформаторов можно произвести по нескольким признакам:
. По назначению трансформаторы разделяют на силовые общего и специального
применения. Силовые трансформаторы общего применения используются в линиях
передачи и распределения электроэнергии. Для режима их работы характерна
частота переменного тока 50 Гц и очень малые отклонения первичного и вторичного
напряжений от номинальных значений. К трансформаторам специального назначения
относятся силовые специальные (печные, выпрямительные, сварочные,
радиотрансформаторы), измерительные и испытательные трансформаторы,
трансформаторы для преобразования числа фаз, формы кривой ЭДС, частоты и т.д.
. По виду охлаждения - с воздушным (сухие трансформаторы) и масляным
(масляные трансформаторы) охлаждением.
. По числу фаз на первичной стороне - однофазные и трёхфазные.
. По форме магнитопровода - стержневые, броневые, тороидальные.
. По числу обмоток на фазу - двухобмоточные, трёхобмоточные,
многообмоточные (более трёх обмоток).
. По конструкции обмоток - с концентрическими и чередующимися (дисковыми)
обмотками.
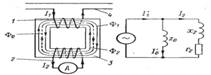
1.1.1 Принципиальная схема включения трансформатора
Рис. 1. Принципиальная схема включения трансформатора: 1 - первичная обмотка, 2 - магнитопровод, 3 - вторичная
обмотка, 4 - лампа накаливания
На рис. 1 для наглядности первичная 1 и вторичная 3 обмотки помещены на
разных стержнях стального магнитопровода 2. Стержень - часть магнитопровода, на
которой размещены обмотки трансформатора. В действительности каждая обмотка
размещается на обоих стержнях так, что одни половины двух обмоток находятся на
левом, а другие половины - на правом стержне магнитопровода. При таком
расположении обмоток достигается лучшая магнитная связь между ними, благодаря
чему снижаются потоки рассеяния, которые не участвуют в процессе
трансформирования энергии.
Первичная обмотка трансформатора тока включается в цепь последовательно
(в рассечку токопровода), а вторичная замыкается на некоторую нагрузку
(измерительные приборы и реле), обеспечивая в ней ток, пропорциональный току в
первичной обмотке.
В трансформаторах тока высокого напряжения первичная обмотка изолирована
от вторичной (земля) на полное рабочее напряжение. Один конец вторичной обмотки
обычно заземляется. Поэтому она имеет потенциал, близкий к потенциалу земли.
Трансформаторы тока по назначению разделяются на трансформаторы тока для
измерений и трансформаторы тока для защиты. В некоторых случаях эти функции
совмещаются в одном ТТ.
Трансформаторы тока для измерений предназначаются для передачи информации
измерительным приборам. Они устанавливаются в цепях высокого напряжения или в
цепях с большим током, т. е. в цепях, в которых невозможно непосредственное
включение измерительных приборов. Ко вторичной обмотке ТТ для измерений
подключаются амперметры, токовые обмотки вaттметров, счетчиков и аналогичных
приборов. Таким образом, трансформатор тока для измерений обеспечивает:
) преобразование переменного тока любого значения в переменный ток,
приемлемый для непосредственного измерения с помощью стандартных измерительных
приборов;
) изолирование измерительных приборов, к которым имеет доступ
обслуживающий персонал, от цепи высокого напряжения.
Трансформаторы тока для защиты предназначаются для передачи измерительной
информации в устройства защиты и управления. Соответственно этому трансформатор
тока для защиты обеспечивает:
) преобразование переменного тока любого значения в переменный ток,
приемлемый для питания устройств релейной защиты;
) изолирование реле, к которым имеет доступ обслуживающий персонал, от
цепи высокого напряжения.
.1.2 Принцип действия и устройство трансформатора тока
Основными элементами трансформатора тока, участвующими в преобразовании
тока, являются первичная 1 и вторичная 2 обмотки, намотанные на один и тот же
магнитопровод 3. Первичная обмотка включается последовательно (в рассечку
токопровода высокого напряжения 4), т. е. обтекается током линии I1. Ко вторичной обмотке подключаются измерительные
приборы (амперметр, токовая обмотка счетчика) или реле. При работе
трансформатора тока вторичная обмотка всегда замкнута на нагрузку.
Первичную обмотку совместно с цепью высокого напряжения называют
первичной цепью, а внешнюю цепь, получающую измерительную информацию от
вторичной обмотки трансформатора тока (т. е. нагрузку и соединительные
провода), называют вторичной цепью. Цепь, образуемую вторичной обмоткой и
присоединенной к ней вторичной цепью, называют ветвью вторичного тока. В целях улучшения магнитной связи между первичной и вторичной
обмотками их помещают на стальной магнитопровод. Обмотки изолируют как друг от
друга, так и от магнитопровода. Обмотка более высокого напряжения называется
обмоткой высшего напряжения (ВН), а обмотка более низкого напряжения - обмоткой
низшего напряжения (НН). Обмотка, включенная в сети источника электрической
энергии, называется первичной; обмотка, от которой энергия подается к
приемнику, - вторичной.
Обычно напряжения обмоток неодинаковые. Если первичное напряжение меньше
вторичного, то трансформатор называется повышающим, если больше вторичного -
понижающим. Любой трансформатор может быть использован и как повышающий, и как
понижающий. Повышающие трансформаторы применяют для передачи электроэнергии на
большие расстояния, а понижающие - для её распределения между потребителями.
Из принципиальной схемы трансформатора видно, что между первичной и
вторичной обмотками не имеется электрической связи. Они изолированы друг, от
друга на полное рабочее напряжение. Это и позволяет осуществить непосредственное
присоединение измерительных приборов или реле ко вторичной обмотке и тем самым
исключить воздействие высокого напряжения, приложенного к первичной обмотке, на
обслуживающий персонал. Так как обе обмотки наложены на один и тот же
магнитопровод, то они являются магнитно-связанными.
Действие трансформатора основано на явлении взаимной индукции. Если
первичную обмотку трансформатора включить в сеть источника переменного тока, то
по ней будет протекать переменный ток I1,
называемый первичным током. Который создаст в сердечнике трансформатора
переменный магнитный поток Ф1, изменяющийся с той же частотой, что и
ток I1. Этот магнитный поток, пронизывая витки вторичной
обмотки, будет индуктировать в ней э.д.с. Е2. Если вторичную обмотку
замкнуть на какой-либо приемник энергии (например, лампа накаливания), то под
действием индуктируемой э.д.с. Е2 по этой обмотке и через приемник
энергии начнет протекать ток I2. Этот ток согласно закону Ленца
будет иметь направление, противоположное направлению первичного тока I1. Ток, проходящий по вторичной обмотке, создает в
магнитопроводе переменный магнитный поток Ф2, который направлен
встречно магнитному потоку Ф1. Вследствие этого магнитный поток в
магнитопроводе, вызванный первичным током, будет уменьшаться.
В результате сложения магнитных потоков Ф1 и Ф2 в
магнитопроводе устанавливается результирующий магнитный поток Ф0 = Ф1
- Ф2. Поток Ф0 является тем передаточным звеном,
посредством которого осуществляется передача энергии от первичной обмотки ко
вторичной в процессе преобразования тока.
Результирующий магнитный поток Ф0, пересекая витки обеих
обмоток, индуцирует при своем изменении в первичной обмотке противо-э.д.с. Е1
, а во вторичной обмотке э.д.с. Е2. Так как витки первичной и
вторичной обмоток имеют примерно одинаковое сцепление с магнитным потоком в
магнитопроводе, то в каждом витке обеих обмоток индуцируется одна и та же
э.д.с. Под воздействием э.д.с. Е2во вторичной обмотке протекает ток I2,называемый вторичным током.
В первичной и вторичной обмотках создается магнитодвижущая сила (м.д.с.) F:
где ω - число витков обмотки.
- для идеального трансформатора
где n - коэффициент трансформации -
отношение первичного тока ко вторичному или числа витков вторичной обмотки к
числу витков первичной обмотки.
В реальных трансформаторах преобразование тока сопровождается потерями
энергии, расходуемой на создание магнитного потока в магнитопроводе, на нагрев
и перемагничивание магнитопровода, а также на нагрев проводов вторичной обмотки
и вторичной цепи. Следовательно, I0 - ток намагничивания, создающий в
магнитопроводе магнитный поток Ф0 и являющийся частью первичного
тока I1.
Если разделить первичный ток на коэффициент трансформации, то получим
первичный ток, приведенный ко вторичной обмотке,
. Аналогично приведенный ток
намагничивания будет
.
Часть приведенного первичного тока
идет на намагничивание
магнитопровода, а остальная часть трансформируется во вторичную цепь.
.1.3 Номинальные данные трансформатора
Номинальная мощность - полезная мощность, на которую рассчитан
трансформатор по условиям нагревания, т.е. мощность его вторичной обмотки при
полной (номинальной) нагрузке, кВА.
Активная мощность - мощность, которая может быть преобразована из
электрической в механическую, тепловую, световую и т.д., кВт.
Сечение проводов обмоток и всех частей трансформатора определяются полным
током, протекающим по проводнику и, следовательно, полной мощностью.
1.1.4 Условия работы трансформатора
Трансформаторам тока приходится работать в различных режимах, имеющих
место в электрической цепи, а именно в установившемся и переходном режимах.
Установившимся называют режим работы трансформатора, при котором токи в
первичной и вторичной обмотках ТТ не содержат затухающих свободных
апериодических и периодических составляющих. Одним из видов установившегося
режима является нормальный режим работы ТТ, при котором первичный и вторичный
токи, погрешности различных видов и напряжения между обмотками ТТ не превышают
длительно допустимых при заданных условиях эксплуатации. К установившимся
режимам относится также трансформация тока к.з. или другого тока, отличающегося
от нормального рабочего тока установки, после затухания свободных составляющих.
При правильном выборе ТТ токи в его обмотках ни при установившихся, ни
при переходных режимах не должны превышать допустимые по термической и
динамической стойкости. При этом погрешности различных видов также не должны
быть больше допустимых в этих режимах погрешностей
1.2 Однофазные трансформаторы
Магнитопроводы
однофазных трансформаторов
Магнитопроводы собирают из отдельных пластин, изолированных друг от друга
для уменьшения потерь на вихревые токи лаком, окалиной или химическим способом.
Иногда магнитопроводы малых трансформаторов наматывают из стальной ленты на
специальных приспособлениях в виде плоских спиралей.
Потери в стали магнитопровода складываются из потерь на гистерезис
(перемагничивание стали) и потерь на вихревые токи. В ферромагнитных материалах
магнитная индукция отстает в своих изменениях от напряженности поля.
Перемагничивание магнитного материала связано с затратой энергии, которая
проявляется в нагревании перемагничиваемого материала. Чем труднее намагнить
материал, тем труднее его размагнитить и, следовательно, тем большую работу
необходимо затратить на перемагничивание.
Таким образом, потери на гистерезис зависят от свойств перемагничиваемого
материала магнитопровода. Кроме того, они зависят от частоты перемагничивания и
величины наибольшей магнитной индукции.
Для уменьшения потерь на вихревые токи магнитопроводы трансформаторов
изготавливают не из сплошных масс, а из отдельных пластин, изолированных друг
от друга. Изоляционные прослойки, оказывая вихревым токам чрезвычайно большое
сопротивление, ограничивают сферу их действия небольшими участками и там самым
значительно уменьшают потери электрической энергии. Также магнитопроводы
составляют из листов высоколегированной стали, удельной электрическое
сопротивление которой значительно больше, чем обычной стали.
Таким образом, потери на вихревые токи зависят от материала
магнитопровода, толщины стальных пластин и изоляции между ними. Кроме того, они
пропорциональны квадратам частоты и магнитной индкции.
В зависимости от формы магнитопровода и расположения обмоток на нем
однофазные трансформаторы делятся на стержневые и броневые.
а) Стержневой
б) Броневой
Обмотки
трансформаторов
Обмотки трансформаторов изготовляют из меди или алюминия. Так как
удельное сопротивление алюминия примерно на 70% больше удельного сопротивления
меди, при изготовлении обмоток из алюминиевых проводов поперечное сечение
проводов увеличивают по сравнению с сечением медных проводов. Поэтому
поверхности охлаждения обмоток из алюминиевых проводов больше, чем из медных,
и, следовательно, условия охлаждения трансформатора с алюминиевыми обмотками
лучше.
Для трансформаторов небольшой мощности обмотки выполняют из
изолированного провода круглого сечения. Параллельное соединение витков дает
возможность применить провод круглого сечения при больших токах в обмотках и
облегчает процесс их изготовления. При сравнительно больших мощностях и токах
обмотки изготавливают из прямоугольного сечения.
Для изоляции обмоток применяют различные изоляционные материалы. Изоляция
должны обеспечивать надежную работу трансформаторы в условиях его эксплуатации
при значительных колебаниях температуры нагрева.
Конструкция обмоток должна обеспечивать хорошее их охлаждении, чтобы
температура их нагрева не превышала пределов, установленных для соответствующих
классов изоляции. Изоляция обмоток должны выдерживать без повреждений
длительное воздействие на неё переменного электрического поля, имеющегося в
трансформаторе при нормальной его работе, и кратковременные перенапряжения,
возникающие в условиях его эксплуатации.
Магнитные
потоки трансформатора
При включении первичной обмотки трансформатора в сеть переменного тока по
этой обмотке протекает ток, создающий магнитное поле. Большая часть магнитных
линий замыкается по стальному магнитопроводу. Эта часть магнитных линий
образует основной магнитный поток Ф0, который пронизывает нитки как
первичной, так и вторичной обмоток. Некоторая часть магнитных линий замыкается
по немагнитной среде, образуя поток рассеяния первичной обмотки Фs1. Магнитные линии потока рассеяния пронизывают витки
только первичной обмотки и в процессе трансформирования энергии участия не
принимают.
При нагрузке трансформатора в его вторичной обмотке протекает ток I2, возбуждающий свое магнитное поле. Основной магнитный
поток в магнитопроводе трансформатора сцеплен со всеми витками первичной и
вторичной обмоток, поэтому он создается взаимодействием намагничивающих сил или
токов этих обмоток.
Часть магнитных линий поля, возбуждаемого током вторичной обмотки,
замыкается через немагнитную среду, образуя поток рассеяния вторичной обмотки Фs2. Этот магнитный поток не взаимодействует с потоком
первичной обмотки и сцеплен только с витками вторичной обмотки.
Потоки рассеяния Фs1 и Фs2 примерно одинаковы и сдвинуты по фазе на угол
. Основной магнитный поток не
совпадает по фазе с потоком рассеяния. И при активной нагрузке потоки рассеяния
обмоток представляются в виде синусоид, имеющих одинаковые амплитуды и находящимися
в противофазе. Основной магнитный поток изображен синусоидой, сдвинутой
относительно синусоид потоков рассеяния на четверть периода. При этом амплитуда
основного магнитного потока много больше амплитуд потоков рассеивания.
На векторной диаграмме при активной нагрузке по вертикальной оси вверх
направлен вектор приложенного напряжения U1. Амплитуда основного магнитного потока изображена вектором Фm, повернутым относительно вектора
приложенного напряжения на
в сторону отставания. Вектор тока
вторичной обмотки I2 повернут на
относительно вектора Фm в сторону отставания, а вектор тока
на первичной обмотке I1 - совпадает с вектором U1. Потоки рассеяния совпадают по фазе с токами, их
создающими.
Основной магнитный поток возбуждается намагничивающим током Iμ, протекающим по первичной обмотке
трансформатора и совпадающим по фазе с магнитным потоком. Следовательно,
намагничивающий поток отстает от приложенного напряжения на
по фазе и является чисто реактивным.
1.3 Трехфазные трансформаторы
Магнитопроводы
трехфазных трансформаторов
Трехфазный трансформатор может быть составлен из трех одинаковых
однофазных; в этом случае он называется групповым. Первичные обмотки трех
однофазных трансформаторов соединяют между собой по одной из трехфазных схем,
так же как и вторичные обмотки.
Групповые трехфазные трансформаторы применяют при очень больших
мощностях. Это объясняется тем, что каждый однофазный трансформатор группы
меньше по габаритам и массе, чем один трехфазный на полную мощность группы.
Кроме того, при групповом трансформаторе в качестве резерва достаточно иметь
один однофазный трансформатор, в то время как при одном трехфазном
трансформаторе в резерве приходится устанавливать другой трансформатор на
полную мощность. Поэтому групповой трансформатор имеет преимущества при больших
мощностях. Однако групповой трансформатор дороже трехфазного трансформатора на
ту же мощность, занимает больше места и имеет меньший к.п.д.
Трехфазные трансформаторы со связанной магнитной системой выполняются
обычно стержневыми. Три одинаковых однофазных трансформатора выполнены так, что
их вторичные и первичные обмотки размещены на одном стержне сердечника
магнитопровода, а другой стержень каждого трансформатора не имеет обмотки. Если
эти три трансформатора расположить так, чтобы стержни, не имеющие обмоток, находились
рядом, то три стержня можно объединить в один - нулевой.
Через объединенный стержень будут замыкаться магнитные потоки трех
однофазных трансформаторов, которые равны по величине и сдвинуты по фазе на
одну треть периода. Так как сумма трех равных по амплитуде и сдвинутых по фазе
на одну треть периода магнитных потоков равна нулю в любой момент времени (
), то в объединенном стержне нет
магнитного потока и надобность в этом стержне отпадает.
Таким образом, для магнитопровода достаточно иметь три стержня, которые
по конструктивным соображениям располагаются в одной плоскости. На каждом
стержне трехфазного трансформатора размещаются обмотки высшего и низшего
напряжения одной фазы. Стержни соединяются между собой ярмом сверху и снизу.
Длина магнитных линий потока среднего стержня меньше, чем крайних стержней.
Следовательно, в фазе, обмотка которой помещена на среднем стержне, протекает
меньший намагничивающий ток, чем в фазах, обмотки которых помещены на крайних
стержнях.
Соединение
обмоток трехфазных трансформаторов
Конструктивно обмотки трехфазных трансформаторов выполняются так же, как
и однофазных.
Начала фаз обмоток высшего напряжения обозначают прописными латинскими
буквами А, В, С; концы фаз этих обмоток - X, Y, Z. Если обмотка высшего напряжения имеет выведенную
нулевую точку, то этот зажим обозначают 0. Начала фаз обмоток низшего
напряжения обозначают строчными латинскими буквами a, b, c, концы фаз - x, y, z, вывод нулевой
точки - 0.
Обмотки трехфазных трансформаторов могут быть соединены в звезду и
треугольник. При соединении обмоток в звезду (а) концы всех трех фаз соединяют,
образуя общую нейтральную точку, а свободные начала трех фаз подключают к трем
проводам сети источника или приемника электрической энергии переменного тока.
При соединении обмоток в треугольник (б) начало первой фазы соединяют с концом
второй, начало второй фазы - с концом третьей, начало третьей фазы - с концом
первой. Точки соединения начала одной фазы с концом другой подключают к
проводам трехфазной сети переменного тока.
Иногда применяют схему соединения в зигзаг (в). При такой схеме фаза
состоит из двух катушек с одинаковым числом витков, находящихся на различных
стержнях и соединенных встречно. Э.д.с. фазы обмотки, соединенной в зигзаг,
равна геометрической разности э.д.с. двух катушек. Эти э.д.с. сдвинуты на 1/3
периода по фазе так же, как и магнитные потоки двух различных стержней, поэтому
,
где
- э.д.с. фазы при соединении обмоток в зигзаг;
- э.д.с. одной катушки.
При соединении обмоток в треугольник или звезду две катушки, входящие в
одну фазу, соединены последовательно, так что э.д.с. фазы равна арифметической
сумме э.д.с. катушек, т.е.
Следовательно, при одинаковом расходе обмоточного провода э.д.с. фазы при
соединении обмоток в зигзаг меньше, чем при соединении в звезду и треугольник.
Таким образом, схема соединения обмоток трехфазного трансформатора в
зигзаг неэкономична и не имеет широкого практического применения.
Схемы соединения обмоток трехфазных трансформаторов в звезду, треугольник
и зигзаг обозначают Y, ∆ и
. Если обмотка имеет выведенную
нулевую точку, то показывают вывод от нее, например:
или
.
Группы
трехфазных трансформаторов
Группы трехфазных трансформаторов обозначают следующими знаками:
,
и т.д.
Знак над чертой показывает схему соединения обмоток высшего напряжения,
знак под чертой - схему соединения обмоток низшего напряжения, цифра - угол
между векторами линейных э.д.с. обмоток высшего и низшего напряжения,
выраженный числом угловых единиц по
.
Группы трехфазных трансформаторов зависят от схемы соединения обмоток,
обозначения зажимов фаз обмоток высшего и низшего напряжения и от направления
намотки. Если направления намотки обмоток высшего и низшего напряжения
одинаково, то э.д.с., индуктируемые в фазах обмоток высшего и низшего
напряжения, совпадают по фазе. Если обмотки имеют встречное направление
намотки, то э.д.с. фаз высшего и низшего напряжения находятся в противофазе.
Обмотки высшего и низшего напряжения соединены в звезду и имеют
одинаковое направление намотки. Тогда э.д.с., индуктируемые в фазах обмоток
высшего и низшего напряжения, будут совпадать, что показано на векторной
диаграмме: векторы
параллельны. Векторы линейных э.д.с. соответствующих зажимов
обмоток высшего и низшего напряжения (ЕАВ и Еab) оказались параллельны, т.е. угол
между ними
, и трансформатор принадлежит группе 0.
Если изменить обозначения зажимов обмоток низшего напряжения, то при этом
повернется на
звезда фазных э.д.с. обмоток низшего напряжения. В этом случае
будут параллельными векторами
, так как обмотки фаз с и А, а и В, b и С находятся на одних и тех же стержнях и сцеплены с одним
потоком. Угол между векторами линейных э.д.с. ЕАВ и Еab стал равен
, т.е. мы получили группу 4.
Если произвести ещё одно изменение обозначения зажимов обмоток низшего
напряжения, векторы фазных и линейных э.д.с. обмоток низшего напряжения
повернутся ещё на
).
Таким образом, при соединении обмоток по схеме звезда - звезда мы можем
получить любую четную группу - 2, 4, 6, 8, 10, 0.
При соединении по схеме звезда - треугольник векторы фазных э.д.с.
обмоток высшего и низшего напряжения, находящихся на одних стержнях сердечника,
при согласном направлении намоток имеют одинаковое направление.
При соединении обмоток в треугольник линейные э.д.с. совпадают с фазными,
при соединении в звезду - смещены на
по фазе относительно фазных э.д.с.
Таким образом, при соединении обмоток по схеме звезда - треугольник или
треугольник - звезда может быть получена любая нечетная группа - 1, 3, 5, 7, 9,
11.
Фазная э.д.с. при соединении обмоток в звезду в
раз меньше, чем при соединении в
треугольник, так как линейные напряжения для обеих схем одинаковы. Поэтому при
соединении обмоток в звезду проще изоляция обмотки высшего напряжения и обмотки
имеют меньшее число витков, чем при соединении в треугольник.
Обмотки низшего напряжения в
стандартных схемах преимущественно соединяют в треугольник, так как эта схема
значительно менее чувствительна к несимметрии нагрузок, чем схема соединения в
звезду.
Достоинством схемы звезда с нулем является возможность получения двух
различных напряжений при четырехпроводной сети.
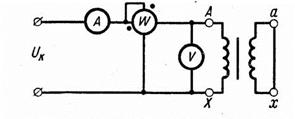
1.4 Холостой ход трансформатора
Опыт
холостого хода трансформатора
Холостым ходом трансформатора является такой предельный режим работы,
когда его вторичная обмотка разомкнута и ток вторичной обмотки равен нулю. Опыт
холостого хода позволяет определить коэффициент трансформации, то, потери и
сопротивление холостого хода трансформатора.
При опыте холостого хода первичную обмотку однофазного трансформатора
включает в сеть переменного тока на номинальное напряжение U1. Под действием приложенного напряжения по обмотке
протекает ток I1 = I0, равный току холостого хода.
Практически ток холостого хода равен примерно 5-10% номинального, а в трансформаторах
малой мощности (десятки вольтампер) достигает значений 30% и более
номинального.
Для измерения тока холостого хода, приложенного к первичной обмотке
напряжения и потребляемой мощности в цепь первичной обмотки трансформатора
включены измерительные приборы (амперметр А, вольтметр V и ваттметр W).
Вторичная обмотка трансформатора замкнута на вольтметр, сопротивление которого
очень велико, так что ток вторичной обмотки практически равен нулю.
Ток холостого хода возбуждает в магнитопроводе трансформатора магнитный
поток, который индуктирует э.д.с. E1 и Е2
в первичной и во вторичной обмотках.
Во вторичной обмотке трансформатора нет тока и, следовательно, нет
падения напряжения в сопротивлении этой обмотки, поэтому э.д.с. равна
напряжению, т.е. Е2 = U2. Следовательно, э.д.с. вторичной
обмотки определяется показанием вольтметра, включенного в эту обмотку.
Ток холостого хода, протекающий в первичной обмотке, очень мал по
сравнению с номинальным, так что падение напряжения в сопротивлении первичной
обмотки очень мало по сравнению с приложенным напряжением. Поэтому приложенное
напряжение практически уравновешивается э.д.с. первичной обмотки и численные
значения напряжения U1 и э.д.с. E1 приблизительно равны. Следовательно, при опыте холостого
хода э.д.с. первичной обмотки определится показанием вольтметра, включенного в
цепь.
Для большей точности измерения при опыте холостого хода первичной
обмоткой служит обмотка низшего напряжения, а вторичной - обмотка высшего
напряжения. Это объясняется тем, что для обмотки НН номинальный ток будет
больше, чем для обмотки ВН. Так как ток холостого хода небольшой и составляет
несколько процентов номинального, то при использовании обмотки НН в качестве
первичной ток холостого хода окажется больше и может быть измерен более точно,
чем в случае использования обмотки ВН в качестве первичной.
При холостом ходе трансформатора коэффициент трансформации определится
отношением показателей вольтметров, включенных в первичной и вторичной
обмотках.
Для трехфазного трансформатора различают фазный и линейный коэффициенты
трансформации. Фазный коэффициент трансформации определяет соотношение чисел
витков обмоток ВН и НН и равен отношению фазных напряжений. Линейный
коэффициент трансформации равен отношению линейных напряжений на стороне ВН и НН.
Полное Z, активное R и реактивное X
сопротивления при холостом ходе равны.
Ток
холостого хода
При холостом ходе трансформатора под действием приложенного напряжения U1 в первичной обмотке протекает ток холостого I0. Намагничивающая сила первичной обмотки
возбуждает магнитное поле, большая
часть магнитных линий которого замыкается через магнитопровод, образуя основной
магнитный поток.
Основной магнитный поток с амплитудой Фm пронизывает нитки первичной и вторичной обмоток и
индуктирует в этих обмотках э.д.с.
В магнитопроводе трансформатора при его работе происходят потери энергии
на гистерезис и вихревые токи. При частоте тока 50 Гц потери на гистерезис в
трансформаторе в несколько раз больше потерь на вихревые токи, так что потери в
стали в основном определяются гистерезисными потерями.
Положим, что для материала магнитопровода трансформатора магнитная
характеристика, т.е. зависимость магнитного потока от холостого хода,
представлена шлейфом петли гистерезиса (кривая 1).
Если приложенное к первичной обмотке напряжение синусоидально, то
магнитный поток изменяется также синусоидально во времени (кривая 2). Каждому
значению магнитного потока соответствуют различные значения тока холостого хода
согласно восходящей и нисходящей ветвям магнитной характеристики материала
магнитопровода. Кривая тока холостого хода (кривая 3) несинусоидальна и
опережает кривую магнитного.
При построении векторных диаграмм несинусоидальный ток холостого хода
считается таким синусоидальным током, действующее значение которого равно
действующему значению реального тока.
Таким образом, за счет потерь в стали ток холостого хода опережает по
фазе создаваемый им магнитный поток и на векторной диаграмме изображается
вектором I0, повернутым относительно вектора Фm на угол α в сторону опережения. Поэтому ток I0 представлен в виде двух составляющих:
реактивной составляющей Iμ, совпадающей с основным магнитным
потоком, и активной составляющей Ia, параллельной вектору приложенного напряжения. Реактивная составляющая тока холостого хода является
намагничивающим током, создающим основной магнитный поток, и зависит от
магнитного сопротивления магнитопровода. Чем большим будет магнитное
сопротивление магнитопровода, тем большим окажется намагничивающий ток.
Следовательно, величина намагничивающего тока зависит от магнитной
проницаемости материала магнитопровода (от магнитных свойств стали), его сборки
и от магнитной индукции в магнитопроводе. Чем выше магнитная проницаемость
материала и лучше собрали магнитопровод, т.е. чем плотнее прилегают друг к
другу отдельные его части и чем меньше магнитная индукция, там меньшим будет
намагничивающий ток.
Активная составляющая тока холостого тока Ia расходуется на покрытие потерь в
стали и зависит от свойств материала магнитопровода, магнитной индукции и
толщины стальных пластин, из которых собран магнитопровод. Чем больше потери в
стали магнитопровода, тем большей будет активная составляющая тока холостого
хода.
1.5 Режим короткого замыкания
Опыт
короткого замыкания
В режиме короткого замыкания, на первичную обмотку трансформатора
подается переменное напряжение небольшой величины, выводы вторичной обмотки соединяют
накоротко. Величину напряжения на входе устанавливают такой, чтобы ток
короткого замыкания равнялся номинальному (расчетному) току трансформатора. В
таких условиях величина напряжения короткого замыкания характеризует потери в
обмотках трансформатора, потери на омическом сопротивлении. Мощность потерь
можно вычислить, умножив напряжение короткого замыкания на ток короткого
замыкания.
Опыт короткого замыкания производится при значительно пониженном напряжении
и является вторым предельным режимом работы трансформатора, который наряду с
опытом холостого хода позволяет определить параметры трансформатора при любой
нагрузке.
Вторичную обмотку замыкают накоротко (сопротивление Zн = 0), а
к первичной подводят пониженное напряжение такого значения, при котором по
обмоткам проходит номинальный ток Iн. В мощных силовых
трансформаторах напряжение Uк при коротком замыкании обычно
составляет 5-15% от номинального. В трансформаторах малой мощности напряжение Uк
может достигать 25-50% от Uн.
При опыте короткого замыкания трансформатора для понижения напряжения
используют индукционный регулятор, трансформатор и т.д. В цепь первичной
обмотки включают амперметр А, вольтметр V и ваттметр W. Для
большей точности изменения первичной обмоткой является обмотка ВН. Напряжение
короткого замыкания составляет всего несколько процентов от номинального,
поэтому для обмотки ВН оно будет иметь большую величину и может быть измерено с
большей точностью, чем для обмотки НН. Также для большей точности измерения
вторичную обмотку замыкают накоротко с шиной с малым сопротивлением. Включение
амперметров и других каких-либо приборов в цепь вторичной обмотки недопустимо,
так как это снижает точность измерений.
Опыт короткого замыкания позволяет определить напряжение короткого
замыкания, потери в обмотках трансформатора Рм и сопротивления
короткого замыкания трансформатора rк, xк и zк.
Полезная мощность трансформатора равна нулю, а потери стали ничтожно
малы, так как мал магнитный поток в магнитопроводе. Поэтому мощность Рк,
потребляемая трансформатором при опыте короткого замыкания, расходуется на
нагревание проводов обмоток, т.е.
, где Iн - номинальный ток первичной обмотки.
Так как поток, замыкающийся по стальному магнитопроводу, зависит от
напряжения, приложенного к первичной обмотке трансформатора, а магнитные потери
в стали пропорциональны квадрату индукции, т.е. квадрату магнитного потока, то
ввиду малости Uк пренебрегают магнитными потерями в стали и током
холостого хода. При этом из общей схемы замещения трансформатора исключают
сопротивления R0 и X0. Параметры этой схемы определяют из
следующих соотношений:
Короткое
замыкание трансформатора в условиях эксплуатации
Короткие замыкания в электрических установках возникают обычно вследствие
каких-либо неисправностей в сетях или при ошибочных действиях эксплуатационного
персонала.
Для трансформатора короткое замыкание очень опасно, так как при этом
возникают очень большие токи. При котором замыкании зажимов вторичной обмотки
сопротивление нагрузки zн практически равно 0 и,
следовательно, напряжение на зажимах вторичной обмотки U2 также равно 0. Таким образом, напряжение U1, приложенное к первичной обмотке, будет уравновешено
падением напряжения в полных сопротивлениях первичной и вторичной обмоток
.
Эквивалентная схема для одной фазы трансформатора при коротком замыкании:
Уравнение равновесия э.д.с. первичной обмотки трансформатора при коротком
замыкании вторичной обмотки
,
где Iк - ток короткого замыкания.
На векторной диаграмме вертикально вверх направлен вектор тока короткого
замыкания Iк. Параллельно вектору тока направлен вектор падения
напряжения в активном сопротивлении короткого замыкания Iкrк. Повернут относительно вектора тока на
в сторону опережения (против часовой
стрелки) вектор падения напряжения на индуктивном сопротивлении короткого
замыкания трансформатора Iкxк.
Геометрическая сумма векторов Iкrк и Iкxк определит вектор приложенного к первичной обмотке
напряжения U1, который повернут относительно вектора тока короткого
замыкания Iк в сторону опережения на угол короткого замыкания φк. Этот угол зависит от соотношения сопротивлений xк и rк. Чем больше индуктивное
сопротивление xк и чем меньше активное сопротивление rк, тем большим будет угол φк. Таким образом, сила тока короткого замыкания
трансформатора
.
Так как падение напряжения в полном сопротивлении обмоток трансформатора
при номинальном токе Iн составляет 5-7% от номинального
напряжения.
Ток короткого замыкания трансформатора во много раз больше номинального
тока:
. Такой ток, во много раз больший
номинального, будет протекать в обмотках трансформатора в течение всего времени
короткого замыкания, как бы велико оно ни было.
Ток короткого замыкания резко повышает температуру обмотки, что угрожает
целости изоляции. Потери в проводах обмоток трансформатора пропорциональны току
во второй степени (
). Выделение большой мощности в проводах обмоток вызывает
резкое повышение их температуры, вследствие которого возможно нарушение целости
изоляции и выход трансформатора из строя. Поэтому
все трансформаторы снабжаются достаточно быстродействующей защитой, которая
отключает трансформатор в случае его короткого замыкания.
1.6 Режим нагрузки трансформатора
При работе трансформатора на какой-либо приемник электрической энергии по
его первичной обмотке протекает ток I1, а по
вторичной обмотке - ток I2. Так как практически падение
напряжения в полном сопротивлении первичной обмотки I1z1 очень мало по сравнению с
приложенным напряжением, можно считать, что приложенное напряжение практически
уравновешивается э.д.с. с первичной обмотки, т.е.
.
Намагничивающая сила (н.с.) при холостом ходе I0ω1 создает основной магнитный поток трансформатора Фm, который индуктирует в первичной и
во вторичной обмотках э.д.с. Е1 = Е2. Если вторичную
обмотку трансформатора замкнуть на какой-либо приемник энергии, то по ней будет
протекать ток I2. Н.с. вторичной обмотки I2ω2 направлена встречно потоку, её создающему, т.е. н.с.
вторичной обмотки стремится уменьшить магнитный поток Фm. Но при уменьшении потока Фm уменьшится э.д.с. Е1, что
приведет к увеличению тока первичной обмотки I1.
Ток I1 увеличивается до такой величины, при которой н.с.
первичной обмотки компенсирует размагничивающее действие н.с. вторичной
обмотки. Таким образом, н.с. первичной обмотки создает неизменный, практически
не зависящий от нагрузки, магнитный поток в магнитопроводе трансформатора Фm и компенсирует размагничивающее
действие н.с. вторичной обмотки, что изображено на векторной диаграмме. По
горизонтальной оси этой диаграммы отложен вектор амплитуды основного магнитного
потока Фm. Индуктируемая этим магнитным
потоком э.д.с. вторичной обмотки Е2 показана вектором, повернутым
относительно вектора Фm
на
в сторону отставания (по часовой
стрелке).
При активно-индуктивной нагрузке ток вторичной обмотки I2 отстает по фазе от э.д.с. на некоторый угол ψ2, зависящий от соотношения активного и реактивного
сопротивлений нагрузки. Вектор намагничивающей силы вторичной обмотки I2ω2, совпадающий по направлению с вектором I2, изображен повернутым на угол ψ2 относительно вектора Е2 в сторону
отставания. Вектор намагничивающей силы холостого хода I0ω1 изображен повернутым в сторону опережения
относительно вектора Фm
на угол гистерезисного опережения α. Намагничивающая сила первичной
обмотки I1ω1 при нагрузке равна геометрической сумме векторов I0ω1 и I2ω2.
Диаграмма намагничивающих сил показывает, что любое изменение тока
вторичной обмотки вызывает соответствующее изменение тока в первичной обмотке.
Если при увеличении нагрузки увеличится ток вторичной обмотки, то примерно в
той же мере увеличится ток в первичной обмотке. Уменьшение тока вторичной
обмотки вызывает уменьшение тока первичной обмотки.
Нагрузка трехфазного трансформатора по отношению к его обмоткам может
быть симметричной или несимметричной. При симметричной нагрузке в обмотках всех
фаз проходят одинаковые токи, а потому падения напряжения в фазах одной и той
же обмотки - первичной или вторичной - равны друг другу. Вследствие этого
э.д.с. обмоток уменьшаются при нагрузке на одну и ту же величину. И если
система была симметрична при холостой работе, то она остается такой же и при
нагрузке.
При несимметричной нагрузке, когда тока в фазах обмотки не равны друг
другу, падения напряжения в обмотках неодинаковы, и симметрия линейных
напряжений холостой работы нарушается: между одними зажимами оно может
повыситься. Характер и величина изменения вторичного напряжения в этом случае
будет зависеть от способа соединения первичных и вторичных обмоток и от
характера и величины нагрузки. В отношении изменения вторичного напряжения всех
фаз при симметричной нагрузке все способы соединения обмоток равноценны.
2. Выпрямители переменного напряжения
.1 Введение
Выпрямители используются в блоках питания радиоэлектронных устройств для
преобразования переменного напряжения в постоянное. Схема любого выпрямителя
содержит 3 основных элемента:
. Силовой трансформатор - устройство для понижения или повышения
напряжения питающей сети и гальванической развязки сети с аппаратурой.
. Выпрямительный элемент (вентиль), имеющий одностороннюю
проводимость - для преобразования переменного напряжения в пульсирующее.
. Фильтр - для сглаживания пульсирующего напряжения.
Выпрямители могут быть классифицированы по ряду признаков:
¾ по схеме выпрямления - однополупериодные, двухполупериодные,
мостовые, с удвоением (умножением) напряжения, многофазные и др.;
¾ по типу выпрямительного элемента - ламповые (кенотронные),
полупроводниковые, газотронные и др.;
¾ по величине выпрямленного напряжения - низкого напряжения и
высокого;
¾ по назначению - для питания анодных цепей, цепей экранирующих
сеток, цепей управляющих сеток, коллекторных цепей транзисторов, для зарядки
аккумуляторов и др.
2.2 Основные характеристики выпрямителей
трансформатор напряжение ток выпрямитель
Номинальное напряжение постоянного тока - среднее значение выпрямленного
напряжения, заданное техническими требованиями. Обычно указывается напряжение
до фильтра U0 и напряжение после фильтра (или отдельных его звеньев
- U). Определяется значением напряжения, необходимым для питаемых выпрямителем
устройств.
Номинальный выпрямленный ток I0 - среднее значение
выпрямленного тока, т.е. его постоянная составляющая, заданная техническими
требованиями. Определяется результирующим током всех цепей питаемых
выпрямителем.
Напряжение сети Uсети - напряжение сети переменного тока,
питающей выпрямитель. Стандартное значение этого напряжения для бытовой сети
-220 вольт с допускаемыми отклонениями не более 10 %.
Пульсация - переменная составляющая напряжения или тока на выходе
выпрямителя. Это качественный показатель выпрямителя.
Частота пульсаций - частота наиболее резко выраженной гармонической
составляющей напряжения или тока на выходе выпрямителя. Для самой простой
однополупериодной схемы выпрямителя частота пульсаций равна частоте питающей сети.
Двухполупериодные, мостовые схемы и схемы удвоения напряжения дают пульсации,
частота которых равна удвоенной частоте питающей сети. Многофазные схемы
выпрямления имеют частоту пульсаций, зависящую от схемы выпрямителя и числа
фаз.
Коэффициент пульсаций - отношение амплитуды наиболее резко выраженной
гармонической составляющей напряжения или тока на выходе выпрямителя к среднему
значению напряжения или тока. Различают коэффициент пульсаций на входе фильтра
(p0 % ) и коэффициент пульсаций на выходе фильтра (p %). Допускаемые
значения коэффициента пульсаций на выходе фильтра определяются характером
нагрузки.
Коэффициент фильтрации (коэффициент сглаживания) - отношение коэффициента
пульсаций на входе фильтра к коэффициенту пульсаций на выходе фильтра
. Для многозвенных фильтров
коэффициент фильтрации равен произведению коэффициентов фильтрации отдельных
звеньев.
Колебания (нестабильность) напряжения на выходе выпрямителя - изменение
напряжения постоянного тока относительно номинального. При отсутствии
стабилизаторов напряжения определяются отклонениями напряжения сети.
2.3 Схемы выпрямителей
Выпрямители, применяемые для однофазной бытовой сети выполняются по 4
основным схемам: однополупериодной, двухполупериодной с нулевой точкой (или
просто- двухполупериодной), двухполупериодной мостовой(или просто -мостовой,
реже называется как “схема Греца”), и схема удвоения(умножения)
напряжения(схема Латура). Для многофазных промышленных сетей применяются две
разновидности схем: однополупериодная многофазная и схема Ларионова.
Чаще всего используются трехфазные схемы выпрямителей.
Основные показатели, характеризующие схемы выпрямителей могут быть
разбиты на 3 группы:
Относящиеся ко всему выпрямителю в целом: U0 -напряжение
постоянного тока до фильтра, I0 - среднее значение выпрямленного тока, p0
- коэффициент пульсаций на входе фильтра.
Определяющие выбор выпрямительного элемента (вентиля): Uобр -
обратное напряжение (напряжение на выпрямительном элементе(вентиле) в
непроводящую часть периода), Iмакс - максимальный ток проходящий
через выпрямительный элемент (вентиль) в проводящую часть периода.
Определяющие выбор трансформатора: U2 - действующее значение
напряжения на вторичной обмотке трансформатора, I2 - действующее
значение тока во вторичной обмотке трансформатора, Pтр - расчетная
мощность трансформатора.
Однополупериодная
схема выпрямления однофазного переменного тока
Однополупериодная схема выпрямления однофазного переменного тока содержит
один диод. Вход схемы подключается к вторичной обмотке трансформатора, а к
выходным клеммам схемы подключается нагрузка.
Основные элементы: трансформатор Тр, вентиль В и сглаживающий фильтр С.
Напряжение U1, обычно синусоидальное, от источника переменного тока
через трансформатор Тр подаётся на вентиль В. Ток I в нагрузке R не течёт только при положительной полярности
подводимого напряжения, т. е. при открытом состоянии В. Конденсатор С
заряжается положительными полуволнами пульсирующего тока, а в паузах,
соответствующих по времени отрицательным полуволнам, разряжается на нагрузку.
Т. о., пульсирующий ток сглаживается, усредняется.

Однополупериодная
схема выпрямления трехфазного переменного тока
В трёхфазных цепях для питания мощных промышленных установок, во
избежание несимметричности нагрузки на сеть электроснабжения, применяют схемы
трёхфазных выпрямителей тока. Первичная обмотка трансформатора в таких
выпрямителях соединяется в звезду или треугольник. В зависимости от числа
вторичных обмоток трансформатора различают 3-, 6-, 12-, 18-фазные и т. д.
Первичная обмотка трансформатора соединена треугольником, а вторичная -
звездой. Фазные токи i1, i2 , i3 выпрямляются
и суммируются, образуя выпрямленный выходной ток I.
Достоинства: Низкий уровень пульсаций выпрямленного напряжения.
Недостатки: Так же как и в однофазной однополупериодной схеме выпрямления
низкий КПД, нерациональное использование трансформатора. Данный выпрямитель
неприменим для обычной однофазной сети.
Список литературы
1. Китаев
В.Е. Трансформатора. Учеб. пособие для проф.-техн. учеб. заведений и подгот.
рабочих на производстве. Изд. 3-е. испр. М., «Высш. школа», 1974. - 207 с. с ил.
. Афанасьев
В.В., Адоньев Н.М., Кибель В.М. и др. Трансформаторы тока. Изд. 2-е, перераб. и
доп. - Л.:Энергоатомиздат, 1989. - 416 с. с ил.
. Каганов,
И. Л. Электронные и ионные преобразователи [Текст] : учеб. для вузов / И. Л.
Каганов .- 2-е изд., перераб.. - М. ; Л. : Госэнергоиздат, 1940. - 380 с. с ил.